El confitado consiste esencialmente en impregnar la fruta con jarabe hasta que la concentración de
azúcar en la fruta sea suficiente para evitar alteraciones, por eso la conservación se consigue
mediante jarabe muy concentrado obteniéndose finalmente la fruta confitada que tiene una
consistencia sólida.
Existen muchas frutas que son posibles confitar ya sean enteras o en trozos, dependiendo de
la forma, tamaño y textura, para resistir los cambios y cocciones sucesivas, por lo cual se
requiere de preferencia, para confitar frutas inmaduras que presentan:
∗ Buena carnosidad o pulpa.
∗ Textura de la pulpa dura y dirigida.
∗ Un sabor fuerte que no se pierde por la influencia de azúcar.
El éxito de la producción de frutas confitadas reside en el empleo de jarabes de inmersión cada vez
más concentrados. De manera general, puede definirse a la fruta confitada como el producto
obtenido por la impregnación del lugar, hasta niveles de 70 – 75% de sólidos solubles, que se
caracteriza por su consistencia sólida, transparencia y brillantez. Se le emplea como componente en
la fabricación de panteones, pasteles, mezclas de panadería, centros de fruta, crema de chocolate,
crema de helados, rellenos y en otros productos alimenticios.
MATERIALES Y EQUIPOS
Ya que el proceso de confitado es sencillo, se requerirá sólo de material y equipo casero.
Entre los materiales que se necesitan están:
a) Fruta a confitar:
- Papaya verde.
- Nabo.
- Cáscara de sandia y cáscara de cítricos.
b) Azúcar
c) Acido cítrico o limón.
d) Colorante.
e) Jarabe de glucosa.
Entre los equipos que se necesitan están:
a. Olla de acero inoxidable.
b. Colador.
c. Cuchillos, cucharones de acero inoxidable.
d. Vasijas amplias.
e. Rejilla para dejar secar el producto.
f. Balanza.
g. Termómetro de escala mayor a 100°C.
h. Jarras con medidas.
DE LAS OPERACIONES A SEGUIR
Cortado: Se realizará en forma de cubitos o tiras.
Macerado: Consiste en sumergir los trozos de fruta a confitar en una solución salina preparada de la
siguiente manera:
2 – 15% de sal, cloruro de calcio en concentración de 1.15% y bisulfato de sodio al 0.03 – 0.05 %.
Esta operación es ideal para que la fruta tenga canalículos bien abiertos para la penetración del
jarabe. Esta operación dura tres días, luego enjuagar con agua caliente.
Precocción: Se cocen rápidamente las frutas en un mínimo de agua, con el fin de ablandarlas, se
deja escurrir y se enfría rápidamente.
Inmersión en Jarabe: Inicialmente se inmergen en un jarabe de 30% de azúcar, al cual se le añade
acido o limón. Se hierve 4 minutos y se deja en reposo 24 – 48 horas, lo que permite una uniforme
distribución del azúcar en las frutas. El motivo de la ebullición del agua no es sólo eliminar agua,
sino también conseguir la cocción de las frutas. Cuando el producto a confitar necesita ser coloreado,
es en la primera inmersión cuando conviene agregar la sustancia al jarabe. Se agrega más o menos
0.2 grs de colorante/100 grs. de fruta.
FABRICACION DE FRUTA CONFITADA
Después de las 24 horas de reposo, la concentración de azucares del jarabe se elevará en 10% y
se someterá nuevamente a ebullición la mezcla, la cuál volverá a quedar en reposo. Este
tratamiento se repite hasta que el jarabe llega a 72% de concentración de azúcar. El último reposo
deberá durar el tiempo mínimo indispensable para obtener una homogeneidad de concentración
entre el jarabe y la pulpa de la fruta.
Escurrido y Enjuagado se quiera glacear la superficie de los frutos, se pueden sumergir en un jarabe
compuesto de:
∗ 3 partes de azúcar.
∗ 1 parte de jarabe de glucosa.
∗ 2 partes de agua.
Esta mezcla hervirá hasta que el termómetro señale 130 °C., dejándose reposar hasta que baje a 95
°C. y entonces los frutos confitados, escurridos y enjuagados son sumergidos en él por medio de
unas cucharas agujereadas. Sacados del baño, escurridos y extendidos sobre parrillas se dejan secar.
Secado: Puede ser efectuado a la temperatura ambiente o más rápidamente en secadores artificiales
de temperaturas que varían de 50 – 60 °C. de secado ambiental puede tomar 24 horas.
Empacado: No deberá realizarse con productos muy calientes o en envases tan herméticos que
impidan su respiración ya que pueden presentarse casos de fermentación.
PROCEDIMIENTO
Para la obtención de fruta confitada, se seguirán los siguientes pasos:
MATERIA PRIMA
LAVADO
PELADO
CORTADO
MACERADO
LAVADO
PRECOCCION
ENFRIADO Y ESCURRIDO
INMERSIÓN EN JARABE
ESCURRIDO Y ENJUAGADO
LACEADO
SECADO
EMPACADO
Adición de:
Azúcar
Colorante
Acido Cítrico
DEFINICION
La mermelada es un producto de consistencia pastosa hecho usualmente de frutas cítricas, que se
diferencia de la jalea por el uso e corteza. Son preparados con azúcar en forma apropiada; agregando
aquí si fuera necesario (dependiendo de la cantidad de agua en la fruta), y es concentrado hasta
alcanzar una consistencia apropiada (gel). El proceso de elaboración de mermeladas es una práctica
que constituye una de las formas más convenientes de aprovechar la fruta que aunque sana no se
presta para otros usos, debido a su calidad inferior.
