Códigos de línea
Hernán Paz Penagos
DEFINICION:
Antes de la transmisión digital (figura 1) o transmisión pasabanda, una secuencia de bits de
datos se convierte en un grupo de elementos de señalización que utiliza símbolos en su
representación, mediante la codificación de línea.
La codificación se utiliza para adecuar la señal al medio de transmisión: la señal binaria con
valores discretos TTL se traslada a una forma de señal más apropiada para ser transmitida.
Ventajas de la codificación de línea:
– Se consigue una señal transmitida más robusta frente al ruido, la interferencia y otros efectos
adversos del canal como el nivel DC (offset del canal), lo recomendable es tener acople AC.
– Algunos códigos son eficientes en ancho de banda (puede ser una desventaja), otros lo son en
corrección de error (con lo cual se obtiene baja probabilidad de error de bit).
– Permiten recuperar el sincronismo en el receptor (el código de línea tiene suficiente información de
sincronismo).
– La información entra al codificador de línea con una Rb y sale con Rs o D (tasa de símbolo o
baudio).
Clasificación de la codificación de línea:
– Se clasifican en: a) códigos de línea en los cuales la información binaria se codifica en el nivel de
amplitud, b) códigos de línea en los cuales la información binaria se codifica en el cambio de fase, y c)
hay códigos de línea bipolares con retorno o no a cero, ternarios y multinivel.
DEP del
código de línea
Tasa de Bits
[Mbps]
Código de línea
recomendado
por la ITU
1544 AMI o B8ZS
2048 HDB-3
6312 B8ZS o B6ZS
8448 HDB-3
32064 AMI
34368 HDB-3
44736 B3ZS
97728 AMI
139264 CMI
Códigos utilizados por Intelsat [Int99].
•Los códigos de línea HDB3, CMI y AMI están normalizados por la UIT.
•NRZ se utiliza en transmisión de señal al interior de los equipos, es decir a
distancias muy cortas.
•Para largas distancias, se utilizan códigos de línea bipolares y de marcas
alternas.
•Los códigos de línea AMI, HDB3, B8ZS, NBMB, CMI, Manchester I y II, se
utilizan en la transmisión de información por fibra óptica.
•El código de línea AMI se utiliza en comunicaciones telefónicas, es resistente
al ruido.
•Algunas tecnologías de acceso alámbrica utilizan los códigos de línea HDB3,
2B1Q y 4B3T.
•La codificación de línea AMI es usada para T1 y E1
•Los códigos de línea CMI y HDB3, se utilizan en las redes de datos para E4 y
E1
•La codificación de línea utilizada por Intelsat está basada fundamentalmente
en el código AMI (Alternative Mark Inversion).
Usos de los códigos de línea en
las comunicaciones Banda
base
La siguiente
figura muestra
las formas de
onda de cinco
importantes
códigos de línea
para los datos
binarios.
Ejemplo: 0 1 1 0 1 0 0 1.
Unipolar sin retorno a cero (nonreturn-to-cero NRZ)
Polar sin retorno a cero (NRZ)
Unipolar con retorno a cero (return-to-zero RZ)
Bipolar con retorno a cero (RZ) o AMI-RZ
Código de Manchester
El código CMI (Codec Mark Inversion) es un código en línea
en banda base, cuyo objetivo es:
• Mínima componente continua.
• Máximo número de cambios de nivel
• Mínima frecuencia o ancho de banda para una velocidad de bits.
• Detención y corrección de errores.
Fuente Wikipedia
•El bit 0:se codifica con un cambio de
polaridad negativa a positiva (V- a V+), en
la mitad del intervalo del bit.
•El bit 1:se codifica con polaridad positiva y
negativa alternativamente y sin transición
en la mitad del intervalo.
Comparación de códigos diferentes
Códigos de línea más usados
NRZ-L: el 0 se codifica con nivel alto y el 1
con nivel bajo
NRZI: siempre hay transición al inicio del “1”
Pseudoternario: el “1” se codifica con tensión
nula, el “0” con tensión V y se alterna.
Los códigos bifase a diferencia de los códigos
multinivel tienen una componente DC nula
Manchester: incorpora una transición en
medio de cada bit. Para el “0” la transición es
de alto a bajo, para el “1” viceversa.
