ESCUELA POLITÉCNICA NACIONAL
INGENIERÍA EN ELECTRÓNICA Y TELECOMUNICACIONES
CIRCUITOS
ELECTRÓNICOS
DIEGO CARRERA
CARLOS CONTRERAS
MARCO JARA
Profesor
Ing. Antonio Calderón
Octubre 2006 - Marzo 2007
CIRCUITOS ELECTRÓNICOS Ing. Antonio Calderón
2
TABLA DE CONTENIDO
INTRODUCCION: EL TRANSISTOR BIPOLAR 4
Configuraciones del Transistor 6
DISEÑO DE AMPLIFICADORES CON TBJ 8
Diseño de Amplificador en Emisor Común 9
Diseño de Amplificador en Base Común 18
Diseño de Amplificador en Colector Común 24
CIRCUITOS DE ALTA IMPEDANCIA DE ENTRADA 31
Circuitos de Autoelevación 31
Emisor Común con Autoelevación 31
Colector Común con Autoelevación 36
Circuito Darlington 39
AMPLIFICADORES EN CASCADA 45
Tipos De Acoplamiento 46
Acoplamiento Capacitivo 46
Acoplamiento Directo 62
Amplificador Cascode 62
Amplificador Diferencial 68
Acoplamiento directo 73
RESPUESTA DE FRECUENCIA 75
Introducción 75
Respuesta de frecuencia en amplificadores 85
Respuesta de frecuencia en alta frecuencia 97
REALIMENTACIÓN 101
Realimentación Negativa 104
Formas de Realimentación 116
Realimentación Positiva (Circuitos Osciladores) 123
Tipos de osciladores 123
Oscilador RC 126
Oscilador de puente de Wien 134
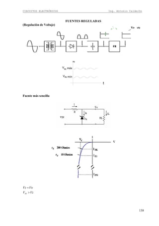
FUENTES REGULADAS 138
Fuente más sencilla 138
Fuente con Transistor 141
Fuente con Transistores en configuración Darlington 144
Fuente con Realimentación 147
Fuente con Realimentación y Fuente de Corriente 151
Circuitos De Protección 154
Protección con Diodos 154
Protección con Diodos Zener 154
Protección con transistor (limitador de corriente) 155
Protección con SCR 156
Fuente regulada con voltaje de salida variable 159
CIRCUITOS ELECTRÓNICOS Ing. Antonio Calderón
3
AMPLIFICADORES DE POTENCIA 161
Clasificación de los Amplificadores 161
Clase A 162
Clase AB 163
Clase B 166
Clase C 167
Amplificador Clase A 170
Amplificador Clase B con salida con simetría complementaria 173
BIBLIOGRAFÍA 181
ANEXOS 182
CIRCUITOS ELECTRÓNICOS Ing. Antonio Calderón
4
INTRODUCCION
EL TRANSISTOR BIPOLAR
El transistor convencional o bipolar se denomina así porque en su funcionamiento intervienen
corrientes de huecos, o de carga positiva, y de electrones, o de carga negativa. Los terminales
del transistor reciben el nombre de emisor, colector y base. La base es el terminal que está
unido a la zona intermedia del transistor. Las tres partes del transistor se diferencian por el
distinto nivel de dopaje; la zona de menor dopaje es la base, a continuación se encuentra el
colector y por último el emisor.
Estudio de las corrientes
El análisis del transistor se realizará para una estructura NPN, y es análogo para el PNP.
Un transistor sin polarizar se comporta como dos diodos en contraposición, y no existen
corrientes notables circulantes por él. Si se polariza, aparecen tres corrientes distintas, la
corriente de base, IB, corriente de emisor, IE, y por último la corriente de colector, IC. En la
figura siguiente están dibujadas estas corrientes según convenio, positivas hacia adentro:
De estas tres corrientes, la del emisor es la más grande, puesto que éste se comporta como
fuente de electrones. La corriente de base es muy pequeña, no suele llegar al 1% de la
corriente de colector.
Aplicando la ley de Kirchhoff se tiene la siguiente relación: IE = IB + IC
Existen dos parámetros que relacionan las distintas corrientes, el coeficiente alfa para
continua, α, y la ganancia de corriente beta, β.
El factor Alfa. Es el cociente entre la intensidad de colector y la de emisor. Su valor nunca
será superior a la unidad y da idea de hasta qué punto son iguales estas corrientes.
α = IC / IE
El factor Beta. La ganancia de corriente b se define como el cociente entre la corriente de
colector y la de base.
β = IC / IB
CIRCUITOS ELECTRÓNICOS Ing. Antonio Calderón
5
Curvas características
Un transistor en régimen estático se encuentra, solamente, bajo la acción de las voltajes
continuos que se le aplican para polarizarle. Una forma de resumir este funcionamiento es
utilizar las curvas características del transistor, que relacionan las tensiones y las corrientes.
Las tensiones y corrientes que se utilizan dependen de la configuración del transistor, pero
independientemente de ésta, se distinguen dos tipos de curvas: la característica de entrada y la
característica de salida.
a) Características de entrada
La característica de entrada relaciona dos magnitudes de entrada con una de salida. En el caso
de la configuración en emisor común se tiene la corriente de base en función de la tensión
base-emisor, para distintos valores de tensión colector- emisor. La corriente de base y la
tensión base-emisor son variables de entrada, mientras que la tensión colector-emisor es una
magnitud de salida.
Si se tiene una configuración en base común, su característica de entrada relacionará la
corriente del emisor con la tensión emisor-base, utilizando la tensión colector-base como
parámetro. La corriente de emisor y la tensión emisor-base con las magnitudes de entrada.
La figura muestra las diferentes características de entrada de dos transistores NPN de
germanio y silicio respectivamente en función del voltaje base-emisor para dos valores del
voltaje colector-emisor.
b) Características de salida
La característica de salida tiene dos de las tres magnitudes pertenecientes al circuito de salida.
Las curvas que relacionan la corriente de colector, la de base y la tensión emisor-colector son
características de salida en configuración emisor-común, mientras que las que relacionan la
corriente de emisor, la de colector y la tensión colector-base son las curvas correspondientes a
una configuración en base común.
CIRCUITOS ELECTRÓNICOS Ing. Antonio Calderón
6
Regiones de trabajo
Un transistor bipolar puede funcionar de tres formas diferentes dependiendo de la
polarización que tengan las dos uniones, base-emisor y base-colector. Estas zonas se pueden
observar en la familia de curvas características de salida de un transistor como se muestra en
la figura.
Región de corte. Para un transistor de silicio, VBE es inferior a 0,6 V ( para germanio 0,2 V),
ambas uniones están polarizadas en sentido inverso y las intensidades en los terminales se
pueden considerar despreciables. En otras palabras, el voltaje de base no es lo suficientemente
alto para que circule corriente por la juntura base emisor, por lo que la corriente de colector es
igualmente despreciable.
Región Activa Normal. La unión base-emisor está polarizada en sentido directo ( VBE > 0,6
V) y la unión colectora lo está en sentido inverso, la corriente inversa que circula en la unión
de colector es β veces la corriente que circula en sentido directo base emisor. Esta zona es
muy importante, puesto que el transistor funciona en ella cuando se utiliza para amplificar
señales.
Región de saturación. Ambas junturas, base-emisor y base-colector, están polarizadas en
sentido directo. La corriente base-emisor es muy grande, por lo que la corriente de colector lo
es igualmente grande. Se dice que ha entrado en saturación si el voltaje del colector es inferior
al voltaje base-emisor.
CONFIGURACIONES DEL TRANSISTOR
Configuración en emisor común
OUT
IN
Q1
NPN
Terminal de Entrada: Base
Terminal de Salida: Colector
Terminal Común: Emisor
CIRCUITOS ELECTRÓNICOS Ing. Antonio Calderón
7
Configuración en colector común
OUT
IN
Q1
NPN
Terminal de Entrada: Base
Terminal de Salida: Emisor
Terminal Común: Colector
Configuración en base común
OUTIN
Q1
NPN
Terminal de Entrada: Emisor
Terminal de Salida: Colector
Terminal Común: Base
CIRCUITOS ELECTRÓNICOS Ing. Antonio Calderón
8
DISEÑO DE AMPLIFICADORES CON TBJ
Consideraciones iniciales de diseño de amplificadores
Los datos necesarios para el diseño que nosotros debemos proponernos puesto que si el diseño
es orientado a un cliente, este no nos va a proporcionar, sino únicamente nos va a decir hacia
que aplicación esta orientado el circuito, a partir de esto nosotros debemos plantearnos los
datos o indagar al mismo cliente para de alguna manera obtenerlos
Entonces los datos necesarios para empezar con nuestro diseño son:
Ganancia (A): Se refiere a la amplificación que se desea a la salida a partir de una señal de
entrada.
Vin
Vo
A =
Son valores bajos y para el caso de diseño de una etapa de amplificación se considera como
valor máximo una ganancia de 50 puesto que cuando mayor es la ganancia la probabilidad de
inestabilidad es mayo (1 Etapa).
Voltaje de salida (Vo): voltaje que deseamos obtener a la salida
Para amplificadores de señal se manejan bajos voltajes (mV), es poco usual tener voltajes en
el orden de decenas e incluso centenas de voltios para una sola etapa.
Impedancia de entrada (Rin): Es la impedancia del amplificador que va a observar el
generador (por ejemplo un micrófono). Esta impedancia debe ser mayor o igual a más o
menos diez veces la resistencia interna del generador para obtener todo el valor de la señal a
las terminales de entrada del circuito ya que se desea amplificar toda la señal de entrada mas
no obtener máxima transferencia de potencia.
Carga (RL): Es lo que se va a conectar al amplificador a su salida. Este posee una resistencia
cuyo valor usualmente esta en las decenas de ohmios o unidades de kilo-ohmios.
β: Valor característico del transistor a ser utilizado obtenido en manuales del fabricante. El
valor de β para TBJ de señal es alto, por ejemplo utilizamos 100 que es el valor típico del
transistor 2N3904.
Frecuencia de trabajo (f): valor de frecuencia a la cual va a estar operando el circuito
amplificador.
CIRCUITOS ELECTRÓNICOS Ing. Antonio Calderón
9
DISEÑO DE AMPLIFICADOR EN EMISOR COMÚN
Circuito
En el circuito amplificador en emisor común podemos observar que la señal ingresa por la
Terminal de base y la salida esta en e Terminal de colector. Además debemos mencionar que
la señal de salida esta desfasada 180º con respecto a la señal de entrada
La regla general para obtener la ganancia en un circuito de emisor común es: “Todo lo que
está en colector para señal divido para todo lo que está en emisor para señal”.
Por lo tanto se obtiene la expresión de ganancia del circuito mostrado inicialmente:
1
||
Ee
LC
Rr
RR
A
+
=
Dado que la señal ingresa en el Terminal de la base se obtiene la expresión de la impedancia
de entrada:
TRinRRRin |||| 21=
Donde RinT es la impedancia de entrada en el transistor y es igual a (β+1) por todo lo que esta
en emisor para señal, por lo tanto:
))(1( 1EeT RrRin ++= β
R1 y R2 están en paralelo puesto que para señal Vcc es tierra. A este paralelo le podemos
representar como RB.
Obteniendo la expresión final de la impedancia de entrada:
[ ]))(1(|| 1EeB RrRRin ++= β
Para el diseño de un circuito en emisor común es necesario tener muy en cuenta que se
cumpla la condición de impedancia de entrada por lo tanto:
CIRCUITOS ELECTRÓNICOS Ing. Antonio Calderón
10
Analizando la expresión de la impedancia de entrada obtenemos que la peor condición para
que se cumpla esta es que RinT sea al menos Rin y reemplazando la ecuación de RinT
obtenemos
Rin
A
R
Rin
A
R
A
R
Rr
Rr
R
A
RRR
Rr
RR
A
RinRr
RinRin
eq
eq
eq
Ee
Ee
eq
LCeq
Ee
LC
Ee
T
)1(
:expresiónlaobtenemosquelaDe
)1(
1inecuaciónlaen2ec.ladoreemplazan
)2(
||sea
||
:gananciadeexpresiónlaDe
)1())(1(
1
1
1
1
+
≥
≥+
=+⇒
+
=
=
+
=
≥++
≥
β
β
β
De esta última expresión podemos obtener la condición de RC que nos ayudará a empezar con
nuestro diseño
Dentro del diseño también hay condiciones para evitar recortes en la señal de salida las cuales
se especifican a continuación:
Con la ayuda de las curvas características del transistor
Obtenemos la inecuación que nos evita distorsiones en la señal de salida. En la inecuación el
subíndice p indica el valor pico de la onda.
CIRCUITOS ELECTRÓNICOS Ing. Antonio Calderón
11
Vop
R
R
V
R
V
R
V
iI
eq
C
RC
eq
op
C
RC
poC
≥∴
≥
≥
La elección correcta del valor RC nos permitirá obtener valores bajos de Vcc pero corrientes
altas y viceversa
De la expresión de VRC podemos deducir:
opRC
LCLC
opRC
LC
opRC
LC
vV
RRRRSi
vV
RRSi
vV
RRSi
.10
)10(
.2
≥⇒
=>>
≥⇒
=
≥⇒
<<
Procedemos a graficar el eje vertical de voltajes
Esta gráfica nos permite observar lo que nos expresa en la inecuación y como podemos
observar el vop se refiere al del ciclo positivo
El eje vertical de voltajes nos va a ayudar a la explicación de otras condiciones para que no
exista distorsión. Por ejemplo, para asumir el voltaje emisor se puede observar en el eje que
debe ser mayor a vinp pero además se debe sumar 1 V que es por motivo de estabilidad térmica
en el circuito.
Por lo tanto se obtiene:
inpE vVV +≥1
CIRCUITOS ELECTRÓNICOS Ing. Antonio Calderón
12
Para el caso del voltaje colector – emisor en la grafica podemos observar que debe ser mayor
a la suma de vinp y vop , pero además se debe aumentar 2 V (vact) para garantizar que el
transistor trabaje en la región activa como se observa en la curva característica del TBJ.
inpactopCE vvvV ++≥
A continuación se realizará un ejercicio en el que se explicará con más detalle el
procedimiento de diseño para un amplificador en emisor común y se aclarará otros aspectos
muy importantes a considerar para el correcto funcionamiento del circuito.
Nos planteamos los siguientes datos:
A = 50
vop = 10 V
Rin ≥ 3 kΩ
RL = 2 kΩ
f= 1 kHz
β = 90
Empezamos el diseño con la ecuación de Req para obtener la condición de RC.
Ω=ΩΩ==
Ω=
Ω≥∴
Ω≥
Ω
+
≥
+
≥
kkkRRR
kRc
kR
kRR
kRR
Rin
A
R
LCeq
C
LC
LC
eq
714.12||12||
generariame
quecorrientedevaloreltambiéngastos,másimplicacualloaltomuyVccun
obtenernoparasalidadevoltajeelobservandoaresistencidevaloresteasumo;12Asumo
37.9
64.1||
3*
190
50
||
)1(β
Ya que las resistencias poseen una tolerancia los valores de las mismas van a oscilar; esto
puede ocasionar que se produzca recortes en la señal de salida por lo que se multiplica los
valores de VRC y VE por un factor de seguridad que va a depender de la tolerancia, en la
siguiente tabla se muestra el factor de seguridad junto con la tolerancia:
CIRCUITOS ELECTRÓNICOS Ing. Antonio Calderón
13
Tolerancia Factor de seguridad
10 % 1.2
20 % 1.3
30 % 1.4
En el presente ejercicio seleccionamos resistencias de tolerancia 10 %
entradadelado
condespuésysalidadeladoelconprimeroterminarrecomiendasediseñoelconcontinuardeAntes
33
circuito.deldestabilidalaconincluso
eRinaumentaraayudaqueyaaresistencilamosselecciona33dearesistencilamosSelecciona
)27y(33
estadararesistencidevaloresdosrseleccionapuedese71.3057.328.3428.34
nte.termicameestablees
queconcluyesetantolopormayormuchoesqueobservamos,rconvalorúltimoesteComparando
28.34
50
1.714k
despejandoygananciadefórmulaladepartirA
tetermicamen
estableseacircuitoelqueparaRponesequeloporratemperatulaconvariardevalorel
57.3
7
2525
tantoloporIIdeónaproximacilarealizarpodemosaltoeselqueDado
25
fórmulalamedianterrtransistodelpropioparámetroelcalcularaprocedeSe
7
12
84
84Asumimos
84
seguridaddefactorelmosmultiplicalefinalvalorestea7010
714.1
12
1
1
e
1
1
1
E1e
CE
e
C
Ω=
Ω
ΩΩ
Ω=−=−Ω=
Ω=+
Ω
==+
+
Ω===
=
=
=
Ω
==
=
≥
≥⇒
Ω
Ω
≥
≥
E
eE
Ee
eq
Ee
Ee
C
e
E
e
C
RC
C
RC
RC
RCRC
op
eq
RC
R
rR
Rr
A
R
Rr
Rr
mA
mV
I
mV
r
I
mV
r
mA
k
V
R
V
I
VV
VV
VVV
k
k
V
v
R
R
V
β
CIRCUITOS ELECTRÓNICOS Ing. Antonio Calderón
14
JBERCRCE
k
k
R
JBECERCR
B
B
C
B
CECEinpactopCE
op
inp
VVVV
RI
K
k
mA
V
I
V
R
VVVVVVVV
mAmAAIII
mAI
II
III
A
mAI
I
VVVVVVvvvV
V
V
A
v
v
+−=
=
Ω=∴
Ω===
=−+=−+=
=+=+=
=
>>
+=
===
≥⇒++≥++≥
===
Ω
Ω
1
CE
11R1
1
1
120
100
1
1
1
1
21
2
B2
2
B2B
21
2211
21
E
CE
CE
CE
VdevalornuevoelcalculaseY
.V
:calcularacede
-proseyRnuevounasumesecumpla,senoquedecasoelesSi.impedanciadecondiciónlalograr
parasatisfaceravasitantolopormayordacasonuestroenpedida,condiciónlalograravamosno
Rinamenordasiqueyaentrada,deimpedanciaconcumplearesistenciestasiobsevarDebemos
120R
.ónpolarizacidestabilidalaafectarpuede
queyaestoproducequecorrientelacuentaentengamosademasyescogidaaresistencilade
toleracialadedentroestacalculadaaresistenciladevalorelsiquededependeselecciónLa
47.112
85.0
6.95
6.956.02.1284
85.0777.077
777.0
ónpolarizacidedEstabilida
:hacesetantoloporcombienenosnoquehechosalidade
ladodelticascaracteríslastodasvariandovariableseabaseladevoltajeelquehaciendoIde
cambiosproduciráIdeesvariacionlasIconcomparableesIsiobservar,podemosComo
RporcirculaquecorrientelaIyRporcirculaquecorrientelaISea
77
90
7
relaciónlautilizamosesoparaentradadeladodeldiseñoalpasamosAhora
Rindeecuaciónladedentroestanquelesson variabque)Ry(Rbaselaen
hayqueloyemisorelenhayqueloderelacionestrechaunahayqueyacumpliravasenoRinde
condiciónlaqueyadedujosequeinecuaciónlaconVdevalorelasumesenoejercicioesteEn
VmayordertransistootrorseleccionaessoluciónLao.dispositivelendañoscausarpuedeeste
asuperacalculoelensiqueya,VdertransistodelticocaracterísvalorelobservarqueHay
condición.laespecificaquemínimovalorelcumpleseyayVaenviasesobranteelVccde
valorelaumentasesiqueYaseguridad.defactorelporemultipliqusequeopcionalesvalorEste
2.122.0210;
2.0
50
10
μ
μ
β
CIRCUITOS ELECTRÓNICOS Ing. Antonio Calderón
15
Ω=ΩΩΩ==
=
=++=++=
Ω=
Ω=Ω−Ω=−=
Ω===
=−=−=
=Ω==
Ω=
Ω≥
+≥
=
≥≥⇒+≥
+≥
=−=−=
=Ω==
Ω≥
Ω≥
Ω≥
Ω=Ω+Ω=++=
Ω
Ω
kkkkRinRRRin
VVVVVVVVcc
kR
kkRRR
k
mA
V
I
V
R
VVVVV
VkmARIV
kR
kR
vVV
V
NecesarioVV
VVVVVVV
vVV
VVVVV
VkmARIV
kR
KRinRR
kRin
kRrRin
T
RCCEE
E
k
kEETE
E
E
ET
JBEB
B
inpE
E
E
EEE
inpE
JBEB
B
T
EeT
01.33.3||47||120||||
Vaenvioexcesoel135VVccElijo
12.132842.1292.35
7.4
09.53313.5
13.5
7
92.35
92.356.052.36V
52.3647*77.0.
47Elegimos
48.40condiciónlaDe
)1(necesarioVdesdeanálisiselparteseVloscumplesenoSi
Rin.concumplirparasuperiorinmediatoRdevalorel
elegiraprocedesetantolopornecesario'elconcumpleVobservarpodemosComo
)(44.1'
44.1seguridaddefactorporndomultiplica2.12.01
1
VAsumo
85.306.045.31V
45.3148.40*77.0.
VcalculoRdemínimovalorelcon
48.40obtengo
3||||
3inicialcondiciónlaDe
33.3)3357.3)(91())(1(
21
CE
2
6.5
7.412
E
22
2
2
EEmin
2
minEmin
min
E
minEmin
22min
Bmin2
2
21
1β
La razón por la que da Vcc excesivamente alto es que los valores de Rc son mayores a RL.
Calculo de Capacitores
El objetivo de los capacitores es controlar el flujo y rechazo de voltajes alternos y voltajes continuos
respectivamente (capacitor acopla señal y desacopla continua). Esta deducción de las fórmulas se
aplica a cualquier configuración
Capacitor de Base (capacitor de entrada)
Vo
Rin
CB
+
-
Vin
VinVo
Rinf
CRinX
Vin
XRin
Rin
V
BB
B
o
=∴
>>⇒<<
+
=
min..2
1
Si
π
CIRCUITOS ELECTRÓNICOS Ing. Antonio Calderón
16
En el ejemplo
FC
nFC
kkHz
C
Rinf
C
B
B
B
B
μ
π
π
1
87.52
01.3*1..2
1
..2
1
min
=
>>
Ω
>>
>>
La deducción de la expresión de los capacitores se la puede realizar con la fórmula de la ganancia o
con la de impedancia tomando en cuenta en la expresión la reactancia capacitiva
Capacitor de Colector (capacitor de salida)
( )
L
C
Ee
LC
LC
Ee
LCC
Rf
C
Rr
RR
ARX
Rr
RXR
A
min
1
1
..2
1
||
Si
||
π
>>∴
+
=⇒<<
+
+
=
En el ejemplo
FC
nFC
kkHz
C
Rf
C
B
B
B
L
C
μ
π
π
1
6.79
2*1..2
1
..2
1
min
=
>>
Ω
>>
>>
Capacitor de Emisor
( )1min2min
1
1
1
2
21
..2
1
..2
1
Si
Si
)||(
Ee
E
E
E
Ee
eq
EeE
EEe
eq
EE
EEEe
eq
Rrf
C
Rf
C
Rr
R
ARrX
XRr
R
ARX
RXRr
R
A
+
>>∧>>∴
+
=⇒+<<
++
=⇒<<
++
=
ππ
En el ejemplo
CIRCUITOS ELECTRÓNICOS Ing. Antonio Calderón
17
( )
( )
FC
FCnFC
kHz
C
kkHz
C
Rrf
C
Rf
C
E
EE
EE
Ee
E
E
E
μ
μ
ππ
ππ
47
35.486.33
3357.31..2
1
7.4*1..2
1
..2
1
..2
1
1min2min
=
>>∧>>
Ω+Ω
>>∧
Ω
>>
+
>>∧>>
CIRCUITOS ELECTRÓNICOS Ing. Antonio Calderón
18
DISEÑO DE AMPLIFICADOR EN BASE COMÚN
Circuito
En el circuito amplificador en base común podemos observar que la señal ingresa por la
Terminal de emisor y la salida esta en el Terminal de colector. La característica de este
circuito es que la señal de salida esta en fase a la señal de entrada.
La regla general para obtener la ganancia en un circuito en base común es: “Todo lo que está
en colector para señal divido para todo lo que está en desde el punto de ingreso hacia
emisor para señal”.
Por lo tanto se obtiene la expresión de ganancia del circuito mostrado inicialmente:
1
||
Ee
LC
Rr
RR
A
+
=
Como el capacitor CB es cortocircuito para señal las resistencias R1 y R2 no están en la
fórmula de la ganancia
Dado que la señal ingresa por el emisor se obtiene la expresión de la impedancia de entrada:
( )12 || EeE RrRRin +=
En el diseño de un amplificador en base común la impedancia de entrada no es un dato ya que
es muy baja en estos circuitos y es difícil alcanzar altos niveles de este parámetro.
CIRCUITOS ELECTRÓNICOS Ing. Antonio Calderón
19
Ejercicio
En el siguiente circuito obtenga la ecuación de la ganancia e impedancia de entrada.
Recordemos la regla para obtener la ganancia “Todo lo que está en colector para señal divido
para todo lo que está en desde el punto de ingreso hacia emisor para señal”
Lo que esta en colector para señal: RC||RL
Lo que esta desde el punto de ingreso hacia emisor para señal: re+[(R1||R2)/(β+1)], el factor
1/(β+1) esta presente cuando se toma valores de la base vistos desde el emisor
Por lo tanto la ganancia es igual a:
1
||
||
21
+
+
=
β
RR
r
RR
A
e
LC
Para el caso de la impedancia de entrada observamos el circuito y obtenemos que:
⎟⎟
⎠
⎞
⎜⎜
⎝
⎛
+
+=
1
||
|| 21
β
RR
rRRin eE
Condiciones de diseño
Siguiendo con el procedimiento de diseño para esta configuración, se inicia asumiendo la
resistencia RC y asumiendo el valor de VRC con la misma condición demostrada en el diseño
de emisor común para evitar distorsiones en la señal de salida.
LCeq
op
eq
C
RC
RRR
v
R
R
V
||siendo =
≥
La elección correcta del valor RC nos permitirá obtener valores bajos de Vcc pero corrientes
altas y viceversa
CIRCUITOS ELECTRÓNICOS Ing. Antonio Calderón
20
Con la ayuda del eje vertical de voltajes para esta configuración, obtenemos las condiciones
para asumir VRE2 que es el voltaje de ingreso en este circuito y el VCE.
Por lo tanto
inpE vVV +≥1
actopCE vvV +≥
La presencia de 1V y vact en VE y VCE respectivamente son por las mismas razones expuestas
en el circuito de emisor común
Las condiciones a cumplir referentes a estabilidad térmica y de polarización son las mismas.
En el siguiente ejercicio se explicará el procedimiento de diseño para un amplificador en base
común con las siguientes condiciones.
A = 10
vo = 5 V
RL = 5.6 kΩ
f = 20 Hz – 20 kHz
βmin = 80
El circuito a diseñar es el mostrado al inicio de este tema ya que ofrece mayor estabilidad que
el mostrado en el ejercicio de ganancias e impedancias porque no depende de dos parámetros
propios del transistor
CIRCUITOS ELECTRÓNICOS Ing. Antonio Calderón
21
Como el diseño no contiene Rin el proceso es más sencillo.
Ω=ΩΩ==
Ω=
kkkRRR
kRc
LCeq 58.16.5||2.2||
Ryaltomuy
Vccunobtenernoparasalidadevoltajeelobservandovaloresteasumo;2.2Asumo
L
Asumimos resistencias de tolerancia 20 %, por lo tanto factor de seguridad de 1.3
nte.termicameestablees
queconcluyesetantolopormayormuchoesqueobservamos,rconvalorúltimoesteComparando
158
10
1.58k
81.5
3.4
2525
3.4
2.2
5.9
5.9Asumimos
05.9seguridaddefactorelpordomultiplica96.65
58.1
2.2
e
1
1
Ω=+
Ω
==+
Ω===
⇒=
=
Ω
==
=
≥≥⇒
Ω
Ω
≥
≥
Ee
eq
Ee
C
e
EC
C
RC
C
RC
RCRCRC
op
eq
C
RC
Rr
A
R
Rr
mA
mV
I
mV
r
altoesxqII
mA
k
V
R
V
I
VV
VVVVV
k
k
V
v
R
R
V
β
Ω=
Ω=−=−Ω=
150
19.15281.5158158
1
1
E
eE
R
rR
CIRCUITOS ELECTRÓNICOS Ing. Antonio Calderón
22
( ) ( )
( ) ( ) Ω=Ω+ΩΩ=+=
Ω=∴
Ω=
−
=
−
=
Ω=∴
Ω=
+
=
+
==
=+=+=
=
>>
===
=∴
=++=++=
=Ω+Ω=+=
Ω=
Ω===
=
≥≥⇒+≥⇒+≥
≥⇒+≥+≥
===
Ω
Ω
Ω
Ω
11715081.5||470||
circuito.aldestabilidamayorofrece
ellasdecualyatoleranciladeinfluencialaenbasanseasresistencilasdeeleccióndecriteriosLos
27
4.28
59.0
26.320
6.5
6
537.0
6.066.2
59.05375.075.53
5375.0
ónpolarizacidedEstabilida
75.53
80
3.4
relaciónlautilizamosesoparaentradadeladodeldiseñoalpasamosAhora
activareg,laenesteTBJelquemásasegurarparaVaenvioexcesoel20
16.195.9766.2
66.24701503.4
470
12.465
3.4
2
2
95.1Vseguridaddefactorelpor5.1V5.01V1V
725;
5.0
10
5
12
1
33
27
2
1
2
8.6
6.5
22
2
21
2
B2
CE
21
2
2
2
2
RE2RE2RE2RE2
EeE
k
k
B
k
k
JBEEB
B
C
B
RCCEE
EEEE
E
E
RE
E
RE
inp
CECEactopCE
op
inp
RrRRin
kR
k
mA
VV
I
VVcc
R
kR
k
mA
VV
I
VV
I
V
R
mAmAAIII
mAI
II
A
mAI
I
VVcc
VVVVVVVVcc
VmARRIV
R
mA
V
I
V
R
VV
VVVVvV
VVVVVvvV
V
V
A
v
v
μ
μ
β
Calculo de Capacitores
Son las mismas condiciones para el caso de los capacitores de entrada y salida para el de base se
realizará el respectivo análisis. Al inicio del ejercicio da un rango de frecuencia. La frecuencia
utilizada para el calculo es la frecuencia de trabajo fijada en nuestro ejemplo como 1 kHz
Capacitor de Emisor (capacitor de entrada)
Rinf
CRinX EE
min..2
1
π
>>⇒<<
CIRCUITOS ELECTRÓNICOS Ing. Antonio Calderón
23
En el ejemplo
FC
FC
kHz
C
Rinf
C
E
E
E
E
μ
μ
π
π
18
36.1
117*1..2
1
..2
1
min
=
>>
Ω
>>
>>
Capacitor de Colector (capacitor de salida)
L
C
LC
Rf
C
RX
min..2
1
π
>>∴
<<
En el ejemplo
FC
nFC
kkHz
C
Rf
C
B
B
B
L
C
μ
π
π
47.0
42.28
6.5*1..2
1
..2
1
min
=
>>
Ω
>>
>>
Capacitor de Base
Para obtener la condición de este capacitor vamos a emplear la formula de impedancia considerando
XB
( )
( )( )1..2
1
..2
1
||
1
Si
1
||Si
||
1
||
||
1minmin
121
12
2112
++
>>∧>>∴
+=⇒+<<
+
⎟⎟
⎠
⎞
⎜⎜
⎝
⎛
+
++=⇒<<
=⎟⎟
⎠
⎞
⎜⎜
⎝
⎛
+
++=
βππ
β
β
β
Ee
B
B
B
eEEEe
B
B
eEEBB
B
BB
eEE
Rrf
C
Rf
C
rRRRinRr
X
X
rRRRinRX
RRR
XR
rRRRin
En el ejemplo
( )( )
( ) ( )
FC
nFCnFC
kHz
C
kkkHz
C
Rrf
C
Rf
C
B
BB
BB
Ee
B
B
B
μ
ππ
βππ
47.0
61.1231.34
15081.5*81*1..2
1
6.5||27*1..2
1
1..2
1
..2
1
1minmin
=
>>∧>>
Ω+Ω
>>∧
ΩΩ
>>
++
>>∧>>
CIRCUITOS ELECTRÓNICOS Ing. Antonio Calderón
24
DISEÑO DE AMPLIFICADOR EN COLECTOR COMÚN
Circuito
En el circuito amplificador en base común podemos observar que la señal ingresa por la base
y la salida esta en el emisor. Este circuito también es conocido como seguidor emisor. La
característica de este circuito es que la ganancia no es mayor que 1.
La regla general para obtener la ganancia en un circuito en colector común es: “Todo lo que
está en emisor desde el punto de salida a tierra dividido para todo lo que está en emisor”.
Por lo tanto se obtiene la expresión de ganancia del circuito mostrado inicialmente:
eqe
eq
LEe
LE
Rr
R
RRr
RR
A
+
=
+
=
||
||
Ejemplo de obtención de la ganancia: en la gráfica aparece solo la parte del circuito que
corresponde al emisor.
CIRCUITOS ELECTRÓNICOS Ing. Antonio Calderón
25
La fórmula de la ganancia entonces es:
LEEe
LE
RRRr
RR
A
||
||
21
2
++
=
Continuando con el diseño en colector común. Dado que la señal ingresa por la base se
obtiene la expresión de la impedancia de entrada similar a la configuración en emisor común.
TRinRRRin |||| 21=
Donde RinT es la impedancia de entrada en el transistor y es igual a (β+1) por todo lo que esta
en emisor para señal, por lo tanto:
)||)(1( LEeT RRrRin ++= β
El paralelo entre R1 y R2 denominamos RB y el paralelo entre RE y RL denominamos Req
Obteniendo la expresión final de la impedancia de entrada:
[ ]))(1(|| eqeB RrRRin ++= β
Para el diseño de un circuito en colector común es necesario tener muy en cuenta que se
cumpla la condición de impedancia de entrada por lo tanto:
Analizando la expresión de la impedancia de entrada obtenemos que la peor condición para
que se cumpla esta es que RinT sea al menos Rin y reemplazando la ecuación de RinT
obtenemos
CIRCUITOS ELECTRÓNICOS Ing. Antonio Calderón
26
)1(
tantolopor1AqueescondiciónpeorLa
)1(
:expresiónlaobtenemosquelaDe
)1(
1inecuaciónlaen2ec.ladoreemplazan
)2(
||donde
:gananciadeexpresiónlaDe
)1())(1(
+
≥
=
+
≥
≥+
=+
=
+
=
≥++
≥
β
β
β
β
Rin
R
Rin
A
R
Rin
A
R
A
R
Rr
RRR
Rr
R
A
RinRr
RinRin
eq
eq
eq
eq
eqe
LEeq
eqe
eq
eqe
T
De esta última expresión podemos obtener la condición de RE que nos ayudará a empezar con
nuestro diseño
Al igual que con la configuración en emisor común hay que evitar recortes de la señal,
Como en la configuración en emisor común a partir de las curvas características del transistor
obtenemos lo siguiente:
Vop
R
R
V
VV
R
V
R
V
iI
eq
E
E
ERE
eq
op
E
RE
poE
≥∴
=
≥
≥
Del eje vertical de voltajes obtenemos el VCE.
actopCE vvV +≥
CIRCUITOS ELECTRÓNICOS Ing. Antonio Calderón
27
A continuación se realizará un ejercicio en el que se explicará con más detalle el
procedimiento de diseño para un amplificador en colector común.
Nos planteamos los siguientes datos:
vop = 3V
Rin ≥ 6 kΩ
RL = 3.9 kΩ
f= 1 kHz
β = 100
Empezamos el diseño con la ecuación de Req para obtener la condición de RC.
Ω=ΩΩ==
∞→∞→
Ω=
Ω≥∴
Ω≥
+
Ω
≥
+
≥
5.3549.3||390||
subeVccmuchoalejamosnossibién
-tamperoVcctantoloporyRmínimoelseleccionosiquecuenta
eny teniendosalidadevoltajeelobservandoaresistencidevaloresteasumo;390Asumo
94.60
60||
1100
6
||
)1(
B
kRRR
R
R
RR
k
RR
Rin
R
LEeq
E
E
LE
LE
eq
β
En el presente ejercicio seleccionamos resistencias de tolerancia 10 %
ejerciciopresente
elencumplesicuallorRcomparamostérmicadestabilidahayquecomprobarPara
44.2
25.10
2525
fórmulalamedianterrtransistodelpropioparámetroelcalcularaprocedeSe
25.10
390
4
4Asumimos
96.3seguridaddefactorpor3.33
5.354
390
eeq
e
E
>>
Ω===
=
Ω
==
=
≥≥⇒
Ω
Ω
≥
≥
mA
mV
I
mV
r
mA
V
R
V
I
VV
VVVVVV
v
R
R
V
E
e
E
RE
E
RE
REEE
op
eq
RE
Del no cumplir la estabilidad térmica asumimos nuevo re tal que cumpla y recalculamos IE y
VRE igual procedimiento se realiza en las anteriores configuraciones pero con IC y VRC
CIRCUITOS ELECTRÓNICOS Ing. Antonio Calderón
28
gananciadefórmulalaenconstaquearesistencilasoloACpara
yDCparanfuncionarasoloserieenasresistencidoslaspuestocapacitorunconectamos
paraleloenyRaserieenaresistenciunaoriginalcircuitoalaumentaressoluciónla
teinicialmencalculadoRdevalormismoeldejaryrecalculosloshaceravolvernoPara
69.1
25.10
4.17
4.176.018
VdevalornuevoelcalculoR2yR1devaloreslosderealizadocambioelCon
38
8.378.1918
8.1918*1.1*
1818*1*
18
84.15*2
queconcluyoRdepartirayigualessonRyRqueAsumiendo
92.7
seguridadporatolerancidemáximopuntoelporvalorestendomultiplica2.7
||6||
6
05.36)5.35444.2(*101))(1(
tantoloporRinconcumplanbaseladeasresistencilasqueobservarquetenemosPero
6.4
1
6.04
1.1149.101
1
ónpolarizacidedEstabilida
49.101
101
25.10
1
E
E
E
1
111
22
21
18
15
21
B21
21
22
2
21
2
B2
Ω===∴
=−=−=
=
=+=+=
=Ω==
=Ω==∴
Ω==⇒
Ω===
Ω≥⇒
Ω≥
=Ω≥
Ω≥
Ω=+=++=
Ω=
+
=
+
==
=+=+=
=
>>
==
+
=
Ω
Ω
k
mA
V
I
V
R
VVVVVV
VVcc
VVVVVVcc
VkmARIV
VkmARIV
kRR
kRRR
kR
kR
RRRkRinR
kRin
kRrRin
k
mA
VV
I
VV
I
V
R
mAmAAIII
mAI
II
A
mAI
I
E
E
ET
JBEBE
RB
R
B
k
k
B
B
B
BTB
eqeT
JBEEB
B
E
B
β
μ
μ
β
El cambio realizado es:
CIRCUITOS ELECTRÓNICOS Ing. Antonio Calderón
29
Ω=ΩΩΩ==
∴=−=−=
≥+≥+≥
=
Ω+Ω
Ω
=
+
=⇒
Ω=
Ω=Ω−Ω=−=→+=
kkkkRinRRRin
VVVVVccV
VVVVVvvV
RRr
RR
A
kR
kkRRRRRR
T
ECE
CECEactopCE
LEe
LE
E
EETEEEET
2.705.36||18||18||||
necesarioVconCumploTengo6.204.1738
Necesario523
993.0
5.35444.2
5.354
||
||
2.1
3.139069.1
seráRdevalorEl
21
CE
1
1
2
1221
E2
Calculo de Capacitores
Capacitor de Base (capacitor de entrada)
Rinf
CRinX BB
min..2
1
π
>>⇒<<
En el ejemplo
FC
nFC
kkHz
C
Rinf
C
B
B
B
B
μ
π
π
47.0
1.22
2.7*1..2
1
..2
1
min
=
>>
Ω
>>
>>
Capacitor de Emisor (1) (capacitor de salida)
L
E
LE
Rf
C
RX
min
1
1
..2
1
π
>>∴
<<
En el ejemplo
FC
nFC
kkHz
C
Rf
C
B
B
B
L
E
μ
π
π
47.0
8.40
9.3*1..2
1
..2
1
min
1
=
>>
Ω
>>
>>
CIRCUITOS ELECTRÓNICOS Ing. Antonio Calderón
30
Capacitor de Emisor (2)
( )( )
( )
1min
2
2min
2
1
1
12
1
21
22
1
221
..2
1
..2
1
||
||
Si
||
||
Si
||
||||
E
E
E
E
LEe
EL
EE
LEe
EEL
EE
LEe
EEEL
Rf
C
Rf
C
RRr
RR
ARX
RRr
XRR
ARX
RRr
XRRR
A
ππ
>>∧>>∴
+
=⇒<<
+
+
=⇒<<
+
+
=
En el ejemplo
FC
nFCnFC
kHz
C
kkHz
C
Rf
C
Rf
C
E
EE
EE
E
E
E
E
μ
ππ
ππ
7.4
08.40863.132
390*1..2
1
2.1*1..2
1
..2
1
..2
1
1min2min
=
>>∧>>
Ω
>>∧
Ω
>>
>>∧>>
CIRCUITOS ELECTRÓNICOS Ing. Antonio Calderón
31
CIRCUITOS DE ALTA IMPEDANCIA DE ENTRADA
Se crea la necesidad de tener circuitos que proporcionen una alta impedancia de entrada para
poder ser conectados a generadores y que toda la señal sea amplificada.
Entre los dispositivos electrónicos que proporcional alta impedancia de entrada están:
• FET’s (Rin = ∞ idealmente)
• Amplificador Operacional (Rin = ∞ idealmente)
• Tubos de vacío
• TBJ (dependiendo de la configuración)
Entre los circuitos electrónicos que proporcional alta impedancia de entrada están:
• Emisor y Colector común
• Circuitos de Autolevación (Emisor y Colector común)
• Circuitos Darlington
En este tema vamos a estudiar los Circuitos de Autolevación (Emisor y Colector común) y
Circuitos Darlington
CIRCUITOS DE AUTOELEVACIÓN
Emisor Común con Autoelevación
Circuito
1
3 2
+V
Vcc
+
C
Q1
+
-
Vin
+
CE
+
CC
+
CB
R
RL
RE2
RE1
R2
RCR1
+V
Vcc
+
C
Q1
+
-
Vin
+
CE
+
CC
+
CB
R
RL
RE2
RE1
R2
RCR1
Tenemos el siguiente análisis del circuito considerando todos los capacitores en cortocircuito:
CIRCUITOS ELECTRÓNICOS Ing. Antonio Calderón
32
inTin
R
Bin
BEeEeinT
inTEBinTEin
RR
R
i
vv
Cvv
vv
Cvv
RRrRRRrR
RRRRRRRRRR
=∴
∞=→
=→
=∴
=
=
=
++=++=
+=+=
0
:quetenemosseñalparaEntonces
itocortocircu
emisorSeguidor
itocortocircu
gráficaladel3y21,puntoslosenvoltajeelanalizaravamoslseñaenanálisiselPara
))(1())(1(
)()(
31
23
12
1
1211
1121
ββ
En este circuito, como característica importante es que la impedancia de entrada ya no
depende de RB subiendo los niveles de Rin.
Una gran ventaja es que los voltajes Vcc son más bajos.
Desde el punto de vista teórico se puede asumir el valor mínimo de RC.
Resulta más sencillo el diseño ya que se puede asumir VE y no va influir en la impedancia de
entrada. A continuación se presenta un ejemplo de diseño.
Ejercicio
A = 20
vop = 1V
RL = 2.7 kΩ
Rin ≥ 10kΩ
f = 1 kHz
β = 100
+V
Vcc
+
C
Q1
+
-
Vin
+
CE
+
CC
+
CB
R
RL
RE2
RE1
R2
RCR1
Empezamos el diseño con la ecuación de Req para obtener la condición de RC.
CIRCUITOS ELECTRÓNICOS Ing. Antonio Calderón
33
ç
Ω=ΩΩ==
Ω=
Ω≥∴
Ω≥
Ω≥
+
≥
kkkRRR
kRc
kR
kRR
kRR
Rin
A
R
LCeq
C
LC
LC
eq
03.27.2||2.8||
gastos.másimplicacualloaltomuyVccun
obtenernoparasalidadevoltajeelobservandoaresistencidevaloresteasumo;2.8Asumo
43.7
98.1||
10*
101
20
||
)1(β
Asumimos resistencias de tolerancia 10 %
( )
( ) Ω=
Ω
==+
=
+
=
Ω===
=
Ω
==
=
≥≥⇒
Ω
Ω
≥
≥
5.101
20
03.2
||
||donde;
||
41
609.0
2525
609.0
2.8
5
5Asumimos
84.4seguridaddefactorpor03.41
03.2
2.8
1
21
1
C
k
A
R
RRr
RRR
RRr
R
A
mA
mV
I
mV
r
mA
k
V
R
V
I
VV
VVVVV
k
k
V
v
R
R
V
eq
BEe
B
BEe
eq
E
e
C
RC
C
RC
RCRCRC
op
eq
RC
CIRCUITOS ELECTRÓNICOS Ing. Antonio Calderón
34
JBER
7.2
2.2
R
RB
R
21
2
B2
CE
EEEE
E
1
e
e
VquemenormuchoaunseaVqueparamenorelseleccionase2.2
4.2
05.0
06.0V
R
R,devalorelobtengoVyIdatoslosconEntonces
06.0
V
condición
siguientelaplanteaseestolograrPararealizado.epreviamentdiseñoalafectenoyconstantesemisor
elenvoltajeelmantenerparalesdespreciabserdebenRaresistencilaenvoltajedelesvariacionLas
275.025.0025.0
25.0
ónpolarizacidedEstabilida
025.0
100
5.2
relaciónlautilizamosesoparaentradadeladodeldiseñoalpasamosAhora
activareg,laenesteTBJelquemásasegurarparaVaenvioexcesoel26
55.255.2005.32
05.305.021;
800
5.2
2
2
26.1Vseguridaddefactorelpor05.1V05.01V1V
Rin.devalornuestro
afectequesinVdevalorelasumirpodemosiónautoelevacconrealizandoestamoscomoAhora
05.0
20
1
5.91105.1015.101||
5.202.8*5.2*
5.2
10
2525
10
rnuevoasumimoscorregirparante,termicameestable
esnoquelopormayormuchoesnoqueobservamos,rconvalorúltimoesteComparando
Ω=∴
Ω===
=∴
<<
=+=+=
=
>>
===
=∴
=++=++=
≥⇒++≥++≥
Ω===
=
≥≥⇒+≥⇒+≥
===
Ω=Ω−Ω=−Ω=
=Ω==
=
Ω
==
Ω=
Ω
Ω
kR
k
mA
V
I
VV
V
mAmAmAIII
mAI
II
mA
mAI
I
VVcc
VVVVVVVVcc
VVVVVvvvV
mA
V
I
V
R
VV
VVVVvV
V
V
A
v
v
rRR
VKmARIV
mA
mV
r
mV
I
r
k
k
B
R
JBE
B
C
B
RCCEE
CECEinpactopCE
E
E
ET
E
inp
op
inp
eBE
CCRC
e
C
e
β
CIRCUITOS ELECTRÓNICOS Ing. Antonio Calderón
35
Ω=ΩΩ+=++=
=
Ω=∴
Ω=Ω−Ω=−=
Ω=∴
Ω=
Ω=
Ω=ΩΩ==
Ω=∴
Ω=
−
=
−
=
Ω=∴
Ω=
++
=
++
==
Ω
Ω
Ω
Ω
kkRRrRin
RinRin
R
RRR
R
R
RR
kkkRRR
kR
k
mA
VV
I
VVcc
R
kR
k
mA
VVV
I
VVV
I
V
R
BEe
T
E
EETE
E
E
BE
B
k
k
B
RJBEEB
1.10)91.8||9110(101)||)(1(
iónAutoelevac
680
70991800
91
44.92
5.91||
91.810||82||
82
87.84
275.0
66.226
10
64.10
25.0
06.06.02
1
2
750
68012
1
1
1
21
1
91
82
1
1
2
22
2
β
Calculo de Capacitores
Capacitor de entrada)
FC
nFC
kkHz
C
Rinf
C
RinX
B
B
B
B
B
μ
π
π
47.0
75.15
1.10*1..2
1
..2
1
min
=
>>
Ω
>>
>>
<<
Capacitor de salida
FC
nFC
kkHz
C
Rf
C
RX
B
B
B
L
C
LC
μ
π
π
1
94.58
7.2*1..2
1
..2
1
min
=
>>
Ω
>>
>>
<<
Capacitor de Emisor
( )
( )
FC
FCnFC
kHz
C
kHz
C
Rrf
C
Rf
C
RrXRX
E
EE
EE
Ee
E
E
E
EeEEE
μ
μ
ππ
ππ
22
58.1234
91101..2
1
680*1..2
1
..2
1
..2
1
1min2min
12
=
>>∧>>
Ω+Ω
>>∧
Ω
>>
+
>>∧>>
+<<∧<<
Capacitor de autoelevación (C)
( )( )
( )
B
BEe
eq
B
BEe
eq
Rf
C
RRr
R
ARX
RXRr
R
A
..2
1
||
Si
||
min
1
1
π
>>
+
=→<<
++
=
CIRCUITOS ELECTRÓNICOS Ing. Antonio Calderón
36
En el ejemplo
FC
nFC
kkHz
C
Rf
C
RX
B
B
B
B
B
μ
π
π
22.0
86.17
91.8*1..2
1
..2
1
min
=
>>
Ω
>>
>>
<<
Colector Común con Autoelevación
Circuito
3 2
1
+V
Vcc
+
C
Q1
+
-
Vin
+
CE
+
CB
R
RLRE
R2
R1
Tenemos el siguiente análisis del circuito considerando todos los capacitores en cortocircuito:
inTin
R
Bin
BLEeinT
inTeqBinTLEin
RR
R
i
vv
Cvv
vv
Cvv
RRRrR
RRRRRRRRRRR
=∴
∞=→
=→
=∴
=
=
=
++=
+=+=
0
:quetenemosseñalparaEntonces
itocortocircu
emisorSeguidor
itocortocircu
gráficalade3y21,puntoslosenvoltajeelanalizaravamosseñalenanálisiselPara
))(1(
)()(
31
23
12
1
21
β
Tenemos entonces las mismas características que en el circuito emisor común con
autoelevación pero en este caso la ganancia de este circuito es menor o igual a 1. Entonces
este circuito lo podemos emplear como acoplador de impedancias.
CIRCUITOS ELECTRÓNICOS Ing. Antonio Calderón
37
Ejercicio
vop = 1V
RL = 4.7 kΩ
Rin ≥ 10kΩ
f = 1 kHz
β = 100
+V
Vcc
+
C
Q1
+
-
Vin
+
CE
+
CB
R
RLRE
R2
R1
Ω=ΩΩ==
Ω=
Ω≥⇒
Ω≥∴
=≈→
>>
Ω≥
Ω
≥
+
≥
11.3607.4||390||
390Asumo
13.101
99
||;'
)||(Si
99||||
101
10
'
)1(
'
kRRR
R
R
kR
RRRRR
RRR
RRR
k
R
Rin
R
LEeq
E
E
eq
ELeqeqeq
ELB
BLE
eq
eq
β
Asumimos resistencias de tolerancia 10 %
VVVVVVcc
VVVVVvvV
Rr
mA
mV
I
mV
r
mA
V
R
V
I
VVV
VVVVVV
v
R
R
V
ECE
CECEactopCE
eqe
E
e
E
E
E
ERE
RCRCRC
op
eq
RE
532
321;
tetermicamen
estableesquelopormayormuchoesqueobservamos,rconvalorúltimoesteComparando
99.39411.360875.4
875.4
13.5
2525
13.5
390
2
2Asumimos
29.1seguridaddefactorpor08.11
11.360
390
e
E
=+=+=
≥⇒+≥+≥
Ω=Ω+Ω=+
Ω===
=
Ω
==
==
≥≥⇒
Ω
Ω
≥
≥
CIRCUITOS ELECTRÓNICOS Ing. Antonio Calderón
38
Ω=ΩΩ+Ω=++=
=
Ω=ΩΩ==
Ω=∴
Ω=
−
=
−
=
Ω=∴
Ω=
++
=
++
==
Ω=∴
Ω===
=∴
<<
=+=+=
=
>>
==
+
=
=
kkRRrRin
RinRin
kkkRRR
kR
k
mA
VV
I
VVcc
R
kR
k
mA
VVV
I
VVV
I
V
R
kR
k
mA
V
I
VV
V
mAmAmAIII
mAI
II
mA
mAI
I
VVcc
Beqe
T
B
B
RJBEEB
B
R
JBE
B
E
B
7.32)8.2||11.360875.4(101)||)(1(
iónAutoelevac
8.26.5||6.5||
6.5
65.5
561.0
66.26
6.5
2.5
51.0
06.06.02
2.1
18.1
051.0
06.0V
R
R,devalorelobtengoVyIdatoslosconEntonces
06.0
V
condición
siguientelaplanteaseestolograrPararealizado.epreviamentdiseñoalafectenoyconstanteemisor
elenvoltajeelmantenerparalesdespreciabserdebenRaresistencilaenvoltajedelesvariacionLas
561.051.0051.0
51.0
ónpolarizacidedEstabilida
051.0
101
13.5
1
relaciónlautilizamosesoparaentradadeladodeldiseñoalpasamosAhora
activareg,laenesteTBJelquemásasegurarparaVaenvioexcesoel6
21
1
1
1
2
22
2
R
RB
R
21
2
B2
CE
β
β
Calculo de Capacitores
Capacitor de entrada)
FC
nFC
kkHz
C
Rinf
C
RinX
B
B
B
B
B
μ
π
π
1.0
86.4
7.32*1..2
1
..2
1
min
=
>>
Ω
>>
>>
<<
Capacitor de salida
FC
nFC
kkHz
C
Rf
C
RX
B
B
B
L
C
LC
μ
π
π
47.0
86.33
7.4*1..2
1
..2
1
min
=
>>
Ω
>>
>>
<<
CIRCUITOS ELECTRÓNICOS Ing. Antonio Calderón
39
Capacitor de autoelevación (C)
FC
nFC
kkHz
C
Rf
C
RX
B
B
B
B
B
μ
π
π
68.0
84.56
8.2*1..2
1
..2
1
min
=
>>
Ω
>>
>>
<<
CIRCUITO DARLINGTON
Una conexión muy popular de dos TBJ para operar como un transistor con “superbeta” es la
conexión Darlington, mostrada en la siguiente figura.
= B
E
C
QD
NPN
B
E
C
Q2
NPN
Q1
NPN
B
E
C
QD
NPN
B
E
C
Q2
NPN
Q1
NPN
La principal característica de la conexión Darlington es que el transistor compuesto actúa
como una unidad simple con una ganancia de corriente que es el producto de las ganancias de
corriente de los transistores individuales.