MATERIA PRIMA E INSUMOS UTILIZADOS
Anteriormente para elaborar este producto se utilizaba solamente frutas; en la actualidad además se
están empleando verduras y otros vegetales.
FRUTA U OTRO VEGETAL
La fruta debe de encontrarse en un estado optimo de madurez, debe presentar buen color y sabor
característico. Se debe tener presente que para todo proceso de transformación, el producto final
dependerá de la materia prima utilizada, si se utilizan frutas y/o verduras de mejor calidad, se obtendrán
productos de superior calidad que en el mercado tendrán mayor acogida y sus precios serán más
elevados.
Dentro de la composición de las frutas y/o verduras que nos interesan para este tipo de proceso, se
puede citar:
I. AZUCARES
Estos se incrementan conforme va maduración la fruta, de allí la importancia de procesarlas
en su estado optimo de madurez. Un mayor contenido de azúcar es importante por cuanto
para concentrar el producto se necesitará menos tiempo, significando ahorro de equipos y/o
energía (kerosene, corriente eléctrica, etc.).
II. PECTINA
Es un compuesto que se encuentra en forma natural en las frutas y/o verduras, ayuda en la
formación de la estructura de la mermelada (cuajado). Cuando la pectina no esta en cantidad
suficiente en la fruta, se le tiene que añadir y para ello existe en el comercio o en todo caso
se deben realizar mezclas con otras frutas ricas en pectina.
A medida que la fruta madura, la pectina va perdiendo su actividad o fuerza, por ello la
necesidad de procesar frutas y/o verduras en estado optimo de madurez.
Para cubrir las deficiencias en pectina, es posible utilizar extractos procedentes de la acción de
semilla, tales, como nísperos, membrillo, etc. La adición de este extracto se debe efectuar más o
menos 5 minutos antes del punto final de cocción.
AZÚCAR
So se agrega mayor cantidad, el tiempo de cocción será menor. Es común agregar la mitad de
azúcar y la mitad de pulpa, sin embargo se puede utilizar otras relaciones de mezclas tales
como por ejemplo: Para 10 kilos: 4 kilos de fruta con 6 de azúcar; 4.5 de azúcar, dependiendo
de la disponibilidad de estos productos y del precio en el mercado.
ACIDOS
La acidez es importante, puesto que ayuda en la formación del gel (Cuajado) por un lado, y por
otro en la conversión del producto, al ser acido sólo ciertos microbús (hongos y bacterias)
podrán desarrollarse en la elaboración de mermeladas, se utilizará más el termino pH que
acidez; el pH es una medida de acidez y artesanalmente se puede medir con cintas
indicadoras.
Para elaborar mermeladas se recomienda un pH de 3 a 3.5, existen frutas que tienen que
agregar acido cítrico en cristales aunque también se puede agregar gotas de limón.
ELABORACION DE MERMELADAS
CONSERVADORES QUÍMICOS
Estos retardan, evitan y/o disfrazan los cambios indeseables que pueden producir los microbios.
Se puede utilizar benzoato de sodio (se recomienda este preservante por ser especifico y más barato)
acido sórbico y sorbato de potasio.
EQUIPOS
De acuerdo a los objetivos del curso teórico-práctico, en el que se plantea la transferencia de
Tecnología a la pequeña Empresa Rural, donde se puede aprovechar la mano de obra disponibles, así
como materia prima producido en la zona, los equipos y/o materiales a utilizar en el proceso tienen
que ser simples. Entre ellos se tiene:
∗ Depósitos para el lavado de frutas.
∗ Cuchillos de acero inoxidable
∗ Termómetro de Escala 0-120°C.
∗ Espumadera
∗ Cocina
∗ Balanza
∗ Paletas de madera
∗ Peroles de Bronce - Cobre- Aluminio.
∗ Papel cinta determinadota de pH.
∗ Bolsas y/o depósitos para el envasado de productos.
PROCESAMIENTO
I. RECEPCION DE LA MATERIA PRIMA
A la fruta, luego de cosechada, es necesario darle un trato especial para evitar que se malogre.
Uno de los problemas de deterioro, es debido al transporte y mal embalaje donde la fruta se
golpea debido al peso y movimiento.
La recepción se debe realizar en ambientes adecuados, cuartos limpios y ventilados.
II. SELECCIÓN
Consiste en separar toda materia prima malograda y/o putrefacta.
III. LAVADO
Eliminar toda partícula o sustancia extraña. La operación se debe realizar en un chorro de
agua, caso contrario se hará en tinas o bandejas apropiadas. También se puede utilizar
escobillones para facilitar dicha operación.
IV. ACONDICIONAMIENTO D E LA FRUTA.
Consiste en pelar la fruta, deshuesada, triturar y cernir dependiendo de la materia prima y del
producto a obtener. Este procedimiento puede ser manualmente con cuchillos de acero
inoxidable dándoseles un calentamiento en agua, etc., por decir pelar el tomate de 40 a 50
segundos, para luego proceder separa la cáscara con la ayuda de las manos.
En otras como la manzana, membrillo, etc. luego de pelado es necesario darle un tratamiento
térmico para evitar que cambien de color, por reacciones que pueden ocurrir mediante el
contacto con el aire y por las mismas características de la fruta.
El pre-tratamiento térmico consistirá en colocar la fruta pelada a un calentamiento en agua por
un corto tiempo.
La molienda o trituración, se puede ejecutar en molinos de manizuela o en cualquier otro
equipo, que nos permitirá obtener un pulpa. En otros casos es necesario cernir la pulpa con la
finalidad de separar semillas, fibras ú otras partículas que darían mal aspecto al producto final.
