“ Familia Exponencial”
Prof. Matías Hernández Sergio Alejandro
Integrantes:
Romero González Verónica
Ponce Rosas Diana Gisela Gpo.1502
Universidad Nacional Autónoma De México
Facultad de Estudios Superiores Acatlán
MAC
Índice
1. Objetivo
2. Introducción
3. Familia Exponencial
4. Ejemplos
5. Generalización para k-parámetros
6. Ejemplos
7. Conclusión
8. Bibliografía
Objetivo
Conocer la FAMILIA EXPONENCIAL ,
y su utilidad para obtener
estadísticos suficientes.
Introducción
IMPORTANCIA:
Si la distribución de Probabilidad de la muestra representada
por f( •, θ) admite la descomposición exponencial, esto
facilita el cálculo de un estadístico suficiente de dimensión k
para θ (parámetro poblacional)
mu
Tenemos muestra aleatoria x1,…,xn
f(•,θ) , tal que la función de
densidad se pueda expresar como:
Entonces dicha distribución pertenece
a la FAMILIA EXPONENCIAL y no es una
estadística suficiente.
De hecho, se puede demostrar que la
estadística suficiente para obtener es mínima.
muestra
θ=
?
Parámetros
Poblacionales
m.a.
Estadísticos
Muéstrales
Para cada parámetro poblacional se elige un estadístico
muestra
Estimación
Máxima
verosimilitud
Método de los
Momentos
Estimación
Mínima Chi-
Cuadrada
MÉTODOS DE ESTIMACIÓN PUNTUAL
Estimador
de θ
PROPIEDADES
DESEALES
INSESGADO
EFICIENT
E
CONSISTENT
E
SUFICIENCI
A
Familia Exponencial de Densidades
DEFINICIÓN. Una familia con un parámetro (θ es unidimensional)
de densidad f(*,θ) se puede expresar como:
Para y para una elección adecuada de las
funciones se definen concretamente a la
familia exponencial o clase exponencial.
Ejemplos
Si
entonces pertenece a la familia
exponencial para:
Distribución Exponencial
∴ pertenece a la clase exponencial
Distribución Poisson
Ejemplos
Si f(x, θ)= f(θ,λ) es la función de densidad de
una Poisson entonces :
Para
∴ pertenece a la clase exponencial
K-Parámetros de la Familia Exponencial
DEF. Una familia de densidad
puede ser expresada como:
K-Parámetros de la Familia Exponencial
Para una elección adecuada de las funciones
pertenece a la familia exponencial.
Observación: note que el número de
términos en la suma de exponentes es k y
por tanto la dimensión del parámetro.
Ejemplos
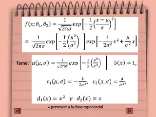
Distribución Normal
Si ,
donde
entonces
pertenece a la familia exponencial
Tome:
∴ pertenece a la clase exponencial
Distribución Beta
Tenemos la función de densidad de una distribución beta
Entonces se puede expresar
∴ pertenece a la clase exponencial
donde
Conclusiones
Una herramienta para encontrar los mejores
estimadores, es verificar que pertenecen a la CLASE
EXPONENCIAL
brinda:
Estimadores con CARACTERÍSTICAS DESEABLES.
 f(•,θ) de una m.a es MIEMBRO DE LA CLASE
EXPONENCIAL con k-parámetros entonces
d(x) es suficiente.
Condensa la info.
en la muestra sin
perder la info. de θ
¿Por qué es una estadística suficiente
mínima?
Si pusiste atención…
Al pertenecer a la clase exponencial cumple con
ser insesgado, eficiente, y suficiente.
Donde tenemos 2 estimadores insesgados (T y T´)
y var (T)≤ var (T´) con mínima varianza entonces,
NO solamente tenemos un estimador insesgado
sino un UMVUE.(Estimador Uniformemente
insesgado de mínima varianza)
•Mood, Alexander McFarlane.
“Introduction to the theory of statistics”
Ed. McGraw – Hill. 1913
•Cepeda Cuervo, Edilberto.
“Estadística Matemática” Ed.