La conexión Darlington de transistores proporciona un transistor que cuenta con una ganancia
de corriente muy grande, por lo general en el orden de los miles
Existen transistores Darlington encapsulados en el mercado en los cuales internamente ya esta
realizada la conexión de los dos transistores. Como por ejemplo el ECG268 (NPN) y el
ECG269 (PNP)
Fórmulas importantes para transistores Darlington
IE1=IB2
IE2
IB1
B
E
C
Q2
NPN
Q1
NPN
CIRCUITOS ELECTRÓNICOS Ing. Antonio Calderón
40
( )
( ) ( )( )
( )( )
( )
( )
EE
e
ee
E
e
B
e
BE
E
e
e
e
B
B
B
E
EB
B
B
B
E
I
mV
I
mV
r
rr
I
mV
r
I
mV
r
II
I
mV
r
r
r
I
I
I
I
II
I
I
I
I
5050
r
.2r
r
25
r
1
25
r
;
1
25
r
1
r
:aigualsery varunposeeravaDarlingtonrtransistoEl
.
prácticovistadepuntoelDesde
11
111
;
1
rtransistocadadelasyyDarlingtonrtransistodelbetalaSea
2
eD
2eD
22eD
2
2eD
22
2eD
21
21
2eD
2
1
2eD
eD
21D
21D
1
112
1
12
D
12
1
22
1
2
D
21D
==∴
=
+=
+=
+
+=
=
+
+=
+
+=
=
++=∴
++
=
+
=
=
+
==
β
β
β
βββ
βββ
βββ
β
β
β
βββ
En el caso de transistores PNP la conexión es como muestra la siguiente figura:
=
IE1=IB2
IE2
IB1 B
C
E
Q3
PNP
Q2
PNP
Q1
PNP
B
C
E
Ejercicio
Realizar un circuito amplificador que cumpla con las siguientes condiciones
A = 12
vop = 5V
RL = 2.7 kΩ
Rin ≥ 50kΩ
f = 1 kHz
β = 100
CIRCUITOS ELECTRÓNICOS Ing. Antonio Calderón
41
Planificación
Diagrama de bloques
Ω≥∴
Ω=Ω≥
Ω≥
≥
Ω=Ω≥
Ω≥
+
≥
36.61
circuitoelrimplementapuedesesiAhora7.2con60||
50*
100*100
12
DarlingtonUtilizo
circuitoelrimplementapuedeseno7.2con6||
50*
101
12
)1(
C
LLC
eq
D
eq
LLC
eq
eq
R
kRRR
kR
Rin
A
R
kRkRR
kR
Rin
A
R
β
β
Por facilidad en el diseño también hago con autoelevación que incluso me ayudará a tener
Vcc más bajos
R4
Q1
+V
Vcc
+
C
Q2
+
-
Vin
+
CE
+
CC
+
CB R3
RL
RE2
RE1
R2
RCR1
La resistencia R4 es para descargar la juntura base – emisor de Q2 ya que hay capacidades en
las junturas y hay que realizar la descarga para que no haya distorsión de la señal dentro del
procedimiento de diseño se va a indicar la forma de calcular esta resistencia
Asumimos resistencias de tolerancia 20 %
CIRCUITOS ELECTRÓNICOS Ing. Antonio Calderón
42
( )
AI
II
A
mAI
I
VVcc
VVVVVVVVcc
VVVVVVvvvV
mA
V
I
V
R
VV
VVVVvV
V
V
A
v
v
rRR
A
R
RRr
mA
mV
I
mV
r
mA
V
R
V
I
VV
VVVVVV
v
R
R
V
kRRR
R
D
C
B
RCCEE
CECEinpactDopCE
E
E
ET
E
inp
op
inp
eBE
eq
BEeD
C
eD
C
RC
C
RC
RCRCRC
op
eq
RC
LCeq
C
μ
μ
β
8.27
ónpolarizacidedEstabilida
78.2
10000
8.27
relaciónlautilizamosesoparaentradadeladodeldiseñoalpasamosAhora
VaenviadoesexcesoEl20
42.195.742.85.3
42.8417.035;
vpara3VmenosalponemosVdecasoelPara
9.125
8.27
5.3
5.3
14.3Vseguridaddefactorelpor42.2V417.02V2V
junturasdosdecia
-presenlaporDarlingtonpara2VcolocamosahoraVEdeinecuaciónlaEnRin.devalornuestro
afectequesinVdevalorelasumirpodemosiónautoelevacconrealizandoestamoscomoAhora
417.0
12
5
65.188.145.2045.20||
te.termicamen
estableesquelopormayormuchoesqueobservamos,rconvalorúltimoesteComparando
45.20
12
45.245
||
8.1
8.27
5050
8.27
270
5.7
5.7Asumimos
145.7seguridaddefactorpor5.55
45.245
270
45.2457.2||270||
270
RasumoRyvelObservando
2
B2
CE
satCE
EEEE
E
1
eD
1
C
CLop
=
>>
===
=∴
=++=++=
≥⇒++≥++≥
Ω===
=
≥≥⇒+≥⇒+≥
===
Ω=Ω−Ω=−Ω=
Ω=
Ω
==+
Ω===
=
Ω
==
=
≥≥⇒
Ω
Ω
≥
≥
Ω=ΩΩ==
Ω=
CIRCUITOS ELECTRÓNICOS Ing. Antonio Calderón
43
( )( )
( )( )
Ω=
Ω=
Ω>>
Ω=ΩΩ+=
Ω=
Ω
==++=
>>→
<<
Ω=ΩΩ+Ω=+=
=
Ω=∴
Ω=Ω−Ω=−=
Ω=∴
Ω=
Ω=
Ω=ΩΩ==
Ω=∴
Ω=
−
=
−
=
Ω=∴
Ω=
++
=
++
==
Ω=∴
Ω===
=∴
=<<
=+=+=
Ω
Ω
Ω
Ω
Ω
Ω
Ω
Ω
kR
kR
kR
kkRin
r
rRRrRin
RinR
i
kkRRrDRin
RinRin
R
RRR
R
R
RR
kkkRRR
kR
k
A
VV
I
VVcc
R
kR
k
A
VVV
I
VVV
I
V
R
kR
k
A
V
I
R
VV
VVV
AAAIII
k
k
T
eD
eBEeT
T
b
BEeD
TD
E
EETE
E
E
BE
B
k
k
B
RJBEEB
k
k
B
R
JBEDJBED
B
18
disminuiravadescargadetiempoelmenorelescogeral1.19
91.1
91.115.130||189.0101
9.0
2
8.1
2
||1
i
diseñoalafectandoyvaloreslostodosvariandoIdevalorelcambieycorrientededesvióhaya
noqueparapequeñamuyseaestaporvaquecorrientelaquehacemosRaresistencilaPara
97.197)15.130||188.1(10000)||)((
iónAutoelevac
100
9.107189.125
18
65.18
65.18||
15.130180||470||
470
497
58.30
8.420
180
7.172
8.27
1.02.15.3
VquemenormuchoaúnseaVqueparamenorelseleccionase33
97.35
78.2
1.0V
R,devalorelobtengoVyIdatoslosconEntonces
1.0
junturasdosdepresencialapor2.1V
58.308.2778.2
4
18
224
4
2
21222
24
24
B
4
1
2
100
12012
1
1
1
21
1
470
560
1
1
2
22
2
JBER3
33
39
R3
3
R3B
3
R3
21
β
β
μ
μ
μ
μμμ
CIRCUITOS ELECTRÓNICOS Ing. Antonio Calderón
44
Calculo de Capacitores
Capacitor de entrada
nFC
pFC
kkHz
C
Rinf
C
RinX
B
B
B
B
B
10
9.803
97.197*1..2
1
..2
1
min
=
>>
Ω
>>
>>
<<
π
π
Capacitor de salida
FC
nFC
kkHz
C
Rf
C
RX
B
B
B
L
C
LC
μ
π
π
1
94.58
7.2*1..2
1
..2
1
min
=
>>
Ω
>>
>>
<<
Capacitor de Emisor
( )
( )
FC
FCFC
kHz
C
kHz
C
Rrf
C
Rf
C
RrXRX
E
EE
EE
EeD
E
E
E
EeEEE
μ
μμ
ππ
ππ
100
04.859.1
188.11..2
1
100*1..2
1
..2
1
..2
1
1min2min
12
=
>>∧>>
Ω+Ω
>>∧
Ω
>>
+
>>∧>>
+<<∧<<
Capacitor de autoelevación (C)
nFC
nFC
kkHz
C
Rf
C
RX
B
B
B
B
B
47
22.1
15.130*1..2
1
..2
1
min
=
>>
Ω
>>
>>
<<
π
π
CIRCUITOS ELECTRÓNICOS Ing. Antonio Calderón
45
AMPLIFICADORES EN CASCADA
El presente tema nos introduce a la necesidad de emplear dos o mas amplificadores
conectados en cascada con el propósito de que nuestro sistema amplificador pueda reunir las
características que con el empleo de un solo amplificador (con un solo elemento activo) no se
podrían obtener: por ejemplo si el problema de diseño consiste en construir un amplificador
que tenga una impedancia de entrada muy alta (por ejemplo 1 MΩ) y que a su vez nos
proporcione una ganancia de voltaje considerable (por ejemplo 80) entonces podemos
percatamos que ningún amplificador de una sola etapa resolvería el problema. Sin embargo,
para este caso, si conectamos varias etapas de amplificación, entonces el propósito de diseño
podría cumplirse.
El siguiente gráfico muestra la forma esquemática de una conexión en cascada:
Para analizar la ganancia total de un amplificador en cascada vamos a hacerlo con dos etapas,
este análisis sirva para n etapas.
Sea el siguiente diagrama de bloques
cascadaenconectadasetapasnpara*..........***
.
.
;
321
21
12
12
12
22
AnAAAA
AAA
v
vAA
A
v
vA
A
vv
v
vA
A
v
v
A
in
in
in
o
oin
in
in
in
o
=∴
=
=
=
==
=
CIRCUITOS ELECTRÓNICOS Ing. Antonio Calderón
46
TIPOS DE ACOPLAMIENTO
En cuanto al dispositivo que utilicemos para interconectar las etapas, nos permitirá definir el
tipo de acoplamiento a utilizar. Los dispositivos usuales de acoplamiento son: Cable,
condensador, y transformador.
Acoplamiento Capacitivo
Permite desacoplar los efectos de polarización entre las etapas. Permite dar una mayor
libertad al diseño. Pues, la polarización de una etapa no afectará a la otra.
Acoplamiento Directo
Consiste básicamente en interconectar directamente cada etapa mediante un cable. Presenta
buena respuesta a baja frecuencia. Típicamente se utilizan para interconectar etapas de emisor
común con otras de seguidor de emisor.
Acoplamiento Inductivo
Muy popular en el dominio de las radiofrecuencias (RF). Seleccionando la razón de vueltas en
el transformador permite lograr incrementos de tensión o de corriente.
ACOPLAMIENTO CAPACITIVO
El diseño de amplificadores se inicia desde las últimas etapas hacia la primera. Se debe
colocar las mayores ganancias al principio y las menores en las últimas etapas para disminuir
la distorsión no lineal o distorsión de amplitud. La distorsión no lineal es cuando el ciclo
positivo de la señal no es igual al ciclo negativo.
Hay que tener en cuenta que en el diseño la resistencia de carga que observa una etapa es la
impedancia de entrada de la siguiente y así sucesivamente hasta llegar a la carga.
El Vcc de la primera etapa que se diseña debe abastecer a todas las etapas subsiguientes. En
realidad se puede hacer varias fuentes Vcc para cada etapa pero implica un gasto innecesario.
Si el Vcc inicialmente calculado es muy grande para las otras etapas se recomienda enviar el
exceso de voltaje a VCE y si es muy grande aun para las características del TBJ se puede
implementar la siguiente conexión y enviar el exceso de voltaje DC a la resistencia que en la
CIRCUITOS ELECTRÓNICOS Ing. Antonio Calderón
47
gráfica es rotulada como RC3 y conectada con capacitor en paralelo para que su
funcionamiento solo sea para la parte de polarización (DC) del TBJ
C
CCRC2
RC3
Q1
NPN
+V
Vcc
A continua se presenta un ejemplo de diseño de un amplificador en cascada con acoplamiento
capacitivo con las siguientes condiciones.
A = 120
vop = 3V
RL = 1 kΩ
β = 100
Como observamos en los datos tenemos una ganancia muy alta que debe realizarse con varias
etapas. Para iniciar con el diseño procedemos a realizar la planificación en la que consta el
número de etapas y en que configuración está cada una.
Vamos a realizar un diseño de dos etapas; la primera en emisor común de ganancia de 12 y la
segunda etapa en base común de ganancia 10. Graficamos el diagrama de bloques del circuito.
Realizamos el circuito a diseñar:
CIRCUITOS ELECTRÓNICOS Ing. Antonio Calderón
48
Diseño de la segunda etapa (configuración base común)
Se la realiza normalmente como si fuese una sola etapa y considerando los voltajes de entrada
y salida del bloque según el diagrama, por lo tanto
nte.termicameestablees
queconcluyesetantolopormayormuchoesqueobservamos,rconvalorúltimoesteComparando
50
10
005
3.3
5.7
2525
5.7
1
5.7
5.7Asumimos
2.7seguridaddefactorelpordomultiplica63
500
1
5001||1||
etapasambaspara1.2deseguridaddefactortantolopor%,10atolerancideasresistenciAsumimos
Ry
altomuyVccunobtenernoparasalidadevoltajeelobservandovaloresteasumo;1Asumo
e
3
2
3
2
22
2
2
2
2
222
2
2
2
L
2
Ω=+
Ω
==+
Ω===
⇒=
=
Ω
==
=
≥≥⇒
Ω
Ω
≥
≥
Ω=ΩΩ==
Ω=
Ee
eq
Ee
C
e
EC
C
RC
C
RC
RCRCRC
op
eq
C
RC
LCeq
Rr
A
R
Rr
mA
mV
I
mV
r
altoesxqII
mA
k
V
R
V
I
VV
VVVVV
k
V
v
R
R
V
kkRRR
kRc
β
CIRCUITOS ELECTRÓNICOS Ing. Antonio Calderón
49
Ω=
Ω=−=−Ω=
47
66.463.35050
3
3
E
eE
R
rR
( ) ( )
( ) ( ) Ω=Ω+ΩΩ=+=
Ω=∴
Ω=
−
=
−
=
Ω=∴
Ω=
+
=
+
==
=+=+=
=
>>
===
=∴
=++=++=
=Ω+Ω=+=
Ω=
Ω===
=
≥≥⇒+≥⇒+≥
≥⇒+≥+≥
Ω
Ω
96.4033.347||220||
circuito.aldestabilidamayorofrece
ellasdecualyatoleranciladeinfluencialaenbasanseasresistencilasdeeleccióndecriteriosLos
15
03.15
825.0
6.215
3.3
47.3
75.0
6.02
825.075.0075.0
75.0
ónpolarizacidedEstabilida
075.0
100
5.7
activareg,laenesteTBJelquemásasegurarparaVaenvioexcesoel15
5.145.752
002.2220475.7
220
térmicaestab.asegurosuperiorinmediatoelescogerAl208
5.7
56.1
56.1
56.1Vseguridaddefactorelpor3.1V3.01V1V
523;
342
1
3
1
3
4
3.3
7.4
2
2
4
2
4
423
4
B24
2
2
CE2
222
4322
2
2
4
4
4
RE2RE4RE2RE4
222
EeE
B
k
k
JBEEB
B
C
B
RCCEE
EEEE
E
E
RE
E
RE
inp
CECEactopCE
RrRRin
kR
k
mA
VV
I
VVcc
R
kR
k
mA
VV
I
VV
I
V
R
mAmAmAIII
mAI
II
mA
mAI
I
VVcc
VVVVVVVVcc
VmARRIV
R
mA
V
I
V
R
VV
VVVVvV
VVVVVvvV
β
Diseño de la Primera etapa
Para este diseño tengo como datos Rin2 que es el RL para esta etapa y Vcc
Este ejemplo tiene como propósito el practicar. Pero en realidad no se debe hacer así ya que
no es recomendable conectar la primera etapa en emisor común y la segunda en base común
ya que el emisor común ve una impedancia muy baja generada por la etapa en base común.
Como conclusión podemos decir que toca hacer un análisis profundo si se desea hacer las
etapas con distintas configuraciones y tener en cuenta las características de cada
configuración como es el caso del colector común que tiene alta impedancia de entrada pero
no amplifica la señal o en el caso del de base común que ofrece una ganancia pero su
impedancia de entrada es muy baja; y finalmente el emisor común que ofrece ganancia y una
CIRCUITOS ELECTRÓNICOS Ing. Antonio Calderón
50
alta impedancia de entrada. A más de esto podemos añadir los circuitos de alta impedancia en
una o varias etapas
Ω=ΩΩ==
Ω=
06.3796.40||390||
390Asumo
211
1
inCeq
C
RRR
R
mAmAmAIII
mAI
II
mA
mAI
I
VVcc
VVVVVVVVcc
R
RRR
mA
V
I
V
R
VV
VVmVVvV
VVmVVVVvvvV
R
rR
VmARIV
mA
mV
I
r
k
A
R
Rr
mA
mV
I
mV
r
mA
V
R
V
I
VV
VVVVVV
v
R
R
V
B
C
B
RCCEE
E
EETE
E
E
ET
E
inp
CECEinpactopCE
E
eE
CCRC
C
e
eq
Ee
E
e
C
RC
C
RC
RCRCRC
op
eq
RC
11110
10
ónpolarizacidedEstabilida
1
100
100
activareg,laenesteTBJelquemásasegurarparaVaenvioexcesoel45
325.4339325.22
18
3.177.220
20
100
2
2
23.1Vseguridaddefactorelpor025.1V251V1V
325.22523.0;
7.2
84.225.009.309.3
39390*100*
100
25.0
25
25.0Asumo
corregimosnte,termicameestableesnocircuitoEl
09.3
12
06.37
44.2
25.10
2525
25.10
390
4
4Asumimos
78.3seguridaddefactorpor16.33.0
06.37
390
21
2
B2
1
1
CE1
111
2
12
EEEE
1
1
111
1
1
1
1
1
1
1
1
1
11
1
C1
1
=+=+=
=
>>
===
=∴
=++=++=
Ω=∴
Ω=Ω−Ω=−=
Ω===
=
≥≥⇒+≥⇒+≥
≥⇒++≥++≥
Ω=
Ω=Ω−Ω=−Ω=
=Ω==
=
Ω
=
Ω=
∴
Ω=
Ω
==+
Ω===
=
Ω
==
=
≥≥⇒
Ω
Ω
≥
≥
β
CIRCUITOS ELECTRÓNICOS Ing. Antonio Calderón
51
( ) ( )( )
CE
222
3
47
563
3
CE2
3
1
21
1
1
1
2
2
1
2
1
2
VenvoltajemuchotienesecuandonteanteriormeindicosequelohacerpuedeseO
do.seleccionartransistoaldañarpuedequeyavoltajeesteencuentatenerqueHay
5.3525.745
56
39.51
825.0
6.245
Vavasavoltajedediferencialaqueyacambiano
restoelyRrecalculaseetapasegundalade15Vlosabastezca45VdefuentelaquePara
6.1367.225.0101||5.252))(1(||||
5.252270||9.3||
9.3
85.3
11
6.245
270
260
10
6.02
VVVVVVVccV
kR
k
mA
VV
I
VVcc
R
RrRRinRRin
kRRR
kR
k
mA
VV
I
VVcc
R
R
mA
VV
I
VV
I
V
R
ERCCE
k
k
B
EeBTB
B
B
JBEEB
=−−=−−=
Ω=
Ω=
−
=
−
=
Ω=Ω+ΩΩ=++==
Ω=ΩΩ==
Ω=∴
Ω=
−
=
−
=
Ω=∴
Ω=
+
=
+
==
Ω
Ω
β
Si es el caso de que Rin depende de RB2 es necesario poner la nueva R3 con un capacitor en
paralelo.
Cálculo de capacitores
FC
nFC
kkHz
C
Rf
C
RX
L
L
μ
π
π
2.2
15.159
1*1..2
1
..2
1
5
5
5
min
5
5
=
>>
Ω
>>
>>
<<
( )
FC
nFC
kkkHz
C
Rf
C
RX
B
B
μ
π
π
68.0
07.51
3.3||56*1..2
1
..2
1
4
4
4
2min
4
24
=
>>
ΩΩ
>>
>>
<<
( )
( )
FC
FC
kHz
C
rRf
C
rRX
eE
eE
μ
μ
π
π
1000
9.53
25.07.2*1..2
1
..2
1
3
3
3
1min
3
13
=
>>
Ω+Ω
>>
+
>>
+<<
FC
FC
kHz
C
Rinf
C
RinX
μ
μ
π
π
47
88.3
96.40*1..2
1
..2
1
2
2
2
2min
2
22
=
>>
Ω
>>
>>
<<
FC
FC
kHz
C
Rinf
C
RinX
μ
μ
π
π
18
165.1
6.136*1..2
1
..2
1
1
1
1
1min
1
11
=
>>
Ω
>>
>>
<<
CIRCUITOS ELECTRÓNICOS Ing. Antonio Calderón
52
Como observamos en el ejercicio anterior hay valores exagerados de Vcc y de algunas
resistencias, esto se debe a la incompatibilidad que existe al conectar la primera etapa en
emisor común y la segunda en colector común.
Ahora vamos a hacer un ejercicio en que las dos etapas son en emisor común para observar la
mejora. Los datos son los mismos que el ejercicio anterior pero añadimos una condición de
impedancia de entrada.
A = 120
vop = 3V
RL = 1 kΩ
Rin ≥ 10kΩ
β = 100
Planificación
Haciendo la primera etapa con ganancia de 12 y la segunda con ganancia de 10
Ω≥→
Ω≥
Ω≥⇒Ω≥
+
≥
Ω≥→
Ω≥
Ω≥⇒Ω≥
+
≥
36.136
120||
1202.1*
100
10
;
)1(
condiciónpeor2.1
2.1||
2.110*
100
12
;
)1(
2
2
222
2
2
2
21
11
1
1
C
LC
eqeqeq
C
eqeqeq
R
RR
RkRRin
A
R
kRin
kRinR
kRkRRin
A
R
β
β
Haciendo la segunda etapa con autoelevación.
+V
Vcc
+
C5
Q1
+
C6
+
C4
R5
RL
RE4
RE3
R4
RCR3R1 RC1
R2
RE1
RE2
+
C1
+
C2
+
C3
+
-
Vin1
Q2
Diseño de la segunda etapa
Asumimos resistencias de tolerancia 10 %
CIRCUITOS ELECTRÓNICOS Ing. Antonio Calderón
53
( )
Ω=∴
Ω===
=∴
<<
=+=+=
=
>>
===
=∴
=++=++=
Ω===
=
≥≥⇒+≥⇒+≥
≥⇒++≥++≥
Ω=−=−Ω=
∴Ω=
Ω
==+
=
Ω===
=
Ω
==
=
≥≥⇒
Ω
Ω
≥
≥
Ω=ΩΩ==
Ω=
820
800
075.0
06.0V
R,devalorelobtengoVyIdatoslosconEntonces
06.0
V
825.075.0075.0
75.0
ónpolarizacidedEstabilida
075.0
100
5.7
activareg,laenesteTBJelquemásasegurarparaVaenvioexcesoel15
8.145.73.52
67.266
5.7
2
2
56.1Vseguridaddefactorelpor3.1V3.01V1V
3.53.023;
66.463.35050||
ntetermicameEstable50
10
500
||
||
33.3
5.7
2525
5.7
1
5.7
5.7Asumimos
6seguridaddefactorpor51
500
1
5001||1||
;1Asumo
2
R5
5
RB
5
R5
423
4
B24
2
2
CE2
222
2
2
2
E2E2E2E2
222
23
2
232
432
2
2
2
2
2
22
C2
2
2
R
mA
V
I
R
VV
V
mAmAmAIII
mAI
II
mA
mAI
I
VVcc
VVVVVVVVcc
mA
V
I
V
R
VV
VVVVvV
VVVVVvvvV
rRR
A
R
RRr
RRR
mA
mV
I
mV
r
mA
k
V
R
V
I
VV
VVVVV
k
V
v
R
R
V
kkRRR
kR
B
R
JBE
B
C
B
RCCEE
E
E
ET
E
inp
CECEinpactopCE
eBE
eq
BEe
B
E
e
C
RC
C
RC
RCRCRC
op
eq
RC
LCeq
C
β
CIRCUITOS ELECTRÓNICOS Ing. Antonio Calderón
54
Ω=ΩΩ+=++=
=
Ω=∴
Ω=Ω−Ω=−=
Ω=∴
Ω=
Ω=
Ω=ΩΩ==
Ω=∴
Ω=
−
=
−
=
Ω=∴
Ω=
++
=
++
==
kkRRrRin
RinRin
R
RRR
R
R
RR
kkkRRR
kR
k
mA
VV
I
VVcc
R
kR
k
mA
VVV
I
VVV
I
V
R
BEe
T
E
EETE
E
E
BE
B
B
RJBEEB
5)705.2||4733.3(101)||)(1(
iónAutoelevac
220
67.2194767.266
47
5.47
67.46||
705.23.3||15||
15
95.14
825.0
66.215
3.3
54.3
75.0
06.06.02
12
2
4
34
3
3
23
432
3
3
2
3
4
4
52
4
2
4
β
Diseño de la primera etapa
Ω≥→
Ω≥
Ω≥
kR
kRinR
kR
C
C
eq
58.1
2.1||
2.1
1
21
1
VkmARIV
mA
mV
r
mV
I
r
Rr
A
R
Rr
mA
mV
I
mV
r
mA
k
V
R
V
I
VV
VVVVV
k
k
V
v
R
R
V
kkkRinRR
kR
CCRC
e
C
e
Ee
eq
Ee
C
e
C
RC
C
RC
RCRCRC
op
eq
RC
Ceq
C
875.57.4*25.1*
25.1
20
2525
20asumoEntonces
ntetermicameestableesnotantoloPor
89.201
12
2.42k
5.117
213.0
2525
213.0
7.4
1
1Asumimos
699.0seguridaddefactorpor582.03.0
42.2
7.4
42.25||7.4||
;7.4Asumo
111
1
1
1
11
1
11
1
1
1
1
1
111
1
C1
1
211
1
=Ω==
===
Ω=
∴
Ω=+
Ω
==+
Ω===
=
Ω
==
=
≥≥⇒
Ω
Ω
≥
≥
Ω=ΩΩ==
Ω=
CIRCUITOS ELECTRÓNICOS Ing. Antonio Calderón
55
( ) Ω=Ω+Ω=++=
Ω=ΩΩ==
Ω=∴
Ω=
−
=
−
=
Ω=∴
Ω=
+
=
+
==
=+=+=
=
>>
===
Ω=
Ω=Ω−Ω=−=
Ω===
=−−=−−=
≥≥⇒++≥
++≥
Ω=
Ω=Ω−Ω=−Ω=
kkRrRRin
kkkRRR
kR
k
mA
VV
I
VVcc
R
kR
k
mA
VV
I
VV
I
V
R
mAmAmAIII
mAI
II
mA
mAI
I
kR
kkRRR
k
mA
V
I
V
R
VVVVVVVccV
VVsegfactxVVmVVVV
vvvV
R
rR
EeB
B
B
JBEEB
B
C
B
E
EETE
E
E
ET
CERCE
CECECE
inpactopCE
E
eE
73.11)18020(*101||28))(1(||
2856||56||
56
7.58
1375.0
93.615
56
4.55
125.0
6.033.6
1375.0125.00125.0
125.0
ónpolarizacidedEstabilida
0125.0
100
25.1
7.4
88.418006.5
06.5
25.1
33.6
33.679.2875.515
325.2..325.22523.0
;
180
89.1812089.20189.201
111
211
1
1
1
1
2
2
1
2
1
2
21
2
B2
1
1
2
12
1
1
11
111
1
1
21
β
β
Después de realizado este ejercicio se recomienda hacer ambas etapas con autoelevación.
Si se desea hacer sin autoelevación pero no se cumple con Rin basta añadir R y C de
autoelevación, esto no varía los cálculos en nada.
Calculo de capacitores
FC
nFC
kkHz
C
Rinf
C
RinX
μ
π
π
22.0
57.13
73.11*1..2
1
..2
1
1
1
1
1min
1
11
=
>>
Ω
>>
>>
<<
FC
nFC
kkHz
C
Rinf
C
RinX
μ
π
π
47.0
8.31
5*1..2
1
..2
1
2
2
2
2min
2
22
=
>>
Ω
>>
>>
<<
( )
( )
FC
nFC
kHz
C
rRf
C
rRX
eE
eE
μ
π
π
10
795
20180*1..2
1
..2
1
3
3
3
1min
3
13
=
>>
Ω+Ω
>>
+
>>
+<<
CIRCUITOS ELECTRÓNICOS Ing. Antonio Calderón
56
FC
nFC
kkHz
C
Rf
C
RX
L
L
μ
π
π
2.2
15.159
1*1..2
1
..2
1
4
4
4
min
4
4
=
>>
Ω
>>
>>
<<
( )
FC
nFC
kkkHz
C
Rf
C
RX
B
B
μ
π
π
1
8.58
3.3||15*1..2
1
..2
1
5
5
5
2min
5
25
=
>>
ΩΩ
>>
>>
<<
( )
( )
FC
FC
kHz
C
Rrf
C
RrX
Ee
Ee
μ
μ
π
π
47
16.3
4733.3*1..2
1
..2
1
6
6
6
3min
6
36
=
>>
Ω+Ω
>>
+
>>
+<<
Ejercicio
Realizar el análisis inicial para un diseño con las siguientes condiciones:
A = 15
vop = 4V
RL = 100Ω
Rin ≥ 100kΩ
Ya que la ganancia es baja se puede realizar con una etapa
etapas2conejercicioesteresolverintentaseAhora
RdevalorelporDarlingtonconlograrpuedeseTampoco
150||
150100*
100*100
15
;
DarlingtonutilizandoyetapaunaconahoraProbemos
a.planificadformaladecirucitoesterealizarimposiblees100esRdevalorelqueYa
15||
15100*
100
15
;
)1(
L
L
Ω≥
Ω≥⇒Ω≥≥
Ω
Ω≥
Ω≥⇒Ω≥
+
≥
LC
eqeq
D
eq
LC
eqeqeq
RR
RkRRin
A
R
kRR
kRkRRin
A
R
β
β
CIRCUITOS ELECTRÓNICOS Ing. Antonio Calderón
57
Ω≥∴
Ω≥
Ω≥⇒Ω≥≥
Ω
Ω≥
Ω≥⇒Ω≥
+
≥
Ω≥→
Ω≥
Ω≥⇒Ω≥
+
≥
52.1
5.1||
5.15*
100
3
;
:etapasegundalaenDarlingtonconahoraProbemos
a.planificadformaladecirucitoesterealizarimposiblees100esRdevalorelqueYa
150||
1505*
100
3
;
)1(
condiciónpeor5
5||
5100*
100
5
;
)1(
2
2
2222
2
2
L
2
222
2
2
2
21
11
1
1
C
LC
eqeq
D
eq
LC
eqeqeq
C
eqeqeq
R
RR
RkRRin
A
R
RR
RkRRin
A
R
kRin
kRinR
kRkRRin
A
R
β
β
β
Lo que intentamos demostrar en este ejercicio es que también al hacer con multietapa se tiene
circuitos de alta impedancia de entrada. Otra opción en el ejercicio anterior es realizarlo con
dos etapas, la primera etapa con emisor común y una ganancia de 15 y la segunda etapa
realizar una configuración en colector común.
Ejercicio
A = 150
vop = 5V
RL = 1 kΩ
Rin ≥ 100kΩ
β = 100
Planificación
Haciendo la primera etapa con ganancia de 15 y la segunda con ganancia de 10
CIRCUITOS ELECTRÓNICOS Ing. Antonio Calderón
58
Ω≥→
Ω≥
Ω≥⇒Ω≥≥
Ω≥
Ω≥⇒Ω≥
+
≥
Ω≥→
Ω≥
Ω≥⇒Ω≥
+
≥
07.15
85.14||
85.1485.14*
100
10
;
:DarlingtonconetapasegundalaHacemos
requeridaentradadeimpedancialaobtenerpuedesenoiónplanificacestaCon
47.1||
47.185.14*
101
10
;
)1(
condiciónpeor85.14
85.14||
85.14100*
101
15
;
)1(
2
2
2222
2
2
2
222
2
2
2
21
11
1
1
C
LC
eqeq
D
eq
LC
eqeqeq
C
eqeqeq
R
RR
RkRRin
A
R
RR
kRkRRin
A
R
kRin
kRinR
kRkRRin
A
R
β
β
β
Haciendo ambas etapas con autoelevación.
R4 RC2
R5
RE3
RE4
RL
R6
R7
+
C6
+
C7
Q2NPN
+
C5
+V
Vcc
Q1
NPN
R1 RC1
R2
RE1
RE2
R3+
C1 +
C4
+
C3
+
-
Vin1
Q3
NPN
+
C2
Diseño de la segunda etapa
Asumimos resistencias de tolerancia 10 %
VVVVVV
v
R
R
V
kRRR
R
RCRCRC
op
eq
RC
LCeq
C
6.6seguridaddefactorpor5.55
9.90
100
9.901||100||
;100Asumo
22
C2
2
2
2
≥≥⇒
Ω
Ω
≥
≥
Ω=ΩΩ==
Ω=
CIRCUITOS ELECTRÓNICOS Ing. Antonio Calderón
59
( )
Ω=∴
Ω=
−
=
−
=
Ω=∴
Ω=
++
=
++
==
Ω=∴
Ω===
=∴
<<
=+=+=
=
>>
===
=∴
=++=++=
Ω===
=
≥≥⇒+≥⇒+≥
≥⇒++≥++≥
Ω=−=−Ω=
∴Ω=
Ω
==+
=
Ω===
=
Ω
==
=
kR
k
A
VV
I
VVcc
R
kR
k
A
VVV
I
VVV
I
V
R
kR
k
A
V
I
R
VV
V
AAAIII
AI
II
A
mAI
I
VVcc
VVVVVVVVcc
mA
V
I
V
R
VV
VVVVvV
VVVVVVvvvV
rRR
A
R
RRr
RRR
mA
mV
I
mV
r
mA
V
R
V
I
VV
B
RJBEDEB
B
R
JBED
B
D
C
B
RCCEE
E
E
ET
E
inp
CECEinpactopCE
eBE
eq
BEeD
B
E
e
C
RC
C
RC
180
4.184
77
8.419
68
5.68
70
1.02.15.3
12
3.14
7
1.0V
1.0
V
77707
70
ónpolarizacidedEstabilida
7
100
70
19
195.35.85.3
50
70
5.3
5.3
3Vseguridaddefactorelpor5.2V5.02V2V
5.85.035;
376.8714.009.909.9||
ntetermicameEstable09.9
10
9.90
||
||
714.0
70
5050
70
100
7
7Asumimos
4
4
2
4
5
5
62
5
2
5
6
2
R6
6
6
R6
524
5
B25
2
2
2
222
2
2
2
2
E2E2E2E2
222
23
2
23
542
2
2
2
2
2
μ
μ
μ
μμμ
μ
μ
β
CIRCUITOS ELECTRÓNICOS Ing. Antonio Calderón
60
( )( ) ( )
Ω=ΩΩ+=+=
=
Ω=∴
Ω=
Ω=ΩΩ+=++=
>>
Ω=∴
Ω=Ω−Ω=−=
Ω=∴
Ω=
Ω=
Ω=ΩΩ==
Ω
Ω
kkRRrRin
RinRin
kR
kR
kRRrRin
RinR
R
RRR
R
R
RR
kkkRRR
BEeDD
TD
k
k
BEeT
T
E
EETE
E
E
BE
B
13.89)35.49||82714.0(100)||)((
iónAutoelevac
2.8
64.8
1.86435.49||2.8357.0*101||1
47
8.412.850
2.8
37.8
376.8||
35.4968||180||
2
232
2
7
10
2.8
7
2322
27
4
34
3
3
23
542
β
β
Diseño de la primera etapa
Ω≥→
Ω≥
Ω≥
kR
kRinR
kR
C
C
eq
81.17
85.14||
85.14
1
21
1
Ω=Ω−Ω=−Ω=
=Ω==
=
Ω
==
Ω=
∴
Ω=+
Ω
==+
Ω===
=
Ω
==
=
≥≥⇒
Ω
Ω
≥
≥
Ω=ΩΩ==
Ω=
kkrkRR
VkARIV
A
mV
r
mV
I
r
kRRr
A
R
RRr
A
mV
I
mV
r
A
k
V
R
V
I
VV
VVVVV
k
k
V
v
R
R
V
kkkRinRR
kR
eBE
CCRC
e
C
e
BEe
eq
BEe
C
e
C
RC
C
RC
RCRCRC
op
eq
RC
Ceq
C
07.110017.117.1||
5.522*250*
250
100
2525
100asumoEntonces
ntetermicameestableesnotantoloPor
17.1||
15
17.64k
||
550
45.45
2525
45.45
22
1
1Asumimos
748.0seguridaddefactorpor623.05.0
64.17
22
64.1713.89||22||
;22Asumo
11
111
1
1
1
11
1
11
1
1
1
1
1
111
1
C1
1
211
1
μ
μ
μ
μ
CIRCUITOS ELECTRÓNICOS Ing. Antonio Calderón
61
Ω=ΩΩ+=++==
Ω=
Ω=Ω−Ω=−=
Ω=∴
Ω=
Ω=
Ω=ΩΩ==
Ω=∴
Ω=
−
=
−
=
Ω=∴
Ω=
++
=
++
==
Ω=∴
Ω===
=∴
<<
=+=+=
=
>>
==
+
=
Ω===
=
=∴
=−=
≥≥+≥+≥
≥⇒++≥
++≥
Ω
Ω
Ω
Ω
kkkRRrRinRin
kR
kkRRR
kR
kR
kRR
kkkRRR
kR
k
A
VV
I
VVcc
R
kR
k
A
VVV
I
VVV
I
V
R
kR
k
A
V
I
R
VV
V
AAAIII
AI
II
A
AI
I
k
A
V
I
V
R
VV
VV
VVV
VVVVVVVvVV
VVVVVV
vvvV
BEeT
E
EETE
E
E
BE
B
k
k
B
k
k
RJBEEB
B
R
JBE
B
C
B
E
E
ET
E
CE
EEEinpE
CECE
inpactopCE
47.110)5.159||1100(*101)||)(1(
27
92.2608.128
1
08.1
07.1||
5.159270||390||
390
36.412
5.27
66.719
270
4.306
25
06.06.07
2.2
4.2
5.2
06.0V
06.0
V
5.27255.2
25
ónpolarizacidedEstabilida
5.2
100
250
1
28
250
7
7
5.6
5.135.519V-VccdeDisponemos
)Necesario(24.1segfactpor103330333.01;1
)Necesario(533.2033.025.0
;
1111
2
12
1
1
11
211
1
390
470
1
1
1
2
270
330
2
31
2
1
2
3
1
R3
3
3
R3
21
2
B2
1
1
1
1
1
1
RC
1111
11
1
β
μ
μ
μ
μμμ
μ
μ
μ
β
μ
CIRCUITOS ELECTRÓNICOS Ing. Antonio Calderón
62
Calculo de capacitores
FC
nFC
kkHz
C
Rinf
C
RinX
μ
π
π
1.0
44.1
47.110*1..2
1
..2
1
1
1
1
1min
1
11
=
>>
Ω
>>
>>
<<
( )
nFC
nFC
kkHz
C
Rf
C
RX
B
B
10
99.0
5.159*1..2
1
..2
1
2
2
2
1min
2
12
=
>>
Ω
>>
>>
<<
π
π ( )
( )
FC
nFC
kkHz
C
rRf
C
rRX
eE
eE
μ
π
π
2.2
7.144
1001*1..2
1
..2
1
3
3
3
1min
3
13
=
>>
Ω+Ω
>>
+
>>
+<<
FC
nFC
kkHz
C
Rinf
C
RinX
μ
π
π
1.0
8.1
13.89*1..2
1
..2
1
4
4
4
2min
4
24
=
>>
Ω
>>
>>
<<
( )
FC
nFC
kkHz
C
Rf
C
RX
B
B
μ
π
π
1.0
22.3
35.49*1..2
1
..2
1
5
5
5
2min
5
25
=
>>
Ω
>>
>>
<<
FC
nFC
kkHz
C
Rf
C
RX
L
L
μ
π
π
2.2
15.159
1*1..2
1
..2
1
6
6
6
min
6
6
=
>>
Ω
>>
>>
<<
( )
( )
FC
FC
kHz
C
Rrf
C
RrX
EeD
EeD
μ
μ
π
π
220
8.17
2.8714.0*1..2
1
..2
1
7
7
7
3min
7
37
=
>>
Ω+Ω
>>
+
>>
+<<
ACOPLAMIENTO DIRECTO
Amplificador Cascode
El amplificador cascode es un amplificador que mejora algunas características del
amplificador de Base Común. El amplificador Base Común es la mejor opción en
aplicaciones de altas frecuencias, sin embargo su desventaja es su muy baja impedancia de
entrada. El amplificador cascode se encarga de aumentar la impedancia de entrada pero
manteniendo sobre todo la gran utilidad de la configuración Base Común, ventajoso en el
manejo de señales de alta frecuencia. Para conseguir este propósito, el amplificador cascode
tiene una entrada de Emisor Común y una salida de Base Común, a esta combinación de
etapas se le conoce como configuración cascode.
CIRCUITOS ELECTRÓNICOS Ing. Antonio Calderón
63
Circuito
Análisis
⎪
⎪
⎪
⎩
⎪
⎪
⎪
⎨
⎧
+=
=
=
+
=
+
=
+
==
⎪
⎪
⎭
⎪
⎪
⎬
⎫
==
<
+
=
=
⎭
⎬
⎫
→⇒
→⇒
222
2
2
2
2
11
11211
2
21
22
2
11
2
1
21
22
11
diseñodentoprocedimie
elensimportantemuyfórmulassiguienteslasendetallassonticascaracteríspricipalesLas
A
gananciaconetapasolaunadediseñounaahorareducesediseñodentoprocedimieEl
.*
||
1
*
ComúnB
ComúnEmisor
BCE
C
C
C
RC
C
Ee
eq
Ee
eq
e
eq
Ee
e
e
eq
e
LC
Ee
e
III
I
I
R
V
I
Rr
R
Rr
R
r
R
Rr
r
AAA
r
R
r
RR
A
Rr
r
A
AAA
AaseQ
AQ
β
CIRCUITOS ELECTRÓNICOS Ing. Antonio Calderón
64
A
R
R
I
mV
III
I
I
II
eq
E
E
BCE
C
B
EC
=+
=
⎪
⎪
⎩
⎪
⎪
⎨
⎧
+=
=
=
1e1
1
e1
e
111
1
1
1
21
r
25
r
1rtransistodellatomasesolordecalculoelPara
β
Para que no haya distorsión en la onda nos ayudamos del eje vertical de voltajes para realizar
el respectivo análisis:
RCCECEE
inpE
inpactopCE
actopCE
VVVVVcc
vVV
vvvV
vvV
+++=
+≥
++≥
+≥
211
1
11
2
1
Para el calculo de corriente del lado de entrada ya que tienen que cumplir estabilidad de
polarización en ambos TBJ se emplea las siguientes formulas
1
2
1
2
1
2
12
2
3
1
3
112
111
2112
221
222
132
113
QenónpolarizacideEstabilida
QenónpolarizacideEstabilida
I
VVcc
R
I
V
I
VV
R
I
V
R
VVV
VVV
VVVV
III
II
III
II
BCEBBB
CEBB
JBEEB
JBECEEB
B
B
B
B
−
==
−
==
=−∴
⎭
⎬
⎫
+=
++=
+=
>>
+=
>>
CIRCUITOS ELECTRÓNICOS Ing. Antonio Calderón
65
Vamos a realizar un ejemplo de diseño de un amplificador Cascode. El circuito es el mismo
indicado al inicio del tema y las condiciones a cumplir son:
A = 120
vop = 3V
RL = 1 kΩ
Rin ≥ 10kΩ
β = 100
Ω===
=+=+=
====
=
=+=+=
===
=
Ω
==
=
≥≥⇒
Ω
Ω
≥
Ω=ΩΩ==
Ω=
955.0
18.26
2525
44.26262.018.26
262.0
100
18.26
18.2626.092.25
25.0
100
92.25
92.25
270
7
7Asumimos
6.6seguridaddefactorpor5.55
45.254
270
45.2457.2||270||
;270Asumo
1
1
111
21
1
21
222
2
2
2
C
mA
mV
I
mV
r
mAmAmAIII
mA
mAII
I
II
mAmAmAIII
mA
mAI
I
mA
V
R
V
I
VV
VVVVVV
v
R
R
V
kRRR
R
C
e
BCE
EC
B
EC
BCE
C
B
C
RC
C
RC
RCRCRC
op
eq
RC
LCeq
C
ββ
β
CIRCUITOS ELECTRÓNICOS Ing. Antonio Calderón
66
Ω=∴
Ω=Ω−Ω=−Ω=
Ω=
Ω
==+
5.7
23.7955.018.818.8
18.8
30
45.245
1
11
11
E
eE
eq
Ee
R
rR
A
R
Rr
1
2
1
2
1
2
12
2
3
1
3
112
111
2112
221
222
132
113
QenónpolarizacideEstabilida
QenónpolarizacideEstabilida
I
VVcc
R
I
V
I
VV
R
I
V
R
VVV
VVV
VVVV
III
II
III
II
BCEBBB
CEBB
JBEEB
JBECEEB
B
B
B
B
−
==
−
==
=−∴
⎭
⎬
⎫
+=
++=
+=
>>
+=
>>
mAmAmAIII
mAmAII
mAmAmAIII
mAI
II
R
RRR
mA
V
I
V
R
VV
Vcc
VVVVcc
VVcc
VVVVVVVVVVcc
VV
VVVVVVVvVV
VV
V
VmVV
mV
V
A
v
Rr
r
vAv
mA
mV
I
mV
r
vvvV
VVVVVvvV
B
B
B
B
E
EETE
E
E
ET
RCCECEE
E
EEEinpE
CEE
op
Ee
e
inpop
C
e
inpactopCE
CECEactopCE
14.3226.088.2
Cumple26.088.2;QenónpolarizacideEstabilida
88.2262.062.2
62.2
QenónpolarizacideEstabilida
69
14.685.764.75
64.75
44.26
2
4
VaEnvio.VoVaenviarcomohay
81.119.1820
20
19.187719.22
2
39.1seg.fact.por16.1166.011
19.2;
30
5
219
19
30
5
.
5.7955.0
964.0.
*
964.0
92.25
2525
725;
221
222
132
3
113
2
12
1
1
CE1
CE1CE2CE1
211
1
1111
11
11
2
11
2
2
11
222
=+=+=
>>>>
=+=+=
=
>>
Ω=
Ω=Ω−Ω=−=
Ω===
=
Δ
=−=Δ
=
=+++=+++=
=
≥≥+≥+≥
≥++≥
=
Ω+Ω
Ω
=
+
==
Ω===
++≥
≥+≥+≥
CIRCUITOS ELECTRÓNICOS Ing. Antonio Calderón
67
( )( ) Ω=Ω+ΩΩΩ=++=
Ω=Ω=
−−−
=
−
=
Ω=Ω===
Ω=Ω=
+
==
−
==
−
==
=−∴
⎭
⎬
⎫
+=
++=
4.315)5.7955.0)(101(||1||11||||
7.458.4
14.3
6.03220
1042.1
88.2
3
1992
62.2
6.02
1132
1
1
2
1
2
2
1
2
3
3
1
3
1
2
1
2
1
2
12
2
3
1
3
112
111
2112
KkRrRRRin
kRk
mA
VVVV
I
VVcc
R
kRk
mA
V
I
V
R
kR
mA
VV
I
V
R
I
VVcc
R
I
V
I
VV
R
I
V
R
VVV
VVV
VVVV
Ee
B
CE
B
BCEBBB
CEBB
JBEEB
JBECEEB
β
Calculo de capacitores
FC
nFC
kHz
C
Rinf
C
RinX
μ
π
π
8.6
6.504
4.315*1..2
1
..2
1
1
1
1
min
1
1
=
>>
Ω
>>
>>
<<
FC
FC
kHz
C
rf
C
rX
e
e
μ
μ
π
βπ
β
18
6.1
101*964.0*1..2
1
)1(..2
1
)1(
2
2
2
22min
2
222
=
>>
Ω
>>
+
>>
+<<
FC
nFC
kkHz
C
Rf
C
RX
L
L
μ
π
π
68.0
9.58
7.2*1..2
1
..2
1
3
3
3
min
3
3
=
>>
Ω
>>
>>
<<
( )
( )
FC
FC
kHz
C
rRf
C
rRX
eE
eE
μ
μ
π
π
220
18
955.05.7*1..2
1
..2
1
4
4
4
1min
4
114
=
>>
Ω+Ω
>>
+
>>
+<<
CIRCUITOS ELECTRÓNICOS Ing. Antonio Calderón
68
Amplificador Diferencial
El circuito amplificador diferencial es una conexión extremadamente común utilizada en
circuitos integrados. Esta conexión se puede describir al considerar el amplificador diferencia
básico que se muestra en la figura. Este circuito posee dos entradas separadas y dos salidas
separadas y los emisores están conectados entres sí. Mientras que la mayoría de los circuitos
amplificadores diferenciales utilizan dos fuentes de voltaje, el circuito puede operar utilizando
sólo una de ellas.
Es posible obtener un número de combinaciones de señales de entrada:
• Si una señal de entrada se aplica a cualquier entrada con la otra entrada conectada a
tierra, la operación se denomina “Terminal simple”.
• Si se aplican dos señales de entrada de polaridad opuesta, la operación se denomina
“Terminal doble”.
• Si la mismas entrada se aplica a ambas entradas, la operación se denomina “modo
común”
Análisis del amplificador diferencial
CIRCUITOS ELECTRÓNICOS Ing. Antonio Calderón
69
1 2V V Vin in in= −
La salida se encuentra en cualquiera de los colectores.
1 1
1
1 2 ||
C
e e E
Q EC A
R
A
r
o
r R
V
→ →
=
+
2
1 1 2
1
1
2
pero si
;
2
e E
C
e e e
e e
C
e
r
R
A
R
R
A r r
r
r
r
r
<<
∴ → = = =
=
+
∴
1 1
1 2
2 2
·
Q CC A
A A A
Q BC
V
A
o
→ → ⎫
=⎬
→ → ⎭
2
1
1 2
||
||
e E
e e E
r R
A
r r R
=
+
CIRCUITOS ELECTRÓNICOS Ing. Antonio Calderón
70
2
2
1 1 2
1 2
1
si
;
1
2
e E
e
e e e
e e
r R
r
A r r r
r r
A
<<
∴ → = = =
+
∴ =
2
2
C C
e e
R R
A
r r
= =
1 2·
1
·
2
2
C
e
C
e
A A A
R
r
R
A
r
=
→ =
=
Es decir, tenemos la misma señal de salida pero con fase distinta.
1 1 2 1 2||( )
C
e E E E e
R
A
r R R R r
=
+ + +
2 2 1
1 2
1 1 2 1
1
si
;
2( )
E E
C
e e e
e E E
C
e E
R re R
R
A r r r
r R re R
R
A
r R
>> +
∴ → = = =
+ + +
=
+
(como sucede en la práctica)
CIRCUITOS ELECTRÓNICOS Ing. Antonio Calderón
71
Para el diseño
- Asumimos CR
- Calculamos:
1. RCV
2. CI
3. er
4. 1 comprobando estabilidad con Ae Er R+ →
5. CEV
6. EV
CC RC CE JBEV V V V→ = + −
EV se puede asumir para tener simetría E CC JBEV V V= − +
2 1 1 1siendo ·RE CC JBE RE RE E EV V V V V I R= − − =
2
2
2
RE
E
E
V
R
I
=
Haciendo con simetría, es decir, CC CCV V= − 2ER→ NO molesta y tenemos:
Implementando la fuente de corriente
CIRCUITOS ELECTRÓNICOS Ing. Antonio Calderón
72
actal menos 3V VCEV →
3 1
3 3
C CC JBE RE
CE
V V V V
V V
= − −
≥
Primero se debe elegir un Zener tal que Z CCV V<
Asumir ZV
2
2
2
2
RE Z JBE
RE
E
E
V V V
V
R
I
→ = −
=
Calculando
dato que da el manual de tal forma que el Zener funcione al valor deseado
B
CC Z
Z B
Z ZT
Z
V V
R
I
I I
I I
I I I
−⎧
=⎪
⎪⎪ >>⎨
⎪ ≈ →
⎪
= +⎪⎩
Entonces, si se utiliza una sola fuente
CIRCUITOS ELECTRÓNICOS Ing. Antonio Calderón
73
Acoplamiento directo
Es un circuito conectado en cascada pero la única diferencia es que no se utiliza capacitor
para acoplar sino simplemente un cable
IC
IB2
IB2
VB2
+V
V1
Q2
+
CE1
+
CC1
RL
RE3
RE4
RC1
Q1
+
-1 KHz
Vin
+
CE
+
CB
RE2
RE1
R2
RC1R1
⎩
⎨
⎧
+=
>>
>>
>>−+
+>>
++>>
+=
>>
211
21
1
21
1
1
1222
1
11
111
12
1
BCRC
BC
op
inC
C
RC
RCJBECERC
inpE
inpactopCE
ECEC
CB
III
II
v
RR
R
V
VVVV
vvV
vVvV
VVV
VV
CIRCUITOS ELECTRÓNICOS Ing. Antonio Calderón
74
Si 12 CB VV <
Entonces se recalcula 2BV luego el nuevo CCV y el exceso se manda al voltaje VCE a la región
activa.
Se realiza el diseño normalmente hasta el calculo de 1ERre + luego se calcula 1CV con lo que
calculo RET
El Q2 esta en emisor común con lo que se realiza los cálculos de Rc, VRc, Ic, re, RE2 y VE=1+
vinp
En el siguiente circuito las condiciones a cumplir son:
⎪
⎪
⎪
⎩
⎪⎪
⎪
⎨
⎧
≥
>>
+=
1
21
1
1
12
22
op
inC
C
RC
RCB
JBEEB
v
RR
R
V
VV
VVV
cumplensesiemprecircuitoesteEnficar.deben verisescondicioneEstas
1
211
21
11
111
111
1222
⇒
⎩
⎨
⎧
+=
>>
⎪
⎪
⎩
⎪
⎪
⎨
⎧
+≥
++≥
+=
≥−+
BRCC
BRC
inpE
inpactopCE
ECEC
CJBECERC
III
II
vVV
vVvV
VVV
VVVV
CIRCUITOS ELECTRÓNICOS Ing. Antonio Calderón
75
RESPUESTA DE FRECUENCIA
INTRODUCCION
El análisis hasta el momento se ha limitado a una frecuencia particular. Para el caso del
amplificador, se trata de una frecuencia que, por lo regular, permite ignorar los efectos de los
elementos capacitivos, con lo que se reduce el análisis a uno que solamente incluye elementos
resistivos y fuentes independientes o controladas. Ahora, se revisarán los efectos de la
frecuencia presentados por los elementos capacitivos mayores de la red en bajas frecuencias y
por o elementos capacitivos menores del transistor para altas frecuencias.
Para el análisis de frecuencia vamos a utilizar el diagrama de Bode y manejar valores en
decibeles (dB).
La respuesta de frecuencia es la curva que se obtiene a la salida, a partir de los diferentes
valores que toma la señal de salida en función de la frecuencia de la señal de entrada.
En la siguiente gráfica vamos a observar un ejemplo de característica de frecuencia sobre la
carga.
El análisis de la señal de salida la podemos hace con la potencia, voltaje, corriente de salida
del circuito o incluso las ganancias de potencia, voltaje o corriente.
Ancho de Banda: Es un término muy utilizado en análisis de frecuencia y es el rango de
frecuencias correspondiente a su utilización normal.
CIRCUITOS ELECTRÓNICOS Ing. Antonio Calderón
76
A continuación haremos el análisis de los puntos de media potencia para las opciones de la
señal de salida.
Potencia de Salida
2
:enslocalizadoestaránpotenciamediadepuntosLos
máximovalorelSea
Potencia
max
max
Po
Po
Po→
dBPo
Po
Po
3
2log10log10
2
log*10
:DecibelesEn
(dB)max
max
max
−=
−=
CIRCUITOS ELECTRÓNICOS Ing. Antonio Calderón
77
Voltaje de Salida
( )2
max
2
max
2
maxmax
2
*707.0
222
potenciamediadePuntos
:espotencialayvoltajeelentreexistequerelaciónLa
Vo
VoVoPo
VoPo
=⎟
⎠
⎞
⎜
⎝
⎛
=→
→
dBVo
Vo
VoVo
3
2log20log20
2
log20
2
log*10
:DecibelesEn
(dB)max
max
max
2
max
−=
−=
=
CIRCUITOS ELECTRÓNICOS Ing. Antonio Calderón
78
Ganancia de potencia
22
:enslocalizadoestaránpotenciamediadepuntosLos
:potenciaderelaciónlatieneSe
maxmax Gp
Pin
Po
Pin
Po
Gp
=
=
dBGp
Gp
Gp
3
2log10log10
2
log*10
:DecibelesEn
(dB)max
max
max
−=
−=
CIRCUITOS ELECTRÓNICOS Ing. Antonio Calderón
79
Ganancia de voltajes
( )2
max
2
max
2
max
2
max
2
*707.0
222
potenciamediadedepuntos
:espotenciade
ganancialayvoltajeganancialaentreexistequerelaciónlapotencia,enqueigualAl
Gv
GvGvGp
GvGp
=⎟
⎠
⎞
⎜
⎝
⎛
=→
→
dBGv
Gv
GvGv
3
2log20log20
2
log20
2
log*10
:DecibelesEn
(dB)max
max
max
2
max
−=
−=
=
CIRCUITOS ELECTRÓNICOS Ing. Antonio Calderón
80
Respuesta de frecuencia
Para determinar la característica de un circuito debemos obtener la función de transferencia
del mismo en función de la frecuencia. A partir de esta expresión en función de la frecuencia
realizaremos el diagrama de Bode
( )( ) ( )
( )( ) ( )
:decibelesEn
1................................11
1................................11
nciatransferedeFunción
21
21
ωωω
ωωω
m
n
jbjbjb
jajaja
G
+++
+++
=⇒
ωωωωωω mndB jbjbjbjajajaG +−−+−+−++++++= 1log10...1log101log101log10...1log101log10 2121
Dada ya la función de transferencia tenemos que realizar la respectiva gráfica que representa
dicha función (característica de magnitud), para esto vamos a utilizar el modelo asintótico de
ciertos términos que generalmente aparecen en estas funciones.
