COMPUESTOS FENOLICOS
Los compuestos fenólicos forman un grupo grande de compuestos
que es difícil de definir de una manera simple. Los elementos
estructurales fundamentales que los caracterizan es la presencia de al
menos un anillo aromático conteniendo uno o más grupos OH, libres
o conjugados (éteres, ésteres o glicósidos). De esta forma una
definición puramente química de fenólicos es insuficiente para
caracterizar a los fenólicos vegetales: debe incluir a compuestos que
tengan estos elementos estructurales, pero evidencie pertenezcan a un
grupo particular del compuesto, p.ej. algunos alcaloides (boldina,
morfina) o terpenoides (timol, gosipol, carnosol) tienen en su
estructura un residuo aromático y un grupo OH. De esto se
desprende que es necesario incluir un criterio biosintético para definir
a este grupo.
Boldina Morfina Timol
Gosipol Carnosol
En relación al anillo aromático solo plantas y microorganismos son
capaces de sintetizar este anillo; y en relación a los fenólicos de las plantas
estos provienen de 2 ruta de aromatización principales:
La ruta mas común es la que involucra al shikimato (ácido Shikimico) y
parte de monosacáridos a aminoácidos aromáticos (fenilalanina, tirosina),
continúa con desaminación de ellos para formar derivados del ácido
cinámico: ácidos benzóicos, acetofenonas, lignanos,ligninas y cumárinas
La otra ruta empieza con el acetato y conduce a poli-β-cetoésteres de
tamaño variable: policétidos, que el ciclizarse (Reacción de Caisen ó
condensación aldólica) forman productos que comúnmente son
policíclicos e incluye a: cromonas, isocumarinas, orcinoles, depsidos,
depsidonas xantonas y quinonas.
De ahí que la diversidad estructural de los fenólicos se debe a su origen
biosintético dual y se incrementa por la frecuente combinación de las rutas de
shikimato y acetato en la elaboración de compuestos de origen mixto (p.ej.
flavonoides, estilbeno, pironas y xantonas). La participación de un tercer
bloque de construcción el mevalonato también es posible aunque menos
frecuente como algunas quinonas o furano ó pirano cumarinas (combinación
de la ruta de shikimico y mavalonato) o una combinación de acetato con
mavalonato, p.ej. canabinoides y en algunos casos los 3 precursores
contribuyen a la elaboración de una estructura fenólica, p.ej. los rotenoides.
La gran diversidad estructural de los fenólicos dificulta el generalizar sobre
los métodos de su aislamiento o de sus propiedades físico-químicas o
biológicas. Tal que estos compuestos se pueden estudiar por grupos en base a
su origen biosintético en:
i) Derivados de fenil propanos
ii) Derivados de fenil propano c/elongación de la cadena
iii) Derivados de la ruta shikimato, acetato: flavonoides
Fig. 1.2. Biosynthetic origin of plant phenolics from shikimate and phenylanine
Aesculetin
COUMARIN
Magnoliol
NEOLIGNAN
Sinapin acid
PHENYLPROPANOIC ACID
Pynosilvin
STILBENE
Magniferin
XANTHONE
Quercetin
FLAVONOL
Physcion
ANTHRAQUINONE
Xanthoxylin
BENZOPHENONE
THC
CANNABINOID
Propiedades físico químicas generales de los compuestos fenólicos
1. Ruptura homolítica
La oxidación de ión fenolato se facilita y da un radical fenoxi que se estabiliza por
resonancia y es altamente reactivo.
Esta facultad de oxidación tiene relación con su comportamiento en reacciones coloridas
p.ej. c/cloruro férrico o sus propiedades anti oxidantes y atrapadoras de radicales libres
(ver figura).
Esta reacción: copulación oxidativa fenólica forma uniones de bifenilos o difenil éteres.
Pueden ser intramolecular (formación de anillos nuevos o intermoleculares (formación de
polímeros). Esta reacción se efectúa comúnmente en la biosíntesis de fenólicos compuestos
(p.ej. alcaloides) ver figura.
2. Oxidación del anillo aromático.
La oxidación fenólica es común en la biosíntesis de estos compuestos. Puede conducir a
ruptura o hidroxilación del anillo aromático.
En el primer caso, la reacción se cataliza por una dioxigenasa que, en presencia de sales
férricas incorpora los 2 oxígenos de una molécula de 02. En el segundo caso la reacción se
cataliza por una mono oxigenasa que incorpora en el anillo aromático solo un átomo de
oxígeno, el otro átomo se reduce por un donador apropiado (AH2).
Homolytic cleavage
Oxidation of the phenolate ion is facile and yields a phenoxy radical which is
stabilized by resonance and highly reactive. This ease of oxidation has consequences
in the domains of analytical chemistry (e.g. color reactions with ferric chloride),
pharmaceutical technology (instability, incompatibilities with metals), and practical
applications (antioxidant and radical scavering properties). In addition, the facile
formation of phenoxy radicals and their coupling are directly involved in many
biosynthetic processes (as illustrated by the formation of usnic acid or xanthones, see
figure)
Scheme 1.1. (a) Formation of the phenoxide ion and delocalization, (b)
derivation of the radical species, and (c) hydrogen bonding between a
phenol (gallic acid) and caffeine (after Haslam 1989).
OXIDATION OF THE AROMATIC RING
Phenol oxidation is a common occurrence during biosynthetic process. It
may lead to either cleavage or to hydroxylation of the aromatic ring. In the
first case, the reaction is catalyzed by a dioxygenase which, in the presence
of ferric salts, incorporates both oxygen atoms of the oxygen molecule. In
the second case, the reaction is catalyzed by a monooxygenase which
incorporates into the aromatic compound only one oxygen atom, the other
atom being reduced by appropiate donor (AH2). The mechanism of this
hydroxylation involves an arene oxide which opens with concurrent proton
migration (“NIH shift”, first described by a National Institutes of Health
researcher, see specialized texts).
This reaction-phenolic oxidative coupling- affords byphenyl linkages or diphenyl
ether linkages. In may be intramolecular (formation of the new rings) or
intermolecular (this is one of the known biosynthetic pathways toward polymers).
This reaction occurs phenolics (see metabolism of pyrogalloylglucoses, lignans,
and lignins), and other metabolites (see isoquinoline alkaloids)
1. Acidez de los fenólicos
La estabilización por resonancia del ión fenolato explica la acidez de estas moléculas:
de ahí su solubilidad en soluciones de hidróxidos alcalinos y esto explica porque son
compuestos tan reactivos.
2. Caracterización de compuestos fenólicos
Algunos compuestos fenólicos son notorios a simple vista, p.ej. antocianinas en flores
o frutos y otros se observan con luz uv (antes o después de exponerlos a vapores de
NH3), ó bien con reactivos coloridos. Esto último se hace con frecuencia después de
una separación cromatográfica de un extracto polar. Algunos de los reactivos
generales de detección son: cloruro férrico, fosfomolibdato-fosfotungstato (Reactivo de
Folin) vainillina en medio ácido, sales de diazonio ó reactivo de Gibbs.
Con algunos reactivos, la estructura del fenólico determina cierta especificidad
(velocidad de reacción, color resultante) que conduce a un cierto valor diagnóstico que
no es absoluto.
La cromatografía en papel bidimensional continúa siendo un buen método rutinario
de identificación de los principales grupos de fenólicos presentes en el extracto; este
método se puede complementar con un análisis por (CCF de los productos de
hidrólisis (en medio ácido).
1. Extract dried leaf for lipid-soluble phenolics by dipping for 30 s in CHCl3 or MeOH
2. Extract dried leaf with 70% EtOH a and concentrate to aqueous residue
a) Aq. Extract 2D PC in BAW (4:1:5) 15% HOAc
UV-NH3 spray reagents
Record position and colour response
b) Hydrolysed extract (2N HCl at 100°C for 40 min)
i) Extract colour into amyl alcohol. Concentrate and run in Forestal.
anthocyanidin (if original, extract coloured)
proanthocyanidin (if orginal, extract green)
ii) Extract into EtOAc
2D TLC silica gel-phenols, phenolic acids, quinones
(10% HOAc in CHCl3 45% EtOAc in benzene)
TLC cellullose-flavonoid aglycones (apigenin, luteolin.
(Forestal)b quercetin, etc)
c) Direct extract electrophoresis at pH 2.2 and 4.4 –malonates, glucuronides and sulphates
3. Lipid-soluble fraction
TLC silica gel – methylated flavones (dull brown), biflavonoids (dull brown).
(10% HOAc in CHCL3) methylated cinnamates (blue) isoflavones (dull purple)
Table 1.6. Routine procedure for screening plant tissues for common phenolic
constituents
For further practical details, see Harborne 1984
a If fresh leaf is extracted, then use 100% EtOH
b Other solvent system suitable for aglycones are 50% HOAc, CAW and PhOH (for key to abbreviations, see Table 1.9
Electrophoretic behaviour b at pH 2.2 And pH 4.4
Pigments
Ordinary anthocyanins To anode Inmobile
Malonated anthocyanins To anode To cathode
Betalains To cathode
Colourless compounds To cathode
Phanolic glucuronides Inmobile To cathode
Phenolic sulphates To cathode To cathode
Table 1.7. Paper electrophoresis of charged phenolics a
a Neutral phenols can also be separated after ionisation e.g. in borate buffer pH 8.8
catechol derivatives are mobile in sodium molybdate buffer pH 5.2
b Run for 1-2 h at 10 V cm-1 on Whatman No. 2 paper detection in daylight or UV light
Reagent Colour produced Reference
1 Folin Ciocalteu
(phosphomolybdatephosphotungstate
reagent)
Phenols with catechol and hyroquinone
nucleus appear blue, other phenols show
up blue to grey after fuming with
ammonia vapour
Serkel (1964)
2 Gibb´s reagent (2,6-
dichloroquinonechlorimide, 2% in
chloroform) with carbonate overspray
Variety of colours Serkel (1964)
3 Diazotised amines (e.g. P-nitroaniline,
etc.)
Variety of colours Van Sumere et.al. (1965)
4 Ferric chloride 1 2% (alcoholic) Variety of colours Serckel (1964)
5 Vanillin HCl (1 g vanillin in 10 ml HCl) Range of pink colours with resorcinol
and phloroglucinol derivatives
Harborne (1984)
6 1% KMnO4 in 0.05 M H2SO4
(universal) reagent for silica gel plates
only; explosion danger
White-yellowish spots on mauve
background
Van Sumere et.al. (1965)
Table 2.5. General sprays for detecting phenols on paper or thin layers of cellulose
Reagent Layer or paper Detected compunds Reference
Sodium cobalto nitrite in acetic
acid
Silica gel Phenols, benzoic and cinnamic
acids
Bathia et.al. (1971)
20% T1Cl4 in conc. HCl Silica gel Phenolic compounds (no
reaction with phenol)
Eskin and Frenkel
(1978)
2,4-Dinitrophenylhydrazine
(0.5% in 2 M HCl)
Silica gel Phenolic aldehydes Gibbard and Schoental
(1969)
Phloroglucinol (2.5% in 3 M
HCl
Silica gel Phenolic aldehydes
Sodium nitrite and sodium
tungstate
Silica gel and
polyamide
Phenols, benzoic acids,
cinnamic aldehydes and related
acids
Bhatia et.al. (1973)
Potassium metaperiodate PC + TLC
containing
cellulose
Mono-, di-trihydroxybenzoic
and cinnamic aldehydes and
acids
Clifford and Wight
(1973)
Sodium molybdate PC + TLC O-Dihydroxy compounds Harborne (1975)
Isoniazid reagent (isonicotinic
acid hydrazide reagent)
PC + TLC
containing
cellulose
O-Hydroxy and vicinal
trihydroxy-phenolic compounds
Bajaj and Bathia (1976)
Table 2.6. Diagnostic sprays for phenols and phenolic acids
Reagent Response Specifity
1% alcoholic AlCl3 UV fluorescent colours All flavonoids
Ammonia vapour Colour development Most phenols
2% aq. NaOH
5% aq. Na2 CO3
or colour change
0.2% diazotised
p-nitroaniline with
20% Na2CO3 overspray
Various colours All phenols
2% alcoholic 2.6-dichloroquinone- chlorimide with HOAc or
Na2CO3 overspray (Gibbs reagent)
Various colors Most phenols
1% methanolic diphenylboric acid-ethanolamine (Naturstoff
reagent)
Orange yellow and
green colours
All flavonoids
1% alcoholic FeCl Blue, green, brown, red Most phenols
1% aq. FeCl3, 1% aq. K3FE(CN)6 Blue All phenols
Phosphomolybdate-phosphotungstate (Folin-Ciocalteu)b Blue All phenols
5% satd ammoniacal
AgNO3 in acetone
Black All phenols
1g vainillin in 10 ml conc. HCl Pink colour Most phenols
Table 1.5. General reagents for the detection of phenolics in solution or on chromatograms
a Almost all plyphenols can be directly detected on chromatograms or TLC plates by their UV absorbance or reflectance
b Commercially available as a prepared solution
Separation system Comments
Thick paper or thick layer chromatography Convenient for 5-10 mg samples, but otherwise
laborious
Centrifugal TLC Excellent for flavonoid aglycones and lipophilic
phenols on 50-10 mg scale
Open column chromatography polyamide Excellent capacity, uses simple aqueous alcoholic
solvents, up to the gram scale
Cellulose Time consuming and lacking in reproducibility
Sephadex G-50 System of choice for proanthocyanidins eluting with
acetone-water mixtures
Sephadex LH-20 Useful for clean-up and for simple separations
Silica
Presure column chromatography
For non-polar phenolic
Low pressure (Lobar) 200-300 mg samples can be separated in 1-2 h
High pressure (HPLC) on bonded silica Separations in 10-30 min: wide range of applications
Droplet counter-current chromatography
(DCCC)
Only a few solvent system applicable.
Useful for hydrolysis tannins.
Anthraquinones and antocyanins
Table 1.11 Comparison of preparative separations of phenolics
Enzyme Speciticity
β-Glucosidase Hydrolyses β-D-glucosides (and β-D-xylosides) no effect on
anthocyanin substrates
α-Glucosidase Hydrolyses α-D-glucosides
β-Galactoside Hydrolyses β-D-galactosides
β-Glucuronidase Hydrolyses β-D-glucuronides
Pectinase Hydrolyses α-L-rhamnosides: chief activity of this preparation is
polygalacturonidase
Sulphatase Hydrolyses phenolic sulphates: but limited activity with flavonol 3-
sulphates
Naringinase Hydrolyses flavanone 7-O-neohesperidoside to free flavanone
Rhamnodiastase Removes intact oligosaccharides from flavonol 3-glycosides: from
Rhamnus frangula seeds
Anthocyanase Hydrolyses most anthocyanidin glycosides
Table 1.13 Enzymes useful in the structural analysis of phenolic conjugates
Procedure Indication
Hot acid treatment Colour production: proanthocyanidins
Hydrolisis of O-glycosydes
Rearrangement of C-glycosyflavones
Isomerisation of 5.7.8 – to 5.6.7-to 5.6.7-trihydroxyflavones
H2O2 oxidation Release of oligosaccharide (or acylated oligosaccharide) attached to 3-
position of flavonoids
Methylation Analysis of product indicates number of free hydroxyls in original
compounds
Acetylation Stabilise and otherwise unstable structure
Mild alkaline hydrolysis Release of organic acid acyl groups
Hydrolysis of ester linkages
Alkaline degradation To identify oxygenation pattern of aromatic nuclei
Demethylation To identify parent structure of O-methyl derivative
Table 1.14. Chemical modifications of plant polyphenols
ACIDOS FENOLICOS
El término ácido fenólico se aplica a aquellos compuestos con al menos un
grupo carboxilo y un OH fenólico o que en su origen biogenético tienen la
unidad C6-C1.
Estos ácidos que son derivados hidroxilados del ácido benzóico son
comunes en forma libre o conjugada (ésteres o glucósidos), p.ej. ácido
gálico. También son comunes los aldehídos derivados de estos ácidos, p.ej.
vainillina, anisaldehído o salicilaldehído.
Propiedades físico químicas
En general estos ácidos fenólicos son solubles en disolventes orgánicos
polares y también en soluciones de bases inorgánicas; p.ej. se solubilizan
por bicarbonato diluido, se extraen con disolventes orgánicos en
condiciones ligeramente ácidas.
Su estabilidad es variable, se pueden oxidar fácilmente en condiciones
alcalinas. El análisis de ellos comúnmente se hace por CCF o cromatografía
de gases, cromatografía de líquidos (LC). En el caso de la CCF el
disolvente lleva algo de un ácido orgánico (acético ó fórmico) y las placas
son de sílica gel o celulosa. Los compuestos se detectan con los reactivos
generales de fenólicos: cloruro férrico, vainillina, azul de prusia ó reactivo
de Folin sin embargo, el método analítico mas sensible tanto en su
detección como cuantificación es por cromatografía de líquidos en su
versión de fase reversa.