Manchester diferencial: Para el “0” hay
desfase de 180º, para el “1” de 0º.
• CMI, NRZ, pseudoternario, HDB3
• Manchester, bipolar-AMI, HDB2, NRZ-L
Ejemplo de un COD/DECODIFICADOR DE LINEA DIFERENCIAL NRZ
Tabla de código diferencial 2B1Q
CODIGO DE LINEA 2B1Q
Señal de datos binaria (160 Kbps)
Señalización 2B1Q
Nota: para codificar cada par de bits tener en cuenta nivel previo
Unipolar sin retorno a cero: Una desventaja de este código de línea es el desperdicio de potencia
para la transmisión de un nivel de continua DC, y el hecho de que el espectro de potencia de la señal
transmitida no se aproxima a cero para frecuencia cero.
Polar sin retorno a cero (NRZ): Este código de línea es relativamente fácil de generar pero tiene la
desventaja de que el espectro de potencia de la señal es grande cerca de la frecuencia cero.
Unipolar con retorno a cero (return-to-zero RZ): Una desventaja es que requiere 3 dB más de
potencia que el código polar con retorno a cero para la misma probabilidad de error en los símbolos.
Bipolar con retorno a cero (RZ) o AMI-RZ (alternative mark inversion): Este código de línea no tiene
componente de continua (DC) y relativamente insignificante componentes de baja frecuencia para el
caso de símbolos 0 y 1 equiprobables.
Código de Manchester:
• Un símbolo 1 es representado por un pulso positivo de amplitud A, seguido por un pulso negativo de
amplitud –A, con ambos pulsos de anchura mitad de símbolo.
• Para el símbolo 0 las polaridades de estos dos pulsos son las contrarias.
• El código de Manchester suprime la componente continua (DC) y tiene componentes de baja
frecuencia relativamente insignificantes, estas propiedades son esenciales en algunas aplicaciones.
Problemas para el CODIGO AMI cuando hay cadenas consecutivas de ceros
Técnicas de “scrambling”
Un objetivo del aleatorizador de datos es eliminar largas
secuencias de ceros o unos sucesivos para conseguir una
mejor transparencia y sincronización a partir de los datos.
Son técnicas de inserción de bits “bit scrambling”; utilizan
algún procedimiento o técnica de “scrambling” para
reemplazar las secuencias de bits que den lugar a niveles
de tensión constante.
Requisitos para obtener la secuencia reemplazada:
• Debe proporcionar suficiente número de transiciones para que el reloj se
mantenga sincronizado.
• Debe ser reconocida por el receptor y sustituida por la secuencia original.
• Debe tener la misma longitud que la original.
• Evitar la componente en continua.
• Evitar las secuencias largas que correspondan a señales de tensión nula.
• No reducir la velocidad de transmisión de los datos.
• Tener cierta capacidad para detectar errores.
En el error de ráfaga se presenta un grupo de bits en cero, la aleatorización de bits
evita esto de varias formas por ejemplo B8ZS pero en general esta y otras formas,
se basan en remplazar una cadena del mensaje que contenga determinado
número de ceros continuos (en este caso 8) y los remplaza por un código definido
de forma que si el receptor recibe esta cantidad de ceros continuos, identifica que
se trata de un error.
Bipolar de gran densidad (HDBn):
HDB3. Bipolar de alta densidad con sustitución de 3 ceros (High Density
Bipolar-3 Zeros): Posee la misma señalización que el código AMI; también se
llama AMI modificado. Su variante se encuentra cuando se envían más de
tres ceros consecutivos en donde se introduce una violación.
Última violación en +V
Último 1 en -V
Último 1 en -V
Último 1 en -V
El scrambling inserta palabras de bits preestablecidas que se descartan en el
receptor, mientras que el entrelazado repite el mensaje y lo envía en un orden distinto
para que si se comete un error de transmisión, el receptor sea capaz de corregirlo y
no descartarlo, como es el caso de la aleatorización; sin embargo, requiere más
ancho de banda ya que envía más bits por mensaje
Por ejemplo, si el mensaje es abcdefg:
Diferencias entre scrambling y el entrelazado
Códigos SCRAMBLING: BNZS
Los códigos BNZS se utilizan en Norteamérica.