Para un término: ωjk±0
ωωω .0 22
kkjk ==±
Entonces realizamos una tabla que nos permitirá luego generar el gráfico.
Para:
Función
transferencia
En dB
Para 0→ω
Bajas frecuencias
0=G ∞−
Para ∞→ω
Alta frecuencia
∞=G ∞
Para k/1=ω 1=G 0
Por lo tanto las gráficas para este término son:
Para un término:
ωjk±0
1
ωωω kkjk
11
0
1
22
==
±
CIRCUITOS ELECTRÓNICOS Ing. Antonio Calderón
81
Entonces realizamos una tabla que nos permitirá luego generar el gráfico.
Para:
Función
transferencia
En dB
Para 0→ω ∞=G ∞
Para ∞→ω 0=G ∞−
Para k/1=ω 1=G 0
Por lo tanto las gráficas para este término son:
Para un término: ωjk±1
22
11 ωω kjk +=±
Entonces realizamos una tabla que nos permitirá luego generar el gráfico.
Para:
Función
transferencia
En dB
Para 0→ω 1=G 0
Para k/1=ω 2=G 3
Para ∞→ω ∞=G ∞
Por lo tanto las gráficas para este término son:
CIRCUITOS ELECTRÓNICOS Ing. Antonio Calderón
82
Para un término:
ωjk±1
1
22
1
1
1
1
ωω kjk +
=
±
Entonces realizamos una tabla que nos permitirá luego generar el gráfico.
Para:
Función
transferencia
En dB
Para 0→ω 1=G 0
Para k/1=ω 2/1=G 3−
Para ∞→ω 0=G ∞−
La pendiente de las rectas se justifica mediante:
Sea una señal de ganancia de potencias cuya función de transferencia sea
( ) ( )
( ) décadadBGp
k
seakkjkGp
jkGp
C
dB
C
C
C
CdB
/1010log10log5
10
;1log5
1
;1log51log101log*10
1
2
2
2
2
2222
==⎟
⎟
⎠
⎞
⎜
⎜
⎝
⎛
=
⎩
⎨
⎧
=
>>
⎟
⎟
⎠
⎞
⎜
⎜
⎝
⎛
+=
=+=+=+=
+=
ω
ω
ωω
ωω
ω
ω
ωωωω
ω
Ahora si es una señal de ganancia de voltajes cuya función de transferencia sea igual a la
anterior
( ) ( )
( ) décadadBGp
k
seakkjkGv
jkGv
C
dB
C
C
C
CdB
/2010log20log10
10
;1log10
1
;1log101log201log*20
1
2
2
2
2
2222
==⎟
⎟
⎠
⎞
⎜
⎜
⎝
⎛
=
⎩
⎨
⎧
=
>>
⎟
⎟
⎠
⎞
⎜
⎜
⎝
⎛
+=
=+=+=+=
+=
ω
ω
ωω
ωω
ω
ω
ωωωω
ω
CIRCUITOS ELECTRÓNICOS Ing. Antonio Calderón
83
Frecuencia de corte
Se denomina así al codo que está presente en algunos diagramas de bode por ejemplo en la
gráfica la frecuencia de corte está indicada como ωC:
La localización de la frecuencia de corte va depender de en que señal estemos trabajando por
lo que se demostrará para potencias y para voltajes
( )
21
21
101
3dB1log*20
3dBaigualserdebe1log*20expresiónlapotenciamediadepuntoslosenestarPara
1log*20log20
:decibelesEn
voltajedeGananciaSi
si
3
escortedefrecuenciaLa3
41
21
21
101
3dB1log*10
3dBaigualserdebe1log*10expresiónlapotenciamediadepuntoslosenestarPara
1log*10log10
:decibelesEn
potenciadeGananciaSi
1Sea
22
15.0
22
22
22
3.0
=+
=+
=+
=+
+
++=
⇒=
===→=
=+
=+
=+
=+
=+
+
++=
⇒=
+=
ω
ω
ω
ω
ω
ω
ωωω
ω
ω
ω
ω
ω
ω
ω
ω
k
jk
jk
jk
jk
jkGoG
GvG
GpG
k
k
k
k
jk
jk
jk
jk
jkGoG
GpG
jkGoG
dB
C
dB
CIRCUITOS ELECTRÓNICOS Ing. Antonio Calderón
84
GvG
k
k
k
C ===→=
=+
si
1
escortedefrecuenciaLa1
21
22
22
ωωω
ω
Característica de Fase
Ahora vamos a observar las gráficas para las características de fase de cada uno de los
términos detallados anteriormente.
Para un término: ωjk±1
⎟
⎠
⎞
⎜
⎝
⎛
=⇒±
1
1
ω
θω
k
arctgjk
Entonces realizamos una tabla que nos permitirá luego generar el gráfico.
Para: θ
Para 0→ω º0=θ
Para kC /1== ωω º45=θ
Para ∞→ω º90=θ
Por lo tanto la gráfica para este término es:
Para un término:
ωjk±1
1
⎟
⎠
⎞
⎜
⎝
⎛
−=⇒
± 11
1 ω
θ
ω
k
arctg
jk
Entonces realizamos una tabla que nos permitirá luego generar el gráfico.
Para: θ
Para 0→ω º0=θ
Para kC /1== ωω º45−=θ
Para ∞→ω º90−=θ
CIRCUITOS ELECTRÓNICOS Ing. Antonio Calderón
85
Por lo tanto la gráfica para este término es:
Para un término: ωjk±0
º90;
0
0 =⎟
⎠
⎞
⎜
⎝
⎛
=⇒± θ
ω
θω
k
arctgjk
Por lo tanto la gráfica para este término es:
Para un término:
ωjk±0
1
º90;
00
1
−=⎟
⎠
⎞
⎜
⎝
⎛
−=⇒
±
θ
ω
θ
ω
k
arctg
jk
Por lo tanto la gráfica para este término es:
Respuesta de frecuencia en amplificadores
Ahora ya conocida la forma de realizar los diagramas de Bode para distintas formas de la
función de transferencia analizaremos la respuesta de frecuencia para los amplificadores con
TBJ.
Debemos tomar en cuenta las siguientes consideraciones:
- En caso de que el circuito produzca desfasamiento, deberá también añadirse la
característica de desfasamiento que produce este.
CIRCUITOS ELECTRÓNICOS Ing. Antonio Calderón
86
- Los elementos reactivos son los que producen la parte imaginaria de la función de
transferencia
⎪
⎩
⎪
⎨
⎧
gananciadeajustede
salidade
entradade
sCapacitore
- La metodología que se utiliza para demostrar la característica de frecuencia en la
configuración de emisor común es igual para el resto de configuraciones
- Para sacar la característica de frecuencia total hay que sumar la característica de fase de
cada capacitor
A continuación se va a realizar el análisis de la característica de fase de la configuración en
emisor común en cada uno de los capacitores.
Característica de frecuencia que produce un capacitor de entrada
Se tiene el siguiente circuito equivalente de la parte de entrada del amplificador donde se ha
considerado que el generador es ideal y lo que observa este es el capacitor de base CB y la
impedancia de entrada.
Vo
Rin
CB
+
-
Vin
RinX
Rin
Gv
Vin
Vo
Vin
RinX
Rin
Vo
B
B
+
==
+
=
=⇒= 0RgidealesgeneradorconstanteVinSi
CIRCUITOS ELECTRÓNICOS Ing. Antonio Calderón
87
b
b
B
B
B
B
j
j
RinC
RinCj
RinCj
Gv
Rin
Cj
Rin
GvGv
ω
ω
ω
ω
ω
ω
ω
ω
ω
ω
+
→=
+
=
+
=⇒
1.
1
basedecapacitordelcortedefrecuencialaSea
.1
..
.
1
defunciónen
b
b
Con nuestro conocimiento para realizar el diagrama de bode de la función de transferencia,
graficamos el numerador y el denominador y después los sumamos las pendientes para
obtener la gráfica total.
Característica de frecuencia del Numerador y denominador
De la gráfica total podemos concluir que a bajas frecuencias el capacitor de base es circuito
abierto mientras que a altas frecuencias a partir de la frecuencia de corte ωb es corto circuito.
CIRCUITOS ELECTRÓNICOS Ing. Antonio Calderón
88
Podemos concluir entonces que cuando:
RinX
Rin
X
Rin
X
RinC
B
B
B
B
b
=
=
=
=→=
ω
ω
ω
ω
ωωω
.
1
1
.
1
Característica de frecuencia que produce un capacitor de salida
A partir de la ganancia del circuito incluyendo la reactancia que produce el capacitor de salida
obtenemos:
( )
( )
( )( )
( )
( ) ( )
( )
( )
C1
C2
1
C2C1
C1
C2
C2C1
1
1
1
1
1
1
.
1
1
entoncessalidadecapacitordelcortedesfrecuencialasySea
..1
..1
.
.
1
.
1
.
.
||
ω
ω
ω
ω
ωω
ω
ω
ωω
ω
ω
ω
ω
j
j
Rr
R
A
RRC
RC
RRCj
RCj
Rr
R
A
R
Cj
R
R
Cj
Rr
R
A
RXRRr
RXR
A
Rr
RXR
AGv
Ee
C
LCC
LC
LCC
LC
Ee
C
L
C
C
L
C
Ee
C
LCCEe
LCC
Ee
LCC
+
+
+
=⇒
>
⎪
⎪
⎭
⎪
⎪
⎬
⎫
+
=
=
++
+
+
=
⎟⎟
⎠
⎞
⎜⎜
⎝
⎛
++
⎟⎟
⎠
⎞
⎜⎜
⎝
⎛
+
+
=
+++
+
=
+
+
==
Entonces realizamos la grafica del numerador y del denominador
CIRCUITOS ELECTRÓNICOS Ing. Antonio Calderón
89
Característica de frecuencia del Numerador y denominador
Lo que se concluye de la gráfica es que a baja frecuencia se obtiene la ganancia máxima y
hasta ωC2 va disminuyendo; a partir de esta frecuencia la ganancia es constante pero baja.
Baja frecuencia:
max. A max. Vo
1Ee
C
Rr
R
A
+
=
Capacitor abierto
Carga en colector RC
Alta frecuencia:
1
||
Ee
LC
Rr
RR
A
+
=
Capacitor cortocircuito
Carga en colector Req
Comprobación
( )
( )
( ) ( ) ( ) ( ) ( )
( )
)(
||
1
.
.
.
.
..
frecuenciaaltaPara
)(
frecuenciabaja0Para
1
1
.
1
112
1
1
1
C1
C2
1
LQQD
Rr
RR
A
RrRR
RR
RRC
RC
Rr
R
Rr
R
A
LQQD
Rr
R
A
j
j
Rr
R
A
Ee
LC
EeLC
LC
LCC
LC
Ee
C
C
C
Ee
C
Ee
C
Ee
C
+
=
++
=
++
=
+
=
∞→
+
=
→
+
+
+
=
ω
ω
ω
ω
ω
ω
ω
ω
CIRCUITOS ELECTRÓNICOS Ing. Antonio Calderón
90
Característica de frecuencia sobre la carga (RL)
El análisis anterior era en el Terminal del colector, ahora en la carga debemos tener una
característica semejante a la característica del capacitor de entrada para poder conectarla a una
siguiente etapa por lo tanto con las graficas anteriores hacemos un arreglo de tal manera que
me genere el siguiente gráfica.
Del análisis del capacitor de salida hecho anteriormente obtenemos que:
( )
( )
( )
( )
LC
L
C
L
C
LC
C
LCC
LC
C
LC
C
LCC
C
RX
R
X
R
X
RC
RRX
RR
X
RR
X
RRC
=
=
=
=→=
+=
+
=
+
=
+
=→=
ω
ω
ω
ω
ωωω
ω
ω
ω
ω
ωωω
.
1
1
.
1
:Cuando
.
1
1
.
1
:Cuando
2
1
Del gráfico se observó que solo se va utilizar una frecuencia de corte (ωC2) y potemos decir
que esta frecuencia es el punto de división en el que el capacitor o está en cortocircuito (altas
frecuencias) o está en circuito abierto (bajas frecuencias)
CIRCUITOS ELECTRÓNICOS Ing. Antonio Calderón
91
Característica de frecuencia del capacitor para ajuste de ganancia
En el caso de la configuración en emisor común es el capacitor colocado en emisor.
A partir de la ganancia del circuito incluyendo la reactancia que produce el capacitor de
emisor obtenemos:
( )
( )
( ) ( )
E2
E1
21
E1E2
E2
2
E1
E2E1
2
21
12
21
12
21
12
2
21
2
1221
2
2
1
2
2
1
21
1
1
.
1
1
entoncessalidadecapacitordelcortedesfrecuencialasySea
.1
.1
||Sea;
.1
.1
.1
.
.1
.
1
.
.
1
||
ω
ω
ω
ω
ωω
ω
ω
ωω
ω
ω
ω
ω
ω
ω
ω
ω
ω
j
j
RRr
R
A
RC
RC
RCj
RCj
RRr
R
A
RrR
RRr
RrR
R
RRr
RrR
Cj
RCj
RRr
R
A
RCj
RrRCjRRr
R
RCj
R
Rr
R
A
R
Cj
R
Cj
Rr
R
A
RXRr
R
A
EEe
eq
EeqC
EE
EeqE
EE
EEe
eq
EeE
EEe
EeE
Eeq
EEe
EeE
E
EE
EEe
eq
EE
EeEEEEe
eq
EE
E
Ee
eq
E
E
E
E
Ee
eq
ECEEe
eq
+
+
++
=⇒
>
⎪
⎪
⎭
⎪
⎪
⎬
⎫
=
=
+
+
⋅
++
=
+=
++
+
=
++
+
+
+
⋅
++
=
+
++++
=
+
++
=
+
++
=
++
=
Del análisis anterior obtenemos que:
2
2
2
2
1
.
1
1
.
1
:Cuando
EE
E
E
E
E
EE
E
RX
R
X
R
X
RC
=
=
=
=→=
ω
ω
ω
ω
ωωω
CIRCUITOS ELECTRÓNICOS Ing. Antonio Calderón
92
EeqE
Eeq
E
Eeq
E
EeqE
E
RX
R
X
R
X
RC
=
=
=
=→=
ω
ω
ω
ω
ωωω
.
1
1
.
1
:Cuando 2
Característica de frecuencia del Numerador y denominador
Graficando la función de transferencia y ubicando los valores de ωE1 y ωE1.
A baja frecuencia hasta ωE1 (capacitor circuito abierto) en el denominador de la fórmula de la
ganancia se tiene re+RE1+RE2 y para al alta frecuencia (capacitor cortocircuito) a partir de ωE2
se tiene en el denominador re+RE1. En el intervalo desde ωE1 hasta ωE2 no hay ni circuito
abierto ni cortocircuito hay la una reactancia.
Comprobación del comportamiento del capacitor:
)(
frecuenciabaja0Para
1
1
.
21
E2
E1
21
LQQD
RRr
R
A
j
j
RRr
R
A
EEe
eq
EEe
eq
++
=
→
+
+
++
=
ω
ω
ω
ω
ω
CIRCUITOS ELECTRÓNICOS Ing. Antonio Calderón
93
( )
( )
)(
.
.
.
..
frecuenciaaltaPara
1
12
212
21
2
21E1
E2
21
LQQD
Rr
R
A
RrR
RRrR
RRr
R
RC
RC
RRr
R
RRr
R
A
Ee
eq
EeE
EEeE
EEe
eq
EeqE
EE
EEe
eq
EEe
eq
+
=
+
++
++
=
++
=
++
=
∞→
ω
ω
ω
Cuando se vaya a resolver ejercicios que requieran cumplir con condición de frecuencia se
recomienda graficar primero la característica del emisor y ubicar sus respectivas frecuencias
de corte luego dibujar las características de base y colector haciendo que coincidan las
frecuencias de corte de estos con la gráfica de las características de emisor según como se
desee y no ubicar entre las frecuencias de corte (ωE1 < ω < ωE2). Finalmente realizar la
respectiva suma de las pendientes de cada característica.
A continuación se muestra un ejemplo.
Como observamos en las graficas los “y” están rotulados con una C, esta indica característica
mas no capacitor por lo tanto en el eje que esta CE lo que señala es que es la característica del
emisor.
CIRCUITOS ELECTRÓNICOS Ing. Antonio Calderón
94
Ejercicio
A = 20
vop = 3V
RL = 7.5 kΩ
β = 100
Y tenga la siguiente característica de frecuencia
Ω=ΩΩ==
Ω=
3.8821||5.7||
1Asumo
kkRRR
kRc
LCeq
Asumimos resistencias de tolerancia 10 %
nte.termicameestableseanoquedehechoelaimportanci
pocadasequeloporfrecuenciaderespuestadepartelarealizaresejerciciodelobjetivoEl
12.44
20
3.882
56.5
5.4
2525
5.4
1
5.4
5.4Asumimos
08.4seguridaddefactorpor4.33
3.882
1
1
C
Ω=
Ω
==+
Ω===
=
Ω
==
=
≥≥⇒
Ω
Ω
≥
≥
k
A
R
Rr
mA
mV
I
mV
r
mA
k
V
R
V
I
VV
VVVVV
k
V
v
R
R
V
eq
Ee
E
e
C
RC
C
RC
RCRCRC
op
eq
RC
CIRCUITOS ELECTRÓNICOS Ing. Antonio Calderón
95
( ) ( )( ) Ω=Ω+ΩΩ=++==
Ω=ΩΩ==
Ω=∴
Ω=
−
=
−
=
Ω=∴
Ω=
+
=
+
==
=+=+=
=
>>
===
=∴
=++=++=
Ω=∴
Ω=Ω−Ω=−=
Ω===
=
≥≥⇒+≥⇒+≥
≥⇒++≥++≥
===
Ω=
Ω=Ω−Ω=−Ω=
kkRrRRinRRin
kkkRRR
kR
k
A
VV
I
VVcc
R
kR
k
A
VV
I
VV
I
V
R
AAAIII
AI
II
A
mAI
I
VVcc
VVVVVVVVcc
R
RRR
mA
V
I
V
R
VV
VVVVvV
VVVVVVvvvV
V
V
A
v
v
R
rR
EeBTB
B
B
JBEEB
B
C
B
RCCEE
E
EETE
E
E
ET
E
inp
CECEinpactopCE
op
inp
E
eE
2.23956.5101||27.4))(1(||||
27.46.5||18||
18
99.18
495
6.212
6.5
77.5
450
6.02
49545045
450
ónpolarizacidedEstabilida
45
100
5.4
relaciónlautilizamosesoparaentradadeladodeldiseñoalpasamosAhora
activareg,laenesteTBJelquemásasegurarparaVaenvioexcesoel12
65.115.415.52
390
4.405394.444
4.444
5.4
2
2
38.1Vseguridaddefactorelpor15.1V15.01V1V
15.515.023;
15.0
20
3
39
56.3856.512.4412.44
1
21
1
1
1
2
22
2
21
2
B2
CE
2
12
EEEE
1
1
β
μ
μ
μμμ
μ
μ
β
Ahora para realizar el análisis de frecuencia para el cálculo de capacitores primero se realiza
la planificación graficando cada una de las características.
CIRCUITOS ELECTRÓNICOS Ing. Antonio Calderón
96
Planificación
( )
( )
nF
nFC
CC
C
C
C
C
F
FE
EE
E
E
E
EeEE
EeqE
E
nF
nFB
BB
B
B
B
B
nFC
kkHzXf
C
kX
RLX
kHzf
FC
kHzXf
C
X
X
RrRX
RX
kHzf
nFC
kkHzXf
C
kX
RinX
kHzf
22
18
7.4
3.3
2
12
2
82
68
22.21
5.7*1..2
1
...2
1
5.7
1Para
98.3
99.39*1..2
1
...2
1
99.39
3956.5||390
||
1Para
34.72
2.2*1..2
1
...2
1
2.2
1Para
=
Ω
==
Ω=
=
=
=
Ω
==
Ω=
Ω+ΩΩ=
+=
=
=
=
Ω
==
Ω=
=
=
ππ
μ
ππ
ππ
μ
μ
Para calcular fE1
Hzf
FCX
f
RX
E
EE
E
EE
54.102
98.43*390*.2
1
...2
1
390
2
2
2
=
Ω
==
Ω==
μππ
Queremos que el capacitor de base fije el codo
nFC
F
kHz
nFkCX
f
nFC
C
BB
B
B
22
7.4C
base.delaavariennosfrecuencia
estasqueparacalculadoalmayoresvaloreselejimoscodoelfijabasedecapacitorelqueya
06.1
68*2.2*.2
1
...2
1
68
E
=
=
=
Ω
==
=
μ
ππ
CIRCUITOS ELECTRÓNICOS Ing. Antonio Calderón
97
Respuesta de frecuencia en alta frecuencia
En la región de alta frecuencia, los elementos capacitivos de relevancia son las capacitancias
interelectródicas (entre terminales) internas al dispositivo activo y la capacitancia de cableado
entre las terminales de la red. Todos los capacitores grandes de la red que controlaron la
repuesta de baja frecuencia se han reemplazado por su corto circuito equivalente debido a sus
muy bajos niveles de reactancia.
Para el análisis en alta frecuencia se añade el concepto de efecto Miller y como regla tenemos
que para cualquier amplificador inversor, la capacitancia de entrada se incrementará por una
capacitancia de efecto Miller sensible a la ganancia del amplificador y a la capacitancia
interelectródica (parásita) entre las terminales de entrada y salida del dispositivo activo.
A continuación se señala cada una de estas capacitancias en un grafico y su equivalencia por
el efecto Miller.
Se tiene la configuración en emisor común con los capacitores de baja frecuencia en
cortocircuito y considerando los capacitancias interelectródicas.
CIRCUITOS ELECTRÓNICOS Ing. Antonio Calderón
98
Se realiza el análisis respectivo para obtener el diagrama de bode de cada capacitor.
Co
( )( )
eqCoo
Ee
eq
eqo
eqOEe
eq
eqOEe
eq
Ee
O
eq
O
eq
Ee
Coeq
RX
jRr
R
A
RC
RCjRr
R
A
RCjRr
R
Rr
Cj
R
Cj
R
A
Rr
XR
A
=→=
++
=⇒
=
++
=
++
=
+
+
=
+
=
ωω
ω
ω
ω
ω
ω
ω
ω
ω
Cuando
1
1
.
1
capacitordelcortedefrecuencialaSea
..1
1
.
..1
.
1
.
1
.
||
o
1
o
o
1
11
1
Por lo tanto la gráfica es
Ce
( )
1
1
1
1
1
1
1
11
1
1
1
1
1
1
||ReSea
..1
.1
.A
.
.1
.1
.
1
.
.
1||
Ee
Ee
eE
eq
Ee
eE
e
Ee
Ee
eq
eEeEe
Eeeq
Ee
E
e
eq
E
e
E
e
e
eq
CeEe
eq
Rr
Rr
rR
Rr
rR
Cj
RCj
Rr
R
rRCjRr
RCjR
RCj
R
r
R
R
Cj
R
Cj
r
R
XRr
R
A
=
+
=
+
+
+
+
=
++
+
=
+
+
=
+
+
=
+
=
ω
ω
ω
ω
ω
ω
ω
CIRCUITOS ELECTRÓNICOS Ing. Antonio Calderón
99
eqCee
ECee
Ee
eq
eqe
Ee
eqe
Ee
Ee
eq
X
RX
Cuando
j
j
Rr
R
A
C
RC
Cj
RCj
Rr
R
Re
1
1
.
Re
1
1
capacitordelcortedesfrecuencialasySea
Re..1
.1
.A
1
11
e2
e1
1
e1e2
e2
1
e1
e2e1
1
1
=→=
=→=
+
+
+
=⇒
>
⎪
⎪
⎭
⎪
⎪
⎬
⎫
=
=
+
+
+
=
ωω
ωω
ω
ω
ω
ω
ωω
ω
ω
ωω
ω
ω
Graficando el numerador y el denominador
Cin
CIRCUITOS ELECTRÓNICOS Ing. Antonio Calderón
100
RinX
RinCin
j
Rin
Zin
RinCinj
Rin
Rin
Cinj
Rin
Cinj
Zin
RinXZin
Cini
Cin
=→=
=
+
=⇒
+
=
+
=
=
ωω
ω
ω
ω
ω
ω
ω
ω
Cuando
.
1
capacitordelcortedefrecuencialaSea
1
.
..1
.
1
.
.
1
||
i
i
i
Ahora por efecto de las capacidades parásitas podemos diseñar un circuito que tenga tanto una
codo en bajas frecuencia y otro en altas frecuencias según nuestras necesidades, si deseamos
cambiar la frecuencia de corte en alta frecuencia se puede añadir un capacitor por ejemplo en
paralelo a cualquier de los capacitores parásitos y luego se procede a diseñar con el valor de
frecuencia que se desea.
CIRCUITOS ELECTRÓNICOS Ing. Antonio Calderón
101
REALIMENTACIÓN
Es tomar una parte (una muestra) de la señal de salida y realimentarla (sumarla) con la señal
de entrada.
Tipos de realimentación
- Realimentación negativa (sinónimo de estabilidad)
- Realimentación positiva (sinónimo de inestabilidad)
Sistema de lazo abierto
· (1)
( )·
· · (2)
De (1) y (2) · (3)
(3)
(1)
Vo AVin
Vo Vo A A Vin
Vo Vo AVin AVin
Vo AVin
Vo A
Vo A
=
+ Δ = + Δ
+ Δ = + Δ
→ Δ = Δ
Δ Δ
→ =
Sistema de lazo cerrado
- Se producirá realimentación negativa cuando en el sumador se dé efectivamente la resta
de las 2 señales, es decir: fVin V−
- Se tendrá realimentación positiva cuando en el sumador se dé efectivamente la suma de
las 2 señales, es decir: fVin V+
CIRCUITOS ELECTRÓNICOS Ing. Antonio Calderón
102
Realimentación Negativa
desfasada 180º respecto a
f
f
f
Ve Vin V
V Vin
Vin V
= −
>
Realimentación Positiva
en fase respecto a
f
f
Ve Vin V
V Vin
= +
Ganancia el lazo cerrado f
Vo
G A
Vin
= =
( )
( )
·
·
· · ·
f
Vo AVe
A Vin V
A Vin BVo
AVin A BVo
=
= −
= −
= −
( )1 · ·
Para Realimentación Negativa
1 ·
Vo A B AVin
Vo A
G
Vin A B
+ =
= = →
+
CIRCUITOS ELECTRÓNICOS Ing. Antonio Calderón
103
( )
( )
·
·
· · ·
f
Vo AVe
A Vin V
A Vin BVo
AVin A BVo
=
= +
= +
= +
( )1 · ·
Para Realimentación Positiva
1 ·
Vo A B AVin
Vo A
G
Vin A B
− =
= = →
−
Tomando en general
1 ·
A
G
A B
=
−
Realimentación Negativa
1 ( ) 1
A A
G
A B AB
−
⇒ = = −
− − +
El signo negativo indica únicamente el
defasamiento entre la señal de salida
y la señal de entrada
Otra opción
1 ( ) 1
A A
G
A B AB
⇒ = =
− − +
CIRCUITOS ELECTRÓNICOS Ing. Antonio Calderón
104
Realimentación Positiva
1
A
G
AB
⇒ =
−
Otra opción
1 ( )( ) 1
A A
G
A B AB
−
⇒ = = −
− − − −
REALIMENTACIÓN NEGATIVA
La realimentación (feedback en inglés) negativa es ampliamente utilizada en el diseño de
amplificadores ya que presenta múltiples e importantes beneficios. Uno de estos beneficios es
la estabilización de la ganancia del amplificador frente a variaciones de los dispositivos,
temperatura, variaciones de la fuente de alimentación y envejecimiento de los componentes.
Otro beneficio es el de permitir al diseñador ajustar la impedancia de entrada y salida del
circuito sin tener que realizar apenas modificaciones. La disminución de la distorsión y el
aumento del ancho de banda hacen que la realimentación negativa sea imprescindible en
amplificadores de audio y etapas de potencia. Sin embargo, presenta dos inconvenientes
básicos. En primer lugar, la ganancia del amplificador disminuye en la misma proporción con
el aumento de los anteriores beneficios. Este problema se resuelve incrementando el número
de etapas amplificadoras para compensar esa pérdida de ganancia con el consiguiente
aumento de coste. El segundo problema está asociado con la realimentación al tener tendencia
a la oscilación lo que exige cuidadosos diseños de estos circuitos.
La teoría de realimentación exige considerar una serie de suposiciones para que sean válidas
las expresiones que se van a obtener seguidamente. Estas suposiciones son:
- La señal de entrada se transmite a la salida a través del amplificador básico y no a través
de la red de realimentación.
CIRCUITOS ELECTRÓNICOS Ing. Antonio Calderón
105
- La señal de realimentación se transmite de la salida a la entrada únicamente a través de la
red de realimentación y no a través del amplificador básico.
- El factor B es independiente de la resistencia de carga (RL) y de la resistencia de la fuente.
En las dos primeras suposiciones se aplica el criterio de unidireccionalidad a través de A y a
través de B, respectivamente. Estas suposiciones hacen que el análisis de circuitos aplicando
teoría de realimentación y sin ella difieran mínimamente. Sin embargo, la teoría de
realimentación simplifica enormemente el análisis y diseño de amplificadores realimentados y
nadie aborda directamente un amplificador realimentado por el enorme esfuerzo que exige.
Ventajas
- Estabilización de la ganancia
- Cambio en las impedancias de entrada y salida
- Extensión de la respuesta de frecuencia (ampliación del Ancho de Banda)
- Disminución de la distorsión no lineal o de amplitud, y en algunos casos del ruido.
Estabilización de la ganancia
Las variaciones debidas al envejecimiento, temperatura, sustitución de componentes, etc.,
hace que se produzca variaciones en el amplificador básico y, por consiguiente, al
amplificador realimentado.
Si AB >> 1
donde B es generalmente un divisor de tensión
A
G
B
∴→ =
Para el divisor de tensión se recomienda usar resistencias de precisión.
( )Si AB >> 1 y B = 1
1
pero siempre
Se cumple mejor mientras mayor sea A mínima
fV Vo
G Vo Vin
Vo Vin
Ve
=
∴→ = ⇒ =
<
⇒ →
CIRCUITOS ELECTRÓNICOS Ing. Antonio Calderón
106
Si AB >> 1 y B < 1
1 AmplificadorG∴→ = ⇒
( )
( )
2
2
1
1
·
1
1
·
1
1
·
1
1
·
1
A
G
AB
dG dA
AB
dG dA
G GAB
dG dA
G AB A
G A
G AB A
=
+
=
+
=
+
=
+
Δ Δ
⇒ =
+
Los peores enemigos de la estabilidad suelen ser los elementos activos (transistores). Si la red
de realimentación contiene solamente elementos pasivos estables se logra una alta estabilidad.
Ejercicio
5
3
1
20%
1%
1
100
L
G
Vo V
R K
A
A
G
G
f KHz
β
=
=
= Ω
Δ
=
Δ
=
=
− − − − − − − −
=
Empezamos por el análisis matemático
1
·
1
1
1 ·20
1
1 20
19
G A
G AB A
AB
AB
AB
Δ Δ
=
+
=
+
+ =
=
CIRCUITOS ELECTRÓNICOS Ing. Antonio Calderón
107
( )
1
1
5 20
100
A
G
AB
A G AB
A
=
+
= +
= ×
=
19
19 19
100
0.19
AB
B
A
B
=
= =
=
Terminado el análisis matemático previo
Circuito a implementarse
Comenzando el diseño de la 2ª Etapa
CIRCUITOS ELECTRÓNICOS Ing. Antonio Calderón
108
2Asumo 1CR K= Ω
2
2
2
2
2
·
Re
1
·3
0.5
6 1.3 7.8
8
C
RC p
RC
RC
R
V Vo
q
K
V
K
V V V
V V
≥
≥
≥ → × =
=
2
2
2
2
8
1
8
CR
C
C
C
V
I
R K
I mA
= =
=
2
2
2
2 3
2
25 25
3.125
8
Re 0.5
50 existe estabilidad
10
e
C
e E
mV m
r
I m
q K
r R
A
= = = Ω
+ = = = →
3 2
3
50 50 3.125 46.875
47
E e
E
R r
R
= − = − =
= Ω
2
2
2
3 0.3 2 5.3
1 1 0.3 1.3 1.3 1.69
2
CE p p act
E p
E
V Vo Vin V V
V Vin
V V
≥ + + = + + =
= + = + = → × =
=
2 2 2 8 5.3 2 15.3
18
CC RC CE E
CC
V V V V
V V
= + + = + + =
=
2
2
2
4 2 3
4
2
250
8
250 47 203
220
E
ET
C
E ET E
E
V
R
I m
R R R
R
= = = Ω
= − = − =
= Ω
CIRCUITOS ELECTRÓNICOS Ing. Antonio Calderón
109
2
2
4
3 2 4
8
80
100
10 800
80 800 880
C
B
B
B
I m
I A
I I A
I I I A
μ
β
μ
μ μ μ
= = =
= =
= + = + =
2
4 4
4
2 0.6
3.25 3.3
800
E JBEV V
R K R K
I μ
+ +
= = = → = Ω
3
3
3
18 2 0.6
17.5
880
18
CC E JBEV V V
R K
I
R K
μ
− − − −
= = =
= Ω
2 2 3
2 3 3 4
2
( 1)( ) ||
( 1)( ) || ||
101(3.125 47) ||18 ||3.3
1.798
in e E B
e E
in
R r R R
r R R R
K K
R K
β
β
= + +
= + +
= +
= Ω
Diseñando la 1ª Etapa
1Asumo 1CR K= Ω
1
2
1
1
·
Re
1
·0.3 1.3 0.608
641.578
6 Distribuyendo de una vez (para no poner solo 1V)
C
RC p
RC
R
V Vo
q
K
V V
V V
≥
≥ → × =
= →
1
1
1
6
6
1
RC
C
C
V
I mA
R K
= = =
1
1
1
1 1
1
25 25
4.167
6
Re 641.578
64.158 es estable
10
e
C
e E
mV m
r
I m
q
r R
A
= = = Ω
+ = = = →
CIRCUITOS ELECTRÓNICOS Ing. Antonio Calderón
110
1 1
1
64.158 64.158 4.167 59.991
62
E e
E
R r
R
= − = − =
= Ω
1
1
1 1
3 0.03 2 2.33 (necesario)
1 1 0.03 1.03 1.3 1.339 (necesario)
Dispongo de 12 V 6 6
CE p p act
E p
CE E
V Vo Vin V V
V Vin V
V V y V V
≥ + + = + + =
= + = + = → × =
→ = =
1
1
1
2 1 1 2
6
1
6
1 62 938 1
E
ET
C
E ET E E
V
R K
I m
R R R K R K
= = = Ω
= − = − = → = Ω
1
1
2 1
1 1 2
6
60
100
10 600
60 600 660
C
B
B
B
I m
I A
I I A
I I I A
μ
β
μ
μ μ μ
= = =
= =
= + = + =
1
2 2
2
6 0.6
11 10
600
E JBEV V
R K R K
I μ
+ +
= = = → = Ω
1 1
1
18 6 0.6
17.273 18
330
CC E JBEV V V
R K R K
I μ
− − − −
= = = → = Ω
Para la realimentación:
CIRCUITOS ELECTRÓNICOS Ing. Antonio Calderón
111
||
·
||
||
0.19
||
A
f p
A
f A
A
Rb Rin
V Vo
Ra Rb Rin
V Rb Rin
B
Vo Ra Rb Rin
=
+
= = =
+
Por facilidad hacemos:
· Habiendo hecho
0.19
A
f A
f A
f A
f A
Rin
V Vo Rb Rin
R Rin
V Rin
B
Vo R Rin
= → >>
+
= = =
+
1 2
1
1
1
1
||
|| VALOR REAL
1
(?!) CON ERROR
0.19
264.3 500 Potenciómetro del doble corregir error
A E e
A E
E
f E
f
R R Rg
Rin R r
Rin R
R
B
R R
R P
β
⎛ ⎞+
= +⎜ ⎟+⎝ ⎠
=
→ = =
+
→ = Ω → = Ω →
Si hubiésemos hecho en una sola etapa, habríamos tenido que conectar la realimentación a
BASE.
CIRCUITOS ELECTRÓNICOS Ing. Antonio Calderón
112
Calculando el capacitor adicional tenemos que 1
1
E
f Cf E
R
B
R X R
=
+ +
Teniendo que cumplirse que 1Cf f EX R R<< +
Para tener un comportamiento adecuado es necesario que:
- El bloque B NO cargue al bloque A
- El bloque A NO cargue al bloque B
Para que el bloque B NO cargue al bloque A:
Caso IDEAL
Caso PRÁCTICO
B
B A
Rin
Rin Ro
= ∞ →⎧
⎨
>> →⎩
Para que el bloque A NO cargue al bloque B:
Caso IDEAL
Caso PRÁCTICO
A
A B
Rin
Rin Ro
= ∞ →⎧
⎨
>> →⎩
Pasos de Diseño
- Asumimos Rf para que el bloque B no cargue el bloque A
f LR R>>
- De la expresión para el bloque B, 1
1
E
f E
R
B
R R
=
+
, determinamos RE1.
CIRCUITOS ELECTRÓNICOS Ing. Antonio Calderón
113
- Asumiendo la 1ª Etapa estable (re despreciable), 1
1
1
Re
E
q
A
R
≈ , de donde obtenemos Req1.
Siendo 1 1 2 2|| obtenemos condición deCReq R Rin Rin= →
2 1 Para comenzar el diseño de la 2ª EtapaRin Req→ ≥ →
Impedancias de entrada y salida
La realimentación negativa, mejora las características de las impedancias de entrada y salida
del amplificador realimentado, respecto del amplificador sin realimentar. Por ejemplo para el
caso de un amplificador de tensión, es deseable que presente una alta impedancia de entrada
para la fuente de señal y una baja impedancia de salida para la carga. La alta impedancia de
entrada, evita la sobrecarga y la caída de tensión en la impedancia interna de la fuente de
señal. La baja impedancia de salida, tiende a idealizar el equivalente de thevenin de la salida
del amplificador, evitando las variaciones de tensión de la salida, por caída de tensión en esta
impedancia, ante variaciones de la carga.
Extensión de la respuesta en frecuencia
Una de las características más importantes de la realimentación es el aumento del ancho de
banda del amplificador que es directamente proporcional al factor de desensibilización
1 AB+ .
Para demostrar esta característica, consideremos un amplificador básico que tiene una
frecuencia de corte superior Cf . La ganancia de este amplificador se puede expresar como:
1
O
C
A
A
f
j
f
=
+
siendo OA la ganancia a frecuencias medias y f la frecuencia de la señal de entrada.
CIRCUITOS ELECTRÓNICOS Ing. Antonio Calderón
114
Pasando a un sistema realimentado
( )
1
1
·
1
1
1 ·
1
·
1 · 1
1 ·
C
C
C
C
A
G
AB
Ao
f
j
f
G
Ao B
f
j
f
Ao
G
f
Ao B j
f
Ao
G
fAo B j
f Ao B
=
+
+
=
+
+
=
+ +
=
+ +
+
Como se puede observar claramente en la ecuación obtenida y en el gráfico, se aumenta el
ancho de banda. Sin embargo, este aumento es proporcional a la disminución de la ganancia
del amplificador. Por ejemplo, si a un amplificador con una Ao = 1000 con una ƒc =200 kHz
se le introduce una realimentación tal que 1+AB = 20, entonces su ƒ aumenta hasta 4 MHz
aunque su ganancia disminuye a Ao = 50.
Disminución de la dispersión no lineal o de amplitud
La realimentación negativa en amplificadores reduce las características no lineales del
amplificador básico y, por consiguiente, reduce su distorsión.
Sin realimentación
( )
( )
2
2 1
2 1
·
·
Vo A Ve
A Vo Vd
A A Vin Vd
=
= +
= +
CIRCUITOS ELECTRÓNICOS Ing. Antonio Calderón
115
1 2 2· · ·Vo A A Vin A Vd= +
Con Realimentación
( )
( )
( )
( )
2 2
2 1
2 1 1
1 2 1 2
1 2 2
1 2 2
1 2 1 2 2
·
·
· · ·
· ·
· · ·
· · · · · ·
f
Vo A Ve
A Vo Vd
A A Ve Vd
A A Ve A Vd
A A Vin V A Vd
A A Vin BVo A Vd
A A Vin A A BVo A Vd
=
= +
= +
= +
= − +
= − +
= − +
1 2 1 2 2(1 · · ) · · ·Vo A A B A A Vin A Vd+ = +
1 2 2
1 2 1 2
·
· ·
1 · · 1 · ·
A A A
Vo Vin Vd
A A B A A B
= +
+ +
Hemos bajado la distorsión→
Reducción del ruido
En términos generales, respecto al ruido, podemos decir que la realimentación negativa
reduce los niveles de estas tensiones eléctricas indeseables. El ruido y la distorsión presentes
en la salida de un amplificador pueden considerarse como consecuencias de la introducción de
una tensión espuria en alguna sección del amplificador y que es amplificada por la parte del
amplificador comprendida entre el punto de inyección y la salida. Merced al circuito de
realimentación, esta tensión vuelve al punto de origen y, si la realimentación es negativa, llega
a este con fase opuesta a la original y tiende a anular la que le dio origen.
- Ruido Blanco: es una señal aleatoria que se caracteriza porque sus valores de señal en dos
instantes de tiempo diferentes no guardan correlación estadística. Como consecuencia de
ello, su densidad espectral de potencia es una constante. Esto significa que la señal
contiene todas las frecuencias y todas ellas tienen la misma potencia. Igual fenómeno
ocurre con la luz blanca, lo que motiva la denominación.
CIRCUITOS ELECTRÓNICOS Ing. Antonio Calderón
116
- Ruido periódico: es más fácil de eliminar (como el rizado)
Formas de Realimentación
Un amplificador es diseñado para responder a tensiones o corrientes a la entrada y para
suministrar tensiones o corrientes a la salida. En un amplificador realimentado, el tipo de
señal muestreada a la salida (corriente o tensión) y el tipo de señal mezclada a la entrada
(tensión o corriente) dan lugar a cuatro tipos de topologías:
1) Realimentación de tensión en serie
2) Realimentación de tensión en paralelo
3) Realimentación de corriente en serie, y,
4) Realimentación de corriente en paralelo
Realimentación de Voltaje
Desde el punto de vista ideal
·
en paralelo (divisor de voltaje)
f
f
Rb
V Vo
Ra Rb
V Rb
B
Vo Ra Rb
=
+
= = →
+
Modelo equivalente de voltaje
CIRCUITOS ELECTRÓNICOS Ing. Antonio Calderón
117
Este modelo es adecuado cuando
i S
O L
Z R
Z R
>>
<<
Realimentación de Corriente
en serie→
1 f
o f
o L
f
L
V
B
Vo
i R
i R
R
B
R
→ =
=
→ =
2 ·
Para que el bloque B
no cargue al bloque A
f
f
L f
f
L f
f L
f
L
R
V Vo
R R
RVf
B
Vo R R
Si R R
R
B
R
→ =
+
= =
+
<<
∴ =
Modelo equivalente de corriente
Este modelo es adecuado cuando
i S
O L
Z R
Z R
<<
>>
CIRCUITOS ELECTRÓNICOS Ing. Antonio Calderón
118
Realimentación de Voltaje en serie
·
·f
Vo AVe
V BVo
=⎧
⎨
=⎩
Realimentación de Voltaje en paralelo
·
·
e
f
Vo Ai
i BVo
=⎧
⎨
=⎩
Realimentación de Corriente en serie
Otra configuración de realimentación consiste en seleccionar muestras de la corriente de
salida y devolver un voltaje proporcional en serie con la entrada. Al mismo tiempo que se
estabiliza la ganancia del amplificador, la conexión con realimentación de corriente en serie,
incrementa la resistencia de entrada.
CIRCUITOS ELECTRÓNICOS Ing. Antonio Calderón
119
·
·
o
f o
i AVe
V B i
=⎧
⎨
=⎩
Realimentación de Corriente en paralelo
·
·
o e
f o
i Ai
i B i
=⎧
⎨
=⎩
Impedancia de entrada
Realimentaciones en serie (tanto de voltaje como de corriente)
( )1fZin AB Zin= +
Realimentaciones en paralelo (tanto de voltaje como de corriente)
( )1
f
Zin
Zin
AB
=
+
Impedancia de salida
CIRCUITOS ELECTRÓNICOS Ing. Antonio Calderón
120
Realimentación de Voltaje
( )1
f
Zo
Zo
AB
=
+
Realimentación de Corriente
( )1fZo AB Zo= +
Ejercicio
5
5
470
15%
1%
1
100
L
f
G
Vo V
R
A
A
G
G
Zin K
β
=
=
= Ω
Δ
=
Δ
=
≥ Ω
− − − − − − −
=
Análisis matemático
1
·
1
1
1 ·15
1
1 15
14
G A
G AB A
AB
AB
AB
Δ Δ
=
+
=
+
+ =
=
( )
1
1
5 15
75
A
G
AB
A G AB
A
=
+
= +
= ×
=
CIRCUITOS ELECTRÓNICOS Ing. Antonio Calderón
121
19
14 14
75
0.187
AB
B
A
B
=
= =
=
Haciendo realimentación de voltaje en paralelo
( )
1
1
1 ·1
15·1
15
f
Zin
Zin K
AB
Zin AB K
K
Zin K
= ≥
+
≥ +
≥
≥ Ω
Asumiendo ganancias 1 215 y 5A A= =
1
1 1
1
·
1
15
·15
100
2.25
A
Req Rin
K
Req K
β
≥
+
≥
≥
2
2 2
2
·
1
5
·2.25
100
112.5
A
Req Rin
K
Req
β
≥
+
≥
≥
1 2|| 2.25CR Rin K≥ Ω 2
2
|| 112.5
147.902
C LR R
Rc
≥
≥ Ω
Haciendo que el bloque B no cargue al bloque A
Asumo 4.7
f L
f
R R
R K
>>
= Ω
1
1
1
1 1
· (0.187)(4.7 )
1 0.187 1
1.08 1
E
f E
f
E
E E
R
B
R R
B R K
R
B
R K R K
=
+
= − = −
− −
= → = Ω
CIRCUITOS ELECTRÓNICOS Ing. Antonio Calderón
122
1
1 e1 1
1 1
1
1
1
1
1 2
2
Asumiendo estabilidad para esta etapa
15 1 15
|| 15
15
E
e E
E
C
Req
A r R
r R
Req
A
R
Req K K
R Rin K
Rin K
= → <<
+
=
= × = Ω
=
→ ≥ Ω
2
2 2·
1
5
·15
100
A
Req Rin
K
β
≥
+
≥
2 || 750C LR R ≥ Ω
470
↑
Ω
Utilizando Darlington en la 2ª Etapa
2
2 2
2
·
5
·15
10000
7.5
D
A
Req Rin
K
Req
β
≥
≥
≥ Ω
2
2
|| 750
470
7.62
C L
C
R R
R
≥ Ω
↑
Ω
≥ Ω
Resumiendo
Para:
2
2 2
1
147.9
Recalculando con Darlington en A 1.12
f
C
C
Zin K
R
R
≥ Ω
→ ≥ Ω
→ ≥ Ω
CIRCUITOS ELECTRÓNICOS Ing. Antonio Calderón
123
Para que B no cargue a A:
2 27.62 (A con Darlington)CR→ ≥ Ω
2 7.62 (Cumpliendo Ambas Condiciones)CR⇒ ≥ Ω
REALIMENTACIÓN POSITIVA
La utilización de realimentación positiva que da por resultado un amplificador con
realimentación que cuenta con ganancia de lazo cerrado G mayor a uno y que satisface las
condiciones de fase, provocará una operación de circuito oscilador. Un circuito oscilador
como tal ofrece una señal variante de salida.
Circuitos Osciladores
Un circuito oscilador es aquel que genera una señal de salida, a una frecuencia determinada,
sin señal de entrada. La señal generada puede ser alterna o continua fluctuante (una sola
dirección, lo que cambia es la amplitud).
Tipos de osciladores
Onda sinusoidal
Los osciladores sinusoidales juegan un papel importante en los sistemas electrónicos que
utilizan señales armónicas. A pesar de que en numerosas ocasiones se les denomina
osciladores lineales, es preciso utilizar alguna característica no lineal para generar una onda
de salida sinusoidal. De hecho, los osciladores son esencialmente no lineales lo que complica
las técnicas de diseño y análisis de este tipo de circuitos. El diseño de osciladores se realiza en
dos fases: una lineal, basado en métodos en el dominio frecuencial que utilizan análisis de
circuitos realimentados, y otra no lineal, que utiliza mecanismos no lineales para el control de
amplitud.
Únicamente se debe satisfacer la condición BA = 1 para que se obtengan oscilaciones
autosostenidas. En la práctica, BA se hace mayor a 1 y el sistema comienza a oscilar mediante
la aplicación de voltaje de ruido, que siempre está presente. Los factores de saturación en el
circuito práctico proporcionan un valor ‘promedio’ de BA de 1. Las formas de onda
resultantes nunca son exactamente senoidales, sin embargo, mientras más cercano se
encuentre el valor de BA a 1, la forma de onda será más cercana a una senoidal.
Una diferencia fundamental respecto a los circuitos multivibradores es que estos últimos son
circuitos no lineales (basados en comparadores, disparadores de Schmitt, etc.) frente a los
circuitos cuasi-lineales de los osciladores.
CIRCUITOS ELECTRÓNICOS Ing. Antonio Calderón
124
Onda no sinusoidal
Dentro de este tipo se encuentran los osciladores de relajación, los cuales emplean
dispositivos biestables tales como conmutadores, disparadores Schmitt, puertas lógicas,
comparadores y flip-flops que repetidamente cargan y descargan condensadores. Las formas
de onda típicas que se obtiene con este método son de tipo triangular, cuadrada, exponencial o
de pulso.
Aplicaciones
- En transmisión y recepción de radio y TV (como oscilador local generador de señales
portadoras).
- En calentamiento dieléctrico o inductivo.
- En equipos de medida y/o laboratorio.
Condiciones básica de oscilación
1. El circuito básicamente debe ser un amplificador.
2. Debe tener realimentación positiva.
3. La cantidad de realimentación debe ser suficiente para vencer las pérdidas del circuito de
entrada.
( )
( )
·
·
· · ·
f
Vo AVe
A Vin V
A Vin BVo
AVin A BVo
=
= +
= +
= +
( )1 · ·
1 ·
Vo A B AVin
Vo A
G
Vin A B
− =
= =
−
Para que el circuito oscile:
CIRCUITOS ELECTRÓNICOS Ing. Antonio Calderón
125
( )( ) 1
1
( )( ) 1
G
A B
AB
A B
= ∞
+ + =⎧
→ = ⎨
− − =⎩
0º
0º
0º
A
AB
B
=⎧
⇒ =⎨
=⎩
180º
360º
180º
A
AB
B
=⎧
⇒ =⎨
=⎩
Las condiciones de oscilación que tenemos son:
1 1
0º 360º 2
AB
AB ó
⎧ =⎪
⎨
=⎪⎩
Las Funciones de Transferencia (FT)
r i
r i
A A jA
B B jB
= +
= +
tan i
r
A
A
α = tan i
r
B
B
β =
( )( )
2 2 2 2
2 2 2 2
1
1
· 1
1
1
r i r i
r i r i
AB
A B
A A B B
A A B B
=
=
+ + + =
+ + =
CIRCUITOS ELECTRÓNICOS Ing. Antonio Calderón
126
2
0º 360º
0º tan 0
0º
º tan 0
0tan 0
tan 0 0
180º tan 0
360º
18 º tan 0
i
i
AB ó
A
Para AB
B
A
B
A
Para AB
B
α α
β β
α
β
α α
β β
=
= = =⎧
= → ⎨
= = 0 =⎩
== ⎫
⇒ ∴⎬
= =⎭
= = =⎧
= → ⎨
= = 0 =⎩
1 · 1r rA B∴ → =
Generalmente encontramos la FT del bloque B
Circuito oscilador de desplazamiento de fase u oscilador RC
Todos los osciladores involucran uno o más elementos almacenadores de energía. En forma
general se pueden clasificar según el tipo de almacenadores. Tenemos, así, los osciladores LC,
que utilizan capacitores e inductores, y los osciladores RC, que utilizan capacitores y
resistores. Para frecuencias menores que 100 KHz, se trata de evitar el uso de bobinas,
surgiendo así los osciladores RC.
Este tipo de oscilador sigue el desarrollo básico de un circuito realimentado, es decir, la
ganancia de lazo AB es mayor que la unidad y el corrimiento de fase alrededor de la red de
realimentación es de 180º (proporcionando realimentación positiva).
Cada conjunto de RC produce un defasamiento de 60º
CIRCUITOS ELECTRÓNICOS Ing. Antonio Calderón
127
Vo
·
||
o
L
X
Vo i Req
Req Rc R
R R Rin
=⎧
⎪
=⎨
⎪ = +⎩
?f
r i
V
B B jB
Vo
= = + =
De este desarrollo tenemos
( )
( ) ( )
( )
( )
2 3 3 3 3 3 2 3 3
2 22 2 2 2 2 3 3 3 2 3 3
2 3 3 2 2 2 2 2
22 2 2 2 2 3 3 3 2 3
· · · · · 3 · · · 5 · · · ·
1 6 · · 4 · · · · · 3 · · · 5 · · · ·
· · · 1 6 · · 4 · · ·
1 6 · · 4 · · · · · 3 · · ·
R Rin C R C R Req C R C Req C
B
R C R Req C R C R Req C R C Req C
R Rin C R C R Req C
j
R C R Req C R C R Req
ω ω ω ω ω
ω ω ω ω ω ω
ω ω ω
ω ω ω ω
+ − +
= −
− − + + − +
− −
−
− − + +( )
23
5 · · · ·C R C Req Cω ω− +
Para que el circuito oscile:
0
1
,
2 6 4
i
OSC
B
Req
f K
RRC Kπ
=
→ = =
+
2
· 1
29 23 4
r r
r
A B
A K K
=
→ = + +
CIRCUITOS ELECTRÓNICOS Ing. Antonio Calderón
128
2
2
2
29 23 4
4 23 29 0
23 23 4(4)(29 )
8
23 65 16
como únicamente puede ser (+)
8
23 65 16
8
A K K
K K A
A
K
A
K
A
K
= + +
+ + − =
− ± − −
=
− ± +
=
− + +
⇒ =
65 16 23
65 16 529 29
A
A A
+ >
+ > → >
Ejercicio
3
1
2
L
OSC
Vo V
R K
f KHz
=
≥ Ω
=
Asumo A=40
23 65 16
8
23 65 16(40)
8
0.444
A
K
K
− + +
=
− + +
=
=
Asumo 1CR K= Ω
|| 1 ||1 500
500
1.126 1.2
0.444
C LReq R R K K
Req
R K R K
K
= = = Ω
= = = → = Ω
Calculando C
CIRCUITOS ELECTRÓNICOS Ing. Antonio Calderón
129
1
2 · · 6 4
1
2 (1.2 )(2 ) 6 4(0.444)
23.781
OSC
C
R f K
K K
C nF
π
π
=
+
=
+
=
Desde este punto se diseña como se ha venido haciendo
Asumo resistencias de Tolerancia ≤ 20 %
1
· 1.3 3 1.3 7.8
0.5
8
C
RC
RC
R
V Vop V
Req
V V
≥ × = × × =
=
8
8
1
RC
C
C
V
I mA
R K
= = =
1
25 25
3.125
8
500
12.5 No es estable
40
e
C
e E
mV m
r
i m
Req
r R
A
= = = Ω
+ = = = Ω →
Corrigiendo la estabilidad, asumo 1er = Ω
25 25
25
1
C
e
mV m
I mA
r
= = =
· (25 )(1 ) 25RC C CV I R m K V= = =
1 112.5 12.5 1 11.5 12E e ER r R= − = − = → = Ω
E
0 debido a que es oscilador
V 1
p
p
Vin
Vin
= →
= +
0
E
1 1.3 1.3
V 2
V
V
= → × =
=
1 debe ser exacto - NO redondear1 3 4
4
CE p
CE
V Vo
V V
= + = + = →
=
CIRCUITOS ELECTRÓNICOS Ing. Antonio Calderón
130
2
80
25
E
ET
C
V
R
I m
= = = Ω
25 4 2
31
CC RC CE E
CC
V V V V
V V
= + +
= + +
=
NOTA:
Si realizamos algún redondeo en VCC debemos:
- Mandar el voltaje sobrante a VE y,
- Recalcular RE2
CIRCUITOS ELECTRÓNICOS Ing. Antonio Calderón
131
2
1
25
250
100
10 10 250 2.5
11 11 250 2.75
C
B
B
B
I m
I A
I I mA
I I mA
μ
β
μ
μ
= = =
= = × =
= = × =
1 31 0.6 2 28.4R CC JBE EV V V V V= − − = − − =
1
1 1
1
2 2
2
28.4
10.327 10
2.75
2 0.6
1.04 1
2.5
R
B
V
R K R K
I m
V
R K R K
I m
= = = → = Ω
+
= = = → = Ω
1 2|| || || 537.17B T TRin R Rin R R Rin= = = Ω
1.2 KΩ 1.2 KΩ
23.8 nF 23.8 nF 23.8 nF
Rx = 662.83 Ω
Rin = 537.17 Ω
Vo
Ponemos potenciómetro del doble
Si el valor de Rin saldría mayor a lo requerido tendríamos que realizar el siguiente
procedimiento:
Ejemplo
1 2|| || 2 Ya NO necesitamosT XRin R R Rin K R= = Ω →
1 2|| || 1.2
?