La extracción generalmente se hace del material fresco con alcohol o bien
en combinación con agua para evitar reacciones indeseables. (mezcla de
alcohol con agua). En algunos casos se sugiere trabajar en atmósfera inerte
y evitar pH extremos y evaporar los disolventes a baja temperatura (30ºC).
La extracción del residuo acuoso con disolventes inmiscibles de polaridad
creciente separa compuestos en estado libre, ésteres o glucósidos. La
separación de los compuestos de las mezclas se hace por métodos
cromatográficos clásicos con poliamida, celulosa ó silica gel.
ácido C6C1 C-2 C-3 C-4 C-5 Ácido C6C3
ácido benzoico H H H H ácido cinámico
ácido salicílico OH H H H ácido o-cumárico
ácido p-
hidroxibenzoico
H H OH H ácido p-cumárico
ácido gentísico OH H H OH
ácido protocatéquico H OH OH H ácido cafeico
ácido vainíllico H OMe OH H ácido ferúlico
ácido gálico H OH OH OH
ácido siríngico H OMe OH OMe ácido sinápico
Universal Common Rare
Benzoic acids 2-hydroxy
Protocatechuic
Vainillic
Syringic
Gallic *
Salicylic
Gentisic
2,3-Dihydroxy
2-Hydroxy-4-methoxy
2-Hydroxy-5-methoxy
2-Hydroxy-6-methoxy
3,5-Dihydroxy
Flavones Apigenin (Ap)
Luteolin (Lu)
Chrysoeriol
Ap 7-methyl ether
Lu 7-methyl ether
Tricin
Ap-5-methyl ether
Lu-7-methyl ether
tricetin
Table 1.4. Frequency of occurrence of hydroxybenzoic acids and flavones in the
flowering plants
* Gallic acid is mainly found in sugar association as gallotannin
Fig. 2.3 Thin layer chromatography separation on silica gel of simple plant phenols. Key: solvent 1.10%
acetic acid in chloroform; solvent 2, 45% ethyl acetate in benzene; i, gallic acid; 2, 3,4-dihydroxybenzoic
acid; 3, 2,5-dihydroxybenzoic acid; 4 rhododendrol; 5, hydroquinone; 6, orcinol; 7 p-hydroxybenzoic acid;
8, syringic acid; 9, vanillic acid; 10, salycilic acid. Compounds 1,2 and 5 give a blue colour with Folin
reagent. Compounds 3, 4, 6, 7, 8, 9 and 10 give a blue colour with Folin reagent. After fuming with
ammonia. Compound 6 gives a pink colour with vainillin-HCl
Table 2.1 Rf and spectral properties of simple phenolics
Significado Biológico
Aunque a ciertos fenólicos se les ha atribuido diversas actividades fisiológicas y
bioquímicas no siempre es claro si ellos son activos en las plantas. Por lo que
técnicas mejoradas de extracción y otras técnicas analíticas cuantitativas ayudarán
a elucidar sus funciones in vivo, por ejemplo Van Sumere en 1972 pudo
esclarecer el papel de ácidos fenólicos y cumarinas en la regulación de
germinación de semillas de cebada.
También es aparente que compuestos como alquil fenoles, hidroquinonas ó ésteres
de ácido elágico son repelentes de alimento, substancias de defensa o
aleloquímicos, otros fenoles y ácidos fenólicos se les ha relacionado con
inhibición de germinación de semillas, de esporas de hongos y en general del
crecimiento vegetal.
Además están relacionados con mecanismos de resistencia en plantas contra
fitopatógenos. La inhibición o activación de enzimas también es notoria, p.ej.
provocan que callos de tallos de Populus se diferencién o que promuevan la
iniciación de raíces adventicias en frijól mungo; también tienen importancia en
cloroplastos y fotosíntesis p.ej. el ácido benzóico inhibe este último proceso en
cloroplastos de espinaca.
APLICACIONES MEDICAS E INDUSTRIALES
antihelmíntico
Fenol
Catecol Antisépticos Timol
Timol embalsamante
p-metoxi-fenol: inhibidor del benzopireno (inductor de neoplasias)
2,6-dimetil-fenol: inhibidor de agregación plaquetaria in vitro
Guayacol: expectorante
Resorcinol: tratamiento del acné y psoriasis
Arbutina: diurético
Acido salicílico: manufactura de ácido acetil salicílico y salicilato de metilo
Acido gálico: potente agente antimicrobiano.
Acido elágico: inhibidor mutagenicidad y citotoxicidad de benzopireno
Fenol
p-cresol Manufactura de resinas, colorantes, explosivos.
alcohol salicílico
Resorcinol
Etil-fenol: manufactura de productos farmacéuticos
Hidroquinona, catecol, pirogalol: revelado fotográfico
Saliciladehido
Anisaldehido manufactura de perfumes y productos farmacéuticos
Vainillina
Acido gálico: manufactura de tintes y colorantes
Pirogalatos: antioxidantes
Acidos fenoxiacéticos: herbicidas.
Compound NH3/UV λ = 366 nm LOD (µg)
Chlorogenic Yellow green 0.2
Isochlorogenic Pale green 0.7
Caffeic Blue 0.3
Ferulic Blue 0.08
o-Coumaric Yellow 0.3
m-Coumaric Grey-yellow 1.0
p-Coumaric Blue-violet 0.9
Synapic Blue-green 0.6
TABLE 14.6
The effect of Reaction of Some Phenolic Acid with Ammonia Vapor and
Limits of Detection
FENIL PROPANOIDES
Fenilpropanoides: Derivados de ácidos cinámicos
La L-fenilalanina y L-tirosina como bloques de construcción de C6C3 son
precursores de un amplio rango de productos naturales. En plantas,
frecuentemente el primer paso es la eliminación de amoniaco de la cadena lateral
para formar el derivado apropiado del ácido (E) trans-cinámico. En el caso de
fenilalanina forma ácido cinámico, mientras que tirosina daría ácido p-coumárico
(figura). Parece que todas las plantas tienen la capacidad de desaminar fenil
alanina, vía la enzima fenil alanina amonioliasa (PAL) pero la correspondiente
transformación de tirosina está mas restringida, limitándose a miembros de la
familia de pastos (Gramineae ó Poaceae). Aún esta en controversia si en estos
pastos existe la enzima tirosina amonio liasa (TAL) ó que los pastos tengan una
amplia especificidad a PAL después de deaminar tirosina. Algunas especies que
no transforman tirosina sintetizan ácido p-coumárico por hidroxilación directa del
ácido cinámico. Otros derivados del ácido cinámico se obtienen por subsecuentes
hidroxilaciones ó metilaciones y algunos de los mas comunes son: p-coumárico,
caféico, ferúlico y sinapico.
Se les puede encontrar en las plantas en forma libre o esterificados p.ej. con ácido
quínico: ácido clorogénico (ácido 5-cafeoil-quínico) o con glucosa: 1-0-cinamoil
glucosa, ó con colina: sinapina.
1a R2 = OH, R3 = R4 = R5 = H
1b R4 = OH, R2 = R3 = R5 = H
1c R4 =R5 = OH, R2 = R3 = H
1d R3 = OMe, R4 = OH, R2 = R5 =H
1e R2 = OH, R3 = OMe, R4 = R5 = H
1f R4 = OH, R3 = R5 = OMe, R2 = H
3a R7 = OH
3b R6 = R7 = OH
3c R6 = OMe, R7 = OH
3d R7 = R8 = OH
3e R6 = R7 = OMe, R8 = OH
3f R7 = OH, R6 = R8 = OMe
3g R3 = farnesyl, R4 = OH
Chlorogenic acid
(5-O-caffeoylquinic acid)
1-O-cinnamoylglucose
Sinapine
(sinapoylcholine)
EtOH-
Rf (x100) in* Colour EtOH NaOH
Cinnamic Acid BAW BN BEW Water UV UV+
ammonia
λmax λmax
p-coumaric 92 16 88 42,85 None Mauve 227,310 335
Caffeic 79 04 79 26,69 Blue Ligh blue 243,326 Decomposi-
tion
Ferulic 88 12 82 33,75 Blue Bright blue 235,324 344
Sinapic 84 04 88 62 Blue Blue-green 239,325 350
o-Coumaric 93 21 85 82 Yellow Yellow-green 227,275,
325
390
p-Methoxycinnamic 95 17 87 23 Dark
absorbing
274,310 298
Isoferulic 89 12 67 37 Mauve Yellow 295,323 345
3,4,5-
Trimethoxycinnamic
95 18 87 75 mauve dark 232,303 293
TABLE 2.3
Rf Colour and Spectral Data for Hydroxycinnamic acids
*Key: BAW = n-BuOH-HOAc-H2O (4:1:5, top layer); BN = n-BuOH-2MNH4OH (1.1, top layer); BEW = n-BuOH-ethanol-water
(4:1:2;2)
Compound λ max (nm) Compound λ max (nm)
Cinnamoyl conjugates
P-Coumaric acid 312,295s Methyl-p-coumarate 313,297s
P-Methoxycinnamic 304,297s P-Coumaroylquinic 314,298s
Ferulic acid 323,300s Feruloylquinic 325,300s
Methylferulate 325,295s Ferulic 4-O-Glc 314s,286
Sinapic acid 327,302s Sinapoylglucose 328,305s
Chromone 299,245s
5,7-DiOH-2-Me- 325s,295,255,250 7-0-Glc-5-OH-2-Me 290,255,248
Coumarin 310,274
7-Hydroxy- 325,253,240 7-Methoxy- 325,295,253,242
5,7-Dihydroxy- 329,263 5,7-Dimethoxy- 325,254,245
7-OH-5-OMe 330,257,247 6,7-Dihydroxy- 348,299,262,256
6,7-Dimethoxy- 342,294,258,251 7-OH-6-OMe 344,297,259,252
6-OH-7-OMe 346,298,260,252 6,7-Dimethoxy 342,294,258,251
6-Isopentenyl-7-OMe 332,297,256 7,8-Dihydroxy 335,258
7,8-Dimethoxy- 318,250 8-OH-7-OMe 325,257
8-O-GLc-7-OH 326,256 8-Isopentenyl-7-OMe 323,258,247
TABLE 3.13. UV absorption maxima of cinnamoyl conjugates,chromones and coumarins in alcohol (MeOH or
EtOH)a
a From Ganguli and Bagchi (1956), González et al. (1986) and Razdan et al (1987)
S Shoulder
Cellulose Polyamide Whatman No. 2 WhatmanNo. 3
Compound A B C D E F G H
Di-p-coumaroylspermidine 51 62 72
N5 N10-Diferuloylspermidine 67 83 83
N4 N10-Caffeoylferuloylspermidine 51 62 72
N4 N10.Diferuloylspemidine 63 88 94 79 20 00.
02.06
Dicaffeoylspermidine 85 61
p-Coumaroylputrescine 60 46.72
Di-p-coumaroylputrescine 81 00.25.
50
Feruloylputrescine 51 44.74 70 33
Caffecoylputrescine 43 47.70 74 66
Caffeoylspermidine 48 38.67
p-Coumaroyltyramine 85 00.48
Feruloyltyramine 74 00.48
Table 3.2. Rf values of some hydroxycinnamoylamides.a
Solvent systems: A, n, BuOH-HOAc-H2O (6:1:2); B, CHCl3-MeOH (3:2, water satd.) C, CHCl3-HOAc (3:2, water satd..); D, H2O-
MeCOEt-MeOH-acetylacetone (13:3:3:1); E, n-BuOH-EtOH-H2O (4:1:2); F water; G, EtOAc-C6H5N-H2O (2:1:2) H. CHCl3-MeOH-
H2O (55:40:5)
a Date compiled from Delétang (1974); Cabanne etal. (1977); Meurer et al (1986, 1988 a)
Steamed Cellulose
Silica gel Silica gel Silica gel Cellulose
A1 B2 C3 A1 B4 A1 B4 D5 E5 F5
7-Hydroxy-(umbelliferone) 45 20 39 43 27 44 61 - - -
7-Methoxy-(herniarin) 55 54 81 97 86 94 98 - - -
7,8-Dihydroxy-(daphnetin) 42 - - 36 28 44 35 - - -
6,7-Dihydroxy-(aesculetin) 28 02 11 28 04 40 15 - - -
Esculetin-6-O-glucoside (aesculin) 04 - - 13 00 05 00 63 64 55
7-Hydroxy-6-methoxy-(scopoletin) 42 12 60 67 84 46 83 29 87 84
6-Hydroxy-7-methoxy-
(isoscopoletin) - 20 61 - - - - - - -
6,7-Dimethoxy-(scoparone) - 31 81 - - - - - - -
Table 3.3 Rf values of some simple coumarins on TLC
Solvent systems: A1, toluene-HCO2Et-HCO2H (5:4:1), Van Sumere et al. (1965); B2, CHCl3-HOAc-H2O (4:1:1
lower layer), Karlsen et al (1974); C3, toluene-Me2CO (95:5, two migrations) Karlsen et al (1974); B4, CHCl3-
HOAc-H2O (4:1:1, lower layer), Van Sumere et al (1965); D5, 2% aq. HCO2H; E5, n-AmOH-HOAc-H2O (10:6:5);
F5, C6H6-propionic acid-H2O (20:45:15). Dass and Weaver (1972)
Fig. 2.6 Ultraviolet spectra of two phenylpropanoids. Key: A, Caffeoylquinic acid (chlorogenic
acid) in 95% EtOH; B, aesculetin in 95% EtOH; C, caffeoylquinic acid in EtOH-NaOH; D,
aesculetin in EtOH-NaOH.
Table 3.16. Chemical shifts for aromatic protons in hydroxycinnamoyl esters
(δppm/TMS, in CD3OD or DMSO-d6)
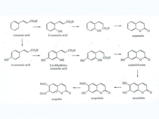
Cumarinas:
Las cumarinas son estructuralmente relacionadas como derivados lactónicos del
ácido o-hidroxi-z-cinámico. Se caracterizan por una variedad de patrones de
oxigenación en el anillo de la benzopirona, siendo la substitución en C-7 la más
común en las cumarinas de origen natural. La 7-hidroxicumarina (Umbeliferona)
se considera como precursor de las cumarinas di y trioxigenadas. La O-metilación,
O-glucosilación y O–prenilación son reacciones terminales en la biosíntesis de
cumarinas.
Las cumarinas simples se encuentran como β-O-D-glucósidos. La cumarina
misma se encuentra en el trebol dulce (Melilotus sp Leguminosae) y contribuye al
olor del heno recién cortado; se observa que esta formación es resultado de
hidrólisis enzimática y lactonización. Si se deja fermentar el trebol dulce, se forma
4-hidroxicumarina por la acción de microorganismos sobre el ácido 2-coumárico,
reacciona c/formaldehído para dar dicoumarol, este es un compuesto con notorias
propiedades anticoagulantes que puede causar la muerte del ganado por
hemorragias internas. Una situación común de muchas cumarinas es la prenilación
nuclear en C6 ó C8 que resulta con la formación de furano cumarinas lineales
(psolareno, 4) ó las menos comunes furanocumarinas angulares como la angelicina
5. Estas furanocumarinas se encuentran principalmente en Rutaceae y
Umbeliferaceae en combinación con otras cumarinas simples.
PSORALENS
Psoralens are linear furanocoumarins which are widely distributed in plants, but are
particulary abundant in the Umbelliferae and Rutaceae. The most common examples are
psoralen, bergapten, xanthotoxin and isopimpinelline . Plant containing psoralens have
been used internally and externally to promote skin pigmentation and sun-tanning.
Bergamot oil obtained from the peel of Citrus aurantium ssp. Bergamia (Rutaceae) can
contain up to 5% bergapten, and is frequently used in external suntan preparations. The
psoralen, because of this extended chromophore, absorb in the near UV and allows this
radiation to simulate formation of melanin pigments.
Methoxsalen (Xanthoxin; 8-methoxypsoralen), a constituent of the fruits of Ammi majus
(Umbelliferae), is used medicallly to facilitate skin repigmentation where severe blemishes
exist (vitiligo). An oral dose of methoxsalen is followed by long-wave UV radiation,
though such tratments must be very carefully regulated to minimize the risk of burning,
cataract formation, and the posibility of causing skin cancer. The treatments is often
referred to as PUVA (psoralen+ UV-A). PUVA is also of value in the treatment of
psoriasis, a widespread condition characterized by proliferation of skin cells. Similarly,
methoxsalen is taken orally, prior to UV treatment, intercalation of psoralens into DNA is
facilitated by their planar nature, and this enables an UV-initiated cycloaddition reaction
between pyrimidine bases in DNA and the furan ring of psoralens (see figure). In some
cases, di-adducts can form involving further cycloaddition via the pyrone ring, thus cross-
linking the nucleic acid. Reaction with psoralens thus inhibits DNA replication and
reduces the rate of cell division.
