1Jacques Hadamard (1865 – 1963)
8. Integrales
“La trayectoria más
corta entre dos
verdades reales
pasa a través del
dominio complejo."
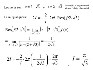
2
Integrales definidas (Tipo I):
Sea R(sin θ, cos θ) una función racional que no posee polos
sobre la círcunferencia unidad C: sin2
θ + cos2
θ =1
∫=
π
θθθ
2
0
)cos,(sin dRI
i
z
z
i
ee
z
z
ee
dz
iz
d
izddiedz
ez
ii
ii
i
i
2
1
2
sin
,
2
1
2
cos
1
,
,20,
−
=
−
=
+
=
+
=
=
==
<≤=
−
−
θθ
θθ
θ
θ
θ
θ
θ
θθ
πθ
∑
∫
=
=
=
=












−+
=
k
i
zz
z
zf
zfiI
dz
i
z
z
z
z
R
iz
I
i
1
1||
)(
)(Res2
2
1
,
2
1
1
π
  
donde {zk} son los polos de f(z)
dentro del círculo unidad.
|z|=1
3
Ejemplo:
2
22
2
2
2
4
)1(
2
1
sin,
225
2
1
45cos45
1
,,20,
z
z
i
z
z
z
zzz
z
dz
iz
dizddtiedzez ii
−
−
=












−
=
++
=
+
+=+
===≤≤=
θθ
θθπθ θθ






++
−
−
=
++
−
−
=
++
−
−
=
++−
−
=
∑∫
∫∫
=
==
==
)2)(2/1(2
)1(
Res2
4
1
)2)(2/1(2
)1(
4
1
)252(
)1(
4
11
)225(4
)1(
2
22
1
1|| 2
22
1|| 22
22
1|| 22
22
zzz
z
i
i
dz
zzz
z
i
dz
zzz
z
i
dz
izzzz
zz
I
k
i
zzz
zz
i
π
∫∫ +
==
ππ
θ
θ
θ
θθ
2
0
2
2
0 cos45
sin
)cos,(sin ddtRI
4
44
5
4
3
2
)2)(2/1(2
)1(
Res
)2)(2/1(2
)1(
Res
2
)2)(2/1(2
)1(
Res2
4
1
2
22
0
2
22
2/1
2
22
1
ππ
π
π
=





−−
=









++
−
+









++
−
−
=





++
−
−
=
=
−=
=
=
∑
zzz
z
zzz
z
zzz
z
i
i
I
z
z
k
i
zz i
Tiene 3 polos, uno doble en z = 0 y
dos simples en z = -1/2 y z = -2,
pero este último está fuera del
contorno C (circunferencia de
centro el origen y radio 1)
5
( )
( ) 4
3
22
1
lim)(
2
1
lim
2
1
;Res 2
22
2/12/1
=
+
−
=





+=





−
−→−→ zz
z
zfzf
zz
( ) [ ]
4
5
)252(
)54()1(2)1(2)252(
252
)1(
lim)(
!1
1
lim;0Res
0
22
2222
2
22
0
2
0
−
=
++
+−−−++
=
=





++
−
==
=
→→
z
zz
zz
zzzzzz
zz
z
dz
d
zfz
dz
d
f
Aquí tienes el cálculo explícito de los residuos:
6
Otro ejemplo:
Hallar ∫ −
=
π
θ
θ
0 cos2
d
I
La integral no está entre 0 y 2π, pero podemos arreglarlo.
Como el integrando es par: ∫∫ −
=
−
ππ
θ
θ
θ
θ 2
00 cos2cos2
2
dd
∫∫ +−
−=⋅






+−
=
CC
zz
dz
iiz
dz
z
z
I
14
2
1
2
1
2
1
2 2
7
)32Res(2
2
2 -f;i
i
I ⋅⋅−= π
( ) ( )( )
( ) 32
11
lim
)(3-2lim32Res
)32(3-2
3-2
−==
−=
+−→
→
zz
z
zfz-f;
3
2
32
1
2
2
2
π
π =





−⋅−= i
i
I
3
π
=I
La integral queda:
Los polos son y 32 −=z32 +=z Pero sólo el segundo está
dentro del círculo unidad.
8
∫ +
π
θ
θ
2
0 2
)cos2(
1
d dz
zz
z
i C∫ ++ 22
)14(
4
.32,32;
)()(
)( 102
1
2
0
+−=−−=
−−
= zz
zzzz
z
zf
),)((Res2
)14(
122
zzfidz
zz
z
C
π=
++∫
36
1
)(
)(
lim
)(
lim)()(lim),(Res 3
0
0
2
0
2
11
111
=
−
+
−=
−
=−=
→→→ zz
zz
zz
z
dz
d
zfzz
dz
d
zf
zzzzzz
33
4
36
1
2
4
)cos2(
12
0 2
π
πθ
θ
π
==
+∫ i
i
d
Solo este polo está
en el círculo unidad.
Otro ejemplo. Calcular:
9
10
Observa que también funciona el mismo cambio de variable si tenemos
términos del tipo cos(nθ) y sen(nθ):
11
12
Integrales impropias:
∫∫
∫∫
−∞− ∞→
∞
∞→
≡
≡
b
R
b
R
R
aa R
dxxfdxxf
dxxfdxxf
)(lim)(
)(lim)(
RxdxRdx
x
R
dx
x
dx
x
RR
R
R
R
sinlimcos)1log(loglim
1
4/2/)1arctan(arctanlim
1
1
lim
1
1
01
1 21 2
∫∫
∫∫
∞
∞→
∞
∞→
∞→
∞
∞→
=−=
−=−
=
+
=
+
ππ
En cálculo, una integral
impropia es el límite de una
integral definida cuando
uno o ambos extremos del
intervalo de integración se
hacen infinitos.
Pueden definirse en
términos de integrales
propias (sumas de
Riemann), siempre y
cuando existan estos límites.
Cuando el límite existe
decimos que la integral
converge. Y en caso
contrario, que diverge.
En este caso la integral existe. Pero en los dos siguientes no:
∫∫∫ −∞→
∞
∞− ∞→
+≡
0
0 22
1
1
)(lim)(lim)(
RR
R
R
dxxfdxxfdxxf
13
14
Por ejemplo:
∫
∫
∞==
∞→∞→
∞
∞−
R
RR
R
xdx
xdx
0
2
2
limlim
:quepuesto,divergentees
0
2
)(
2
limlim..
22
=




 −
−== ∫∫ − ∞→∞→
∞
∞−
RR
dxxdxxPV
R
R Rr
Sin embargo:
15
∫
∞
∞−
=
−
−
?
5
1
.. 2
4
dx
x
x
PV
Si f(x) es par, entonces:
f(x) = f(-x) y:
∫∫
∞∞
∞−
==
0
)(2)(.. dxxfdxxfPVI
∫
∫
∞
∞−
∞
∞−
=
−
=
+
?
3
..
?
1
..
2
4
3
dx
x
x
PV
dx
x
x
PV Si f(x) es impar, entonces:
f(x) = -f(x) y I = 0.
Nota sobre la simetría de los integrandos:
Aunque no lo digamos, a partir de
ahora calcularemos siempre el
Valor Principal, V.P.
16
Lemas de Jordan
Camille Jordan
(Lyon 1838 – París 1922)
17
1er
Lema de Jordan
0)(lim
0)(lim
)(
||
=⇒
=
∫∞→
⋅
∞→
dzzf
zfz
r
r
z
δ
Sea f(z) una función analítica (con la posible excepción de
un número finito de singularidades) definida en el sector de
circunferencia δ(r) delimitado por θ1 ≤ θ ≤ θ2 y radio r tal
que
δ(r)
r
θ1
θ2
x
18
2º lema de Jordan
∫ =⇒
=
→
⋅
→
)(
0
0
0)(lim
0)(lim
r
r
z
dzzf
zfz
δ
Sea f(z) una función analítica (con la posible excepción de
un número finito de singularidades) definida en el sector
de circunferencia δ(r) delimitado por θ1 ≤ θ ≤ θ2 y radio r
tal que
δ(r)
r
θ1
θ2
19
Sea a ∈ R+
y f(z) una función analítica (con la posible
excepción de un número finito de singularidades) definida en
el sector de circunferencia δ(r) del semiplano superior y ≥ 0,
delimitado por 0 ≤ θ1 ≤ θ ≤ θ2 ≤ π y radio r tal que
3er
lema de Jordan
0)(lim
0)(lim
)(
||
=
⇒=
∫ ⋅
∞→
∞→
r
iaz
r
z
dzezf
zf
δ
δ(r)
r
θ1
θ2
Nota: Si a ∈ R-
, el resultado sigue cumpliéndose
para un sector de circunferencia δ(r) del
semiplano inferior y ≤ 0, delimitado por
-π ≤ θ1 ≤ θ ≤ θ2 ≤ 0.
20
4º lema de Jordan
)(Res)(lim
0
)(
0
zfidzzf
zz=→
=∫ π
εγ
ε
Si z = z0 polo simple ⇒
-ε +ε
γ(ε)
z0
Demostración:
Si z = z0 es un polo simple de f(z), la
función se puede escribir de la
forma:
)()(
0
1
zh
zz
b
zf +
−
=
Donde h(z) es una función
analítica en un entorno de z0
y por lo tanto:
0)(lim
)(
0
=∫→
εγ
ε
dzzh
Sea f(z) una función analítica definida en el sector de
circunferencia γ(ε) del semiplano superior y ≥ 0:
21
Observemos que con el recorrido en
sentido contrario da lo mismo con un
signo menos
)(Res)(
0
)(
0
zfidzzflím
zz=→
−=∫ π
εγ
ε
∫∫∫ +
−
=
)()( 0
1
)(
)()(
1
εγ
π
εγεγ
dzzhdz
zz
b
dzzf
ib