TR R Rin K′⇒ = Ω
↑ ↓ ↑
Tenemos que calcular R2’ y cambiar el circuito de la siguiente manera:
CIRCUITOS ELECTRÓNICOS Ing. Antonio Calderón
132
Donde sería mejor utilizar un potenciómetro en R2’.
NOTA:
En el diseño 1LR K≥ Ω , debido a que para valores mayores el diseño funciona, pero:
- Oscila a una frecuencia distinta.
- El Vo es mayor.
- Existe demasiada realimentación.
Hay que tener en cuenta que al elegir el valor de A (ganancia) debemos considerar la
tolerancia de las resistencias a utilizarse y su respectivo factor de seguridad.
Diseño para que el bloque B no cargue al bloque A
3
1
2
L
OSC
Vo V
R K
f KHz
=
≥ Ω
=
En forma aproximada LR R>> , para lograr que el bloque B no cargue al A.
Asumo 10R K= Ω
Comenzando el diseño del amplificador, asumo 1CR K= Ω
1 ||1
0.05
10
Req K K
K
R K
= = =
2 2
29 23 4 29 23(0.05) 4(0.05)
30.16
A K K
A
= + + = + +
=
CIRCUITOS ELECTRÓNICOS Ing. Antonio Calderón
133
Obtenido este valor se debe hacer una consideración acerca de la tolerancia de las resistencias.
En este caso todas las resistencias a utilizarse deberían ser de una tolerancia < 4%.
1
2 · · 6 4
1
2 (10 )(2 ) 6 4(0.05)
3.196
OSC
C
R f K
K K
C nF
π
π
=
+
=
+
=
El resto del diseño se realiza de manera similar a la que se ha venido utilizando.
Otro diseño para que el bloque B no cargue al bloque A
3
1
2
L
OSC
Vo V
R K
f KHz
=
≥ Ω
=
Para que el bloque B no cargue al A: R Req>>
Asumo 1CR K= Ω
|| 1 ||1 0.5C LReq R R K K K= = =
Entonces, asumo 5.6R K= Ω
0.5
0.0893
5.6
Req K
K
R K
= = =
2 2
29 23 4 29 23(0.0893) 4(0.0893)
31.085
A K K
A
= + + = + +
=
Al igual que en la anterior opción, es necesario considerar la tolerancia requerida para las
resistencias con las cuales vamos a trabajar. En este ejemplo todas las resistencias a utilizarse
deberían ser de una tolerancia < 7%.
1
2 · · 6 4
1
2 (5.6 )(2 ) 6 4(0.0893)
5.636
OSC
C
R f K
K K
C nF
π
π
=
+
=
+
=
CIRCUITOS ELECTRÓNICOS Ing. Antonio Calderón
134
Oscilador de puente de Wien
El oscilador de desplazamiento de fase estudiado es muy sencillo y funciona con facilidad.
Sin embargo, su estabilidad en frecuencia es más bien pobre, haciéndolo inviable para
aplicaciones de precisión.
Se puede sustituir la red de desplazamiento de fase por un circuito conocido como puente de
Wien cuya aplicación más conocida es la medición de impedancias.
El amplificador operacional se constituye en el bloque A, pero también podría hacerse con
TBJ’s.
Para la realimentación negativa (bloque B) tenemos:
CIRCUITOS ELECTRÓNICOS Ing. Antonio Calderón
135
2 2
1 1 2 2
2 2
1 1 2 2
||
·
||
||
||
:
:
?
C
f
C C
f C
C C
r i
R X
V Vo
R X R X
V R X
B
Vo R X R X
B B jB
=
+ +
= =
+ +
= + =
( )
( ) ( )
2
1 2 1 1 2 2 1 2
2 22 2
1 2 1 2 1 1 2 2 1 21
r
C R C R C R C R
B
C C R R C R C R C R
ω
ω ω
+ +
=
− + + +
( )
( ) ( )
2
1 2 1 2 1 2
2 22 2
1 2 1 2 1 1 2 2 1 2
1
1
r
C R C C R R
B
C C R R C R C R C R
ω ω
ω ω
−
=
− + + +
1 2 1 2
1
0
2
i OSCB f
C C R Rπ
= → =
1 2
1 1 2 2 1 2
1 1 2 2 1 2
1 2
r
r
C R
B
C R C R C R
C R C R C R
A
C R
∴ =
+ +
+ +
=
El la práctica lo que se hace es 1 2
1 2
C C C
R R R
= =⎧
⎨
= =⎩
Entonces
1
2 · ·
1
3
3
OSC
r r
f
C R
B A
π
=
∴ = ∧ =
1
1
3
3
f
r
f
V
B B
Vo
Vo
V V
= = =
= =
CIRCUITOS ELECTRÓNICOS Ing. Antonio Calderón
136
Para que el puente esté equilibrado 1 2V V=
·
3
3
2
Rb Vo
Vo
Ra Rb
Rb Ra Rb
Ra Rb
=
+
= +
=
Con amplificador operacional
Un factor a considerar en este caso es que debido a que la corriente de salida (IO) está en
unidades de mA vamos a requerir de un valor mínimo de RL.
Para evitar inconvenientes el momento de elegir las resistencias observamos que se cumpla:
1 50fR R K+ ≥ Ω
Para el diseño:
- Comenzamos asumiendo R
- Tomamos en cuenta que todas las resistencias sean > 50 KΩ
Con TBJ
En 2 Etapas
Tomamos la consideración que
1
f
E
R Ra
R Rb
=⎧
⎨
=⎩
- La realimentación negativa (–) se conecta a emisor
- La realimentación positiva (+) se conecta a base
a la
entrada
2 2|| ||Rin R C
CIRCUITOS ELECTRÓNICOS Ing. Antonio Calderón
137
Otra opción que tenemos es hacer que Rin haga de R2
En 1 Etapa
- La realimentación negativa (–) se conecta a base. Rin Rb=
- La realimentación positiva (+) se conecta a emisor. 2 1ER R=
Consideraciones
En la práctica resulta que la oscilación crece constantemente en amplitud ya que los
amplificadores operacionales no son ideales, sino que alcanzarán la saturación al cabo de unos
pocos ciclos. Para solventar este problema se debe reajustar la ganancia, con una resistencia
variable con la tensión. Esto es relativamente complejo y se suele recurrir a elementos no
lineales, como los diodos.
CIRCUITOS ELECTRÓNICOS Ing. Antonio Calderón
138
FUENTES REGULADAS
(Regulación de Voltaje)
t
IN
VIN
VIN mín
máx
Fuente más sencilla
IN
Vz Vo
V Vz
=
>
CIRCUITOS ELECTRÓNICOS Ing. Antonio Calderón
139
;
;
Z L Z ZK
Z L
Z L Z ZM
I I mín I máx I mín I
I I I
I I máx I mín I máx I
= + ≥⎧
= + ⇒ ⎨
= + ≤⎩
Para que el Diodo Zener funcione correctamente.
·
( )
(
IN R Z Z
IN Z L Z
IN Z L
V V V I R V
V mín I mín I máx R V
V máx I máx I mín
= + = +
= + +
− − − − − −
⇒
= +
0
)
·
Z
IN Z Z
R V
V máx I máx R V
⎧
⎪
⎪
⎨
+⎪
⎪ = +⎩
Para señal (para las variaciones)
||
·
||
||
||
Z L
Z L
Z L
Z L
r R
Vo Vin
R r R
Vo r R
Vin R r R
=
+
=
+
||
Atenuación o Factor de Regulación
||
Z L
Z L
Vin R r R
a FR
Vo r R
+
= = = →
Si Como sucede en la prácticaL Z ZR r y R r>> >> →
Z
R
a FR
r
= =
El Factor de Regulación (FR) indica la calidad de la fuente y su valor depende de la
aplicación para la cual se vaya a utilizar. Mientras mayor sea éste, la fuente se vuelve más
costosa.
CIRCUITOS ELECTRÓNICOS Ing. Antonio Calderón
140
Ejercicio
20
1 corresponde al valor máximo
100
80 130
L
línea
Vo V
I A
FR
V V V
=
= →
≥
= −
El Zener lo elegimos dependiendo de las características solicitadas.
Para este caso un Zener de 20 V y que soporte 1 A sin carga.
·
·
1 ·20
20 va a ser mayor a 20 W
Z Z Z
L Z
Z Z
Pd I V
I V
A V
Pd W Pd
≈
≈
≈
≈ →
Al azar elegimos un Zener de 40Pd W= y observamos sus características en el respectivo
manual.
5
15
ZK
ZT
ZM
Z
I mA
I
I
r
=⎧
⎪
⎪
≈ ⎨
⎪
⎪ = Ω⎩
Debemos caer en cuenta que mientras mayor es la potencia de Zener, mayor es IZK y mayor es
rZ.
Z
R
FR
r
=
15 100
1500 1.5
ZR r FR
R R K
= ×
= ×
= Ω → = Ω
Si el valor de la resistencia calculada no resulta un valor estándar elegimos el valor inmediato
superior. De esta manera aumentamos el valor del FR.
CIRCUITOS ELECTRÓNICOS Ing. Antonio Calderón
141
línea
( )
1.3 5 1.3 6.5 7 Considerando la tolerancia
(7 1 )(1.5 ) 20
1530.5 ?! cuando el V es mínimo
IN Z L Z
Z ZK
ZK ZK
IN
V mín I mín I máx R V
I mín I
I m m I mA
mA A K
V mín V
= + +
≥⎧
⎨
× = × = → =⎩
= + +
= →
80 1530.5
130
línea INV V
V V
V x
1530.5 130
2487.063
80
INx V máx V
×
= = =
L
2487 20
1.64 Quitando R
1.5
1.64 (para que no se queme)
Z
ZM
V V
I máx A
K
I
−
= = →
Ω
→ >
2
73.14 40 ?! (no sirvió el azar)
Z Z Z Z ZPd I V I r
W W
= +
= ⇔
Nos tocaría recalcular todo porque el valor elegido no funcionó.
El Diodo Zener a utilizarse debe ser de al menos el doble para evitar inconvenientes, es decir,
de unos 150W ó 200W. Además, la resistencia a usarse debe ser de una potencia grandísima.
Entonces, este diseño presenta deficiencias y es usado para valores de
baja
bajaL
FR
I
⎧
⎨
⎩
Es decir, para cuando no se necesita Vo extremadamente fijo.
Fuente con Transistor
El transistor Q1 es el elemento de control en serie, y el diodo Zener proporciona el voltaje de
referencia. Esta operación de regulación puede describirse de la forma siguiente:
1. Si el voltaje de salida disminuye, un mayor voltaje base-emisor ocasionará que el
transistor Q1 conduzca más, con lo que se eleva el voltaje de salida y se mantiene la salida
constante.
CIRCUITOS ELECTRÓNICOS Ing. Antonio Calderón
142
2. Si el voltaje de salida incrementa, un menor voltaje base-emisor ocasionará que el
transistor Q1 conduzca menos, de esta forma se reduce el voltaje de salida y se mantiene la
salida constante.
Al variar RL varía IZ
1
debiendo ser para que
Z B
L
B
Z B Z
Z ZT
I I I
I
I
I I I cte
I I
β
= +⎧
⎪
⎪ =⎪
+⎨
⎪ >> → =
⎪
≈⎪⎩
·
Z JBE
IN R Z Z
V Vo V
V V V I R V
= +⎧
⎨
= + = +⎩
3 para que esté en la región activa
IN
CE
V Vo
V V
>⎧
⎨
≥ →⎩
Para señal (para las variaciones)
( 1)( )L e LR r Rβ′ = + +
||
·
||
||
||
Z L
Z L
Z L
Z L
r R
Vo Vin
R r R
Vo r R
Vin R r R
′
=
′+
′
=
′+
||
||
Z L
Z L
Vin R r R
a FR
Vo r R
′+
= = =
′
CIRCUITOS ELECTRÓNICOS Ing. Antonio Calderón
143
Si más exacto que antesL Z
ZZ
RR r
a FR
rR r
⎫′ >> ⎪
→ = = →⎬
>> ⎪⎭
Ejercicio
20
1
100
80 130
L
línea
Vo V
I A
FR
V V V
=
=
≥
= −
20 0.6
20.6
Z JBE
Z
V Vo V
V V
= +
= +
=
Buscando las características del Zener en el respectivo manual
10
1
10
Z
ZK
ZT
r
I mA
I mA
= Ω⎧
⎪
≈ =⎨
⎪ =⎩
El transistor: 50 disminuye su valor al aumentar la potenciaβ = →
10 100
1
Z
Z
R
FR
r
R r FR
R K
=
= ×
= ×
= Ω
En el transistor
· 3 1 3 6
como sabemos que es mayor 10
P V I V A W W
P W
= = × = →
→ ⇒ =
1
20
50
L
B
I A
I mA
β
= = =
CIRCUITOS ELECTRÓNICOS Ing. Antonio Calderón
144
Fuente con Transistores en configuración Darlington
Al haber llegado a un valor de corriente que no cumple los requerimientos, usamos Darlington
QD, para bajar IB.
Tenemos que
1 1 1 1
1
CE C
CE L
Q Pd V I
V I
⇒ = ×
= ×
( )
2 2 2 2
1
1 1
1
1
1
1
1
2
1
1
2
·
·
5010
ya protegido depende de la potencia
10050
CE C
C
CE JBE
C
CE
Q Pd V I
I
V V
I
V
Pd
Pd
β
β
β
β
β
⇒ = ×
= −
≈
≈
=⎧
= → → ⇒⎨
=⎩
Con Darlington
20 1.2
21.2
Z JBED
Z
V Vo V
V V
= +
= +
=
1
50 100
0.2
L
B
D
B
I A
I
I mA
β
= =
×
=
10
Z B
Z
Z ZT
I I
I mA
I I
>> ⎫
=⎬
≈ ⎭
CIRCUITOS ELECTRÓNICOS Ing. Antonio Calderón
145
10 0.2
10.2
Z BI I I
m m
I mA
= +
= +
=
·
(10.2 )(1 ) 21.2
31.4
IN Z
IN
V I R V
m K
V V
= +
= +
=
Ya teniendo el VIN tenemos varias alternativas que podemos elegir para el diseño.
1. Considerar que IN INV V mín=
31.4 10.2IN INV V mín V I mA= = → =
80 31.4
31.4 130
130 51.025
80
IN
V V
V x V máx V
→
×
→ = = =
La corriente va a cambiar
51.025 21.2
29.825
1
IN ZV máx V
I mA
R K
− −
= = =
29.825Z
ZM Z
I máx I mA
I I máx
∴ = =
>
2
2
(29.825 )(21.2) (29.825 ) (10)
641.185
Z Z Z Z Z
Z
Pd I V I r
m m
Pd mW
= +
= +
=
Esta alternativa necesariamente va a funcionar, pero la potencia del Zener a usarse va a ser
mayor.
2. Considerar
2
IN IN
IN IN promedio
V máx V mín
V V
−
= =
CIRCUITOS ELECTRÓNICOS Ing. Antonio Calderón
146
31.4 10.2
2
IN IN
IN IN promedio
V máx V mín
V V V I mA
−
= = = → =
130 80
105
2
promedioVlínea V
+
= =
105 31.4
31.4 80
80 23.924
105
IN
V V
V x V mín V
→
×
→ = = =
23.92 2.72IN Z
IN
V mín V
V mín V I mA
R
−
= → = =
Si sacamos de la fuente 1 A (máxima corriente requerida), esto se llama ‘a plena carga’.
2.72 0.2 2.52Z BI mín I I m m m∴ = − = − =
105 31.4
31.4 130
130
105
IN
V V
V x V máx
→
×
→ = =
38.88 17.68IN Z
IN
V máx V
V máx V I mA
R
−
= → = =
17.68 se verifica que se cumpla con la condición deZ ZMI máx I mA I∴ = = →
377.94ZPd mW=
Esta alternativa exige que la potencia del Zener sea de menor valor, pero podría suceder que
Z ZKI mín I< , con lo cual sería descartada esta opción.
CIRCUITOS ELECTRÓNICOS Ing. Antonio Calderón
147
Fuente con Realimentación
3
3
3
3
3
3
3
2 3
1 2 3
para que el voltaje se mantenga cte ;
C B
C Z
L
C B B
D
C Z ZT
C
B
B
B
I I I
I I
I
I I I
I I I
I
I
I I
I I I
β
β
= +⎧
⎪ =
⎪
⎪
>> → =⎪
⎪
⎪ = ≈⎪
⎨
⎪
⎪
=⎪
⎪
⎪ >>
⎪
= +⎪⎩
1 1
1
hay que verificar que se cumpla
100
para que el bloque B no cargue al boque A
(corriente de fuga)
L
L
CO
I
I I I
I I
⎧ ⎛ ⎞
<<< → ≈⎜ ⎟⎪
⎝ ⎠⎪⎪
→⎨
⎪ >>
⎪
⎪⎩
3
3 3 para que siempre esté trabajando en la región activa
Z JBED CE
CE
V Vo V V
V V
= + −⎧
⎨
≥ →⎩
3
3 voltaje de entrada AL MENOS 3V
más que el voltaje de salida
IN Z CE R
CED
V V V V
V V
= + +⎧
⎪
≥ →⎨
⎪
⎩
En este circuito no se necesita una resistencia de descarga para la configuración Darlington.
Para señal (realimentación negativa)
1
A
G
AB
=
+
CIRCUITOS ELECTRÓNICOS Ing. Antonio Calderón
148
1 2 3
3
1
( , )
DA Q A
B R R y Q
A
⇒ → ∴ =
⇒
↓
2 3
1
1 2 3
||
·
||
T
f
T
R Rin
V Vo
R R Rin
=
+
2 3 1
2 3
3
1 2 3
2 2 3
3
1 2 3
·
||
· ·
||
||
·
||
f f
T
T
f T
T
DT
V A V
R Rin
A Vo
R R Rin
V R Rin
B A
Vo R R Rin
=
=
+
= =
+
1442443
3·B A DT=
3
3
||
( ) debido que que B no carga a A
D
e Z
D D eD L
R Rin
A
r r
Rin r Rβ
=
+
= + →
1
menor que 1 para no amplificar señales
1
1
B lo más gande posible 1
G
B
G B
B
= →
+
= → >>
1Vin
B a FR
Vo G
= = = =
3
3
1 (siempre)
·
lo más alto posible
DT
B A DT
A
<⎧
= → ⎨
>>>⎩
CIRCUITOS ELECTRÓNICOS Ing. Antonio Calderón
149
Ejercicio
20
1
100
L
Vo V
I A
FR
=
=
≥
-----------------
1
2 3
50 ( )
100
de potenciaβ
β β
=
= =
-----------------
1
10
10
ZK
ZT
Z
I mA
I mA
r
=
=
= Ω
1
0.2
50 100
L
B
D
I
I mA
β
= = =
×
3
3
3
10
C B
C Z
C Z ZT
I I
I I mA
I I I
>> ⎫
= =⎬
= ≈ ⎭
3 10 0.2 10.2C BI I I m m mA= + = + =
3
3
3
10
0.1
100
C
B
I m
I mA
β
= = =
2 3
2 1
BI I
I mA
>>
=
Comprobando que se cumplan las condiciones
( )
1 2 3
1
1 0.1
1.1 o
B
CO
I I I m m
I mA I A nAμ
= + = +
= →
3
CE3
20 1.2 3
18.2 elegimos Zener de MENOR valor estándar (aumenta V )
18
Z JBED CE
Z
Z
V Vo V V
V V
V V
= + −
= + −
= →
=
CIRCUITOS ELECTRÓNICOS Ing. Antonio Calderón
150
3 3
3
18 0.6
18.6
B Z VBE
B
V V V
V V
= +
= +
=
3
2 2
2
18.6
18.6 18
1
BV
R K R K
I m
= = = → = Ω
3
1 1
1
20 18.6
1.27 1.2
1.1
BVo V
R K R K
I m
− −
= = = → = Ω
3
2 3
1 2 3
·
||
||
T
T
FR A DT
R Rin
DT
R R Rin
=
=
+
3 3 3
3
( 1)( )
25
101( 10 )
10
1.263
T e Z
T
Rin r r
mV
mA
Rin K
β= + +
= + Ω
= Ω
Reemplazando los valores 0.5DT =
3
3
3
100
200
0.5
||
200D
e Z
FR
A
DT
R Rin
A
r r
= = =
= =
+
20
20 20
1
L L
L
Vo
R R
I
= = = Ω → > Ω
( )
50
(50 100) 20
1
100.25
D D eD L
D
Rin r R
m
Rin K
β= +
⎛ ⎞
= × +⎜ ⎟
⎝ ⎠
= Ω
3
2.7
2.56 elegimos el MAYOR para obtener un mayor A
2.2
2.7
K
R K
K
R K
= →
= Ω
CIRCUITOS ELECTRÓNICOS Ing. Antonio Calderón
151
3
18 3.2 10.2 2.7
48.74
IN Z CE R
IN
V V V V
m K
V V
= + +
= + + ×
=
Habiendo obtenido en valor de VIN tenemos las mismas alternativas que se expusieron
anteriormente:
- Considerar VINmín
- Considerar VINpromedio
Teniendo previamente en cuenta que este diseño exige transistores más costosos.
Debido a que la ganancia es muy alta el circuito puede oscilar y por este motivo para evitar
oscilaciones se coloca un capacitor adicional que sea cortocircuito a la frecuencia de
oscilación. Este capacitor puede tener un valor entre 0.1μF y 0.47μF.
Fuente con Realimentación y Fuente de Corriente
Para subir la calidad de la fuente anterior (aumentar FR) la única opción que tenemos es subir
el valor de R, pero esto provoca que:
- El voltaje de entrada VIN aumente
- VCE aumente
- El transistor de salida Q1 aumente su potencia (más costoso)
Una opción que se presenta es poner una fuente de corriente en vez de R, consiguiendo que:
3
3
máximo valor de ganancia y máximo FRD
e Z
Rin
R A
r r
= ∞ → = →
+
CIRCUITOS ELECTRÓNICOS Ing. Antonio Calderón
152
Reemplazando
3
3
3
·
D
e Z
FR A DT
Rin
A
r r
=
=
+
Con los valores con los cuales hemos venido trabajando tenemos:
3
100.25
8020 4010
2.5 10
K
A FR= = → =
+
Implementando la fuente de corriente
Hacemos que a pesar que varíe el Voltaje de Entrada, I = cte.
1 3 4 , ·IN Z CE CE RE RE EV V V V V V I R= + + + =
CIRCUITOS ELECTRÓNICOS Ing. Antonio Calderón
153
3
4
3
para que estén en la región activa
3
CE
CE
V V
V V
≥
≥
2 4
2.2 0.6 1.6
RE Z JBEV V V
V
= −
= − =
2ZV conviene que sea lo más bajo posible y en la actualidad el menor valor que se puede
conseguir es 2.2 V.
18 3.2 3 1.6 25.8INV V= + + + =
Nos damos cuenta que bajamos el VCE1 y de esta manera disminuye la potencia, y por
consiguiente el costo.
2 4 2.2 0.6
156.863
10.2
RE Z JBE
E
V V V
R
I I m
− −
= = = = Ω
4
4
10.2
102
100
B
I m
I Aμ
β
= = =
2 4 2 (según el manual)Z B Z ZTI I I I>> ∧ ≈
3 2 4
2
3
3
Z B
IN Z
I I I
V V
R
I
= +
−
=
Así acaba el diseño de la fuente de corriente.
CIRCUITOS ELECTRÓNICOS Ing. Antonio Calderón
154
CIRCUITOS DE PROTECCIÓN
Protección con Diodos
Con los diodos hemos hecho una fuente de corriente. Cuando el voltaje sobre la resistencia Rs
< 0.6 V es como si los diodos no existieran, pero cuando por Rs pase una corriente mayor a la
deseada hacemos que 0.6 V caigan en ella y los diodos comienzan a funcionar.
Para esta protección se usan tantos diodos como junturas más uno se tengan.
D
S
L
V
R
I máx
= con esta protección incluso podríamos hacer cortocircuito
Tenemos que considerar que la potencia del transistor de salida Q1 va a aumentar y se puede
calentar demasiado e incluso quemarse, por lo que es necesario usar un disipador de calor.
Protección con Diodos Zener
Otra opción que tenemos es usar un Zener en vez de los diodos, en este caso:
CIRCUITOS ELECTRÓNICOS Ing. Antonio Calderón
155
Z JBED
S
L
V V
R
I máx
−
=
La resistencia Rs no es buena para la fuente y desde el punto de vista ideal tendría que ser Rs
= 0, pero en la práctica se toma el valor más bajo posible.
Teniendo ambas alternativas (Diodos y Zener) analizamos cuál nos entrega un valor de Rs
más bajo y esa se convierte en la mejor opción.
Protección con transistor (limitador de corriente)
La limitación de corriente reduce el voltaje a través de la carga cuando la corriente se vuelve
mayor al valor límite.
CIRCUITOS ELECTRÓNICOS Ing. Antonio Calderón
156
Lo que se hace en este caso es que el transistor Qs se sature, es decir que entre base y emisor
caiga un voltaje mayor a 0.6 V. Esto lo conseguimos haciendo que sobre la resistencia Rs
caigan 0.8 V al pasar una corriente superior a la máxima deseada.
De esta forma, al detectarse una corriente mayor a la deseada, los transistores de salida se
prenden y se apagan continuamente. Debido a esta situación los transistores de salida (Q1 y
Q2) se van a calentar menos y van a ser de una potencia menor.
0.8JBEsat
S
L L
V V
R
I máx I máx
= =
Si aumentamos la resistencia Rb damos protección al transistor Qs. El exceso de voltaje sobre
la resistencia Rs va a caer sobre Rb. El valor de la resistencia Rb va a estar entre 100 Ω y 1
KΩ y se la selecciona empíricamente hasta que el voltaje sobre Rs sea bajo.
Protección con SCR
El rectificador controlado de silicio (SCR: Silicon Controlled Rectifier) es un tipo de tiristor
formado por cuatro capas de material semiconductor con estructura PNPN o bien NPNP.
Un SCR posee tres conexiones: ánodo, cátodo y puerta. La puerta es la encargada de controlar
el paso de corriente entre el ánodo y el cátodo. Funciona básicamente como un diodo
rectificador controlado, permitiendo circular la corriente en un solo sentido. Mientras no se
CIRCUITOS ELECTRÓNICOS Ing. Antonio Calderón
157
aplique ninguna tensión en la puerta del SCR no se inicia la conducción y en el instante en
que se aplique dicha tensión, el tiristor comienza a conducir. Una vez arrancado, podemos
anular la tensión de puerta y el tiristor continuará conduciendo hasta que la corriente de carga
disminuya por debajo de la corriente de mantenimiento. Trabajando en corriente alterna el
SCR se desexcita en cada alternancia o semiciclo.
Cuando se produce una variación brusca de tensión entre ánodo y cátodo de un tiristor, éste
puede dispararse y entrar en conducción aún sin corriente de puerta. Por ello se da como
característica la tasa máxima de subida de tensión que permite mantener bloqueado el SCR.
Este efecto se produce debido al condensador parásito existente entre la puerta y el ánodo.
Los SCR se utilizan en aplicaciones de electrónica de potencia y de control. Podríamos decir
que un SCR funciona como un interruptor electrónico.
Características de la compuerta de los SCR
Un SCR es disparado por un pulso corto de corriente aplicado a la compuerta. Esta corriente
de compuerta (IG) fluye por la unión entre la compuerta y el cátodo, y sale del SCR por la
terminal del cátodo. La cantidad de corriente de compuerta necesaria para disparar un SCR en
particular se simboliza por IGT. Para dispararse, la mayoría de los SCR requieren una corriente
de compuerta entre 0.1 y 50 mA (IGT = 0.1 - 50 mA). Dado que hay una unión pn estándar
entre la compuerta y el cátodo, el voltaje entre estas terminales (VGK) debe ser ligeramente
mayor a 0.6 V. En la figura 4 se muestran las condiciones que deben existir en la compuerta
para que un SCR se dispare.
Voltaje de compuerta a cátodo (VGK) y corriente de compuerta (IG)
necesarios para disparar un SCR.
Una vez que un SCR ha sido disparado, no es necesario continuar el flujo de corriente de
compuerta. Mientras la corriente continúe fluyendo a través de las terminales principales, de
ánodo a cátodo, el SCR permanecerá en ON. Cuando la corriente de ánodo a cátodo (IAK)
caiga por debajo de un valor mínimo, llamado corriente de retención, simbolizada IHO el SCR
se apagara. Esto normalmente ocurre cuando la fuente de voltaje de ca pasa por cero a su
región negativa. Para la mayoría de los SCR de tamaño mediano, la IHO es alrededor de 10
mA.
Esta protección se constituye en la mejor de todas y se puede aplicar tanto a la fuente con
resistencia o cuando dicha resistencia ha sido reemplazada por una fuente de corriente.
CIRCUITOS ELECTRÓNICOS Ing. Antonio Calderón
158
Se usa un pulsante que normalmente esté cerrado para que de esta forma al pulsarlo el SCR
deje de conducir.
1AKV V→ =
El SCR se dispara al haber un cortocircuito o una sobrecarga (sacar de la fuente una corriente
mayor a la fijada, es decir, poner una resistencia de menor valor al límite establecido). Al
estar el SCR disparado:
- NO funciona el Darlington (no consumen potencia lo transistores de salida).
- NO existe Vo.
- NO existe IL.
0.8GKdisparo
S
L L
V V
R
I máx I máx
= ≈
La resistencia Rg se coloca para que sobre ella caiga el exceso de voltaje y de esta forma
proteger al SCR. El valor de Rg va a estar entre 100 Ω y 1 KΩ.
Debido a los transitorios de alta frecuencia que ocurren en el transformador y que pueden
activar el SCR, se coloca el capacitor C en paralelo con Rs para de esta forma eliminarlos.
CIRCUITOS ELECTRÓNICOS Ing. Antonio Calderón
159
Fuente regulada con voltaje de salida variable
El VB = cte, sin importar la posición del potenciómetro.
2 2 3
2 3
1 2 3
3 1 3
2
2 2
3
1
1
1 ( hacer cumplir )B
B
B
B Z JBE
B
Vo Vomín I mín I I
I I
I I I
V V V
P R
I I
Vomín V
R
I
→ = → >>
>>
= +
+
+ = =
−
=
3
2 2 2
2
1 2 3
3
1
1
3
1
1
2
; ( que teníamos antes)B
B
B
B
Vo Vomáx
V
I I I
R
I I I
Vomáx V
R P
I
Vomín V
R
I
→ =
′ ′= >
′′ = +
+
+ =
′
−
=
Necesitamos emplear sistemas de ecuaciones para encontrar nuestras incógnitas.
CIRCUITOS ELECTRÓNICOS Ing. Antonio Calderón
160
Para la elección del Diodo Zener consideramos el caso del VOmín.
1 3Z JBED CEV Vomín V V= + −
Si quisiéramos que esta fuente varíe desde 0V hasta 20V, la tierra debe reemplazarse por un
valor de voltaje negativo (–).
CIRCUITOS ELECTRÓNICOS Ing. Antonio Calderón
161
AMPLIFICADORES DE POTENCIA
Las etapas de salida, también denominadas etapas de potencia, son configuraciones especiales
localizadas a la salida de un amplificador utilizadas para proporcionar cierta cantidad de
potencia a una carga con aceptables niveles de distorsión. Además, una etapa de salida debe
ser independiente del propio valor de la carga, tener reducido consumo estático de potencia y
no limitar la respuesta en frecuencia del amplificador completo.
Las etapas de salida son diseñadas para trabajar con niveles de tensión y corriente elevados.
Las aproximaciones y modelos de pequeña señal no son aplicables o deben ser utilizados con
mucho cuidado. Sin embargo, la linealidad de una etapa es una medida que proporciona la
calidad del diseño, muchas veces caracterizada a través de la distorsión armónica total (total
harmonic distortion o THD). Este parámetro es un valor eficaz o rms de las componentes
armónicas de la señal de salida, sin incluir la fundamental de la entrada, expresada a través del
porcentaje en términos de rms respecto a la fundamental. Los equipos de sonido de alta
fidelidad tienen un THD inferior a 0.1%.
Otro parámetro importante de una etapa de potencia es su eficiencia, que indica el porcentaje
de potencia entregada a la carga respecto de la potencia total disipada por la etapa. Un valor
alto de eficiencia se traduce en una mayor duración del tiempo de vida de las baterÌas o en el
uso de fuentes de alimentación de bajo coste, además de minimizar los problemas de
disipación de potencia y coste del propio transistor de potencia. Es por ello, que las etapas de
salida utilizan transistores de potencia (> 1W) y el uso de aletas refrigeradoras resulta en
algunos casos imprescindible.
Las etapas de salida tradicionalmente son clasificadas de acuerdo a la forma de onda de la
corriente de colector del transistor de salida en clase A, clase B, clase AB y clase C. En la
etapa clase A, el transistor es polarizado con un corriente en continua de valor ICQ mayor que
la corriente de alterna de amplitud IC de forma que el periodo de conducción es de 360º. En
contraste, en la clase B la polarización DC es nula y sólo conduce en un semiperiodo de la
señal de entrada (180º). La etapa clase AB, intermedio entre la A y la B, el transistor conduce
un ángulo ligeramente superior a 180º y mucho menor que 360º. En la etapa clase C conduce
ángulos inferiores a 180º y son empleadas usualmente en radiofrecuencia como por ejemplo
teléfonos móviles y transmisores de radio y TV.
Clasificación de los Amplificadores
- Clase A
- Clase AB
- Clase B
- Case C
CIRCUITOS ELECTRÓNICOS Ing. Antonio Calderón
162
Clasificación de las etapas de salida: a) clase A, b) clase B, c) Clase AB y d) Clase C.
Clase A
Un amplificador clase A se polariza de tal modo que conduce corriente de manera continua.
La polarización se ajusta para que la entrada haga variar la corriente del colector (o de
drenaje) en una región lineal de la característica del transistor. En consecuencia, su salida es
una reproducción lineal amplificada de la entrada. Son amplificadores de potencia ineficaces
que se usan como amplificadores de voltaje de señales pequeñas o para amplificadores de baja
potencia. Su desventaja es que aún con señal nula disipa una cantidad considerable de
potencia.
El funcionamiento en clase A se lleva a cabo, íntegramente, dentro de la región activa,
comprendida entre el corte y la saturación del dispositivo, sin llegar a salirse de ella en ningún
momento. El punto de trabajo de reposo se fija en el punto medio entre los puntos de corte y
saturación de la recta de carga.
CIRCUITOS ELECTRÓNICOS Ing. Antonio Calderón
163
Se caracteriza por presentar una corriente continua media de colector constante y
suficientemente grande como para mantenerse en todo momento dentro de la región activa. El
dispositivo activo se comporta como una fuente de corriente. El empleo de circuitos
sintonizados o filtros de paso bajo en los colectores de este tipo de amplificadores (al igual
que en los de clase B) no es inherente a su modo de operar y, cuando se ponen es por asegurar
una supresión adecuada de armónicos en la salida o por razones de adaptación.
De cualquier manera la escasa importancia de los armónicos en las cuestiones de potencia
hace que se consideren inexistentes en el cálculo de ésta y que se traten sólo en el estudio
específico de distorsiones.
En teoría, la clase A puede alcanzar un rendimiento de hasta el 50%, pero, dado que no se
puede apurar al máximo, queda alrededor del 25%, o, incluso, puede bajar hasta el 15%,
según la exigencia de linealidad.
En el caso teórico de 50% de rendimiento, la eficacia instantánea es proporcional a la potencia
de salida y la eficacia media es inversamente proporcional a la relación de potencia de pico a
potencia media.
En cambio, la ganancia es uno de los puntos fuertes de los transistores trabajando en clase A.
Suele ser 3 a 6 dB mayor que operando en clase B, y mucho mayor que en clase C.
No existe una línea de separación definida entre los amplificadores de potencia de clase A y
los amplificadores de señal débil, es decir, es prácticamente lo que se ha venido haciendo,
pero la metodología de diseño es diferente.
Características
- Ángulo de conducción: 360º
- Baja distorsión
- Bajo rendimiento (se desperdicia mucha potencia)
Clase AB
Un amplificador clase AB se polariza cerca del corte con cierto flujo de corriente continuo del
colector. También se usa en amplificadores push-pull y proporciona una linealidad mejor que
CIRCUITOS ELECTRÓNICOS Ing. Antonio Calderón
164
un amplificador clase B, pero con menos eficiencia. Esta configuración es una variante de la
etapa de tipo B en la que se sacrifica la disipación de una pequeña cantidad de potencia
cuando opera sin señal, a cambio de evitar la zona muerta de respuesta.
Esta clase sigue requiriendo de una conexión en contrafase, para obtener un ciclo completo de
salida, sin embargo, el nivel de polarización de DC es, por lo general, más cercano al nivel de
corriente de base cero, para una mejor eficiencia de potencia.
En los amplificadores de clase A, la distorsión no lineal disminuye monótonamente con la
potencia de salida. Sin embargo, la cosa cambia cuando de clase B se trata. Su
comportamiento irregular obedece a la existencia del mencionado crossover. Precisamente, si
se quiere paliar este problema en la zona de “relevo” se recurre a que cada transistor
“saliente” acompañase al “entrante” durante algunos grados. Lo que da origen a la clase AB,
que mejora notablemente la distorsión, aunque afectando, ligeramente, al rendimiento.
La operación en clase AB tiene, pues, su origen en perfeccionamiento de circuitos
amplificadores en contrafase. Esta configuración proporciona, al igual que la clase A una
señal de salida altamente lineal con respecto a la señal de entrada, pues, aunque cada
transistor sólo conduce durante medio ciclo, ambos transistores “se ceden el relevo”, en el
paso por cero, de modo que en su conjunto se comportan de manera lineal, especialmente si
ambos transistores son idénticos.
En cuanto a la ganancia de potencia, los amplificadores del tipo AB son algo intermedio entre
los de tipo A y los de B. El razonamiento con respecto al valor de la transconductancia
efectiva es el mismo que se hizo en el caso de clase B.
En frecuencias elevadas puede obtenerse, mediante estructura en push-pull, un satisfactorio
funcionamiento en banda ancha. Lamentablemente no pueden utilizarse topologías
complementarias a esas frecuencias (HF; VHF), dado el deficiente comportamiento a tales
frecuencias de los transistores PNP. Los montajes complementarios se circunscriben al audio
y las frecuencias de radio bajas y medias.
Características
- Ángulo de conducción entre 180º y 360º
- Presenta distorsión (mayor que en el clase A)
- Mayor rendimiento que el clase A
- Para tener una señal de salida se 360º se necesita de un montaje en contrafase.
Las configuraciones más utilizadas para polarizar los transistores de salida son: con diodos y
con un multiplicador VBE.
CIRCUITOS ELECTRÓNICOS Ing. Antonio Calderón
165
Clase AB con polarización por diodos
En ausencia de señal, vi = 0, la caída de tensión en el diodo D1 hace que el transistor Q1 esté
en la región lineal con una corriente de colector baja y lo mismo sucede a Q2 con el diodo D2;
es decir, ambos transistores conducen. Cuando se aplica una tensión a la entrada uno de los
transistores estará en la región lineal y el otro cortado, funcionando de una manera similar a la
etapa clase B pero con la ausencia de distorsión de cruce. En este caso la potencia promedio
suministrada por una fuente de alimentación es
· ·CC
CC Q CC
L
V Vo
P I V
Rπ
= +
En general, el segundo término es despreciable frente al primero.
La polarización con diodos presenta una importante ventaja al proporcionar estabilización de
la polarización con la temperatura. Al aumentar la temperatura, el VBE de los transistores
disminuye pero a su vez la caída de tensión de los diodos también lo que permite mantener
constante la corriente de polarización de los transistores de salida.
Clase AB con polarización por multiplicador VBE
CIRCUITOS ELECTRÓNICOS Ing. Antonio Calderón
166
Otro procedimiento para obtener la diferencia de tensión 2VBE entre la base de los transistores
necesaria para eliminar la distorsión de cruce es utilizar lo que se denomina un multiplicador
de VBE. Este circuito consiste en un transistor (Q3) con dos resistencias (R1 y R2) conectadas
entre su colector y emisor con la base. Si se desprecia la corriente de base (para ello R1 y R2
deben ser de unos pocos KΩ) entonces la corriente que circula por R1 es 3
1
BEV
R
y la tensión
entre el colector y emisor de ese transistor es
3 2
3 1 2 3
1 1
( ) 1BE
CE BE
V R
V R R V
R R
⎛ ⎞
= + = +⎜ ⎟
⎝ ⎠
es decir, la tensión VCE3 se obtiene multiplicando la VBE3 por un factor 1
2
1
R
R
⎛ ⎞
+⎜ ⎟
⎝ ⎠
.
Clase B
La mayor desventaja de la anterior etapa de salida es el consumo estático de potencia incluso
en ausencia de señal de entrada. En muchas aplicaciones prácticas existen largos tiempos
muertos (standby) a la espera de señal de entrada o con señales intermitentes como es el caso
de voz humana. Etapas de salida que desperdician potencia en períodos standby tienen efectos
perniciosos importantes. En primer lugar, se reducen drásticamente el tiempo de duración de
las baterías de los equipos electrónicos. En segundo lugar, ese consumo de potencia
continuado provoca un incremento de temperatura en los dispositivos que limitan su tiempo
medio de vida dando lugar a una mayor probabilidad de fallar con el tiempo el sistema
electrónico.
Un amplificador clase B se polariza en corte de modo que cuando en el colector la entrada es
cero no fluye corriente. El transistor sólo conduce la mitad de la entrada de onda senoidal. En
otras palabras, conduce en 180° de una entrada de onda senoidal. Esto significa que sólo se
amplifica la mitad de la onda senoidal. Por lo común, en una configuración push-pull se
conectan dos amplificadores clase B de modo que la alternación positiva y la negativa se
amplifican en forma simultánea. En estas etapas no se produce disipación de potencia cuando
la señal es nula.
Puesto que la corriente de colector es proporcional a la amplitud de la señal de entrada, la
clase B proporciona amplificación sensiblemente lineal, mientras esté conduciendo el
CIRCUITOS ELECTRÓNICOS Ing. Antonio Calderón
167
transistor. Ésta componente lineal siempre está presente a la salida, y será aprovechable como
señal amplificada, aunque el hecho de que se produzca una interrupción de la señal durante el
medio ciclo negativo provoca la aparición de fuertes componentes armónicos (en especial
pares).
Si estos armónicos están fuera de la banda de utilidad, pueden eliminarse por filtrado y el
amplificador cumple perfectamente su cometido. En otros casos, en cambio, pueden hacer el
sistema inservible.
La etapa de salida clase B tiene consumo estático de potencia en modo standby prácticamente
cero. Utiliza dos transistores, uno NPN y otro PNP, en contrafase que conducen
alternativamente en función de si la señal de entrada es positiva o negativa. De ahí, el nombre
de push-pull. Otra ventaja adicional es su mejor eficiencia que puede alcanzar un valor
máximo próximo al 78% muy superior al 25% de la etapa de salida clase A.
Características
- Ángulo de conducción: 180º
- Presenta mayor distorsión que el clase AB
- Mayor rendimiento que el clase AB
- Si se necesita que la señal de salida sea de 360º se requiere un montaje en contrafase.
Clase C
Se encuentra polarizado en una zona de respuesta no lineal, de forma que los dispositivos
activos sólo conducen en una fracción reducida del periodo de la señal, es decir, menos de
180° del ciclo. De esta forma se consiguen rendimientos máximos, aunque se necesitan
elementos reactivos que acumulen la energía durante la conducción y la liberen en el resto del
ciclo en el que el dispositivo no conduce, es decir, operará solamente con un circuito de
sintonización (resonante), el cual proporciona un ciclo completo de operación para la
frecuencia sintonizada o resonante.. Esta clase de operación es, por tanto, utilizada en áreas
especiales de circuitos de sintonización, tales como radio o comunicaciones (amplificación de
señales de banda muy estrecha).
CIRCUITOS ELECTRÓNICOS Ing. Antonio Calderón
168
Esta modalidad tiene su auténtica razón de ser, y su origen, en la amplificación de muy alta
potencia con válvulas termoiónicas. El punto de trabajo ha de conseguirse polarizando
inversamente la entrada del dispositivo activo.
En clase C el dispositivo activo es llevado, deliberadamente, a un funcionamiento
absolutamente no lineal. La eficacia puede llevarse, teóricamente, a las proximidades del
100%, en la medida que el ángulo de conducción se aproxima a cero. Desgraciadamente esto
conlleva que la ganancia vaya disminuyendo de manera que la potencia de excitación
necesaria tiende a infinito. Un buen compromiso es un ángulo de conducción de 150º, que
resulta en una eficacia de 85%.
Se puede decir que casi funciona como un conmutador, para reducir las pérdidas por
resistencia. El dispositivo conduce durante un ángulo muy pequeño y el circuito sintonizado
del colector se encarga de “reconstruir” (en realidad, “seleccionar”) la señal fundamental a
partir de la señal periódica impulsiva que le entrega el amplificador.
El filtro de salida de un verdadero clase C es un circuito resonante paralelo que deriva a tierra
los componentes armónicos de la señal pulsante, que, de este modo, no generan tensiones
correspondientes a los citados armónicos.
Cuando se lleva el amplificador a saturación, la eficacia se estabiliza y la tensión de salida
está determinada por la tensión de alimentación, lo que permite la modulación lineal de
amplitud a alto nivel (haciendo que la tensión se alimentación sea la señal moduladora).
Una dificultad añadida para el verdadero funcionamiento en clase C con semiconductores es
que se requiere una muy baja impedancia de salida y esto crea serios problemas para adaptar
circuitos resonantes paralelos a estas salidas.
La clase C, a diferencia de la B unilateral, no sólo genera importantes armónicos, como
aquella, sino que su respuesta es esencialmente no lineal, incluso para el fundamental.
Polarización en clase C
La clase C clásica es excelente en tubos de vacío pero resulta impracticable en amplificadores
de estado sólido, en particular con transistores bipolares. En efecto, esta clase no suele ser
CIRCUITOS ELECTRÓNICOS Ing. Antonio Calderón
169
muy recomendable porque acorta su vida. La operación en C exige polarizar negativamente la
base con respecto al emisor y la tensión de ruptura inversa base-emisor. Solamente puede
hacerse una excepción. En tal caso puede recurrirse a un procedimiento de autopolarización
para conseguir la adecuada tensión continua inversa de polarización en la base.
El sistema se basa en la autopolarización que produce la rectificación de la propia señal de
entrada al circular por el diodo que constituye la unión base-emisor del transistor de potencia.
Características
- Ángulo de conducción menor a 180º
- Presenta mayor distorsión que el clase B
- Mayor rendimiento que el clase B
- No es posible utilizar montaje en contrafase
En la práctica se utiliza el Clase B.
En este tipo de amplificadores es muy importante tomar en cuenta:
CE
C
Pdmáx
V máx
I máx
⎧
⎪
⎨
⎪
⎩
ya que puede quemarse por cualquiera de ellos o en conjunto
Existe una familia de curvas de disipación de potencia
CIRCUITOS ELECTRÓNICOS Ing. Antonio Calderón
170
Metodología de diseño
2
2
·
CEM
CET
CM
CT
CET CT
CEM
ac
CM
V
V
I
I
Pd V I
V
R
I
=
=
=
=
Rac es la carga que pide el transistor y se obtiene del inverso de la pendiente de carga.
Potencias
Nos va a permitir elegir la curva adecuada
Clase A 2Pd Po=
Clase B
2
Po
Pd =
Amplificador Clase A
CIRCUITOS ELECTRÓNICOS Ing. Antonio Calderón
171
No se pone capacitor con RL porque se desperdicia potencia.
No se usa en la práctica.
Para 10 W de potencia de salida hay que elegir la curva de 20 W, y es mejor escoger una
superior para evitar posibles recortes.
En este caso las rectas de carga dinámica y estática son las mismas. El pto. Q es el eje de la
recta de carga dinámica.
2
·
1
· Potencia eficaz
2
·
·
CC CC CQ
pr
r CET CT
CEQ CQ
P V I
Vo
Po
Rac
Pd V I
V I
=
⎛ ⎞
= →⎜ ⎟
⎝ ⎠
=
=
100 [%] rendimiento
CC
Po
R
P
= × →
CIRCUITOS ELECTRÓNICOS Ing. Antonio Calderón
172
2 1
2
;CEM
L
CM
V n
Rac n R n
I n
= = =
Donde n1 es el número de vueltas del primario y n2 es el número de vueltas del secundario.
2
· · ; 2pi
r i i
pr
Vo
Pd Pd Pd Po
Vo
η
⎛ ⎞
= =⎜ ⎟⎜ ⎟
⎝ ⎠
Ahora con transformador
Se pone η para compensar las pérdidas en el transformador.
CIRCUITOS ELECTRÓNICOS Ing. Antonio Calderón
173
1 caso ideal
1.1 10% pérdidas en el transformador
1.2 20% pérdidas en el transformador
η
→⎧
⎪ →⎪
= ⎨
→⎪
⎪⎩M
Para el diseño
- Se deben tener todos los datos.
- Asumir CCV
- Asumir EV y lo que queda es CEMV
-
2
CEM
CET
V
V = y también obtenemos piVo
- De la fórmula ; pr
CET pr act pi pr
Vo
V Vo V Vin Vin
A
= + + =
Obtengo prVo
- Calculo CTI de la potencia y, además, tengo 2CM CTI I=
- Calculo acR
Amplificador Clase B con salida con simetría complementaria
CIRCUITOS ELECTRÓNICOS Ing. Antonio Calderón
174
Montaje en contrafase
Elementos
R1
sirve para limitación de corriente de salida (funciona como Rs de las
protecciones).
R2 sirve para descarga de la juntura base-emisor de Q1.
Diodos
para mantener a los transistores de salida en clase B y se utiliza uno
por juntura.
C
debe ser cortocircuito para señal. De esta manera el voltaje de salida
de Q3 estará presente en los ptos. 1 y 2.
P1 sirve para disminuir o eliminar la distorsión de cruce.
P2
para calibrar el pto. 3 a
2
CCV
para que exista simetría en la señal de
salida.
Distorsión de cruce
Se produce debido a que cada transistor conduce sólo un semiciclo.
CIRCUITOS ELECTRÓNICOS Ing. Antonio Calderón
175
Por este motivo en la práctica hay que calibrar los diodos de tal manera que estén a punto de
conducir, es decir, logrando una mínima distorsión y que los mismos sólo conduzcan con
señal.
Para el diseño
Datos
(parlante)L
Po
R
⎧
⎨
⎩
2 2· ·
1
·
2
p L
p
p
L op
L
Vo Po R
Vo
Po Vo
R i
R
⎧ =
⎛ ⎞ ⎪
= → ⎨⎜ ⎟
=⎝ ⎠ ⎪
⎩
1
1
1 1
para que no sea carga
10
· voltaje que se va a desperdiciar y que se debe compensar
L
L
R op
R R
R
R
V i R
<< →⎧
⎪
⎪→ ≈⎪
⎨
⎪
⎪
= →⎪⎩
2 1
1 1 1 1( 1)( )
T
T e L
R Rin
Rin r R Rβ
>>⎧
⎨
= + + +⎩
Hay que tener en cuenta que la etapa de Q3 es la última etapa de amplificación de voltaje, es
decir, que pueden existir etapas previas de amplificación en cascada.
1
para no desperdiciar voltaje
( )
C D
D D eD L
R Rin
Rin r R Rβ
<< →⎧
⎨
= + +⎩
3
3 1
3
·
||
C
RC p
C D
p p R
RC
C
C
R
V Vo
R Rin
Vo Vo V
V
I
R
⎧
≥⎪
⎪⎪
= +⎨
⎪
⎪ =
⎪⎩
En lo que respecta a los potenciómetros tenemos:
CIRCUITOS ELECTRÓNICOS Ing. Antonio Calderón
176
1
3
1 1
·
; voltaje de los diodos
2 (para poder calibrar)
D
C
nVd
P V
I
P P
′ = =
′→ =
3
3 2
3
3 2 2 22
CC BV V
R P
I
R P P P
−′+ =
′ ′≈ → =
3 3 ·CC E CE D RCV V V nV V= + + +
El resto del diseño se realiza de manera similar a lo que se ha venido realizando.