V. COCCIÓN
Tiene por finalidad ablandar los tejidos de la fruta y/o verduras, concentrar el producto para
facilitar su conservación, eliminación y/o inactivar micro-organismo que podrían estar presentes
en la materia prima. Esta operación se efectuará en ollas o peroles de aluminio o cobre.
En lo posible se debe evitar utilizar un exceso de agua, pues traería consigo un mayor
tiempo de cocción con el consecuente mayor uso de energía y deterioro de algunas vitaminas.
Al principio de la cocción, se coloca la mitad del azúcar junto a la pulpa para hacer que la
pulpa para hacer que la pulpa suelte agua, o menos luego de 5 minutos , colocar el resto
de azúcar previa agitación lenta. El conservador químico debe agregarse disuelto en agua
antes del punto final de cocción en cantidad 0.1 % análogamente, la pectina y el acido deben
agregarse al final.
VI. DETERMINACION DEL PUNTO.
1. Puede probarse a través de un vaso de agua, introducir unas gotas de mermeladas; si
estas llegan al fondo sin desintegrarse, se puede decir que esta alcanzado el punto.
2. Otro ejemplo de cómo saber si ya está en punto la mermelada es: En una superficie
plana colocar unas gotas de mermelada, si estas no pierden su forma, también
puede decirse que ya esta obtenido el punto.
3. Una vista diaria y real que se practica para la determinación del punto es, que cuando
el producto va esperando, al final se logrará ver sin dificultad el fondo del perol ú olla
en que se esta preparando el producto, recién aquí puede determinarse el punto del
producto.
VII. ENVASADO
Alcanzado el punto indicado de la cocción, se debe descargar inmediatamente el producto que
contiene la olla, ya sea en bandejas de plástico o de madera, la finalidad de esta operación es
evitar posibles oscurecimientos del producto (cambio de color), y las burbujas de aire. La
temperatura de llenado debe ser menor de 85°C. en caso de usar frascos de vidrio, si son
de plástico la temperatura será menor para evitar su deformación.
Cerrados los envases invertidos por un tiempo no menor de 3 minutos para que el producto
haga contacto con la tapa y la esterilice.
DEFECTOS EN LA ELABORACION DE MERMELADAS.
Durante la fabricación de mermeladas, es muy común que se presenten defectos que pueden ser
superados con continua práctica, entre ellos se tiene:
A. MERMELADA LLOROSA: Se presenta cuando ocurre lo siguiente:
∗ Acidéz muy elevada.
∗ Falta de pectina
∗ Mucha agua en la fruta y/o pulpa.
B. CAMBIOS DE COLOR: Es muy común cuando hay:
∗ Cocción prolongada.
∗ Deficiente enfriamiento después del envasado.
C. CRECIMIENTO DE MICROORGANISMOS: Causas:
∗ Deficiente lavado de los envases y etapas
∗ Bajo contenido de azúcar, menos de 65%.
∗ Deficiencia en el llenado, sobre todo cuando se deja espacio libre que permite la
presencia de oxigeno, el que facilita el desarrollo de microbios.
∗ Excesiva humedad en el almacenaje.
CUADRO ESQUEMATICO SOBRE MERMELADA DE PIÑA
INGREDIENTES
Piña
Azúcar y
Agua necesaria
PASO “A” Pelar la piña
Rallarla
Pesar la pulpa de piña.
Medir igual agua y azúcar
Hacer fuego.
PASO “B”
Alistar Leña Poner cacerola al fuego dejar hervir
Que el almibar tome punto flojo
Agregar la piña rallada.
Hervir lentamente y mover en intervalos.
Coja punto
Retire del fuego
Envase
Enfrie
Tape herméticamente
NOTA: Resolver lentamente la piña y el almibar, de modo que no se queme el dulce.
FLUJO DE ELABORACION DE MERMELADA
Materia Prima
Selección
Lavado
Pelado
Recorte
Pre - Cocido
Molienda
Cocción
Envasado
Almacenado
Azúcar, ácido
u Benzoato de
sodio
DEFINICION
Las jaleas se preparan con jugos de frutas, o líquidos de su cocción, prolijamente filtrado y con abundante
cantidad de azúcar.
Este producto tiene sus características propias por su transferencia y consistencia gelatinosa que le
permite amoldarse en el recipiente que lo envasen.
Para elaborar jaleas, se deben elegir frutas que no estén demasiado maduras, ya que éstas son las
más ricas en pectina, sustancia sin la cual resulta imposible obtener jaleas.
PROCESAMIENTO
Consiste en cocinar la fruta en poca agua, con su cáscara y semilla (son las partes más ricas en
pectinas) hasta que se deshagan, convienen cortarlas en trozos para facilitar su cocción.
Luego se procede a filtrarse a través de un género finito y húmedo, con una bolsita suspendida sobre
una cacerola, recogiéndose el liquido sin presionar suspendida sobre una cacerola, recogiéndose
el liquido sin presionar la bolsita (se utiliza un trozo de género blanco forrando el colador grande
de alambre). Con el residuo de fruta que queda en el colador puede obtenerse un segundo liquido
para jalea de calidad inferior por supuesto, cubriéndola con agua y haciéndola por 8 a 10 minutos
más para someterla luego al mismo filtrado. Una vez filtrado el liquido se mide dejándolo
cuidadosamente en otra cacerola, para no remover las impurezas que pudieran haberse depositado
en el fondo, se pone a hervir y luego se agrega azúcar en la proporción de una taza de liquido
medido (para las frutas más acidas) 3/4 de taza de azúcar (para frutas menos ácidas), la cocción debe
hacerse a fuego fuerte.