Aplicando límites: )(Res)(lim
0
)(
0
zfidzzf
zz=→
=∫ π
εγ
ε
0
De manera análoga, podemos hacerlo en el semiplano inferior; teniendo en
cuenta el sentido en que lo recorremos.
22
LEMAS DE JORDAN
• 1º
• 2º
• 3º
• 4º
0)(lim0)(lim
)(
||
=⇒= ∫∞→
⋅
∞→
dzzfzfz
r
rz
δ
∫ =⇒=
→
⋅
→
)(
00
0)(lim0)(lim
r
rz
dzzfzfz
δ
0)(lim0)(lim
)(
||
=⇒= ∫ ⋅
∞→∞→
r
iaz
rz
dzezfzf
δ
)(Res)(lim
0
)(
0
zfidzzf
zz=→
=∫ π
εγ
ε
Si z = z0 polo simple
23
Integral tipo 2
Con R(x) una función racional que no posee
polos en el eje real, aunque puede tener
polos no reales.
Vamos a exigir: 0lim =⋅
∞→
R(x)x
x
∫
+∞
∞−
= dxxRI )(
0)(lim0)(lim
)(
||
=⇒= ∫∞→
⋅
∞→
dzzfzfz
r
rz
δ
Por el primer lema de Jordan.
0lim
||
=⋅
∞→
R(z)z
z
En compleja:
Por ejemplo, supón que R(x) = P(x)/Q(x)
donde el grado de P(x) es n y el grado de Q(x)
es m ≥ n + 2.
24
))((Res2)(
1 zz k
zRidxxR
n
k
∑∫ = =
+∞
∞−
= π
∫ =
∞→ )(
0)(
rr
dzzRlím δ
))((Res2)()()(
1 zz)(
k
zRidzzRlímdzzRlímdzzR
n
k
rr
r
rr
C
∑∫∫∫ = =∞→−∞→
=+= π
δ
0
Por el primer lema de Jordan.
25
4/7
4
4/5
3
4/3
2
4/
1
π
π
π
π
i
i
i
i
ez
ez
ez
ez
=
=
=
=
dz
z
z
dx
x
x
dxxRI
C∫∫∫ +
→
+
==
+∞
∞−
+∞
∞−
11
)( 4
2
4
2
;014
=+z
Dos polos en el
semiplano superior
Dos polos en el
semiplano inferior
Tomamos C como un
semicírculo cerrado de radio r
que contiene a los polos:
4/3πi
e
4/πi
e
Los del semiplano inferior
quedan fuera del contorno C
Ejemplo: El grado del denominador es 4 y del numerador 2.
26
Por el teorema del
residuo: ∑∫ =






+=
=
+
2
1
4
2
4
2
1
Res2
1 k
k
C z
z
zz
idz
z
z
π
2
44
2
1
4/4/3
4
2
ππ
ππ
=





+⋅=
+
−−+∞
∞−
∫
ii
ee
idx
x
x
27
∫
∞
++
=
0
24
910xx
dx
ICalcular
Como el integrando es par, nos es más fácil calcular
∫
+∞
∞−
= I2
Pasando a complejos:
910
1
)( 24
++
=
zz
zf y se cumple ,0)( =⋅
∞→
zfzlím
z
por tanto aplicamos el lema 1: izzizz 391 22
±=→−=±=→−=
[ ]
( )( )( )
[ ]
( )( )( )
;
24
2
4816
22
483
1
)(Res
1633
1
)(Res
3
3
π
π =





+−=
=
+−+
=
−
+−+
=
=
=
=
=
=
ii
iI
i
iziziz
zf
i
iziziz
zf
iz
iz
iz
iz
24
π
=I
28
Evaluar: ∫
∞
+
=
0 4
1
1
dx
x
I
Los polos son:
{ }





 −+−−−−
==−=
=+
−−
2
1
,
2
1
,
2
1
,
2
1
,,,;1
;01
4/34/4/4/34
4
iiii
eeeezz
z
iiii ππππ
en el semiplano superior están z1 = eπi/4
y z2 = e3πi/4
.
∫
∞
∞− +
= dx
x
I
1
1
2 4
29
( )( )( )
( )( )( )
( )
( )
4
1
2
1
)22(2
1
2/)22(2
1
1
1
Res
2/1)4/sin(
22)2/sin()2/cos()2/sin()2/cos(2
21
)4/sin(21
1
1
1
1
1
Res
4)4/exp(
2/2/2/2/
2/2/
4/4/4/34/4/34/
4/4/34/34)4/exp(
i
iiiz
iii
eeeee
ieee
eeeeee
ezezezz
z
iiiii
iii
iiiiii
iiiz
+−
=
−
=
+
=
+
=
+=−−−−++=
−+=+−−
+−−
=
−−−
=
−−−
=
+
=
−−
−
−−
−−=
π
πππππ
πππ
ππππππ
ππππ
π
ππππ
π
30
( )( )( )
( )( )( )
( )
4
)1(
2
1
)22(2
1
2/)22(2
1
1
1
Res
2/1)4/3sin(
)22()2/sin()2/cos()2/3sin()2/3cos(2
21
1)4/3sin(2
1
1
1
1
1
Res
4)4/3exp(
2/2/32/4/6
2/4/6
4/4/34/4/34/34/3
4/4/4/34)4/3exp(
i
iiiz
iii
eeeee
eeei
eeeeee
ezezezz
z
iiiii
iii
iiiiii
iiiz
−
=
+
=
−
=
+
=
−=−−++=
−+=+−−
+−−
=
−−−
=
−−−
=
+
=
−−
−−=
π
πππππ
πππ
ππππππ
ππππ
π
ππππ
π
31
221
1
0 4
π
=
+∫
∞
dx
x
izfizf
24
1
24
1
),Res(,
24
1
24
1
),Res( 21 −=−−=
2
)],(Res),(Res[2
1
1
214
π
π =+=
+∫
∞
∞−
zfzfidx
x
32
∫
+∞
+
=
0
4
1 x
dx
I integrando 4
1
1
z+
a lo largo del contorno de la figura (con R )∞→
∫∫∫∫ +
+
+
+
+
=
+ 321
4444
1111 γγγ z
dz
z
dz
z
dz
z
dz
C
0
1
0)(
2
4
1
=
+
 →= ∫⋅
∞→ γ z
dz
zfzlím
Lema
z
; polos simples:
4/7
3
4/5
2
4/3
1
4/
0
π
π
π
π
i
i
i
i
ez
ez
ez
ez
=
=
=
=
sólo z0 es polo interior.
γ2
γ1
γ3
C
R
De otra manera...
Calcular:
33
( )
iI
x
dx
i
ix
idx
z
dz
i
z
i
z
dz
iC
−=
+
−=
+
=
+
−=



+
=
+
∫∫∫
∫
∞
∞
=
0 4
0
44
4
ez
4
1)(11
1
221
1
Res2
1
3
4/
0
γ
π
π π
Sobre γ3, z = ix, por tanto dz = idx
( ) Ii
x
dx
i
x
dx
i )1(
1
0
1
1
22 0 40 4
−=
+
−+
+
=− ∫∫
∞∞π
22
π
=I
34
35
36
Si existen polos en el eje real, sencillamente hay que tener
en cuenta que su contribución es de πi en vez de 2πi. Por
ejemplo:
37
Integral tipo 3 ∫
+∞
∞−
= dxexfI ix
)(
Siendo f(z) una función analítica en todo punto del semiplano
cerrado , salvo quizá en un número finito de puntos.0≥y
Si los puntos singulares no están sobre el eje real:
∫∫
+∞
∞−
+
−
∞→
= dxexfdxexf ix
r
r
ix
r
)()(lim
00)(limSi
||
≥∀=
∞→
yzf
z
))((Res2)(lim
1 zz k
iz
n
k
r
r
ix
r
ezfidxexf ∑∫ = =
+
−
∞→
= π
Estando el sumatorio extendido a los puntos singulares de f(z) contenidos en el
plano y > 0
⇒
⇒
38
En el caso de que la función f(z) posea puntos singulares
sobre el eje real se utiliza el lema 4:
-ε +ε
γ(ε)
z0
)(Res)(lim
0
)(
0
zfidzzf
zz=→
=∫ π
εγ
ε
Si z = z0 polo simple:
39compleja.lexponencialadeayuda
conexpresanse,cos)(bieno
sin)(formaladeIntegrales-2.
∫
∫
∞+
∞−
+∞
∞−
xdxxf
xdxxf
n
n
Aclaraciones
inferior.semiplanoelenrealizase)(
integrallaejemplo,Por.1equeelensemiplanoelen
integrandocalcularásecompleja),constanteunaesa(donde
)(formaladeintegralunaparageneral,En-1.
az
dxexf
dxexf
ix
ax
∫
∫
∞+
∞−
−
+∞
∞−
≤
40
( )∫
+∞
∞− +−
.
11
3cos
resolver:Ejemplo 2
dx
x
x
( ) ( ) ( )∫ ∫ ∑
− +−
=
+−
+
+−
=
r
r r res z
z
idz
z
z
dx
x
x
)(
222
11
3cos
2
11
3cos
11
3cos
δ
π
22
3cos
333333 yxiyxiiziz
eeee
z
+−−−
+
=
+
=
anula...senointegrallaqueAsí
cero.noyinfinitohacese,cuando 333 yyxi
eer =∞→ +
( )∫ =
+−C
dx
z
z
11
3cos
2
-r +r
δ(r)
Pasemos el integrando a forma exponencial
41
( ) ( ) ( ) ( )∑∫ ∫∫ +−
=
+−
+
+−
=
+− − res
izr
r r
izix
C
iz
z
e
idz
z
e
dx
x
e
dz
z
e
11
2
111111
2
3
)(
2
3
2
3
2
3
π
δ
( ) 





=
+−∞→
0
11
1
lim 2
zz
∞→r
nula.haceseJordande3lemaelPor
∑∫ +−
=
+−
+∞
∞− res
izix
z
e
idx
x
e
1)1(
2
1)1( 2
3
2
3
π
( ) ( ) ( )∑∫∫ +−
=
+−
+
+−
∞
∞−
∞
∞− res
iz
z
e
idx
x
x
idx
x
x
11
2
11
3sin
11
3cos
2
3
22
π
realparte
imaginariaparte
42
izizz −=+=⇒=+− 1,101)1( 21
2
superiorsemiplanoelenpolo
( ) ( )
[ ]3sin3cos
11
3sin
11
3cos 333
22
ieedx
x
x
idx
x
x i
+==
+−
+
+−
−+−
∞
∞−
∞
∞−
∫∫ ππ
∫
∞
∞−
−
=
+−
3cos
1)1(
3cos 3
2
edx
x
x
π ∫
∞
∞−
−
=
+−
3sin
1)1(
3sin 3
2
edx
x
x
π
pedidaintegrallaesesta
43
dx
x
x
I ∫
+∞
∞−
+
= 2
1
cos
resolver:Ejemplo
∑∫ ∫ +
=
+
+
+− res
izr
r r
izix
z
e
idz
z
e
dx
x
e
2
)(
22
1
2
11
π
δ
( ) 





=
+−∞→
0
11
1
lim 2
zz
∞→r
nula.haceseJordande3lemaelPor
∑∫∫ +
=
+
+
+
∞
∞−
∞
∞− res
iz
z
e
idx
x
x
idx
x
x
222
1
2
1
sin
1
cos
π
realparte
imaginariaparte
44
i
e
ii
e
iz
e
izizizz
iiz
iz 2
lim
residuoelCogemos))((1
1
2
2
−
→
=
+
=
+
+=⇒−+=+
superiorsemiplanoelenpolo
ei
e
idx
x
x
idx
x
x π
π ==
+
+
+
−∞
∞−
∞
∞−
∫∫ 2
2
1
sin
1
cos 1
22
ee
I
ππ
=