Estos códigos sustituyen una cadena de N-ceros por una palabra de longitud N, la cual
produce una violación de polaridad.
En el receptor los datos originales se obtienen reconociendo las violaciones bipolares y
reemplazándolas por la cadena original de N-ceros.
También son llamados códigos AMI modificados porque: a) se alternan los unos, y b)
evitan cadenas de ceros consecutivas, sustituyéndolas por palabras de código
preestablecidas
B8ZS (EEUU). Bipolar con sustitución de 8 ceros (Binary, 8 Zeros Suppressed):
La señalización utilizada es la misma que el código AMI, encontrando su modificación
en secuencias de ocho ceros consecutivos, caso en el cual se deberá enviar un código
preestablecido que el receptor ya conocerá de antemano. Así tenemos la siguiente
regla:
Reglas de sustitución del código B6ZS
Reglas de sustitución del código B6ZS
Código B3ZS, a) regla de codificación: los signos +, 0, y -, representan pulsos +v, 0v o -v respectivamente
Reglas de sustitución del código B3ZS
El código de línea B3ZS se especifica en la recomendación G.703 de la UIT, para utilizarse en la interface a
44.736 Mbits/s; en este código, se sustituyen tres ceros por una palabra binaria (B3ZS); es muy similar al código
HDB3.
Regla para la sustitución del CODIGO HDB3
Código AMI, HDB-3 [Int99].
Código B8ZS [Int99]
Tabla comparativa entre AMI y sus variantes
Resumen de códigos de línea. (*) Denota el mejor funcionamiento o calidad
Características principales de códigos de línea
Disparidad: La mayoría de los canales de comunicación de larga distancia no pueden transportar de forma fiable
un componente de CC. El componente DC también se denomina disparidad, sesgo, coeficiente de CC.
La disparidad de un patrón de bits es la diferencia en el número de bits frente al número de bits cero. La
disparidad de funcionamiento es el total en ejecución de la disparidad de todos los bits transmitidos previamente. El
código de línea más simple posible, unipolar, da demasiados errores en estos sistemas, porque tiene un componente de
CC sin límites.
Código de línea NBMB:
nb/mb es un código de línea que asigna palabras de n bits a símbolos de m bits para lograr el equilibrio de CC y la
disparidad limitada, y sin embargo proporcionan suficientes cambios de estado para permitir una recuperación
razonable del reloj.
Esto significa que la diferencia entre los recuentos de unos y ceros en una cadena de al menos 20 bits no es mayor que
dos, y que no hay más de determinado número de ceros seguidos. Esto ayuda a reducir la demanda del límite de ancho
de banda más bajo del canal necesario para transferir la señal.
6b/7b: este código mapea la información de la fuente en otro código que maneja un alfabeto de longitud mayor 7:6.
Evitando secuencias seguidas de ceros y de unos
Concepto de DISPARIDAD en los códigos de línea
Ejemplo del proceso de codificación para 3b/4b
• Se toma un mensaje, por ejemplo: 100000111110000101
• Se separa en bloques de 3 bits: 100-000-111-110-000-101
• Se remplazan por palabras de 4 bits: 1101-0100-1100-0110-0100-1010
De manera similar ocurre en 6b/7b: se pasa de tener 5 ceros y 5 unos consecutivos a 3 ceros y 2
unos consecutivos, reduciendo la disparidad, al ser mas palabras que elementos a representar
este código presenta la ventaja de transmitir palabras privadas de control. El proceso de
decodificación es el proceso inverso.
Existen procesos como el 8b/10b que son la suma de 2 procesos en este caso (3b/4b + 5b/6b):
¿Cómo se genera un código de línea multinivel y se calcula su DEP?
¿Cómo se calcula la DEP de un código de línea?