EL PUNTO
Se reconoce cuando al levantar la cuchara con un poco de la preparación previamente enfriada, al
inclinarla cae en forma de capa fina (si cae en forma de gotas, necesitará más cocción).
ENVASADO
Se envasa caliente en frascos previamente calentados para evitar que se solidifique en capas. Si de
desea consumir enseguida verterla en un molde humedecido y cuando este firme, desmoldarla con un
“aspic” pasándola rápidamente por agua caliente.
FLUJO DE CÓMO ELABORAR JALEAS
PREPARACION DE JALEAS
SELECCIÓN DE FRUTAS
NO MUY MADURAS
CORTAR EN TROZOS
COCINAR LA FRUTA
EN POCA AGUA
VER QUE SE DESHAGA
FILTRAR EL PRODUCTO
NO PRESIONAR
MEDIR EL PRODUCTO
DEFINICION
La elaboración de estos productos se obtiene con tan sólo la extracción del jugo de las frutas, más
mezcla de una determinada cantidad de azúcar; pepa y cáscara quedan de lado.
Para esto se puede hacer con frutas que estén maduras pero buenas (que no estén demasiado
fuertes) tal como sucede con la conservación del mango.
PROCEDIMIENTO
∗ Consiste en la selección de la fruta.
∗ Lavado.
∗ Pelado de la fruta.
∗ Exprimido.
∗ Hervir el jugo a fuego fuerte.
∗ Adición de azúcar.
∗ Esperar el punto.
∗ Baja del fuego.
∗ Envasar.
∗ Dejar al medio ambiente para que se enfríe.
∗ Tapar.
FLUJO SOBRE ELABORACION DE CONSERVAS
CONSERVAS DE FRUTAS
SELECCIÓN DE LA FRUTA
LAVADO
PELADO
EXPRIDO A MANO
COCCIÓN FUERTE
PUNTO
RETIRAR DEL FUEGO
ENVASAR
ENFRIAR AL MEDIO
AMBIENTE
TAPAR
ADICIÓN DE
AZÚCAR
ELABORACION DE NATILLAS
UTENSILIOS QUE SE USAN PARA UNA ELABORACION
∗ Perol de bronce de preferencia, o de cobre, u olla de aluminio.
∗ Paleta de madera.
∗ Cocina a base de leña.
∗ Baldes plásticos de ½ kg. O vasos de ¼ jg.
∗ 01 mesa de madera.
∗ 02 manteles de tocuyo de 1 metro c/u.
∗ 01 recipiente para decepcionar la leche.
∗ 02 cucharones de aluminio para el vaciado.
INGREDIENTES
∗ Leche
∗ Chancaca o azúcar.
∗ Canela-clavo de olor
∗ Bicarbonato de sodio.
PREPARACION
Una vez decepcionada la leche, ésta se cierne. Una vez hecho el fuego poner a calentar el perol u
olla, luego echar el azúcar al perol u olla y dejar que esta llegue a derretir hasta que se haga miel;
una vez que esto ha sucedido, revolver bien la leche y vaciar sobre el perol que contiene la chancaca
o el azúcar derretida. Esta mezcla va a causar un cambio raro porque aquí se va hacer esta
mezcla como caramelo pero va a volver a su normalidad moviendo hasta que se diluya.
Agregar más leña a la cocina, en momentos que hierve soltarle el clavo de olor y la canela después
de esto dejar que hierva que coja el punto necesario. Retirar del fuego, se envasa, se deja enfriar y
se tapa.
CUADRO ESQUEMATICO DE ELABORACION DE NATILLAS
Ingredientes
Recepción leche Cernido
Agregar
bicarbonato
Mezclado
Reposar
Hacer fuego
Preparación leña
Calentar perol u
olla
Echar azúcar
Formación de miel
Agregar leche
reposada
Diluir mezcla
Hervido de la
mezcla
Agregar canela y clavo
de olor
ELABORACION DEL MANJAR BLANCO
Para esta elaboración, se emplean los mismos utensilios, los mismos insumos que la preparación
anterior.
INGREDIENTES
∗ Leche
∗ Azúcar blanca
∗ Esencia (puede ser coco, vainilla, chirimoya, etc.)
Después que hierve la leche, agregar el azúcar blanca, moviendo suavemente hasta que se disuelva
ésta, porque si no se mueve se puede pegar y quemar. Luego de esto dejar como siempre hervir a
fuego lento hasta que coja punto, luego retirar del fuego y agregar una cucharada de cualquier
sabor de esencia; mover de modo que se mezcle el dulce y la esencia. Envasar, hacer enfriar y tapar.
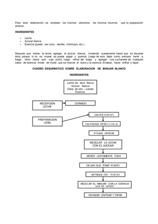
CUADRO ESQUEMATICO SOBRE ELABORACION DE MANJAR BLANCO
INGREDIENTES
Leche de vaca fresca
Azúcar blanca
Clavo de olor – canela
Esencia.
RECEPCIÓN
LECHE
CERNIDO
PREPARACION
LEÑA
HACER FUEGO
CALENTAR PERO U OLLA
ECHAR HERVIR
MEZCLAR LA LECHE
CON EL AZÚCAR
MOVER LENTAMENTE TODO
ESTO
DEJAR QUE TOME PUNTO
RETIRAR DEL FUEGO
MEZCLAR EL MANJAR CON LA ESENCIA
QUE SE DESEE
ENVASAR, ENFRIAR Y TAPAR

Industria alimentaria

  • 1.