= Re
45
P3. Junio 2007
1. Calcular la integral real:
Respuesta.
Calcularemos la integral
0,0,
)cos(
0 22
>≥
+
= ∫
∞
badx
bx
ax
I
dz
bz
eiaz
∫
∞
∞− + 22
0))((
;0 0
22
=−+
±==+
ibzibz
ibzbz
γ
-R R
C
ib
-ib
46
Observemos que |eiaz
| = |eia(x + iy)
| = |e-y + iax
| = |e-y
|, que tiende a cero
cuando y→0, lo que implica que z→0 y R→0; por ello, se toma el
semiplano superior.
Sea C el circuito del dibujo:
  

imparfunciónserpor0
)sin()cos(
0Rhaceral0
2222
222222
=
+
+
+
=
=
+
+
→=
+
=
+
∫∫
∫∫∫
∞
∞−
∞
∞−
−
dx
bx
ax
idx
bx
ax
dx
bx
e
dz
bz
e
dz
bz
e R
R
iaxiaz
C
iaz
γ
γ
-R R
C
ib
-ib
47
Observa que la función es par y estamos calculando el doble del
valor I:
b
e
I
b
e
ib
e
i
bz
e
ibzi
bz
e
iI
ababibia
iaz
ibz
iaz
ibz
22
2
)(lim2Res22 2222
−−⋅
→=
=⇒=





=
=












+
−=





+
=
ππ
π
ππ
48
P1. Septiembre 2006
a) (2.5 puntos) Calcular el valor de la integral
0kcon,
1
)cos(
2
≥
++∫
∞
∞−
dx
xx
kx
Respuesta.
(1)
111
calculaSe
0k,
1
Re
1
)cos(
222
22
dz
zz
e
dz
zz
e
dz
zz
e
dx
xx
e
dx
xx
kx
I
R
R
ikz
C
ikzikz
ikx
r
∫∫∫
∫∫
−
∞
∞−
∞
∞−
++
+
++
=
++
≥





++
=
++
=
γ
49
-R R
CR
z1
• Puntos singulares de
iz
zz
zz
e
zf
ikz
2
3
2
1
01
1
)( 2
2
±−=
=++⇒
++
=
[ ]RRCR ,: −∪γ
γdedentroestá,
2
31
1
i
z
−−
=
50
Tomando límites en (1):
[ ] dx
xx
e
dz
zz
e
zzfi
ikx
C
ikz
R r
∫∫
∞
∞−∞→ ++
+
++
= 221
11
lim),(Res2π
Por ser f analítica en γ
y en su interior salvo en
z1
(Tª de Cauchy-Goursat)
Caso k > 0
=










−
−
=
++
=
++
 →=
++
∫
∫
∞
∞−
∞→∞→
1
1
2
2
2
Jordan2Lema
2
,
)(
Res2
1
0
1
lim0
1
1
lim
z
zz
zz
e
idx
xx
e
dz
zz
e
zz
ikz
ikx
C
ikz
Rz r
π
51
)
2
sin
2
(cos
3
2
2
3
2
2)(2 2
3
1
1
k
i
k
e
i
e
izi
k
ikz
−==Φ=
−π
ππ
simplepoloz,0)(
zenanalítica)(
11
1
2
≠Φ
−
=Φ
z
zz
e
z
ikz
2
cos
3
2 2
3 k
eI
k−
=
π
52
Caso k = 0
i
i
ziz
zz
zz
i
xx
dx
zz
dz
zz
z
rCRz
2
3
2
2
)(2,
)(
1
Res2
1
0
1
lim0
1
1
lim
11
1
2
2
2
Jordan1Lema
2
π
ππ =Φ=










−
−
=
++
=
++
 →=
++
∫
∫
∞
∞−
∞→∞→
simplepoloz,0)(
zenanalítica
1
)(
11
1
2
≠Φ
−
=Φ
z
zz
z
3
2π
=I
53
54
55
56
57
58
59
60
61
62
63
Integral tipo 4






−
== ∑∫ =
=−
∞
ααπα
π
z
zR
e
i
dx
x
xR
I
n
k
zzi
k
)(
Res
1
2)(
1
2
0
0
)(
lim
0semiejeelsobrepolosposeeno)(
)(depolounnicerounniesno0
||
=•
≥•
=•
∞→ α
z
zR
z
xzR
zRz
z
)(rδ
)(εδ
ε
ε−
r
r
••••
•
•• 1z
2z
nz
Condiciones: R(x) es una función racional y
0 < α < 1.
64
Demostración
( )
dx
x
xR
dz
z
zR
dx
xe
xR
dz
z
zR
z
zR
dz
z
zR
r
r
i
r
n
k
zzC k
∫∫∫∫
∑∫
+++
=





=
=
=
ε
α
εδ
α
ε
απ
δ
α
αα
)()()()(
)(
Res
)(
)(
2
)(
1
0)(lim =
∞→
zzf
z
0)(lim
0
=
→
zzf
z
∞→r
lim
0
lim
→εLema 1 Lema 2
( ) ( ) dx
x
xR
edx
x
xR
e i
r
i
r ∫∫
∞
−−
→
∞→






−=





−
0
22
0
)(
1
)(
1lim α
απ
ε
α
απ
ε
0 0
65
1conResolver
0
22
>
+
= ∫
∞
adx
ax
x
I
))((
)(
z
0
)(
)(
2
1
22
2/122
aizaiz
z
zf
ai
aiz
az
z
zR
az
z
zf
+−
=
−=
=
=+
=
+
= −
=
+
+
+
+
+
+
+
==
∫∫∫∫
∫ ∑=
r
r
i
r
C k
dx
ax
x
dz
az
z
dx
ax
xe
dz
az
z
zfidzzf
εεδ
ε π
δ
π
22
)(
2222
2
)(
22
2
1
))((Res2)(
0)(lim
1Lema
=
∞→
zzf
z
0)(lim
2Lema
0
=
→
zzf
z0
0
)(rδ
)(εδ
ε
ε−
r
r
••••
•
• ai
ai−
66


















+
+







+−
=
+ −==
∞
∫ 2222
0
22
ResRes
1
2
az
z
az
z
e
i
dx
ax
x
aizaiziπ
π
( )
( )
ai
ai
aiz
z
aiz
aizz
ai
ai
aiz
z
aiz
aizz
aiz
aiz
aiz
aiz
2
/
Res
2
Res
−
−=
−
=







+
−
=
+
=







−
+
−=
−=
=
=
67
( ) =





−−=






 −
−
−
= ii
ai
a
i
ai
ai
ai
ai
e
i
I i
2221
2
π
π
π
( )





 +
=
=−=
−
2
2
44
434
ii
ii
ee
a
a
ee
a
a
ππ
ππ
π
π
a
I
2
π
=
i
i
i
i
i
π
π
ππ
π
=
−−−
=
=
−−
⋅ 0)1(1
2
sincos1
2
68
( )∫
∞
+
=
0 4
:Ejemplo
xx
dx
I
)(rδ
)(εδ
ε
ε−
r
r
•••• •
4−
( )
4
04
4
1
)(
−=
=+
+
=
z
z
xx
zf
( ) ( ) ( ) ( )
=
+
+
+
+
+
+
+
==
∫∫∫∫
∫ ∑=
r
rr
C k
dx
xx
dz
zz
dx
xx
dz
zz
zfidzzf
εεδ
ε
δ
π
4
1
4
1
4
1
4
1
))((Res2)(
)()(
1
1
0)(lim
1Lema
=
∞→
zzf
z
0)(lim
2Lema
0
=
→
zzf
z0
0
69
( ) 24
4
)(Res
4
-4z
i
zz
z
zf
z
−
=





+
+
=
−=
=
221
2 ππ
π
=




 −
−
= −
i
e
i
I i
i
i
i
i
i
π
π
ππ
π
=
−−−
=
=
−−−−
⋅ 0)1(1
2
)sin()cos(1
2
70
P1. Septiembre 2005
a) Calcular el valor de la integral
01con
10 2
<<−
+∫
∞+
p
dx
x
xp
Respuesta.
[ ])(Res)(Res
1
2
1 20 2
zfzf
e
i
dx
x
x
izizip
p
−==
∞+
+
−
=
+∫ π
π
i
i
zf
i
i
zf
z
z
zf
p
iz
p
iz
p
2
)(
)(Res;
2
)(Res;
1
)( 2
−
−==
+
=
−==
[ ]pp
ip
p
ii
e
dx
x
x
)(
11 20 2
−−
−
=
+∫
∞+
π
π
71
72
73
74
75
∫
∞
=
0
log)( xdxxRI
Integral tipo 5
R(x) función racional
R(z) sin polos en el semieje real x≥0
0)(R =⋅
∞→
xxlím
x
( )





−= ∑∫ =
⋅
=
∞ n
k
xdxxR
1
2
zz
0
(logz)R(z)ResRe
2
1
log)(
k
A continuación demostraremos que:
y de esa demostración obtendremos también:
( )





−= ∑∫ =
⋅
=
∞ n
ki
dxxR
1
2
zz
0
(logz)R(z)ResIm
2
1
)(
kπ
76
Demostración:
( )2
1 zz
2
)(log)(Res2))(log(
k
zzRidzzzR
n
k
C
⋅
= =
∑∫ = π
2
))(log()( zzRzf ≡Usaremos con 0<argz≤2π como determinación del logaritmo.
tomamos límites para ∞→r y 0→ε
∫∫∫
∫∫
++++
+=
r
r
r
C
dxxxRdzzzRdxixxR
dzzzRdzzzR
εεδ
ε
δ
π
2
))(log())(log()2)(log(
))(log())(log(
)(
22
)(
22
0
0
[ ] ∫∫∫
∞∞∞
+−=+−
0
2
00
22
)(4)(4)2(log)(log)( dxxRdxxRidxixxxR πππ
(I)
igualando con la expresión (I) y dividiendo por 2πi:
( )∫ ∑∫
∞
=
⋅
=
∞
=−−
0
1
2
zz0
(logz)R(z)Res)(2log)(2
k
n
k
dsxRixdxxR π
77
Ejemplo:
∫
∞
++
=
0 22
)4)(1(
log
dx
xx
x
I
)2)(2)()((
log
)4)(1(
log
)(
2
22
2
iziziziz
z
zz
z
zf
+−+−
=
++
=
en este caso, R(x) es
)4)(1(
1
22
++ xx
; lo multiplicamos por z2
log y queda:
[ ] [ ] [ ]
[ ]
i
i
zf
zf
i
i
zfzf
iz
iziziz
12
4
2ln2ln
)(Res
;
24
)(Res;
12
4
2ln2ln
)(Res;
24
)(Res
2
2
2
2
2
2
2
2
π
π
π
π
ππ
−−
=
−=
−+
−==
−=
−===
12
2ln
)]([ResRe
2
1 π
=





−= ∑
kz
zfI
78
ai
aia
ai
iai
ai
ai
aizaiz
z
az
z
I
Idx
ax
x
aiz
zk
2
4/lnln
2
)2/(ln
2
)(log
))((
log
Res
log
ResRe
2
1
log
22222
22
2
0 22
πππ −+
=
+
==