F(f) es la transformada de Fourier del pulso de la forma f(t)
R(k) es la autocorrelación de los datos digitales
En resumen:
Ejemplo, para NRZ
Autocorrelación:
Transformada de Fourier para pulso NRZ rectangular:
Referencia: Comunicaciones digitales de COUCH, L. cap. 3., pág. 159
EJEMPLO: CALCULO DE LA DEP DEL CÓDIGO MANCHESTER
Las figuras muestran la
densidad espectral de
potencia de los códigos de
línea suponiendo que los
bits 0 y 1 son
equiprobables:
COMPARACION
DEP del código de línea de 8 niveles: L=8
Eficiencia espectral del código de línea multinivel:
Se sustituye I/Tb por 1/Ts y Ts= 3Tb
Probabilidad de error NRZ:
Referencia: Comunicaciones digitales de COUCH, cap. 3, pág. 459
¿Cómo desarrollar una formula para calcular la P(e): BER de una señal
banda base NRZ?
• T es el tiempo que lleva transmitir un bit de datos. Intervalo (0, T).
• La señal binaria mas el ruido en la entrada del receptor produce una forma de
onda banda base análoga
• Se representa así:
• Se puede evaluar la FDP condicional para las dos variables aleatorias: ro=ro1
y ro=ro2
• Cuando ro=ro1, la FDP es
• Cuando ro=ro2, la FDP es
• Como ejemplo se muestran formas gaussianas.
VARIABLES ALEATORIAS CONTINUAS
• Este voltaje de forma de onda analógica ro(t) se representa en el tiempo to
durante el intervalo de bit
• Intervalo de bit:
Señal binaria antipodal:
Patrones de Ojos: Medida práctica de
los niveles de ruido del código de línea.
• Es una herramienta experimental utilizada en las comunicaciones digitales banda
base para evaluar la calidad del código de línea recibido.
• Herramienta de gran utilidad para visualizar el comportamiento de un
sistema de comunicaciones, en particular, para determinar de forma
cualitativa el impacto de ciertos fenómenos indeseables como el ruido,
la interferencia entre símbolos o las fluctuaciones en el reloj de símbolo.
• Generalmente, los diagramas de ojo se construyen en el osciloscopio,
aprovechando la persistencia de la onda en pantalla para representar de
forma solapada fragmentos consecutivos de la señal que se desea
analizar. La frecuencia de disparo del osciloscopio, obtenida a partir del reloj
de símbolo, se ajusta para que el eje horizontal abarque típicamente dos
periodos de símbolo.
El proceso de construcción del diagrama de ojo que realiza automáticamente el osciloscopio se ilustra en la Figura
siguiente:
• En la parte superior se tiene la forma de onda cuyo diagrama de ojo se quiere visualizar, en este caso, una señal
PAM banda base con constelación binaria antipodal, pulso en coseno alzado con factor de caída α = 0,35 y carente
de ruido.
• Dicha señal se divide en fragmentos de duración 2T que se representan de forma superpuesta.
Proceso de construcción de un diagrama de ojo
Por ejemplo, en una secuencia de 3 bits hay 8
combinaciones posibles, las que pueden ser
observadas en la figura. Se observa que no se
consideran las cadenas de 3 unos y 3 ceros
consecutivas, ya que, debido a la superposición
de las otras combinaciones, quedan
determinadas implícitamente
Las características a analizar son: el tiempo de
subida, tiempo de bajada, sobretensión
superior e inferior y el jitter, que están
referidas a cuatro propiedades fundamentales
del ojo:
El nivel de 0, el nivel de 1, el cruce de amplitud
y el cruce de tiempo
• El efecto de la filtración y ruido en un canal se ve observando el código de línea recibido
en un osciloscopio.
• En la imagen siguiente se muestran formas de onda polares NRZ dañadas en los casos
de:
1. Filtración de canal ideal
2. Filtración que produce interferencia intersímbolos (ISI)
3. Ruido más ISI
• Lo importante es evaluar el efecto combinado del ruido del canal y de la interferencia
intersímbolo sobre el desempeño total del sistema en un ambiente operativo.
• El error de sincronización
permitido en el muestreador
del receptor esta dado por el
ancho del ojo, conocido
como apertura del ojo.
• La sensibilidad al error de
sincronización esta dada por
la pendiente de la apertura
del ojo, evaluada en o cerca
del cruce por cero.
• El margen de ruido del
sistema esta dado por la
altura de la apertura del ojo.
 Las asimetrías en el diagrama indican alinealidades en el canal.
EJERCICIO para tercer tercio
Código Manchester o bifase

Codigos de linea 171121 (1).pptx

  • 1.
  • 2.
