KGEC 1
SINTESIS DEL PIRROL
 Presenta hibridación sp2
 Densidad electrónica orientada al N
 Paal-Knorr es el método más utilizado para la síntesis del pirrol
NH
2
KGEC
Paal-Knorr
REACCIONES DEL PIRROL
A. Nitración
B. Sulfonación
N
H
N
H
Br
N-bromosuccinimida
C. Bromación
KGEC
KGEC 4
D. Reacción de Ehrlich
 Formación de polímeros
 Aldehídos y cetonas
 Catalizador ácido
KGEC
KGEC 5
Mecanismo:
KGEC 6
FORMACIÓN DE PORFIRINAS
KGEC 7
REACCIONES CON SUSTITUYENTES
Electrodonador dirige
a C3 y C5
Electrodatractor dirige
a C4, con menor media C5 y C3
INDOL
KGEC 8
Síntesis de Fisher
Presencia de ácido o ácido de Lewis
KGEC 9
Síntesis de Madelung
 Bases fuertes
Síntesis de Bishler
Arilamina con una α-halo, α-hidroxi o α-arilaminocetona en presencia de un ácido como catalizador
KGEC 10
REACCIONES DE INDOLES
 Bases fuertes, reaccionan con el N
KGEC 11
Gringnard
 Alcanza mas estabilidad en C3
KGEC 12
Sustitución electrofilica
 C3 por la estabilidad
KGEC 13
Oxidación
 Presencia de hv,
HETEROCICLOS DE 6 MIEMBROS
KGEC 14
1. Piridina
Hibridación sp2
Los carbonos de la piridina se identifican como 1, 2 y 3 ó α, β y γ
Industrialmente se sintetiza mediante por medio de la reacción del formaldehido, acetaldehído y amoniaco
KGEC 15
SUSTITUCIONES NUCLEOFILICAS DE LA PIRIDINA
KGEC 16
 Las piridinas sustituidas reaccionan de manera similar al benceno.
Cuando el
electrodonador esta
en el C3 la sustitución
se da en el C2
BENZOFURANO
KGEC 17
La sintesis del benzofurano se da a partir de 2-hidroxibenzaldehído y la 2-haloacetona dentro del laboratorio
KGEC 18
REACCIONES DEL BENZOFURANO
1. Sustitución electrofilíca: debido al carácter electrónico del oxígeno la sustitución se da en el C2
1. Halogenación: la halogenación da productos de adición
KGEC 19
3. Aquiluros de lítio: sustitución en C2
BENZOTIOFENO
KGEC 20
Reacciones de sustitución en C3
KGEC 21
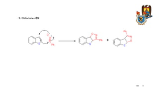
2. Ciclaciones C3
QUINOLINAS E ISOQUINOLINAS
KGEC 22
 La posición cambia sus propiedades.
SINTESIS:
 Skraup
 Doebner-Vonmiller
 Combes
 Friendlaander
QUINOLINAS
KGEC 23
1. SKRAUP
KGEC 24
2. Doebner-Vonmiller
 Cambia la acetona
KGEC 25
 Por medio de una dicetona o di aldehído en presencia de un catalizador ácido.
3. Combes
KGEC 26
4. Frielander
 Metilcetona o metil aldehído
 Dificil
ISOQUINOLINAS
KGEC 27
Bischler-Napieralski | Pictet-gams | Pomeranz FRitsch
Deshidrogenación
1. Bischler-Napieralski: utiliza un ácido de Lewis
Ácido de
Lewis acepta
un par de
electrones
KGEC 28
2. Pictet-Gams: en lugar de deshidrogenación se da una deshidratación, se da
en presencia de un alquil cetrona, haluro de acilo en presencia de un ácido
KGEC 29
3. Pomeranz-Fritsch: utiliza benzaldehído, aminoacetal en presencia de ácido
KGEC 30
SUSTITUCIÓN ELECTROFILICA DE QUINOLINAS E ISOQUINOLINAS
 Preferentemente se dan en C5 y C8
KGEC 31
2. Bromación: C5
KGEC 32
3. Sulfonación: Quinolina a altas temperaturas, isoquinolina a bajas temperaturas se obtiene
sulfonación en C5 y con forme aumenta la temperatura en C8
KGEC 33
4. Sustitución nucleofílica:
Quinolina C2 y C4
 Isoquinolina C1
KGEC 34
Ejemplo:
KGEC 35
5. Sustitución con grupos salientes

Hetero.pdf