Ejercicio
10
8L
Po W
R
=
= Ω
2· · 2(10)(8) 12.649p LVo Po R V= = =
12.649
1.581
8
p
op
L
Vo
i A
R
= = =
1 0.75R = Ω
1 1· (1.58)(0.75) 1.185R opV i R V= = =
Asumo 1 1
2 2
: 50
: 100
Q
Q
β
β
=
=
2 1TR Rin>>
1
25 25
e
E E
mV mV
r
I I med
= ≈
CIRCUITOS ELECTRÓNICOS Ing. Antonio Calderón
177
·
op op
E
L
I V
I med
Rπ π
= =
12.649
0.503
· (8)
op
E
L
V
I med A
Rπ π
= = =
1
25 25
0.05
0.503
e
E
mV m
r
I med
= = = Ω
1 1 1 1
1
( 1)( )
(50 1)(0.05 0.75 8)
448.8
T e L
T
Rin r R R
Rin
β= + + +
= + + +
=
2 4.7R K= Ω
50 50
0.10
0.503
eD
E
mV m
r
I med
= = = Ω
1( )
(50 100)(0.01 0.75 8)
44.25
D D eD L
D
Rin r R R
Rin K
β= + +
= × + +
= Ω
3.9C D CR Rin R K<< → = Ω
Calculo el voltaje de entrada a la etapa de potencia
3 1
3
12.649 1.185
13.834
p p R
p
Vo Vo V
Vo V
= +
= +
=
CIRCUITOS ELECTRÓNICOS Ing. Antonio Calderón
178
3·
||
3.9
·13.834 1.3 19.57
3.9 || 44.25
20
C
RC p
C D
RC
R
V Vo
R Rin
K
V
K K
V V
≥
≥ → × =
=
3
20
5.128
3.9
RC
C
C
V
I mA
R K
= = =
1
3
1
· 4(0.6)
468
5.128
1
D
C
nV
P
I m
P K
′ = = = Ω
= Ω
3 3 3
3
3 3
3
3
para este ejemplo asumimos un A , pero en la práctica tendrá
una ganancia propia determinada por los requerimientos
13.834
13.834 2
10
17.217
CE p act
p
p act
CE
V Vo V Vin
Vo
Vo V
A
V V
= + +
= + +
= + +
=
3
3
25 25
4.87
5.128
e
C
mV m
r
I m
= = = Ω
3 1
3 3
|| 3.9 || 44.25
358.411 hay estabilidad
10
C D
e E
Req R Rin K K
r R
A A
+ = = = = →
1
1
358.411 4.87 353.541
330
E
E
R
R
= − =
= Ω
3 3
3
13.834
1 1 2.383 1.3 3.1
10
3.5
E p
E
V Vin V
V V
≥ + = + = → × =
=
3
3
3.5
682.527
5.128
E
ET
C
V
R
I m
= = = Ω
CIRCUITOS ELECTRÓNICOS Ing. Antonio Calderón
179
2 1
2
682.527 330 352.527
330
E ET E
E
R R R
R
= − = − = Ω
= Ω
3 3 ·
3.5 17.217 4(0.6) 20
43.117
45
CC E CE D RC
CC
V V V nV V
V V
= + + +
= + + +
=
=
3
3
3
5.128
51.28
100
C
B
I m
I Aμ
β
= = =
4 310 10(51.28 ) 512.8BI I Aμ μ= = =
3 311 11(51.28 ) 564.08BI I Aμ μ= = =
3 3 3 3.5 0.6 4.1B E JBEV V V V= + = + =
3
4
4
4
4.1
8
512.8
8.2
BV
R K
I
R K
μ
= = =
= Ω
3
3 2
3
3
2 2
45 4.1
72.507
564.08
33
39 100
CC BV V
R P K
I
R K
P K P K
μ
− −′+ = = =
= Ω
′ = → = Ω
Para comprobar en 3
3 23.8 cercano a lo deseadoV V= →
Para poner la protección analizamos el número de junturas y el voltaje sobre la resistencia R1.
1 11.58 · 1.58 0.75 1.2op R opi A V i R V= → = = × ≈
CIRCUITOS ELECTRÓNICOS Ing. Antonio Calderón
180
Protegiendo para una 2oi máx A= , entonces
1 1· 2·0.75 1.5R oV i máx R V= = =
1 1
1.5 0.6
2.1
T R JBEQ
T
V V V
V V
= +
= +
=
2.1
· 3.5
0.
4
6
T
T D
D
V
V n
n DIODOS
V n
V
= →
=
= = =
⇒
Finalmente, si desearíamos hacer una fuente regulada para una cadena de amplificadores en
cascada que terminan en un amplificador de potencia, tendríamos que considerar los
siguientes requerimientos para la fuente:
1( , )
CC
L RC op
Vo V
I I I i
=⎧⎪
⎨
= +⎪⎩ ∑
Y el diseño se efectúa de manera similar a como se explica en la parte referente a fuentes
reguladas.
CIRCUITOS ELECTRÓNICOS Ing. Antonio Calderón
181
BIBLIOGRAFÍA
- BOYLESTAD, Robert L. y NASHELSKY, Louis; “Electrónica: Teoría de Circuitos y
Dispositivos Electrónicos”, 8va Edición, Pearson Educación, México, 2003.
- http://es.wikipedia.org/
- http://www.inele.ufro.cl/apuntes/Circuitos_1_3012_3017/Capitulo3_ce1.pdf
- http://iniciativapopular.udg.mx/muralmta/mrojas/cursos/elect/apuntesdefinitivos/UNIDA
D2/2.1.1.pdf
- http://www.frino.com.ar/resistor.htm
- http://www.datasheetarchive.com
CIRCUITOS ELECTRÓNICOS Ing. Antonio Calderón
182
ANEXOS
CIRCUITOS ELECTRÓNICOS Ing. Antonio Calderón
183
Características Transistores 2N3904 y 2N3906
Este dispositivo se diseña como propósito general como un amplificador y el de un interruptor. El rango
dinámico útil se extiende a 100 mA como un interruptor y a 100 MHz como un amplificador. El transistor
2N3904 (NTE 123AP) es de disposición NPN, mientras que el transistor 2N3906 (NTE 159 ) de
disposición PNP.
CIRCUITOS ELECTRÓNICOS Ing. Antonio Calderón
184
CIRCUITOS ELECTRÓNICOS Ing. Antonio Calderón
185
CIRCUITOS ELECTRÓNICOS Ing. Antonio Calderón
186
CIRCUITOS ELECTRÓNICOS Ing. Antonio Calderón
187
Código de colores
Identificar un resistor no es una tarea muy complicada, note que la mayoría, salvo los de montaje superficial,
poseen 4 bandas de colores, 3 de idénticas proporciones y una más alejada de éstas. Estas bandas representan el
valor real del resistor incluyendo su porcentaje de tolerancia o error siguiendo un código de colores estándar. En
primer lugar tratamos de identificar el extremo que corresponde a la banda de tolerancia del resistor, que en la
mayoría de los casos suele ser dorada (5%) o (algo más raro) plateada (10%). Una vez localizada ésta la dejamos
de lado, (literalmente a la derecha), vamos al otro extremo y leemos la secuencia: fig: 1 -primera banda:
corresponde al primer dígito del valor -segunda banda: corresponde al segundo dígito del valor -tercera banda:
representa al exponente, o "números de ceros" a agregar -cuarta banda: porcentaje de tolerancia (la que habíamos
identificado primero) Los colores corresponden a valores estandarizados
como se detallan: Color 1º y 2º dígitos multiplicador tolerancia Negro 0 1 (x100) Marron 1 10 (x101) 1% Rojo 2
100 (x102) Naranja 3 1000 (x103) Amarillo 4 10000 (x104) Verde 5 100000 (x105) Azul 6 1000000 (x106)
Violeta 7 10000000 (x107) Gris 8 100000000 (x108) Blanco 9 1000000000 (x109) Marron o nulo 1% Dorado
0.1 (x10-1) 5% Plata 10% Esto nos da para el ejemplo de la fig. 1
Resistores de montaje superficial SMD (Surface Mounted Device)
Identificar el valor de un resistor SMD es más sencillo que para un resistor convencional ya que las bandas de
colores son reemplazadas por sus equivalentes numéricos y así se estampan en la superficie del resistor, la banda
indicadora de tolerancia desaparece y se la "presupone" en base al número de dígitos que se indica, es decir: un
número de tres dígitos nos indica en esos tres dígitos el valor del resistor, y la ausencia de otra indicación nos
dice que se trata de un resistor con una tolerancia del 5%. Un número de cuatro dígitos indica en los cuatro
CIRCUITOS ELECTRÓNICOS Ing. Antonio Calderón
188
dígitos su valor y nos dice que se trata de un resistor con una tolerancia de error del 1%. fig.1 fig.2 -primer
dígito: corresponde al primer dígito del valor -segundo dígito: corresponde al segundo dígito del valor -tercer
dígito (5%): representa al exponente, o "números de ceros" a agregar (fig. 1) -tercer dígito (1%): corresponde al
tercer dígito del valor (fig. 2) -cuarto dígito (1%): representa al exponente, o "número de ceros" a agregar
CIRCUITOS ELECTRÓNICOS Ing. Antonio Calderón
189
Valores Estándar de Resistencias y capacitores
CIRCUITOS ELECTRÓNICOS Ing. Antonio Calderón
190
CIRCUITOS ELECTRÓNICOS Ing. Antonio Calderón
191
CIRCUITOS ELECTRÓNICOS Ing. Antonio Calderón
192
CIRCUITOS ELECTRÓNICOS Ing. Antonio Calderón
193
CIRCUITOS ELECTRÓNICOS Ing. Antonio Calderón
194
CIRCUITOS ELECTRÓNICOS Ing. Antonio Calderón
195
CIRCUITOS ELECTRÓNICOS Ing. Antonio Calderón
196
CIRCUITOS ELECTRÓNICOS Ing. Antonio Calderón
197
CIRCUITOS ELECTRÓNICOS Ing. Antonio Calderón
198
CIRCUITOS ELECTRÓNICOS Ing. Antonio Calderón
199
CIRCUITOS ELECTRÓNICOS Ing. Antonio Calderón
200
CIRCUITOS ELECTRÓNICOS Ing. Antonio Calderón
201
CIRCUITOS ELECTRÓNICOS Ing. Antonio Calderón
202

64494485 calderon-circuitos-electronicos

  • 1.
    ESCUELA POLITÉCNICA NACIONAL INGENIERÍAEN ELECTRÓNICA Y TELECOMUNICACIONES CIRCUITOS ELECTRÓNICOS DIEGO CARRERA CARLOS CONTRERAS MARCO JARA Profesor Ing. Antonio Calderón Octubre 2006 - Marzo 2007
  • 2.
    CIRCUITOS ELECTRÓNICOS Ing.Antonio Calderón 2 TABLA DE CONTENIDO INTRODUCCION: EL TRANSISTOR BIPOLAR 4 Configuraciones del Transistor 6 DISEÑO DE AMPLIFICADORES CON TBJ 8 Diseño de Amplificador en Emisor Común 9 Diseño de Amplificador en Base Común 18 Diseño de Amplificador en Colector Común 24 CIRCUITOS DE ALTA IMPEDANCIA DE ENTRADA 31 Circuitos de Autoelevación 31 Emisor Común con Autoelevación 31 Colector Común con Autoelevación 36 Circuito Darlington 39 AMPLIFICADORES EN CASCADA 45 Tipos De Acoplamiento 46 Acoplamiento Capacitivo 46 Acoplamiento Directo 62 Amplificador Cascode 62 Amplificador Diferencial 68 Acoplamiento directo 73 RESPUESTA DE FRECUENCIA 75 Introducción 75 Respuesta de frecuencia en amplificadores 85 Respuesta de frecuencia en alta frecuencia 97 REALIMENTACIÓN 101 Realimentación Negativa 104 Formas de Realimentación 116 Realimentación Positiva (Circuitos Osciladores) 123 Tipos de osciladores 123 Oscilador RC 126 Oscilador de puente de Wien 134 FUENTES REGULADAS 138 Fuente más sencilla 138 Fuente con Transistor 141 Fuente con Transistores en configuración Darlington 144 Fuente con Realimentación 147 Fuente con Realimentación y Fuente de Corriente 151 Circuitos De Protección 154 Protección con Diodos 154 Protección con Diodos Zener 154 Protección con transistor (limitador de corriente) 155 Protección con SCR 156 Fuente regulada con voltaje de salida variable 159
  • 3.
    CIRCUITOS ELECTRÓNICOS Ing.Antonio Calderón 3 AMPLIFICADORES DE POTENCIA 161 Clasificación de los Amplificadores 161 Clase A 162 Clase AB 163 Clase B 166 Clase C 167 Amplificador Clase A 170 Amplificador Clase B con salida con simetría complementaria 173 BIBLIOGRAFÍA 181 ANEXOS 182
  • 4.
    CIRCUITOS ELECTRÓNICOS Ing.Antonio Calderón 4 INTRODUCCION EL TRANSISTOR BIPOLAR El transistor convencional o bipolar se denomina así porque en su funcionamiento intervienen corrientes de huecos, o de carga positiva, y de electrones, o de carga negativa. Los terminales del transistor reciben el nombre de emisor, colector y base. La base es el terminal que está unido a la zona intermedia del transistor. Las tres partes del transistor se diferencian por el distinto nivel de dopaje; la zona de menor dopaje es la base, a continuación se encuentra el colector y por último el emisor. Estudio de las corrientes El análisis del transistor se realizará para una estructura NPN, y es análogo para el PNP. Un transistor sin polarizar se comporta como dos diodos en contraposición, y no existen corrientes notables circulantes por él. Si se polariza, aparecen tres corrientes distintas, la corriente de base, IB, corriente de emisor, IE, y por último la corriente de colector, IC. En la figura siguiente están dibujadas estas corrientes según convenio, positivas hacia adentro: De estas tres corrientes, la del emisor es la más grande, puesto que éste se comporta como fuente de electrones. La corriente de base es muy pequeña, no suele llegar al 1% de la corriente de colector. Aplicando la ley de Kirchhoff se tiene la siguiente relación: IE = IB + IC Existen dos parámetros que relacionan las distintas corrientes, el coeficiente alfa para continua, α, y la ganancia de corriente beta, β. El factor Alfa. Es el cociente entre la intensidad de colector y la de emisor. Su valor nunca será superior a la unidad y da idea de hasta qué punto son iguales estas corrientes. α = IC / IE El factor Beta. La ganancia de corriente b se define como el cociente entre la corriente de colector y la de base. β = IC / IB
  • 5.
    CIRCUITOS ELECTRÓNICOS Ing.Antonio Calderón 5 Curvas características Un transistor en régimen estático se encuentra, solamente, bajo la acción de las voltajes continuos que se le aplican para polarizarle. Una forma de resumir este funcionamiento es utilizar las curvas características del transistor, que relacionan las tensiones y las corrientes. Las tensiones y corrientes que se utilizan dependen de la configuración del transistor, pero independientemente de ésta, se distinguen dos tipos de curvas: la característica de entrada y la característica de salida. a) Características de entrada La característica de entrada relaciona dos magnitudes de entrada con una de salida. En el caso de la configuración en emisor común se tiene la corriente de base en función de la tensión base-emisor, para distintos valores de tensión colector- emisor. La corriente de base y la tensión base-emisor son variables de entrada, mientras que la tensión colector-emisor es una magnitud de salida. Si se tiene una configuración en base común, su característica de entrada relacionará la corriente del emisor con la tensión emisor-base, utilizando la tensión colector-base como parámetro. La corriente de emisor y la tensión emisor-base con las magnitudes de entrada. La figura muestra las diferentes características de entrada de dos transistores NPN de germanio y silicio respectivamente en función del voltaje base-emisor para dos valores del voltaje colector-emisor. b) Características de salida La característica de salida tiene dos de las tres magnitudes pertenecientes al circuito de salida. Las curvas que relacionan la corriente de colector, la de base y la tensión emisor-colector son características de salida en configuración emisor-común, mientras que las que relacionan la corriente de emisor, la de colector y la tensión colector-base son las curvas correspondientes a una configuración en base común.
  • 6.
    CIRCUITOS ELECTRÓNICOS Ing.Antonio Calderón 6 Regiones de trabajo Un transistor bipolar puede funcionar de tres formas diferentes dependiendo de la polarización que tengan las dos uniones, base-emisor y base-colector. Estas zonas se pueden observar en la familia de curvas características de salida de un transistor como se muestra en la figura. Región de corte. Para un transistor de silicio, VBE es inferior a 0,6 V ( para germanio 0,2 V), ambas uniones están polarizadas en sentido inverso y las intensidades en los terminales se pueden considerar despreciables. En otras palabras, el voltaje de base no es lo suficientemente alto para que circule corriente por la juntura base emisor, por lo que la corriente de colector es igualmente despreciable. Región Activa Normal. La unión base-emisor está polarizada en sentido directo ( VBE > 0,6 V) y la unión colectora lo está en sentido inverso, la corriente inversa que circula en la unión de colector es β veces la corriente que circula en sentido directo base emisor. Esta zona es muy importante, puesto que el transistor funciona en ella cuando se utiliza para amplificar señales. Región de saturación. Ambas junturas, base-emisor y base-colector, están polarizadas en sentido directo. La corriente base-emisor es muy grande, por lo que la corriente de colector lo es igualmente grande. Se dice que ha entrado en saturación si el voltaje del colector es inferior al voltaje base-emisor. CONFIGURACIONES DEL TRANSISTOR Configuración en emisor común OUT IN Q1 NPN Terminal de Entrada: Base Terminal de Salida: Colector Terminal Común: Emisor
  • 7.
    CIRCUITOS ELECTRÓNICOS Ing.Antonio Calderón 7 Configuración en colector común OUT IN Q1 NPN Terminal de Entrada: Base Terminal de Salida: Emisor Terminal Común: Colector Configuración en base común OUTIN Q1 NPN Terminal de Entrada: Emisor Terminal de Salida: Colector Terminal Común: Base
  • 8.
    CIRCUITOS ELECTRÓNICOS Ing.Antonio Calderón 8 DISEÑO DE AMPLIFICADORES CON TBJ Consideraciones iniciales de diseño de amplificadores Los datos necesarios para el diseño que nosotros debemos proponernos puesto que si el diseño es orientado a un cliente, este no nos va a proporcionar, sino únicamente nos va a decir hacia que aplicación esta orientado el circuito, a partir de esto nosotros debemos plantearnos los datos o indagar al mismo cliente para de alguna manera obtenerlos Entonces los datos necesarios para empezar con nuestro diseño son: Ganancia (A): Se refiere a la amplificación que se desea a la salida a partir de una señal de entrada. Vin Vo A = Son valores bajos y para el caso de diseño de una etapa de amplificación se considera como valor máximo una ganancia de 50 puesto que cuando mayor es la ganancia la probabilidad de inestabilidad es mayo (1 Etapa). Voltaje de salida (Vo): voltaje que deseamos obtener a la salida Para amplificadores de señal se manejan bajos voltajes (mV), es poco usual tener voltajes en el orden de decenas e incluso centenas de voltios para una sola etapa. Impedancia de entrada (Rin): Es la impedancia del amplificador que va a observar el generador (por ejemplo un micrófono). Esta impedancia debe ser mayor o igual a más o menos diez veces la resistencia interna del generador para obtener todo el valor de la señal a las terminales de entrada del circuito ya que se desea amplificar toda la señal de entrada mas no obtener máxima transferencia de potencia. Carga (RL): Es lo que se va a conectar al amplificador a su salida. Este posee una resistencia cuyo valor usualmente esta en las decenas de ohmios o unidades de kilo-ohmios. β: Valor característico del transistor a ser utilizado obtenido en manuales del fabricante. El valor de β para TBJ de señal es alto, por ejemplo utilizamos 100 que es el valor típico del transistor 2N3904. Frecuencia de trabajo (f): valor de frecuencia a la cual va a estar operando el circuito amplificador.
  • 9.
    CIRCUITOS ELECTRÓNICOS Ing.Antonio Calderón 9 DISEÑO DE AMPLIFICADOR EN EMISOR COMÚN Circuito En el circuito amplificador en emisor común podemos observar que la señal ingresa por la Terminal de base y la salida esta en e Terminal de colector. Además debemos mencionar que la señal de salida esta desfasada 180º con respecto a la señal de entrada La regla general para obtener la ganancia en un circuito de emisor común es: “Todo lo que está en colector para señal divido para todo lo que está en emisor para señal”. Por lo tanto se obtiene la expresión de ganancia del circuito mostrado inicialmente: 1 || Ee LC Rr RR A + = Dado que la señal ingresa en el Terminal de la base se obtiene la expresión de la impedancia de entrada: TRinRRRin |||| 21= Donde RinT es la impedancia de entrada en el transistor y es igual a (β+1) por todo lo que esta en emisor para señal, por lo tanto: ))(1( 1EeT RrRin ++= β R1 y R2 están en paralelo puesto que para señal Vcc es tierra. A este paralelo le podemos representar como RB. Obteniendo la expresión final de la impedancia de entrada: [ ]))(1(|| 1EeB RrRRin ++= β Para el diseño de un circuito en emisor común es necesario tener muy en cuenta que se cumpla la condición de impedancia de entrada por lo tanto:
  • 10.
    CIRCUITOS ELECTRÓNICOS Ing.Antonio Calderón 10 Analizando la expresión de la impedancia de entrada obtenemos que la peor condición para que se cumpla esta es que RinT sea al menos Rin y reemplazando la ecuación de RinT obtenemos Rin A R Rin A R A R Rr Rr R A RRR Rr RR A RinRr RinRin eq eq eq Ee Ee eq LCeq Ee LC Ee T )1( :expresiónlaobtenemosquelaDe )1( 1inecuaciónlaen2ec.ladoreemplazan )2( ||sea || :gananciadeexpresiónlaDe )1())(1( 1 1 1 1 + ≥ ≥+ =+⇒ + = = + = ≥++ ≥ β β β De esta última expresión podemos obtener la condición de RC que nos ayudará a empezar con nuestro diseño Dentro del diseño también hay condiciones para evitar recortes en la señal de salida las cuales se especifican a continuación: Con la ayuda de las curvas características del transistor Obtenemos la inecuación que nos evita distorsiones en la señal de salida. En la inecuación el subíndice p indica el valor pico de la onda.
  • 11.
    CIRCUITOS ELECTRÓNICOS Ing.Antonio Calderón 11 Vop R R V R V R V iI eq C RC eq op C RC poC ≥∴ ≥ ≥ La elección correcta del valor RC nos permitirá obtener valores bajos de Vcc pero corrientes altas y viceversa De la expresión de VRC podemos deducir: opRC LCLC opRC LC opRC LC vV RRRRSi vV RRSi vV RRSi .10 )10( .2 ≥⇒ =>> ≥⇒ = ≥⇒ << Procedemos a graficar el eje vertical de voltajes Esta gráfica nos permite observar lo que nos expresa en la inecuación y como podemos observar el vop se refiere al del ciclo positivo El eje vertical de voltajes nos va a ayudar a la explicación de otras condiciones para que no exista distorsión. Por ejemplo, para asumir el voltaje emisor se puede observar en el eje que debe ser mayor a vinp pero además se debe sumar 1 V que es por motivo de estabilidad térmica en el circuito. Por lo tanto se obtiene: inpE vVV +≥1
  • 12.
    CIRCUITOS ELECTRÓNICOS Ing.Antonio Calderón 12 Para el caso del voltaje colector – emisor en la grafica podemos observar que debe ser mayor a la suma de vinp y vop , pero además se debe aumentar 2 V (vact) para garantizar que el transistor trabaje en la región activa como se observa en la curva característica del TBJ. inpactopCE vvvV ++≥ A continuación se realizará un ejercicio en el que se explicará con más detalle el procedimiento de diseño para un amplificador en emisor común y se aclarará otros aspectos muy importantes a considerar para el correcto funcionamiento del circuito. Nos planteamos los siguientes datos: A = 50 vop = 10 V Rin ≥ 3 kΩ RL = 2 kΩ f= 1 kHz β = 90 Empezamos el diseño con la ecuación de Req para obtener la condición de RC. Ω=ΩΩ== Ω= Ω≥∴ Ω≥ Ω + ≥ + ≥ kkkRRR kRc kR kRR kRR Rin A R LCeq C LC LC eq 714.12||12|| generariame quecorrientedevaloreltambiéngastos,másimplicacualloaltomuyVccun obtenernoparasalidadevoltajeelobservandoaresistencidevaloresteasumo;12Asumo 37.9 64.1|| 3* 190 50 || )1(β Ya que las resistencias poseen una tolerancia los valores de las mismas van a oscilar; esto puede ocasionar que se produzca recortes en la señal de salida por lo que se multiplica los valores de VRC y VE por un factor de seguridad que va a depender de la tolerancia, en la siguiente tabla se muestra el factor de seguridad junto con la tolerancia:
  • 13.
    CIRCUITOS ELECTRÓNICOS Ing.Antonio Calderón 13 Tolerancia Factor de seguridad 10 % 1.2 20 % 1.3 30 % 1.4 En el presente ejercicio seleccionamos resistencias de tolerancia 10 % entradadelado condespuésysalidadeladoelconprimeroterminarrecomiendasediseñoelconcontinuardeAntes 33 circuito.deldestabilidalaconincluso eRinaumentaraayudaqueyaaresistencilamosselecciona33dearesistencilamosSelecciona )27y(33 estadararesistencidevaloresdosrseleccionapuedese71.3057.328.3428.34 nte.termicameestablees queconcluyesetantolopormayormuchoesqueobservamos,rconvalorúltimoesteComparando 28.34 50 1.714k despejandoygananciadefórmulaladepartirA tetermicamen estableseacircuitoelqueparaRponesequeloporratemperatulaconvariardevalorel 57.3 7 2525 tantoloporIIdeónaproximacilarealizarpodemosaltoeselqueDado 25 fórmulalamedianterrtransistodelpropioparámetroelcalcularaprocedeSe 7 12 84 84Asumimos 84 seguridaddefactorelmosmultiplicalefinalvalorestea7010 714.1 12 1 1 e 1 1 1 E1e CE e C Ω= Ω ΩΩ Ω=−=−Ω= Ω=+ Ω ==+ + Ω=== = = = Ω == = ≥ ≥⇒ Ω Ω ≥ ≥ E eE Ee eq Ee Ee C e E e C RC C RC RC RCRC op eq RC R rR Rr A R Rr Rr mA mV I mV r I mV r mA k V R V I VV VV VVV k k V v R R V β
  • 14.
    CIRCUITOS ELECTRÓNICOS Ing.Antonio Calderón 14 JBERCRCE k k R JBECERCR B B C B CECEinpactopCE op inp VVVV RI K k mA V I V R VVVVVVVV mAmAAIII mAI II III A mAI I VVVVVVvvvV V V A v v +−= = Ω=∴ Ω=== =−+=−+= =+=+= = >> += === ≥⇒++≥++≥ === Ω Ω 1 CE 11R1 1 1 120 100 1 1 1 1 21 2 B2 2 B2B 21 2211 21 E CE CE CE VdevalornuevoelcalculaseY .V :calcularacede -proseyRnuevounasumesecumpla,senoquedecasoelesSi.impedanciadecondiciónlalograr parasatisfaceravasitantolopormayordacasonuestroenpedida,condiciónlalograravamosno Rinamenordasiqueyaentrada,deimpedanciaconcumplearesistenciestasiobsevarDebemos 120R .ónpolarizacidestabilidalaafectarpuede queyaestoproducequecorrientelacuentaentengamosademasyescogidaaresistencilade toleracialadedentroestacalculadaaresistenciladevalorelsiquededependeselecciónLa 47.112 85.0 6.95 6.956.02.1284 85.0777.077 777.0 ónpolarizacidedEstabilida :hacesetantoloporcombienenosnoquehechosalidade ladodelticascaracteríslastodasvariandovariableseabaseladevoltajeelquehaciendoIde cambiosproduciráIdeesvariacionlasIconcomparableesIsiobservar,podemosComo RporcirculaquecorrientelaIyRporcirculaquecorrientelaISea 77 90 7 relaciónlautilizamosesoparaentradadeladodeldiseñoalpasamosAhora Rindeecuaciónladedentroestanquelesson variabque)Ry(Rbaselaen hayqueloyemisorelenhayqueloderelacionestrechaunahayqueyacumpliravasenoRinde condiciónlaqueyadedujosequeinecuaciónlaconVdevalorelasumesenoejercicioesteEn VmayordertransistootrorseleccionaessoluciónLao.dispositivelendañoscausarpuedeeste asuperacalculoelensiqueya,VdertransistodelticocaracterísvalorelobservarqueHay condición.laespecificaquemínimovalorelcumpleseyayVaenviasesobranteelVccde valorelaumentasesiqueYaseguridad.defactorelporemultipliqusequeopcionalesvalorEste 2.122.0210; 2.0 50 10 μ μ β
  • 15.
    CIRCUITOS ELECTRÓNICOS Ing.Antonio Calderón 15 Ω=ΩΩΩ== = =++=++= Ω= Ω=Ω−Ω=−= Ω=== =−=−= =Ω== Ω= Ω≥ +≥ = ≥≥⇒+≥ +≥ =−=−= =Ω== Ω≥ Ω≥ Ω≥ Ω=Ω+Ω=++= Ω Ω kkkkRinRRRin VVVVVVVVcc kR kkRRR k mA V I V R VVVVV VkmARIV kR kR vVV V NecesarioVV VVVVVVV vVV VVVVV VkmARIV kR KRinRR kRin kRrRin T RCCEE E k kEETE E E ET JBEB B inpE E E EEE inpE JBEB B T EeT 01.33.3||47||120|||| Vaenvioexcesoel135VVccElijo 12.132842.1292.35 7.4 09.53313.5 13.5 7 92.35 92.356.052.36V 52.3647*77.0. 47Elegimos 48.40condiciónlaDe )1(necesarioVdesdeanálisiselparteseVloscumplesenoSi Rin.concumplirparasuperiorinmediatoRdevalorel elegiraprocedesetantolopornecesario'elconcumpleVobservarpodemosComo )(44.1' 44.1seguridaddefactorporndomultiplica2.12.01 1 VAsumo 85.306.045.31V 45.3148.40*77.0. VcalculoRdemínimovalorelcon 48.40obtengo 3|||| 3inicialcondiciónlaDe 33.3)3357.3)(91())(1( 21 CE 2 6.5 7.412 E 22 2 2 EEmin 2 minEmin min E minEmin 22min Bmin2 2 21 1β La razón por la que da Vcc excesivamente alto es que los valores de Rc son mayores a RL. Calculo de Capacitores El objetivo de los capacitores es controlar el flujo y rechazo de voltajes alternos y voltajes continuos respectivamente (capacitor acopla señal y desacopla continua). Esta deducción de las fórmulas se aplica a cualquier configuración Capacitor de Base (capacitor de entrada) Vo Rin CB + - Vin VinVo Rinf CRinX Vin XRin Rin V BB B o =∴ >>⇒<< + = min..2 1 Si π
  • 16.
    CIRCUITOS ELECTRÓNICOS Ing.Antonio Calderón 16 En el ejemplo FC nFC kkHz C Rinf C B B B B μ π π 1 87.52 01.3*1..2 1 ..2 1 min = >> Ω >> >> La deducción de la expresión de los capacitores se la puede realizar con la fórmula de la ganancia o con la de impedancia tomando en cuenta en la expresión la reactancia capacitiva Capacitor de Colector (capacitor de salida) ( ) L C Ee LC LC Ee LCC Rf C Rr RR ARX Rr RXR A min 1 1 ..2 1 || Si || π >>∴ + =⇒<< + + = En el ejemplo FC nFC kkHz C Rf C B B B L C μ π π 1 6.79 2*1..2 1 ..2 1 min = >> Ω >> >> Capacitor de Emisor ( )1min2min 1 1 1 2 21 ..2 1 ..2 1 Si Si )||( Ee E E E Ee eq EeE EEe eq EE EEEe eq Rrf C Rf C Rr R ARrX XRr R ARX RXRr R A + >>∧>>∴ + =⇒+<< ++ =⇒<< ++ = ππ En el ejemplo
  • 17.
    CIRCUITOS ELECTRÓNICOS Ing.Antonio Calderón 17 ( ) ( ) FC FCnFC kHz C kkHz C Rrf C Rf C E EE EE Ee E E E μ μ ππ ππ 47 35.486.33 3357.31..2 1 7.4*1..2 1 ..2 1 ..2 1 1min2min = >>∧>> Ω+Ω >>∧ Ω >> + >>∧>>
  • 18.
    CIRCUITOS ELECTRÓNICOS Ing.Antonio Calderón 18 DISEÑO DE AMPLIFICADOR EN BASE COMÚN Circuito En el circuito amplificador en base común podemos observar que la señal ingresa por la Terminal de emisor y la salida esta en el Terminal de colector. La característica de este circuito es que la señal de salida esta en fase a la señal de entrada. La regla general para obtener la ganancia en un circuito en base común es: “Todo lo que está en colector para señal divido para todo lo que está en desde el punto de ingreso hacia emisor para señal”. Por lo tanto se obtiene la expresión de ganancia del circuito mostrado inicialmente: 1 || Ee LC Rr RR A + = Como el capacitor CB es cortocircuito para señal las resistencias R1 y R2 no están en la fórmula de la ganancia Dado que la señal ingresa por el emisor se obtiene la expresión de la impedancia de entrada: ( )12 || EeE RrRRin += En el diseño de un amplificador en base común la impedancia de entrada no es un dato ya que es muy baja en estos circuitos y es difícil alcanzar altos niveles de este parámetro.
  • 19.
    CIRCUITOS ELECTRÓNICOS Ing.Antonio Calderón 19 Ejercicio En el siguiente circuito obtenga la ecuación de la ganancia e impedancia de entrada. Recordemos la regla para obtener la ganancia “Todo lo que está en colector para señal divido para todo lo que está en desde el punto de ingreso hacia emisor para señal” Lo que esta en colector para señal: RC||RL Lo que esta desde el punto de ingreso hacia emisor para señal: re+[(R1||R2)/(β+1)], el factor 1/(β+1) esta presente cuando se toma valores de la base vistos desde el emisor Por lo tanto la ganancia es igual a: 1 || || 21 + + = β RR r RR A e LC Para el caso de la impedancia de entrada observamos el circuito y obtenemos que: ⎟⎟ ⎠ ⎞ ⎜⎜ ⎝ ⎛ + += 1 || || 21 β RR rRRin eE Condiciones de diseño Siguiendo con el procedimiento de diseño para esta configuración, se inicia asumiendo la resistencia RC y asumiendo el valor de VRC con la misma condición demostrada en el diseño de emisor común para evitar distorsiones en la señal de salida. LCeq op eq C RC RRR v R R V ||siendo = ≥ La elección correcta del valor RC nos permitirá obtener valores bajos de Vcc pero corrientes altas y viceversa
  • 20.
    CIRCUITOS ELECTRÓNICOS Ing.Antonio Calderón 20 Con la ayuda del eje vertical de voltajes para esta configuración, obtenemos las condiciones para asumir VRE2 que es el voltaje de ingreso en este circuito y el VCE. Por lo tanto inpE vVV +≥1 actopCE vvV +≥ La presencia de 1V y vact en VE y VCE respectivamente son por las mismas razones expuestas en el circuito de emisor común Las condiciones a cumplir referentes a estabilidad térmica y de polarización son las mismas. En el siguiente ejercicio se explicará el procedimiento de diseño para un amplificador en base común con las siguientes condiciones. A = 10 vo = 5 V RL = 5.6 kΩ f = 20 Hz – 20 kHz βmin = 80 El circuito a diseñar es el mostrado al inicio de este tema ya que ofrece mayor estabilidad que el mostrado en el ejercicio de ganancias e impedancias porque no depende de dos parámetros propios del transistor
  • 21.
    CIRCUITOS ELECTRÓNICOS Ing.Antonio Calderón 21 Como el diseño no contiene Rin el proceso es más sencillo. Ω=ΩΩ== Ω= kkkRRR kRc LCeq 58.16.5||2.2|| Ryaltomuy Vccunobtenernoparasalidadevoltajeelobservandovaloresteasumo;2.2Asumo L Asumimos resistencias de tolerancia 20 %, por lo tanto factor de seguridad de 1.3 nte.termicameestablees queconcluyesetantolopormayormuchoesqueobservamos,rconvalorúltimoesteComparando 158 10 1.58k 81.5 3.4 2525 3.4 2.2 5.9 5.9Asumimos 05.9seguridaddefactorelpordomultiplica96.65 58.1 2.2 e 1 1 Ω=+ Ω ==+ Ω=== ⇒= = Ω == = ≥≥⇒ Ω Ω ≥ ≥ Ee eq Ee C e EC C RC C RC RCRCRC op eq C RC Rr A R Rr mA mV I mV r altoesxqII mA k V R V I VV VVVVV k k V v R R V β Ω= Ω=−=−Ω= 150 19.15281.5158158 1 1 E eE R rR
  • 22.
    CIRCUITOS ELECTRÓNICOS Ing.Antonio Calderón 22 ( ) ( ) ( ) ( ) Ω=Ω+ΩΩ=+= Ω=∴ Ω= − = − = Ω=∴ Ω= + = + == =+=+= = >> === =∴ =++=++= =Ω+Ω=+= Ω= Ω=== = ≥≥⇒+≥⇒+≥ ≥⇒+≥+≥ === Ω Ω Ω Ω 11715081.5||470|| circuito.aldestabilidamayorofrece ellasdecualyatoleranciladeinfluencialaenbasanseasresistencilasdeeleccióndecriteriosLos 27 4.28 59.0 26.320 6.5 6 537.0 6.066.2 59.05375.075.53 5375.0 ónpolarizacidedEstabilida 75.53 80 3.4 relaciónlautilizamosesoparaentradadeladodeldiseñoalpasamosAhora activareg,laenesteTBJelquemásasegurarparaVaenvioexcesoel20 16.195.9766.2 66.24701503.4 470 12.465 3.4 2 2 95.1Vseguridaddefactorelpor5.1V5.01V1V 725; 5.0 10 5 12 1 33 27 2 1 2 8.6 6.5 22 2 21 2 B2 CE 21 2 2 2 2 RE2RE2RE2RE2 EeE k k B k k JBEEB B C B RCCEE EEEE E E RE E RE inp CECEactopCE op inp RrRRin kR k mA VV I VVcc R kR k mA VV I VV I V R mAmAAIII mAI II A mAI I VVcc VVVVVVVVcc VmARRIV R mA V I V R VV VVVVvV VVVVVvvV V V A v v μ μ β Calculo de Capacitores Son las mismas condiciones para el caso de los capacitores de entrada y salida para el de base se realizará el respectivo análisis. Al inicio del ejercicio da un rango de frecuencia. La frecuencia utilizada para el calculo es la frecuencia de trabajo fijada en nuestro ejemplo como 1 kHz Capacitor de Emisor (capacitor de entrada) Rinf CRinX EE min..2 1 π >>⇒<<
  • 23.
    CIRCUITOS ELECTRÓNICOS Ing.Antonio Calderón 23 En el ejemplo FC FC kHz C Rinf C E E E E μ μ π π 18 36.1 117*1..2 1 ..2 1 min = >> Ω >> >> Capacitor de Colector (capacitor de salida) L C LC Rf C RX min..2 1 π >>∴ << En el ejemplo FC nFC kkHz C Rf C B B B L C μ π π 47.0 42.28 6.5*1..2 1 ..2 1 min = >> Ω >> >> Capacitor de Base Para obtener la condición de este capacitor vamos a emplear la formula de impedancia considerando XB ( ) ( )( )1..2 1 ..2 1 || 1 Si 1 ||Si || 1 || || 1minmin 121 12 2112 ++ >>∧>>∴ +=⇒+<< + ⎟⎟ ⎠ ⎞ ⎜⎜ ⎝ ⎛ + ++=⇒<< =⎟⎟ ⎠ ⎞ ⎜⎜ ⎝ ⎛ + ++= βππ β β β Ee B B B eEEEe B B eEEBB B BB eEE Rrf C Rf C rRRRinRr X X rRRRinRX RRR XR rRRRin En el ejemplo ( )( ) ( ) ( ) FC nFCnFC kHz C kkkHz C Rrf C Rf C B BB BB Ee B B B μ ππ βππ 47.0 61.1231.34 15081.5*81*1..2 1 6.5||27*1..2 1 1..2 1 ..2 1 1minmin = >>∧>> Ω+Ω >>∧ ΩΩ >> ++ >>∧>>
  • 24.
    CIRCUITOS ELECTRÓNICOS Ing.Antonio Calderón 24 DISEÑO DE AMPLIFICADOR EN COLECTOR COMÚN Circuito En el circuito amplificador en base común podemos observar que la señal ingresa por la base y la salida esta en el emisor. Este circuito también es conocido como seguidor emisor. La característica de este circuito es que la ganancia no es mayor que 1. La regla general para obtener la ganancia en un circuito en colector común es: “Todo lo que está en emisor desde el punto de salida a tierra dividido para todo lo que está en emisor”. Por lo tanto se obtiene la expresión de ganancia del circuito mostrado inicialmente: eqe eq LEe LE Rr R RRr RR A + = + = || || Ejemplo de obtención de la ganancia: en la gráfica aparece solo la parte del circuito que corresponde al emisor.
  • 25.
    CIRCUITOS ELECTRÓNICOS Ing.Antonio Calderón 25 La fórmula de la ganancia entonces es: LEEe LE RRRr RR A || || 21 2 ++ = Continuando con el diseño en colector común. Dado que la señal ingresa por la base se obtiene la expresión de la impedancia de entrada similar a la configuración en emisor común. TRinRRRin |||| 21= Donde RinT es la impedancia de entrada en el transistor y es igual a (β+1) por todo lo que esta en emisor para señal, por lo tanto: )||)(1( LEeT RRrRin ++= β El paralelo entre R1 y R2 denominamos RB y el paralelo entre RE y RL denominamos Req Obteniendo la expresión final de la impedancia de entrada: [ ]))(1(|| eqeB RrRRin ++= β Para el diseño de un circuito en colector común es necesario tener muy en cuenta que se cumpla la condición de impedancia de entrada por lo tanto: Analizando la expresión de la impedancia de entrada obtenemos que la peor condición para que se cumpla esta es que RinT sea al menos Rin y reemplazando la ecuación de RinT obtenemos
  • 26.
    CIRCUITOS ELECTRÓNICOS Ing.Antonio Calderón 26 )1( tantolopor1AqueescondiciónpeorLa )1( :expresiónlaobtenemosquelaDe )1( 1inecuaciónlaen2ec.ladoreemplazan )2( ||donde :gananciadeexpresiónlaDe )1())(1( + ≥ = + ≥ ≥+ =+ = + = ≥++ ≥ β β β β Rin R Rin A R Rin A R A R Rr RRR Rr R A RinRr RinRin eq eq eq eq eqe LEeq eqe eq eqe T De esta última expresión podemos obtener la condición de RE que nos ayudará a empezar con nuestro diseño Al igual que con la configuración en emisor común hay que evitar recortes de la señal, Como en la configuración en emisor común a partir de las curvas características del transistor obtenemos lo siguiente: Vop R R V VV R V R V iI eq E E ERE eq op E RE poE ≥∴ = ≥ ≥ Del eje vertical de voltajes obtenemos el VCE. actopCE vvV +≥
  • 27.
    CIRCUITOS ELECTRÓNICOS Ing.Antonio Calderón 27 A continuación se realizará un ejercicio en el que se explicará con más detalle el procedimiento de diseño para un amplificador en colector común. Nos planteamos los siguientes datos: vop = 3V Rin ≥ 6 kΩ RL = 3.9 kΩ f= 1 kHz β = 100 Empezamos el diseño con la ecuación de Req para obtener la condición de RC. Ω=ΩΩ== ∞→∞→ Ω= Ω≥∴ Ω≥ + Ω ≥ + ≥ 5.3549.3||390|| subeVccmuchoalejamosnossibién -tamperoVcctantoloporyRmínimoelseleccionosiquecuenta eny teniendosalidadevoltajeelobservandoaresistencidevaloresteasumo;390Asumo 94.60 60|| 1100 6 || )1( B kRRR R R RR k RR Rin R LEeq E E LE LE eq β En el presente ejercicio seleccionamos resistencias de tolerancia 10 % ejerciciopresente elencumplesicuallorRcomparamostérmicadestabilidahayquecomprobarPara 44.2 25.10 2525 fórmulalamedianterrtransistodelpropioparámetroelcalcularaprocedeSe 25.10 390 4 4Asumimos 96.3seguridaddefactorpor3.33 5.354 390 eeq e E >> Ω=== = Ω == = ≥≥⇒ Ω Ω ≥ ≥ mA mV I mV r mA V R V I VV VVVVVV v R R V E e E RE E RE REEE op eq RE Del no cumplir la estabilidad térmica asumimos nuevo re tal que cumpla y recalculamos IE y VRE igual procedimiento se realiza en las anteriores configuraciones pero con IC y VRC
  • 28.
    CIRCUITOS ELECTRÓNICOS Ing.Antonio Calderón 28 gananciadefórmulalaenconstaquearesistencilasoloACpara yDCparanfuncionarasoloserieenasresistencidoslaspuestocapacitorunconectamos paraleloenyRaserieenaresistenciunaoriginalcircuitoalaumentaressoluciónla teinicialmencalculadoRdevalormismoeldejaryrecalculosloshaceravolvernoPara 69.1 25.10 4.17 4.176.018 VdevalornuevoelcalculoR2yR1devaloreslosderealizadocambioelCon 38 8.378.1918 8.1918*1.1* 1818*1* 18 84.15*2 queconcluyoRdepartirayigualessonRyRqueAsumiendo 92.7 seguridadporatolerancidemáximopuntoelporvalorestendomultiplica2.7 ||6|| 6 05.36)5.35444.2(*101))(1( tantoloporRinconcumplanbaseladeasresistencilasqueobservarquetenemosPero 6.4 1 6.04 1.1149.101 1 ónpolarizacidedEstabilida 49.101 101 25.10 1 E E E 1 111 22 21 18 15 21 B21 21 22 2 21 2 B2 Ω===∴ =−=−= = =+=+= =Ω== =Ω==∴ Ω==⇒ Ω=== Ω≥⇒ Ω≥ =Ω≥ Ω≥ Ω=+=++= Ω= + = + == =+=+= = >> == + = Ω Ω k mA V I V R VVVVVV VVcc VVVVVVcc VkmARIV VkmARIV kRR kRRR kR kR RRRkRinR kRin kRrRin k mA VV I VV I V R mAmAAIII mAI II A mAI I E E ET JBEBE RB R B k k B B B BTB eqeT JBEEB B E B β μ μ β El cambio realizado es:
  • 29.
    CIRCUITOS ELECTRÓNICOS Ing.Antonio Calderón 29 Ω=ΩΩΩ== ∴=−=−= ≥+≥+≥ = Ω+Ω Ω = + =⇒ Ω= Ω=Ω−Ω=−=→+= kkkkRinRRRin VVVVVccV VVVVVvvV RRr RR A kR kkRRRRRR T ECE CECEactopCE LEe LE E EETEEEET 2.705.36||18||18|||| necesarioVconCumploTengo6.204.1738 Necesario523 993.0 5.35444.2 5.354 || || 2.1 3.139069.1 seráRdevalorEl 21 CE 1 1 2 1221 E2 Calculo de Capacitores Capacitor de Base (capacitor de entrada) Rinf CRinX BB min..2 1 π >>⇒<< En el ejemplo FC nFC kkHz C Rinf C B B B B μ π π 47.0 1.22 2.7*1..2 1 ..2 1 min = >> Ω >> >> Capacitor de Emisor (1) (capacitor de salida) L E LE Rf C RX min 1 1 ..2 1 π >>∴ << En el ejemplo FC nFC kkHz C Rf C B B B L E μ π π 47.0 8.40 9.3*1..2 1 ..2 1 min 1 = >> Ω >> >>
  • 30.
    CIRCUITOS ELECTRÓNICOS Ing.Antonio Calderón 30 Capacitor de Emisor (2) ( )( ) ( ) 1min 2 2min 2 1 1 12 1 21 22 1 221 ..2 1 ..2 1 || || Si || || Si || |||| E E E E LEe EL EE LEe EEL EE LEe EEEL Rf C Rf C RRr RR ARX RRr XRR ARX RRr XRRR A ππ >>∧>>∴ + =⇒<< + + =⇒<< + + = En el ejemplo FC nFCnFC kHz C kkHz C Rf C Rf C E EE EE E E E E μ ππ ππ 7.4 08.40863.132 390*1..2 1 2.1*1..2 1 ..2 1 ..2 1 1min2min = >>∧>> Ω >>∧ Ω >> >>∧>>
  • 31.
    CIRCUITOS ELECTRÓNICOS Ing.Antonio Calderón 31 CIRCUITOS DE ALTA IMPEDANCIA DE ENTRADA Se crea la necesidad de tener circuitos que proporcionen una alta impedancia de entrada para poder ser conectados a generadores y que toda la señal sea amplificada. Entre los dispositivos electrónicos que proporcional alta impedancia de entrada están: • FET’s (Rin = ∞ idealmente) • Amplificador Operacional (Rin = ∞ idealmente) • Tubos de vacío • TBJ (dependiendo de la configuración) Entre los circuitos electrónicos que proporcional alta impedancia de entrada están: • Emisor y Colector común • Circuitos de Autolevación (Emisor y Colector común) • Circuitos Darlington En este tema vamos a estudiar los Circuitos de Autolevación (Emisor y Colector común) y Circuitos Darlington CIRCUITOS DE AUTOELEVACIÓN Emisor Común con Autoelevación Circuito 1 3 2 +V Vcc + C Q1 + - Vin + CE + CC + CB R RL RE2 RE1 R2 RCR1 +V Vcc + C Q1 + - Vin + CE + CC + CB R RL RE2 RE1 R2 RCR1 Tenemos el siguiente análisis del circuito considerando todos los capacitores en cortocircuito:
  • 32.
    CIRCUITOS ELECTRÓNICOS Ing.Antonio Calderón 32 inTin R Bin BEeEeinT inTEBinTEin RR R i vv Cvv vv Cvv RRrRRRrR RRRRRRRRRR =∴ ∞=→ =→ =∴ = = = ++=++= +=+= 0 :quetenemosseñalparaEntonces itocortocircu emisorSeguidor itocortocircu gráficaladel3y21,puntoslosenvoltajeelanalizaravamoslseñaenanálisiselPara ))(1())(1( )()( 31 23 12 1 1211 1121 ββ En este circuito, como característica importante es que la impedancia de entrada ya no depende de RB subiendo los niveles de Rin. Una gran ventaja es que los voltajes Vcc son más bajos. Desde el punto de vista teórico se puede asumir el valor mínimo de RC. Resulta más sencillo el diseño ya que se puede asumir VE y no va influir en la impedancia de entrada. A continuación se presenta un ejemplo de diseño. Ejercicio A = 20 vop = 1V RL = 2.7 kΩ Rin ≥ 10kΩ f = 1 kHz β = 100 +V Vcc + C Q1 + - Vin + CE + CC + CB R RL RE2 RE1 R2 RCR1 Empezamos el diseño con la ecuación de Req para obtener la condición de RC.
  • 33.
    CIRCUITOS ELECTRÓNICOS Ing.Antonio Calderón 33 ç Ω=ΩΩ== Ω= Ω≥∴ Ω≥ Ω≥ + ≥ kkkRRR kRc kR kRR kRR Rin A R LCeq C LC LC eq 03.27.2||2.8|| gastos.másimplicacualloaltomuyVccun obtenernoparasalidadevoltajeelobservandoaresistencidevaloresteasumo;2.8Asumo 43.7 98.1|| 10* 101 20 || )1(β Asumimos resistencias de tolerancia 10 % ( ) ( ) Ω= Ω ==+ = + = Ω=== = Ω == = ≥≥⇒ Ω Ω ≥ ≥ 5.101 20 03.2 || ||donde; || 41 609.0 2525 609.0 2.8 5 5Asumimos 84.4seguridaddefactorpor03.41 03.2 2.8 1 21 1 C k A R RRr RRR RRr R A mA mV I mV r mA k V R V I VV VVVVV k k V v R R V eq BEe B BEe eq E e C RC C RC RCRCRC op eq RC
  • 34.
    CIRCUITOS ELECTRÓNICOS Ing.Antonio Calderón 34 JBER 7.2 2.2 R RB R 21 2 B2 CE EEEE E 1 e e VquemenormuchoaunseaVqueparamenorelseleccionase2.2 4.2 05.0 06.0V R R,devalorelobtengoVyIdatoslosconEntonces 06.0 V condición siguientelaplanteaseestolograrPararealizado.epreviamentdiseñoalafectenoyconstantesemisor elenvoltajeelmantenerparalesdespreciabserdebenRaresistencilaenvoltajedelesvariacionLas 275.025.0025.0 25.0 ónpolarizacidedEstabilida 025.0 100 5.2 relaciónlautilizamosesoparaentradadeladodeldiseñoalpasamosAhora activareg,laenesteTBJelquemásasegurarparaVaenvioexcesoel26 55.255.2005.32 05.305.021; 800 5.2 2 2 26.1Vseguridaddefactorelpor05.1V05.01V1V Rin.devalornuestro afectequesinVdevalorelasumirpodemosiónautoelevacconrealizandoestamoscomoAhora 05.0 20 1 5.91105.1015.101|| 5.202.8*5.2* 5.2 10 2525 10 rnuevoasumimoscorregirparante,termicameestable esnoquelopormayormuchoesnoqueobservamos,rconvalorúltimoesteComparando Ω=∴ Ω=== =∴ << =+=+= = >> === =∴ =++=++= ≥⇒++≥++≥ Ω=== = ≥≥⇒+≥⇒+≥ === Ω=Ω−Ω=−Ω= =Ω== = Ω == Ω= Ω Ω kR k mA V I VV V mAmAmAIII mAI II mA mAI I VVcc VVVVVVVVcc VVVVVvvvV mA V I V R VV VVVVvV V V A v v rRR VKmARIV mA mV r mV I r k k B R JBE B C B RCCEE CECEinpactopCE E E ET E inp op inp eBE CCRC e C e β
  • 35.
    CIRCUITOS ELECTRÓNICOS Ing.Antonio Calderón 35 Ω=ΩΩ+=++= = Ω=∴ Ω=Ω−Ω=−= Ω=∴ Ω= Ω= Ω=ΩΩ== Ω=∴ Ω= − = − = Ω=∴ Ω= ++ = ++ == Ω Ω Ω Ω kkRRrRin RinRin R RRR R R RR kkkRRR kR k mA VV I VVcc R kR k mA VVV I VVV I V R BEe T E EETE E E BE B k k B RJBEEB 1.10)91.8||9110(101)||)(1( iónAutoelevac 680 70991800 91 44.92 5.91|| 91.810||82|| 82 87.84 275.0 66.226 10 64.10 25.0 06.06.02 1 2 750 68012 1 1 1 21 1 91 82 1 1 2 22 2 β Calculo de Capacitores Capacitor de entrada) FC nFC kkHz C Rinf C RinX B B B B B μ π π 47.0 75.15 1.10*1..2 1 ..2 1 min = >> Ω >> >> << Capacitor de salida FC nFC kkHz C Rf C RX B B B L C LC μ π π 1 94.58 7.2*1..2 1 ..2 1 min = >> Ω >> >> << Capacitor de Emisor ( ) ( ) FC FCnFC kHz C kHz C Rrf C Rf C RrXRX E EE EE Ee E E E EeEEE μ μ ππ ππ 22 58.1234 91101..2 1 680*1..2 1 ..2 1 ..2 1 1min2min 12 = >>∧>> Ω+Ω >>∧ Ω >> + >>∧>> +<<∧<< Capacitor de autoelevación (C) ( )( ) ( ) B BEe eq B BEe eq Rf C RRr R ARX RXRr R A ..2 1 || Si || min 1 1 π >> + =→<< ++ =
  • 36.
    CIRCUITOS ELECTRÓNICOS Ing.Antonio Calderón 36 En el ejemplo FC nFC kkHz C Rf C RX B B B B B μ π π 22.0 86.17 91.8*1..2 1 ..2 1 min = >> Ω >> >> << Colector Común con Autoelevación Circuito 3 2 1 +V Vcc + C Q1 + - Vin + CE + CB R RLRE R2 R1 Tenemos el siguiente análisis del circuito considerando todos los capacitores en cortocircuito: inTin R Bin BLEeinT inTeqBinTLEin RR R i vv Cvv vv Cvv RRRrR RRRRRRRRRRR =∴ ∞=→ =→ =∴ = = = ++= +=+= 0 :quetenemosseñalparaEntonces itocortocircu emisorSeguidor itocortocircu gráficalade3y21,puntoslosenvoltajeelanalizaravamosseñalenanálisiselPara ))(1( )()( 31 23 12 1 21 β Tenemos entonces las mismas características que en el circuito emisor común con autoelevación pero en este caso la ganancia de este circuito es menor o igual a 1. Entonces este circuito lo podemos emplear como acoplador de impedancias.
  • 37.
    CIRCUITOS ELECTRÓNICOS Ing.Antonio Calderón 37 Ejercicio vop = 1V RL = 4.7 kΩ Rin ≥ 10kΩ f = 1 kHz β = 100 +V Vcc + C Q1 + - Vin + CE + CB R RLRE R2 R1 Ω=ΩΩ== Ω= Ω≥⇒ Ω≥∴ =≈→ >> Ω≥ Ω ≥ + ≥ 11.3607.4||390|| 390Asumo 13.101 99 ||;' )||(Si 99|||| 101 10 ' )1( ' kRRR R R kR RRRRR RRR RRR k R Rin R LEeq E E eq ELeqeqeq ELB BLE eq eq β Asumimos resistencias de tolerancia 10 % VVVVVVcc VVVVVvvV Rr mA mV I mV r mA V R V I VVV VVVVVV v R R V ECE CECEactopCE eqe E e E E E ERE RCRCRC op eq RE 532 321; tetermicamen estableesquelopormayormuchoesqueobservamos,rconvalorúltimoesteComparando 99.39411.360875.4 875.4 13.5 2525 13.5 390 2 2Asumimos 29.1seguridaddefactorpor08.11 11.360 390 e E =+=+= ≥⇒+≥+≥ Ω=Ω+Ω=+ Ω=== = Ω == == ≥≥⇒ Ω Ω ≥ ≥
  • 38.