    El confitado consisteesencialmente en impregnar la fruta con jarabe hasta que la concentración de azúcar en la fruta sea suficiente para evitar alteraciones, por eso la conservación se consigue mediante jarabe muy concentrado obteniéndose finalmente la fruta confitada que tiene una consistencia sólida. Existen muchas frutas que son posibles confitar ya sean enteras o en trozos, dependiendo de la forma, tamaño y textura, para resistir los cambios y cocciones sucesivas, por lo cual se requiere de preferencia, para confitar frutas inmaduras que presentan: ∗ Buena carnosidad o pulpa. ∗ Textura de la pulpa dura y dirigida. ∗ Un sabor fuerte que no se pierde por la influencia de azúcar. El éxito de la producción de frutas confitadas reside en el empleo de jarabes de inmersión cada vez más concentrados. De manera general, puede definirse a la fruta confitada como el producto obtenido por la impregnación del lugar, hasta niveles de 70 – 75% de sólidos solubles, que se caracteriza por su consistencia sólida, transparencia y brillantez. Se le emplea como componente en la fabricación de panteones, pasteles, mezclas de panadería, centros de fruta, crema de chocolate, crema de helados, rellenos y en otros productos alimenticios. MATERIALES Y EQUIPOS Ya que el proceso de confitado es sencillo, se requerirá sólo de material y equipo casero. Entre los materiales que se necesitan están: a) Fruta a confitar: - Papaya verde. - Nabo. - Cáscara de sandia y cáscara de cítricos. b) Azúcar c) Acido cítrico o limón. d) Colorante. e) Jarabe de glucosa. Entre los equipos que se necesitan están: a. Olla de acero inoxidable. b. Colador. c. Cuchillos, cucharones de acero inoxidable. d. Vasijas amplias. e. Rejilla para dejar secar el producto. f. Balanza. g. Termómetro de escala mayor a 100°C. h. Jarras con medidas. DE LAS OPERACIONES A SEGUIR Cortado: Se realizará en forma de cubitos o tiras. Macerado: Consiste en sumergir los trozos de fruta a confitar en una solución salina preparada de la siguiente manera: 2 – 15% de sal, cloruro de calcio en concentración de 1.15% y bisulfato de sodio al 0.03 – 0.05 %. Esta operación es ideal para que la fruta tenga canalículos bien abiertos para la penetración del jarabe. Esta operación dura tres días, luego enjuagar con agua caliente. Precocción: Se cocen rápidamente las frutas en un mínimo de agua, con el fin de ablandarlas, se deja escurrir y se enfría rápidamente. Inmersión en Jarabe: Inicialmente se inmergen en un jarabe de 30% de azúcar, al cual se le añade acido o limón. Se hierve 4 minutos y se deja en reposo 24 – 48 horas, lo que permite una uniforme distribución del azúcar en las frutas. El motivo de la ebullición del agua no es sólo eliminar agua, sino también conseguir la cocción de las frutas. Cuando el producto a confitar necesita ser coloreado, es en la primera inmersión cuando conviene agregar la sustancia al jarabe. Se agrega más o menos 0.2 grs de colorante/100 grs. de fruta. FABRICACION DE FRUTA CONFITADA
  • 2.
    Después de las24 horas de reposo, la concentración de azucares del jarabe se elevará en 10% y se someterá nuevamente a ebullición la mezcla, la cuál volverá a quedar en reposo. Este tratamiento se repite hasta que el jarabe llega a 72% de concentración de azúcar. El último reposo deberá durar el tiempo mínimo indispensable para obtener una homogeneidad de concentración entre el jarabe y la pulpa de la fruta. Escurrido y Enjuagado se quiera glacear la superficie de los frutos, se pueden sumergir en un jarabe compuesto de: ∗ 3 partes de azúcar. ∗ 1 parte de jarabe de glucosa. ∗ 2 partes de agua. Esta mezcla hervirá hasta que el termómetro señale 130 °C., dejándose reposar hasta que baje a 95 °C. y entonces los frutos confitados, escurridos y enjuagados son sumergidos en él por medio de unas cucharas agujereadas. Sacados del baño, escurridos y extendidos sobre parrillas se dejan secar. Secado: Puede ser efectuado a la temperatura ambiente o más rápidamente en secadores artificiales de temperaturas que varían de 50 – 60 °C. de secado ambiental puede tomar 24 horas. Empacado: No deberá realizarse con productos muy calientes o en envases tan herméticos que impidan su respiración ya que pueden presentarse casos de fermentación. PROCEDIMIENTO Para la obtención de fruta confitada, se seguirán los siguientes pasos: MATERIA PRIMA LAVADO PELADO CORTADO MACERADO LAVADO PRECOCCION ENFRIADO Y ESCURRIDO INMERSIÓN EN JARABE ESCURRIDO Y ENJUAGADO LACEADO SECADO EMPACADO Adición de: Azúcar Colorante Acido Cítrico
  • 3.