−+












+
−=
=
+
=
∞
∑
∫
Otro ejemplo:
Con ℜ∈a ; análogamente al ejemplo anterior:
aizaiz −== 10 ;
ai
aia
aizaiz
z
aiz 2
4/lnln
))((
log
Res
222
ππ −−
−=





−+−=
a
a
ai
ai
I
2
ln
ln2
Re
2
1
π
π
=
=





2
−
−=
79
5. Calcular utilizando la teoría de
residuos. ( )( )∫
∞
++0 22
41
)log(
dx
xx
x
( )( ) ( )( )( )( )
( )
( ) ( )
( ) ( )
i
i
iii
i
izf
i
i
i
iii
i
izf
i
i
i
iii
i
izf
iziziziz
z
zz
z
zf
12
2
2log
43
2log
2),(Res
24
9
6
2
3
)3()2(
log
),(Res
246
2
3)(2
log
),(Res
22
log
41
log
)(
2
2
2
2
2
2
2
2
2
22
2
−






+
=
⋅⋅
=
−=
−






=
⋅−⋅−
−
=−
=






=
⋅−⋅
=
+−+−
=
++
=
π
π
π
π
π
Examen
JUNIO 02/03: P-1
80
( ) ( )
( )
6
2log
),(ResRe
2
1
12
2
3
2log
)4()()3(
2log
2),(Res
4
1
2
2
π
π
−=





−=






+
=
−⋅−⋅−
−
=−
∑=k
kzzfI
i
i
iii
i
izf
81
P2. Septiembre 2007
1. Calcular la integral
Re (z)
Im (z)
Indicación: Utilice el contorno de la
figura y la determinación (-π/2, 3π/2)
con 2
2
1
)(ln
)(
x
x
zf
+
=
dx
x
x
∫
∞+
+0 2
2
1
)(ln
Respuesta.
Calculamos a lo largo del contorno dado Γ, la integral
dz
z
z
∫Γ + 2
2
1
)(ln
82






+
=
+∫Γ
i
z
z
idz
z
z
;
1
)(log
Res2
1
)(log
2
2
2
2
π
para lo que buscamos los puntos singulares del integrando interiores a Γ.
Como los puntos donde no es analítica no son interiores al contorno,
basta con calcular los ceros del denominador que, en este caso son los
puntos z = ±i. El único punto singular interior al contorno es z = i, de modo
que
3
z
El punto z = i es un polo simple de la función, pues ésta se puede expresar en
la forma
iz
zg
z
z
−
=
+
)(
1
)(log
2
2
siendo analítica y no nula en z = i pues
iz
z
zg
+
=
2
)(log
)(
0
42
1
2
2
2
)(log
)(
2
2
2
≠−=






==
π
π
ii
i
i
i
ig
83
)(;
z1
z)(log
Res 2
2
igi =





+
con lo que y
41
)(log 3
2
2
π
−=
+∫Γ
dz
z
z
Como ,21 TCTCR ∪∪∪=Γ ε entonces
∫∫∫∫∫ +++=
Γ 21
)()()()()(
TCTC
dzzfdzzfdzzfdzzfdzzf
R ε

El límite
0
2
lim
1
/)log2(
lim
)(log
lim
1
)(log
lim)(lim
2
2
2
===
==
+
=
∞→∞→
∞→∞→∞→
z
zz
z
z
z
z
zzzf
zz
zzz
84

Por ser
y se puede afirmar por el Lema 1 de Jordan que
∫ =
∞→ RCR
dzzf 0)(lim
0log2lim
/1
/)log2(
lim
1
)(log
lim
1
)(log
lim)(lim
020
2
02
2
00
==
−
=
==
+
=
→→
→→→
zz
z
zz
z
z
z
z
zzzf
zz
zzz
y se puede afirmar por el Lema 1 de Jordan que
∫ =
→ εε C
dzzf 0)(lim
0
85
dxdxedz
x
ix
ex
ix
z
z
i
i
−==
+
+
=
+
+
=
+
π
π
ππ
2
2
22
2
2
2
1
)(ln
1
)(ln
1
)(log
El segmento T1 lo parametrizamos en la forma z = xeiπ
, de
modo que
[ ],,εRx∈
con lo que
dx
x
dx
x
x
idx
x
x
dx
x
ix
dzzf
R RR
T R
∫ ∫∫
∫ ∫
+
−
+
+
+
=
=
+
+
−=
ε εε
ε
ππ
π
2
2
22
2
2
2
1
1
1
ln
2
1
)(ln
1
)(ln
)(
1
El segmento T2 lo parametrizamos en la forma z = x, de
modo que
[ ],, Rx ε∈
dxdz
x
x
z
z
=
+
=
+ 2
2
2
2
1
)(ln
1
)(log
86
con lo que
dx
x
x
dzzf
R
T ∫∫ +
=
ε 2
2
1
)(ln
)(
2
Sumando todas las contribuciones y, tomando límites cuando R → ∞ y
ε → 0 queda
dx
x
dx
x
x
idx
x
x
∫∫∫
∞∞∞
+
−
+
+
+
=−
0 2
2
0 20 2
23
1
1
1
ln
2
1
)(ln
2
4
ππ
π













+
+−=
+
=
+
∫∫
∫
∞∞
∞
dx
x
dx
x
x
dx
x
x
0 2
2
3
0 2
2
0 2
1
1
42
1
1
)(ln
0
1
ln
π
π
87
Como la integral real
21
1
00 2
π
==
+
∞∞
∫ xarctgdx
x
se deduce que
81
)(ln 3
0 2
2
π
=
+∫
∞
dx
x
x
88
89
90
91
92
93
94
95
96
97
98
99
100
101
102
103
104
105
106
107
108
Un último comentario:
109
Números primos
(parte II)
110
Ueber die Anzahl der Primzahlem
unter einter gegebenen Grösse (1859)
Sobre el número de números primos
menores que una magnitud dada.
Georg Friedrich
Bernhard Riemann
Riemann hacia 1859 extendió por
prolongación analítica la función
zeta al plano complejo:
its
n
s
n
s
+=
= ∑
∞
=
σ
ζ
1
1
)(
con un polo simple en s = 1.
Y probó que había profundas
conexiones entre esta función y la
distribución de los números primos.
111
La contribución genial de Riemann fue conectar los ceros de
ζ(s) con el comportamiento asintótico de π(x).
Gran parte del trabajo se debe al descubrimiento de una
ecuación funcional que relaciona ζ(s) con ζ(1-s), en una
simetría respecto al eje Re(s) = 1/2.
)1(
2
1
)(
2
2/)1(2/
s
s
s
s ss
−




 −
Γ=





Γ −−−
ζπζπ
La función zeta de Riemann tiene ceros (triviales) en -2, -4, -6, ... (los
polos de Γ(s/2)). Usando el producto de Euler es fácil demostrar que
el resto de ceros están en la franja crítica 0 < Re(s) < 1, y son
simétricos sobre la línea crítica Re(s)=1/2. La hipótesis de Riemann
asevera que todos estos ceros están realmente sobre la línea crítica.
112
De hecho, Euler ya había hecho parte del trabajo. En 1749
Euler sugirió que la función zeta real satisface la siguiente
relación exótica:
( )x
x
x
xxx
x
Γ





≡
=−
−
2
cos)2(2)(
)()()1(
π
πχ
ζχζ
Observemos que si x > 1, ζ(x) es distinta de cero. Si x = -2,
-4, -6, ... cos(πx/2) ≠ 0, pero Γ(x) es infinita, de modo que
χ(x) es infinita. Puesto que ζ(1-x) para estos valores es
finita, no queda más remedio que ζ(x) sea cero para estos
valores.
113
Riemann demostró que los pares negativos s = -2, -4, -6, ... son
ceros triviales de la función zeta. Y que existían infinitos ceros no
triviales en la banda crítica: { }10: ≤≤+= sits σ
También "demostró" que el número de ceros N(T) no triviales: ρ = β + iγ
que satisfacen 0 < γ ≤ T es aproximadamente:
πππ 22
log
2
)(
TTT
TN −





≈
114
Para relacionar ζ(s) con π(x) definió una función
prime counting "pesada":
∑
≤
=Π
xpm m
x
1
)(
Mientras π(x) es una función escalonada que suma
uno para cada primo, Π(x) es una función escalón
que añade 1/m para cada potencia pm
de un primo p.
Veamos un ejemplo concreto, que resultará revelador.
Calculemos, por ejemplo: )20(Π
115
Todos los pm
≤ 20 son: {2, 22
, 23
, 24
, 3, 32
, 5, 7, 11, 13,
17, 19}. Entonces:






+





+





+





+





+





+
+





++





+++==Π ∑
≤
1
1
1
1
1
1
1
1
1
1
1
1
2
1
1
1
4
1
3
1
2
1
1
11
)20(
32
20   
depotenciasdepotencias
pm m
 
43
20#20#20#
20#
20
1
1
4
1
1
1
3
1
1
1
1
1
2
1
1
1
1
1
1
1
1
1
1
1
1
1
1
1
1
11
)20(
≤≤≤
≤
≤






+





+





++
+





+++++++==Π ∑
primosprimosprimos
primos
pm m

  
116
( )∑∑
∞
=≤
==Π
1
/111
)(
m
m
xp
x
mm
x
m
π
Observa que aunque el sumatorio sea infinito, en
realidad solo tenemos un número finito de términos.
Ahora, utilizando la inversión de Möbius:
( )m
m
x
m
m
x /1
1
)(
)( Π= ∑
∞
=
µ
π
Donde se usa la función de Möbius definida como:
cero cuando m es divisible por un cuadrado y como (-1)k
en caso contrario
(donde k es el número de distintos factores primos de n).
117
Riemann mostró que Π(x) puede determinarse a
partir de los ceros ρ de ζ(s) mediante:
( ) ∫∑
∞
−
+−−=Π
x ttt
dt
xLixLix
)log()1(
)2log()()( 2
ρ
ρ
(demostrado rigurosamente por H. von Mangoldt)
( )∑
∞
=
Π=
1
/1)(
)(
n
n
x
n
n
x
µ
π
Observa, de nuevo, que para un x dado, esta serie
es finita: a partir de un cierto valor de n, x1/n
< 2.
118
Así que: 1
1
1
1
1
)(
−
∞
=
∏∑ 