    CIRCUITOS ELECTRÓNICOS Ing.Antonio Calderón 38 Ω=ΩΩ+Ω=++= = Ω=ΩΩ== Ω=∴ Ω= − = − = Ω=∴ Ω= ++ = ++ == Ω=∴ Ω=== =∴ << =+=+= = >> == + = = kkRRrRin RinRin kkkRRR kR k mA VV I VVcc R kR k mA VVV I VVV I V R kR k mA V I VV V mAmAmAIII mAI II mA mAI I VVcc Beqe T B B RJBEEB B R JBE B E B 7.32)8.2||11.360875.4(101)||)(1( iónAutoelevac 8.26.5||6.5|| 6.5 65.5 561.0 66.26 6.5 2.5 51.0 06.06.02 2.1 18.1 051.0 06.0V R R,devalorelobtengoVyIdatoslosconEntonces 06.0 V condición siguientelaplanteaseestolograrPararealizado.epreviamentdiseñoalafectenoyconstanteemisor elenvoltajeelmantenerparalesdespreciabserdebenRaresistencilaenvoltajedelesvariacionLas 561.051.0051.0 51.0 ónpolarizacidedEstabilida 051.0 101 13.5 1 relaciónlautilizamosesoparaentradadeladodeldiseñoalpasamosAhora activareg,laenesteTBJelquemásasegurarparaVaenvioexcesoel6 21 1 1 1 2 22 2 R RB R 21 2 B2 CE β β Calculo de Capacitores Capacitor de entrada) FC nFC kkHz C Rinf C RinX B B B B B μ π π 1.0 86.4 7.32*1..2 1 ..2 1 min = >> Ω >> >> << Capacitor de salida FC nFC kkHz C Rf C RX B B B L C LC μ π π 47.0 86.33 7.4*1..2 1 ..2 1 min = >> Ω >> >> <<
  • 39.
    CIRCUITOS ELECTRÓNICOS Ing.Antonio Calderón 39 Capacitor de autoelevación (C) FC nFC kkHz C Rf C RX B B B B B μ π π 68.0 84.56 8.2*1..2 1 ..2 1 min = >> Ω >> >> << CIRCUITO DARLINGTON Una conexión muy popular de dos TBJ para operar como un transistor con “superbeta” es la conexión Darlington, mostrada en la siguiente figura. = B E C QD NPN B E C Q2 NPN Q1 NPN B E C QD NPN B E C Q2 NPN Q1 NPN La principal característica de la conexión Darlington es que el transistor compuesto actúa como una unidad simple con una ganancia de corriente que es el producto de las ganancias de corriente de los transistores individuales. La conexión Darlington de transistores proporciona un transistor que cuenta con una ganancia de corriente muy grande, por lo general en el orden de los miles Existen transistores Darlington encapsulados en el mercado en los cuales internamente ya esta realizada la conexión de los dos transistores. Como por ejemplo el ECG268 (NPN) y el ECG269 (PNP) Fórmulas importantes para transistores Darlington IE1=IB2 IE2 IB1 B E C Q2 NPN Q1 NPN
  • 40.
    CIRCUITOS ELECTRÓNICOS Ing.Antonio Calderón 40 ( ) ( ) ( )( ) ( )( ) ( ) ( ) EE e ee E e B e BE E e e e B B B E EB B B B E I mV I mV r rr I mV r I mV r II I mV r r r I I I I II I I I I 5050 r .2r r 25 r 1 25 r ; 1 25 r 1 r :aigualsery varunposeeravaDarlingtonrtransistoEl . prácticovistadepuntoelDesde 11 111 ; 1 rtransistocadadelasyyDarlingtonrtransistodelbetalaSea 2 eD 2eD 22eD 2 2eD 22 2eD 21 21 2eD 2 1 2eD eD 21D 21D 1 112 1 12 D 12 1 22 1 2 D 21D ==∴ = += += + += = + += + += = ++=∴ ++ = + = = + == β β β βββ βββ βββ β β β βββ En el caso de transistores PNP la conexión es como muestra la siguiente figura: = IE1=IB2 IE2 IB1 B C E Q3 PNP Q2 PNP Q1 PNP B C E Ejercicio Realizar un circuito amplificador que cumpla con las siguientes condiciones A = 12 vop = 5V RL = 2.7 kΩ Rin ≥ 50kΩ f = 1 kHz β = 100
  • 41.
    CIRCUITOS ELECTRÓNICOS Ing.Antonio Calderón 41 Planificación Diagrama de bloques Ω≥∴ Ω=Ω≥ Ω≥ ≥ Ω=Ω≥ Ω≥ + ≥ 36.61 circuitoelrimplementapuedesesiAhora7.2con60|| 50* 100*100 12 DarlingtonUtilizo circuitoelrimplementapuedeseno7.2con6|| 50* 101 12 )1( C LLC eq D eq LLC eq eq R kRRR kR Rin A R kRkRR kR Rin A R β β Por facilidad en el diseño también hago con autoelevación que incluso me ayudará a tener Vcc más bajos R4 Q1 +V Vcc + C Q2 + - Vin + CE + CC + CB R3 RL RE2 RE1 R2 RCR1 La resistencia R4 es para descargar la juntura base – emisor de Q2 ya que hay capacidades en las junturas y hay que realizar la descarga para que no haya distorsión de la señal dentro del procedimiento de diseño se va a indicar la forma de calcular esta resistencia Asumimos resistencias de tolerancia 20 %
  • 42.
    CIRCUITOS ELECTRÓNICOS Ing.Antonio Calderón 42 ( ) AI II A mAI I VVcc VVVVVVVVcc VVVVVVvvvV mA V I V R VV VVVVvV V V A v v rRR A R RRr mA mV I mV r mA V R V I VV VVVVVV v R R V kRRR R D C B RCCEE CECEinpactDopCE E E ET E inp op inp eBE eq BEeD C eD C RC C RC RCRCRC op eq RC LCeq C μ μ β 8.27 ónpolarizacidedEstabilida 78.2 10000 8.27 relaciónlautilizamosesoparaentradadeladodeldiseñoalpasamosAhora VaenviadoesexcesoEl20 42.195.742.85.3 42.8417.035; vpara3VmenosalponemosVdecasoelPara 9.125 8.27 5.3 5.3 14.3Vseguridaddefactorelpor42.2V417.02V2V junturasdosdecia -presenlaporDarlingtonpara2VcolocamosahoraVEdeinecuaciónlaEnRin.devalornuestro afectequesinVdevalorelasumirpodemosiónautoelevacconrealizandoestamoscomoAhora 417.0 12 5 65.188.145.2045.20|| te.termicamen estableesquelopormayormuchoesqueobservamos,rconvalorúltimoesteComparando 45.20 12 45.245 || 8.1 8.27 5050 8.27 270 5.7 5.7Asumimos 145.7seguridaddefactorpor5.55 45.245 270 45.2457.2||270|| 270 RasumoRyvelObservando 2 B2 CE satCE EEEE E 1 eD 1 C CLop = >> === =∴ =++=++= ≥⇒++≥++≥ Ω=== = ≥≥⇒+≥⇒+≥ === Ω=Ω−Ω=−Ω= Ω= Ω ==+ Ω=== = Ω == = ≥≥⇒ Ω Ω ≥ ≥ Ω=ΩΩ== Ω=
  • 43.
    CIRCUITOS ELECTRÓNICOS Ing.Antonio Calderón 43 ( )( ) ( )( ) Ω= Ω= Ω>> Ω=ΩΩ+= Ω= Ω ==++= >>→ << Ω=ΩΩ+Ω=+= = Ω=∴ Ω=Ω−Ω=−= Ω=∴ Ω= Ω= Ω=ΩΩ== Ω=∴ Ω= − = − = Ω=∴ Ω= ++ = ++ == Ω=∴ Ω=== =∴ =<< =+=+= Ω Ω Ω Ω Ω Ω Ω Ω kR kR kR kkRin r rRRrRin RinR i kkRRrDRin RinRin R RRR R R RR kkkRRR kR k A VV I VVcc R kR k A VVV I VVV I V R kR k A V I R VV VVV AAAIII k k T eD eBEeT T b BEeD TD E EETE E E BE B k k B RJBEEB k k B R JBEDJBED B 18 disminuiravadescargadetiempoelmenorelescogeral1.19 91.1 91.115.130||189.0101 9.0 2 8.1 2 ||1 i diseñoalafectandoyvaloreslostodosvariandoIdevalorelcambieycorrientededesvióhaya noqueparapequeñamuyseaestaporvaquecorrientelaquehacemosRaresistencilaPara 97.197)15.130||188.1(10000)||)(( iónAutoelevac 100 9.107189.125 18 65.18 65.18|| 15.130180||470|| 470 497 58.30 8.420 180 7.172 8.27 1.02.15.3 VquemenormuchoaúnseaVqueparamenorelseleccionase33 97.35 78.2 1.0V R,devalorelobtengoVyIdatoslosconEntonces 1.0 junturasdosdepresencialapor2.1V 58.308.2778.2 4 18 224 4 2 21222 24 24 B 4 1 2 100 12012 1 1 1 21 1 470 560 1 1 2 22 2 JBER3 33 39 R3 3 R3B 3 R3 21 β β μ μ μ μμμ
  • 44.
    CIRCUITOS ELECTRÓNICOS Ing.Antonio Calderón 44 Calculo de Capacitores Capacitor de entrada nFC pFC kkHz C Rinf C RinX B B B B B 10 9.803 97.197*1..2 1 ..2 1 min = >> Ω >> >> << π π Capacitor de salida FC nFC kkHz C Rf C RX B B B L C LC μ π π 1 94.58 7.2*1..2 1 ..2 1 min = >> Ω >> >> << Capacitor de Emisor ( ) ( ) FC FCFC kHz C kHz C Rrf C Rf C RrXRX E EE EE EeD E E E EeEEE μ μμ ππ ππ 100 04.859.1 188.11..2 1 100*1..2 1 ..2 1 ..2 1 1min2min 12 = >>∧>> Ω+Ω >>∧ Ω >> + >>∧>> +<<∧<< Capacitor de autoelevación (C) nFC nFC kkHz C Rf C RX B B B B B 47 22.1 15.130*1..2 1 ..2 1 min = >> Ω >> >> << π π
  • 45.
    CIRCUITOS ELECTRÓNICOS Ing.Antonio Calderón 45 AMPLIFICADORES EN CASCADA El presente tema nos introduce a la necesidad de emplear dos o mas amplificadores conectados en cascada con el propósito de que nuestro sistema amplificador pueda reunir las características que con el empleo de un solo amplificador (con un solo elemento activo) no se podrían obtener: por ejemplo si el problema de diseño consiste en construir un amplificador que tenga una impedancia de entrada muy alta (por ejemplo 1 MΩ) y que a su vez nos proporcione una ganancia de voltaje considerable (por ejemplo 80) entonces podemos percatamos que ningún amplificador de una sola etapa resolvería el problema. Sin embargo, para este caso, si conectamos varias etapas de amplificación, entonces el propósito de diseño podría cumplirse. El siguiente gráfico muestra la forma esquemática de una conexión en cascada: Para analizar la ganancia total de un amplificador en cascada vamos a hacerlo con dos etapas, este análisis sirva para n etapas. Sea el siguiente diagrama de bloques cascadaenconectadasetapasnpara*..........*** . . ; 321 21 12 12 12 22 AnAAAA AAA v vAA A v vA A vv v vA A v v A in in in o oin in in in o =∴ = = = == =
  • 46.
    CIRCUITOS ELECTRÓNICOS Ing.Antonio Calderón 46 TIPOS DE ACOPLAMIENTO En cuanto al dispositivo que utilicemos para interconectar las etapas, nos permitirá definir el tipo de acoplamiento a utilizar. Los dispositivos usuales de acoplamiento son: Cable, condensador, y transformador. Acoplamiento Capacitivo Permite desacoplar los efectos de polarización entre las etapas. Permite dar una mayor libertad al diseño. Pues, la polarización de una etapa no afectará a la otra. Acoplamiento Directo Consiste básicamente en interconectar directamente cada etapa mediante un cable. Presenta buena respuesta a baja frecuencia. Típicamente se utilizan para interconectar etapas de emisor común con otras de seguidor de emisor. Acoplamiento Inductivo Muy popular en el dominio de las radiofrecuencias (RF). Seleccionando la razón de vueltas en el transformador permite lograr incrementos de tensión o de corriente. ACOPLAMIENTO CAPACITIVO El diseño de amplificadores se inicia desde las últimas etapas hacia la primera. Se debe colocar las mayores ganancias al principio y las menores en las últimas etapas para disminuir la distorsión no lineal o distorsión de amplitud. La distorsión no lineal es cuando el ciclo positivo de la señal no es igual al ciclo negativo. Hay que tener en cuenta que en el diseño la resistencia de carga que observa una etapa es la impedancia de entrada de la siguiente y así sucesivamente hasta llegar a la carga. El Vcc de la primera etapa que se diseña debe abastecer a todas las etapas subsiguientes. En realidad se puede hacer varias fuentes Vcc para cada etapa pero implica un gasto innecesario. Si el Vcc inicialmente calculado es muy grande para las otras etapas se recomienda enviar el exceso de voltaje a VCE y si es muy grande aun para las características del TBJ se puede implementar la siguiente conexión y enviar el exceso de voltaje DC a la resistencia que en la
  • 47.
    CIRCUITOS ELECTRÓNICOS Ing.Antonio Calderón 47 gráfica es rotulada como RC3 y conectada con capacitor en paralelo para que su funcionamiento solo sea para la parte de polarización (DC) del TBJ C CCRC2 RC3 Q1 NPN +V Vcc A continua se presenta un ejemplo de diseño de un amplificador en cascada con acoplamiento capacitivo con las siguientes condiciones. A = 120 vop = 3V RL = 1 kΩ β = 100 Como observamos en los datos tenemos una ganancia muy alta que debe realizarse con varias etapas. Para iniciar con el diseño procedemos a realizar la planificación en la que consta el número de etapas y en que configuración está cada una. Vamos a realizar un diseño de dos etapas; la primera en emisor común de ganancia de 12 y la segunda etapa en base común de ganancia 10. Graficamos el diagrama de bloques del circuito. Realizamos el circuito a diseñar:
  • 48.
    CIRCUITOS ELECTRÓNICOS Ing.Antonio Calderón 48 Diseño de la segunda etapa (configuración base común) Se la realiza normalmente como si fuese una sola etapa y considerando los voltajes de entrada y salida del bloque según el diagrama, por lo tanto nte.termicameestablees queconcluyesetantolopormayormuchoesqueobservamos,rconvalorúltimoesteComparando 50 10 005 3.3 5.7 2525 5.7 1 5.7 5.7Asumimos 2.7seguridaddefactorelpordomultiplica63 500 1 5001||1|| etapasambaspara1.2deseguridaddefactortantolopor%,10atolerancideasresistenciAsumimos Ry altomuyVccunobtenernoparasalidadevoltajeelobservandovaloresteasumo;1Asumo e 3 2 3 2 22 2 2 2 2 222 2 2 2 L 2 Ω=+ Ω ==+ Ω=== ⇒= = Ω == = ≥≥⇒ Ω Ω ≥ ≥ Ω=ΩΩ== Ω= Ee eq Ee C e EC C RC C RC RCRCRC op eq C RC LCeq Rr A R Rr mA mV I mV r altoesxqII mA k V R V I VV VVVVV k V v R R V kkRRR kRc β
  • 49.
    CIRCUITOS ELECTRÓNICOS Ing.Antonio Calderón 49 Ω= Ω=−=−Ω= 47 66.463.35050 3 3 E eE R rR ( ) ( ) ( ) ( ) Ω=Ω+ΩΩ=+= Ω=∴ Ω= − = − = Ω=∴ Ω= + = + == =+=+= = >> === =∴ =++=++= =Ω+Ω=+= Ω= Ω=== = ≥≥⇒+≥⇒+≥ ≥⇒+≥+≥ Ω Ω 96.4033.347||220|| circuito.aldestabilidamayorofrece ellasdecualyatoleranciladeinfluencialaenbasanseasresistencilasdeeleccióndecriteriosLos 15 03.15 825.0 6.215 3.3 47.3 75.0 6.02 825.075.0075.0 75.0 ónpolarizacidedEstabilida 075.0 100 5.7 activareg,laenesteTBJelquemásasegurarparaVaenvioexcesoel15 5.145.752 002.2220475.7 220 térmicaestab.asegurosuperiorinmediatoelescogerAl208 5.7 56.1 56.1 56.1Vseguridaddefactorelpor3.1V3.01V1V 523; 342 1 3 1 3 4 3.3 7.4 2 2 4 2 4 423 4 B24 2 2 CE2 222 4322 2 2 4 4 4 RE2RE4RE2RE4 222 EeE B k k JBEEB B C B RCCEE EEEE E E RE E RE inp CECEactopCE RrRRin kR k mA VV I VVcc R kR k mA VV I VV I V R mAmAmAIII mAI II mA mAI I VVcc VVVVVVVVcc VmARRIV R mA V I V R VV VVVVvV VVVVVvvV β Diseño de la Primera etapa Para este diseño tengo como datos Rin2 que es el RL para esta etapa y Vcc Este ejemplo tiene como propósito el practicar. Pero en realidad no se debe hacer así ya que no es recomendable conectar la primera etapa en emisor común y la segunda en base común ya que el emisor común ve una impedancia muy baja generada por la etapa en base común. Como conclusión podemos decir que toca hacer un análisis profundo si se desea hacer las etapas con distintas configuraciones y tener en cuenta las características de cada configuración como es el caso del colector común que tiene alta impedancia de entrada pero no amplifica la señal o en el caso del de base común que ofrece una ganancia pero su impedancia de entrada es muy baja; y finalmente el emisor común que ofrece ganancia y una
  • 50.
    CIRCUITOS ELECTRÓNICOS Ing.Antonio Calderón 50 alta impedancia de entrada. A más de esto podemos añadir los circuitos de alta impedancia en una o varias etapas Ω=ΩΩ== Ω= 06.3796.40||390|| 390Asumo 211 1 inCeq C RRR R mAmAmAIII mAI II mA mAI I VVcc VVVVVVVVcc R RRR mA V I V R VV VVmVVvV VVmVVVVvvvV R rR VmARIV mA mV I r k A R Rr mA mV I mV r mA V R V I VV VVVVVV v R R V B C B RCCEE E EETE E E ET E inp CECEinpactopCE E eE CCRC C e eq Ee E e C RC C RC RCRCRC op eq RC 11110 10 ónpolarizacidedEstabilida 1 100 100 activareg,laenesteTBJelquemásasegurarparaVaenvioexcesoel45 325.4339325.22 18 3.177.220 20 100 2 2 23.1Vseguridaddefactorelpor025.1V251V1V 325.22523.0; 7.2 84.225.009.309.3 39390*100* 100 25.0 25 25.0Asumo corregimosnte,termicameestableesnocircuitoEl 09.3 12 06.37 44.2 25.10 2525 25.10 390 4 4Asumimos 78.3seguridaddefactorpor16.33.0 06.37 390 21 2 B2 1 1 CE1 111 2 12 EEEE 1 1 111 1 1 1 1 1 1 1 1 1 11 1 C1 1 =+=+= = >> === =∴ =++=++= Ω=∴ Ω=Ω−Ω=−= Ω=== = ≥≥⇒+≥⇒+≥ ≥⇒++≥++≥ Ω= Ω=Ω−Ω=−Ω= =Ω== = Ω = Ω= ∴ Ω= Ω ==+ Ω=== = Ω == = ≥≥⇒ Ω Ω ≥ ≥ β
  • 51.
    CIRCUITOS ELECTRÓNICOS Ing.Antonio Calderón 51 ( ) ( )( ) CE 222 3 47 563 3 CE2 3 1 21 1 1 1 2 2 1 2 1 2 VenvoltajemuchotienesecuandonteanteriormeindicosequelohacerpuedeseO do.seleccionartransistoaldañarpuedequeyavoltajeesteencuentatenerqueHay 5.3525.745 56 39.51 825.0 6.245 Vavasavoltajedediferencialaqueyacambiano restoelyRrecalculaseetapasegundalade15Vlosabastezca45VdefuentelaquePara 6.1367.225.0101||5.252))(1(|||| 5.252270||9.3|| 9.3 85.3 11 6.245 270 260 10 6.02 VVVVVVVccV kR k mA VV I VVcc R RrRRinRRin kRRR kR k mA VV I VVcc R R mA VV I VV I V R ERCCE k k B EeBTB B B JBEEB =−−=−−= Ω= Ω= − = − = Ω=Ω+ΩΩ=++== Ω=ΩΩ== Ω=∴ Ω= − = − = Ω=∴ Ω= + = + == Ω Ω β Si es el caso de que Rin depende de RB2 es necesario poner la nueva R3 con un capacitor en paralelo. Cálculo de capacitores FC nFC kkHz C Rf C RX L L μ π π 2.2 15.159 1*1..2 1 ..2 1 5 5 5 min 5 5 = >> Ω >> >> << ( ) FC nFC kkkHz C Rf C RX B B μ π π 68.0 07.51 3.3||56*1..2 1 ..2 1 4 4 4 2min 4 24 = >> ΩΩ >> >> << ( ) ( ) FC FC kHz C rRf C rRX eE eE μ μ π π 1000 9.53 25.07.2*1..2 1 ..2 1 3 3 3 1min 3 13 = >> Ω+Ω >> + >> +<< FC FC kHz C Rinf C RinX μ μ π π 47 88.3 96.40*1..2 1 ..2 1 2 2 2 2min 2 22 = >> Ω >> >> << FC FC kHz C Rinf C RinX μ μ π π 18 165.1 6.136*1..2 1 ..2 1 1 1 1 1min 1 11 = >> Ω >> >> <<
  • 52.
    CIRCUITOS ELECTRÓNICOS Ing.Antonio Calderón 52 Como observamos en el ejercicio anterior hay valores exagerados de Vcc y de algunas resistencias, esto se debe a la incompatibilidad que existe al conectar la primera etapa en emisor común y la segunda en colector común. Ahora vamos a hacer un ejercicio en que las dos etapas son en emisor común para observar la mejora. Los datos son los mismos que el ejercicio anterior pero añadimos una condición de impedancia de entrada. A = 120 vop = 3V RL = 1 kΩ Rin ≥ 10kΩ β = 100 Planificación Haciendo la primera etapa con ganancia de 12 y la segunda con ganancia de 10 Ω≥→ Ω≥ Ω≥⇒Ω≥ + ≥ Ω≥→ Ω≥ Ω≥⇒Ω≥ + ≥ 36.136 120|| 1202.1* 100 10 ; )1( condiciónpeor2.1 2.1|| 2.110* 100 12 ; )1( 2 2 222 2 2 2 21 11 1 1 C LC eqeqeq C eqeqeq R RR RkRRin A R kRin kRinR kRkRRin A R β β Haciendo la segunda etapa con autoelevación. +V Vcc + C5 Q1 + C6 + C4 R5 RL RE4 RE3 R4 RCR3R1 RC1 R2 RE1 RE2 + C1 + C2 + C3 + - Vin1 Q2 Diseño de la segunda etapa Asumimos resistencias de tolerancia 10 %
  • 53.
    CIRCUITOS ELECTRÓNICOS Ing.Antonio Calderón 53 ( ) Ω=∴ Ω=== =∴ << =+=+= = >> === =∴ =++=++= Ω=== = ≥≥⇒+≥⇒+≥ ≥⇒++≥++≥ Ω=−=−Ω= ∴Ω= Ω ==+ = Ω=== = Ω == = ≥≥⇒ Ω Ω ≥ ≥ Ω=ΩΩ== Ω= 820 800 075.0 06.0V R,devalorelobtengoVyIdatoslosconEntonces 06.0 V 825.075.0075.0 75.0 ónpolarizacidedEstabilida 075.0 100 5.7 activareg,laenesteTBJelquemásasegurarparaVaenvioexcesoel15 8.145.73.52 67.266 5.7 2 2 56.1Vseguridaddefactorelpor3.1V3.01V1V 3.53.023; 66.463.35050|| ntetermicameEstable50 10 500 || || 33.3 5.7 2525 5.7 1 5.7 5.7Asumimos 6seguridaddefactorpor51 500 1 5001||1|| ;1Asumo 2 R5 5 RB 5 R5 423 4 B24 2 2 CE2 222 2 2 2 E2E2E2E2 222 23 2 232 432 2 2 2 2 2 22 C2 2 2 R mA V I R VV V mAmAmAIII mAI II mA mAI I VVcc VVVVVVVVcc mA V I V R VV VVVVvV VVVVVvvvV rRR A R RRr RRR mA mV I mV r mA k V R V I VV VVVVV k V v R R V kkRRR kR B R JBE B C B RCCEE E E ET E inp CECEinpactopCE eBE eq BEe B E e C RC C RC RCRCRC op eq RC LCeq C β
  • 54.
    CIRCUITOS ELECTRÓNICOS Ing.Antonio Calderón 54 Ω=ΩΩ+=++= = Ω=∴ Ω=Ω−Ω=−= Ω=∴ Ω= Ω= Ω=ΩΩ== Ω=∴ Ω= − = − = Ω=∴ Ω= ++ = ++ == kkRRrRin RinRin R RRR R R RR kkkRRR kR k mA VV I VVcc R kR k mA VVV I VVV I V R BEe T E EETE E E BE B B RJBEEB 5)705.2||4733.3(101)||)(1( iónAutoelevac 220 67.2194767.266 47 5.47 67.46|| 705.23.3||15|| 15 95.14 825.0 66.215 3.3 54.3 75.0 06.06.02 12 2 4 34 3 3 23 432 3 3 2 3 4 4 52 4 2 4 β Diseño de la primera etapa Ω≥→ Ω≥ Ω≥ kR kRinR kR C C eq 58.1 2.1|| 2.1 1 21 1 VkmARIV mA mV r mV I r Rr A R Rr mA mV I mV r mA k V R V I VV VVVVV k k V v R R V kkkRinRR kR CCRC e C e Ee eq Ee C e C RC C RC RCRCRC op eq RC Ceq C 875.57.4*25.1* 25.1 20 2525 20asumoEntonces ntetermicameestableesnotantoloPor 89.201 12 2.42k 5.117 213.0 2525 213.0 7.4 1 1Asumimos 699.0seguridaddefactorpor582.03.0 42.2 7.4 42.25||7.4|| ;7.4Asumo 111 1 1 1 11 1 11 1 1 1 1 1 111 1 C1 1 211 1 =Ω== === Ω= ∴ Ω=+ Ω ==+ Ω=== = Ω == = ≥≥⇒ Ω Ω ≥ ≥ Ω=ΩΩ== Ω=
  • 55.
    CIRCUITOS ELECTRÓNICOS Ing.Antonio Calderón 55 ( ) Ω=Ω+Ω=++= Ω=ΩΩ== Ω=∴ Ω= − = − = Ω=∴ Ω= + = + == =+=+= = >> === Ω= Ω=Ω−Ω=−= Ω=== =−−=−−= ≥≥⇒++≥ ++≥ Ω= Ω=Ω−Ω=−Ω= kkRrRRin kkkRRR kR k mA VV I VVcc R kR k mA VV I VV I V R mAmAmAIII mAI II mA mAI I kR kkRRR k mA V I V R VVVVVVVccV VVsegfactxVVmVVVV vvvV R rR EeB B B JBEEB B C B E EETE E E ET CERCE CECECE inpactopCE E eE 73.11)18020(*101||28))(1(|| 2856||56|| 56 7.58 1375.0 93.615 56 4.55 125.0 6.033.6 1375.0125.00125.0 125.0 ónpolarizacidedEstabilida 0125.0 100 25.1 7.4 88.418006.5 06.5 25.1 33.6 33.679.2875.515 325.2..325.22523.0 ; 180 89.1812089.20189.201 111 211 1 1 1 1 2 2 1 2 1 2 21 2 B2 1 1 2 12 1 1 11 111 1 1 21 β β Después de realizado este ejercicio se recomienda hacer ambas etapas con autoelevación. Si se desea hacer sin autoelevación pero no se cumple con Rin basta añadir R y C de autoelevación, esto no varía los cálculos en nada. Calculo de capacitores FC nFC kkHz C Rinf C RinX μ π π 22.0 57.13 73.11*1..2 1 ..2 1 1 1 1 1min 1 11 = >> Ω >> >> << FC nFC kkHz C Rinf C RinX μ π π 47.0 8.31 5*1..2 1 ..2 1 2 2 2 2min 2 22 = >> Ω >> >> << ( ) ( ) FC nFC kHz C rRf C rRX eE eE μ π π 10 795 20180*1..2 1 ..2 1 3 3 3 1min 3 13 = >> Ω+Ω >> + >> +<<
  • 56.
    CIRCUITOS ELECTRÓNICOS Ing.Antonio Calderón 56 FC nFC kkHz C Rf C RX L L μ π π 2.2 15.159 1*1..2 1 ..2 1 4 4 4 min 4 4 = >> Ω >> >> << ( ) FC nFC kkkHz C Rf C RX B B μ π π 1 8.58 3.3||15*1..2 1 ..2 1 5 5 5 2min 5 25 = >> ΩΩ >> >> << ( ) ( ) FC FC kHz C Rrf C RrX Ee Ee μ μ π π 47 16.3 4733.3*1..2 1 ..2 1 6 6 6 3min 6 36 = >> Ω+Ω >> + >> +<< Ejercicio Realizar el análisis inicial para un diseño con las siguientes condiciones: A = 15 vop = 4V RL = 100Ω Rin ≥ 100kΩ Ya que la ganancia es baja se puede realizar con una etapa etapas2conejercicioesteresolverintentaseAhora RdevalorelporDarlingtonconlograrpuedeseTampoco 150|| 150100* 100*100 15 ; DarlingtonutilizandoyetapaunaconahoraProbemos a.planificadformaladecirucitoesterealizarimposiblees100esRdevalorelqueYa 15|| 15100* 100 15 ; )1( L L Ω≥ Ω≥⇒Ω≥≥ Ω Ω≥ Ω≥⇒Ω≥ + ≥ LC eqeq D eq LC eqeqeq RR RkRRin A R kRR kRkRRin A R β β
  • 57.
    CIRCUITOS ELECTRÓNICOS Ing.Antonio Calderón 57 Ω≥∴ Ω≥ Ω≥⇒Ω≥≥ Ω Ω≥ Ω≥⇒Ω≥ + ≥ Ω≥→ Ω≥ Ω≥⇒Ω≥ + ≥ 52.1 5.1|| 5.15* 100 3 ; :etapasegundalaenDarlingtonconahoraProbemos a.planificadformaladecirucitoesterealizarimposiblees100esRdevalorelqueYa 150|| 1505* 100 3 ; )1( condiciónpeor5 5|| 5100* 100 5 ; )1( 2 2 2222 2 2 L 2 222 2 2 2 21 11 1 1 C LC eqeq D eq LC eqeqeq C eqeqeq R RR RkRRin A R RR RkRRin A R kRin kRinR kRkRRin A R β β β Lo que intentamos demostrar en este ejercicio es que también al hacer con multietapa se tiene circuitos de alta impedancia de entrada. Otra opción en el ejercicio anterior es realizarlo con dos etapas, la primera etapa con emisor común y una ganancia de 15 y la segunda etapa realizar una configuración en colector común. Ejercicio A = 150 vop = 5V RL = 1 kΩ Rin ≥ 100kΩ β = 100 Planificación Haciendo la primera etapa con ganancia de 15 y la segunda con ganancia de 10
  • 58.
    CIRCUITOS ELECTRÓNICOS Ing.Antonio Calderón 58 Ω≥→ Ω≥ Ω≥⇒Ω≥≥ Ω≥ Ω≥⇒Ω≥ + ≥ Ω≥→ Ω≥ Ω≥⇒Ω≥ + ≥ 07.15 85.14|| 85.1485.14* 100 10 ; :DarlingtonconetapasegundalaHacemos requeridaentradadeimpedancialaobtenerpuedesenoiónplanificacestaCon 47.1|| 47.185.14* 101 10 ; )1( condiciónpeor85.14 85.14|| 85.14100* 101 15 ; )1( 2 2 2222 2 2 2 222 2 2 2 21 11 1 1 C LC eqeq D eq LC eqeqeq C eqeqeq R RR RkRRin A R RR kRkRRin A R kRin kRinR kRkRRin A R β β β Haciendo ambas etapas con autoelevación. R4 RC2 R5 RE3 RE4 RL R6 R7 + C6 + C7 Q2NPN + C5 +V Vcc Q1 NPN R1 RC1 R2 RE1 RE2 R3+ C1 + C4 + C3 + - Vin1 Q3 NPN + C2 Diseño de la segunda etapa Asumimos resistencias de tolerancia 10 % VVVVVV v R R V kRRR R RCRCRC op eq RC LCeq C 6.6seguridaddefactorpor5.55 9.90 100 9.901||100|| ;100Asumo 22 C2 2 2 2 ≥≥⇒ Ω Ω ≥ ≥ Ω=ΩΩ== Ω=
  • 59.
    CIRCUITOS ELECTRÓNICOS Ing.Antonio Calderón 59 ( ) Ω=∴ Ω= − = − = Ω=∴ Ω= ++ = ++ == Ω=∴ Ω=== =∴ << =+=+= = >> === =∴ =++=++= Ω=== = ≥≥⇒+≥⇒+≥ ≥⇒++≥++≥ Ω=−=−Ω= ∴Ω= Ω ==+ = Ω=== = Ω == = kR k A VV I VVcc R kR k A VVV I VVV I V R kR k A V I R VV V AAAIII AI II A mAI I VVcc VVVVVVVVcc mA V I V R VV VVVVvV VVVVVVvvvV rRR A R RRr RRR mA mV I mV r mA V R V I VV B RJBEDEB B R JBED B D C B RCCEE E E ET E inp CECEinpactopCE eBE eq BEeD B E e C RC C RC 180 4.184 77 8.419 68 5.68 70 1.02.15.3 12 3.14 7 1.0V 1.0 V 77707 70 ónpolarizacidedEstabilida 7 100 70 19 195.35.85.3 50 70 5.3 5.3 3Vseguridaddefactorelpor5.2V5.02V2V 5.85.035; 376.8714.009.909.9|| ntetermicameEstable09.9 10 9.90 || || 714.0 70 5050 70 100 7 7Asumimos 4 4 2 4 5 5 62 5 2 5 6 2 R6 6 6 R6 524 5 B25 2 2 2 222 2 2 2 2 E2E2E2E2 222 23 2 23 542 2 2 2 2 2 μ μ μ μμμ μ μ β
  • 60.
    CIRCUITOS ELECTRÓNICOS Ing.Antonio Calderón 60 ( )( ) ( ) Ω=ΩΩ+=+= = Ω=∴ Ω= Ω=ΩΩ+=++= >> Ω=∴ Ω=Ω−Ω=−= Ω=∴ Ω= Ω= Ω=ΩΩ== Ω Ω kkRRrRin RinRin kR kR kRRrRin RinR R RRR R R RR kkkRRR BEeDD TD k k BEeT T E EETE E E BE B 13.89)35.49||82714.0(100)||)(( iónAutoelevac 2.8 64.8 1.86435.49||2.8357.0*101||1 47 8.412.850 2.8 37.8 376.8|| 35.4968||180|| 2 232 2 7 10 2.8 7 2322 27 4 34 3 3 23 542 β β Diseño de la primera etapa Ω≥→ Ω≥ Ω≥ kR kRinR kR C C eq 81.17 85.14|| 85.14 1 21 1 Ω=Ω−Ω=−Ω= =Ω== = Ω == Ω= ∴ Ω=+ Ω ==+ Ω=== = Ω == = ≥≥⇒ Ω Ω ≥ ≥ Ω=ΩΩ== Ω= kkrkRR VkARIV A mV r mV I r kRRr A R RRr A mV I mV r A k V R V I VV VVVVV k k V v R R V kkkRinRR kR eBE CCRC e C e BEe eq BEe C e C RC C RC RCRCRC op eq RC Ceq C 07.110017.117.1|| 5.522*250* 250 100 2525 100asumoEntonces ntetermicameestableesnotantoloPor 17.1|| 15 17.64k || 550 45.45 2525 45.45 22 1 1Asumimos 748.0seguridaddefactorpor623.05.0 64.17 22 64.1713.89||22|| ;22Asumo 11 111 1 1 1 11 1 11 1 1 1 1 1 111 1 C1 1 211 1 μ μ μ μ
  • 61.
    CIRCUITOS ELECTRÓNICOS Ing.Antonio Calderón 61 Ω=ΩΩ+=++== Ω= Ω=Ω−Ω=−= Ω=∴ Ω= Ω= Ω=ΩΩ== Ω=∴ Ω= − = − = Ω=∴ Ω= ++ = ++ == Ω=∴ Ω=== =∴ << =+=+= = >> == + = Ω=== = =∴ =−= ≥≥+≥+≥ ≥⇒++≥ ++≥ Ω Ω Ω Ω kkkRRrRinRin kR kkRRR kR kR kRR kkkRRR kR k A VV I VVcc R kR k A VVV I VVV I V R kR k A V I R VV V AAAIII AI II A AI I k A V I V R VV VV VVV VVVVVVVvVV VVVVVV vvvV BEeT E EETE E E BE B k k B k k RJBEEB B R JBE B C B E E ET E CE EEEinpE CECE inpactopCE 47.110)5.159||1100(*101)||)(1( 27 92.2608.128 1 08.1 07.1|| 5.159270||390|| 390 36.412 5.27 66.719 270 4.306 25 06.06.07 2.2 4.2 5.2 06.0V 06.0 V 5.27255.2 25 ónpolarizacidedEstabilida 5.2 100 250 1 28 250 7 7 5.6 5.135.519V-VccdeDisponemos )Necesario(24.1segfactpor103330333.01;1 )Necesario(533.2033.025.0 ; 1111 2 12 1 1 11 211 1 390 470 1 1 1 2 270 330 2 31 2 1 2 3 1 R3 3 3 R3 21 2 B2 1 1 1 1 1 1 RC 1111 11 1 β μ μ μ μμμ μ μ μ β μ
  • 62.
    CIRCUITOS ELECTRÓNICOS Ing.Antonio Calderón 62 Calculo de capacitores FC nFC kkHz C Rinf C RinX μ π π 1.0 44.1 47.110*1..2 1 ..2 1 1 1 1 1min 1 11 = >> Ω >> >> << ( ) nFC nFC kkHz C Rf C RX B B 10 99.0 5.159*1..2 1 ..2 1 2 2 2 1min 2 12 = >> Ω >> >> << π π ( ) ( ) FC nFC kkHz C rRf C rRX eE eE μ π π 2.2 7.144 1001*1..2 1 ..2 1 3 3 3 1min 3 13 = >> Ω+Ω >> + >> +<< FC nFC kkHz C Rinf C RinX μ π π 1.0 8.1 13.89*1..2 1 ..2 1 4 4 4 2min 4 24 = >> Ω >> >> << ( ) FC nFC kkHz C Rf C RX B B μ π π 1.0 22.3 35.49*1..2 1 ..2 1 5 5 5 2min 5 25 = >> Ω >> >> << FC nFC kkHz C Rf C RX L L μ π π 2.2 15.159 1*1..2 1 ..2 1 6 6 6 min 6 6 = >> Ω >> >> << ( ) ( ) FC FC kHz C Rrf C RrX EeD EeD μ μ π π 220 8.17 2.8714.0*1..2 1 ..2 1 7 7 7 3min 7 37 = >> Ω+Ω >> + >> +<< ACOPLAMIENTO DIRECTO Amplificador Cascode El amplificador cascode es un amplificador que mejora algunas características del amplificador de Base Común. El amplificador Base Común es la mejor opción en aplicaciones de altas frecuencias, sin embargo su desventaja es su muy baja impedancia de entrada. El amplificador cascode se encarga de aumentar la impedancia de entrada pero manteniendo sobre todo la gran utilidad de la configuración Base Común, ventajoso en el manejo de señales de alta frecuencia. Para conseguir este propósito, el amplificador cascode tiene una entrada de Emisor Común y una salida de Base Común, a esta combinación de etapas se le conoce como configuración cascode.
  • 63.
    CIRCUITOS ELECTRÓNICOS Ing.Antonio Calderón 63 Circuito Análisis ⎪ ⎪ ⎪ ⎩ ⎪ ⎪ ⎪ ⎨ ⎧ += = = + = + = + == ⎪ ⎪ ⎭ ⎪ ⎪ ⎬ ⎫ == < + = = ⎭ ⎬ ⎫ →⇒ →⇒ 222 2 2 2 2 11 11211 2 21 22 2 11 2 1 21 22 11 diseñodentoprocedimie elensimportantemuyfórmulassiguienteslasendetallassonticascaracteríspricipalesLas A gananciaconetapasolaunadediseñounaahorareducesediseñodentoprocedimieEl .* || 1 * ComúnB ComúnEmisor BCE C C C RC C Ee eq Ee eq e eq Ee e e eq e LC Ee e III I I R V I Rr R Rr R r R Rr r AAA r R r RR A Rr r A AAA AaseQ AQ β
  • 64.
    CIRCUITOS ELECTRÓNICOS Ing.Antonio Calderón 64 A R R I mV III I I II eq E E BCE C B EC =+ = ⎪ ⎪ ⎩ ⎪ ⎪ ⎨ ⎧ += = = 1e1 1 e1 e 111 1 1 1 21 r 25 r 1rtransistodellatomasesolordecalculoelPara β Para que no haya distorsión en la onda nos ayudamos del eje vertical de voltajes para realizar el respectivo análisis: RCCECEE inpE inpactopCE actopCE VVVVVcc vVV vvvV vvV +++= +≥ ++≥ +≥ 211 1 11 2 1 Para el calculo de corriente del lado de entrada ya que tienen que cumplir estabilidad de polarización en ambos TBJ se emplea las siguientes formulas 1 2 1 2 1 2 12 2 3 1 3 112 111 2112 221 222 132 113 QenónpolarizacideEstabilida QenónpolarizacideEstabilida I VVcc R I V I VV R I V R VVV VVV VVVV III II III II BCEBBB CEBB JBEEB JBECEEB B B B B − == − == =−∴ ⎭ ⎬ ⎫ += ++= += >> += >>
  • 65.
    CIRCUITOS ELECTRÓNICOS Ing.Antonio Calderón 65 Vamos a realizar un ejemplo de diseño de un amplificador Cascode. El circuito es el mismo indicado al inicio del tema y las condiciones a cumplir son: A = 120 vop = 3V RL = 1 kΩ Rin ≥ 10kΩ β = 100 Ω=== =+=+= ==== = =+=+= === = Ω == = ≥≥⇒ Ω Ω ≥ Ω=ΩΩ== Ω= 955.0 18.26 2525 44.26262.018.26 262.0 100 18.26 18.2626.092.25 25.0 100 92.25 92.25 270 7 7Asumimos 6.6seguridaddefactorpor5.55 45.254 270 45.2457.2||270|| ;270Asumo 1 1 111 21 1 21 222 2 2 2 C mA mV I mV r mAmAmAIII mA mAII I II mAmAmAIII mA mAI I mA V R V I VV VVVVVV v R R V kRRR R C e BCE EC B EC BCE C B C RC C RC RCRCRC op eq RC LCeq C ββ β
  • 66.
    CIRCUITOS ELECTRÓNICOS Ing.Antonio Calderón 66 Ω=∴ Ω=Ω−Ω=−Ω= Ω= Ω ==+ 5.7 23.7955.018.818.8 18.8 30 45.245 1 11 11 E eE eq Ee R rR A R Rr 1 2 1 2 1 2 12 2 3 1 3 112 111 2112 221 222 132 113 QenónpolarizacideEstabilida QenónpolarizacideEstabilida I VVcc R I V I VV R I V R VVV VVV VVVV III II III II BCEBBB CEBB JBEEB JBECEEB B B B B − == − == =−∴ ⎭ ⎬ ⎫ += ++= += >> += >> mAmAmAIII mAmAII mAmAmAIII mAI II R RRR mA V I V R VV Vcc VVVVcc VVcc VVVVVVVVVVcc VV VVVVVVVvVV VV V VmVV mV V A v Rr r vAv mA mV I mV r vvvV VVVVVvvV B B B B E EETE E E ET RCCECEE E EEEinpE CEE op Ee e inpop C e inpactopCE CECEactopCE 14.3226.088.2 Cumple26.088.2;QenónpolarizacideEstabilida 88.2262.062.2 62.2 QenónpolarizacideEstabilida 69 14.685.764.75 64.75 44.26 2 4 VaEnvio.VoVaenviarcomohay 81.119.1820 20 19.187719.22 2 39.1seg.fact.por16.1166.011 19.2; 30 5 219 19 30 5 . 5.7955.0 964.0. * 964.0 92.25 2525 725; 221 222 132 3 113 2 12 1 1 CE1 CE1CE2CE1 211 1 1111 11 11 2 11 2 2 11 222 =+=+= >>>> =+=+= = >> Ω= Ω=Ω−Ω=−= Ω=== = Δ =−=Δ = =+++=+++= = ≥≥+≥+≥ ≥++≥ = Ω+Ω Ω = + == Ω=== ++≥ ≥+≥+≥
  • 67.
    CIRCUITOS ELECTRÓNICOS Ing.Antonio Calderón 67 ( )( ) Ω=Ω+ΩΩΩ=++= Ω=Ω= −−− = − = Ω=Ω=== Ω=Ω= + == − == − == =−∴ ⎭ ⎬ ⎫ += ++= 4.315)5.7955.0)(101(||1||11|||| 7.458.4 14.3 6.03220 1042.1 88.2 3 1992 62.2 6.02 1132 1 1 2 1 2 2 1 2 3 3 1 3 1 2 1 2 1 2 12 2 3 1 3 112 111 2112 KkRrRRRin kRk mA VVVV I VVcc R kRk mA V I V R kR mA VV I V R I VVcc R I V I VV R I V R VVV VVV VVVV Ee B CE B BCEBBB CEBB JBEEB JBECEEB β Calculo de capacitores FC nFC kHz C Rinf C RinX μ π π 8.6 6.504 4.315*1..2 1 ..2 1 1 1 1 min 1 1 = >> Ω >> >> << FC FC kHz C rf C rX e e μ μ π βπ β 18 6.1 101*964.0*1..2 1 )1(..2 1 )1( 2 2 2 22min 2 222 = >> Ω >> + >> +<< FC nFC kkHz C Rf C RX L L μ π π 68.0 9.58 7.2*1..2 1 ..2 1 3 3 3 min 3 3 = >> Ω >> >> << ( ) ( ) FC FC kHz C rRf C rRX eE eE μ μ π π 220 18 955.05.7*1..2 1 ..2 1 4 4 4 1min 4 114 = >> Ω+Ω >> + >> +<<
  • 68.
    CIRCUITOS ELECTRÓNICOS Ing.Antonio Calderón 68 Amplificador Diferencial El circuito amplificador diferencial es una conexión extremadamente común utilizada en circuitos integrados. Esta conexión se puede describir al considerar el amplificador diferencia básico que se muestra en la figura. Este circuito posee dos entradas separadas y dos salidas separadas y los emisores están conectados entres sí. Mientras que la mayoría de los circuitos amplificadores diferenciales utilizan dos fuentes de voltaje, el circuito puede operar utilizando sólo una de ellas. Es posible obtener un número de combinaciones de señales de entrada: • Si una señal de entrada se aplica a cualquier entrada con la otra entrada conectada a tierra, la operación se denomina “Terminal simple”. • Si se aplican dos señales de entrada de polaridad opuesta, la operación se denomina “Terminal doble”. • Si la mismas entrada se aplica a ambas entradas, la operación se denomina “modo común” Análisis del amplificador diferencial
  • 69.
    CIRCUITOS ELECTRÓNICOS Ing.Antonio Calderón 69 1 2V V Vin in in= − La salida se encuentra en cualquiera de los colectores. 1 1 1 1 2 || C e e E Q EC A R A r o r R V → → = + 2 1 1 2 1 1 2 pero si ; 2 e E C e e e e e C e r R A R R A r r r r r r << ∴ → = = = = + ∴ 1 1 1 2 2 2 · Q CC A A A A Q BC V A o → → ⎫ =⎬ → → ⎭ 2 1 1 2 || || e E e e E r R A r r R = +
  • 70.
    CIRCUITOS ELECTRÓNICOS Ing.Antonio Calderón 70 2 2 1 1 2 1 2 1 si ; 1 2 e E e e e e e e r R r A r r r r r A << ∴ → = = = + ∴ = 2 2 C C e e R R A r r = = 1 2· 1 · 2 2 C e C e A A A R r R A r = → = = Es decir, tenemos la misma señal de salida pero con fase distinta. 1 1 2 1 2||( ) C e E E E e R A r R R R r = + + + 2 2 1 1 2 1 1 2 1 1 si ; 2( ) E E C e e e e E E C e E R re R R A r r r r R re R R A r R >> + ∴ → = = = + + + = + (como sucede en la práctica)
  • 71.
    CIRCUITOS ELECTRÓNICOS Ing.Antonio Calderón 71 Para el diseño - Asumimos CR - Calculamos: 1. RCV 2. CI 3. er 4. 1 comprobando estabilidad con Ae Er R+ → 5. CEV 6. EV CC RC CE JBEV V V V→ = + − EV se puede asumir para tener simetría E CC JBEV V V= − + 2 1 1 1siendo ·RE CC JBE RE RE E EV V V V V I R= − − = 2 2 2 RE E E V R I = Haciendo con simetría, es decir, CC CCV V= − 2ER→ NO molesta y tenemos: Implementando la fuente de corriente
  • 72.
    CIRCUITOS ELECTRÓNICOS Ing.Antonio Calderón 72 actal menos 3V VCEV → 3 1 3 3 C CC JBE RE CE V V V V V V = − − ≥ Primero se debe elegir un Zener tal que Z CCV V< Asumir ZV 2 2 2 2 RE Z JBE RE E E V V V V R I → = − = Calculando dato que da el manual de tal forma que el Zener funcione al valor deseado B CC Z Z B Z ZT Z V V R I I I I I I I I −⎧ =⎪ ⎪⎪ >>⎨ ⎪ ≈ → ⎪ = +⎪⎩ Entonces, si se utiliza una sola fuente
  • 73.
    CIRCUITOS ELECTRÓNICOS Ing.Antonio Calderón 73 Acoplamiento directo Es un circuito conectado en cascada pero la única diferencia es que no se utiliza capacitor para acoplar sino simplemente un cable IC IB2 IB2 VB2 +V V1 Q2 + CE1 + CC1 RL RE3 RE4 RC1 Q1 + -1 KHz Vin + CE + CB RE2 RE1 R2 RC1R1 ⎩ ⎨ ⎧ += >> >> >>−+ +>> ++>> += >> 211 21 1 21 1 1 1222 1 11 111 12 1 BCRC BC op inC C RC RCJBECERC inpE inpactopCE ECEC CB III II v RR R V VVVV vvV vVvV VVV VV
  • 74.
    CIRCUITOS ELECTRÓNICOS Ing.Antonio Calderón 74 Si 12 CB VV < Entonces se recalcula 2BV luego el nuevo CCV y el exceso se manda al voltaje VCE a la región activa. Se realiza el diseño normalmente hasta el calculo de 1ERre + luego se calcula 1CV con lo que calculo RET El Q2 esta en emisor común con lo que se realiza los cálculos de Rc, VRc, Ic, re, RE2 y VE=1+ vinp En el siguiente circuito las condiciones a cumplir son: ⎪ ⎪ ⎪ ⎩ ⎪⎪ ⎪ ⎨ ⎧ ≥ >> += 1 21 1 1 12 22 op inC C RC RCB JBEEB v RR R V VV VVV cumplensesiemprecircuitoesteEnficar.deben verisescondicioneEstas 1 211 21 11 111 111 1222 ⇒ ⎩ ⎨ ⎧ += >> ⎪ ⎪ ⎩ ⎪ ⎪ ⎨ ⎧ +≥ ++≥ += ≥−+ BRCC BRC inpE inpactopCE ECEC CJBECERC III II vVV vVvV VVV VVVV
  • 75.
    CIRCUITOS ELECTRÓNICOS Ing.Antonio Calderón 75 RESPUESTA DE FRECUENCIA INTRODUCCION El análisis hasta el momento se ha limitado a una frecuencia particular. Para el caso del amplificador, se trata de una frecuencia que, por lo regular, permite ignorar los efectos de los elementos capacitivos, con lo que se reduce el análisis a uno que solamente incluye elementos resistivos y fuentes independientes o controladas. Ahora, se revisarán los efectos de la frecuencia presentados por los elementos capacitivos mayores de la red en bajas frecuencias y por o elementos capacitivos menores del transistor para altas frecuencias. Para el análisis de frecuencia vamos a utilizar el diagrama de Bode y manejar valores en decibeles (dB). La respuesta de frecuencia es la curva que se obtiene a la salida, a partir de los diferentes valores que toma la señal de salida en función de la frecuencia de la señal de entrada. En la siguiente gráfica vamos a observar un ejemplo de característica de frecuencia sobre la carga. El análisis de la señal de salida la podemos hace con la potencia, voltaje, corriente de salida del circuito o incluso las ganancias de potencia, voltaje o corriente. Ancho de Banda: Es un término muy utilizado en análisis de frecuencia y es el rango de frecuencias correspondiente a su utilización normal.
  • 76.
    CIRCUITOS ELECTRÓNICOS Ing.Antonio Calderón 76 A continuación haremos el análisis de los puntos de media potencia para las opciones de la señal de salida. Potencia de Salida 2 :enslocalizadoestaránpotenciamediadepuntosLos máximovalorelSea Potencia max max Po Po Po→ dBPo Po Po 3 2log10log10 2 log*10 :DecibelesEn (dB)max max max −= −=
  • 77.
    CIRCUITOS ELECTRÓNICOS Ing.Antonio Calderón 77 Voltaje de Salida ( )2 max 2 max 2 maxmax 2 *707.0 222 potenciamediadePuntos :espotencialayvoltajeelentreexistequerelaciónLa Vo VoVoPo VoPo =⎟ ⎠ ⎞ ⎜ ⎝ ⎛ =→ → dBVo Vo VoVo 3 2log20log20 2 log20 2 log*10 :DecibelesEn (dB)max max max 2 max −= −= =
  • 78.
    CIRCUITOS ELECTRÓNICOS Ing.Antonio Calderón 78 Ganancia de potencia 22 :enslocalizadoestaránpotenciamediadepuntosLos :potenciaderelaciónlatieneSe maxmax Gp Pin Po Pin Po Gp = = dBGp Gp Gp 3 2log10log10 2 log*10 :DecibelesEn (dB)max max max −= −=
  • 79.
    CIRCUITOS ELECTRÓNICOS Ing.Antonio Calderón 79 Ganancia de voltajes ( )2 max 2 max 2 max 2 max 2 *707.0 222 potenciamediadedepuntos :espotenciade ganancialayvoltajeganancialaentreexistequerelaciónlapotencia,enqueigualAl Gv GvGvGp GvGp =⎟ ⎠ ⎞ ⎜ ⎝ ⎛ =→ → dBGv Gv GvGv 3 2log20log20 2 log20 2 log*10 :DecibelesEn (dB)max max max 2 max −= −= =
  • 80.
    CIRCUITOS ELECTRÓNICOS Ing.Antonio Calderón 80 Respuesta de frecuencia Para determinar la característica de un circuito debemos obtener la función de transferencia del mismo en función de la frecuencia. A partir de esta expresión en función de la frecuencia realizaremos el diagrama de Bode ( )( ) ( ) ( )( ) ( ) :decibelesEn 1................................11 1................................11 nciatransferedeFunción 21 21 ωωω ωωω m n jbjbjb jajaja G +++ +++ =⇒ ωωωωωω mndB jbjbjbjajajaG +−−+−+−++++++= 1log10...1log101log101log10...1log101log10 2121 Dada ya la función de transferencia tenemos que realizar la respectiva gráfica que representa dicha función (característica de magnitud), para esto vamos a utilizar el modelo asintótico de ciertos términos que generalmente aparecen en estas funciones. Para un término: ωjk±0 ωωω .0 22 kkjk ==± Entonces realizamos una tabla que nos permitirá luego generar el gráfico. Para: Función transferencia En dB Para 0→ω Bajas frecuencias 0=G ∞− Para ∞→ω Alta frecuencia ∞=G ∞ Para k/1=ω 1=G 0 Por lo tanto las gráficas para este término son: Para un término: ωjk±0 1 ωωω kkjk 11 0 1 22 == ±
  • 81.