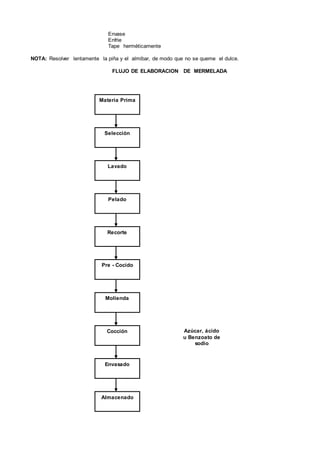
    DEFINICION La mermelada esun producto de consistencia pastosa hecho usualmente de frutas cítricas, que se diferencia de la jalea por el uso e corteza. Son preparados con azúcar en forma apropiada; agregando aquí si fuera necesario (dependiendo de la cantidad de agua en la fruta), y es concentrado hasta alcanzar una consistencia apropiada (gel). El proceso de elaboración de mermeladas es una práctica que constituye una de las formas más convenientes de aprovechar la fruta que aunque sana no se presta para otros usos, debido a su calidad inferior. MATERIA PRIMA E INSUMOS UTILIZADOS Anteriormente para elaborar este producto se utilizaba solamente frutas; en la actualidad además se están empleando verduras y otros vegetales. FRUTA U OTRO VEGETAL La fruta debe de encontrarse en un estado optimo de madurez, debe presentar buen color y sabor característico. Se debe tener presente que para todo proceso de transformación, el producto final dependerá de la materia prima utilizada, si se utilizan frutas y/o verduras de mejor calidad, se obtendrán productos de superior calidad que en el mercado tendrán mayor acogida y sus precios serán más elevados. Dentro de la composición de las frutas y/o verduras que nos interesan para este tipo de proceso, se puede citar: I. AZUCARES Estos se incrementan conforme va maduración la fruta, de allí la importancia de procesarlas en su estado optimo de madurez. Un mayor contenido de azúcar es importante por cuanto para concentrar el producto se necesitará menos tiempo, significando ahorro de equipos y/o energía (kerosene, corriente eléctrica, etc.). II. PECTINA Es un compuesto que se encuentra en forma natural en las frutas y/o verduras, ayuda en la formación de la estructura de la mermelada (cuajado). Cuando la pectina no esta en cantidad suficiente en la fruta, se le tiene que añadir y para ello existe en el comercio o en todo caso se deben realizar mezclas con otras frutas ricas en pectina. A medida que la fruta madura, la pectina va perdiendo su actividad o fuerza, por ello la necesidad de procesar frutas y/o verduras en estado optimo de madurez. Para cubrir las deficiencias en pectina, es posible utilizar extractos procedentes de la acción de semilla, tales, como nísperos, membrillo, etc. La adición de este extracto se debe efectuar más o menos 5 minutos antes del punto final de cocción. AZÚCAR So se agrega mayor cantidad, el tiempo de cocción será menor. Es común agregar la mitad de azúcar y la mitad de pulpa, sin embargo se puede utilizar otras relaciones de mezclas tales como por ejemplo: Para 10 kilos: 4 kilos de fruta con 6 de azúcar; 4.5 de azúcar, dependiendo de la disponibilidad de estos productos y del precio en el mercado. ACIDOS La acidez es importante, puesto que ayuda en la formación del gel (Cuajado) por un lado, y por otro en la conversión del producto, al ser acido sólo ciertos microbús (hongos y bacterias) podrán desarrollarse en la elaboración de mermeladas, se utilizará más el termino pH que acidez; el pH es una medida de acidez y artesanalmente se puede medir con cintas indicadoras. Para elaborar mermeladas se recomienda un pH de 3 a 3.5, existen frutas que tienen que agregar acido cítrico en cristales aunque también se puede agregar gotas de limón. ELABORACION DE MERMELADAS
  • 4.
    CONSERVADORES QUÍMICOS Estos retardan,evitan y/o disfrazan los cambios indeseables que pueden producir los microbios. Se puede utilizar benzoato de sodio (se recomienda este preservante por ser especifico y más barato) acido sórbico y sorbato de potasio. EQUIPOS De acuerdo a los objetivos del curso teórico-práctico, en el que se plantea la transferencia de Tecnología a la pequeña Empresa Rural, donde se puede aprovechar la mano de obra disponibles, así como materia prima producido en la zona, los equipos y/o materiales a utilizar en el proceso tienen que ser simples. Entre ellos se tiene: ∗ Depósitos para el lavado de frutas. ∗ Cuchillos de acero inoxidable ∗ Termómetro de Escala 0-120°C. ∗ Espumadera ∗ Cocina ∗ Balanza ∗ Paletas de madera ∗ Peroles de Bronce - Cobre- Aluminio. ∗ Papel cinta determinadota de pH. ∗ Bolsas y/o depósitos para el envasado de productos. PROCESAMIENTO I. RECEPCION DE LA MATERIA PRIMA A la fruta, luego de cosechada, es necesario darle un trato especial para evitar que se malogre. Uno de los problemas de deterioro, es debido al transporte y mal embalaje donde la fruta se golpea debido al peso y movimiento. La recepción se debe realizar en ambientes adecuados, cuartos limpios y ventilados. II. SELECCIÓN Consiste en separar toda materia prima malograda y/o putrefacta. III. LAVADO Eliminar toda partícula o sustancia extraña. La operación se debe realizar en un chorro de agua, caso contrario se hará en tinas o bandejas apropiadas. También se puede utilizar escobillones para facilitar dicha operación. IV. ACONDICIONAMIENTO D E LA FRUTA. Consiste en pelar la fruta, deshuesada, triturar y cernir dependiendo de la materia prima y del producto a obtener. Este procedimiento puede ser manualmente con cuchillos de acero inoxidable dándoseles un calentamiento en agua, etc., por decir pelar el tomate de 40 a 50 segundos, para luego proceder separa la cáscara con la ayuda de las manos. En otras como la manzana, membrillo, etc. luego de pelado es necesario darle un tratamiento térmico para evitar que cambien de color, por reacciones que pueden ocurrir mediante el contacto con el aire y por las mismas características de la fruta. El pre-tratamiento térmico consistirá en colocar la fruta pelada a un calentamiento en agua por un corto tiempo. La molienda o trituración, se puede ejecutar en molinos de manizuela o en cualquier otro equipo, que nos permitirá obtener un pulpa. En otros casos es necesario cernir la pulpa con la finalidad de separar semillas, fibras ú otras partículas que darían mal aspecto al producto final. V. COCCIÓN Tiene por finalidad ablandar los tejidos de la fruta y/o verduras, concentrar el producto para facilitar su conservación, eliminación y/o inactivar micro-organismo que podrían estar presentes en la materia prima. Esta operación se efectuará en ollas o peroles de aluminio o cobre. En lo posible se debe evitar utilizar un exceso de agua, pues traería consigo un mayor tiempo de cocción con el consecuente mayor uso de energía y deterioro de algunas vitaminas. Al principio de la cocción, se coloca la mitad del azúcar junto a la pulpa para hacer que la pulpa para hacer que la pulpa suelte agua, o menos luego de 5 minutos , colocar el resto de azúcar previa agitación lenta. El conservador químico debe agregarse disuelto en agua
  • 5.