−==
primop
z
n
z
pn
zζ
sugiere que la función zeta conoce a los números
primos y eso fue lo que desveló Riemann:
( )∑
∞
=
Π=
1
/1)(
)(
n
n
x
n
n
x
µ
π
( ) ∫∑
∞
−
+−−=Π
x ttt
dt
xLixLix
)log()1(
)2log()()( 2
ρ
ρ
que sugiere que los ceros de la función zeta
conocen la distribución de los números primos.
119
Aproximando π(x) usando los primeros 500 ceros de la función zeta.
La animación muestra como la aproximación se va haciendo mejor a medida
que utilizamos más y más ceros (H. Riesel y G. Göhl).
( ) ∫∑
∞
−
+−−=Π
x ttt
dt
xLixLix
)log()1(
)2log()()( 2
ρ
ρ
( )∑
∞
=
Π=
1
/1)(
)(
n
n
x
n
n
x
µ
π
120
Idem: aproximando π(x) usando los primeros 500 ceros de la función zeta,
ahora en el intervalo 190 a 230.
( ) ∫∑
∞
−
+−−=Π
x ttt
dt
xLixLix
)log()1(
)2log()()( 2
ρ
ρ
( )∑
∞
=
Π=
1
/1)(
)(
n
n
x
n
n
x
µ
π
121
Bernhard Riemann hacia 1859 generalizó la función zeta a números
s = x + iy complejos. Aquí vemos una representación gráfica del
módulo de la función z de Riemman: |ζ (s)|. Obsérvese el polo en
s = 1.
La función zeta ζ(s) de Riemann
122
Aquí vemos una representación gráfica del módulo de la inversa de
la función z de Riemman: |1/ζ (s)|. De este modo podemos ver
fácilmente los ceros de la función z como polos. Los ceros parece
que vayan paralelos y cercanos al eje imaginario.
123
Hipótesis de Riemann: (La conjetura más famosa hoy de
la matemática). La hipótesis de Riemman afirma que todos los ceros
no triviales tienen la parte real igual a ½. Es decir que son de la
forma: ½ + iy.
)2/1( iy+ζGrafica de y frente al módulo:
124
Los 100.000 primeros millones de ceros de la función zeta
están en la “línea crítica ½” (2005).
125
. . . La principal broma de Hardy era que consideraba a Dios
su enemigo personal. Entiéndase: Dios no tenía nada más
urgente que hacer que fastidiarlo. Como ejemplo de la
permanente lucha de Hardy con Dios, Pólya contaba la
siguiente historia: “Un año Hardy permaneció en Dinamarca
con Bohr hasta el final de sus vacaciones de verano, de
manera que estaba obligado a volver a Inglaterra para
comenzar sus lecciones. Sólo había un pequeño bote
disponible (no había tráfico aéreo en aquel tiempo). Como es
sabido, a veces el Mar del Norte puede estar bastante
revuelto
y la probabilidad de que un pequeño bote como aquel se
hundiera no era exactamente cero. Sin embargo, como no
tenía otra opción, Hardy embarcó en él, pero envió unapostal
a Bohr, con el siguiente texto: ‘He probado la Hipótesis de
Riemann. G. H. Hardy.’
George Pólya
(1887 - 1985)
¿No lo cogen? Es que no conocen la teoría subyacente a la postal. . . . Si el bote se
hundía y Hardy se ahogaba, todo el mundo creería que él había probado la
Hipótesis de Riemann. Pero Dios no consentiría que él (Hardy) tuviera ese gran
honor y por esto no dejaría que el bote se hundiera. Obviamente, puesto que Hardy
llegó a salvo a Inglaterra, esta forma de seguro fue efectiva".
126