    DEFINICION: Antes de latransmisión digital (figura 1) o transmisión pasabanda, una secuencia de bits de datos se convierte en un grupo de elementos de señalización que utiliza símbolos en su representación, mediante la codificación de línea. La codificación se utiliza para adecuar la señal al medio de transmisión: la señal binaria con valores discretos TTL se traslada a una forma de señal más apropiada para ser transmitida.
  • 3.
    Ventajas de lacodificación de línea: – Se consigue una señal transmitida más robusta frente al ruido, la interferencia y otros efectos adversos del canal como el nivel DC (offset del canal), lo recomendable es tener acople AC. – Algunos códigos son eficientes en ancho de banda (puede ser una desventaja), otros lo son en corrección de error (con lo cual se obtiene baja probabilidad de error de bit). – Permiten recuperar el sincronismo en el receptor (el código de línea tiene suficiente información de sincronismo). – La información entra al codificador de línea con una Rb y sale con Rs o D (tasa de símbolo o baudio).
  • 4.
    Clasificación de lacodificación de línea: – Se clasifican en: a) códigos de línea en los cuales la información binaria se codifica en el nivel de amplitud, b) códigos de línea en los cuales la información binaria se codifica en el cambio de fase, y c) hay códigos de línea bipolares con retorno o no a cero, ternarios y multinivel. DEP del código de línea
  • 5.
    Tasa de Bits [Mbps] Códigode línea recomendado por la ITU 1544 AMI o B8ZS 2048 HDB-3 6312 B8ZS o B6ZS 8448 HDB-3 32064 AMI 34368 HDB-3 44736 B3ZS 97728 AMI 139264 CMI Códigos utilizados por Intelsat [Int99]. •Los códigos de línea HDB3, CMI y AMI están normalizados por la UIT. •NRZ se utiliza en transmisión de señal al interior de los equipos, es decir a distancias muy cortas. •Para largas distancias, se utilizan códigos de línea bipolares y de marcas alternas. •Los códigos de línea AMI, HDB3, B8ZS, NBMB, CMI, Manchester I y II, se utilizan en la transmisión de información por fibra óptica. •El código de línea AMI se utiliza en comunicaciones telefónicas, es resistente al ruido. •Algunas tecnologías de acceso alámbrica utilizan los códigos de línea HDB3, 2B1Q y 4B3T. •La codificación de línea AMI es usada para T1 y E1 •Los códigos de línea CMI y HDB3, se utilizan en las redes de datos para E4 y E1 •La codificación de línea utilizada por Intelsat está basada fundamentalmente en el código AMI (Alternative Mark Inversion). Usos de los códigos de línea en las comunicaciones Banda base
  • 6.
    La siguiente figura muestra lasformas de onda de cinco importantes códigos de línea para los datos binarios. Ejemplo: 0 1 1 0 1 0 0 1. Unipolar sin retorno a cero (nonreturn-to-cero NRZ) Polar sin retorno a cero (NRZ) Unipolar con retorno a cero (return-to-zero RZ) Bipolar con retorno a cero (RZ) o AMI-RZ Código de Manchester
  • 7.
    El código CMI(Codec Mark Inversion) es un código en línea en banda base, cuyo objetivo es: • Mínima componente continua. • Máximo número de cambios de nivel • Mínima frecuencia o ancho de banda para una velocidad de bits. • Detención y corrección de errores. Fuente Wikipedia •El bit 0:se codifica con un cambio de polaridad negativa a positiva (V- a V+), en la mitad del intervalo del bit. •El bit 1:se codifica con polaridad positiva y negativa alternativamente y sin transición en la mitad del intervalo.
  • 8.
  • 9.
    Códigos de líneamás usados NRZ-L: el 0 se codifica con nivel alto y el 1 con nivel bajo NRZI: siempre hay transición al inicio del “1” Pseudoternario: el “1” se codifica con tensión nula, el “0” con tensión V y se alterna. Los códigos bifase a diferencia de los códigos multinivel tienen una componente DC nula Manchester: incorpora una transición en medio de cada bit. Para el “0” la transición es de alto a bajo, para el “1” viceversa. Manchester diferencial: Para el “0” hay desfase de 180º, para el “1” de 0º.
  • 10.