    antes del puntofinal de cocción en cantidad 0.1 % análogamente, la pectina y el acido deben agregarse al final. VI. DETERMINACION DEL PUNTO. 1. Puede probarse a través de un vaso de agua, introducir unas gotas de mermeladas; si estas llegan al fondo sin desintegrarse, se puede decir que esta alcanzado el punto. 2. Otro ejemplo de cómo saber si ya está en punto la mermelada es: En una superficie plana colocar unas gotas de mermelada, si estas no pierden su forma, también puede decirse que ya esta obtenido el punto. 3. Una vista diaria y real que se practica para la determinación del punto es, que cuando el producto va esperando, al final se logrará ver sin dificultad el fondo del perol ú olla en que se esta preparando el producto, recién aquí puede determinarse el punto del producto. VII. ENVASADO Alcanzado el punto indicado de la cocción, se debe descargar inmediatamente el producto que contiene la olla, ya sea en bandejas de plástico o de madera, la finalidad de esta operación es evitar posibles oscurecimientos del producto (cambio de color), y las burbujas de aire. La temperatura de llenado debe ser menor de 85°C. en caso de usar frascos de vidrio, si son de plástico la temperatura será menor para evitar su deformación. Cerrados los envases invertidos por un tiempo no menor de 3 minutos para que el producto haga contacto con la tapa y la esterilice. DEFECTOS EN LA ELABORACION DE MERMELADAS. Durante la fabricación de mermeladas, es muy común que se presenten defectos que pueden ser superados con continua práctica, entre ellos se tiene: A. MERMELADA LLOROSA: Se presenta cuando ocurre lo siguiente: ∗ Acidéz muy elevada. ∗ Falta de pectina ∗ Mucha agua en la fruta y/o pulpa. B. CAMBIOS DE COLOR: Es muy común cuando hay: ∗ Cocción prolongada. ∗ Deficiente enfriamiento después del envasado. C. CRECIMIENTO DE MICROORGANISMOS: Causas: ∗ Deficiente lavado de los envases y etapas ∗ Bajo contenido de azúcar, menos de 65%. ∗ Deficiencia en el llenado, sobre todo cuando se deja espacio libre que permite la presencia de oxigeno, el que facilita el desarrollo de microbios. ∗ Excesiva humedad en el almacenaje. CUADRO ESQUEMATICO SOBRE MERMELADA DE PIÑA INGREDIENTES Piña Azúcar y Agua necesaria PASO “A” Pelar la piña Rallarla Pesar la pulpa de piña. Medir igual agua y azúcar Hacer fuego. PASO “B” Alistar Leña Poner cacerola al fuego dejar hervir Que el almibar tome punto flojo Agregar la piña rallada. Hervir lentamente y mover en intervalos. Coja punto Retire del fuego
  • 6.
    Envase Enfrie Tape herméticamente NOTA: Resolverlentamente la piña y el almibar, de modo que no se queme el dulce. FLUJO DE ELABORACION DE MERMELADA Materia Prima Selección Lavado Pelado Recorte Pre - Cocido Molienda Cocción Envasado Almacenado Azúcar, ácido u Benzoato de sodio
  • 7.
    DEFINICION Las jaleas sepreparan con jugos de frutas, o líquidos de su cocción, prolijamente filtrado y con abundante cantidad de azúcar. Este producto tiene sus características propias por su transferencia y consistencia gelatinosa que le permite amoldarse en el recipiente que lo envasen. Para elaborar jaleas, se deben elegir frutas que no estén demasiado maduras, ya que éstas son las más ricas en pectina, sustancia sin la cual resulta imposible obtener jaleas. PROCESAMIENTO Consiste en cocinar la fruta en poca agua, con su cáscara y semilla (son las partes más ricas en pectinas) hasta que se deshagan, convienen cortarlas en trozos para facilitar su cocción. Luego se procede a filtrarse a través de un género finito y húmedo, con una bolsita suspendida sobre una cacerola, recogiéndose el liquido sin presionar suspendida sobre una cacerola, recogiéndose el liquido sin presionar la bolsita (se utiliza un trozo de género blanco forrando el colador grande de alambre). Con el residuo de fruta que queda en el colador puede obtenerse un segundo liquido para jalea de calidad inferior por supuesto, cubriéndola con agua y haciéndola por 8 a 10 minutos más para someterla luego al mismo filtrado. Una vez filtrado el liquido se mide dejándolo cuidadosamente en otra cacerola, para no remover las impurezas que pudieran haberse depositado en el fondo, se pone a hervir y luego se agrega azúcar en la proporción de una taza de liquido medido (para las frutas más acidas) 3/4 de taza de azúcar (para frutas menos ácidas), la cocción debe hacerse a fuego fuerte. EL PUNTO Se reconoce cuando al levantar la cuchara con un poco de la preparación previamente enfriada, al inclinarla cae en forma de capa fina (si cae en forma de gotas, necesitará más cocción). ENVASADO Se envasa caliente en frascos previamente calentados para evitar que se solidifique en capas. Si de desea consumir enseguida verterla en un molde humedecido y cuando este firme, desmoldarla con un “aspic” pasándola rápidamente por agua caliente. FLUJO DE CÓMO ELABORAR JALEAS PREPARACION DE JALEAS SELECCIÓN DE FRUTAS NO MUY MADURAS CORTAR EN TROZOS COCINAR LA FRUTA EN POCA AGUA VER QUE SE DESHAGA FILTRAR EL PRODUCTO NO PRESIONAR MEDIR EL PRODUCTO
  • 8.