4a R5 = OH
4b R5 = OMe
4c R8 = OH
4d R8 = OMe
4e R5 = R8 = OMe
4 R5 = R8 = H
A troublesome extension of these effects can arise from the handling of plants
which contain significant levels of furanocoumarins. Celery Apium graveolens
(Umbeliferae) is normally free of such compounds; but fungal infection with the
natural parasite Sclerotinia sclerotiorum induces the synthesis of furanocoumarins
(xanthotoxin and others) as a response to the infections. Field workers handling
these infected plants have become very sensitive to UV light and suffer from a
form of sunburn termed photophytodermatitis. Parsley (Petroselinum crispum) can
give similar effects. Handling of rue (Ruta graveolens; Rutaceae) or giant
hogweed (Heracleum mantegazzianum; Umbeliferae), which naturally contain
significant amounts of psoralen, bergapten and xanthotoxin, can cause similar
unpleasant reactions, or more commonly rapid blistering by direct contact with the
sap. The giant hogweed can be particulary dangerous. Individually vary in their
sensitivity towards furanocoumarins; some are unaffected whilst others tend to
become sensitized by an initial exposure and then develop the allergic response on
subsequent exposures.
Dicoumarol and Warfarin
The cause of fatal haemorrhages in animals
fed spoiled sweet clover (Melilotus
officinalis; Leguminosae) was traced to
dicoumarol (bishydroxycoumarin). This
agent interferes with the effects of vitamin
K in blood coagulation; blood loses its
ability to clot ,and thus minor injuries can
lead to severe internal bleeding. Synthetic
dicoumarol has been used as an oral blood
anticoagulant in treatment of thrombosis,
where the risk of blood clots becomes life-
threatening. It has been superseded by salts
of warfarin and nicoumalone which are
synthetic developments from the natural
product. An overdose of warfarin may be
countered by injection of vitamin K1
Warfarin was initially developed as a rodenticide, and has been widely
employed for many years as the first-choice agent, particulary for destruction
of rats. After consumption of warfain-treated bait, rats die from internal
haemorrhage. Other coumarin derivatives employed as rodenticides include
coumachlor and coumatetralyl. In an increasing number of cases, rodents
are becoming resistant to warfain, an ability which has been traced to elevated
production of vitamin K by their intestinal microflora, modified structures
defenacoum and brodifenacoum have been found to be more potent than
warfarin, and are also effective against rodents that have become resistant to
warfarin.
Esteres de fenil propanoides, propiedades:
Orobanchosido analgésico
Verbascosido hipotensor
Myricosido agente antialimentario
Otros esteres Inhibición LO efecto
glucosidicos antiinflamatorio/antialérgico
Ac. rosmarínico colerético/colagogo
Ac. cafeico/clorogenico colerético
ácido cichórico inmuno estimulante E.purpurea
*Lithospermic acid (formally a neolignan!) has been described as a caffeic acid trimer [Kelley, C. J. et al.
(1975) J. Org. Chem, 40, 1804-1815]; recently, the same name was used to designate a tetramer, namely
lithospermic acid B, isolated from Salvia miltiorrhiza as Mg, and K and NH4 lithospermates (see Tanaka,
T. el al (1989) Chem. Pharm Bull., 37, 340-344) Isomeric tetramers (unnamed) of unspecific
stereochemistry have also benn isolated from Otrhosiphon stamineus: see Sumaryono,W. et al (1991)
Planta Med., 57, 176-180. Regarding lithospermate activity on diuresis, see, among others, Yokozawa, T.
et al.: 1. (1990) J. Pharm. Pharmacol., 42, 712-715; 2 (1991) Nephron 57, 78-83.
Significado y función de los Fenil propanoides.
Es evidente que la raison détre de los fenilpropanoides proviene de varias funciones que
tienen en plantas además de su papel en la biosíntesis de ligninas y flavonoides. Además de
su papel ecológico, muchos de ellos poseen actividad farmacológica.
• Mecanismos defensa contra infecciones: inhiben multiplicación de virus, bacterias,
hongos.
• Condiciones de estres como excesiva luz UV, heridas o infecciones induce la formación
de estos compuestos.
• Tienen excelentes propiedades atrapadoras radicales libres y actuan como antioxidantes.
Esta actividad depende del número de funciones OH en su estructura.
• La presencia de la cadena lateral C3 asegura una mayor habilidad donante de H y una
subsecuente estabilización de radicales en comparación a los C6C1, tal que los
derivados del cinámico son más activos que los del benzoico.
• En esta serie, la actividad antioxidante depende del número de grupos OH unidos al
anillo aromático. Asi o-difenoles (ácido cafeico) tienen una mayor capacidad atrapadora
de radicales libres que aquellos con un solo grupo OH (ácido p-cumarico).
• Se ha documentado el papel de los radicales libres en el desarrollo del cancer y cómo
los ácidos fenólicos con estas características estructurales tienen esa capacidad de
atrapar estos radicales libres.
FLAVONOIDES
Los flavonoides forman un grupo grande e importante de productos naturales
unificados estructuralmente por su derivación del sistema heterocíclico:
benzocromano. Algunos flavonoides son intensamente coloridos, como las
antocianinas que imparten colores rojo a azul a flores, frutos y hojas. Otros como
las flavonas son incoloros pero aún imparten tonos blancos a flores, también
actúan como copigmentos de las antocianinas; algunos otros son amarillos como
los chalconas, auronas y flavonoles.
Los flavonoides están generalmente distribuidos en plantas superiores. También se
encuentran en varios organismos inferiores como musgos ó hepáticas, raramente
se encuentran en hongos y aún no hay descripciones en bacterias o algas.
Además de su contribución al color de las plantas, los flavonoides tienen otras
funciones en el crecimiento y desarrollo de las plantas p. ejemplo hay evidencias
que los flavonoides de la hoja ya sea en células epidermales o en la superficie
cerosa de las hojas proporciona protección contra el efecto dañino de la radiación
UV-B.
También se ha observado que las flavonas en raíces de leguminosas funciona
como señales en el proceso de infección por Rhizobium y en el es establecimiento
de la fijación del nitrógeno en estas plantas.
Los flavonoides presentan una gran variedad de propiedades biológicas:
antimicrobiana, insecticida, estrogénica.
Por ejemplo algunas flavanonas e isoflavanonas se forman de novo como barreras
antifúngicas en hojas de plantas en respuesta a infección microbiana; otros
flavonoides proporcionan resistencia antifúngica constitutiva.
Hay toda una serie de evidencias de que los flavonoides están involucrados en
interacciones planta-animal y de ahí derivan las estrategias de defensa de las
plantas contra herviboros o patógenos.
Sabemos que realzan la tolerancia a una variedad de estreses abióticos, y son
compuestos involucrados en interacciones alelopaticas en diferentes especies de
plantas por ejemplo la floridzina en las hojas y raices del manzano tiene un fuerte
efecto inhibidor del crecimiento de otras plantas.
Como los flavonoides se encuentran comúnmente en frutas y vegetales, forman
parte de la dieta humana; se ha estimado que diariamente se ingiere 1g de
flavonoides. Su papel benéfico a la salud humana aún está en debate, pero hay
evidencias de sus propiedades anticancerígenas y atrapadoras de radicales libres.
Los flavonoides también en ocasiones son los principales componentes de plantas
medicinales (p.ej. hojas de gingko) y es posible que ellos contribuyan a sus
propiedades curativas, muchos flavonoides son activos farmacológicamente y
algunos tienen propiedades antiinflamatorias o hepato protectoras.
Los flavonoides se pueden clasificar de acuerdo a su origen biosintético (ver
figura). Algunos son intermediarios en la ruta biosintética o bien productos finales
de la misma, p. ej. chalconas, flavononas y flavanon-3-oles y flavan-3,4-dioles.
Otras clases de flavonoides son solo productos finales de la biosíntesis, p.ej.
antocianinas, flavonas, flavonoles, proantocianidinas. Otras dos clases de
flavonoides son aquellas donde el residuo 2-fenilo de la flavanona migra a la
posición 3- dando origen a los isoflavonoides. Una migración parecida ocurre al
C-4 dando origen a los neoflavonoides.
Es notorio que prácticamente todas las enzimas que catalizan los diferentes pasos
de la ruta biosintética se han caracterizado.
También se le puede clasificar de acuerdo a su peso molecular. Mientras la mayoría
de los flavonoides son monoméricos, también se ha descrito un número significativo
de estructuras diméricas, triméricas, tetraméricas y poliméricas, p.ej. los
biflavonoides se basan en uniones C-C de dos unidades parecidas de flavonas, pero
también se encuentran dímeros mezclados (flavonil-flavanonas). Los flavonoides de
mayor peso molecular son las proantocianidinas aligoméricas y poliméricas
derivadas biosintéticamente de flavan-3-oles y están formados por 4 a 8 unidades de
flavano ya sea como cadenas lineales o con ramificación a través de otras uniones.
La mayoría de los flavonoides se encuentran asociados con azúcares en forma
conjugada y en cualquier clase pueden ser caracterizados como monoglicósidos,
diglicósidos, etc.
La complejidad glicosídica es considerable y los monosacáridos asociados incluyen:
glucosa, galactosa, arabinosa, ramnosa, xilosa, apiosa, alosa, manosa, ácido
galacturómico, ácido glucurónico; mono, di y trisacáridos se pueden unir a través de
un solo grupo OH fenólico o pueden estar involucrados varios grupos OH.
También puede ocurrir acilación con grupos aromáticos (ácido p-coumárico) o
alifáticos (ácido malónico) a través del OH en C6. Hay un grupo especial de
flavonoides que son C-glucósidos y pueden estar combinados con O-glucósidos
Figure 2. Flavonoid structures ilustrating some variations in hydroxyl patterns.
Biflavonyls
Biflavonyls (or biflavonoids) are mainly dimers of the flavone
apigenin (5,7,4´-trihydroxy) which are joined by oxidative coupling
through a variety of carbon-carbon links.
A typical biflavonyl is amento flavone, where the two apigenin units
are joined through a 3´-8 linkage
Figure 4. Combined forms of flavonoids
C-glycosyl flavones
Epicatechin trimer
Figure 7. Some isoflavones and related isoflavonoids
Propiedades físico químicas, extracción, caracterización y cuantificación
Como regla general las formas glucosídicas son solubles en agua o en alcoholes y solo en
algunos casos la solubilidad es menor (rutina, esperidina). Los aglucones son solubles en
disolventes de polaridad media.
Los flavonoides lipofílicos de las superficies cerosas de las hojas, se extraen directamente
con disolventes como diclorometano y luego hay que separarlos de grasa y lípidos.
Las formas glucosídicas se pueden extraer con acetona, metanol o etanol mezclados con
agua (20 a 50%, dependiendo si el tejido es fresco o seco) y posteriormente particiones con
diferentes disolventes deja atrás a grasas, clorofilas; con éter o acetato de etilo se extraen
algunos flavonoides, mientras que los mas polares quedan en el residuo acuoso.
La separación y purificación de ellos se basa en el uso de técnicas cromatográficas
(poliamida, celulosa, sephadex LH-20) y estas alcanzan un grado de mayor sensibilidad
cuando se usa cromatografía de alta resolución: Fase reversa en C8 ó C18 con acetonitrilo ,
agua, metanol, ácido acético en diferentes proporciones en la fase móvil.
Caracterización
Aunque varias reacciones cromogénicas permiten la caracterización de
aglucones y glucósicos en extractos crudos, en el trabajo preliminar se hace
análisis por CCF y CP como por ejemplo:
• Chalconas y auronas son visibles y se tornan de color naranja o rojo con vapores
de amoniaco.
• Observado con luz UV antes y después de asperjar con tricloruro de aluminio o
vapores de amoniaco (la naturaleza de los cambios en la fluorescencia de las
manchas da información del tipo de flavonoides presentes).
• Después de asperjar con una solución al 1% del reactivo NA “Naturstoff
Reagent A”, luego con luz uv (la sensibilidad mejora asperjando después con
una solución en metanol de polietilenglicol 400.
El uso de las técnicas espectrosópicas: UV, NMR o MS pueden reforzar los
datos observados por métodos cromatográficos, p.ej. el uso de la espectroscopía
uv proporciona indicaciones valiosas del tipo de estructura naturaleza y posición
de los sustituyentes al adicionar reactivos de desplazamiento (NaOH, AlCl3 o
H3BO3)
Cuantificación
Los métodos más comunes de cuantificación de flavonoides pueden ser
colorimétricos o espectrofotométricos, pero ahora la cromatografía de líquidos de
alta resolución hace posible una estimación rápida y precisa de todos los
flavonoides presentes en una muestra, por lo que actualmente se usa ampliamente
en la cuantificación de flavonoides.
Figura 2.6. Forestal chromatogram of the Common Flavonoid Aglycones of Plants
Colour Key: 1, mauve, red and orange respectively in visible light; 2, mauve , mauve and
red in visible light; 3, brigth yellow in UV light; 4,5, dull brown in UV light
changing to bright yellow-green with NH4OH; 6, dull brown unchanged by
NH4OH
Subtitution pattern a
Anthocyanidin 3 5 6 7 3´ 4´ 5´
Common structures
Pelargonidin OH OH H OH H OH H
Cyanidin OH OH H OH OH OH H
peonidin OH OH H OH OMe OH H
Delphinidin OH OH H OH OH OH OH
Petunidin OH OH H OH OMe OH OH
Malvidin OH OH H OH OMe OH OMe
Rarer structures b
Aurantinidin OH OH OH OH H OH H
6-Hydroxycyanidin OH OH OH OH OH OH H
5-Methylcyanidin OH OMe H OH OH OH H
Rosinidin OH OH H OMe OMe OH H
Pulchellidin OH OMe H OH OH OH OH
Europinidin OH OMe H OH OMe OH OH
Hirsutidin OH OH H OMe OMe OH OMe
capensinidin OH OMe H OH OMe OH OMe
TABLE 9.1. Structures of naturally occurring anthocyanidins
a Numbering according to the anthocyanidin C-numbering system in the structure scheme.
b There are also three 3—desoxyanthocyanidins: apigeninidin (3-desoxypelargonidin), luteolin (3-desoxycyanidin) and tricetinidin
(3-desoxydelphinidin),
Figure 9.1 Structure of heavenly blue anthocyanin (HBA) from blue
petals of morning glory (Ipomea tricolor) (Goto, 1987; with persmission
of the author and Springer-Verlag)
Rf value x 100
´Forestal´ BAW (4:1:5)
Anthocyanidin PCa TLCb PCa TLCb
Pelargonidin 68 61 80 82
Cyanidin 49 45 68 68
Peonidin 63 63 70 71
Delphinidin 32 30 41 42
Petunidin 46 43 52 52
Malvidin 60 58 58 56
a Data from Harborne (1967)
b Microcrystalline cellulose (D. Strack, unpubl. res.); solvents: ´Forestal´= acetic acid-
conc. HCl-water (30:3:10). BAW = n-butanol-acetic acid-water (4:1:5, upper phase).
TABLE 9.2. Rf values of the common anthocyanidins
Fig. 9.2 Structural transformation of anthocyanins (shown for pergolanidin 3-glucoside) in
aqueous at varying pH; 1=flavylium cation (red coloured), 2-4=quinonoidal bases (blue coloured),
5 = carbinol pseudobase (small amounts of the corresponding 4-hydrated product may also be
formed under certain unfavourable conditions) (colourless), 6= chalcone pseudobase (colourless)
(modified after Brouillard, 1988; with permission of the author and Chapman and Hall Ltd).
Cromatogramas HPLC de antocianidinas de los estandares y variedades analizados de
frijol
a) Raza Jalisco
a) Raza Mesoamericana
COMPUESTO BAW λmax
Rf(X 100) (en EtOH)
Delfinidina 3-G 26 534
Delfinidina 3,5-diG 15 533
Pelargonidina 3-G 44 ---
Cianidina 3G 38 523
Petunidina 3G 35 534
Malvidina 3G 35
Flavonoles
Miricetina 3G
Quercetina 3G
Kaempferol 3G
FLAVONOIDES EN FRIJOL
3-G = 3 glucósido; 3,5-diG = 3.5 diglucósido
Flavonoides: Propiedades biológicas
La principal propiedad atribuida a los flavonoides es una actividad como Vit. P
 Potencialmente activos en las venas: decrecen la permeabilidad y fragilidad
capilar.
 Otras propiedades: antiinflamatorios, inhiben actividad del ácido araquidónico,
ep.ej. apigenina, crysina.
 Antialergénicos, hepatoproctores, antiespasmódicos (p.ej. flavonoides del
tomillo).