8 integrales

  • 1.
    1Jacques Hadamard (1865– 1963) 8. Integrales “La trayectoria más corta entre dos verdades reales pasa a través del dominio complejo."
  • 2.
    2 Integrales definidas (TipoI): Sea R(sin θ, cos θ) una función racional que no posee polos sobre la círcunferencia unidad C: sin2 θ + cos2 θ =1 ∫= π θθθ 2 0 )cos,(sin dRI i z z i ee z z ee dz iz d izddiedz ez ii ii i i 2 1 2 sin , 2 1 2 cos 1 , ,20, − = − = + = + = = == <≤= − − θθ θθ θ θ θ θ θ θθ πθ ∑ ∫ = = = =             −+ = k i zz z zf zfiI dz i z z z z R iz I i 1 1|| )( )(Res2 2 1 , 2 1 1 π    donde {zk} son los polos de f(z) dentro del círculo unidad. |z|=1
  • 3.
  • 4.
  • 5.
    5 ( ) ( )4 3 22 1 lim)( 2 1 lim 2 1 ;Res 2 22 2/12/1 = + − =      +=      − −→−→ zz z zfzf zz ( ) [ ] 4 5 )252( )54()1(2)1(2)252( 252 )1( lim)( !1 1 lim;0Res 0 22 2222 2 22 0 2 0 − = ++ +−−−++ = =      ++ − == = →→ z zz zz zzzzzz zz z dz d zfz dz d f Aquí tienes el cálculo explícito de los residuos:
  • 6.
    6 Otro ejemplo: Hallar ∫− = π θ θ 0 cos2 d I La integral no está entre 0 y 2π, pero podemos arreglarlo. Como el integrando es par: ∫∫ − = − ππ θ θ θ θ 2 00 cos2cos2 2 dd ∫∫ +− −=⋅       +− = CC zz dz iiz dz z z I 14 2 1 2 1 2 1 2 2
  • 7.
    7 )32Res(2 2 2 -f;i i I ⋅⋅−=π ( ) ( )( ) ( ) 32 11 lim )(3-2lim32Res )32(3-2 3-2 −== −= +−→ → zz z zfz-f; 3 2 32 1 2 2 2 π π =      −⋅−= i i I 3 π =I La integral queda: Los polos son y 32 −=z32 +=z Pero sólo el segundo está dentro del círculo unidad.
  • 8.
    8 ∫ + π θ θ 2 0 2 )cos2( 1 ddz zz z i C∫ ++ 22 )14( 4 .32,32; )()( )( 102 1 2 0 +−=−−= −− = zz zzzz z zf ),)((Res2 )14( 122 zzfidz zz z C π= ++∫ 36 1 )( )( lim )( lim)()(lim),(Res 3 0 0 2 0 2 11 111 = − + −= − =−= →→→ zz zz zz z dz d zfzz dz d zf zzzzzz 33 4 36 1 2 4 )cos2( 12 0 2 π πθ θ π == +∫ i i d Solo este polo está en el círculo unidad. Otro ejemplo. Calcular:
  • 9.
  • 10.
    10 Observa que tambiénfunciona el mismo cambio de variable si tenemos términos del tipo cos(nθ) y sen(nθ):
  • 11.
  • 12.
    12 Integrales impropias: ∫∫ ∫∫ −∞− ∞→ ∞ ∞→ ≡ ≡ b R b R R aaR dxxfdxxf dxxfdxxf )(lim)( )(lim)( RxdxRdx x R dx x dx x RR R R R sinlimcos)1log(loglim 1 4/2/)1arctan(arctanlim 1 1 lim 1 1 01 1 21 2 ∫∫ ∫∫ ∞ ∞→ ∞ ∞→ ∞→ ∞ ∞→ =−= −=− = + = + ππ En cálculo, una integral impropia es el límite de una integral definida cuando uno o ambos extremos del intervalo de integración se hacen infinitos. Pueden definirse en términos de integrales propias (sumas de Riemann), siempre y cuando existan estos límites. Cuando el límite existe decimos que la integral converge. Y en caso contrario, que diverge. En este caso la integral existe. Pero en los dos siguientes no: ∫∫∫ −∞→ ∞ ∞− ∞→ +≡ 0 0 22 1 1 )(lim)(lim)( RR R R dxxfdxxfdxxf
  • 13.
  • 14.
  • 15.
    15 ∫ ∞ ∞− = − − ? 5 1 .. 2 4 dx x x PV Si f(x)es par, entonces: f(x) = f(-x) y: ∫∫ ∞∞ ∞− == 0 )(2)(.. dxxfdxxfPVI ∫ ∫ ∞ ∞− ∞ ∞− = − = + ? 3 .. ? 1 .. 2 4 3 dx x x PV dx x x PV Si f(x) es impar, entonces: f(x) = -f(x) y I = 0. Nota sobre la simetría de los integrandos: Aunque no lo digamos, a partir de ahora calcularemos siempre el Valor Principal, V.P.
  • 16.
    16 Lemas de Jordan CamilleJordan (Lyon 1838 – París 1922)
  • 17.
    17 1er Lema de Jordan 0)(lim 0)(lim )( || =⇒ = ∫∞→ ⋅ ∞→ dzzf zfz r r z δ Seaf(z) una función analítica (con la posible excepción de un número finito de singularidades) definida en el sector de circunferencia δ(r) delimitado por θ1 ≤ θ ≤ θ2 y radio r tal que δ(r) r θ1 θ2 x
  • 18.
    18 2º lema deJordan ∫ =⇒ = → ⋅ → )( 0 0 0)(lim 0)(lim r r z dzzf zfz δ Sea f(z) una función analítica (con la posible excepción de un número finito de singularidades) definida en el sector de circunferencia δ(r) delimitado por θ1 ≤ θ ≤ θ2 y radio r tal que δ(r) r θ1 θ2
  • 19.
    19 Sea a ∈R+ y f(z) una función analítica (con la posible excepción de un número finito de singularidades) definida en el sector de circunferencia δ(r) del semiplano superior y ≥ 0, delimitado por 0 ≤ θ1 ≤ θ ≤ θ2 ≤ π y radio r tal que 3er lema de Jordan 0)(lim 0)(lim )( || = ⇒= ∫ ⋅ ∞→ ∞→ r iaz r z dzezf zf δ δ(r) r θ1 θ2 Nota: Si a ∈ R- , el resultado sigue cumpliéndose para un sector de circunferencia δ(r) del semiplano inferior y ≤ 0, delimitado por -π ≤ θ1 ≤ θ ≤ θ2 ≤ 0.
  • 20.
    20 4º lema deJordan )(Res)(lim 0 )( 0 zfidzzf zz=→ =∫ π εγ ε Si z = z0 polo simple ⇒ -ε +ε γ(ε) z0 Demostración: Si z = z0 es un polo simple de f(z), la función se puede escribir de la forma: )()( 0 1 zh zz b zf + − = Donde h(z) es una función analítica en un entorno de z0 y por lo tanto: 0)(lim )( 0 =∫→ εγ ε dzzh Sea f(z) una función analítica definida en el sector de circunferencia γ(ε) del semiplano superior y ≥ 0:
  • 21.
    21 Observemos que conel recorrido en sentido contrario da lo mismo con un signo menos )(Res)( 0 )( 0 zfidzzflím zz=→ −=∫ π εγ ε ∫∫∫ + − = )()( 0 1 )( )()( 1 εγ π εγεγ dzzhdz zz b dzzf ib  Aplicando límites: )(Res)(lim 0 )( 0 zfidzzf zz=→ =∫ π εγ ε 0 De manera análoga, podemos hacerlo en el semiplano inferior; teniendo en cuenta el sentido en que lo recorremos.
  • 22.
    22 LEMAS DE JORDAN •1º • 2º • 3º • 4º 0)(lim0)(lim )( || =⇒= ∫∞→ ⋅ ∞→ dzzfzfz r rz δ ∫ =⇒= → ⋅ → )( 00 0)(lim0)(lim r rz dzzfzfz δ 0)(lim0)(lim )( || =⇒= ∫ ⋅ ∞→∞→ r iaz rz dzezfzf δ )(Res)(lim 0 )( 0 zfidzzf zz=→ =∫ π εγ ε Si z = z0 polo simple
  • 23.
    23 Integral tipo 2 ConR(x) una función racional que no posee polos en el eje real, aunque puede tener polos no reales. Vamos a exigir: 0lim =⋅ ∞→ R(x)x x ∫ +∞ ∞− = dxxRI )( 0)(lim0)(lim )( || =⇒= ∫∞→ ⋅ ∞→ dzzfzfz r rz δ Por el primer lema de Jordan. 0lim || =⋅ ∞→ R(z)z z En compleja: Por ejemplo, supón que R(x) = P(x)/Q(x) donde el grado de P(x) es n y el grado de Q(x) es m ≥ n + 2.
  • 24.
    24 ))((Res2)( 1 zz k zRidxxR n k ∑∫= = +∞ ∞− = π ∫ = ∞→ )( 0)( rr dzzRlím δ ))((Res2)()()( 1 zz)( k zRidzzRlímdzzRlímdzzR n k rr r rr C ∑∫∫∫ = =∞→−∞→ =+= π δ 0 Por el primer lema de Jordan.
  • 25.
    25 4/7 4 4/5 3 4/3 2 4/ 1 π π π π i i i i ez ez ez ez = = = = dz z z dx x x dxxRI C∫∫∫ + → + == +∞ ∞− +∞ ∞− 11 )( 4 2 4 2 ;014 =+z Dospolos en el semiplano superior Dos polos en el semiplano inferior Tomamos C como un semicírculo cerrado de radio r que contiene a los polos: 4/3πi e 4/πi e Los del semiplano inferior quedan fuera del contorno C Ejemplo: El grado del denominador es 4 y del numerador 2.
  • 26.
    26 Por el teoremadel residuo: ∑∫ =       += = + 2 1 4 2 4 2 1 Res2 1 k k C z z zz idz z z π 2 44 2 1 4/4/3 4 2 ππ ππ =      +⋅= + −−+∞ ∞− ∫ ii ee idx x x
  • 27.
    27 ∫ ∞ ++ = 0 24 910xx dx ICalcular Como el integrandoes par, nos es más fácil calcular ∫ +∞ ∞− = I2 Pasando a complejos: 910 1 )( 24 ++ = zz zf y se cumple ,0)( =⋅ ∞→ zfzlím z por tanto aplicamos el lema 1: izzizz 391 22 ±=→−=±=→−= [ ] ( )( )( ) [ ] ( )( )( ) ; 24 2 4816 22 483 1 )(Res 1633 1 )(Res 3 3 π π =      +−= = +−+ = − +−+ = = = = = = ii iI i iziziz zf i iziziz zf iz iz iz iz 24 π =I
  • 28.
    28 Evaluar: ∫ ∞ + = 0 4 1 1 dx x I Lospolos son: { }       −+−−−− ==−= =+ −− 2 1 , 2 1 , 2 1 , 2 1 ,,,;1 ;01 4/34/4/4/34 4 iiii eeeezz z iiii ππππ en el semiplano superior están z1 = eπi/4 y z2 = e3πi/4 . ∫ ∞ ∞− + = dx x I 1 1 2 4
  • 29.
    29 ( )( )() ( )( )( ) ( ) ( ) 4 1 2 1 )22(2 1 2/)22(2 1 1 1 Res 2/1)4/sin( 22)2/sin()2/cos()2/sin()2/cos(2 21 )4/sin(21 1 1 1 1 1 Res 4)4/exp( 2/2/2/2/ 2/2/ 4/4/4/34/4/34/ 4/4/34/34)4/exp( i iiiz iii eeeee ieee eeeeee ezezezz z iiiii iii iiiiii iiiz +− = − = + = + = +=−−−−++= −+=+−− +−− = −−− = −−− = + = −− − −− −−= π πππππ πππ ππππππ ππππ π ππππ π
  • 30.
    30 ( )( )() ( )( )( ) ( ) 4 )1( 2 1 )22(2 1 2/)22(2 1 1 1 Res 2/1)4/3sin( )22()2/sin()2/cos()2/3sin()2/3cos(2 21 1)4/3sin(2 1 1 1 1 1 Res 4)4/3exp( 2/2/32/4/6 2/4/6 4/4/34/4/34/34/3 4/4/4/34)4/3exp( i iiiz iii eeeee eeei eeeeee ezezezz z iiiii iii iiiiii iiiz − = + = − = + = −=−−++= −+=+−− +−− = −−− = −−− = + = −− −−= π πππππ πππ ππππππ ππππ π ππππ π
  • 31.
    31 221 1 0 4 π = +∫ ∞ dx x izfizf 24 1 24 1 ),Res(, 24 1 24 1 ),Res( 21−=−−= 2 )],(Res),(Res[2 1 1 214 π π =+= +∫ ∞ ∞− zfzfidx x
  • 32.
    32 ∫ +∞ + = 0 4 1 x dx I integrando4 1 1 z+ a lo largo del contorno de la figura (con R )∞→ ∫∫∫∫ + + + + + = + 321 4444 1111 γγγ z dz z dz z dz z dz C 0 1 0)( 2 4 1 = +  →= ∫⋅ ∞→ γ z dz zfzlím Lema z ; polos simples: 4/7 3 4/5 2 4/3 1 4/ 0 π π π π i i i i ez ez ez ez = = = = sólo z0 es polo interior. γ2 γ1 γ3 C R De otra manera... Calcular:
  • 33.
    33 ( ) iI x dx i ix idx z dz i z i z dz iC −= + −= + = + −=    + = + ∫∫∫ ∫ ∞ ∞ = 0 4 0 44 4 ez 4 1)(11 1 221 1 Res2 1 3 4/ 0 γ π ππ Sobre γ3, z = ix, por tanto dz = idx ( ) Ii x dx i x dx i )1( 1 0 1 1 22 0 40 4 −= + −+ + =− ∫∫ ∞∞π 22 π =I
  • 34.
  • 35.
  • 36.
    36 Si existen polosen el eje real, sencillamente hay que tener en cuenta que su contribución es de πi en vez de 2πi. Por ejemplo:
  • 37.