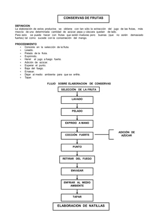
    DEFINICION La elaboración deestos productos se obtiene con tan sólo la extracción del jugo de las frutas, más mezcla de una determinada cantidad de azúcar; pepa y cáscara quedan de lado. Para esto se puede hacer con frutas que estén maduras pero buenas (que no estén demasiado fuertes) tal como sucede con la conservación del mango. PROCEDIMIENTO ∗ Consiste en la selección de la fruta. ∗ Lavado. ∗ Pelado de la fruta. ∗ Exprimido. ∗ Hervir el jugo a fuego fuerte. ∗ Adición de azúcar. ∗ Esperar el punto. ∗ Baja del fuego. ∗ Envasar. ∗ Dejar al medio ambiente para que se enfríe. ∗ Tapar. FLUJO SOBRE ELABORACION DE CONSERVAS CONSERVAS DE FRUTAS SELECCIÓN DE LA FRUTA LAVADO PELADO EXPRIDO A MANO COCCIÓN FUERTE PUNTO RETIRAR DEL FUEGO ENVASAR ENFRIAR AL MEDIO AMBIENTE TAPAR ADICIÓN DE AZÚCAR ELABORACION DE NATILLAS
  • 9.
    UTENSILIOS QUE SEUSAN PARA UNA ELABORACION ∗ Perol de bronce de preferencia, o de cobre, u olla de aluminio. ∗ Paleta de madera. ∗ Cocina a base de leña. ∗ Baldes plásticos de ½ kg. O vasos de ¼ jg. ∗ 01 mesa de madera. ∗ 02 manteles de tocuyo de 1 metro c/u. ∗ 01 recipiente para decepcionar la leche. ∗ 02 cucharones de aluminio para el vaciado. INGREDIENTES ∗ Leche ∗ Chancaca o azúcar. ∗ Canela-clavo de olor ∗ Bicarbonato de sodio. PREPARACION Una vez decepcionada la leche, ésta se cierne. Una vez hecho el fuego poner a calentar el perol u olla, luego echar el azúcar al perol u olla y dejar que esta llegue a derretir hasta que se haga miel; una vez que esto ha sucedido, revolver bien la leche y vaciar sobre el perol que contiene la chancaca o el azúcar derretida. Esta mezcla va a causar un cambio raro porque aquí se va hacer esta mezcla como caramelo pero va a volver a su normalidad moviendo hasta que se diluya. Agregar más leña a la cocina, en momentos que hierve soltarle el clavo de olor y la canela después de esto dejar que hierva que coja el punto necesario. Retirar del fuego, se envasa, se deja enfriar y se tapa. CUADRO ESQUEMATICO DE ELABORACION DE NATILLAS Ingredientes Recepción leche Cernido Agregar bicarbonato Mezclado Reposar Hacer fuego Preparación leña Calentar perol u olla Echar azúcar Formación de miel Agregar leche reposada Diluir mezcla Hervido de la mezcla Agregar canela y clavo de olor ELABORACION DEL MANJAR BLANCO
  • 10.
    Para esta elaboración,se emplean los mismos utensilios, los mismos insumos que la preparación anterior. INGREDIENTES ∗ Leche ∗ Azúcar blanca ∗ Esencia (puede ser coco, vainilla, chirimoya, etc.) Después que hierve la leche, agregar el azúcar blanca, moviendo suavemente hasta que se disuelva ésta, porque si no se mueve se puede pegar y quemar. Luego de esto dejar como siempre hervir a fuego lento hasta que coja punto, luego retirar del fuego y agregar una cucharada de cualquier sabor de esencia; mover de modo que se mezcle el dulce y la esencia. Envasar, hacer enfriar y tapar. CUADRO ESQUEMATICO SOBRE ELABORACION DE MANJAR BLANCO INGREDIENTES Leche de vaca fresca Azúcar blanca Clavo de olor – canela Esencia. RECEPCIÓN LECHE CERNIDO PREPARACION LEÑA HACER FUEGO CALENTAR PERO U OLLA ECHAR HERVIR MEZCLAR LA LECHE CON EL AZÚCAR MOVER LENTAMENTE TODO ESTO DEJAR QUE TOME PUNTO RETIRAR DEL FUEGO MEZCLAR EL MANJAR CON LA ESENCIA QUE SE DESEE ENVASAR, ENFRIAR Y TAPAR