Cálculo Vectorial
Profe: Miguel Molina Rivera
Profesor del Área de Física de Preparatoria
Agrícola de la UACh.
Las presentes notas son una de las herramientas básicas
para el estudio, análisis y aplicación del cálculo vectorial
en el mundo de la Física.
CONTENIDO
Pág.
I. La Geometría del Espacio Euclidiano
1. Vectores en el Espacio Tridimensional.
2. El Producto Interno.
3. El Producto Cruz.
4. Coordenadas Esféricas y Cilíndricas.
5. Espacio Euclidiano n-Dimensional
5.1 Funciones de más de una variable.
5.2 Límites de funciones de más de una variable.
5.3 Continuidad de funciones de más de una variable.
4
5
9
16
18
23
23
26
32
II. Diferenciación
1. Diferenciación Parcial.
2. Diferenciación Total.
3. Diferenciaciones Exactas.
4. Regla de la Cadena.
5. Gradiente y Derivada Direccional.
6. Multiplicadores de Lagrange.
34
35
37
39
42
44
46
III. Funciones con Valores Vectoriales
1. Trayectorias y Velocidad.
2. Longitud de Arco.
3. Campos Vectoriales.
4. Divergencia y rotacional de un campo vectorial.
50
51
53
55
57
IV. Derivadas de Orden Superior; Máximos y Mínimos
1. Teorema de Taylor.
2. Extremos de Funciones con valores reales.
3. Teorema de la función implícita.
4. Aplicaciones.
60
61
64
65
65
CONTENIDO
Pág.
V. Integrales Dobles
1. Integral doble.
2. Integrales iteradas.
3. Evaluación de integrales dobles.
4. Centro de masa y momentos.
5. Integrales dobles en coordenadas polares.
6. Área de superficies.
7. Integral triple
8. Integrales triples en otros sistemas de coordenadas.
a) Coordenadas cilíndricas.
b) Coordenadas esféricas.
66
67
68
70
73
76
78
80
82
82
83
VI. Integración de los Campos Vectoriales
1. Integrales circuitales.
2. Integrales curvilíneas planas.
3. Integrales curvilíneas en el espacio.
4. Integrales independientes del camino.
5. Campo de fuerzas, Trabajo.
6. Teorema de la divergencia.
7. Teorema de Green.
8. Teorema de Stokes.
85
86
91
95
98
99
103
104
107
4
I. La Geometría del Espacio Euclidiano
1. Vectores en el Espacio Tridimensional.
2. El Producto Interno.
3. El Producto Cruz.
4. Coordenadas Esféricas y Cilíndricas.
5. Espacio Euclidiano n-Dimensional
5.1 Funciones de más de una variable.
5.2 Límites de funciones de más de una variable.
5.3 Continuidad de funciones de más de una variable.
5
1. Vectores en el espacio tridimensional.
Representación Gráfica
R2
R3
Vector a y b Representación Múltiple
Vectores Unitarios i y j Vectores unitarios i, j y k
6
Suma de vectores
Resta de Vectores
Vector  7,6,3ˆ7ˆ6ˆ3  kjia

7
Representación algebraica
 
 
  n
n Renxxxxc
Renzyxb
Renyxa
,.....,,,
,,
,
321
3
2






O también
nnaxaxaxaxc
kzjyixb
jyixa
ˆ......ˆˆˆ
ˆˆˆ
ˆˆ
332211 





Propiedades
a)      zyxzyx ,,,,  
b)       zyxzyxzyx ,,,,,,  
c)         111321 ,,,,,,,, zyxzyxxxxzyx  
d)    0,0,00,0,0 
e)    0,0,0,,0 zyx
f)    zyxzyx ,,,,1 
En donde R,,, 
   zyxzyx  ,,,, 
y      zcbyaxcbazyx  ,,,,,,
8
Ejemplos:
   
   24,12,06,3,04
30,21,1210,7,43


     
     4,10,15,2,31,8,4
10,2,108,2,72,0,3


Problema:
Obtenga la ecuación de la recta que pasa por iˆ3 y es paralela al eje Y
Solución:
    jtijtibr
ib
jtir
ˆˆ3ˆˆ3
ˆ3
ˆˆ3






9
2. Producto punto o producto interno.
Teorema.- si A

es el vector  21,aa
2
2
2
1 aaA 

Demostración: A es la magnitud de la longitud de A

, por construcción esta es la
distancia del punto  0,0 al punto  21,aa . Por la fórmula para la distancia entre dos
puntos     2
2
2
1
2
2
2
1 00 aaaaA 
Observación.- El teorema anterior indica que para 3 dimensiones si:
  2
3
2
2
2
1321 ,, aaaAaaaA 