    37 Integral tipo 3∫ +∞ ∞− = dxexfI ix )( Siendo f(z) una función analítica en todo punto del semiplano cerrado , salvo quizá en un número finito de puntos.0≥y Si los puntos singulares no están sobre el eje real: ∫∫ +∞ ∞− + − ∞→ = dxexfdxexf ix r r ix r )()(lim 00)(limSi || ≥∀= ∞→ yzf z ))((Res2)(lim 1 zz k iz n k r r ix r ezfidxexf ∑∫ = = + − ∞→ = π Estando el sumatorio extendido a los puntos singulares de f(z) contenidos en el plano y > 0 ⇒ ⇒
  • 38.
    38 En el casode que la función f(z) posea puntos singulares sobre el eje real se utiliza el lema 4: -ε +ε γ(ε) z0 )(Res)(lim 0 )( 0 zfidzzf zz=→ =∫ π εγ ε Si z = z0 polo simple:
  • 39.
  • 40.
    40 ( )∫ +∞ ∞− +− . 11 3cos resolver:Ejemplo2 dx x x ( ) ( ) ( )∫ ∫ ∑ − +− = +− + +− = r r r res z z idz z z dx x x )( 222 11 3cos 2 11 3cos 11 3cos δ π 22 3cos 333333 yxiyxiiziz eeee z +−−− + = + = anula...senointegrallaqueAsí cero.noyinfinitohacese,cuando 333 yyxi eer =∞→ + ( )∫ = +−C dx z z 11 3cos 2 -r +r δ(r) Pasemos el integrando a forma exponencial
  • 41.
    41 ( ) () ( ) ( )∑∫ ∫∫ +− = +− + +− = +− − res izr r r izix C iz z e idz z e dx x e dz z e 11 2 111111 2 3 )( 2 3 2 3 2 3 π δ ( )       = +−∞→ 0 11 1 lim 2 zz ∞→r nula.haceseJordande3lemaelPor ∑∫ +− = +− +∞ ∞− res izix z e idx x e 1)1( 2 1)1( 2 3 2 3 π ( ) ( ) ( )∑∫∫ +− = +− + +− ∞ ∞− ∞ ∞− res iz z e idx x x idx x x 11 2 11 3sin 11 3cos 2 3 22 π realparte imaginariaparte
  • 42.
    42 izizz −=+=⇒=+− 1,101)1(21 2 superiorsemiplanoelenpolo ( ) ( ) [ ]3sin3cos 11 3sin 11 3cos 333 22 ieedx x x idx x x i +== +− + +− −+− ∞ ∞− ∞ ∞− ∫∫ ππ ∫ ∞ ∞− − = +− 3cos 1)1( 3cos 3 2 edx x x π ∫ ∞ ∞− − = +− 3sin 1)1( 3sin 3 2 edx x x π pedidaintegrallaesesta
  • 43.
    43 dx x x I ∫ +∞ ∞− + = 2 1 cos resolver:Ejemplo ∑∫∫ + = + + +− res izr r r izix z e idz z e dx x e 2 )( 22 1 2 11 π δ ( )       = +−∞→ 0 11 1 lim 2 zz ∞→r nula.haceseJordande3lemaelPor ∑∫∫ + = + + + ∞ ∞− ∞ ∞− res iz z e idx x x idx x x 222 1 2 1 sin 1 cos π realparte imaginariaparte
  • 44.
    44 i e ii e iz e izizizz iiz iz 2 lim residuoelCogemos))((1 1 2 2 − → = + = + +=⇒−+=+ superiorsemiplanoelenpolo ei e idx x x idx x x π π== + + + −∞ ∞− ∞ ∞− ∫∫ 2 2 1 sin 1 cos 1 22 ee I ππ =      = Re
  • 45.
    45 P3. Junio 2007 1.Calcular la integral real: Respuesta. Calcularemos la integral 0,0, )cos( 0 22 >≥ + = ∫ ∞ badx bx ax I dz bz eiaz ∫ ∞ ∞− + 22 0))(( ;0 0 22 =−+ ±==+ ibzibz ibzbz γ -R R C ib -ib
  • 46.
    46 Observemos que |eiaz |= |eia(x + iy) | = |e-y + iax | = |e-y |, que tiende a cero cuando y→0, lo que implica que z→0 y R→0; por ello, se toma el semiplano superior. Sea C el circuito del dibujo:     imparfunciónserpor0 )sin()cos( 0Rhaceral0 2222 222222 = + + + = = + + →= + = + ∫∫ ∫∫∫ ∞ ∞− ∞ ∞− − dx bx ax idx bx ax dx bx e dz bz e dz bz e R R iaxiaz C iaz γ γ -R R C ib -ib
  • 47.
    47 Observa que lafunción es par y estamos calculando el doble del valor I: b e I b e ib e i bz e ibzi bz e iI ababibia iaz ibz iaz ibz 22 2 )(lim2Res22 2222 −−⋅ →= =⇒=      = =             + −=      + = ππ π ππ
  • 48.
    48 P1. Septiembre 2006 a)(2.5 puntos) Calcular el valor de la integral 0kcon, 1 )cos( 2 ≥ ++∫ ∞ ∞− dx xx kx Respuesta. (1) 111 calculaSe 0k, 1 Re 1 )cos( 222 22 dz zz e dz zz e dz zz e dx xx e dx xx kx I R R ikz C ikzikz ikx r ∫∫∫ ∫∫ − ∞ ∞− ∞ ∞− ++ + ++ = ++ ≥      ++ = ++ = γ
  • 49.
    49 -R R CR z1 • Puntossingulares de iz zz zz e zf ikz 2 3 2 1 01 1 )( 2 2 ±−= =++⇒ ++ = [ ]RRCR ,: −∪γ γdedentroestá, 2 31 1 i z −− =
  • 50.
    50 Tomando límites en(1): [ ] dx xx e dz zz e zzfi ikx C ikz R r ∫∫ ∞ ∞−∞→ ++ + ++ = 221 11 lim),(Res2π Por ser f analítica en γ y en su interior salvo en z1 (Tª de Cauchy-Goursat) Caso k > 0 =           − − = ++ = ++  →= ++ ∫ ∫ ∞ ∞− ∞→∞→ 1 1 2 2 2 Jordan2Lema 2 , )( Res2 1 0 1 lim0 1 1 lim z zz zz e idx xx e dz zz e zz ikz ikx C ikz Rz r π
  • 51.
  • 52.
    52 Caso k =0 i i ziz zz zz i xx dx zz dz zz z rCRz 2 3 2 2 )(2, )( 1 Res2 1 0 1 lim0 1 1 lim 11 1 2 2 2 Jordan1Lema 2 π ππ =Φ=           − − = ++ = ++  →= ++ ∫ ∫ ∞ ∞− ∞→∞→ simplepoloz,0)( zenanalítica 1 )( 11 1 2 ≠Φ − =Φ z zz z 3 2π =I
  • 53.
  • 54.
  • 55.
  • 56.
  • 57.
  • 58.
  • 59.
  • 60.
  • 61.
  • 62.
  • 63.
    63 Integral tipo 4       − ==∑∫ = =− ∞ ααπα π z zR e i dx x xR I n k zzi k )( Res 1 2)( 1 2 0 0 )( lim 0semiejeelsobrepolosposeeno)( )(depolounnicerounniesno0 || =• ≥• =• ∞→ α z zR z xzR zRz z )(rδ )(εδ ε ε− r r •••• • •• 1z 2z nz Condiciones: R(x) es una función racional y 0 < α < 1.
  • 64.
    64 Demostración ( ) dx x xR dz z zR dx xe xR dz z zR z zR dz z zR r r i r n k zzC k ∫∫∫∫ ∑∫ +++ =      = = = ε α εδ α ε απ δ α αα )()()()( )( Res )( )( 2 )( 1 0)(lim= ∞→ zzf z 0)(lim 0 = → zzf z ∞→r lim 0 lim →εLema 1 Lema 2 ( ) ( ) dx x xR edx x xR e i r i r ∫∫ ∞ −− → ∞→       −=      − 0 22 0 )( 1 )( 1lim α απ ε α απ ε 0 0
  • 65.
    65 1conResolver 0 22 > + = ∫ ∞ adx ax x I ))(( )( z 0 )( )( 2 1 22 2/122 aizaiz z zf ai aiz az z zR az z zf +− = −= = =+ = + = − = + + + + + + + == ∫∫∫∫ ∫∑= r r i r C k dx ax x dz az z dx ax xe dz az z zfidzzf εεδ ε π δ π 22 )( 2222 2 )( 22 2 1 ))((Res2)( 0)(lim 1Lema = ∞→ zzf z 0)(lim 2Lema 0 = → zzf z0 0 )(rδ )(εδ ε ε− r r •••• • • ai ai−
  • 66.
    66                   + +        +− = + −== ∞ ∫ 2222 0 22 ResRes 1 2 az z az z e i dx ax x aizaiziπ π () ( ) ai ai aiz z aiz aizz ai ai aiz z aiz aizz aiz aiz aiz aiz 2 / Res 2 Res − −= − =        + − = + =        − + −= −= = =
  • 67.
    67 ( ) =      −−=       − − − = ii ai a i ai ai ai ai e i I i 2221 2 π π π ( )       + = =−= − 2 2 44 434 ii ii ee a a ee a a ππ ππ π π a I 2 π = i i i i i π π ππ π = −−− = = −− ⋅ 0)1(1 2 sincos1 2
  • 68.
    68 ( )∫ ∞ + = 0 4 :Ejemplo xx dx I )(rδ )(εδ ε ε− r r ••••• 4− ( ) 4 04 4 1 )( −= =+ + = z z xx zf ( ) ( ) ( ) ( ) = + + + + + + + == ∫∫∫∫ ∫ ∑= r rr C k dx xx dz zz dx xx dz zz zfidzzf εεδ ε δ π 4 1 4 1 4 1 4 1 ))((Res2)( )()( 1 1 0)(lim 1Lema = ∞→ zzf z 0)(lim 2Lema 0 = → zzf z0 0
  • 69.
    69 ( ) 24 4 )(Res 4 -4z i zz z zf z − =      + + = −= = 221 2ππ π =      − − = − i e i I i i i i i i π π ππ π = −−− = = −−−− ⋅ 0)1(1 2 )sin()cos(1 2
  • 70.
    70 P1. Septiembre 2005 a)Calcular el valor de la integral 01con 10 2 <<− +∫ ∞+ p dx x xp Respuesta. [ ])(Res)(Res 1 2 1 20 2 zfzf e i dx x x izizip p −== ∞+ + − = +∫ π π i i zf i i zf z z zf p iz p iz p 2 )( )(Res; 2 )(Res; 1 )( 2 − −== + = −== [ ]pp ip p ii e dx x x )( 11 20 2 −− − = +∫ ∞+ π π
  • 71.
  • 72.
  • 73.
  • 74.
  • 75.
    75 ∫ ∞ = 0 log)( xdxxRI Integral tipo5 R(x) función racional R(z) sin polos en el semieje real x≥0 0)(R =⋅ ∞→ xxlím x ( )      −= ∑∫ = ⋅ = ∞ n k xdxxR 1 2 zz 0 (logz)R(z)ResRe 2 1 log)( k A continuación demostraremos que: y de esa demostración obtendremos también: ( )      −= ∑∫ = ⋅ = ∞ n ki dxxR 1 2 zz 0 (logz)R(z)ResIm 2 1 )( kπ
  • 76.
    76 Demostración: ( )2 1 zz 2 )(log)(Res2))(log( k zzRidzzzR n k C ⋅ == ∑∫ = π 2 ))(log()( zzRzf ≡Usaremos con 0<argz≤2π como determinación del logaritmo. tomamos límites para ∞→r y 0→ε ∫∫∫ ∫∫ ++++ += r r r C dxxxRdzzzRdxixxR dzzzRdzzzR εεδ ε δ π 2 ))(log())(log()2)(log( ))(log())(log( )( 22 )( 22 0 0 [ ] ∫∫∫ ∞∞∞ +−=+− 0 2 00 22 )(4)(4)2(log)(log)( dxxRdxxRidxixxxR πππ (I) igualando con la expresión (I) y dividiendo por 2πi: ( )∫ ∑∫ ∞ = ⋅ = ∞ =−− 0 1 2 zz0 (logz)R(z)Res)(2log)(2 k n k dsxRixdxxR π
  • 77.
    77 Ejemplo: ∫ ∞ ++ = 0 22 )4)(1( log dx xx x I )2)(2)()(( log )4)(1( log )( 2 22 2 iziziziz z zz z zf +−+− = ++ = en estecaso, R(x) es )4)(1( 1 22 ++ xx ; lo multiplicamos por z2 log y queda: [ ] [ ] [ ] [ ] i i zf zf i i zfzf iz iziziz 12 4 2ln2ln )(Res ; 24 )(Res; 12 4 2ln2ln )(Res; 24 )(Res 2 2 2 2 2 2 2 2 π π π π ππ −− = −= −+ −== −= −=== 12 2ln )]([ResRe 2 1 π =      −= ∑ kz zfI
  • 78.
    78 ai aia ai iai ai ai aizaiz z az z I Idx ax x aiz zk 2 4/lnln 2 )2/(ln 2 )(log ))(( log Res log ResRe 2 1 log 22222 22 2 0 22 πππ −+ = + ==      −+             + −= = + = ∞ ∑ ∫ Otroejemplo: Con ℜ∈a ; análogamente al ejemplo anterior: aizaiz −== 10 ; ai aia aizaiz z aiz 2 4/lnln ))(( log Res 222 ππ −− −=      −+−= a a ai ai I 2 ln ln2 Re 2 1 π π = =      2 − −=
  • 79.
    79 5. Calcular utilizandola teoría de residuos. ( )( )∫ ∞ ++0 22 41 )log( dx xx x ( )( ) ( )( )( )( ) ( ) ( ) ( ) ( ) ( ) i i iii i izf i i i iii i izf i i i iii i izf iziziziz z zz z zf 12 2 2log 43 2log 2),(Res 24 9 6 2 3 )3()2( log ),(Res 246 2 3)(2 log ),(Res 22 log 41 log )( 2 2 2 2 2 2 2 2 2 22 2 −       + = ⋅⋅ = −= −       = ⋅−⋅− − =− =       = ⋅−⋅ = +−+− = ++ = π π π π π Examen JUNIO 02/03: P-1
  • 80.
    80 ( ) () ( ) 6 2log ),(ResRe 2 1 12 2 3 2log )4()()3( 2log 2),(Res 4 1 2 2 π π −=      −=       + = −⋅−⋅− − =− ∑=k kzzfI i i iii i izf
  • 81.
    81 P2. Septiembre 2007 1.Calcular la integral Re (z) Im (z) Indicación: Utilice el contorno de la figura y la determinación (-π/2, 3π/2) con 2 2 1 )(ln )( x x zf + = dx x x ∫ ∞+ +0 2 2 1 )(ln Respuesta. Calculamos a lo largo del contorno dado Γ, la integral dz z z ∫Γ + 2 2 1 )(ln