 Decrecen niveles de colesterol, diuréticos, antimicrobianos, antivirales,
citostáticos.
 Atrapadores de radicales libres en: anoxia, donde se bloquea flujo de
citocromo-oxidasa, inflamación donde se forma entre otras cosas aniones
superóxido.
 Autooxidación lipídica.
Flavonoides como inhibidores de enzimas:
Inhiben histidina decarboxilasa; hialuronidasa, catecol-O-metil transferasa:
aumento Catecol aminas, decrece la fragilidad capilar.
Inhibidor del cAMP fosfodiesterasa, que explica su actividad como agente
antiagregación de plaquetas.
Potentes inhibidores de lipooxigenasa o ciclooxigenasa o ambas, las cuales se
les relaciona con la capacidad de formar radicales libres.
También estimulan algunas enzimas p.ej. prolina-hidroxilasa.
Usos Terapéuticos
Los flavonoides de Citrus: tratamiento de insuficiencia venosa.
Al igual que los de Sophora japónica (árbol de las pagodas).
Rutina: insuficiencia cerebral senil.
Ginkgo biloba: flavonoides y terpenos: insuficiencia cerebral, vértigo, pérdida del
oido, insuficiencia venosa, ataque agudo de hemorroides
Algunas especies abundantes con: flor de la pasión, tomillo, manzanilla romana,
milenrama, cola de caballo.
ISOFLAVONOIDES
ISOFLAVONOIDES
Los isoflavonoides se caracterizan por el esqueleto C15 del tipo
ArC3Ar pero uno de estos grupos migra a la posición 3. La
distribución de estos compuestos se restringe a la familia
Fabaceae. Esto se debe a la especificidad de la enzima
responsable de la migración del grupo arilo.
Aunque esta distribución restringida no implica diversidad
estructural: se conocen más de 700 estructuras de
isoflavonoides. Se pueden clasificar en varios tipos estructurales
dependiendo del grado de oxidación del anillo principal y en
varios de ellos se nota cierta frecuencia de derivados con
isoprenilo.
Los compuestos más comunes son isoflavonas que se encuentran
en estado libre y raramente como glucósidos (O-glucósidos).
Estructuras relacionadas son menos frecuentes e incluyen a
isoflavanonas, isoflavenos e isoflavanos. Con frecuencia los
isoflavonoides tienen un anillo adicional que proviene de la
ciclización de un derivado 2´ hidroxilado, por ejemplo
pterocarpanos.
Otros isoflavonoides tienen un residuo de cumarina que puede
dar origen a un coumestano.
Algunos compuestos poli cíclicos tienen un átomo de carbono
adicional por ejemplo los rotenoides que provienen de una
ciclización oxidativa de una 2´-metoxi isoflavona.
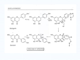
BIOSINTESIS
El mecanismo propuesto que explica la formación de los
isoflavonoides consiste en dos pasos. El primero es la
oxidación de la forma enólica de la naringenina y el
segundo paso es la eliminación de una molécula de agua.
El primer paso se cataliza por una mono oxigenasa la que
podría formar un epóxido, la protonación y apertura de éste
último conduce a la formación de una espiro dienona
intermediaria, la cual al aromatizarse migra al carbono 3
ACTIVIDAD BIOLOGICA
Las propiedades biológicas de los isoflavonoides eran poco
conocidas hasta hace algunos años.
Una de ellas se relaciona con su aplicación como insecticidas,
por ejemplo los rotenoides ó bien como piscicidas.
En plantas un buen número de estructuras de isoflavonoides son
fitoalexinas, es decir compuestos producidos por la planta en
respuesta a una infección por un agente patógeno,
principalmente hongos.
La actividad estrogénica de los isoflavonoides tambien es
notoria.
Se ha observado que cuando los ovinos consumen grandes
cantidades de trebol puede provocarles infertilidad. Los
responsables de esta actividad son 7-hidroxi-4´-metoxiflavonas,
formononetina y sus derivados 5-hidroxilados: biochianina A y
genisteína. La formononetina se demetoxila por los micro
organismos del rumen y se forma daidzeína la cual se reduce al
equol y es este flavano que se encuentra en el plasma y causa la
infertilidad
Se ha observado que el contenido de isoflavonoides se puede
incrementar después de una infección bacteriana o fungosa ó por
influencia de la luz UV y de ciertos herbicidas
Beneficios para la salud en el consumo de legumbres
( con isoflavonoides):
• Reducción en la presencia de varios tipos de cáncer. Al
inhibir la tirosina-quinasa y DNA topoisomerasa.
• Reducción en los síntomas de postmenopausia.
• Prevención de enfermedad coronaria al reducir las
proteínas de baja densidad (LDL) y aumentar las de alta
densidad (HDL).
• Efectos positivos en procesos fisiológicos tales como el
comportamiento neuro-cerebral, derivado de
observaciones del significado de los estrógenos en
funciones cerebrales.
• Por estas características se menciona a los isoflavonoides
como fitoestrógenos
TANINOS
Cultivos básicos
Taninos Plantas plantas medicinales
Prod. bebidas
Animales domésticos consume plantas que contienen taninos.
o salvajes
Raíces
Taninos son comunes en flores de gimnospermas y
Hojas dicotiledóneas
Madera
Actualmente también se han encontrado en hojas de pastos.
Hasta un 2% ps en granos de sorgo ó cebada corresponde a taninos.
Las algas marinas de color café contienen florotaninos que tienen propiedades
parecidas a las de taninos de plantas superiores.
El término tanino se usó históricamente para discutir un grupo heterogéneo de
compuestos que precipitan proteínas.
Una definición mas rigurosa fue descrita por Bate-Smith en 1962 quien los señala
como compuestos fenólicos solubles en agua con pesos moleculares entre 500 y
3,000 y que además de dar las reacciones de compuestos fenólicos usuales tienen
la capacidad de precipitar alcaloides, gelatin, otras proteínas y polisacáridos.
Los taninos se clasifican en tres grandes grupos:
1. Procianidinas o taninos condensados
2. Taninos hidrolizables
3. Flovafenos.
Proantocianidinas. Los taninos condensados o proantocianidinas son compuestos
derivados de flavanoles. Reaccionan en solución alcohólica de un ácido mineral
para formar la correspondiente antocianidina con un color característico.
La diversidad estructural en las proantocianidinas esta relacionada con el patrón de
substitución y la estereoquímica de las subunidades de flavanol.
Por su amplia distribución y pronunciados efectos biológicos se les ha relacionado
como agente contra herbívoros y patógenos en las plantas.
Astringencia: Sensación de resequedad p.ej. vino tinto, té, frutas inmaduras. Esta
sensación se debe a la interacción entre los taninos y proteínas de saliva y tejidos
mucosas de la boca.
Además de este efecto aparentemente hay una depresión en la utilización de
proteínas.
Efectos terapéuticos. Consumo de bebidas ricas en taninos: vino tinto, te, se han
asociado c/reducción en enfermedades cardiacas, cáncer.
La ocurrencia común de los taninos en alimentos, bebidas y forraje y la diversidad
de efectos biológicos ha resaltado el interés en el análisis cuali y cuantitativo de
ellas.
La única preparación comercial de taninos condensados es la profisetinidina que
se aísla de las preparaciones de Quebracho.
El Quebracho es un extracto crudo de la corteza de Shinopsis sp.
Las galocatequinas se relacionan c/los taninos condensados. En ellos el grupo 3
hidroxi del flavanol está esterificado c/ácido gálico. Esta modificación altera la
reactividad p.ej. la epi-galo catequina no precipita proteínas, pero el galato de la
epi-galocatequina que es el componente astringente del te verde, si las precipita.
Taninos hidrolizables. Comprende a ácidos fenólicos tales como el gálico o el
hexa hidroxidifénico esterificados con un poliol como la glucosa. Los galo taninos
más simples comprenden solo ésteres galoilo de glucosa ó ácido quínico, son
relativamente raros en la naturaleza pero son el principal constituyente del ácido
tanico comercial.
En el galotanino más simple la parte esencial (pentagaloil glucosa) se modifica por
la adición de grupos galoilo, que pueden ser hasta doce.
Los elagitaninos como la telli magrandina II se forma a partir de los galo taninos
por copulación oxidativa de residuos de galoilo para dar ésteres del AHHD.
Figure 3. Biosynthesis of gallyc esters from gallic acid and glucose
Flovafenos. Es otra de las clases de los taninos que conmparten algunas de las
características de los taninos. Estos compuestos comprenden subunidades de
fluroglucinol aril-aril ó aril eter. Se encuentran solo en algas marinas. Asi como
los taninos de plantas terrestres precipitan proteínas y contribuyen al sabor y
calidad nutricional de las algas para los herbívoros marinos.
Análisis de taninos. Se han descrito numerosos métodos para el análisis de
taninos. Se debe considerar que cada tipo de tanino responde diferente en los
análisis. Esta variabilidad hace complicado usar un solo método para asegurar el
contenido de taninos de una mezcla compleja. En su lugar se pueden usar varios
métodos para obtener un esquema cuali o cuantitativo de los taninos presentes en
la mezcla.
En general, los métodos usados para el análisis de taninos se basen en reacciones
generales de compuesto fenólicos, precipitación de proteínas, reacciones de grupos
funcionales ó métodos cromatográficos (HPLC).
Métodos de compuestos fenólicos totales. El método de azul de Prusia, el de
Folin-Denis o el de Folin-Ciocalteu se usan para medir fenólicos de tipo tanino en
un extracto vegetal. En estos métodos el analito se oxida y el reactivo se reduce
para formar un cromóforo.
En ocasiones el método de Folin puede formar precipitados que interfieren con la
determinación espectrofotométrica y se han desarrollado variantes para reducir
estos inconvenientes.
Métodos de precipitación. Son métodos basados en la actividad de los taninos
para precipitar proteínas. Uno de los mas sencillos es aquel en que ocurre la
precipitación con una proteína estandar. Luego el fenólico se redisuelve en
solución básica y reacciona con sales férricas para formar un complejo colorido.
Este método discrimina taninos de otros fenólicos pero no permite la
determinación selectiva de varios tipos de taninos.
Métodos de los grupos funcionales. Estos métodos dependen de la
reactividad específica de un grupo funcional característico de un tipo de
tanino.
Para taninos condensados.
a) El ensayo de vainillina es un método para determinar
proantocianidinas. Los aldehidos aromáticos como la vainillina reaccionan
con fenólicos sin substituyentes en posición m- para dar productos
coloridos altamente conjugados. Como las proantocianidinas tienen un
patrón de sustitución apropiado en el anillo A reaccionan con vainillina,
pero la interpretación de resultados es complicada porque la vainillina
puede reaccionar con otros compuestos. La reacción también es sensible a
la presencia de trazas de agua, por lo cual el método es limitado.
Fig. 5. Chemistry of the vainillin assay for condensed tannins.
The arrowhead points to a second potentially reactive site
a) Método de Butanol Acidico. Es un un método simple y específico para
determinar proantocianidinas. Depende de la ruptura oxidativa del enlace,
interflavano en una solución alcohólica de un ácido mineral y sales de Fe
para formar la antocianidina colorida.
Las condiciones de reacción se deben controlar cuidadosamente; trazas de
hierro catalizan la reacción mientras que el agua la inhibe. El método es
selectivo para determinar taninos condensados en presencia de taninos
hidrolizables.
Fig. 3. Chemistry of the acid-butanol reaction. Note that the reaction involves oxidation and
that the terminal unit does not give a colored antocyanidin product structure.
The traditionally recommended water content is 6% (Porter et al. 1986.)
Cromatografía en capa fina de
Taninos.
Placas de sílica gel GF254
Sistema: Tolueno:acetona:ácido
fórmico 9:9:2
Revelador: FBS (fast blue salt)
FIG. 1.11. Relative Rf values of selected hydrolysable tannins on paper
chromatography. Key: 1,β-1,2,4,6-tetragalloyl-O-glucose; 2β-1,2,3,4,6-pentagalloyl-
D-glucose (4); 3, tellemagrandin I(8); 4, eugeniin (6); 5, pedunculagin (9); 6 α-1-
halloyl-bis-2,3:4,6-hexahydroxyphenoyl-D-glucose; 7, casuarictin (7); 8, castalagin
(11), geraniin (20).
0.5 1.0
0.5
1.0
2
9
1
4
6
3
7
5
8
6
%
HOAC
S-BAW
FIG. 11.2. Relative Rf values of selected proanthocyanidins and related compounds on paper
chromatography or cellulose TLC. Key: 1, epiafzelechin; 2, catechin; 3, epicatechin; 4,
gallotechin; 5, epigallocatechin; 6, epicatechin-4βbenzylsulphide; 7, epicatechin-(4β-
phloroglucinol; 8, epicatechin-(4β-8)-catechin; 9, epicatechin-(4 β-8)-epicatechin; 10,
catechin-(4α-8)-catechin; 11, catechin (4α—8)-epicatechin; 12,gallocatechin-(4α—8)-
epigallocatechin; 13, gallocatechin-(4α—8)-catechin; 14, epicatechin-(2β-7, 4β-8)-
epicatechin; 15, epicatechin-(2β-7,4β-6)-epicatechin; 16[epictechin-(4β-8)]2 epicatechin; 17,
[epicatechin-(4 β-8)]3 epicatechin.
Taninos hidrolizables.
a) Método de iodato de potasio. Se basa en la reacción de este reactivo
con esteres de ácido gálico para dar un cromóforo. Aunque el método
es sensible no se puede usar en el análisis de mezclas complejas de
taninos.
b) El ensayo de la rodamina y del ácido nitroso permiten la estimación
de galo taninos o elagi taninos en mezclas . Ambos métodos se basan
en la determinación selectiva del ácido fenólico que se libera por
hidrólisis del tanino original. La hidrólisis se hace en ausencia de
oxígeno ya que los compuestos de interés son sensibles a el.
Después de la hidrólisis el ácido gálico reacciona con la rodamina para
formar el cromóforo mientras que el ácido elágico reacciona con ácido
nitroso para formar un cromóforo. Aunque ambos métodos son
sensibles no dan información del grado de esterificación del compuesto
original, para esto se puede hacer por HPLC en fase reversa o en fase
normal.
Evaluación de mezclas de taninos. Es posible el uso de un arreglo de
métodos químicos ó espectroscópicos para el análisis cuali y cuantitativo
de taninos.
Ensayo de difusión radial. Es un método de precipitación de proteínas en
donde el extracto se deja difundir en un gel que contiene proteína. Los
taninos del extracto precipitan las proteínas formando un anillo visible.
Taninos hidrolizables + hidroxil amina forman un poliol y un ácido
hidroxámico derivado del residuo fenólico. Los galotaninos reaccionan
completamente mientras que las proantocianidinas no sufren cambio,
El ensayo de la difusión radial después del tratamiento con hidroxil amina
permite inferir la presencia de taninos hidrolizables.
Propiedades biológicas de los
taninos
• Agentes quelantes de iones metálicos
• Agentes precipitantes de proteínas
• Antioxidantes naturales
Respecto a la primera, se observa que la actividad de algunos
metales se reduce por el efecto de los taninos.
Sideróforos bacterianos con varios grupos fenólicos presentan
alta afinidad por metales esenciales y de una manera análoga
se sugiere que los taninos pueden tener una alta afinidad por
metales.
Respecto a su papel como agentes precipitantes de
proteínas, se ha descrito una gran cantidad de
información.
Como se ha indicado, cantidades moderadas de materiales
ricos en taninos no tienen efectos nocivos en la salud.
En rumiantes por ejemplo tienen un efecto benéfico y
algunos mamíferos han desarrollado mecanismos para
metabolizar altos niveles de taninos del alimento.
En algunos organismos, las proteínas secretadas por las
glándulas salivales forma la estrategia de defensa contra
los posibles efectos tóxicos de los taninos de la dieta.
En este sentido las PRP (proteínas salivales ricas en
prolina) tienen un papel importante en esta estrategia.
Aunque los taninos pueden tener los efectos negativos
indicados, también en posible valorar sus efectos valiosos
particularmente como antioxidantes.
Sabemos que los antioxidantes son una de las líneas de
defensa contra el daño oxidativo causado por problemas de
cáncer, artritis, cardiovasculares o envejecimiento.
Sabemos que los fenólicos, entre ellos los taninos son
agentes antioxidantes valiosos por sus favorables potenciales
redox y la relativa estabilidad de los radicales ariloxi.
Experimentos recientes sugieren que los taninos
condensables o hidrolizables son más efectivos en esta
actividad que los fenólicos de menor peso molecular. Se
sabe por ejemplo que algunos fenólicos de bajo PM son pro
oxidantes en el sistema de Fenton por la capacidad que
tienen de oxidar el ión metálico que se requiere en la
formación del radical, en contraste los taninos no actúan de
esta forma sino que reaccionan rápidamente para atrapar el
radical hidroxilo entre otros.