    • CMI, NRZ,pseudoternario, HDB3 • Manchester, bipolar-AMI, HDB2, NRZ-L
  • 11.
    Ejemplo de unCOD/DECODIFICADOR DE LINEA DIFERENCIAL NRZ
  • 12.
    Tabla de códigodiferencial 2B1Q CODIGO DE LINEA 2B1Q Señal de datos binaria (160 Kbps) Señalización 2B1Q Nota: para codificar cada par de bits tener en cuenta nivel previo
  • 13.
    Unipolar sin retornoa cero: Una desventaja de este código de línea es el desperdicio de potencia para la transmisión de un nivel de continua DC, y el hecho de que el espectro de potencia de la señal transmitida no se aproxima a cero para frecuencia cero. Polar sin retorno a cero (NRZ): Este código de línea es relativamente fácil de generar pero tiene la desventaja de que el espectro de potencia de la señal es grande cerca de la frecuencia cero. Unipolar con retorno a cero (return-to-zero RZ): Una desventaja es que requiere 3 dB más de potencia que el código polar con retorno a cero para la misma probabilidad de error en los símbolos. Bipolar con retorno a cero (RZ) o AMI-RZ (alternative mark inversion): Este código de línea no tiene componente de continua (DC) y relativamente insignificante componentes de baja frecuencia para el caso de símbolos 0 y 1 equiprobables. Código de Manchester: • Un símbolo 1 es representado por un pulso positivo de amplitud A, seguido por un pulso negativo de amplitud –A, con ambos pulsos de anchura mitad de símbolo. • Para el símbolo 0 las polaridades de estos dos pulsos son las contrarias. • El código de Manchester suprime la componente continua (DC) y tiene componentes de baja frecuencia relativamente insignificantes, estas propiedades son esenciales en algunas aplicaciones.
  • 14.
    Problemas para elCODIGO AMI cuando hay cadenas consecutivas de ceros
  • 15.
    Técnicas de “scrambling” Unobjetivo del aleatorizador de datos es eliminar largas secuencias de ceros o unos sucesivos para conseguir una mejor transparencia y sincronización a partir de los datos. Son técnicas de inserción de bits “bit scrambling”; utilizan algún procedimiento o técnica de “scrambling” para reemplazar las secuencias de bits que den lugar a niveles de tensión constante.
  • 16.
    Requisitos para obtenerla secuencia reemplazada: • Debe proporcionar suficiente número de transiciones para que el reloj se mantenga sincronizado. • Debe ser reconocida por el receptor y sustituida por la secuencia original. • Debe tener la misma longitud que la original. • Evitar la componente en continua. • Evitar las secuencias largas que correspondan a señales de tensión nula. • No reducir la velocidad de transmisión de los datos. • Tener cierta capacidad para detectar errores. En el error de ráfaga se presenta un grupo de bits en cero, la aleatorización de bits evita esto de varias formas por ejemplo B8ZS pero en general esta y otras formas, se basan en remplazar una cadena del mensaje que contenga determinado número de ceros continuos (en este caso 8) y los remplaza por un código definido de forma que si el receptor recibe esta cantidad de ceros continuos, identifica que se trata de un error.
  • 17.
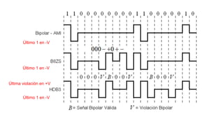
    Bipolar de grandensidad (HDBn): HDB3. Bipolar de alta densidad con sustitución de 3 ceros (High Density Bipolar-3 Zeros): Posee la misma señalización que el código AMI; también se llama AMI modificado. Su variante se encuentra cuando se envían más de tres ceros consecutivos en donde se introduce una violación.
  • 18.
    Última violación en+V Último 1 en -V Último 1 en -V Último 1 en -V
  • 19.
    El scrambling insertapalabras de bits preestablecidas que se descartan en el receptor, mientras que el entrelazado repite el mensaje y lo envía en un orden distinto para que si se comete un error de transmisión, el receptor sea capaz de corregirlo y no descartarlo, como es el caso de la aleatorización; sin embargo, requiere más ancho de banda ya que envía más bits por mensaje Por ejemplo, si el mensaje es abcdefg: Diferencias entre scrambling y el entrelazado
  • 20.