Ejemplo: Encontrar la magnitud de A

para  3,4A

Solución: Por la formula
525
91634 22
2
2
2
1



A
A
aaA



Ejemplo: Obtenga A

para  2,4,7 A

Solución: Por la formula
 
31.869
41649247 222
2
3
2
2
2
1



A
A
aaaA



10
Observación: Sea  21,aaA 

y  la medida en radianes del ángulo que da la
dirección de A

Entonces
 ji
ji
senAA
senAAA
ˆˆ
ˆˆ
cos
cos






Demostración:
 senAaAa
A
a
sen
A
a 
  21
21
,cos,cos
11
Ejemplo: Exprese al vector  2,5 A

en la forma anterior.
Solución:
 
29
2
29
5
cos
29425
2,5
2
1






A
a
sen
A
a
A
A












 jiA ˆ
29
2ˆ
29
5
29

Teorema.- Si el vector no es cero
j
A
a
i
A
a
A
esAunitariovectoreljaiaA
ˆˆˆ
ˆˆˆ
21
21




Demostración:
1ˆ
ˆ
ˆ
2
2
2
1
2
2
2
2
2
1




A
A
A
A
aa
A
A
a
A
a
A




12
Y como
 
A
A
A
aa
A
A



1ˆ
,
1ˆ
21


Como
A

1
es positivo entonces Aˆ tiene la misma dirección que A

y su magnitud
es 1.
Observación: para  321 ,, bbbB 

se tiene
k
B
b
j
B
b
i
B
b
B ˆˆˆˆ 321
 
Ejemplo: con  1,5,4B

y  2,9,3D

, encontrar el vector unitario que tiene la
misma dirección que DB

 .
Solución
     
   
kjiDB
DB
DB
DB
ˆ
66
1ˆ
66
4ˆ
66
7
66
11649147
1,4,72,9,31,5,4
222








Definición: Si  21,aaA 

y  21,bbB 

son dos vectores, se define el producto
punto de A

y B

esta dado por:
13
    22112121 ,, bababbaaBA 

Y para R3
    332211321321 ,,,, babababbbaaaBA 

Ejemplo: Encontrar ML

 para  3,2 L

y  8,7M

Solución.
         
102414
83728,73,2


ML
ML


Observación: Se puede obtener que
1ˆˆ
1ˆˆ
1ˆˆ



kk
jj
ii
Y
0ˆˆˆˆ
0ˆˆˆˆ
0ˆˆˆˆ



ikki
jkkj
ijji
Teorema.- Si  es la medida en radianes del ángulo entre los vectores A

y B

diferentes de O

, entonces
cosBABA


Demostración.
14
Ejemplo: Dados  2,3 A

y  1,2B

encontrar el ángulo entre los vectores.
Solución.
cosBABA


Como
514
1349


B
A


Y
 
cos5134
42,6

BA

  67".27´15º604961.0cos
4961.0
65
4
cos
1





Demostración.- Como BA

, y BA

 forman un triángulo entonces por la ley de
los cosenos
cos2
222
BABABA


Pero
    
2
2
2
1
2
2
2
2
1
2
22
2
2
2
211
2
1
2
1
2
22
2
11
2
22
bbB
aaA
babababababaBA






15
 



cos
cos22
cos222
2211
2
2
2
1
2
2
2
122
2
2
2
211
2
1
2
1
BABA
BAbaba
BAbbaababababa
ndosimplifica







Definición: Dos vectores no cero se dice que son paralelos si y sólo si el ángulo
entre ellos es 0 ó  radianes.
Definición: Dos vectores no cero se dice que son ortogonales o perpendiculares
si y sólo si el ángulo entre ellos es 90º ó
2
 radianes.
Teorema.- Dos vectores no cero A

y B

son ortogonales si y sólo si 0BA

Demostración.
º90
0cos
0
cos0
0
0cos
cos
0cos
º90















ByA
BABA
BAsi
BABA
BABA





16
3. Producto Vectorial
Definición: El producto vectorial de dos vectores a

y b

es el vector
nsenbaba ˆ

 en donde  es el ángulo entre los vectores tal que  0
y nˆ es un vector unitario perpendicular al plano de a

y b

, con sentido dado por la
regla de la mano derecha.
Observación: Cuando el ángulo entre dos vectores no nulos es 0º, o bien
rad  , entonces 0sen , y de esta manera 0

ba
Definición: Una forma general de obtener ba

 con  321 ,, aaaa 

y  321 ,, bbbb 

es por medio de el siguiente desarrollo.
      kbabajbabaibababa
k
bb
aa
j
bb
aa
i
bb
aa
bbb
aaa
kji
ba
ˆˆˆ
ˆˆˆ
ˆˆˆ
122113312332
21
21
31
31
32
32
321
321