    CIRCUITOS ELECTRÓNICOS Ing.Antonio Calderón 81 Entonces realizamos una tabla que nos permitirá luego generar el gráfico. Para: Función transferencia En dB Para 0→ω ∞=G ∞ Para ∞→ω 0=G ∞− Para k/1=ω 1=G 0 Por lo tanto las gráficas para este término son: Para un término: ωjk±1 22 11 ωω kjk +=± Entonces realizamos una tabla que nos permitirá luego generar el gráfico. Para: Función transferencia En dB Para 0→ω 1=G 0 Para k/1=ω 2=G 3 Para ∞→ω ∞=G ∞ Por lo tanto las gráficas para este término son:
  • 82.
    CIRCUITOS ELECTRÓNICOS Ing.Antonio Calderón 82 Para un término: ωjk±1 1 22 1 1 1 1 ωω kjk + = ± Entonces realizamos una tabla que nos permitirá luego generar el gráfico. Para: Función transferencia En dB Para 0→ω 1=G 0 Para k/1=ω 2/1=G 3− Para ∞→ω 0=G ∞− La pendiente de las rectas se justifica mediante: Sea una señal de ganancia de potencias cuya función de transferencia sea ( ) ( ) ( ) décadadBGp k seakkjkGp jkGp C dB C C C CdB /1010log10log5 10 ;1log5 1 ;1log51log101log*10 1 2 2 2 2 2222 ==⎟ ⎟ ⎠ ⎞ ⎜ ⎜ ⎝ ⎛ = ⎩ ⎨ ⎧ = >> ⎟ ⎟ ⎠ ⎞ ⎜ ⎜ ⎝ ⎛ += =+=+=+= += ω ω ωω ωω ω ω ωωωω ω Ahora si es una señal de ganancia de voltajes cuya función de transferencia sea igual a la anterior ( ) ( ) ( ) décadadBGp k seakkjkGv jkGv C dB C C C CdB /2010log20log10 10 ;1log10 1 ;1log101log201log*20 1 2 2 2 2 2222 ==⎟ ⎟ ⎠ ⎞ ⎜ ⎜ ⎝ ⎛ = ⎩ ⎨ ⎧ = >> ⎟ ⎟ ⎠ ⎞ ⎜ ⎜ ⎝ ⎛ += =+=+=+= += ω ω ωω ωω ω ω ωωωω ω
  • 83.
    CIRCUITOS ELECTRÓNICOS Ing.Antonio Calderón 83 Frecuencia de corte Se denomina así al codo que está presente en algunos diagramas de bode por ejemplo en la gráfica la frecuencia de corte está indicada como ωC: La localización de la frecuencia de corte va depender de en que señal estemos trabajando por lo que se demostrará para potencias y para voltajes ( ) 21 21 101 3dB1log*20 3dBaigualserdebe1log*20expresiónlapotenciamediadepuntoslosenestarPara 1log*20log20 :decibelesEn voltajedeGananciaSi si 3 escortedefrecuenciaLa3 41 21 21 101 3dB1log*10 3dBaigualserdebe1log*10expresiónlapotenciamediadepuntoslosenestarPara 1log*10log10 :decibelesEn potenciadeGananciaSi 1Sea 22 15.0 22 22 22 3.0 =+ =+ =+ =+ + ++= ⇒= ===→= =+ =+ =+ =+ =+ + ++= ⇒= += ω ω ω ω ω ω ωωω ω ω ω ω ω ω ω ω k jk jk jk jk jkGoG GvG GpG k k k k jk jk jk jk jkGoG GpG jkGoG dB C dB
  • 84.
    CIRCUITOS ELECTRÓNICOS Ing.Antonio Calderón 84 GvG k k k C ===→= =+ si 1 escortedefrecuenciaLa1 21 22 22 ωωω ω Característica de Fase Ahora vamos a observar las gráficas para las características de fase de cada uno de los términos detallados anteriormente. Para un término: ωjk±1 ⎟ ⎠ ⎞ ⎜ ⎝ ⎛ =⇒± 1 1 ω θω k arctgjk Entonces realizamos una tabla que nos permitirá luego generar el gráfico. Para: θ Para 0→ω º0=θ Para kC /1== ωω º45=θ Para ∞→ω º90=θ Por lo tanto la gráfica para este término es: Para un término: ωjk±1 1 ⎟ ⎠ ⎞ ⎜ ⎝ ⎛ −=⇒ ± 11 1 ω θ ω k arctg jk Entonces realizamos una tabla que nos permitirá luego generar el gráfico. Para: θ Para 0→ω º0=θ Para kC /1== ωω º45−=θ Para ∞→ω º90−=θ
  • 85.
    CIRCUITOS ELECTRÓNICOS Ing.Antonio Calderón 85 Por lo tanto la gráfica para este término es: Para un término: ωjk±0 º90; 0 0 =⎟ ⎠ ⎞ ⎜ ⎝ ⎛ =⇒± θ ω θω k arctgjk Por lo tanto la gráfica para este término es: Para un término: ωjk±0 1 º90; 00 1 −=⎟ ⎠ ⎞ ⎜ ⎝ ⎛ −=⇒ ± θ ω θ ω k arctg jk Por lo tanto la gráfica para este término es: Respuesta de frecuencia en amplificadores Ahora ya conocida la forma de realizar los diagramas de Bode para distintas formas de la función de transferencia analizaremos la respuesta de frecuencia para los amplificadores con TBJ. Debemos tomar en cuenta las siguientes consideraciones: - En caso de que el circuito produzca desfasamiento, deberá también añadirse la característica de desfasamiento que produce este.
  • 86.
    CIRCUITOS ELECTRÓNICOS Ing.Antonio Calderón 86 - Los elementos reactivos son los que producen la parte imaginaria de la función de transferencia ⎪ ⎩ ⎪ ⎨ ⎧ gananciadeajustede salidade entradade sCapacitore - La metodología que se utiliza para demostrar la característica de frecuencia en la configuración de emisor común es igual para el resto de configuraciones - Para sacar la característica de frecuencia total hay que sumar la característica de fase de cada capacitor A continuación se va a realizar el análisis de la característica de fase de la configuración en emisor común en cada uno de los capacitores. Característica de frecuencia que produce un capacitor de entrada Se tiene el siguiente circuito equivalente de la parte de entrada del amplificador donde se ha considerado que el generador es ideal y lo que observa este es el capacitor de base CB y la impedancia de entrada. Vo Rin CB + - Vin RinX Rin Gv Vin Vo Vin RinX Rin Vo B B + == + = =⇒= 0RgidealesgeneradorconstanteVinSi
  • 87.
    CIRCUITOS ELECTRÓNICOS Ing.Antonio Calderón 87 b b B B B B j j RinC RinCj RinCj Gv Rin Cj Rin GvGv ω ω ω ω ω ω ω ω ω ω + →= + = + =⇒ 1. 1 basedecapacitordelcortedefrecuencialaSea .1 .. . 1 defunciónen b b Con nuestro conocimiento para realizar el diagrama de bode de la función de transferencia, graficamos el numerador y el denominador y después los sumamos las pendientes para obtener la gráfica total. Característica de frecuencia del Numerador y denominador De la gráfica total podemos concluir que a bajas frecuencias el capacitor de base es circuito abierto mientras que a altas frecuencias a partir de la frecuencia de corte ωb es corto circuito.
  • 88.
    CIRCUITOS ELECTRÓNICOS Ing.Antonio Calderón 88 Podemos concluir entonces que cuando: RinX Rin X Rin X RinC B B B B b = = = =→= ω ω ω ω ωωω . 1 1 . 1 Característica de frecuencia que produce un capacitor de salida A partir de la ganancia del circuito incluyendo la reactancia que produce el capacitor de salida obtenemos: ( ) ( ) ( )( ) ( ) ( ) ( ) ( ) ( ) C1 C2 1 C2C1 C1 C2 C2C1 1 1 1 1 1 1 . 1 1 entoncessalidadecapacitordelcortedesfrecuencialasySea ..1 ..1 . . 1 . 1 . . || ω ω ω ω ωω ω ω ωω ω ω ω ω j j Rr R A RRC RC RRCj RCj Rr R A R Cj R R Cj Rr R A RXRRr RXR A Rr RXR AGv Ee C LCC LC LCC LC Ee C L C C L C Ee C LCCEe LCC Ee LCC + + + =⇒ > ⎪ ⎪ ⎭ ⎪ ⎪ ⎬ ⎫ + = = ++ + + = ⎟⎟ ⎠ ⎞ ⎜⎜ ⎝ ⎛ ++ ⎟⎟ ⎠ ⎞ ⎜⎜ ⎝ ⎛ + + = +++ + = + + == Entonces realizamos la grafica del numerador y del denominador
  • 89.
    CIRCUITOS ELECTRÓNICOS Ing.Antonio Calderón 89 Característica de frecuencia del Numerador y denominador Lo que se concluye de la gráfica es que a baja frecuencia se obtiene la ganancia máxima y hasta ωC2 va disminuyendo; a partir de esta frecuencia la ganancia es constante pero baja. Baja frecuencia: max. A max. Vo 1Ee C Rr R A + = Capacitor abierto Carga en colector RC Alta frecuencia: 1 || Ee LC Rr RR A + = Capacitor cortocircuito Carga en colector Req Comprobación ( ) ( ) ( ) ( ) ( ) ( ) ( ) ( ) )( || 1 . . . . .. frecuenciaaltaPara )( frecuenciabaja0Para 1 1 . 1 112 1 1 1 C1 C2 1 LQQD Rr RR A RrRR RR RRC RC Rr R Rr R A LQQD Rr R A j j Rr R A Ee LC EeLC LC LCC LC Ee C C C Ee C Ee C Ee C + = ++ = ++ = + = ∞→ + = → + + + = ω ω ω ω ω ω ω ω
  • 90.
    CIRCUITOS ELECTRÓNICOS Ing.Antonio Calderón 90 Característica de frecuencia sobre la carga (RL) El análisis anterior era en el Terminal del colector, ahora en la carga debemos tener una característica semejante a la característica del capacitor de entrada para poder conectarla a una siguiente etapa por lo tanto con las graficas anteriores hacemos un arreglo de tal manera que me genere el siguiente gráfica. Del análisis del capacitor de salida hecho anteriormente obtenemos que: ( ) ( ) ( ) ( ) LC L C L C LC C LCC LC C LC C LCC C RX R X R X RC RRX RR X RR X RRC = = = =→= += + = + = + =→= ω ω ω ω ωωω ω ω ω ω ωωω . 1 1 . 1 :Cuando . 1 1 . 1 :Cuando 2 1 Del gráfico se observó que solo se va utilizar una frecuencia de corte (ωC2) y potemos decir que esta frecuencia es el punto de división en el que el capacitor o está en cortocircuito (altas frecuencias) o está en circuito abierto (bajas frecuencias)
  • 91.
    CIRCUITOS ELECTRÓNICOS Ing.Antonio Calderón 91 Característica de frecuencia del capacitor para ajuste de ganancia En el caso de la configuración en emisor común es el capacitor colocado en emisor. A partir de la ganancia del circuito incluyendo la reactancia que produce el capacitor de emisor obtenemos: ( ) ( ) ( ) ( ) E2 E1 21 E1E2 E2 2 E1 E2E1 2 21 12 21 12 21 12 2 21 2 1221 2 2 1 2 2 1 21 1 1 . 1 1 entoncessalidadecapacitordelcortedesfrecuencialasySea .1 .1 ||Sea; .1 .1 .1 . .1 . 1 . . 1 || ω ω ω ω ωω ω ω ωω ω ω ω ω ω ω ω ω ω j j RRr R A RC RC RCj RCj RRr R A RrR RRr RrR R RRr RrR Cj RCj RRr R A RCj RrRCjRRr R RCj R Rr R A R Cj R Cj Rr R A RXRr R A EEe eq EeqC EE EeqE EE EEe eq EeE EEe EeE Eeq EEe EeE E EE EEe eq EE EeEEEEe eq EE E Ee eq E E E E Ee eq ECEEe eq + + ++ =⇒ > ⎪ ⎪ ⎭ ⎪ ⎪ ⎬ ⎫ = = + + ⋅ ++ = += ++ + = ++ + + + ⋅ ++ = + ++++ = + ++ = + ++ = ++ = Del análisis anterior obtenemos que: 2 2 2 2 1 . 1 1 . 1 :Cuando EE E E E E EE E RX R X R X RC = = = =→= ω ω ω ω ωωω
  • 92.
    CIRCUITOS ELECTRÓNICOS Ing.Antonio Calderón 92 EeqE Eeq E Eeq E EeqE E RX R X R X RC = = = =→= ω ω ω ω ωωω . 1 1 . 1 :Cuando 2 Característica de frecuencia del Numerador y denominador Graficando la función de transferencia y ubicando los valores de ωE1 y ωE1. A baja frecuencia hasta ωE1 (capacitor circuito abierto) en el denominador de la fórmula de la ganancia se tiene re+RE1+RE2 y para al alta frecuencia (capacitor cortocircuito) a partir de ωE2 se tiene en el denominador re+RE1. En el intervalo desde ωE1 hasta ωE2 no hay ni circuito abierto ni cortocircuito hay la una reactancia. Comprobación del comportamiento del capacitor: )( frecuenciabaja0Para 1 1 . 21 E2 E1 21 LQQD RRr R A j j RRr R A EEe eq EEe eq ++ = → + + ++ = ω ω ω ω ω
  • 93.
    CIRCUITOS ELECTRÓNICOS Ing.Antonio Calderón 93 ( ) ( ) )( . . . .. frecuenciaaltaPara 1 12 212 21 2 21E1 E2 21 LQQD Rr R A RrR RRrR RRr R RC RC RRr R RRr R A Ee eq EeE EEeE EEe eq EeqE EE EEe eq EEe eq + = + ++ ++ = ++ = ++ = ∞→ ω ω ω Cuando se vaya a resolver ejercicios que requieran cumplir con condición de frecuencia se recomienda graficar primero la característica del emisor y ubicar sus respectivas frecuencias de corte luego dibujar las características de base y colector haciendo que coincidan las frecuencias de corte de estos con la gráfica de las características de emisor según como se desee y no ubicar entre las frecuencias de corte (ωE1 < ω < ωE2). Finalmente realizar la respectiva suma de las pendientes de cada característica. A continuación se muestra un ejemplo. Como observamos en las graficas los “y” están rotulados con una C, esta indica característica mas no capacitor por lo tanto en el eje que esta CE lo que señala es que es la característica del emisor.
  • 94.
    CIRCUITOS ELECTRÓNICOS Ing.Antonio Calderón 94 Ejercicio A = 20 vop = 3V RL = 7.5 kΩ β = 100 Y tenga la siguiente característica de frecuencia Ω=ΩΩ== Ω= 3.8821||5.7|| 1Asumo kkRRR kRc LCeq Asumimos resistencias de tolerancia 10 % nte.termicameestableseanoquedehechoelaimportanci pocadasequeloporfrecuenciaderespuestadepartelarealizaresejerciciodelobjetivoEl 12.44 20 3.882 56.5 5.4 2525 5.4 1 5.4 5.4Asumimos 08.4seguridaddefactorpor4.33 3.882 1 1 C Ω= Ω ==+ Ω=== = Ω == = ≥≥⇒ Ω Ω ≥ ≥ k A R Rr mA mV I mV r mA k V R V I VV VVVVV k V v R R V eq Ee E e C RC C RC RCRCRC op eq RC
  • 95.
    CIRCUITOS ELECTRÓNICOS Ing.Antonio Calderón 95 ( ) ( )( ) Ω=Ω+ΩΩ=++== Ω=ΩΩ== Ω=∴ Ω= − = − = Ω=∴ Ω= + = + == =+=+= = >> === =∴ =++=++= Ω=∴ Ω=Ω−Ω=−= Ω=== = ≥≥⇒+≥⇒+≥ ≥⇒++≥++≥ === Ω= Ω=Ω−Ω=−Ω= kkRrRRinRRin kkkRRR kR k A VV I VVcc R kR k A VV I VV I V R AAAIII AI II A mAI I VVcc VVVVVVVVcc R RRR mA V I V R VV VVVVvV VVVVVVvvvV V V A v v R rR EeBTB B B JBEEB B C B RCCEE E EETE E E ET E inp CECEinpactopCE op inp E eE 2.23956.5101||27.4))(1(|||| 27.46.5||18|| 18 99.18 495 6.212 6.5 77.5 450 6.02 49545045 450 ónpolarizacidedEstabilida 45 100 5.4 relaciónlautilizamosesoparaentradadeladodeldiseñoalpasamosAhora activareg,laenesteTBJelquemásasegurarparaVaenvioexcesoel12 65.115.415.52 390 4.405394.444 4.444 5.4 2 2 38.1Vseguridaddefactorelpor15.1V15.01V1V 15.515.023; 15.0 20 3 39 56.3856.512.4412.44 1 21 1 1 1 2 22 2 21 2 B2 CE 2 12 EEEE 1 1 β μ μ μμμ μ μ β Ahora para realizar el análisis de frecuencia para el cálculo de capacitores primero se realiza la planificación graficando cada una de las características.
  • 96.
    CIRCUITOS ELECTRÓNICOS Ing.Antonio Calderón 96 Planificación ( ) ( ) nF nFC CC C C C C F FE EE E E E EeEE EeqE E nF nFB BB B B B B nFC kkHzXf C kX RLX kHzf FC kHzXf C X X RrRX RX kHzf nFC kkHzXf C kX RinX kHzf 22 18 7.4 3.3 2 12 2 82 68 22.21 5.7*1..2 1 ...2 1 5.7 1Para 98.3 99.39*1..2 1 ...2 1 99.39 3956.5||390 || 1Para 34.72 2.2*1..2 1 ...2 1 2.2 1Para = Ω == Ω= = = = Ω == Ω= Ω+ΩΩ= += = = = Ω == Ω= = = ππ μ ππ ππ μ μ Para calcular fE1 Hzf FCX f RX E EE E EE 54.102 98.43*390*.2 1 ...2 1 390 2 2 2 = Ω == Ω== μππ Queremos que el capacitor de base fije el codo nFC F kHz nFkCX f nFC C BB B B 22 7.4C base.delaavariennosfrecuencia estasqueparacalculadoalmayoresvaloreselejimoscodoelfijabasedecapacitorelqueya 06.1 68*2.2*.2 1 ...2 1 68 E = = = Ω == = μ ππ
  • 97.
    CIRCUITOS ELECTRÓNICOS Ing.Antonio Calderón 97 Respuesta de frecuencia en alta frecuencia En la región de alta frecuencia, los elementos capacitivos de relevancia son las capacitancias interelectródicas (entre terminales) internas al dispositivo activo y la capacitancia de cableado entre las terminales de la red. Todos los capacitores grandes de la red que controlaron la repuesta de baja frecuencia se han reemplazado por su corto circuito equivalente debido a sus muy bajos niveles de reactancia. Para el análisis en alta frecuencia se añade el concepto de efecto Miller y como regla tenemos que para cualquier amplificador inversor, la capacitancia de entrada se incrementará por una capacitancia de efecto Miller sensible a la ganancia del amplificador y a la capacitancia interelectródica (parásita) entre las terminales de entrada y salida del dispositivo activo. A continuación se señala cada una de estas capacitancias en un grafico y su equivalencia por el efecto Miller. Se tiene la configuración en emisor común con los capacitores de baja frecuencia en cortocircuito y considerando los capacitancias interelectródicas.
  • 98.
    CIRCUITOS ELECTRÓNICOS Ing.Antonio Calderón 98 Se realiza el análisis respectivo para obtener el diagrama de bode de cada capacitor. Co ( )( ) eqCoo Ee eq eqo eqOEe eq eqOEe eq Ee O eq O eq Ee Coeq RX jRr R A RC RCjRr R A RCjRr R Rr Cj R Cj R A Rr XR A =→= ++ =⇒ = ++ = ++ = + + = + = ωω ω ω ω ω ω ω ω ω Cuando 1 1 . 1 capacitordelcortedefrecuencialaSea ..1 1 . ..1 . 1 . 1 . || o 1 o o 1 11 1 Por lo tanto la gráfica es Ce ( ) 1 1 1 1 1 1 1 11 1 1 1 1 1 1 ||ReSea ..1 .1 .A . .1 .1 . 1 . . 1|| Ee Ee eE eq Ee eE e Ee Ee eq eEeEe Eeeq Ee E e eq E e E e e eq CeEe eq Rr Rr rR Rr rR Cj RCj Rr R rRCjRr RCjR RCj R r R R Cj R Cj r R XRr R A = + = + + + + = ++ + = + + = + + = + = ω ω ω ω ω ω ω
  • 99.
    CIRCUITOS ELECTRÓNICOS Ing.Antonio Calderón 99 eqCee ECee Ee eq eqe Ee eqe Ee Ee eq X RX Cuando j j Rr R A C RC Cj RCj Rr R Re 1 1 . Re 1 1 capacitordelcortedesfrecuencialasySea Re..1 .1 .A 1 11 e2 e1 1 e1e2 e2 1 e1 e2e1 1 1 =→= =→= + + + =⇒ > ⎪ ⎪ ⎭ ⎪ ⎪ ⎬ ⎫ = = + + + = ωω ωω ω ω ω ω ωω ω ω ωω ω ω Graficando el numerador y el denominador Cin
  • 100.
    CIRCUITOS ELECTRÓNICOS Ing.Antonio Calderón 100 RinX RinCin j Rin Zin RinCinj Rin Rin Cinj Rin Cinj Zin RinXZin Cini Cin =→= = + =⇒ + = + = = ωω ω ω ω ω ω ω ω Cuando . 1 capacitordelcortedefrecuencialaSea 1 . ..1 . 1 . . 1 || i i i Ahora por efecto de las capacidades parásitas podemos diseñar un circuito que tenga tanto una codo en bajas frecuencia y otro en altas frecuencias según nuestras necesidades, si deseamos cambiar la frecuencia de corte en alta frecuencia se puede añadir un capacitor por ejemplo en paralelo a cualquier de los capacitores parásitos y luego se procede a diseñar con el valor de frecuencia que se desea.
  • 101.
    CIRCUITOS ELECTRÓNICOS Ing.Antonio Calderón 101 REALIMENTACIÓN Es tomar una parte (una muestra) de la señal de salida y realimentarla (sumarla) con la señal de entrada. Tipos de realimentación - Realimentación negativa (sinónimo de estabilidad) - Realimentación positiva (sinónimo de inestabilidad) Sistema de lazo abierto · (1) ( )· · · (2) De (1) y (2) · (3) (3) (1) Vo AVin Vo Vo A A Vin Vo Vo AVin AVin Vo AVin Vo A Vo A = + Δ = + Δ + Δ = + Δ → Δ = Δ Δ Δ → = Sistema de lazo cerrado - Se producirá realimentación negativa cuando en el sumador se dé efectivamente la resta de las 2 señales, es decir: fVin V− - Se tendrá realimentación positiva cuando en el sumador se dé efectivamente la suma de las 2 señales, es decir: fVin V+
  • 102.
    CIRCUITOS ELECTRÓNICOS Ing.Antonio Calderón 102 Realimentación Negativa desfasada 180º respecto a f f f Ve Vin V V Vin Vin V = − > Realimentación Positiva en fase respecto a f f Ve Vin V V Vin = + Ganancia el lazo cerrado f Vo G A Vin = = ( ) ( ) · · · · · f Vo AVe A Vin V A Vin BVo AVin A BVo = = − = − = − ( )1 · · Para Realimentación Negativa 1 · Vo A B AVin Vo A G Vin A B + = = = → +
  • 103.
    CIRCUITOS ELECTRÓNICOS Ing.Antonio Calderón 103 ( ) ( ) · · · · · f Vo AVe A Vin V A Vin BVo AVin A BVo = = + = + = + ( )1 · · Para Realimentación Positiva 1 · Vo A B AVin Vo A G Vin A B − = = = → − Tomando en general 1 · A G A B = − Realimentación Negativa 1 ( ) 1 A A G A B AB − ⇒ = = − − − + El signo negativo indica únicamente el defasamiento entre la señal de salida y la señal de entrada Otra opción 1 ( ) 1 A A G A B AB ⇒ = = − − +
  • 104.
    CIRCUITOS ELECTRÓNICOS Ing.Antonio Calderón 104 Realimentación Positiva 1 A G AB ⇒ = − Otra opción 1 ( )( ) 1 A A G A B AB − ⇒ = = − − − − − REALIMENTACIÓN NEGATIVA La realimentación (feedback en inglés) negativa es ampliamente utilizada en el diseño de amplificadores ya que presenta múltiples e importantes beneficios. Uno de estos beneficios es la estabilización de la ganancia del amplificador frente a variaciones de los dispositivos, temperatura, variaciones de la fuente de alimentación y envejecimiento de los componentes. Otro beneficio es el de permitir al diseñador ajustar la impedancia de entrada y salida del circuito sin tener que realizar apenas modificaciones. La disminución de la distorsión y el aumento del ancho de banda hacen que la realimentación negativa sea imprescindible en amplificadores de audio y etapas de potencia. Sin embargo, presenta dos inconvenientes básicos. En primer lugar, la ganancia del amplificador disminuye en la misma proporción con el aumento de los anteriores beneficios. Este problema se resuelve incrementando el número de etapas amplificadoras para compensar esa pérdida de ganancia con el consiguiente aumento de coste. El segundo problema está asociado con la realimentación al tener tendencia a la oscilación lo que exige cuidadosos diseños de estos circuitos. La teoría de realimentación exige considerar una serie de suposiciones para que sean válidas las expresiones que se van a obtener seguidamente. Estas suposiciones son: - La señal de entrada se transmite a la salida a través del amplificador básico y no a través de la red de realimentación.
  • 105.
    CIRCUITOS ELECTRÓNICOS Ing.Antonio Calderón 105 - La señal de realimentación se transmite de la salida a la entrada únicamente a través de la red de realimentación y no a través del amplificador básico. - El factor B es independiente de la resistencia de carga (RL) y de la resistencia de la fuente. En las dos primeras suposiciones se aplica el criterio de unidireccionalidad a través de A y a través de B, respectivamente. Estas suposiciones hacen que el análisis de circuitos aplicando teoría de realimentación y sin ella difieran mínimamente. Sin embargo, la teoría de realimentación simplifica enormemente el análisis y diseño de amplificadores realimentados y nadie aborda directamente un amplificador realimentado por el enorme esfuerzo que exige. Ventajas - Estabilización de la ganancia - Cambio en las impedancias de entrada y salida - Extensión de la respuesta de frecuencia (ampliación del Ancho de Banda) - Disminución de la distorsión no lineal o de amplitud, y en algunos casos del ruido. Estabilización de la ganancia Las variaciones debidas al envejecimiento, temperatura, sustitución de componentes, etc., hace que se produzca variaciones en el amplificador básico y, por consiguiente, al amplificador realimentado. Si AB >> 1 donde B es generalmente un divisor de tensión A G B ∴→ = Para el divisor de tensión se recomienda usar resistencias de precisión. ( )Si AB >> 1 y B = 1 1 pero siempre Se cumple mejor mientras mayor sea A mínima fV Vo G Vo Vin Vo Vin Ve = ∴→ = ⇒ = < ⇒ →
  • 106.
    CIRCUITOS ELECTRÓNICOS Ing.Antonio Calderón 106 Si AB >> 1 y B < 1 1 AmplificadorG∴→ = ⇒ ( ) ( ) 2 2 1 1 · 1 1 · 1 1 · 1 1 · 1 A G AB dG dA AB dG dA G GAB dG dA G AB A G A G AB A = + = + = + = + Δ Δ ⇒ = + Los peores enemigos de la estabilidad suelen ser los elementos activos (transistores). Si la red de realimentación contiene solamente elementos pasivos estables se logra una alta estabilidad. Ejercicio 5 3 1 20% 1% 1 100 L G Vo V R K A A G G f KHz β = = = Ω Δ = Δ = = − − − − − − − − = Empezamos por el análisis matemático 1 · 1 1 1 ·20 1 1 20 19 G A G AB A AB AB AB Δ Δ = + = + + = =
  • 107.
    CIRCUITOS ELECTRÓNICOS Ing.Antonio Calderón 107 ( ) 1 1 5 20 100 A G AB A G AB A = + = + = × = 19 19 19 100 0.19 AB B A B = = = = Terminado el análisis matemático previo Circuito a implementarse Comenzando el diseño de la 2ª Etapa
  • 108.
    CIRCUITOS ELECTRÓNICOS Ing.Antonio Calderón 108 2Asumo 1CR K= Ω 2 2 2 2 2 · Re 1 ·3 0.5 6 1.3 7.8 8 C RC p RC RC R V Vo q K V K V V V V V ≥ ≥ ≥ → × = = 2 2 2 2 8 1 8 CR C C C V I R K I mA = = = 2 2 2 2 3 2 25 25 3.125 8 Re 0.5 50 existe estabilidad 10 e C e E mV m r I m q K r R A = = = Ω + = = = → 3 2 3 50 50 3.125 46.875 47 E e E R r R = − = − = = Ω 2 2 2 3 0.3 2 5.3 1 1 0.3 1.3 1.3 1.69 2 CE p p act E p E V Vo Vin V V V Vin V V ≥ + + = + + = = + = + = → × = = 2 2 2 8 5.3 2 15.3 18 CC RC CE E CC V V V V V V = + + = + + = = 2 2 2 4 2 3 4 2 250 8 250 47 203 220 E ET C E ET E E V R I m R R R R = = = Ω = − = − = = Ω
  • 109.
    CIRCUITOS ELECTRÓNICOS Ing.Antonio Calderón 109 2 2 4 3 2 4 8 80 100 10 800 80 800 880 C B B B I m I A I I A I I I A μ β μ μ μ μ = = = = = = + = + = 2 4 4 4 2 0.6 3.25 3.3 800 E JBEV V R K R K I μ + + = = = → = Ω 3 3 3 18 2 0.6 17.5 880 18 CC E JBEV V V R K I R K μ − − − − = = = = Ω 2 2 3 2 3 3 4 2 ( 1)( ) || ( 1)( ) || || 101(3.125 47) ||18 ||3.3 1.798 in e E B e E in R r R R r R R R K K R K β β = + + = + + = + = Ω Diseñando la 1ª Etapa 1Asumo 1CR K= Ω 1 2 1 1 · Re 1 ·0.3 1.3 0.608 641.578 6 Distribuyendo de una vez (para no poner solo 1V) C RC p RC R V Vo q K V V V V ≥ ≥ → × = = → 1 1 1 6 6 1 RC C C V I mA R K = = = 1 1 1 1 1 1 25 25 4.167 6 Re 641.578 64.158 es estable 10 e C e E mV m r I m q r R A = = = Ω + = = = →
  • 110.
    CIRCUITOS ELECTRÓNICOS Ing.Antonio Calderón 110 1 1 1 64.158 64.158 4.167 59.991 62 E e E R r R = − = − = = Ω 1 1 1 1 3 0.03 2 2.33 (necesario) 1 1 0.03 1.03 1.3 1.339 (necesario) Dispongo de 12 V 6 6 CE p p act E p CE E V Vo Vin V V V Vin V V V y V V ≥ + + = + + = = + = + = → × = → = = 1 1 1 2 1 1 2 6 1 6 1 62 938 1 E ET C E ET E E V R K I m R R R K R K = = = Ω = − = − = → = Ω 1 1 2 1 1 1 2 6 60 100 10 600 60 600 660 C B B B I m I A I I A I I I A μ β μ μ μ μ = = = = = = + = + = 1 2 2 2 6 0.6 11 10 600 E JBEV V R K R K I μ + + = = = → = Ω 1 1 1 18 6 0.6 17.273 18 330 CC E JBEV V V R K R K I μ − − − − = = = → = Ω Para la realimentación:
  • 111.
    CIRCUITOS ELECTRÓNICOS Ing.Antonio Calderón 111 || · || || 0.19 || A f p A f A A Rb Rin V Vo Ra Rb Rin V Rb Rin B Vo Ra Rb Rin = + = = = + Por facilidad hacemos: · Habiendo hecho 0.19 A f A f A f A f A Rin V Vo Rb Rin R Rin V Rin B Vo R Rin = → >> + = = = + 1 2 1 1 1 1 || || VALOR REAL 1 (?!) CON ERROR 0.19 264.3 500 Potenciómetro del doble corregir error A E e A E E f E f R R Rg Rin R r Rin R R B R R R P β ⎛ ⎞+ = +⎜ ⎟+⎝ ⎠ = → = = + → = Ω → = Ω → Si hubiésemos hecho en una sola etapa, habríamos tenido que conectar la realimentación a BASE.
  • 112.
    CIRCUITOS ELECTRÓNICOS Ing.Antonio Calderón 112 Calculando el capacitor adicional tenemos que 1 1 E f Cf E R B R X R = + + Teniendo que cumplirse que 1Cf f EX R R<< + Para tener un comportamiento adecuado es necesario que: - El bloque B NO cargue al bloque A - El bloque A NO cargue al bloque B Para que el bloque B NO cargue al bloque A: Caso IDEAL Caso PRÁCTICO B B A Rin Rin Ro = ∞ →⎧ ⎨ >> →⎩ Para que el bloque A NO cargue al bloque B: Caso IDEAL Caso PRÁCTICO A A B Rin Rin Ro = ∞ →⎧ ⎨ >> →⎩ Pasos de Diseño - Asumimos Rf para que el bloque B no cargue el bloque A f LR R>> - De la expresión para el bloque B, 1 1 E f E R B R R = + , determinamos RE1.
  • 113.
    CIRCUITOS ELECTRÓNICOS Ing.Antonio Calderón 113 - Asumiendo la 1ª Etapa estable (re despreciable), 1 1 1 Re E q A R ≈ , de donde obtenemos Req1. Siendo 1 1 2 2|| obtenemos condición deCReq R Rin Rin= → 2 1 Para comenzar el diseño de la 2ª EtapaRin Req→ ≥ → Impedancias de entrada y salida La realimentación negativa, mejora las características de las impedancias de entrada y salida del amplificador realimentado, respecto del amplificador sin realimentar. Por ejemplo para el caso de un amplificador de tensión, es deseable que presente una alta impedancia de entrada para la fuente de señal y una baja impedancia de salida para la carga. La alta impedancia de entrada, evita la sobrecarga y la caída de tensión en la impedancia interna de la fuente de señal. La baja impedancia de salida, tiende a idealizar el equivalente de thevenin de la salida del amplificador, evitando las variaciones de tensión de la salida, por caída de tensión en esta impedancia, ante variaciones de la carga. Extensión de la respuesta en frecuencia Una de las características más importantes de la realimentación es el aumento del ancho de banda del amplificador que es directamente proporcional al factor de desensibilización 1 AB+ . Para demostrar esta característica, consideremos un amplificador básico que tiene una frecuencia de corte superior Cf . La ganancia de este amplificador se puede expresar como: 1 O C A A f j f = + siendo OA la ganancia a frecuencias medias y f la frecuencia de la señal de entrada.
  • 114.
    CIRCUITOS ELECTRÓNICOS Ing.Antonio Calderón 114 Pasando a un sistema realimentado ( ) 1 1 · 1 1 1 · 1 · 1 · 1 1 · C C C C A G AB Ao f j f G Ao B f j f Ao G f Ao B j f Ao G fAo B j f Ao B = + + = + + = + + = + + + Como se puede observar claramente en la ecuación obtenida y en el gráfico, se aumenta el ancho de banda. Sin embargo, este aumento es proporcional a la disminución de la ganancia del amplificador. Por ejemplo, si a un amplificador con una Ao = 1000 con una ƒc =200 kHz se le introduce una realimentación tal que 1+AB = 20, entonces su ƒ aumenta hasta 4 MHz aunque su ganancia disminuye a Ao = 50. Disminución de la dispersión no lineal o de amplitud La realimentación negativa en amplificadores reduce las características no lineales del amplificador básico y, por consiguiente, reduce su distorsión. Sin realimentación ( ) ( ) 2 2 1 2 1 · · Vo A Ve A Vo Vd A A Vin Vd = = + = +
  • 115.
    CIRCUITOS ELECTRÓNICOS Ing.Antonio Calderón 115 1 2 2· · ·Vo A A Vin A Vd= + Con Realimentación ( ) ( ) ( ) ( ) 2 2 2 1 2 1 1 1 2 1 2 1 2 2 1 2 2 1 2 1 2 2 · · · · · · · · · · · · · · · · f Vo A Ve A Vo Vd A A Ve Vd A A Ve A Vd A A Vin V A Vd A A Vin BVo A Vd A A Vin A A BVo A Vd = = + = + = + = − + = − + = − + 1 2 1 2 2(1 · · ) · · ·Vo A A B A A Vin A Vd+ = + 1 2 2 1 2 1 2 · · · 1 · · 1 · · A A A Vo Vin Vd A A B A A B = + + + Hemos bajado la distorsión→ Reducción del ruido En términos generales, respecto al ruido, podemos decir que la realimentación negativa reduce los niveles de estas tensiones eléctricas indeseables. El ruido y la distorsión presentes en la salida de un amplificador pueden considerarse como consecuencias de la introducción de una tensión espuria en alguna sección del amplificador y que es amplificada por la parte del amplificador comprendida entre el punto de inyección y la salida. Merced al circuito de realimentación, esta tensión vuelve al punto de origen y, si la realimentación es negativa, llega a este con fase opuesta a la original y tiende a anular la que le dio origen. - Ruido Blanco: es una señal aleatoria que se caracteriza porque sus valores de señal en dos instantes de tiempo diferentes no guardan correlación estadística. Como consecuencia de ello, su densidad espectral de potencia es una constante. Esto significa que la señal contiene todas las frecuencias y todas ellas tienen la misma potencia. Igual fenómeno ocurre con la luz blanca, lo que motiva la denominación.
  • 116.
    CIRCUITOS ELECTRÓNICOS Ing.Antonio Calderón 116 - Ruido periódico: es más fácil de eliminar (como el rizado) Formas de Realimentación Un amplificador es diseñado para responder a tensiones o corrientes a la entrada y para suministrar tensiones o corrientes a la salida. En un amplificador realimentado, el tipo de señal muestreada a la salida (corriente o tensión) y el tipo de señal mezclada a la entrada (tensión o corriente) dan lugar a cuatro tipos de topologías: 1) Realimentación de tensión en serie 2) Realimentación de tensión en paralelo 3) Realimentación de corriente en serie, y, 4) Realimentación de corriente en paralelo Realimentación de Voltaje Desde el punto de vista ideal · en paralelo (divisor de voltaje) f f Rb V Vo Ra Rb V Rb B Vo Ra Rb = + = = → + Modelo equivalente de voltaje
  • 117.
    CIRCUITOS ELECTRÓNICOS Ing.Antonio Calderón 117 Este modelo es adecuado cuando i S O L Z R Z R >> << Realimentación de Corriente en serie→ 1 f o f o L f L V B Vo i R i R R B R → = = → = 2 · Para que el bloque B no cargue al bloque A f f L f f L f f L f L R V Vo R R RVf B Vo R R Si R R R B R → = + = = + << ∴ = Modelo equivalente de corriente Este modelo es adecuado cuando i S O L Z R Z R << >>
  • 118.
    CIRCUITOS ELECTRÓNICOS Ing.Antonio Calderón 118 Realimentación de Voltaje en serie · ·f Vo AVe V BVo =⎧ ⎨ =⎩ Realimentación de Voltaje en paralelo · · e f Vo Ai i BVo =⎧ ⎨ =⎩ Realimentación de Corriente en serie Otra configuración de realimentación consiste en seleccionar muestras de la corriente de salida y devolver un voltaje proporcional en serie con la entrada. Al mismo tiempo que se estabiliza la ganancia del amplificador, la conexión con realimentación de corriente en serie, incrementa la resistencia de entrada.
  • 119.
    CIRCUITOS ELECTRÓNICOS Ing.Antonio Calderón 119 · · o f o i AVe V B i =⎧ ⎨ =⎩ Realimentación de Corriente en paralelo · · o e f o i Ai i B i =⎧ ⎨ =⎩ Impedancia de entrada Realimentaciones en serie (tanto de voltaje como de corriente) ( )1fZin AB Zin= + Realimentaciones en paralelo (tanto de voltaje como de corriente) ( )1 f Zin Zin AB = + Impedancia de salida
  • 120.
    CIRCUITOS ELECTRÓNICOS Ing.Antonio Calderón 120 Realimentación de Voltaje ( )1 f Zo Zo AB = + Realimentación de Corriente ( )1fZo AB Zo= + Ejercicio 5 5 470 15% 1% 1 100 L f G Vo V R A A G G Zin K β = = = Ω Δ = Δ = ≥ Ω − − − − − − − = Análisis matemático 1 · 1 1 1 ·15 1 1 15 14 G A G AB A AB AB AB Δ Δ = + = + + = = ( ) 1 1 5 15 75 A G AB A G AB A = + = + = × =
  • 121.
    CIRCUITOS ELECTRÓNICOS Ing.Antonio Calderón 121 19 14 14 75 0.187 AB B A B = = = = Haciendo realimentación de voltaje en paralelo ( ) 1 1 1 ·1 15·1 15 f Zin Zin K AB Zin AB K K Zin K = ≥ + ≥ + ≥ ≥ Ω Asumiendo ganancias 1 215 y 5A A= = 1 1 1 1 · 1 15 ·15 100 2.25 A Req Rin K Req K β ≥ + ≥ ≥ 2 2 2 2 · 1 5 ·2.25 100 112.5 A Req Rin K Req β ≥ + ≥ ≥ 1 2|| 2.25CR Rin K≥ Ω 2 2 || 112.5 147.902 C LR R Rc ≥ ≥ Ω Haciendo que el bloque B no cargue al bloque A Asumo 4.7 f L f R R R K >> = Ω 1 1 1 1 1 · (0.187)(4.7 ) 1 0.187 1 1.08 1 E f E f E E E R B R R B R K R B R K R K = + = − = − − − = → = Ω
  • 122.
    CIRCUITOS ELECTRÓNICOS Ing.Antonio Calderón 122 1 1 e1 1 1 1 1 1 1 1 1 2 2 Asumiendo estabilidad para esta etapa 15 1 15 || 15 15 E e E E C Req A r R r R Req A R Req K K R Rin K Rin K = → << + = = × = Ω = → ≥ Ω 2 2 2· 1 5 ·15 100 A Req Rin K β ≥ + ≥ 2 || 750C LR R ≥ Ω 470 ↑ Ω Utilizando Darlington en la 2ª Etapa 2 2 2 2 · 5 ·15 10000 7.5 D A Req Rin K Req β ≥ ≥ ≥ Ω 2 2 || 750 470 7.62 C L C R R R ≥ Ω ↑ Ω ≥ Ω Resumiendo Para: 2 2 2 1 147.9 Recalculando con Darlington en A 1.12 f C C Zin K R R ≥ Ω → ≥ Ω → ≥ Ω
  • 123.
    CIRCUITOS ELECTRÓNICOS Ing.Antonio Calderón 123 Para que B no cargue a A: 2 27.62 (A con Darlington)CR→ ≥ Ω 2 7.62 (Cumpliendo Ambas Condiciones)CR⇒ ≥ Ω REALIMENTACIÓN POSITIVA La utilización de realimentación positiva que da por resultado un amplificador con realimentación que cuenta con ganancia de lazo cerrado G mayor a uno y que satisface las condiciones de fase, provocará una operación de circuito oscilador. Un circuito oscilador como tal ofrece una señal variante de salida. Circuitos Osciladores Un circuito oscilador es aquel que genera una señal de salida, a una frecuencia determinada, sin señal de entrada. La señal generada puede ser alterna o continua fluctuante (una sola dirección, lo que cambia es la amplitud). Tipos de osciladores Onda sinusoidal Los osciladores sinusoidales juegan un papel importante en los sistemas electrónicos que utilizan señales armónicas. A pesar de que en numerosas ocasiones se les denomina osciladores lineales, es preciso utilizar alguna característica no lineal para generar una onda de salida sinusoidal. De hecho, los osciladores son esencialmente no lineales lo que complica las técnicas de diseño y análisis de este tipo de circuitos. El diseño de osciladores se realiza en dos fases: una lineal, basado en métodos en el dominio frecuencial que utilizan análisis de circuitos realimentados, y otra no lineal, que utiliza mecanismos no lineales para el control de amplitud. Únicamente se debe satisfacer la condición BA = 1 para que se obtengan oscilaciones autosostenidas. En la práctica, BA se hace mayor a 1 y el sistema comienza a oscilar mediante la aplicación de voltaje de ruido, que siempre está presente. Los factores de saturación en el circuito práctico proporcionan un valor ‘promedio’ de BA de 1. Las formas de onda resultantes nunca son exactamente senoidales, sin embargo, mientras más cercano se encuentre el valor de BA a 1, la forma de onda será más cercana a una senoidal. Una diferencia fundamental respecto a los circuitos multivibradores es que estos últimos son circuitos no lineales (basados en comparadores, disparadores de Schmitt, etc.) frente a los circuitos cuasi-lineales de los osciladores.
  • 124.
    CIRCUITOS ELECTRÓNICOS Ing.Antonio Calderón 124 Onda no sinusoidal Dentro de este tipo se encuentran los osciladores de relajación, los cuales emplean dispositivos biestables tales como conmutadores, disparadores Schmitt, puertas lógicas, comparadores y flip-flops que repetidamente cargan y descargan condensadores. Las formas de onda típicas que se obtiene con este método son de tipo triangular, cuadrada, exponencial o de pulso. Aplicaciones - En transmisión y recepción de radio y TV (como oscilador local generador de señales portadoras). - En calentamiento dieléctrico o inductivo. - En equipos de medida y/o laboratorio. Condiciones básica de oscilación 1. El circuito básicamente debe ser un amplificador. 2. Debe tener realimentación positiva. 3. La cantidad de realimentación debe ser suficiente para vencer las pérdidas del circuito de entrada. ( ) ( ) · · · · · f Vo AVe A Vin V A Vin BVo AVin A BVo = = + = + = + ( )1 · · 1 · Vo A B AVin Vo A G Vin A B − = = = − Para que el circuito oscile:
  • 125.
    CIRCUITOS ELECTRÓNICOS Ing.Antonio Calderón 125 ( )( ) 1 1 ( )( ) 1 G A B AB A B = ∞ + + =⎧ → = ⎨ − − =⎩ 0º 0º 0º A AB B =⎧ ⇒ =⎨ =⎩ 180º 360º 180º A AB B =⎧ ⇒ =⎨ =⎩ Las condiciones de oscilación que tenemos son: 1 1 0º 360º 2 AB AB ó ⎧ =⎪ ⎨ =⎪⎩ Las Funciones de Transferencia (FT) r i r i A A jA B B jB = + = + tan i r A A α = tan i r B B β = ( )( ) 2 2 2 2 2 2 2 2 1 1 · 1 1 1 r i r i r i r i AB A B A A B B A A B B = = + + + = + + =
  • 126.
    CIRCUITOS ELECTRÓNICOS Ing.Antonio Calderón 126 2 0º 360º 0º tan 0 0º º tan 0 0tan 0 tan 0 0 180º tan 0 360º 18 º tan 0 i i AB ó A Para AB B A B A Para AB B α α β β α β α α β β = = = =⎧ = → ⎨ = = 0 =⎩ == ⎫ ⇒ ∴⎬ = =⎭ = = =⎧ = → ⎨ = = 0 =⎩ 1 · 1r rA B∴ → = Generalmente encontramos la FT del bloque B Circuito oscilador de desplazamiento de fase u oscilador RC Todos los osciladores involucran uno o más elementos almacenadores de energía. En forma general se pueden clasificar según el tipo de almacenadores. Tenemos, así, los osciladores LC, que utilizan capacitores e inductores, y los osciladores RC, que utilizan capacitores y resistores. Para frecuencias menores que 100 KHz, se trata de evitar el uso de bobinas, surgiendo así los osciladores RC. Este tipo de oscilador sigue el desarrollo básico de un circuito realimentado, es decir, la ganancia de lazo AB es mayor que la unidad y el corrimiento de fase alrededor de la red de realimentación es de 180º (proporcionando realimentación positiva). Cada conjunto de RC produce un defasamiento de 60º
  • 127.
    CIRCUITOS ELECTRÓNICOS Ing.Antonio Calderón 127 Vo · || o L X Vo i Req Req Rc R R R Rin =⎧ ⎪ =⎨ ⎪ = +⎩ ?f r i V B B jB Vo = = + = De este desarrollo tenemos ( ) ( ) ( ) ( ) ( ) 2 3 3 3 3 3 2 3 3 2 22 2 2 2 2 3 3 3 2 3 3 2 3 3 2 2 2 2 2 22 2 2 2 2 3 3 3 2 3 · · · · · 3 · · · 5 · · · · 1 6 · · 4 · · · · · 3 · · · 5 · · · · · · · 1 6 · · 4 · · · 1 6 · · 4 · · · · · 3 · · · R Rin C R C R Req C R C Req C B R C R Req C R C R Req C R C Req C R Rin C R C R Req C j R C R Req C R C R Req ω ω ω ω ω ω ω ω ω ω ω ω ω ω ω ω ω ω + − + = − − − + + − + − − − − − + +( ) 23 5 · · · ·C R C Req Cω ω− + Para que el circuito oscile: 0 1 , 2 6 4 i OSC B Req f K RRC Kπ = → = = + 2 · 1 29 23 4 r r r A B A K K = → = + +
  • 128.
    CIRCUITOS ELECTRÓNICOS Ing.Antonio Calderón 128 2 2 2 29 23 4 4 23 29 0 23 23 4(4)(29 ) 8 23 65 16 como únicamente puede ser (+) 8 23 65 16 8 A K K K K A A K A K A K = + + + + − = − ± − − = − ± + = − + + ⇒ = 65 16 23 65 16 529 29 A A A + > + > → > Ejercicio 3 1 2 L OSC Vo V R K f KHz = ≥ Ω = Asumo A=40 23 65 16 8 23 65 16(40) 8 0.444 A K K − + + = − + + = = Asumo 1CR K= Ω || 1 ||1 500 500 1.126 1.2 0.444 C LReq R R K K Req R K R K K = = = Ω = = = → = Ω Calculando C
  • 129.
    CIRCUITOS ELECTRÓNICOS Ing.Antonio Calderón 129 1 2 · · 6 4 1 2 (1.2 )(2 ) 6 4(0.444) 23.781 OSC C R f K K K C nF π π = + = + = Desde este punto se diseña como se ha venido haciendo Asumo resistencias de Tolerancia ≤ 20 % 1 · 1.3 3 1.3 7.8 0.5 8 C RC RC R V Vop V Req V V ≥ × = × × = = 8 8 1 RC C C V I mA R K = = = 1 25 25 3.125 8 500 12.5 No es estable 40 e C e E mV m r i m Req r R A = = = Ω + = = = Ω → Corrigiendo la estabilidad, asumo 1er = Ω 25 25 25 1 C e mV m I mA r = = = · (25 )(1 ) 25RC C CV I R m K V= = = 1 112.5 12.5 1 11.5 12E e ER r R= − = − = → = Ω E 0 debido a que es oscilador V 1 p p Vin Vin = → = + 0 E 1 1.3 1.3 V 2 V V = → × = = 1 debe ser exacto - NO redondear1 3 4 4 CE p CE V Vo V V = + = + = → =
  • 130.
    CIRCUITOS ELECTRÓNICOS Ing.Antonio Calderón 130 2 80 25 E ET C V R I m = = = Ω 25 4 2 31 CC RC CE E CC V V V V V V = + + = + + = NOTA: Si realizamos algún redondeo en VCC debemos: - Mandar el voltaje sobrante a VE y, - Recalcular RE2
  • 131.
    CIRCUITOS ELECTRÓNICOS Ing.Antonio Calderón 131 2 1 25 250 100 10 10 250 2.5 11 11 250 2.75 C B B B I m I A I I mA I I mA μ β μ μ = = = = = × = = = × = 1 31 0.6 2 28.4R CC JBE EV V V V V= − − = − − = 1 1 1 1 2 2 2 28.4 10.327 10 2.75 2 0.6 1.04 1 2.5 R B V R K R K I m V R K R K I m = = = → = Ω + = = = → = Ω 1 2|| || || 537.17B T TRin R Rin R R Rin= = = Ω 1.2 KΩ 1.2 KΩ 23.8 nF 23.8 nF 23.8 nF Rx = 662.83 Ω Rin = 537.17 Ω Vo Ponemos potenciómetro del doble Si el valor de Rin saldría mayor a lo requerido tendríamos que realizar el siguiente procedimiento: Ejemplo 1 2|| || 2 Ya NO necesitamosT XRin R R Rin K R= = Ω → 1 2|| || 1.2 ? TR R Rin K′⇒ = Ω ↑ ↓ ↑ Tenemos que calcular R2’ y cambiar el circuito de la siguiente manera:
  • 132.
    CIRCUITOS ELECTRÓNICOS Ing.Antonio Calderón 132 Donde sería mejor utilizar un potenciómetro en R2’. NOTA: En el diseño 1LR K≥ Ω , debido a que para valores mayores el diseño funciona, pero: - Oscila a una frecuencia distinta. - El Vo es mayor. - Existe demasiada realimentación. Hay que tener en cuenta que al elegir el valor de A (ganancia) debemos considerar la tolerancia de las resistencias a utilizarse y su respectivo factor de seguridad. Diseño para que el bloque B no cargue al bloque A 3 1 2 L OSC Vo V R K f KHz = ≥ Ω = En forma aproximada LR R>> , para lograr que el bloque B no cargue al A. Asumo 10R K= Ω Comenzando el diseño del amplificador, asumo 1CR K= Ω 1 ||1 0.05 10 Req K K K R K = = = 2 2 29 23 4 29 23(0.05) 4(0.05) 30.16 A K K A = + + = + + =
  • 133.
    CIRCUITOS ELECTRÓNICOS Ing.Antonio Calderón 133 Obtenido este valor se debe hacer una consideración acerca de la tolerancia de las resistencias. En este caso todas las resistencias a utilizarse deberían ser de una tolerancia < 4%. 1 2 · · 6 4 1 2 (10 )(2 ) 6 4(0.05) 3.196 OSC C R f K K K C nF π π = + = + = El resto del diseño se realiza de manera similar a la que se ha venido utilizando. Otro diseño para que el bloque B no cargue al bloque A 3 1 2 L OSC Vo V R K f KHz = ≥ Ω = Para que el bloque B no cargue al A: R Req>> Asumo 1CR K= Ω || 1 ||1 0.5C LReq R R K K K= = = Entonces, asumo 5.6R K= Ω 0.5 0.0893 5.6 Req K K R K = = = 2 2 29 23 4 29 23(0.0893) 4(0.0893) 31.085 A K K A = + + = + + = Al igual que en la anterior opción, es necesario considerar la tolerancia requerida para las resistencias con las cuales vamos a trabajar. En este ejemplo todas las resistencias a utilizarse deberían ser de una tolerancia < 7%. 1 2 · · 6 4 1 2 (5.6 )(2 ) 6 4(0.0893) 5.636 OSC C R f K K K C nF π π = + = + =
  • 134.
    CIRCUITOS ELECTRÓNICOS Ing.Antonio Calderón 134 Oscilador de puente de Wien El oscilador de desplazamiento de fase estudiado es muy sencillo y funciona con facilidad. Sin embargo, su estabilidad en frecuencia es más bien pobre, haciéndolo inviable para aplicaciones de precisión. Se puede sustituir la red de desplazamiento de fase por un circuito conocido como puente de Wien cuya aplicación más conocida es la medición de impedancias. El amplificador operacional se constituye en el bloque A, pero también podría hacerse con TBJ’s. Para la realimentación negativa (bloque B) tenemos:
  • 135.