Debido a estas variadas actividades biológicas de los
taninos y también a su enorme variación estructural es
aventurado desarrollar modelos que permitan hacer una
predicción exacta de los efectos de los taninos en cualquier
sistema.
Una meta importante en trabajos futuros relacionados con
la actividad biológica de los taninos es el desarrollo de
relaciones estructura actividad y de esta forma poder hacer
predicciones de su actividad biológica.

compuestos fenolicos.pptddddddddddddddddddd

  • 1.
  • 2.
    Los compuestos fenólicosforman un grupo grande de compuestos que es difícil de definir de una manera simple. Los elementos estructurales fundamentales que los caracterizan es la presencia de al menos un anillo aromático conteniendo uno o más grupos OH, libres o conjugados (éteres, ésteres o glicósidos). De esta forma una definición puramente química de fenólicos es insuficiente para caracterizar a los fenólicos vegetales: debe incluir a compuestos que tengan estos elementos estructurales, pero evidencie pertenezcan a un grupo particular del compuesto, p.ej. algunos alcaloides (boldina, morfina) o terpenoides (timol, gosipol, carnosol) tienen en su estructura un residuo aromático y un grupo OH. De esto se desprende que es necesario incluir un criterio biosintético para definir a este grupo.
  • 3.
  • 4.
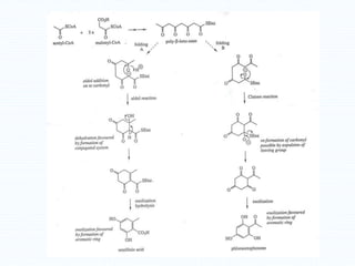
    En relación alanillo aromático solo plantas y microorganismos son capaces de sintetizar este anillo; y en relación a los fenólicos de las plantas estos provienen de 2 ruta de aromatización principales: La ruta mas común es la que involucra al shikimato (ácido Shikimico) y parte de monosacáridos a aminoácidos aromáticos (fenilalanina, tirosina), continúa con desaminación de ellos para formar derivados del ácido cinámico: ácidos benzóicos, acetofenonas, lignanos,ligninas y cumárinas La otra ruta empieza con el acetato y conduce a poli-β-cetoésteres de tamaño variable: policétidos, que el ciclizarse (Reacción de Caisen ó condensación aldólica) forman productos que comúnmente son policíclicos e incluye a: cromonas, isocumarinas, orcinoles, depsidos, depsidonas xantonas y quinonas.
  • 5.
    De ahí quela diversidad estructural de los fenólicos se debe a su origen biosintético dual y se incrementa por la frecuente combinación de las rutas de shikimato y acetato en la elaboración de compuestos de origen mixto (p.ej. flavonoides, estilbeno, pironas y xantonas). La participación de un tercer bloque de construcción el mevalonato también es posible aunque menos frecuente como algunas quinonas o furano ó pirano cumarinas (combinación de la ruta de shikimico y mavalonato) o una combinación de acetato con mavalonato, p.ej. canabinoides y en algunos casos los 3 precursores contribuyen a la elaboración de una estructura fenólica, p.ej. los rotenoides. La gran diversidad estructural de los fenólicos dificulta el generalizar sobre los métodos de su aislamiento o de sus propiedades físico-químicas o biológicas. Tal que estos compuestos se pueden estudiar por grupos en base a su origen biosintético en: i) Derivados de fenil propanos ii) Derivados de fenil propano c/elongación de la cadena iii) Derivados de la ruta shikimato, acetato: flavonoides
  • 7.
    Fig. 1.2. Biosyntheticorigin of plant phenolics from shikimate and phenylanine
  • 9.
  • 10.
    Propiedades físico químicasgenerales de los compuestos fenólicos 1. Ruptura homolítica La oxidación de ión fenolato se facilita y da un radical fenoxi que se estabiliza por resonancia y es altamente reactivo. Esta facultad de oxidación tiene relación con su comportamiento en reacciones coloridas p.ej. c/cloruro férrico o sus propiedades anti oxidantes y atrapadoras de radicales libres (ver figura). Esta reacción: copulación oxidativa fenólica forma uniones de bifenilos o difenil éteres. Pueden ser intramolecular (formación de anillos nuevos o intermoleculares (formación de polímeros). Esta reacción se efectúa comúnmente en la biosíntesis de fenólicos compuestos (p.ej. alcaloides) ver figura. 2. Oxidación del anillo aromático. La oxidación fenólica es común en la biosíntesis de estos compuestos. Puede conducir a ruptura o hidroxilación del anillo aromático. En el primer caso, la reacción se cataliza por una dioxigenasa que, en presencia de sales férricas incorpora los 2 oxígenos de una molécula de 02. En el segundo caso la reacción se cataliza por una mono oxigenasa que incorpora en el anillo aromático solo un átomo de oxígeno, el otro átomo se reduce por un donador apropiado (AH2).
  • 11.
    Homolytic cleavage Oxidation ofthe phenolate ion is facile and yields a phenoxy radical which is stabilized by resonance and highly reactive. This ease of oxidation has consequences in the domains of analytical chemistry (e.g. color reactions with ferric chloride), pharmaceutical technology (instability, incompatibilities with metals), and practical applications (antioxidant and radical scavering properties). In addition, the facile formation of phenoxy radicals and their coupling are directly involved in many biosynthetic processes (as illustrated by the formation of usnic acid or xanthones, see figure)
  • 12.
    Scheme 1.1. (a)Formation of the phenoxide ion and delocalization, (b) derivation of the radical species, and (c) hydrogen bonding between a phenol (gallic acid) and caffeine (after Haslam 1989).
  • 14.
    OXIDATION OF THEAROMATIC RING Phenol oxidation is a common occurrence during biosynthetic process. It may lead to either cleavage or to hydroxylation of the aromatic ring. In the first case, the reaction is catalyzed by a dioxygenase which, in the presence of ferric salts, incorporates both oxygen atoms of the oxygen molecule. In the second case, the reaction is catalyzed by a monooxygenase which incorporates into the aromatic compound only one oxygen atom, the other atom being reduced by appropiate donor (AH2). The mechanism of this hydroxylation involves an arene oxide which opens with concurrent proton migration (“NIH shift”, first described by a National Institutes of Health researcher, see specialized texts).
  • 15.
    This reaction-phenolic oxidativecoupling- affords byphenyl linkages or diphenyl ether linkages. In may be intramolecular (formation of the new rings) or intermolecular (this is one of the known biosynthetic pathways toward polymers). This reaction occurs phenolics (see metabolism of pyrogalloylglucoses, lignans, and lignins), and other metabolites (see isoquinoline alkaloids)
  • 16.
    1. Acidez delos fenólicos La estabilización por resonancia del ión fenolato explica la acidez de estas moléculas: de ahí su solubilidad en soluciones de hidróxidos alcalinos y esto explica porque son compuestos tan reactivos. 2. Caracterización de compuestos fenólicos Algunos compuestos fenólicos son notorios a simple vista, p.ej. antocianinas en flores o frutos y otros se observan con luz uv (antes o después de exponerlos a vapores de NH3), ó bien con reactivos coloridos. Esto último se hace con frecuencia después de una separación cromatográfica de un extracto polar. Algunos de los reactivos generales de detección son: cloruro férrico, fosfomolibdato-fosfotungstato (Reactivo de Folin) vainillina en medio ácido, sales de diazonio ó reactivo de Gibbs. Con algunos reactivos, la estructura del fenólico determina cierta especificidad (velocidad de reacción, color resultante) que conduce a un cierto valor diagnóstico que no es absoluto. La cromatografía en papel bidimensional continúa siendo un buen método rutinario de identificación de los principales grupos de fenólicos presentes en el extracto; este método se puede complementar con un análisis por (CCF de los productos de hidrólisis (en medio ácido).
  • 17.
    1. Extract driedleaf for lipid-soluble phenolics by dipping for 30 s in CHCl3 or MeOH 2. Extract dried leaf with 70% EtOH a and concentrate to aqueous residue a) Aq. Extract 2D PC in BAW (4:1:5) 15% HOAc UV-NH3 spray reagents Record position and colour response b) Hydrolysed extract (2N HCl at 100°C for 40 min) i) Extract colour into amyl alcohol. Concentrate and run in Forestal. anthocyanidin (if original, extract coloured) proanthocyanidin (if orginal, extract green) ii) Extract into EtOAc 2D TLC silica gel-phenols, phenolic acids, quinones (10% HOAc in CHCl3 45% EtOAc in benzene) TLC cellullose-flavonoid aglycones (apigenin, luteolin. (Forestal)b quercetin, etc) c) Direct extract electrophoresis at pH 2.2 and 4.4 –malonates, glucuronides and sulphates 3. Lipid-soluble fraction TLC silica gel – methylated flavones (dull brown), biflavonoids (dull brown). (10% HOAc in CHCL3) methylated cinnamates (blue) isoflavones (dull purple) Table 1.6. Routine procedure for screening plant tissues for common phenolic constituents For further practical details, see Harborne 1984 a If fresh leaf is extracted, then use 100% EtOH b Other solvent system suitable for aglycones are 50% HOAc, CAW and PhOH (for key to abbreviations, see Table 1.9
  • 19.
    Electrophoretic behaviour bat pH 2.2 And pH 4.4 Pigments Ordinary anthocyanins To anode Inmobile Malonated anthocyanins To anode To cathode Betalains To cathode Colourless compounds To cathode Phanolic glucuronides Inmobile To cathode Phenolic sulphates To cathode To cathode Table 1.7. Paper electrophoresis of charged phenolics a a Neutral phenols can also be separated after ionisation e.g. in borate buffer pH 8.8 catechol derivatives are mobile in sodium molybdate buffer pH 5.2 b Run for 1-2 h at 10 V cm-1 on Whatman No. 2 paper detection in daylight or UV light
  • 20.
    Reagent Colour producedReference 1 Folin Ciocalteu (phosphomolybdatephosphotungstate reagent) Phenols with catechol and hyroquinone nucleus appear blue, other phenols show up blue to grey after fuming with ammonia vapour Serkel (1964) 2 Gibb´s reagent (2,6- dichloroquinonechlorimide, 2% in chloroform) with carbonate overspray Variety of colours Serkel (1964) 3 Diazotised amines (e.g. P-nitroaniline, etc.) Variety of colours Van Sumere et.al. (1965) 4 Ferric chloride 1 2% (alcoholic) Variety of colours Serckel (1964) 5 Vanillin HCl (1 g vanillin in 10 ml HCl) Range of pink colours with resorcinol and phloroglucinol derivatives Harborne (1984) 6 1% KMnO4 in 0.05 M H2SO4 (universal) reagent for silica gel plates only; explosion danger White-yellowish spots on mauve background Van Sumere et.al. (1965) Table 2.5. General sprays for detecting phenols on paper or thin layers of cellulose
  • 21.
    Reagent Layer orpaper Detected compunds Reference Sodium cobalto nitrite in acetic acid Silica gel Phenols, benzoic and cinnamic acids Bathia et.al. (1971) 20% T1Cl4 in conc. HCl Silica gel Phenolic compounds (no reaction with phenol) Eskin and Frenkel (1978) 2,4-Dinitrophenylhydrazine (0.5% in 2 M HCl) Silica gel Phenolic aldehydes Gibbard and Schoental (1969) Phloroglucinol (2.5% in 3 M HCl Silica gel Phenolic aldehydes Sodium nitrite and sodium tungstate Silica gel and polyamide Phenols, benzoic acids, cinnamic aldehydes and related acids Bhatia et.al. (1973) Potassium metaperiodate PC + TLC containing cellulose Mono-, di-trihydroxybenzoic and cinnamic aldehydes and acids Clifford and Wight (1973) Sodium molybdate PC + TLC O-Dihydroxy compounds Harborne (1975) Isoniazid reagent (isonicotinic acid hydrazide reagent) PC + TLC containing cellulose O-Hydroxy and vicinal trihydroxy-phenolic compounds Bajaj and Bathia (1976) Table 2.6. Diagnostic sprays for phenols and phenolic acids
  • 22.
    Reagent Response Specifity 1%alcoholic AlCl3 UV fluorescent colours All flavonoids Ammonia vapour Colour development Most phenols 2% aq. NaOH 5% aq. Na2 CO3 or colour change 0.2% diazotised p-nitroaniline with 20% Na2CO3 overspray Various colours All phenols 2% alcoholic 2.6-dichloroquinone- chlorimide with HOAc or Na2CO3 overspray (Gibbs reagent) Various colors Most phenols 1% methanolic diphenylboric acid-ethanolamine (Naturstoff reagent) Orange yellow and green colours All flavonoids 1% alcoholic FeCl Blue, green, brown, red Most phenols 1% aq. FeCl3, 1% aq. K3FE(CN)6 Blue All phenols Phosphomolybdate-phosphotungstate (Folin-Ciocalteu)b Blue All phenols 5% satd ammoniacal AgNO3 in acetone Black All phenols 1g vainillin in 10 ml conc. HCl Pink colour Most phenols Table 1.5. General reagents for the detection of phenolics in solution or on chromatograms a Almost all plyphenols can be directly detected on chromatograms or TLC plates by their UV absorbance or reflectance b Commercially available as a prepared solution
  • 23.
    Separation system Comments Thickpaper or thick layer chromatography Convenient for 5-10 mg samples, but otherwise laborious Centrifugal TLC Excellent for flavonoid aglycones and lipophilic phenols on 50-10 mg scale Open column chromatography polyamide Excellent capacity, uses simple aqueous alcoholic solvents, up to the gram scale Cellulose Time consuming and lacking in reproducibility Sephadex G-50 System of choice for proanthocyanidins eluting with acetone-water mixtures Sephadex LH-20 Useful for clean-up and for simple separations Silica Presure column chromatography For non-polar phenolic Low pressure (Lobar) 200-300 mg samples can be separated in 1-2 h High pressure (HPLC) on bonded silica Separations in 10-30 min: wide range of applications Droplet counter-current chromatography (DCCC) Only a few solvent system applicable. Useful for hydrolysis tannins. Anthraquinones and antocyanins Table 1.11 Comparison of preparative separations of phenolics
  • 24.
    Enzyme Speciticity β-Glucosidase Hydrolysesβ-D-glucosides (and β-D-xylosides) no effect on anthocyanin substrates α-Glucosidase Hydrolyses α-D-glucosides β-Galactoside Hydrolyses β-D-galactosides β-Glucuronidase Hydrolyses β-D-glucuronides Pectinase Hydrolyses α-L-rhamnosides: chief activity of this preparation is polygalacturonidase Sulphatase Hydrolyses phenolic sulphates: but limited activity with flavonol 3- sulphates Naringinase Hydrolyses flavanone 7-O-neohesperidoside to free flavanone Rhamnodiastase Removes intact oligosaccharides from flavonol 3-glycosides: from Rhamnus frangula seeds Anthocyanase Hydrolyses most anthocyanidin glycosides Table 1.13 Enzymes useful in the structural analysis of phenolic conjugates
  • 25.
    Procedure Indication Hot acidtreatment Colour production: proanthocyanidins Hydrolisis of O-glycosydes Rearrangement of C-glycosyflavones Isomerisation of 5.7.8 – to 5.6.7-to 5.6.7-trihydroxyflavones H2O2 oxidation Release of oligosaccharide (or acylated oligosaccharide) attached to 3- position of flavonoids Methylation Analysis of product indicates number of free hydroxyls in original compounds Acetylation Stabilise and otherwise unstable structure Mild alkaline hydrolysis Release of organic acid acyl groups Hydrolysis of ester linkages Alkaline degradation To identify oxygenation pattern of aromatic nuclei Demethylation To identify parent structure of O-methyl derivative Table 1.14. Chemical modifications of plant polyphenols
  • 26.
  • 27.
    El término ácidofenólico se aplica a aquellos compuestos con al menos un grupo carboxilo y un OH fenólico o que en su origen biogenético tienen la unidad C6-C1. Estos ácidos que son derivados hidroxilados del ácido benzóico son comunes en forma libre o conjugada (ésteres o glucósidos), p.ej. ácido gálico. También son comunes los aldehídos derivados de estos ácidos, p.ej. vainillina, anisaldehído o salicilaldehído.
  • 28.
    Propiedades físico químicas Engeneral estos ácidos fenólicos son solubles en disolventes orgánicos polares y también en soluciones de bases inorgánicas; p.ej. se solubilizan por bicarbonato diluido, se extraen con disolventes orgánicos en condiciones ligeramente ácidas. Su estabilidad es variable, se pueden oxidar fácilmente en condiciones alcalinas. El análisis de ellos comúnmente se hace por CCF o cromatografía de gases, cromatografía de líquidos (LC). En el caso de la CCF el disolvente lleva algo de un ácido orgánico (acético ó fórmico) y las placas son de sílica gel o celulosa. Los compuestos se detectan con los reactivos generales de fenólicos: cloruro férrico, vainillina, azul de prusia ó reactivo de Folin sin embargo, el método analítico mas sensible tanto en su detección como cuantificación es por cromatografía de líquidos en su versión de fase reversa.