Ejemplo: Obtenga ba

 si kjia ˆ5ˆ2ˆ4 

y kjib ˆˆˆ3 

kjiba
kji
kji
ba
ˆ10ˆ19ˆ3
ˆ
13
24ˆ
13
54ˆ
11
52
113
524
ˆˆˆ












17
Observación: abba


Observación: si ia ˆ

y jb ˆ

por la definición
nnsenjiji ˆˆ
2
ˆˆˆˆ 







Pero como kˆ es un vector perpendicular al plano que contiene a iˆ y jˆ con la
dirección indicada por la regla de la mano derecha y entonces:
kji ˆˆˆ 
Análogamente podemos obtener:
jik
ikj
kji
ˆˆˆ
ˆˆˆ
ˆˆˆ



jki
ijk
kij
ˆˆˆ
ˆˆˆ
ˆˆˆ



Productos especiales.- podemos demostrar que
   
     baccabcba
cbacba




18
4. Coordenadas Cilíndricas y Esféricas
Coordenadas Cartesianas Coordenadas Polares


senrYo
rXo

 cos
Xo
Yo
YoXor
1
22
tan



Relación entre los dos tipos de coordenadas
Ejemplo: Localizar los siguientes puntos    4
3,3,
4
,2,
6
,4  
Solución
19
Ejemplo: convierta  6
,2  de coordenadas polares a rectangulares.
Solución.
   1,3
6
,2
1
2
1
2
6
2
3
2
3
2
6
cos2
6
,2






















senr
X
r
Ejemplo: Convertir  1,1 de coordenadas rectangulares a polares.
Solución
   
 
º50
1tan
1
1
tantan
211
111
2222













Xo
Yo
YoXor
20
Coordenadas cilíndricas y esféricas.
ZZ
X
Y
YXr



1
22
tan
ZZ
senrY
rX




cos
 Zr ,20,0  Coordenadas cilíndricas
Ejemplo: transforma las coordenadas cartesianas  2,7,4 a coordenadas
cilíndricas.
Solución.
   
   2,7,42,"18´15º60,06.8
2
"18´15º60
4
7
tan
06.8
65491674
2,7,4,,
1
22








Z
r
r
zr



21
Coordenadas Esféricas.




















0
20
0
cos
cos
tan
tan
22
1
1
22
1
222
r
rXZ
sensenrXY
senrX
Z
YX
X
Y
YXr
ZYXr
22
Ejemplo: Transforme las coordenadas cartesianas  8,3,5  a coordenadas
esféricas.
   
  9.99864925835
8,3,5,,
222


r
r 
 
   8,3,530,"15´536,9.9
30
5
3
tan
"15´536
8
34
tan
8
925
tan
8
35
tan
1
1
1
22
1




















23
5. Espacio Euclidiano n - Dimensional.
5.1 Funciones de más de una variable.
Observación: Así como denotamos un punto en R´ por el punto X, con un punto
en R2
por una pareja ordenada de números reales  YX, y un punto en R3
por una
tripleta ordenada de números reales  ZYX ,, , representaremos un punto en el
espacio numérico n-dimensional Rn
, por una n-ada ordenada de números reales
usualmente denotados por  XnXXP ,...,, 21 .
Observación: En particular, si 1n , hacemos XP  ; si 1n ,  YXP , ; si 3n ,
 ZYXP ,, ; si 6n ,  654321 ,,,,, XXXXXXP  .
Definición: El conjunto de todos las n-adas ordenadas de números reales se
llama el espacio numérico n-dimensional y se denota por Rn
. Cada n-ada
ordenada  xnxx ,...,, 21 se llama un punto en el espacio numérico n-dimensional.
Definición: Una función de n variable es un conjunto de parejas ordenadas de la
forma  wp, en el cual dos parejas diferentes no tienen el mismo primer elemento.
p Es un punto en el espacio numérico n-dimensional y w es un número real a la
24
totalidad de todos los valores posibles de p se llama el dominio de la función y la
totalidad de los posibles valores de w se llama rango de la función.
Ejemplo: La función de dos variables X y Y es el conjunto de todas las parejas
ordenadas de la forma:
  22
25, YXYXf 
Encontrar el dominio y rango de f y hacer un dibujo mostrando con un área
sombreada en R2
el conjunto de puntos del dominio de f .
Solución. El dominio de f será para  YX, tales que
25025 2222
 YXYX
Que es el conjunto de puntos dentro del círculo.
2522
YX
Y el mismo círculo como:
      5,025, 22
 YXfYXYXf
Por lo que el rango de f es el conjunto  5,0
El dibujo es.
25
Ejemplo: si f es la función definida por:
  22
25, YXYXf 
Encontrar
 4,3 f ,  1,2f
Solución.
   