    Códigos SCRAMBLING: BNZS Loscódigos BNZS se utilizan en Norteamérica. Estos códigos sustituyen una cadena de N-ceros por una palabra de longitud N, la cual produce una violación de polaridad. En el receptor los datos originales se obtienen reconociendo las violaciones bipolares y reemplazándolas por la cadena original de N-ceros. También son llamados códigos AMI modificados porque: a) se alternan los unos, y b) evitan cadenas de ceros consecutivas, sustituyéndolas por palabras de código preestablecidas
  • 21.
    B8ZS (EEUU). Bipolarcon sustitución de 8 ceros (Binary, 8 Zeros Suppressed): La señalización utilizada es la misma que el código AMI, encontrando su modificación en secuencias de ocho ceros consecutivos, caso en el cual se deberá enviar un código preestablecido que el receptor ya conocerá de antemano. Así tenemos la siguiente regla: Reglas de sustitución del código B6ZS
  • 22.
    Reglas de sustitucióndel código B6ZS Código B3ZS, a) regla de codificación: los signos +, 0, y -, representan pulsos +v, 0v o -v respectivamente Reglas de sustitución del código B3ZS El código de línea B3ZS se especifica en la recomendación G.703 de la UIT, para utilizarse en la interface a 44.736 Mbits/s; en este código, se sustituyen tres ceros por una palabra binaria (B3ZS); es muy similar al código HDB3.
  • 23.
    Regla para lasustitución del CODIGO HDB3
  • 24.
  • 25.
  • 26.
    Tabla comparativa entreAMI y sus variantes Resumen de códigos de línea. (*) Denota el mejor funcionamiento o calidad
  • 27.
  • 28.
    Disparidad: La mayoríade los canales de comunicación de larga distancia no pueden transportar de forma fiable un componente de CC. El componente DC también se denomina disparidad, sesgo, coeficiente de CC. La disparidad de un patrón de bits es la diferencia en el número de bits frente al número de bits cero. La disparidad de funcionamiento es el total en ejecución de la disparidad de todos los bits transmitidos previamente. El código de línea más simple posible, unipolar, da demasiados errores en estos sistemas, porque tiene un componente de CC sin límites. Código de línea NBMB: nb/mb es un código de línea que asigna palabras de n bits a símbolos de m bits para lograr el equilibrio de CC y la disparidad limitada, y sin embargo proporcionan suficientes cambios de estado para permitir una recuperación razonable del reloj. Esto significa que la diferencia entre los recuentos de unos y ceros en una cadena de al menos 20 bits no es mayor que dos, y que no hay más de determinado número de ceros seguidos. Esto ayuda a reducir la demanda del límite de ancho de banda más bajo del canal necesario para transferir la señal. 6b/7b: este código mapea la información de la fuente en otro código que maneja un alfabeto de longitud mayor 7:6. Evitando secuencias seguidas de ceros y de unos Concepto de DISPARIDAD en los códigos de línea
  • 29.
    Ejemplo del procesode codificación para 3b/4b • Se toma un mensaje, por ejemplo: 100000111110000101 • Se separa en bloques de 3 bits: 100-000-111-110-000-101 • Se remplazan por palabras de 4 bits: 1101-0100-1100-0110-0100-1010 De manera similar ocurre en 6b/7b: se pasa de tener 5 ceros y 5 unos consecutivos a 3 ceros y 2 unos consecutivos, reduciendo la disparidad, al ser mas palabras que elementos a representar este código presenta la ventaja de transmitir palabras privadas de control. El proceso de decodificación es el proceso inverso.
  • 30.
    Existen procesos comoel 8b/10b que son la suma de 2 procesos en este caso (3b/4b + 5b/6b):
  • 31.
    ¿Cómo se generaun código de línea multinivel y se calcula su DEP?
  • 32.
    ¿Cómo se calculala DEP de un código de línea? F(f) es la transformada de Fourier del pulso de la forma f(t) R(k) es la autocorrelación de los datos digitales En resumen: Ejemplo, para NRZ Autocorrelación: Transformada de Fourier para pulso NRZ rectangular: Referencia: Comunicaciones digitales de COUCH, L. cap. 3., pág. 159
  • 33.
    EJEMPLO: CALCULO DELA DEP DEL CÓDIGO MANCHESTER
  • 35.