  • 29.
    La extracción generalmentese hace del material fresco con alcohol o bien en combinación con agua para evitar reacciones indeseables. (mezcla de alcohol con agua). En algunos casos se sugiere trabajar en atmósfera inerte y evitar pH extremos y evaporar los disolventes a baja temperatura (30ºC). La extracción del residuo acuoso con disolventes inmiscibles de polaridad creciente separa compuestos en estado libre, ésteres o glucósidos. La separación de los compuestos de las mezclas se hace por métodos cromatográficos clásicos con poliamida, celulosa ó silica gel.
  • 30.
    ácido C6C1 C-2C-3 C-4 C-5 Ácido C6C3 ácido benzoico H H H H ácido cinámico ácido salicílico OH H H H ácido o-cumárico ácido p- hidroxibenzoico H H OH H ácido p-cumárico ácido gentísico OH H H OH ácido protocatéquico H OH OH H ácido cafeico ácido vainíllico H OMe OH H ácido ferúlico ácido gálico H OH OH OH ácido siríngico H OMe OH OMe ácido sinápico
  • 32.
    Universal Common Rare Benzoicacids 2-hydroxy Protocatechuic Vainillic Syringic Gallic * Salicylic Gentisic 2,3-Dihydroxy 2-Hydroxy-4-methoxy 2-Hydroxy-5-methoxy 2-Hydroxy-6-methoxy 3,5-Dihydroxy Flavones Apigenin (Ap) Luteolin (Lu) Chrysoeriol Ap 7-methyl ether Lu 7-methyl ether Tricin Ap-5-methyl ether Lu-7-methyl ether tricetin Table 1.4. Frequency of occurrence of hydroxybenzoic acids and flavones in the flowering plants * Gallic acid is mainly found in sugar association as gallotannin
  • 34.
    Fig. 2.3 Thinlayer chromatography separation on silica gel of simple plant phenols. Key: solvent 1.10% acetic acid in chloroform; solvent 2, 45% ethyl acetate in benzene; i, gallic acid; 2, 3,4-dihydroxybenzoic acid; 3, 2,5-dihydroxybenzoic acid; 4 rhododendrol; 5, hydroquinone; 6, orcinol; 7 p-hydroxybenzoic acid; 8, syringic acid; 9, vanillic acid; 10, salycilic acid. Compounds 1,2 and 5 give a blue colour with Folin reagent. Compounds 3, 4, 6, 7, 8, 9 and 10 give a blue colour with Folin reagent. After fuming with ammonia. Compound 6 gives a pink colour with vainillin-HCl
  • 35.
    Table 2.1 Rfand spectral properties of simple phenolics
  • 36.
    Significado Biológico Aunque aciertos fenólicos se les ha atribuido diversas actividades fisiológicas y bioquímicas no siempre es claro si ellos son activos en las plantas. Por lo que técnicas mejoradas de extracción y otras técnicas analíticas cuantitativas ayudarán a elucidar sus funciones in vivo, por ejemplo Van Sumere en 1972 pudo esclarecer el papel de ácidos fenólicos y cumarinas en la regulación de germinación de semillas de cebada. También es aparente que compuestos como alquil fenoles, hidroquinonas ó ésteres de ácido elágico son repelentes de alimento, substancias de defensa o aleloquímicos, otros fenoles y ácidos fenólicos se les ha relacionado con inhibición de germinación de semillas, de esporas de hongos y en general del crecimiento vegetal. Además están relacionados con mecanismos de resistencia en plantas contra fitopatógenos. La inhibición o activación de enzimas también es notoria, p.ej. provocan que callos de tallos de Populus se diferencién o que promuevan la iniciación de raíces adventicias en frijól mungo; también tienen importancia en cloroplastos y fotosíntesis p.ej. el ácido benzóico inhibe este último proceso en cloroplastos de espinaca.
  • 37.
    APLICACIONES MEDICAS EINDUSTRIALES antihelmíntico Fenol Catecol Antisépticos Timol Timol embalsamante p-metoxi-fenol: inhibidor del benzopireno (inductor de neoplasias) 2,6-dimetil-fenol: inhibidor de agregación plaquetaria in vitro Guayacol: expectorante Resorcinol: tratamiento del acné y psoriasis Arbutina: diurético Acido salicílico: manufactura de ácido acetil salicílico y salicilato de metilo Acido gálico: potente agente antimicrobiano. Acido elágico: inhibidor mutagenicidad y citotoxicidad de benzopireno
  • 38.
    Fenol p-cresol Manufactura deresinas, colorantes, explosivos. alcohol salicílico Resorcinol Etil-fenol: manufactura de productos farmacéuticos Hidroquinona, catecol, pirogalol: revelado fotográfico Saliciladehido Anisaldehido manufactura de perfumes y productos farmacéuticos Vainillina Acido gálico: manufactura de tintes y colorantes Pirogalatos: antioxidantes Acidos fenoxiacéticos: herbicidas.
  • 42.
    Compound NH3/UV λ= 366 nm LOD (µg) Chlorogenic Yellow green 0.2 Isochlorogenic Pale green 0.7 Caffeic Blue 0.3 Ferulic Blue 0.08 o-Coumaric Yellow 0.3 m-Coumaric Grey-yellow 1.0 p-Coumaric Blue-violet 0.9 Synapic Blue-green 0.6 TABLE 14.6 The effect of Reaction of Some Phenolic Acid with Ammonia Vapor and Limits of Detection
  • 47.
  • 48.
    Fenilpropanoides: Derivados deácidos cinámicos La L-fenilalanina y L-tirosina como bloques de construcción de C6C3 son precursores de un amplio rango de productos naturales. En plantas, frecuentemente el primer paso es la eliminación de amoniaco de la cadena lateral para formar el derivado apropiado del ácido (E) trans-cinámico. En el caso de fenilalanina forma ácido cinámico, mientras que tirosina daría ácido p-coumárico (figura). Parece que todas las plantas tienen la capacidad de desaminar fenil alanina, vía la enzima fenil alanina amonioliasa (PAL) pero la correspondiente transformación de tirosina está mas restringida, limitándose a miembros de la familia de pastos (Gramineae ó Poaceae). Aún esta en controversia si en estos pastos existe la enzima tirosina amonio liasa (TAL) ó que los pastos tengan una amplia especificidad a PAL después de deaminar tirosina. Algunas especies que no transforman tirosina sintetizan ácido p-coumárico por hidroxilación directa del ácido cinámico. Otros derivados del ácido cinámico se obtienen por subsecuentes hidroxilaciones ó metilaciones y algunos de los mas comunes son: p-coumárico, caféico, ferúlico y sinapico. Se les puede encontrar en las plantas en forma libre o esterificados p.ej. con ácido quínico: ácido clorogénico (ácido 5-cafeoil-quínico) o con glucosa: 1-0-cinamoil glucosa, ó con colina: sinapina.
  • 49.
    1a R2 =OH, R3 = R4 = R5 = H 1b R4 = OH, R2 = R3 = R5 = H 1c R4 =R5 = OH, R2 = R3 = H 1d R3 = OMe, R4 = OH, R2 = R5 =H 1e R2 = OH, R3 = OMe, R4 = R5 = H 1f R4 = OH, R3 = R5 = OMe, R2 = H 3a R7 = OH 3b R6 = R7 = OH 3c R6 = OMe, R7 = OH 3d R7 = R8 = OH 3e R6 = R7 = OMe, R8 = OH 3f R7 = OH, R6 = R8 = OMe 3g R3 = farnesyl, R4 = OH
  • 51.
  • 52.
    EtOH- Rf (x100) in*Colour EtOH NaOH Cinnamic Acid BAW BN BEW Water UV UV+ ammonia λmax λmax p-coumaric 92 16 88 42,85 None Mauve 227,310 335 Caffeic 79 04 79 26,69 Blue Ligh blue 243,326 Decomposi- tion Ferulic 88 12 82 33,75 Blue Bright blue 235,324 344 Sinapic 84 04 88 62 Blue Blue-green 239,325 350 o-Coumaric 93 21 85 82 Yellow Yellow-green 227,275, 325 390 p-Methoxycinnamic 95 17 87 23 Dark absorbing 274,310 298 Isoferulic 89 12 67 37 Mauve Yellow 295,323 345 3,4,5- Trimethoxycinnamic 95 18 87 75 mauve dark 232,303 293 TABLE 2.3 Rf Colour and Spectral Data for Hydroxycinnamic acids *Key: BAW = n-BuOH-HOAc-H2O (4:1:5, top layer); BN = n-BuOH-2MNH4OH (1.1, top layer); BEW = n-BuOH-ethanol-water (4:1:2;2)
  • 53.
    Compound λ max(nm) Compound λ max (nm) Cinnamoyl conjugates P-Coumaric acid 312,295s Methyl-p-coumarate 313,297s P-Methoxycinnamic 304,297s P-Coumaroylquinic 314,298s Ferulic acid 323,300s Feruloylquinic 325,300s Methylferulate 325,295s Ferulic 4-O-Glc 314s,286 Sinapic acid 327,302s Sinapoylglucose 328,305s Chromone 299,245s 5,7-DiOH-2-Me- 325s,295,255,250 7-0-Glc-5-OH-2-Me 290,255,248 Coumarin 310,274 7-Hydroxy- 325,253,240 7-Methoxy- 325,295,253,242 5,7-Dihydroxy- 329,263 5,7-Dimethoxy- 325,254,245 7-OH-5-OMe 330,257,247 6,7-Dihydroxy- 348,299,262,256 6,7-Dimethoxy- 342,294,258,251 7-OH-6-OMe 344,297,259,252 6-OH-7-OMe 346,298,260,252 6,7-Dimethoxy 342,294,258,251 6-Isopentenyl-7-OMe 332,297,256 7,8-Dihydroxy 335,258 7,8-Dimethoxy- 318,250 8-OH-7-OMe 325,257 8-O-GLc-7-OH 326,256 8-Isopentenyl-7-OMe 323,258,247 TABLE 3.13. UV absorption maxima of cinnamoyl conjugates,chromones and coumarins in alcohol (MeOH or EtOH)a a From Ganguli and Bagchi (1956), González et al. (1986) and Razdan et al (1987) S Shoulder
  • 54.
    Cellulose Polyamide WhatmanNo. 2 WhatmanNo. 3 Compound A B C D E F G H Di-p-coumaroylspermidine 51 62 72 N5 N10-Diferuloylspermidine 67 83 83 N4 N10-Caffeoylferuloylspermidine 51 62 72 N4 N10.Diferuloylspemidine 63 88 94 79 20 00. 02.06 Dicaffeoylspermidine 85 61 p-Coumaroylputrescine 60 46.72 Di-p-coumaroylputrescine 81 00.25. 50 Feruloylputrescine 51 44.74 70 33 Caffecoylputrescine 43 47.70 74 66 Caffeoylspermidine 48 38.67 p-Coumaroyltyramine 85 00.48 Feruloyltyramine 74 00.48 Table 3.2. Rf values of some hydroxycinnamoylamides.a Solvent systems: A, n, BuOH-HOAc-H2O (6:1:2); B, CHCl3-MeOH (3:2, water satd.) C, CHCl3-HOAc (3:2, water satd..); D, H2O- MeCOEt-MeOH-acetylacetone (13:3:3:1); E, n-BuOH-EtOH-H2O (4:1:2); F water; G, EtOAc-C6H5N-H2O (2:1:2) H. CHCl3-MeOH- H2O (55:40:5) a Date compiled from Delétang (1974); Cabanne etal. (1977); Meurer et al (1986, 1988 a)
  • 55.
    Steamed Cellulose Silica gelSilica gel Silica gel Cellulose A1 B2 C3 A1 B4 A1 B4 D5 E5 F5 7-Hydroxy-(umbelliferone) 45 20 39 43 27 44 61 - - - 7-Methoxy-(herniarin) 55 54 81 97 86 94 98 - - - 7,8-Dihydroxy-(daphnetin) 42 - - 36 28 44 35 - - - 6,7-Dihydroxy-(aesculetin) 28 02 11 28 04 40 15 - - - Esculetin-6-O-glucoside (aesculin) 04 - - 13 00 05 00 63 64 55 7-Hydroxy-6-methoxy-(scopoletin) 42 12 60 67 84 46 83 29 87 84 6-Hydroxy-7-methoxy- (isoscopoletin) - 20 61 - - - - - - - 6,7-Dimethoxy-(scoparone) - 31 81 - - - - - - - Table 3.3 Rf values of some simple coumarins on TLC Solvent systems: A1, toluene-HCO2Et-HCO2H (5:4:1), Van Sumere et al. (1965); B2, CHCl3-HOAc-H2O (4:1:1 lower layer), Karlsen et al (1974); C3, toluene-Me2CO (95:5, two migrations) Karlsen et al (1974); B4, CHCl3- HOAc-H2O (4:1:1, lower layer), Van Sumere et al (1965); D5, 2% aq. HCO2H; E5, n-AmOH-HOAc-H2O (10:6:5); F5, C6H6-propionic acid-H2O (20:45:15). Dass and Weaver (1972)
  • 57.
    Fig. 2.6 Ultravioletspectra of two phenylpropanoids. Key: A, Caffeoylquinic acid (chlorogenic acid) in 95% EtOH; B, aesculetin in 95% EtOH; C, caffeoylquinic acid in EtOH-NaOH; D, aesculetin in EtOH-NaOH.
  • 59.
    Table 3.16. Chemicalshifts for aromatic protons in hydroxycinnamoyl esters (δppm/TMS, in CD3OD or DMSO-d6)
  • 60.
    Cumarinas: Las cumarinas sonestructuralmente relacionadas como derivados lactónicos del ácido o-hidroxi-z-cinámico. Se caracterizan por una variedad de patrones de oxigenación en el anillo de la benzopirona, siendo la substitución en C-7 la más común en las cumarinas de origen natural. La 7-hidroxicumarina (Umbeliferona) se considera como precursor de las cumarinas di y trioxigenadas. La O-metilación, O-glucosilación y O–prenilación son reacciones terminales en la biosíntesis de cumarinas. Las cumarinas simples se encuentran como β-O-D-glucósidos. La cumarina misma se encuentra en el trebol dulce (Melilotus sp Leguminosae) y contribuye al olor del heno recién cortado; se observa que esta formación es resultado de hidrólisis enzimática y lactonización. Si se deja fermentar el trebol dulce, se forma 4-hidroxicumarina por la acción de microorganismos sobre el ácido 2-coumárico, reacciona c/formaldehído para dar dicoumarol, este es un compuesto con notorias propiedades anticoagulantes que puede causar la muerte del ganado por hemorragias internas. Una situación común de muchas cumarinas es la prenilación nuclear en C6 ó C8 que resulta con la formación de furano cumarinas lineales (psolareno, 4) ó las menos comunes furanocumarinas angulares como la angelicina 5. Estas furanocumarinas se encuentran principalmente en Rutaceae y Umbeliferaceae en combinación con otras cumarinas simples.
  • 62.
    PSORALENS Psoralens are linearfuranocoumarins which are widely distributed in plants, but are particulary abundant in the Umbelliferae and Rutaceae. The most common examples are psoralen, bergapten, xanthotoxin and isopimpinelline . Plant containing psoralens have been used internally and externally to promote skin pigmentation and sun-tanning. Bergamot oil obtained from the peel of Citrus aurantium ssp. Bergamia (Rutaceae) can contain up to 5% bergapten, and is frequently used in external suntan preparations. The psoralen, because of this extended chromophore, absorb in the near UV and allows this radiation to simulate formation of melanin pigments. Methoxsalen (Xanthoxin; 8-methoxypsoralen), a constituent of the fruits of Ammi majus (Umbelliferae), is used medicallly to facilitate skin repigmentation where severe blemishes exist (vitiligo). An oral dose of methoxsalen is followed by long-wave UV radiation, though such tratments must be very carefully regulated to minimize the risk of burning, cataract formation, and the posibility of causing skin cancer. The treatments is often referred to as PUVA (psoralen+ UV-A). PUVA is also of value in the treatment of psoriasis, a widespread condition characterized by proliferation of skin cells. Similarly, methoxsalen is taken orally, prior to UV treatment, intercalation of psoralens into DNA is facilitated by their planar nature, and this enables an UV-initiated cycloaddition reaction between pyrimidine bases in DNA and the furan ring of psoralens (see figure). In some cases, di-adducts can form involving further cycloaddition via the pyrone ring, thus cross- linking the nucleic acid. Reaction with psoralens thus inhibits DNA replication and reduces the rate of cell division.