  • 82.
    82       + = +∫Γ i z z idz z z ; 1 )(log Res2 1 )(log 2 2 2 2 π para lo quebuscamos los puntos singulares del integrando interiores a Γ. Como los puntos donde no es analítica no son interiores al contorno, basta con calcular los ceros del denominador que, en este caso son los puntos z = ±i. El único punto singular interior al contorno es z = i, de modo que 3 z El punto z = i es un polo simple de la función, pues ésta se puede expresar en la forma iz zg z z − = + )( 1 )(log 2 2 siendo analítica y no nula en z = i pues iz z zg + = 2 )(log )( 0 42 1 2 2 2 )(log )( 2 2 2 ≠−=       == π π ii i i i ig
  • 83.
    83 )(; z1 z)(log Res 2 2 igi =      + conlo que y 41 )(log 3 2 2 π −= +∫Γ dz z z Como ,21 TCTCR ∪∪∪=Γ ε entonces ∫∫∫∫∫ +++= Γ 21 )()()()()( TCTC dzzfdzzfdzzfdzzfdzzf R ε  El límite 0 2 lim 1 /)log2( lim )(log lim 1 )(log lim)(lim 2 2 2 === == + = ∞→∞→ ∞→∞→∞→ z zz z z z z zzzf zz zzz
  • 84.
    84  Por ser y sepuede afirmar por el Lema 1 de Jordan que ∫ = ∞→ RCR dzzf 0)(lim 0log2lim /1 /)log2( lim 1 )(log lim 1 )(log lim)(lim 020 2 02 2 00 == − = == + = →→ →→→ zz z zz z z z z zzzf zz zzz y se puede afirmar por el Lema 1 de Jordan que ∫ = → εε C dzzf 0)(lim 0
  • 85.
    85 dxdxedz x ix ex ix z z i i −== + + = + + = + π π ππ 2 2 22 2 2 2 1 )(ln 1 )(ln 1 )(log El segmento T1lo parametrizamos en la forma z = xeiπ , de modo que [ ],,εRx∈ con lo que dx x dx x x idx x x dx x ix dzzf R RR T R ∫ ∫∫ ∫ ∫ + − + + + = = + + −= ε εε ε ππ π 2 2 22 2 2 2 1 1 1 ln 2 1 )(ln 1 )(ln )( 1 El segmento T2 lo parametrizamos en la forma z = x, de modo que [ ],, Rx ε∈ dxdz x x z z = + = + 2 2 2 2 1 )(ln 1 )(log
  • 86.
    86 con lo que dx x x dzzf R T∫∫ + = ε 2 2 1 )(ln )( 2 Sumando todas las contribuciones y, tomando límites cuando R → ∞ y ε → 0 queda dx x dx x x idx x x ∫∫∫ ∞∞∞ + − + + + =− 0 2 2 0 20 2 23 1 1 1 ln 2 1 )(ln 2 4 ππ π              + +−= + = + ∫∫ ∫ ∞∞ ∞ dx x dx x x dx x x 0 2 2 3 0 2 2 0 2 1 1 42 1 1 )(ln 0 1 ln π π
  • 87.
    87 Como la integralreal 21 1 00 2 π == + ∞∞ ∫ xarctgdx x se deduce que 81 )(ln 3 0 2 2 π = +∫ ∞ dx x x
  • 88.
  • 89.
  • 90.
  • 91.
  • 92.
  • 93.
  • 94.
  • 95.
  • 96.
  • 97.
  • 98.
  • 99.
  • 100.
  • 101.
  • 102.
  • 103.
  • 104.
  • 105.
  • 106.
  • 107.
  • 108.
  • 109.
  • 110.
    110 Ueber die Anzahlder Primzahlem unter einter gegebenen Grösse (1859) Sobre el número de números primos menores que una magnitud dada. Georg Friedrich Bernhard Riemann Riemann hacia 1859 extendió por prolongación analítica la función zeta al plano complejo: its n s n s += = ∑ ∞ = σ ζ 1 1 )( con un polo simple en s = 1. Y probó que había profundas conexiones entre esta función y la distribución de los números primos.
  • 111.
    111 La contribución genialde Riemann fue conectar los ceros de ζ(s) con el comportamiento asintótico de π(x). Gran parte del trabajo se debe al descubrimiento de una ecuación funcional que relaciona ζ(s) con ζ(1-s), en una simetría respecto al eje Re(s) = 1/2. )1( 2 1 )( 2 2/)1(2/ s s s s ss −      − Γ=      Γ −−− ζπζπ La función zeta de Riemann tiene ceros (triviales) en -2, -4, -6, ... (los polos de Γ(s/2)). Usando el producto de Euler es fácil demostrar que el resto de ceros están en la franja crítica 0 < Re(s) < 1, y son simétricos sobre la línea crítica Re(s)=1/2. La hipótesis de Riemann asevera que todos estos ceros están realmente sobre la línea crítica.
  • 112.
    112 De hecho, Eulerya había hecho parte del trabajo. En 1749 Euler sugirió que la función zeta real satisface la siguiente relación exótica: ( )x x x xxx x Γ      ≡ =− − 2 cos)2(2)( )()()1( π πχ ζχζ Observemos que si x > 1, ζ(x) es distinta de cero. Si x = -2, -4, -6, ... cos(πx/2) ≠ 0, pero Γ(x) es infinita, de modo que χ(x) es infinita. Puesto que ζ(1-x) para estos valores es finita, no queda más remedio que ζ(x) sea cero para estos valores.
  • 113.
    113 Riemann demostró quelos pares negativos s = -2, -4, -6, ... son ceros triviales de la función zeta. Y que existían infinitos ceros no triviales en la banda crítica: { }10: ≤≤+= sits σ También "demostró" que el número de ceros N(T) no triviales: ρ = β + iγ que satisfacen 0 < γ ≤ T es aproximadamente: πππ 22 log 2 )( TTT TN −      ≈
  • 114.
    114 Para relacionar ζ(s)con π(x) definió una función prime counting "pesada": ∑ ≤ =Π xpm m x 1 )( Mientras π(x) es una función escalonada que suma uno para cada primo, Π(x) es una función escalón que añade 1/m para cada potencia pm de un primo p. Veamos un ejemplo concreto, que resultará revelador. Calculemos, por ejemplo: )20(Π
  • 115.
    115 Todos los pm ≤20 son: {2, 22 , 23 , 24 , 3, 32 , 5, 7, 11, 13, 17, 19}. Entonces:       +      +      +      +      +      + +      ++      +++==Π ∑ ≤ 1 1 1 1 1 1 1 1 1 1 1 1 2 1 1 1 4 1 3 1 2 1 1 11 )20( 32 20    depotenciasdepotencias pm m   43 20#20#20# 20# 20 1 1 4 1 1 1 3 1 1 1 1 1 2 1 1 1 1 1 1 1 1 1 1 1 1 1 1 1 1 11 )20( ≤≤≤ ≤ ≤       +      +      ++ +      +++++++==Π ∑ primosprimosprimos primos pm m    
  • 116.
    116 ( )∑∑ ∞ =≤ ==Π 1 /111 )( m m xp x mm x m π Observa queaunque el sumatorio sea infinito, en realidad solo tenemos un número finito de términos. Ahora, utilizando la inversión de Möbius: ( )m m x m m x /1 1 )( )( Π= ∑ ∞ = µ π Donde se usa la función de Möbius definida como: cero cuando m es divisible por un cuadrado y como (-1)k en caso contrario (donde k es el número de distintos factores primos de n).
  • 117.
    117 Riemann mostró queΠ(x) puede determinarse a partir de los ceros ρ de ζ(s) mediante: ( ) ∫∑ ∞ − +−−=Π x ttt dt xLixLix )log()1( )2log()()( 2 ρ ρ (demostrado rigurosamente por H. von Mangoldt) ( )∑ ∞ = Π= 1 /1)( )( n n x n n x µ π Observa, de nuevo, que para un x dado, esta serie es finita: a partir de un cierto valor de n, x1/n < 2.
  • 118.
    118 Así que: 1 1 1 1 1 )( − ∞ = ∏∑      −== primop z n z pn zζ sugiere que la función zeta conoce a los números primos y eso fue lo que desveló Riemann: ( )∑ ∞ = Π= 1 /1)( )( n n x n n x µ π ( ) ∫∑ ∞ − +−−=Π x ttt dt xLixLix )log()1( )2log()()( 2 ρ ρ que sugiere que los ceros de la función zeta conocen la distribución de los números primos.
  • 119.
    119 Aproximando π(x) usandolos primeros 500 ceros de la función zeta. La animación muestra como la aproximación se va haciendo mejor a medida que utilizamos más y más ceros (H. Riesel y G. Göhl). ( ) ∫∑ ∞ − +−−=Π x ttt dt xLixLix )log()1( )2log()()( 2 ρ ρ ( )∑ ∞ = Π= 1 /1)( )( n n x n n x µ π
  • 120.
    120 Idem: aproximando π(x)usando los primeros 500 ceros de la función zeta, ahora en el intervalo 190 a 230. ( ) ∫∑ ∞ − +−−=Π x ttt dt xLixLix )log()1( )2log()()( 2 ρ ρ ( )∑ ∞ = Π= 1 /1)( )( n n x n n x µ π
  • 121.
    121 Bernhard Riemann hacia1859 generalizó la función zeta a números s = x + iy complejos. Aquí vemos una representación gráfica del módulo de la función z de Riemman: |ζ (s)|. Obsérvese el polo en s = 1. La función zeta ζ(s) de Riemann
  • 122.
    122 Aquí vemos unarepresentación gráfica del módulo de la inversa de la función z de Riemman: |1/ζ (s)|. De este modo podemos ver fácilmente los ceros de la función z como polos. Los ceros parece que vayan paralelos y cercanos al eje imaginario.
  • 123.
    123 Hipótesis de Riemann:(La conjetura más famosa hoy de la matemática). La hipótesis de Riemman afirma que todos los ceros no triviales tienen la parte real igual a ½. Es decir que son de la forma: ½ + iy. )2/1( iy+ζGrafica de y frente al módulo:
  • 124.
    124 Los 100.000 primerosmillones de ceros de la función zeta están en la “línea crítica ½” (2005).
  • 125.
    125 . . .La principal broma de Hardy era que consideraba a Dios su enemigo personal. Entiéndase: Dios no tenía nada más urgente que hacer que fastidiarlo. Como ejemplo de la permanente lucha de Hardy con Dios, Pólya contaba la siguiente historia: “Un año Hardy permaneció en Dinamarca con Bohr hasta el final de sus vacaciones de verano, de manera que estaba obligado a volver a Inglaterra para comenzar sus lecciones. Sólo había un pequeño bote disponible (no había tráfico aéreo en aquel tiempo). Como es sabido, a veces el Mar del Norte puede estar bastante revuelto y la probabilidad de que un pequeño bote como aquel se hundiera no era exactamente cero. Sin embargo, como no tenía otra opción, Hardy embarcó en él, pero envió unapostal a Bohr, con el siguiente texto: ‘He probado la Hipótesis de Riemann. G. H. Hardy.’ George Pólya (1887 - 1985) ¿No lo cogen? Es que no conocen la teoría subyacente a la postal. . . . Si el bote se hundía y Hardy se ahogaba, todo el mundo creería que él había probado la Hipótesis de Riemann. Pero Dios no consentiría que él (Hardy) tuviera ese gran honor y por esto no dejaría que el bote se hundiera. Obviamente, puesto que Hardy llegó a salvo a Inglaterra, esta forma de seguro fue efectiva".
  • 126.