    Las figuras muestranla densidad espectral de potencia de los códigos de línea suponiendo que los bits 0 y 1 son equiprobables:
  • 36.
  • 37.
    DEP del códigode línea de 8 niveles: L=8 Eficiencia espectral del código de línea multinivel: Se sustituye I/Tb por 1/Ts y Ts= 3Tb
  • 38.
    Probabilidad de errorNRZ: Referencia: Comunicaciones digitales de COUCH, cap. 3, pág. 459
  • 40.
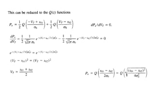
    ¿Cómo desarrollar unaformula para calcular la P(e): BER de una señal banda base NRZ? • T es el tiempo que lleva transmitir un bit de datos. Intervalo (0, T). • La señal binaria mas el ruido en la entrada del receptor produce una forma de onda banda base análoga • Se representa así:
  • 41.
    • Se puedeevaluar la FDP condicional para las dos variables aleatorias: ro=ro1 y ro=ro2 • Cuando ro=ro1, la FDP es • Cuando ro=ro2, la FDP es • Como ejemplo se muestran formas gaussianas.
  • 42.
  • 44.
    • Este voltajede forma de onda analógica ro(t) se representa en el tiempo to durante el intervalo de bit • Intervalo de bit:
  • 53.
  • 56.
    Patrones de Ojos:Medida práctica de los niveles de ruido del código de línea. • Es una herramienta experimental utilizada en las comunicaciones digitales banda base para evaluar la calidad del código de línea recibido.
  • 57.
    • Herramienta degran utilidad para visualizar el comportamiento de un sistema de comunicaciones, en particular, para determinar de forma cualitativa el impacto de ciertos fenómenos indeseables como el ruido, la interferencia entre símbolos o las fluctuaciones en el reloj de símbolo. • Generalmente, los diagramas de ojo se construyen en el osciloscopio, aprovechando la persistencia de la onda en pantalla para representar de forma solapada fragmentos consecutivos de la señal que se desea analizar. La frecuencia de disparo del osciloscopio, obtenida a partir del reloj de símbolo, se ajusta para que el eje horizontal abarque típicamente dos periodos de símbolo.
  • 59.
    El proceso deconstrucción del diagrama de ojo que realiza automáticamente el osciloscopio se ilustra en la Figura siguiente: • En la parte superior se tiene la forma de onda cuyo diagrama de ojo se quiere visualizar, en este caso, una señal PAM banda base con constelación binaria antipodal, pulso en coseno alzado con factor de caída α = 0,35 y carente de ruido. • Dicha señal se divide en fragmentos de duración 2T que se representan de forma superpuesta. Proceso de construcción de un diagrama de ojo
  • 60.
    Por ejemplo, enuna secuencia de 3 bits hay 8 combinaciones posibles, las que pueden ser observadas en la figura. Se observa que no se consideran las cadenas de 3 unos y 3 ceros consecutivas, ya que, debido a la superposición de las otras combinaciones, quedan determinadas implícitamente Las características a analizar son: el tiempo de subida, tiempo de bajada, sobretensión superior e inferior y el jitter, que están referidas a cuatro propiedades fundamentales del ojo: El nivel de 0, el nivel de 1, el cruce de amplitud y el cruce de tiempo
  • 62.
    • El efectode la filtración y ruido en un canal se ve observando el código de línea recibido en un osciloscopio. • En la imagen siguiente se muestran formas de onda polares NRZ dañadas en los casos de: 1. Filtración de canal ideal 2. Filtración que produce interferencia intersímbolos (ISI) 3. Ruido más ISI • Lo importante es evaluar el efecto combinado del ruido del canal y de la interferencia intersímbolo sobre el desempeño total del sistema en un ambiente operativo.
  • 63.
    • El errorde sincronización permitido en el muestreador del receptor esta dado por el ancho del ojo, conocido como apertura del ojo. • La sensibilidad al error de sincronización esta dada por la pendiente de la apertura del ojo, evaluada en o cerca del cruce por cero. • El margen de ruido del sistema esta dado por la altura de la apertura del ojo.
  • 64.
     Las asimetríasen el diagrama indican alinealidades en el canal.
  • 65.
  • 66.