Universidad Nacional de Colombia
• Mateos, Gregoria. et. al. “Statistical
Methods”
Bibliografía

Familia exponencial

  • 1.
    “ Familia Exponencial” Prof.Matías Hernández Sergio Alejandro Integrantes: Romero González Verónica Ponce Rosas Diana Gisela Gpo.1502 Universidad Nacional Autónoma De México Facultad de Estudios Superiores Acatlán MAC
  • 2.
    Índice 1. Objetivo 2. Introducción 3.Familia Exponencial 4. Ejemplos 5. Generalización para k-parámetros 6. Ejemplos 7. Conclusión 8. Bibliografía
  • 3.
    Objetivo Conocer la FAMILIAEXPONENCIAL , y su utilidad para obtener estadísticos suficientes.
  • 4.
    Introducción IMPORTANCIA: Si la distribuciónde Probabilidad de la muestra representada por f( •, θ) admite la descomposición exponencial, esto facilita el cálculo de un estadístico suficiente de dimensión k para θ (parámetro poblacional)
  • 5.
    mu Tenemos muestra aleatoriax1,…,xn f(•,θ) , tal que la función de densidad se pueda expresar como: Entonces dicha distribución pertenece a la FAMILIA EXPONENCIAL y no es una estadística suficiente. De hecho, se puede demostrar que la estadística suficiente para obtener es mínima. muestra θ= ?
  • 6.
    Parámetros Poblacionales m.a. Estadísticos Muéstrales Para cada parámetropoblacional se elige un estadístico muestra Estimación Máxima verosimilitud Método de los Momentos Estimación Mínima Chi- Cuadrada MÉTODOS DE ESTIMACIÓN PUNTUAL Estimador de θ PROPIEDADES DESEALES INSESGADO EFICIENT E CONSISTENT E SUFICIENCI A
  • 7.
    Familia Exponencial deDensidades DEFINICIÓN. Una familia con un parámetro (θ es unidimensional) de densidad f(*,θ) se puede expresar como: Para y para una elección adecuada de las funciones se definen concretamente a la familia exponencial o clase exponencial.
  • 8.
    Ejemplos Si entonces pertenece ala familia exponencial para: Distribución Exponencial ∴ pertenece a la clase exponencial
  • 9.
    Distribución Poisson Ejemplos Si f(x,θ)= f(θ,λ) es la función de densidad de una Poisson entonces : Para ∴ pertenece a la clase exponencial
  • 10.
    K-Parámetros de laFamilia Exponencial DEF. Una familia de densidad puede ser expresada como:
  • 11.
    K-Parámetros de laFamilia Exponencial Para una elección adecuada de las funciones pertenece a la familia exponencial. Observación: note que el número de términos en la suma de exponentes es k y por tanto la dimensión del parámetro.
  • 12.
  • 13.
    Tome: ∴ pertenece ala clase exponencial
  • 14.
    Distribución Beta Tenemos lafunción de densidad de una distribución beta Entonces se puede expresar ∴ pertenece a la clase exponencial donde
  • 15.
    Conclusiones Una herramienta paraencontrar los mejores estimadores, es verificar que pertenecen a la CLASE EXPONENCIAL brinda: Estimadores con CARACTERÍSTICAS DESEABLES.  f(•,θ) de una m.a es MIEMBRO DE LA CLASE EXPONENCIAL con k-parámetros entonces d(x) es suficiente. Condensa la info. en la muestra sin perder la info. de θ
  • 16.
    ¿Por qué esuna estadística suficiente mínima? Si pusiste atención… Al pertenecer a la clase exponencial cumple con ser insesgado, eficiente, y suficiente. Donde tenemos 2 estimadores insesgados (T y T´) y var (T)≤ var (T´) con mínima varianza entonces, NO solamente tenemos un estimador insesgado sino un UMVUE.(Estimador Uniformemente insesgado de mínima varianza)
  • 17.
    •Mood, Alexander McFarlane. “Introductionto the theory of statistics” Ed. McGraw – Hill. 1913 •Cepeda Cuervo, Edilberto. “Estadística Matemática” Ed. Universidad Nacional de Colombia • Mateos, Gregoria. et. al. “Statistical Methods” Bibliografía