  • 63.
    4a R5 =OH 4b R5 = OMe 4c R8 = OH 4d R8 = OMe 4e R5 = R8 = OMe 4 R5 = R8 = H
  • 65.
    A troublesome extensionof these effects can arise from the handling of plants which contain significant levels of furanocoumarins. Celery Apium graveolens (Umbeliferae) is normally free of such compounds; but fungal infection with the natural parasite Sclerotinia sclerotiorum induces the synthesis of furanocoumarins (xanthotoxin and others) as a response to the infections. Field workers handling these infected plants have become very sensitive to UV light and suffer from a form of sunburn termed photophytodermatitis. Parsley (Petroselinum crispum) can give similar effects. Handling of rue (Ruta graveolens; Rutaceae) or giant hogweed (Heracleum mantegazzianum; Umbeliferae), which naturally contain significant amounts of psoralen, bergapten and xanthotoxin, can cause similar unpleasant reactions, or more commonly rapid blistering by direct contact with the sap. The giant hogweed can be particulary dangerous. Individually vary in their sensitivity towards furanocoumarins; some are unaffected whilst others tend to become sensitized by an initial exposure and then develop the allergic response on subsequent exposures.
  • 67.
    Dicoumarol and Warfarin Thecause of fatal haemorrhages in animals fed spoiled sweet clover (Melilotus officinalis; Leguminosae) was traced to dicoumarol (bishydroxycoumarin). This agent interferes with the effects of vitamin K in blood coagulation; blood loses its ability to clot ,and thus minor injuries can lead to severe internal bleeding. Synthetic dicoumarol has been used as an oral blood anticoagulant in treatment of thrombosis, where the risk of blood clots becomes life- threatening. It has been superseded by salts of warfarin and nicoumalone which are synthetic developments from the natural product. An overdose of warfarin may be countered by injection of vitamin K1
  • 68.
    Warfarin was initiallydeveloped as a rodenticide, and has been widely employed for many years as the first-choice agent, particulary for destruction of rats. After consumption of warfain-treated bait, rats die from internal haemorrhage. Other coumarin derivatives employed as rodenticides include coumachlor and coumatetralyl. In an increasing number of cases, rodents are becoming resistant to warfain, an ability which has been traced to elevated production of vitamin K by their intestinal microflora, modified structures defenacoum and brodifenacoum have been found to be more potent than warfarin, and are also effective against rodents that have become resistant to warfarin.
  • 69.
    Esteres de fenilpropanoides, propiedades: Orobanchosido analgésico Verbascosido hipotensor Myricosido agente antialimentario Otros esteres Inhibición LO efecto glucosidicos antiinflamatorio/antialérgico Ac. rosmarínico colerético/colagogo Ac. cafeico/clorogenico colerético ácido cichórico inmuno estimulante E.purpurea
  • 70.
    *Lithospermic acid (formallya neolignan!) has been described as a caffeic acid trimer [Kelley, C. J. et al. (1975) J. Org. Chem, 40, 1804-1815]; recently, the same name was used to designate a tetramer, namely lithospermic acid B, isolated from Salvia miltiorrhiza as Mg, and K and NH4 lithospermates (see Tanaka, T. el al (1989) Chem. Pharm Bull., 37, 340-344) Isomeric tetramers (unnamed) of unspecific stereochemistry have also benn isolated from Otrhosiphon stamineus: see Sumaryono,W. et al (1991) Planta Med., 57, 176-180. Regarding lithospermate activity on diuresis, see, among others, Yokozawa, T. et al.: 1. (1990) J. Pharm. Pharmacol., 42, 712-715; 2 (1991) Nephron 57, 78-83.
  • 71.
    Significado y funciónde los Fenil propanoides. Es evidente que la raison détre de los fenilpropanoides proviene de varias funciones que tienen en plantas además de su papel en la biosíntesis de ligninas y flavonoides. Además de su papel ecológico, muchos de ellos poseen actividad farmacológica. • Mecanismos defensa contra infecciones: inhiben multiplicación de virus, bacterias, hongos. • Condiciones de estres como excesiva luz UV, heridas o infecciones induce la formación de estos compuestos. • Tienen excelentes propiedades atrapadoras radicales libres y actuan como antioxidantes. Esta actividad depende del número de funciones OH en su estructura. • La presencia de la cadena lateral C3 asegura una mayor habilidad donante de H y una subsecuente estabilización de radicales en comparación a los C6C1, tal que los derivados del cinámico son más activos que los del benzoico. • En esta serie, la actividad antioxidante depende del número de grupos OH unidos al anillo aromático. Asi o-difenoles (ácido cafeico) tienen una mayor capacidad atrapadora de radicales libres que aquellos con un solo grupo OH (ácido p-cumarico). • Se ha documentado el papel de los radicales libres en el desarrollo del cancer y cómo los ácidos fenólicos con estas características estructurales tienen esa capacidad de atrapar estos radicales libres.
  • 72.
  • 73.
    Los flavonoides formanun grupo grande e importante de productos naturales unificados estructuralmente por su derivación del sistema heterocíclico: benzocromano. Algunos flavonoides son intensamente coloridos, como las antocianinas que imparten colores rojo a azul a flores, frutos y hojas. Otros como las flavonas son incoloros pero aún imparten tonos blancos a flores, también actúan como copigmentos de las antocianinas; algunos otros son amarillos como los chalconas, auronas y flavonoles. Los flavonoides están generalmente distribuidos en plantas superiores. También se encuentran en varios organismos inferiores como musgos ó hepáticas, raramente se encuentran en hongos y aún no hay descripciones en bacterias o algas. Además de su contribución al color de las plantas, los flavonoides tienen otras funciones en el crecimiento y desarrollo de las plantas p. ejemplo hay evidencias que los flavonoides de la hoja ya sea en células epidermales o en la superficie cerosa de las hojas proporciona protección contra el efecto dañino de la radiación UV-B.
  • 75.
    También se haobservado que las flavonas en raíces de leguminosas funciona como señales en el proceso de infección por Rhizobium y en el es establecimiento de la fijación del nitrógeno en estas plantas. Los flavonoides presentan una gran variedad de propiedades biológicas: antimicrobiana, insecticida, estrogénica. Por ejemplo algunas flavanonas e isoflavanonas se forman de novo como barreras antifúngicas en hojas de plantas en respuesta a infección microbiana; otros flavonoides proporcionan resistencia antifúngica constitutiva. Hay toda una serie de evidencias de que los flavonoides están involucrados en interacciones planta-animal y de ahí derivan las estrategias de defensa de las plantas contra herviboros o patógenos. Sabemos que realzan la tolerancia a una variedad de estreses abióticos, y son compuestos involucrados en interacciones alelopaticas en diferentes especies de plantas por ejemplo la floridzina en las hojas y raices del manzano tiene un fuerte efecto inhibidor del crecimiento de otras plantas.
  • 78.
    Como los flavonoidesse encuentran comúnmente en frutas y vegetales, forman parte de la dieta humana; se ha estimado que diariamente se ingiere 1g de flavonoides. Su papel benéfico a la salud humana aún está en debate, pero hay evidencias de sus propiedades anticancerígenas y atrapadoras de radicales libres. Los flavonoides también en ocasiones son los principales componentes de plantas medicinales (p.ej. hojas de gingko) y es posible que ellos contribuyan a sus propiedades curativas, muchos flavonoides son activos farmacológicamente y algunos tienen propiedades antiinflamatorias o hepato protectoras. Los flavonoides se pueden clasificar de acuerdo a su origen biosintético (ver figura). Algunos son intermediarios en la ruta biosintética o bien productos finales de la misma, p. ej. chalconas, flavononas y flavanon-3-oles y flavan-3,4-dioles. Otras clases de flavonoides son solo productos finales de la biosíntesis, p.ej. antocianinas, flavonas, flavonoles, proantocianidinas. Otras dos clases de flavonoides son aquellas donde el residuo 2-fenilo de la flavanona migra a la posición 3- dando origen a los isoflavonoides. Una migración parecida ocurre al C-4 dando origen a los neoflavonoides. Es notorio que prácticamente todas las enzimas que catalizan los diferentes pasos de la ruta biosintética se han caracterizado.
  • 81.
    También se lepuede clasificar de acuerdo a su peso molecular. Mientras la mayoría de los flavonoides son monoméricos, también se ha descrito un número significativo de estructuras diméricas, triméricas, tetraméricas y poliméricas, p.ej. los biflavonoides se basan en uniones C-C de dos unidades parecidas de flavonas, pero también se encuentran dímeros mezclados (flavonil-flavanonas). Los flavonoides de mayor peso molecular son las proantocianidinas aligoméricas y poliméricas derivadas biosintéticamente de flavan-3-oles y están formados por 4 a 8 unidades de flavano ya sea como cadenas lineales o con ramificación a través de otras uniones. La mayoría de los flavonoides se encuentran asociados con azúcares en forma conjugada y en cualquier clase pueden ser caracterizados como monoglicósidos, diglicósidos, etc. La complejidad glicosídica es considerable y los monosacáridos asociados incluyen: glucosa, galactosa, arabinosa, ramnosa, xilosa, apiosa, alosa, manosa, ácido galacturómico, ácido glucurónico; mono, di y trisacáridos se pueden unir a través de un solo grupo OH fenólico o pueden estar involucrados varios grupos OH. También puede ocurrir acilación con grupos aromáticos (ácido p-coumárico) o alifáticos (ácido malónico) a través del OH en C6. Hay un grupo especial de flavonoides que son C-glucósidos y pueden estar combinados con O-glucósidos
  • 83.
    Figure 2. Flavonoidstructures ilustrating some variations in hydroxyl patterns.
  • 86.
    Biflavonyls Biflavonyls (or biflavonoids)are mainly dimers of the flavone apigenin (5,7,4´-trihydroxy) which are joined by oxidative coupling through a variety of carbon-carbon links. A typical biflavonyl is amento flavone, where the two apigenin units are joined through a 3´-8 linkage
  • 88.
    Figure 4. Combinedforms of flavonoids
  • 91.
  • 92.
  • 93.
    Figure 7. Someisoflavones and related isoflavonoids
  • 95.
    Propiedades físico químicas,extracción, caracterización y cuantificación Como regla general las formas glucosídicas son solubles en agua o en alcoholes y solo en algunos casos la solubilidad es menor (rutina, esperidina). Los aglucones son solubles en disolventes de polaridad media. Los flavonoides lipofílicos de las superficies cerosas de las hojas, se extraen directamente con disolventes como diclorometano y luego hay que separarlos de grasa y lípidos. Las formas glucosídicas se pueden extraer con acetona, metanol o etanol mezclados con agua (20 a 50%, dependiendo si el tejido es fresco o seco) y posteriormente particiones con diferentes disolventes deja atrás a grasas, clorofilas; con éter o acetato de etilo se extraen algunos flavonoides, mientras que los mas polares quedan en el residuo acuoso. La separación y purificación de ellos se basa en el uso de técnicas cromatográficas (poliamida, celulosa, sephadex LH-20) y estas alcanzan un grado de mayor sensibilidad cuando se usa cromatografía de alta resolución: Fase reversa en C8 ó C18 con acetonitrilo , agua, metanol, ácido acético en diferentes proporciones en la fase móvil.
  • 96.
    Caracterización Aunque varias reaccionescromogénicas permiten la caracterización de aglucones y glucósicos en extractos crudos, en el trabajo preliminar se hace análisis por CCF y CP como por ejemplo: • Chalconas y auronas son visibles y se tornan de color naranja o rojo con vapores de amoniaco. • Observado con luz UV antes y después de asperjar con tricloruro de aluminio o vapores de amoniaco (la naturaleza de los cambios en la fluorescencia de las manchas da información del tipo de flavonoides presentes). • Después de asperjar con una solución al 1% del reactivo NA “Naturstoff Reagent A”, luego con luz uv (la sensibilidad mejora asperjando después con una solución en metanol de polietilenglicol 400. El uso de las técnicas espectrosópicas: UV, NMR o MS pueden reforzar los datos observados por métodos cromatográficos, p.ej. el uso de la espectroscopía uv proporciona indicaciones valiosas del tipo de estructura naturaleza y posición de los sustituyentes al adicionar reactivos de desplazamiento (NaOH, AlCl3 o H3BO3)
  • 97.
    Cuantificación Los métodos máscomunes de cuantificación de flavonoides pueden ser colorimétricos o espectrofotométricos, pero ahora la cromatografía de líquidos de alta resolución hace posible una estimación rápida y precisa de todos los flavonoides presentes en una muestra, por lo que actualmente se usa ampliamente en la cuantificación de flavonoides.
  • 100.
    Figura 2.6. Forestalchromatogram of the Common Flavonoid Aglycones of Plants Colour Key: 1, mauve, red and orange respectively in visible light; 2, mauve , mauve and red in visible light; 3, brigth yellow in UV light; 4,5, dull brown in UV light changing to bright yellow-green with NH4OH; 6, dull brown unchanged by NH4OH
  • 105.
    Subtitution pattern a Anthocyanidin3 5 6 7 3´ 4´ 5´ Common structures Pelargonidin OH OH H OH H OH H Cyanidin OH OH H OH OH OH H peonidin OH OH H OH OMe OH H Delphinidin OH OH H OH OH OH OH Petunidin OH OH H OH OMe OH OH Malvidin OH OH H OH OMe OH OMe Rarer structures b Aurantinidin OH OH OH OH H OH H 6-Hydroxycyanidin OH OH OH OH OH OH H 5-Methylcyanidin OH OMe H OH OH OH H Rosinidin OH OH H OMe OMe OH H Pulchellidin OH OMe H OH OH OH OH Europinidin OH OMe H OH OMe OH OH Hirsutidin OH OH H OMe OMe OH OMe capensinidin OH OMe H OH OMe OH OMe TABLE 9.1. Structures of naturally occurring anthocyanidins a Numbering according to the anthocyanidin C-numbering system in the structure scheme. b There are also three 3—desoxyanthocyanidins: apigeninidin (3-desoxypelargonidin), luteolin (3-desoxycyanidin) and tricetinidin (3-desoxydelphinidin),
  • 106.
    Figure 9.1 Structureof heavenly blue anthocyanin (HBA) from blue petals of morning glory (Ipomea tricolor) (Goto, 1987; with persmission of the author and Springer-Verlag)
  • 108.
    Rf value x100 ´Forestal´ BAW (4:1:5) Anthocyanidin PCa TLCb PCa TLCb Pelargonidin 68 61 80 82 Cyanidin 49 45 68 68 Peonidin 63 63 70 71 Delphinidin 32 30 41 42 Petunidin 46 43 52 52 Malvidin 60 58 58 56 a Data from Harborne (1967) b Microcrystalline cellulose (D. Strack, unpubl. res.); solvents: ´Forestal´= acetic acid- conc. HCl-water (30:3:10). BAW = n-butanol-acetic acid-water (4:1:5, upper phase). TABLE 9.2. Rf values of the common anthocyanidins
  • 110.
    Fig. 9.2 Structuraltransformation of anthocyanins (shown for pergolanidin 3-glucoside) in aqueous at varying pH; 1=flavylium cation (red coloured), 2-4=quinonoidal bases (blue coloured), 5 = carbinol pseudobase (small amounts of the corresponding 4-hydrated product may also be formed under certain unfavourable conditions) (colourless), 6= chalcone pseudobase (colourless) (modified after Brouillard, 1988; with permission of the author and Chapman and Hall Ltd).
  • 111.
    Cromatogramas HPLC deantocianidinas de los estandares y variedades analizados de frijol a) Raza Jalisco a) Raza Mesoamericana
  • 112.
    COMPUESTO BAW λmax Rf(X100) (en EtOH) Delfinidina 3-G 26 534 Delfinidina 3,5-diG 15 533 Pelargonidina 3-G 44 --- Cianidina 3G 38 523 Petunidina 3G 35 534 Malvidina 3G 35 Flavonoles Miricetina 3G Quercetina 3G Kaempferol 3G FLAVONOIDES EN FRIJOL 3-G = 3 glucósido; 3,5-diG = 3.5 diglucósido
  • 114.
    Flavonoides: Propiedades biológicas Laprincipal propiedad atribuida a los flavonoides es una actividad como Vit. P  Potencialmente activos en las venas: decrecen la permeabilidad y fragilidad capilar.  Otras propiedades: antiinflamatorios, inhiben actividad del ácido araquidónico, ep.ej. apigenina, crysina.  Antialergénicos, hepatoproctores, antiespasmódicos (p.ej. flavonoides del tomillo).  Decrecen niveles de colesterol, diuréticos, antimicrobianos, antivirales, citostáticos.  Atrapadores de radicales libres en: anoxia, donde se bloquea flujo de citocromo-oxidasa, inflamación donde se forma entre otras cosas aniones superóxido.  Autooxidación lipídica.