    CIRCUITOS ELECTRÓNICOS Ing.Antonio Calderón 135 2 2 1 1 2 2 2 2 1 1 2 2 || · || || || : : ? C f C C f C C C r i R X V Vo R X R X V R X B Vo R X R X B B jB = + + = = + + = + = ( ) ( ) ( ) 2 1 2 1 1 2 2 1 2 2 22 2 1 2 1 2 1 1 2 2 1 21 r C R C R C R C R B C C R R C R C R C R ω ω ω + + = − + + + ( ) ( ) ( ) 2 1 2 1 2 1 2 2 22 2 1 2 1 2 1 1 2 2 1 2 1 1 r C R C C R R B C C R R C R C R C R ω ω ω ω − = − + + + 1 2 1 2 1 0 2 i OSCB f C C R Rπ = → = 1 2 1 1 2 2 1 2 1 1 2 2 1 2 1 2 r r C R B C R C R C R C R C R C R A C R ∴ = + + + + = El la práctica lo que se hace es 1 2 1 2 C C C R R R = =⎧ ⎨ = =⎩ Entonces 1 2 · · 1 3 3 OSC r r f C R B A π = ∴ = ∧ = 1 1 3 3 f r f V B B Vo Vo V V = = = = =
  • 136.
    CIRCUITOS ELECTRÓNICOS Ing.Antonio Calderón 136 Para que el puente esté equilibrado 1 2V V= · 3 3 2 Rb Vo Vo Ra Rb Rb Ra Rb Ra Rb = + = + = Con amplificador operacional Un factor a considerar en este caso es que debido a que la corriente de salida (IO) está en unidades de mA vamos a requerir de un valor mínimo de RL. Para evitar inconvenientes el momento de elegir las resistencias observamos que se cumpla: 1 50fR R K+ ≥ Ω Para el diseño: - Comenzamos asumiendo R - Tomamos en cuenta que todas las resistencias sean > 50 KΩ Con TBJ En 2 Etapas Tomamos la consideración que 1 f E R Ra R Rb =⎧ ⎨ =⎩ - La realimentación negativa (–) se conecta a emisor - La realimentación positiva (+) se conecta a base a la entrada 2 2|| ||Rin R C
  • 137.
    CIRCUITOS ELECTRÓNICOS Ing.Antonio Calderón 137 Otra opción que tenemos es hacer que Rin haga de R2 En 1 Etapa - La realimentación negativa (–) se conecta a base. Rin Rb= - La realimentación positiva (+) se conecta a emisor. 2 1ER R= Consideraciones En la práctica resulta que la oscilación crece constantemente en amplitud ya que los amplificadores operacionales no son ideales, sino que alcanzarán la saturación al cabo de unos pocos ciclos. Para solventar este problema se debe reajustar la ganancia, con una resistencia variable con la tensión. Esto es relativamente complejo y se suele recurrir a elementos no lineales, como los diodos.
  • 138.
    CIRCUITOS ELECTRÓNICOS Ing.Antonio Calderón 138 FUENTES REGULADAS (Regulación de Voltaje) t IN VIN VIN mín máx Fuente más sencilla IN Vz Vo V Vz = >
  • 139.
    CIRCUITOS ELECTRÓNICOS Ing.Antonio Calderón 139 ; ; Z L Z ZK Z L Z L Z ZM I I mín I máx I mín I I I I I I máx I mín I máx I = + ≥⎧ = + ⇒ ⎨ = + ≤⎩ Para que el Diodo Zener funcione correctamente. · ( ) ( IN R Z Z IN Z L Z IN Z L V V V I R V V mín I mín I máx R V V máx I máx I mín = + = + = + + − − − − − − ⇒ = + 0 ) · Z IN Z Z R V V máx I máx R V ⎧ ⎪ ⎪ ⎨ +⎪ ⎪ = +⎩ Para señal (para las variaciones) || · || || || Z L Z L Z L Z L r R Vo Vin R r R Vo r R Vin R r R = + = + || Atenuación o Factor de Regulación || Z L Z L Vin R r R a FR Vo r R + = = = → Si Como sucede en la prácticaL Z ZR r y R r>> >> → Z R a FR r = = El Factor de Regulación (FR) indica la calidad de la fuente y su valor depende de la aplicación para la cual se vaya a utilizar. Mientras mayor sea éste, la fuente se vuelve más costosa.
  • 140.
    CIRCUITOS ELECTRÓNICOS Ing.Antonio Calderón 140 Ejercicio 20 1 corresponde al valor máximo 100 80 130 L línea Vo V I A FR V V V = = → ≥ = − El Zener lo elegimos dependiendo de las características solicitadas. Para este caso un Zener de 20 V y que soporte 1 A sin carga. · · 1 ·20 20 va a ser mayor a 20 W Z Z Z L Z Z Z Pd I V I V A V Pd W Pd ≈ ≈ ≈ ≈ → Al azar elegimos un Zener de 40Pd W= y observamos sus características en el respectivo manual. 5 15 ZK ZT ZM Z I mA I I r =⎧ ⎪ ⎪ ≈ ⎨ ⎪ ⎪ = Ω⎩ Debemos caer en cuenta que mientras mayor es la potencia de Zener, mayor es IZK y mayor es rZ. Z R FR r = 15 100 1500 1.5 ZR r FR R R K = × = × = Ω → = Ω Si el valor de la resistencia calculada no resulta un valor estándar elegimos el valor inmediato superior. De esta manera aumentamos el valor del FR.
  • 141.
    CIRCUITOS ELECTRÓNICOS Ing.Antonio Calderón 141 línea ( ) 1.3 5 1.3 6.5 7 Considerando la tolerancia (7 1 )(1.5 ) 20 1530.5 ?! cuando el V es mínimo IN Z L Z Z ZK ZK ZK IN V mín I mín I máx R V I mín I I m m I mA mA A K V mín V = + + ≥⎧ ⎨ × = × = → =⎩ = + + = → 80 1530.5 130 línea INV V V V V x 1530.5 130 2487.063 80 INx V máx V × = = = L 2487 20 1.64 Quitando R 1.5 1.64 (para que no se queme) Z ZM V V I máx A K I − = = → Ω → > 2 73.14 40 ?! (no sirvió el azar) Z Z Z Z ZPd I V I r W W = + = ⇔ Nos tocaría recalcular todo porque el valor elegido no funcionó. El Diodo Zener a utilizarse debe ser de al menos el doble para evitar inconvenientes, es decir, de unos 150W ó 200W. Además, la resistencia a usarse debe ser de una potencia grandísima. Entonces, este diseño presenta deficiencias y es usado para valores de baja bajaL FR I ⎧ ⎨ ⎩ Es decir, para cuando no se necesita Vo extremadamente fijo. Fuente con Transistor El transistor Q1 es el elemento de control en serie, y el diodo Zener proporciona el voltaje de referencia. Esta operación de regulación puede describirse de la forma siguiente: 1. Si el voltaje de salida disminuye, un mayor voltaje base-emisor ocasionará que el transistor Q1 conduzca más, con lo que se eleva el voltaje de salida y se mantiene la salida constante.
  • 142.
    CIRCUITOS ELECTRÓNICOS Ing.Antonio Calderón 142 2. Si el voltaje de salida incrementa, un menor voltaje base-emisor ocasionará que el transistor Q1 conduzca menos, de esta forma se reduce el voltaje de salida y se mantiene la salida constante. Al variar RL varía IZ 1 debiendo ser para que Z B L B Z B Z Z ZT I I I I I I I I cte I I β = +⎧ ⎪ ⎪ =⎪ +⎨ ⎪ >> → = ⎪ ≈⎪⎩ · Z JBE IN R Z Z V Vo V V V V I R V = +⎧ ⎨ = + = +⎩ 3 para que esté en la región activa IN CE V Vo V V >⎧ ⎨ ≥ →⎩ Para señal (para las variaciones) ( 1)( )L e LR r Rβ′ = + + || · || || || Z L Z L Z L Z L r R Vo Vin R r R Vo r R Vin R r R ′ = ′+ ′ = ′+ || || Z L Z L Vin R r R a FR Vo r R ′+ = = = ′
  • 143.
    CIRCUITOS ELECTRÓNICOS Ing.Antonio Calderón 143 Si más exacto que antesL Z ZZ RR r a FR rR r ⎫′ >> ⎪ → = = →⎬ >> ⎪⎭ Ejercicio 20 1 100 80 130 L línea Vo V I A FR V V V = = ≥ = − 20 0.6 20.6 Z JBE Z V Vo V V V = + = + = Buscando las características del Zener en el respectivo manual 10 1 10 Z ZK ZT r I mA I mA = Ω⎧ ⎪ ≈ =⎨ ⎪ =⎩ El transistor: 50 disminuye su valor al aumentar la potenciaβ = → 10 100 1 Z Z R FR r R r FR R K = = × = × = Ω En el transistor · 3 1 3 6 como sabemos que es mayor 10 P V I V A W W P W = = × = → → ⇒ = 1 20 50 L B I A I mA β = = =
  • 144.
    CIRCUITOS ELECTRÓNICOS Ing.Antonio Calderón 144 Fuente con Transistores en configuración Darlington Al haber llegado a un valor de corriente que no cumple los requerimientos, usamos Darlington QD, para bajar IB. Tenemos que 1 1 1 1 1 CE C CE L Q Pd V I V I ⇒ = × = × ( ) 2 2 2 2 1 1 1 1 1 1 1 1 2 1 1 2 · · 5010 ya protegido depende de la potencia 10050 CE C C CE JBE C CE Q Pd V I I V V I V Pd Pd β β β β β ⇒ = × = − ≈ ≈ =⎧ = → → ⇒⎨ =⎩ Con Darlington 20 1.2 21.2 Z JBED Z V Vo V V V = + = + = 1 50 100 0.2 L B D B I A I I mA β = = × = 10 Z B Z Z ZT I I I mA I I >> ⎫ =⎬ ≈ ⎭
  • 145.
    CIRCUITOS ELECTRÓNICOS Ing.Antonio Calderón 145 10 0.2 10.2 Z BI I I m m I mA = + = + = · (10.2 )(1 ) 21.2 31.4 IN Z IN V I R V m K V V = + = + = Ya teniendo el VIN tenemos varias alternativas que podemos elegir para el diseño. 1. Considerar que IN INV V mín= 31.4 10.2IN INV V mín V I mA= = → = 80 31.4 31.4 130 130 51.025 80 IN V V V x V máx V → × → = = = La corriente va a cambiar 51.025 21.2 29.825 1 IN ZV máx V I mA R K − − = = = 29.825Z ZM Z I máx I mA I I máx ∴ = = > 2 2 (29.825 )(21.2) (29.825 ) (10) 641.185 Z Z Z Z Z Z Pd I V I r m m Pd mW = + = + = Esta alternativa necesariamente va a funcionar, pero la potencia del Zener a usarse va a ser mayor. 2. Considerar 2 IN IN IN IN promedio V máx V mín V V − = =
  • 146.
    CIRCUITOS ELECTRÓNICOS Ing.Antonio Calderón 146 31.4 10.2 2 IN IN IN IN promedio V máx V mín V V V I mA − = = = → = 130 80 105 2 promedioVlínea V + = = 105 31.4 31.4 80 80 23.924 105 IN V V V x V mín V → × → = = = 23.92 2.72IN Z IN V mín V V mín V I mA R − = → = = Si sacamos de la fuente 1 A (máxima corriente requerida), esto se llama ‘a plena carga’. 2.72 0.2 2.52Z BI mín I I m m m∴ = − = − = 105 31.4 31.4 130 130 105 IN V V V x V máx → × → = = 38.88 17.68IN Z IN V máx V V máx V I mA R − = → = = 17.68 se verifica que se cumpla con la condición deZ ZMI máx I mA I∴ = = → 377.94ZPd mW= Esta alternativa exige que la potencia del Zener sea de menor valor, pero podría suceder que Z ZKI mín I< , con lo cual sería descartada esta opción.
  • 147.
    CIRCUITOS ELECTRÓNICOS Ing.Antonio Calderón 147 Fuente con Realimentación 3 3 3 3 3 3 3 2 3 1 2 3 para que el voltaje se mantenga cte ; C B C Z L C B B D C Z ZT C B B B I I I I I I I I I I I I I I I I I I I β β = +⎧ ⎪ = ⎪ ⎪ >> → =⎪ ⎪ ⎪ = ≈⎪ ⎨ ⎪ ⎪ =⎪ ⎪ ⎪ >> ⎪ = +⎪⎩ 1 1 1 hay que verificar que se cumpla 100 para que el bloque B no cargue al boque A (corriente de fuga) L L CO I I I I I I ⎧ ⎛ ⎞ <<< → ≈⎜ ⎟⎪ ⎝ ⎠⎪⎪ →⎨ ⎪ >> ⎪ ⎪⎩ 3 3 3 para que siempre esté trabajando en la región activa Z JBED CE CE V Vo V V V V = + −⎧ ⎨ ≥ →⎩ 3 3 voltaje de entrada AL MENOS 3V más que el voltaje de salida IN Z CE R CED V V V V V V = + +⎧ ⎪ ≥ →⎨ ⎪ ⎩ En este circuito no se necesita una resistencia de descarga para la configuración Darlington. Para señal (realimentación negativa) 1 A G AB = +
  • 148.
    CIRCUITOS ELECTRÓNICOS Ing.Antonio Calderón 148 1 2 3 3 1 ( , ) DA Q A B R R y Q A ⇒ → ∴ = ⇒ ↓ 2 3 1 1 2 3 || · || T f T R Rin V Vo R R Rin = + 2 3 1 2 3 3 1 2 3 2 2 3 3 1 2 3 · || · · || || · || f f T T f T T DT V A V R Rin A Vo R R Rin V R Rin B A Vo R R Rin = = + = = + 1442443 3·B A DT= 3 3 || ( ) debido que que B no carga a A D e Z D D eD L R Rin A r r Rin r Rβ = + = + → 1 menor que 1 para no amplificar señales 1 1 B lo más gande posible 1 G B G B B = → + = → >> 1Vin B a FR Vo G = = = = 3 3 1 (siempre) · lo más alto posible DT B A DT A <⎧ = → ⎨ >>>⎩
  • 149.
    CIRCUITOS ELECTRÓNICOS Ing.Antonio Calderón 149 Ejercicio 20 1 100 L Vo V I A FR = = ≥ ----------------- 1 2 3 50 ( ) 100 de potenciaβ β β = = = ----------------- 1 10 10 ZK ZT Z I mA I mA r = = = Ω 1 0.2 50 100 L B D I I mA β = = = × 3 3 3 10 C B C Z C Z ZT I I I I mA I I I >> ⎫ = =⎬ = ≈ ⎭ 3 10 0.2 10.2C BI I I m m mA= + = + = 3 3 3 10 0.1 100 C B I m I mA β = = = 2 3 2 1 BI I I mA >> = Comprobando que se cumplan las condiciones ( ) 1 2 3 1 1 0.1 1.1 o B CO I I I m m I mA I A nAμ = + = + = → 3 CE3 20 1.2 3 18.2 elegimos Zener de MENOR valor estándar (aumenta V ) 18 Z JBED CE Z Z V Vo V V V V V V = + − = + − = → =
  • 150.
    CIRCUITOS ELECTRÓNICOS Ing.Antonio Calderón 150 3 3 3 18 0.6 18.6 B Z VBE B V V V V V = + = + = 3 2 2 2 18.6 18.6 18 1 BV R K R K I m = = = → = Ω 3 1 1 1 20 18.6 1.27 1.2 1.1 BVo V R K R K I m − − = = = → = Ω 3 2 3 1 2 3 · || || T T FR A DT R Rin DT R R Rin = = + 3 3 3 3 ( 1)( ) 25 101( 10 ) 10 1.263 T e Z T Rin r r mV mA Rin K β= + + = + Ω = Ω Reemplazando los valores 0.5DT = 3 3 3 100 200 0.5 || 200D e Z FR A DT R Rin A r r = = = = = + 20 20 20 1 L L L Vo R R I = = = Ω → > Ω ( ) 50 (50 100) 20 1 100.25 D D eD L D Rin r R m Rin K β= + ⎛ ⎞ = × +⎜ ⎟ ⎝ ⎠ = Ω 3 2.7 2.56 elegimos el MAYOR para obtener un mayor A 2.2 2.7 K R K K R K = → = Ω
  • 151.
    CIRCUITOS ELECTRÓNICOS Ing.Antonio Calderón 151 3 18 3.2 10.2 2.7 48.74 IN Z CE R IN V V V V m K V V = + + = + + × = Habiendo obtenido en valor de VIN tenemos las mismas alternativas que se expusieron anteriormente: - Considerar VINmín - Considerar VINpromedio Teniendo previamente en cuenta que este diseño exige transistores más costosos. Debido a que la ganancia es muy alta el circuito puede oscilar y por este motivo para evitar oscilaciones se coloca un capacitor adicional que sea cortocircuito a la frecuencia de oscilación. Este capacitor puede tener un valor entre 0.1μF y 0.47μF. Fuente con Realimentación y Fuente de Corriente Para subir la calidad de la fuente anterior (aumentar FR) la única opción que tenemos es subir el valor de R, pero esto provoca que: - El voltaje de entrada VIN aumente - VCE aumente - El transistor de salida Q1 aumente su potencia (más costoso) Una opción que se presenta es poner una fuente de corriente en vez de R, consiguiendo que: 3 3 máximo valor de ganancia y máximo FRD e Z Rin R A r r = ∞ → = → +
  • 152.
    CIRCUITOS ELECTRÓNICOS Ing.Antonio Calderón 152 Reemplazando 3 3 3 · D e Z FR A DT Rin A r r = = + Con los valores con los cuales hemos venido trabajando tenemos: 3 100.25 8020 4010 2.5 10 K A FR= = → = + Implementando la fuente de corriente Hacemos que a pesar que varíe el Voltaje de Entrada, I = cte. 1 3 4 , ·IN Z CE CE RE RE EV V V V V V I R= + + + =
  • 153.
    CIRCUITOS ELECTRÓNICOS Ing.Antonio Calderón 153 3 4 3 para que estén en la región activa 3 CE CE V V V V ≥ ≥ 2 4 2.2 0.6 1.6 RE Z JBEV V V V = − = − = 2ZV conviene que sea lo más bajo posible y en la actualidad el menor valor que se puede conseguir es 2.2 V. 18 3.2 3 1.6 25.8INV V= + + + = Nos damos cuenta que bajamos el VCE1 y de esta manera disminuye la potencia, y por consiguiente el costo. 2 4 2.2 0.6 156.863 10.2 RE Z JBE E V V V R I I m − − = = = = Ω 4 4 10.2 102 100 B I m I Aμ β = = = 2 4 2 (según el manual)Z B Z ZTI I I I>> ∧ ≈ 3 2 4 2 3 3 Z B IN Z I I I V V R I = + − = Así acaba el diseño de la fuente de corriente.
  • 154.
    CIRCUITOS ELECTRÓNICOS Ing.Antonio Calderón 154 CIRCUITOS DE PROTECCIÓN Protección con Diodos Con los diodos hemos hecho una fuente de corriente. Cuando el voltaje sobre la resistencia Rs < 0.6 V es como si los diodos no existieran, pero cuando por Rs pase una corriente mayor a la deseada hacemos que 0.6 V caigan en ella y los diodos comienzan a funcionar. Para esta protección se usan tantos diodos como junturas más uno se tengan. D S L V R I máx = con esta protección incluso podríamos hacer cortocircuito Tenemos que considerar que la potencia del transistor de salida Q1 va a aumentar y se puede calentar demasiado e incluso quemarse, por lo que es necesario usar un disipador de calor. Protección con Diodos Zener Otra opción que tenemos es usar un Zener en vez de los diodos, en este caso:
  • 155.
    CIRCUITOS ELECTRÓNICOS Ing.Antonio Calderón 155 Z JBED S L V V R I máx − = La resistencia Rs no es buena para la fuente y desde el punto de vista ideal tendría que ser Rs = 0, pero en la práctica se toma el valor más bajo posible. Teniendo ambas alternativas (Diodos y Zener) analizamos cuál nos entrega un valor de Rs más bajo y esa se convierte en la mejor opción. Protección con transistor (limitador de corriente) La limitación de corriente reduce el voltaje a través de la carga cuando la corriente se vuelve mayor al valor límite.
  • 156.
    CIRCUITOS ELECTRÓNICOS Ing.Antonio Calderón 156 Lo que se hace en este caso es que el transistor Qs se sature, es decir que entre base y emisor caiga un voltaje mayor a 0.6 V. Esto lo conseguimos haciendo que sobre la resistencia Rs caigan 0.8 V al pasar una corriente superior a la máxima deseada. De esta forma, al detectarse una corriente mayor a la deseada, los transistores de salida se prenden y se apagan continuamente. Debido a esta situación los transistores de salida (Q1 y Q2) se van a calentar menos y van a ser de una potencia menor. 0.8JBEsat S L L V V R I máx I máx = = Si aumentamos la resistencia Rb damos protección al transistor Qs. El exceso de voltaje sobre la resistencia Rs va a caer sobre Rb. El valor de la resistencia Rb va a estar entre 100 Ω y 1 KΩ y se la selecciona empíricamente hasta que el voltaje sobre Rs sea bajo. Protección con SCR El rectificador controlado de silicio (SCR: Silicon Controlled Rectifier) es un tipo de tiristor formado por cuatro capas de material semiconductor con estructura PNPN o bien NPNP. Un SCR posee tres conexiones: ánodo, cátodo y puerta. La puerta es la encargada de controlar el paso de corriente entre el ánodo y el cátodo. Funciona básicamente como un diodo rectificador controlado, permitiendo circular la corriente en un solo sentido. Mientras no se
  • 157.
    CIRCUITOS ELECTRÓNICOS Ing.Antonio Calderón 157 aplique ninguna tensión en la puerta del SCR no se inicia la conducción y en el instante en que se aplique dicha tensión, el tiristor comienza a conducir. Una vez arrancado, podemos anular la tensión de puerta y el tiristor continuará conduciendo hasta que la corriente de carga disminuya por debajo de la corriente de mantenimiento. Trabajando en corriente alterna el SCR se desexcita en cada alternancia o semiciclo. Cuando se produce una variación brusca de tensión entre ánodo y cátodo de un tiristor, éste puede dispararse y entrar en conducción aún sin corriente de puerta. Por ello se da como característica la tasa máxima de subida de tensión que permite mantener bloqueado el SCR. Este efecto se produce debido al condensador parásito existente entre la puerta y el ánodo. Los SCR se utilizan en aplicaciones de electrónica de potencia y de control. Podríamos decir que un SCR funciona como un interruptor electrónico. Características de la compuerta de los SCR Un SCR es disparado por un pulso corto de corriente aplicado a la compuerta. Esta corriente de compuerta (IG) fluye por la unión entre la compuerta y el cátodo, y sale del SCR por la terminal del cátodo. La cantidad de corriente de compuerta necesaria para disparar un SCR en particular se simboliza por IGT. Para dispararse, la mayoría de los SCR requieren una corriente de compuerta entre 0.1 y 50 mA (IGT = 0.1 - 50 mA). Dado que hay una unión pn estándar entre la compuerta y el cátodo, el voltaje entre estas terminales (VGK) debe ser ligeramente mayor a 0.6 V. En la figura 4 se muestran las condiciones que deben existir en la compuerta para que un SCR se dispare. Voltaje de compuerta a cátodo (VGK) y corriente de compuerta (IG) necesarios para disparar un SCR. Una vez que un SCR ha sido disparado, no es necesario continuar el flujo de corriente de compuerta. Mientras la corriente continúe fluyendo a través de las terminales principales, de ánodo a cátodo, el SCR permanecerá en ON. Cuando la corriente de ánodo a cátodo (IAK) caiga por debajo de un valor mínimo, llamado corriente de retención, simbolizada IHO el SCR se apagara. Esto normalmente ocurre cuando la fuente de voltaje de ca pasa por cero a su región negativa. Para la mayoría de los SCR de tamaño mediano, la IHO es alrededor de 10 mA. Esta protección se constituye en la mejor de todas y se puede aplicar tanto a la fuente con resistencia o cuando dicha resistencia ha sido reemplazada por una fuente de corriente.
  • 158.
    CIRCUITOS ELECTRÓNICOS Ing.Antonio Calderón 158 Se usa un pulsante que normalmente esté cerrado para que de esta forma al pulsarlo el SCR deje de conducir. 1AKV V→ = El SCR se dispara al haber un cortocircuito o una sobrecarga (sacar de la fuente una corriente mayor a la fijada, es decir, poner una resistencia de menor valor al límite establecido). Al estar el SCR disparado: - NO funciona el Darlington (no consumen potencia lo transistores de salida). - NO existe Vo. - NO existe IL. 0.8GKdisparo S L L V V R I máx I máx = ≈ La resistencia Rg se coloca para que sobre ella caiga el exceso de voltaje y de esta forma proteger al SCR. El valor de Rg va a estar entre 100 Ω y 1 KΩ. Debido a los transitorios de alta frecuencia que ocurren en el transformador y que pueden activar el SCR, se coloca el capacitor C en paralelo con Rs para de esta forma eliminarlos.
  • 159.
    CIRCUITOS ELECTRÓNICOS Ing.Antonio Calderón 159 Fuente regulada con voltaje de salida variable El VB = cte, sin importar la posición del potenciómetro. 2 2 3 2 3 1 2 3 3 1 3 2 2 2 3 1 1 1 ( hacer cumplir )B B B B Z JBE B Vo Vomín I mín I I I I I I I V V V P R I I Vomín V R I → = → >> >> = + + + = = − = 3 2 2 2 2 1 2 3 3 1 1 3 1 1 2 ; ( que teníamos antes)B B B B Vo Vomáx V I I I R I I I Vomáx V R P I Vomín V R I → = ′ ′= > ′′ = + + + = ′ − = Necesitamos emplear sistemas de ecuaciones para encontrar nuestras incógnitas.
  • 160.
    CIRCUITOS ELECTRÓNICOS Ing.Antonio Calderón 160 Para la elección del Diodo Zener consideramos el caso del VOmín. 1 3Z JBED CEV Vomín V V= + − Si quisiéramos que esta fuente varíe desde 0V hasta 20V, la tierra debe reemplazarse por un valor de voltaje negativo (–).
  • 161.
    CIRCUITOS ELECTRÓNICOS Ing.Antonio Calderón 161 AMPLIFICADORES DE POTENCIA Las etapas de salida, también denominadas etapas de potencia, son configuraciones especiales localizadas a la salida de un amplificador utilizadas para proporcionar cierta cantidad de potencia a una carga con aceptables niveles de distorsión. Además, una etapa de salida debe ser independiente del propio valor de la carga, tener reducido consumo estático de potencia y no limitar la respuesta en frecuencia del amplificador completo. Las etapas de salida son diseñadas para trabajar con niveles de tensión y corriente elevados. Las aproximaciones y modelos de pequeña señal no son aplicables o deben ser utilizados con mucho cuidado. Sin embargo, la linealidad de una etapa es una medida que proporciona la calidad del diseño, muchas veces caracterizada a través de la distorsión armónica total (total harmonic distortion o THD). Este parámetro es un valor eficaz o rms de las componentes armónicas de la señal de salida, sin incluir la fundamental de la entrada, expresada a través del porcentaje en términos de rms respecto a la fundamental. Los equipos de sonido de alta fidelidad tienen un THD inferior a 0.1%. Otro parámetro importante de una etapa de potencia es su eficiencia, que indica el porcentaje de potencia entregada a la carga respecto de la potencia total disipada por la etapa. Un valor alto de eficiencia se traduce en una mayor duración del tiempo de vida de las baterÌas o en el uso de fuentes de alimentación de bajo coste, además de minimizar los problemas de disipación de potencia y coste del propio transistor de potencia. Es por ello, que las etapas de salida utilizan transistores de potencia (> 1W) y el uso de aletas refrigeradoras resulta en algunos casos imprescindible. Las etapas de salida tradicionalmente son clasificadas de acuerdo a la forma de onda de la corriente de colector del transistor de salida en clase A, clase B, clase AB y clase C. En la etapa clase A, el transistor es polarizado con un corriente en continua de valor ICQ mayor que la corriente de alterna de amplitud IC de forma que el periodo de conducción es de 360º. En contraste, en la clase B la polarización DC es nula y sólo conduce en un semiperiodo de la señal de entrada (180º). La etapa clase AB, intermedio entre la A y la B, el transistor conduce un ángulo ligeramente superior a 180º y mucho menor que 360º. En la etapa clase C conduce ángulos inferiores a 180º y son empleadas usualmente en radiofrecuencia como por ejemplo teléfonos móviles y transmisores de radio y TV. Clasificación de los Amplificadores - Clase A - Clase AB - Clase B - Case C
  • 162.
    CIRCUITOS ELECTRÓNICOS Ing.Antonio Calderón 162 Clasificación de las etapas de salida: a) clase A, b) clase B, c) Clase AB y d) Clase C. Clase A Un amplificador clase A se polariza de tal modo que conduce corriente de manera continua. La polarización se ajusta para que la entrada haga variar la corriente del colector (o de drenaje) en una región lineal de la característica del transistor. En consecuencia, su salida es una reproducción lineal amplificada de la entrada. Son amplificadores de potencia ineficaces que se usan como amplificadores de voltaje de señales pequeñas o para amplificadores de baja potencia. Su desventaja es que aún con señal nula disipa una cantidad considerable de potencia. El funcionamiento en clase A se lleva a cabo, íntegramente, dentro de la región activa, comprendida entre el corte y la saturación del dispositivo, sin llegar a salirse de ella en ningún momento. El punto de trabajo de reposo se fija en el punto medio entre los puntos de corte y saturación de la recta de carga.
  • 163.
    CIRCUITOS ELECTRÓNICOS Ing.Antonio Calderón 163 Se caracteriza por presentar una corriente continua media de colector constante y suficientemente grande como para mantenerse en todo momento dentro de la región activa. El dispositivo activo se comporta como una fuente de corriente. El empleo de circuitos sintonizados o filtros de paso bajo en los colectores de este tipo de amplificadores (al igual que en los de clase B) no es inherente a su modo de operar y, cuando se ponen es por asegurar una supresión adecuada de armónicos en la salida o por razones de adaptación. De cualquier manera la escasa importancia de los armónicos en las cuestiones de potencia hace que se consideren inexistentes en el cálculo de ésta y que se traten sólo en el estudio específico de distorsiones. En teoría, la clase A puede alcanzar un rendimiento de hasta el 50%, pero, dado que no se puede apurar al máximo, queda alrededor del 25%, o, incluso, puede bajar hasta el 15%, según la exigencia de linealidad. En el caso teórico de 50% de rendimiento, la eficacia instantánea es proporcional a la potencia de salida y la eficacia media es inversamente proporcional a la relación de potencia de pico a potencia media. En cambio, la ganancia es uno de los puntos fuertes de los transistores trabajando en clase A. Suele ser 3 a 6 dB mayor que operando en clase B, y mucho mayor que en clase C. No existe una línea de separación definida entre los amplificadores de potencia de clase A y los amplificadores de señal débil, es decir, es prácticamente lo que se ha venido haciendo, pero la metodología de diseño es diferente. Características - Ángulo de conducción: 360º - Baja distorsión - Bajo rendimiento (se desperdicia mucha potencia) Clase AB Un amplificador clase AB se polariza cerca del corte con cierto flujo de corriente continuo del colector. También se usa en amplificadores push-pull y proporciona una linealidad mejor que
  • 164.
    CIRCUITOS ELECTRÓNICOS Ing.Antonio Calderón 164 un amplificador clase B, pero con menos eficiencia. Esta configuración es una variante de la etapa de tipo B en la que se sacrifica la disipación de una pequeña cantidad de potencia cuando opera sin señal, a cambio de evitar la zona muerta de respuesta. Esta clase sigue requiriendo de una conexión en contrafase, para obtener un ciclo completo de salida, sin embargo, el nivel de polarización de DC es, por lo general, más cercano al nivel de corriente de base cero, para una mejor eficiencia de potencia. En los amplificadores de clase A, la distorsión no lineal disminuye monótonamente con la potencia de salida. Sin embargo, la cosa cambia cuando de clase B se trata. Su comportamiento irregular obedece a la existencia del mencionado crossover. Precisamente, si se quiere paliar este problema en la zona de “relevo” se recurre a que cada transistor “saliente” acompañase al “entrante” durante algunos grados. Lo que da origen a la clase AB, que mejora notablemente la distorsión, aunque afectando, ligeramente, al rendimiento. La operación en clase AB tiene, pues, su origen en perfeccionamiento de circuitos amplificadores en contrafase. Esta configuración proporciona, al igual que la clase A una señal de salida altamente lineal con respecto a la señal de entrada, pues, aunque cada transistor sólo conduce durante medio ciclo, ambos transistores “se ceden el relevo”, en el paso por cero, de modo que en su conjunto se comportan de manera lineal, especialmente si ambos transistores son idénticos. En cuanto a la ganancia de potencia, los amplificadores del tipo AB son algo intermedio entre los de tipo A y los de B. El razonamiento con respecto al valor de la transconductancia efectiva es el mismo que se hizo en el caso de clase B. En frecuencias elevadas puede obtenerse, mediante estructura en push-pull, un satisfactorio funcionamiento en banda ancha. Lamentablemente no pueden utilizarse topologías complementarias a esas frecuencias (HF; VHF), dado el deficiente comportamiento a tales frecuencias de los transistores PNP. Los montajes complementarios se circunscriben al audio y las frecuencias de radio bajas y medias. Características - Ángulo de conducción entre 180º y 360º - Presenta distorsión (mayor que en el clase A) - Mayor rendimiento que el clase A - Para tener una señal de salida se 360º se necesita de un montaje en contrafase. Las configuraciones más utilizadas para polarizar los transistores de salida son: con diodos y con un multiplicador VBE.
  • 165.
    CIRCUITOS ELECTRÓNICOS Ing.Antonio Calderón 165 Clase AB con polarización por diodos En ausencia de señal, vi = 0, la caída de tensión en el diodo D1 hace que el transistor Q1 esté en la región lineal con una corriente de colector baja y lo mismo sucede a Q2 con el diodo D2; es decir, ambos transistores conducen. Cuando se aplica una tensión a la entrada uno de los transistores estará en la región lineal y el otro cortado, funcionando de una manera similar a la etapa clase B pero con la ausencia de distorsión de cruce. En este caso la potencia promedio suministrada por una fuente de alimentación es · ·CC CC Q CC L V Vo P I V Rπ = + En general, el segundo término es despreciable frente al primero. La polarización con diodos presenta una importante ventaja al proporcionar estabilización de la polarización con la temperatura. Al aumentar la temperatura, el VBE de los transistores disminuye pero a su vez la caída de tensión de los diodos también lo que permite mantener constante la corriente de polarización de los transistores de salida. Clase AB con polarización por multiplicador VBE
  • 166.
    CIRCUITOS ELECTRÓNICOS Ing.Antonio Calderón 166 Otro procedimiento para obtener la diferencia de tensión 2VBE entre la base de los transistores necesaria para eliminar la distorsión de cruce es utilizar lo que se denomina un multiplicador de VBE. Este circuito consiste en un transistor (Q3) con dos resistencias (R1 y R2) conectadas entre su colector y emisor con la base. Si se desprecia la corriente de base (para ello R1 y R2 deben ser de unos pocos KΩ) entonces la corriente que circula por R1 es 3 1 BEV R y la tensión entre el colector y emisor de ese transistor es 3 2 3 1 2 3 1 1 ( ) 1BE CE BE V R V R R V R R ⎛ ⎞ = + = +⎜ ⎟ ⎝ ⎠ es decir, la tensión VCE3 se obtiene multiplicando la VBE3 por un factor 1 2 1 R R ⎛ ⎞ +⎜ ⎟ ⎝ ⎠ . Clase B La mayor desventaja de la anterior etapa de salida es el consumo estático de potencia incluso en ausencia de señal de entrada. En muchas aplicaciones prácticas existen largos tiempos muertos (standby) a la espera de señal de entrada o con señales intermitentes como es el caso de voz humana. Etapas de salida que desperdician potencia en períodos standby tienen efectos perniciosos importantes. En primer lugar, se reducen drásticamente el tiempo de duración de las baterías de los equipos electrónicos. En segundo lugar, ese consumo de potencia continuado provoca un incremento de temperatura en los dispositivos que limitan su tiempo medio de vida dando lugar a una mayor probabilidad de fallar con el tiempo el sistema electrónico. Un amplificador clase B se polariza en corte de modo que cuando en el colector la entrada es cero no fluye corriente. El transistor sólo conduce la mitad de la entrada de onda senoidal. En otras palabras, conduce en 180° de una entrada de onda senoidal. Esto significa que sólo se amplifica la mitad de la onda senoidal. Por lo común, en una configuración push-pull se conectan dos amplificadores clase B de modo que la alternación positiva y la negativa se amplifican en forma simultánea. En estas etapas no se produce disipación de potencia cuando la señal es nula. Puesto que la corriente de colector es proporcional a la amplitud de la señal de entrada, la clase B proporciona amplificación sensiblemente lineal, mientras esté conduciendo el
  • 167.
    CIRCUITOS ELECTRÓNICOS Ing.Antonio Calderón 167 transistor. Ésta componente lineal siempre está presente a la salida, y será aprovechable como señal amplificada, aunque el hecho de que se produzca una interrupción de la señal durante el medio ciclo negativo provoca la aparición de fuertes componentes armónicos (en especial pares). Si estos armónicos están fuera de la banda de utilidad, pueden eliminarse por filtrado y el amplificador cumple perfectamente su cometido. En otros casos, en cambio, pueden hacer el sistema inservible. La etapa de salida clase B tiene consumo estático de potencia en modo standby prácticamente cero. Utiliza dos transistores, uno NPN y otro PNP, en contrafase que conducen alternativamente en función de si la señal de entrada es positiva o negativa. De ahí, el nombre de push-pull. Otra ventaja adicional es su mejor eficiencia que puede alcanzar un valor máximo próximo al 78% muy superior al 25% de la etapa de salida clase A. Características - Ángulo de conducción: 180º - Presenta mayor distorsión que el clase AB - Mayor rendimiento que el clase AB - Si se necesita que la señal de salida sea de 360º se requiere un montaje en contrafase. Clase C Se encuentra polarizado en una zona de respuesta no lineal, de forma que los dispositivos activos sólo conducen en una fracción reducida del periodo de la señal, es decir, menos de 180° del ciclo. De esta forma se consiguen rendimientos máximos, aunque se necesitan elementos reactivos que acumulen la energía durante la conducción y la liberen en el resto del ciclo en el que el dispositivo no conduce, es decir, operará solamente con un circuito de sintonización (resonante), el cual proporciona un ciclo completo de operación para la frecuencia sintonizada o resonante.. Esta clase de operación es, por tanto, utilizada en áreas especiales de circuitos de sintonización, tales como radio o comunicaciones (amplificación de señales de banda muy estrecha).
  • 168.
    CIRCUITOS ELECTRÓNICOS Ing.Antonio Calderón 168 Esta modalidad tiene su auténtica razón de ser, y su origen, en la amplificación de muy alta potencia con válvulas termoiónicas. El punto de trabajo ha de conseguirse polarizando inversamente la entrada del dispositivo activo. En clase C el dispositivo activo es llevado, deliberadamente, a un funcionamiento absolutamente no lineal. La eficacia puede llevarse, teóricamente, a las proximidades del 100%, en la medida que el ángulo de conducción se aproxima a cero. Desgraciadamente esto conlleva que la ganancia vaya disminuyendo de manera que la potencia de excitación necesaria tiende a infinito. Un buen compromiso es un ángulo de conducción de 150º, que resulta en una eficacia de 85%. Se puede decir que casi funciona como un conmutador, para reducir las pérdidas por resistencia. El dispositivo conduce durante un ángulo muy pequeño y el circuito sintonizado del colector se encarga de “reconstruir” (en realidad, “seleccionar”) la señal fundamental a partir de la señal periódica impulsiva que le entrega el amplificador. El filtro de salida de un verdadero clase C es un circuito resonante paralelo que deriva a tierra los componentes armónicos de la señal pulsante, que, de este modo, no generan tensiones correspondientes a los citados armónicos. Cuando se lleva el amplificador a saturación, la eficacia se estabiliza y la tensión de salida está determinada por la tensión de alimentación, lo que permite la modulación lineal de amplitud a alto nivel (haciendo que la tensión se alimentación sea la señal moduladora). Una dificultad añadida para el verdadero funcionamiento en clase C con semiconductores es que se requiere una muy baja impedancia de salida y esto crea serios problemas para adaptar circuitos resonantes paralelos a estas salidas. La clase C, a diferencia de la B unilateral, no sólo genera importantes armónicos, como aquella, sino que su respuesta es esencialmente no lineal, incluso para el fundamental. Polarización en clase C La clase C clásica es excelente en tubos de vacío pero resulta impracticable en amplificadores de estado sólido, en particular con transistores bipolares. En efecto, esta clase no suele ser
  • 169.
    CIRCUITOS ELECTRÓNICOS Ing.Antonio Calderón 169 muy recomendable porque acorta su vida. La operación en C exige polarizar negativamente la base con respecto al emisor y la tensión de ruptura inversa base-emisor. Solamente puede hacerse una excepción. En tal caso puede recurrirse a un procedimiento de autopolarización para conseguir la adecuada tensión continua inversa de polarización en la base. El sistema se basa en la autopolarización que produce la rectificación de la propia señal de entrada al circular por el diodo que constituye la unión base-emisor del transistor de potencia. Características - Ángulo de conducción menor a 180º - Presenta mayor distorsión que el clase B - Mayor rendimiento que el clase B - No es posible utilizar montaje en contrafase En la práctica se utiliza el Clase B. En este tipo de amplificadores es muy importante tomar en cuenta: CE C Pdmáx V máx I máx ⎧ ⎪ ⎨ ⎪ ⎩ ya que puede quemarse por cualquiera de ellos o en conjunto Existe una familia de curvas de disipación de potencia
  • 170.
    CIRCUITOS ELECTRÓNICOS Ing.Antonio Calderón 170 Metodología de diseño 2 2 · CEM CET CM CT CET CT CEM ac CM V V I I Pd V I V R I = = = = Rac es la carga que pide el transistor y se obtiene del inverso de la pendiente de carga. Potencias Nos va a permitir elegir la curva adecuada Clase A 2Pd Po= Clase B 2 Po Pd = Amplificador Clase A
  • 171.
    CIRCUITOS ELECTRÓNICOS Ing.Antonio Calderón 171 No se pone capacitor con RL porque se desperdicia potencia. No se usa en la práctica. Para 10 W de potencia de salida hay que elegir la curva de 20 W, y es mejor escoger una superior para evitar posibles recortes. En este caso las rectas de carga dinámica y estática son las mismas. El pto. Q es el eje de la recta de carga dinámica. 2 · 1 · Potencia eficaz 2 · · CC CC CQ pr r CET CT CEQ CQ P V I Vo Po Rac Pd V I V I = ⎛ ⎞ = →⎜ ⎟ ⎝ ⎠ = = 100 [%] rendimiento CC Po R P = × →
  • 172.
    CIRCUITOS ELECTRÓNICOS Ing.Antonio Calderón 172 2 1 2 ;CEM L CM V n Rac n R n I n = = = Donde n1 es el número de vueltas del primario y n2 es el número de vueltas del secundario. 2 · · ; 2pi r i i pr Vo Pd Pd Pd Po Vo η ⎛ ⎞ = =⎜ ⎟⎜ ⎟ ⎝ ⎠ Ahora con transformador Se pone η para compensar las pérdidas en el transformador.
  • 173.
    CIRCUITOS ELECTRÓNICOS Ing.Antonio Calderón 173 1 caso ideal 1.1 10% pérdidas en el transformador 1.2 20% pérdidas en el transformador η →⎧ ⎪ →⎪ = ⎨ →⎪ ⎪⎩M Para el diseño - Se deben tener todos los datos. - Asumir CCV - Asumir EV y lo que queda es CEMV - 2 CEM CET V V = y también obtenemos piVo - De la fórmula ; pr CET pr act pi pr Vo V Vo V Vin Vin A = + + = Obtengo prVo - Calculo CTI de la potencia y, además, tengo 2CM CTI I= - Calculo acR Amplificador Clase B con salida con simetría complementaria
  • 174.
    CIRCUITOS ELECTRÓNICOS Ing.Antonio Calderón 174 Montaje en contrafase Elementos R1 sirve para limitación de corriente de salida (funciona como Rs de las protecciones). R2 sirve para descarga de la juntura base-emisor de Q1. Diodos para mantener a los transistores de salida en clase B y se utiliza uno por juntura. C debe ser cortocircuito para señal. De esta manera el voltaje de salida de Q3 estará presente en los ptos. 1 y 2. P1 sirve para disminuir o eliminar la distorsión de cruce. P2 para calibrar el pto. 3 a 2 CCV para que exista simetría en la señal de salida. Distorsión de cruce Se produce debido a que cada transistor conduce sólo un semiciclo.
  • 175.
    CIRCUITOS ELECTRÓNICOS Ing.Antonio Calderón 175 Por este motivo en la práctica hay que calibrar los diodos de tal manera que estén a punto de conducir, es decir, logrando una mínima distorsión y que los mismos sólo conduzcan con señal. Para el diseño Datos (parlante)L Po R ⎧ ⎨ ⎩ 2 2· · 1 · 2 p L p p L op L Vo Po R Vo Po Vo R i R ⎧ = ⎛ ⎞ ⎪ = → ⎨⎜ ⎟ =⎝ ⎠ ⎪ ⎩ 1 1 1 1 para que no sea carga 10 · voltaje que se va a desperdiciar y que se debe compensar L L R op R R R R V i R << →⎧ ⎪ ⎪→ ≈⎪ ⎨ ⎪ ⎪ = →⎪⎩ 2 1 1 1 1 1( 1)( ) T T e L R Rin Rin r R Rβ >>⎧ ⎨ = + + +⎩ Hay que tener en cuenta que la etapa de Q3 es la última etapa de amplificación de voltaje, es decir, que pueden existir etapas previas de amplificación en cascada. 1 para no desperdiciar voltaje ( ) C D D D eD L R Rin Rin r R Rβ << →⎧ ⎨ = + +⎩ 3 3 1 3 · || C RC p C D p p R RC C C R V Vo R Rin Vo Vo V V I R ⎧ ≥⎪ ⎪⎪ = +⎨ ⎪ ⎪ = ⎪⎩ En lo que respecta a los potenciómetros tenemos:
  • 176.
    CIRCUITOS ELECTRÓNICOS Ing.Antonio Calderón 176 1 3 1 1 · ; voltaje de los diodos 2 (para poder calibrar) D C nVd P V I P P ′ = = ′→ = 3 3 2 3 3 2 2 22 CC BV V R P I R P P P −′+ = ′ ′≈ → = 3 3 ·CC E CE D RCV V V nV V= + + + El resto del diseño se realiza de manera similar a lo que se ha venido realizando. Ejercicio 10 8L Po W R = = Ω 2· · 2(10)(8) 12.649p LVo Po R V= = = 12.649 1.581 8 p op L Vo i A R = = = 1 0.75R = Ω 1 1· (1.58)(0.75) 1.185R opV i R V= = = Asumo 1 1 2 2 : 50 : 100 Q Q β β = = 2 1TR Rin>> 1 25 25 e E E mV mV r I I med = ≈
  • 177.
    CIRCUITOS ELECTRÓNICOS Ing.Antonio Calderón 177 · op op E L I V I med Rπ π = = 12.649 0.503 · (8) op E L V I med A Rπ π = = = 1 25 25 0.05 0.503 e E mV m r I med = = = Ω 1 1 1 1 1 ( 1)( ) (50 1)(0.05 0.75 8) 448.8 T e L T Rin r R R Rin β= + + + = + + + = 2 4.7R K= Ω 50 50 0.10 0.503 eD E mV m r I med = = = Ω 1( ) (50 100)(0.01 0.75 8) 44.25 D D eD L D Rin r R R Rin K β= + + = × + + = Ω 3.9C D CR Rin R K<< → = Ω Calculo el voltaje de entrada a la etapa de potencia 3 1 3 12.649 1.185 13.834 p p R p Vo Vo V Vo V = + = + =
  • 178.
    CIRCUITOS ELECTRÓNICOS Ing.Antonio Calderón 178 3· || 3.9 ·13.834 1.3 19.57 3.9 || 44.25 20 C RC p C D RC R V Vo R Rin K V K K V V ≥ ≥ → × = = 3 20 5.128 3.9 RC C C V I mA R K = = = 1 3 1 · 4(0.6) 468 5.128 1 D C nV P I m P K ′ = = = Ω = Ω 3 3 3 3 3 3 3 3 para este ejemplo asumimos un A , pero en la práctica tendrá una ganancia propia determinada por los requerimientos 13.834 13.834 2 10 17.217 CE p act p p act CE V Vo V Vin Vo Vo V A V V = + + = + + = + + = 3 3 25 25 4.87 5.128 e C mV m r I m = = = Ω 3 1 3 3 || 3.9 || 44.25 358.411 hay estabilidad 10 C D e E Req R Rin K K r R A A + = = = = → 1 1 358.411 4.87 353.541 330 E E R R = − = = Ω 3 3 3 13.834 1 1 2.383 1.3 3.1 10 3.5 E p E V Vin V V V ≥ + = + = → × = = 3 3 3.5 682.527 5.128 E ET C V R I m = = = Ω
  • 179.
    CIRCUITOS ELECTRÓNICOS Ing.Antonio Calderón 179 2 1 2 682.527 330 352.527 330 E ET E E R R R R = − = − = Ω = Ω 3 3 · 3.5 17.217 4(0.6) 20 43.117 45 CC E CE D RC CC V V V nV V V V = + + + = + + + = = 3 3 3 5.128 51.28 100 C B I m I Aμ β = = = 4 310 10(51.28 ) 512.8BI I Aμ μ= = = 3 311 11(51.28 ) 564.08BI I Aμ μ= = = 3 3 3 3.5 0.6 4.1B E JBEV V V V= + = + = 3 4 4 4 4.1 8 512.8 8.2 BV R K I R K μ = = = = Ω 3 3 2 3 3 2 2 45 4.1 72.507 564.08 33 39 100 CC BV V R P K I R K P K P K μ − −′+ = = = = Ω ′ = → = Ω Para comprobar en 3 3 23.8 cercano a lo deseadoV V= → Para poner la protección analizamos el número de junturas y el voltaje sobre la resistencia R1. 1 11.58 · 1.58 0.75 1.2op R opi A V i R V= → = = × ≈
  • 180.
    CIRCUITOS ELECTRÓNICOS Ing.Antonio Calderón 180 Protegiendo para una 2oi máx A= , entonces 1 1· 2·0.75 1.5R oV i máx R V= = = 1 1 1.5 0.6 2.1 T R JBEQ T V V V V V = + = + = 2.1 · 3.5 0. 4 6 T T D D V V n n DIODOS V n V = → = = = = ⇒ Finalmente, si desearíamos hacer una fuente regulada para una cadena de amplificadores en cascada que terminan en un amplificador de potencia, tendríamos que considerar los siguientes requerimientos para la fuente: 1( , ) CC L RC op Vo V I I I i =⎧⎪ ⎨ = +⎪⎩ ∑ Y el diseño se efectúa de manera similar a como se explica en la parte referente a fuentes reguladas.
  • 181.
    CIRCUITOS ELECTRÓNICOS Ing.Antonio Calderón 181 BIBLIOGRAFÍA - BOYLESTAD, Robert L. y NASHELSKY, Louis; “Electrónica: Teoría de Circuitos y Dispositivos Electrónicos”, 8va Edición, Pearson Educación, México, 2003. - http://es.wikipedia.org/ - http://www.inele.ufro.cl/apuntes/Circuitos_1_3012_3017/Capitulo3_ce1.pdf - http://iniciativapopular.udg.mx/muralmta/mrojas/cursos/elect/apuntesdefinitivos/UNIDA D2/2.1.1.pdf - http://www.frino.com.ar/resistor.htm - http://www.datasheetarchive.com
  • 182.
    CIRCUITOS ELECTRÓNICOS Ing.Antonio Calderón 182 ANEXOS
  • 183.
    CIRCUITOS ELECTRÓNICOS Ing.Antonio Calderón 183 Características Transistores 2N3904 y 2N3906 Este dispositivo se diseña como propósito general como un amplificador y el de un interruptor. El rango dinámico útil se extiende a 100 mA como un interruptor y a 100 MHz como un amplificador. El transistor 2N3904 (NTE 123AP) es de disposición NPN, mientras que el transistor 2N3906 (NTE 159 ) de disposición PNP.
  • 184.
    CIRCUITOS ELECTRÓNICOS Ing.Antonio Calderón 184
  • 185.
    CIRCUITOS ELECTRÓNICOS Ing.Antonio Calderón 185
  • 186.
    CIRCUITOS ELECTRÓNICOS Ing.Antonio Calderón 186
  • 187.
    CIRCUITOS ELECTRÓNICOS Ing.Antonio Calderón 187 Código de colores Identificar un resistor no es una tarea muy complicada, note que la mayoría, salvo los de montaje superficial, poseen 4 bandas de colores, 3 de idénticas proporciones y una más alejada de éstas. Estas bandas representan el valor real del resistor incluyendo su porcentaje de tolerancia o error siguiendo un código de colores estándar. En primer lugar tratamos de identificar el extremo que corresponde a la banda de tolerancia del resistor, que en la mayoría de los casos suele ser dorada (5%) o (algo más raro) plateada (10%). Una vez localizada ésta la dejamos de lado, (literalmente a la derecha), vamos al otro extremo y leemos la secuencia: fig: 1 -primera banda: corresponde al primer dígito del valor -segunda banda: corresponde al segundo dígito del valor -tercera banda: representa al exponente, o "números de ceros" a agregar -cuarta banda: porcentaje de tolerancia (la que habíamos identificado primero) Los colores corresponden a valores estandarizados como se detallan: Color 1º y 2º dígitos multiplicador tolerancia Negro 0 1 (x100) Marron 1 10 (x101) 1% Rojo 2 100 (x102) Naranja 3 1000 (x103) Amarillo 4 10000 (x104) Verde 5 100000 (x105) Azul 6 1000000 (x106) Violeta 7 10000000 (x107) Gris 8 100000000 (x108) Blanco 9 1000000000 (x109) Marron o nulo 1% Dorado 0.1 (x10-1) 5% Plata 10% Esto nos da para el ejemplo de la fig. 1 Resistores de montaje superficial SMD (Surface Mounted Device) Identificar el valor de un resistor SMD es más sencillo que para un resistor convencional ya que las bandas de colores son reemplazadas por sus equivalentes numéricos y así se estampan en la superficie del resistor, la banda indicadora de tolerancia desaparece y se la "presupone" en base al número de dígitos que se indica, es decir: un número de tres dígitos nos indica en esos tres dígitos el valor del resistor, y la ausencia de otra indicación nos dice que se trata de un resistor con una tolerancia del 5%. Un número de cuatro dígitos indica en los cuatro
  • 188.
    CIRCUITOS ELECTRÓNICOS Ing.Antonio Calderón 188 dígitos su valor y nos dice que se trata de un resistor con una tolerancia de error del 1%. fig.1 fig.2 -primer dígito: corresponde al primer dígito del valor -segundo dígito: corresponde al segundo dígito del valor -tercer dígito (5%): representa al exponente, o "números de ceros" a agregar (fig. 1) -tercer dígito (1%): corresponde al tercer dígito del valor (fig. 2) -cuarto dígito (1%): representa al exponente, o "número de ceros" a agregar
  • 189.
    CIRCUITOS ELECTRÓNICOS Ing.Antonio Calderón 189 Valores Estándar de Resistencias y capacitores
  • 190.
    CIRCUITOS ELECTRÓNICOS Ing.Antonio Calderón 190
  • 191.
    CIRCUITOS ELECTRÓNICOS Ing.Antonio Calderón 191
  • 192.
    CIRCUITOS ELECTRÓNICOS Ing.Antonio Calderón 192
  • 193.
    CIRCUITOS ELECTRÓNICOS Ing.Antonio Calderón 193
  • 194.
    CIRCUITOS ELECTRÓNICOS Ing.Antonio Calderón 194
  • 195.
    CIRCUITOS ELECTRÓNICOS Ing.Antonio Calderón 195
  • 196.
    CIRCUITOS ELECTRÓNICOS Ing.Antonio Calderón 196
  • 197.
    CIRCUITOS ELECTRÓNICOS Ing.Antonio Calderón 197
  • 198.
    CIRCUITOS ELECTRÓNICOS Ing.Antonio Calderón 198
  • 199.
    CIRCUITOS ELECTRÓNICOS Ing.Antonio Calderón 199
  • 200.
    CIRCUITOS ELECTRÓNICOS Ing.Antonio Calderón 200
  • 201.
    CIRCUITOS ELECTRÓNICOS Ing.Antonio Calderón 201
  • 202.
    CIRCUITOS ELECTRÓNICOS Ing.Antonio Calderón 202