  • 115.
    Flavonoides como inhibidoresde enzimas: Inhiben histidina decarboxilasa; hialuronidasa, catecol-O-metil transferasa: aumento Catecol aminas, decrece la fragilidad capilar. Inhibidor del cAMP fosfodiesterasa, que explica su actividad como agente antiagregación de plaquetas. Potentes inhibidores de lipooxigenasa o ciclooxigenasa o ambas, las cuales se les relaciona con la capacidad de formar radicales libres. También estimulan algunas enzimas p.ej. prolina-hidroxilasa. Usos Terapéuticos Los flavonoides de Citrus: tratamiento de insuficiencia venosa. Al igual que los de Sophora japónica (árbol de las pagodas). Rutina: insuficiencia cerebral senil. Ginkgo biloba: flavonoides y terpenos: insuficiencia cerebral, vértigo, pérdida del oido, insuficiencia venosa, ataque agudo de hemorroides Algunas especies abundantes con: flor de la pasión, tomillo, manzanilla romana, milenrama, cola de caballo.
  • 117.
  • 118.
    ISOFLAVONOIDES Los isoflavonoides secaracterizan por el esqueleto C15 del tipo ArC3Ar pero uno de estos grupos migra a la posición 3. La distribución de estos compuestos se restringe a la familia Fabaceae. Esto se debe a la especificidad de la enzima responsable de la migración del grupo arilo. Aunque esta distribución restringida no implica diversidad estructural: se conocen más de 700 estructuras de isoflavonoides. Se pueden clasificar en varios tipos estructurales dependiendo del grado de oxidación del anillo principal y en varios de ellos se nota cierta frecuencia de derivados con isoprenilo.
  • 119.
    Los compuestos máscomunes son isoflavonas que se encuentran en estado libre y raramente como glucósidos (O-glucósidos). Estructuras relacionadas son menos frecuentes e incluyen a isoflavanonas, isoflavenos e isoflavanos. Con frecuencia los isoflavonoides tienen un anillo adicional que proviene de la ciclización de un derivado 2´ hidroxilado, por ejemplo pterocarpanos. Otros isoflavonoides tienen un residuo de cumarina que puede dar origen a un coumestano. Algunos compuestos poli cíclicos tienen un átomo de carbono adicional por ejemplo los rotenoides que provienen de una ciclización oxidativa de una 2´-metoxi isoflavona.
  • 121.
    BIOSINTESIS El mecanismo propuestoque explica la formación de los isoflavonoides consiste en dos pasos. El primero es la oxidación de la forma enólica de la naringenina y el segundo paso es la eliminación de una molécula de agua. El primer paso se cataliza por una mono oxigenasa la que podría formar un epóxido, la protonación y apertura de éste último conduce a la formación de una espiro dienona intermediaria, la cual al aromatizarse migra al carbono 3
  • 123.
    ACTIVIDAD BIOLOGICA Las propiedadesbiológicas de los isoflavonoides eran poco conocidas hasta hace algunos años. Una de ellas se relaciona con su aplicación como insecticidas, por ejemplo los rotenoides ó bien como piscicidas. En plantas un buen número de estructuras de isoflavonoides son fitoalexinas, es decir compuestos producidos por la planta en respuesta a una infección por un agente patógeno, principalmente hongos. La actividad estrogénica de los isoflavonoides tambien es notoria.
  • 124.
    Se ha observadoque cuando los ovinos consumen grandes cantidades de trebol puede provocarles infertilidad. Los responsables de esta actividad son 7-hidroxi-4´-metoxiflavonas, formononetina y sus derivados 5-hidroxilados: biochianina A y genisteína. La formononetina se demetoxila por los micro organismos del rumen y se forma daidzeína la cual se reduce al equol y es este flavano que se encuentra en el plasma y causa la infertilidad Se ha observado que el contenido de isoflavonoides se puede incrementar después de una infección bacteriana o fungosa ó por influencia de la luz UV y de ciertos herbicidas
  • 126.
    Beneficios para lasalud en el consumo de legumbres ( con isoflavonoides): • Reducción en la presencia de varios tipos de cáncer. Al inhibir la tirosina-quinasa y DNA topoisomerasa. • Reducción en los síntomas de postmenopausia. • Prevención de enfermedad coronaria al reducir las proteínas de baja densidad (LDL) y aumentar las de alta densidad (HDL). • Efectos positivos en procesos fisiológicos tales como el comportamiento neuro-cerebral, derivado de observaciones del significado de los estrógenos en funciones cerebrales. • Por estas características se menciona a los isoflavonoides como fitoestrógenos
  • 128.
  • 129.
    Cultivos básicos Taninos Plantasplantas medicinales Prod. bebidas Animales domésticos consume plantas que contienen taninos. o salvajes Raíces Taninos son comunes en flores de gimnospermas y Hojas dicotiledóneas Madera Actualmente también se han encontrado en hojas de pastos. Hasta un 2% ps en granos de sorgo ó cebada corresponde a taninos. Las algas marinas de color café contienen florotaninos que tienen propiedades parecidas a las de taninos de plantas superiores.
  • 130.
    El término taninose usó históricamente para discutir un grupo heterogéneo de compuestos que precipitan proteínas. Una definición mas rigurosa fue descrita por Bate-Smith en 1962 quien los señala como compuestos fenólicos solubles en agua con pesos moleculares entre 500 y 3,000 y que además de dar las reacciones de compuestos fenólicos usuales tienen la capacidad de precipitar alcaloides, gelatin, otras proteínas y polisacáridos. Los taninos se clasifican en tres grandes grupos: 1. Procianidinas o taninos condensados 2. Taninos hidrolizables 3. Flovafenos. Proantocianidinas. Los taninos condensados o proantocianidinas son compuestos derivados de flavanoles. Reaccionan en solución alcohólica de un ácido mineral para formar la correspondiente antocianidina con un color característico. La diversidad estructural en las proantocianidinas esta relacionada con el patrón de substitución y la estereoquímica de las subunidades de flavanol.
  • 135.
    Por su ampliadistribución y pronunciados efectos biológicos se les ha relacionado como agente contra herbívoros y patógenos en las plantas. Astringencia: Sensación de resequedad p.ej. vino tinto, té, frutas inmaduras. Esta sensación se debe a la interacción entre los taninos y proteínas de saliva y tejidos mucosas de la boca. Además de este efecto aparentemente hay una depresión en la utilización de proteínas. Efectos terapéuticos. Consumo de bebidas ricas en taninos: vino tinto, te, se han asociado c/reducción en enfermedades cardiacas, cáncer. La ocurrencia común de los taninos en alimentos, bebidas y forraje y la diversidad de efectos biológicos ha resaltado el interés en el análisis cuali y cuantitativo de ellas.
  • 136.
    La única preparacióncomercial de taninos condensados es la profisetinidina que se aísla de las preparaciones de Quebracho. El Quebracho es un extracto crudo de la corteza de Shinopsis sp. Las galocatequinas se relacionan c/los taninos condensados. En ellos el grupo 3 hidroxi del flavanol está esterificado c/ácido gálico. Esta modificación altera la reactividad p.ej. la epi-galo catequina no precipita proteínas, pero el galato de la epi-galocatequina que es el componente astringente del te verde, si las precipita. Taninos hidrolizables. Comprende a ácidos fenólicos tales como el gálico o el hexa hidroxidifénico esterificados con un poliol como la glucosa. Los galo taninos más simples comprenden solo ésteres galoilo de glucosa ó ácido quínico, son relativamente raros en la naturaleza pero son el principal constituyente del ácido tanico comercial. En el galotanino más simple la parte esencial (pentagaloil glucosa) se modifica por la adición de grupos galoilo, que pueden ser hasta doce. Los elagitaninos como la telli magrandina II se forma a partir de los galo taninos por copulación oxidativa de residuos de galoilo para dar ésteres del AHHD.
  • 138.
    Figure 3. Biosynthesisof gallyc esters from gallic acid and glucose
  • 139.
    Flovafenos. Es otrade las clases de los taninos que conmparten algunas de las características de los taninos. Estos compuestos comprenden subunidades de fluroglucinol aril-aril ó aril eter. Se encuentran solo en algas marinas. Asi como los taninos de plantas terrestres precipitan proteínas y contribuyen al sabor y calidad nutricional de las algas para los herbívoros marinos. Análisis de taninos. Se han descrito numerosos métodos para el análisis de taninos. Se debe considerar que cada tipo de tanino responde diferente en los análisis. Esta variabilidad hace complicado usar un solo método para asegurar el contenido de taninos de una mezcla compleja. En su lugar se pueden usar varios métodos para obtener un esquema cuali o cuantitativo de los taninos presentes en la mezcla. En general, los métodos usados para el análisis de taninos se basen en reacciones generales de compuesto fenólicos, precipitación de proteínas, reacciones de grupos funcionales ó métodos cromatográficos (HPLC).
  • 140.
    Métodos de compuestosfenólicos totales. El método de azul de Prusia, el de Folin-Denis o el de Folin-Ciocalteu se usan para medir fenólicos de tipo tanino en un extracto vegetal. En estos métodos el analito se oxida y el reactivo se reduce para formar un cromóforo. En ocasiones el método de Folin puede formar precipitados que interfieren con la determinación espectrofotométrica y se han desarrollado variantes para reducir estos inconvenientes. Métodos de precipitación. Son métodos basados en la actividad de los taninos para precipitar proteínas. Uno de los mas sencillos es aquel en que ocurre la precipitación con una proteína estandar. Luego el fenólico se redisuelve en solución básica y reacciona con sales férricas para formar un complejo colorido. Este método discrimina taninos de otros fenólicos pero no permite la determinación selectiva de varios tipos de taninos.
  • 141.
    Métodos de losgrupos funcionales. Estos métodos dependen de la reactividad específica de un grupo funcional característico de un tipo de tanino. Para taninos condensados. a) El ensayo de vainillina es un método para determinar proantocianidinas. Los aldehidos aromáticos como la vainillina reaccionan con fenólicos sin substituyentes en posición m- para dar productos coloridos altamente conjugados. Como las proantocianidinas tienen un patrón de sustitución apropiado en el anillo A reaccionan con vainillina, pero la interpretación de resultados es complicada porque la vainillina puede reaccionar con otros compuestos. La reacción también es sensible a la presencia de trazas de agua, por lo cual el método es limitado.
  • 142.
    Fig. 5. Chemistryof the vainillin assay for condensed tannins. The arrowhead points to a second potentially reactive site
  • 143.
    a) Método deButanol Acidico. Es un un método simple y específico para determinar proantocianidinas. Depende de la ruptura oxidativa del enlace, interflavano en una solución alcohólica de un ácido mineral y sales de Fe para formar la antocianidina colorida. Las condiciones de reacción se deben controlar cuidadosamente; trazas de hierro catalizan la reacción mientras que el agua la inhibe. El método es selectivo para determinar taninos condensados en presencia de taninos hidrolizables.
  • 144.
    Fig. 3. Chemistryof the acid-butanol reaction. Note that the reaction involves oxidation and that the terminal unit does not give a colored antocyanidin product structure. The traditionally recommended water content is 6% (Porter et al. 1986.)
  • 145.
    Cromatografía en capafina de Taninos. Placas de sílica gel GF254 Sistema: Tolueno:acetona:ácido fórmico 9:9:2 Revelador: FBS (fast blue salt)
  • 146.
    FIG. 1.11. RelativeRf values of selected hydrolysable tannins on paper chromatography. Key: 1,β-1,2,4,6-tetragalloyl-O-glucose; 2β-1,2,3,4,6-pentagalloyl- D-glucose (4); 3, tellemagrandin I(8); 4, eugeniin (6); 5, pedunculagin (9); 6 α-1- halloyl-bis-2,3:4,6-hexahydroxyphenoyl-D-glucose; 7, casuarictin (7); 8, castalagin (11), geraniin (20). 0.5 1.0 0.5 1.0 2 9 1 4 6 3 7 5 8 6 % HOAC S-BAW
  • 147.
    FIG. 11.2. RelativeRf values of selected proanthocyanidins and related compounds on paper chromatography or cellulose TLC. Key: 1, epiafzelechin; 2, catechin; 3, epicatechin; 4, gallotechin; 5, epigallocatechin; 6, epicatechin-4βbenzylsulphide; 7, epicatechin-(4β- phloroglucinol; 8, epicatechin-(4β-8)-catechin; 9, epicatechin-(4 β-8)-epicatechin; 10, catechin-(4α-8)-catechin; 11, catechin (4α—8)-epicatechin; 12,gallocatechin-(4α—8)- epigallocatechin; 13, gallocatechin-(4α—8)-catechin; 14, epicatechin-(2β-7, 4β-8)- epicatechin; 15, epicatechin-(2β-7,4β-6)-epicatechin; 16[epictechin-(4β-8)]2 epicatechin; 17, [epicatechin-(4 β-8)]3 epicatechin.
  • 149.
    Taninos hidrolizables. a) Métodode iodato de potasio. Se basa en la reacción de este reactivo con esteres de ácido gálico para dar un cromóforo. Aunque el método es sensible no se puede usar en el análisis de mezclas complejas de taninos. b) El ensayo de la rodamina y del ácido nitroso permiten la estimación de galo taninos o elagi taninos en mezclas . Ambos métodos se basan en la determinación selectiva del ácido fenólico que se libera por hidrólisis del tanino original. La hidrólisis se hace en ausencia de oxígeno ya que los compuestos de interés son sensibles a el. Después de la hidrólisis el ácido gálico reacciona con la rodamina para formar el cromóforo mientras que el ácido elágico reacciona con ácido nitroso para formar un cromóforo. Aunque ambos métodos son sensibles no dan información del grado de esterificación del compuesto original, para esto se puede hacer por HPLC en fase reversa o en fase normal.
  • 150.
    Evaluación de mezclasde taninos. Es posible el uso de un arreglo de métodos químicos ó espectroscópicos para el análisis cuali y cuantitativo de taninos. Ensayo de difusión radial. Es un método de precipitación de proteínas en donde el extracto se deja difundir en un gel que contiene proteína. Los taninos del extracto precipitan las proteínas formando un anillo visible. Taninos hidrolizables + hidroxil amina forman un poliol y un ácido hidroxámico derivado del residuo fenólico. Los galotaninos reaccionan completamente mientras que las proantocianidinas no sufren cambio, El ensayo de la difusión radial después del tratamiento con hidroxil amina permite inferir la presencia de taninos hidrolizables.
  • 152.
    Propiedades biológicas delos taninos • Agentes quelantes de iones metálicos • Agentes precipitantes de proteínas • Antioxidantes naturales Respecto a la primera, se observa que la actividad de algunos metales se reduce por el efecto de los taninos. Sideróforos bacterianos con varios grupos fenólicos presentan alta afinidad por metales esenciales y de una manera análoga se sugiere que los taninos pueden tener una alta afinidad por metales.
  • 153.
    Respecto a supapel como agentes precipitantes de proteínas, se ha descrito una gran cantidad de información. Como se ha indicado, cantidades moderadas de materiales ricos en taninos no tienen efectos nocivos en la salud. En rumiantes por ejemplo tienen un efecto benéfico y algunos mamíferos han desarrollado mecanismos para metabolizar altos niveles de taninos del alimento. En algunos organismos, las proteínas secretadas por las glándulas salivales forma la estrategia de defensa contra los posibles efectos tóxicos de los taninos de la dieta. En este sentido las PRP (proteínas salivales ricas en prolina) tienen un papel importante en esta estrategia.
  • 154.
    Aunque los taninospueden tener los efectos negativos indicados, también en posible valorar sus efectos valiosos particularmente como antioxidantes. Sabemos que los antioxidantes son una de las líneas de defensa contra el daño oxidativo causado por problemas de cáncer, artritis, cardiovasculares o envejecimiento. Sabemos que los fenólicos, entre ellos los taninos son agentes antioxidantes valiosos por sus favorables potenciales redox y la relativa estabilidad de los radicales ariloxi. Experimentos recientes sugieren que los taninos condensables o hidrolizables son más efectivos en esta actividad que los fenólicos de menor peso molecular. Se sabe por ejemplo que algunos fenólicos de bajo PM son pro oxidantes en el sistema de Fenton por la capacidad que tienen de oxidar el ión metálico que se requiere en la formación del radical, en contraste los taninos no actúan de esta forma sino que reaccionan rápidamente para atrapar el radical hidroxilo entre otros.
  • 155.
    Debido a estasvariadas actividades biológicas de los taninos y también a su enorme variación estructural es aventurado desarrollar modelos que permitan hacer una predicción exacta de los efectos de los taninos en cualquier sistema. Una meta importante en trabajos futuros relacionados con la actividad biológica de los taninos es el desarrollo de relaciones estructura actividad y de esta forma poder hacer predicciones de su actividad biológica.