    20142512251,2
01692543254,3
22
22


f
f
Ejemplo: si g es la función definida por:
  252,, yzxzxzyxg 
Encontrar
 2,4,1 g ,  xzyg ,,
Solución.
      
      zxxyyxzxyyxzyg
g
2222
22
55,,
27161012421512,4,1


26
4.2 Límite de Funciones de más de una variable.
En R´ la distancia entre dos puntos es el valor absoluto de la diferencia de dos
números reales. Esto es, ax  es la distancia entre los puntos x y a .
En R2
la distancia entre dos puntos  YXP , y  YoXoPo , está dada por
   22
YoYXoX  .
En R3
la distancia entre los puntos  ZYXP ,, y  ZoYoXoPo ,, está dada por
     222
ZoZYoYXoX  .
Definición.- Si  XnXXP ,....,, 21 y  naaaA ,....,, 21 son dos en Rn
, entonces la
distancia entre en P y A está dada por:
     22
22
2
11 ... nn aXaXaXAP 
AP  Se lee como “La distancia entre P y A”
Ejemplo: En R2
la bola cerrada   3,2,1B es el conjunto de puntos  YX, en R2
tales que:
       
    222
22
,,
rYoYXoX
rYoYXoXYoXoYX


27
Es decir, en nuestro caso    921
22
 YX que es un circulo de radio 3 con
centro en (1, 2)
Definición: Si A es un punto en Rn
y r un número positivo, entonces la bola
abierta  rAB , se define como el conjunto de todos los puntos P en Rn
rAP  .
Definición: Si A es un punto en Rn
y r es un número positivo, entonces la bola
cerrada  rAB , se define como el conjunto de todos los puntos P en Rn
tales que
rAP 
Ejemplo: En R´ la bola abierta 




 ra
B 3,2 es el conjunto de todos los puntos X en R´
tales que.
51
323
32



x
x
xax
28
Definición: Sea f una función de n variables la cual está dada en alguna bola
abierta  rAB , excepto posiblemente en el punto A mismo. Entonces el límite de
 Pf cuando P se aproxima a A es L y se escribe:
  LPfLím AP 
Si para cualquier 0 no importando que tan pequeña, existe una 0 talque
   LPf siempre que  AP0 .
Observación: Para el caso de una variable es   LXfLím aX  Se escribe
   Lxf siempre que  aX0 .
Y para el caso de dos variable se dice: Sea f una función de dos variables la cual
está definida en algún disco abierto   rXoXoB ,, excepto posiblemente en el
punto  YoXo, mismo.
Entonces
      LYXfLím YoXoYX  ,,,
Si para cualquier 0 , no importando que tan pequeño, existe una 0 talque
   LYXf , siempre que     
22
0 YoYXoX
29
Ejemplo: Demostrar que       11323,2,  YXLím YX por criterio ,
Solución: mostramos que para cualquier 0 existe una 0 talque
   1132 YX siempre que     
22
310 YX por la desigualdad del
triángulo.
331293221132  YXYXYX
Y como
   
    



22
22
313
311
YXY
y
YXX
Por lo que
 5323312  YX
Con
5
5

  se demuestra lo pedido.
30
Ejemplo: Demostrar que       53 2
2,1,  YXLím YX
Solución: mostraremos que para cualquier 0 existe una 0 talque
   53 2
Yx
Siempre que
    
22
210 YX
Por la desigualdad
211321323353 222
 YXXYXYXYX
Y como
    
22
211 YXX
Y
    
22
212 YXX
Y entonces
  





73
63
232113
2122
11
2
2





YXX
X
XX
Haciendo
07373 22
 
31
Entonces
  
  6
12497
32
34497 





Para que 0
32
4.3Continuidad de Funciones de más de una variable.
Definición.- Supongamos que f es una función de n variables y A es un punto de
Rn
. Entonces se dice que f es continua en el punto A si solo si se satisface.
a) Existe  Af
b) Existe  PfLím AP
c)    AfPfLím AP 
Ejemplo.- Sea
     0,0,
0
3
, 22
2






 YXconYX
YX
YXf
Diga si f es continua en  0,0
Solución.-
a)   00,0 f
b)           22
2
0,0,0,0,
3
,
YX
YX
LímYXfLím YXYX

 
Veamos que
      0,0,0,  YXfLím YX
Es decir que 0 0 talque
     

22
122
2
00,0,00
3
YXYXquesiempre
YX
YX
Como
33
222
YXX  y 22
YXY 
Por lo que
 


3
1
3
333
333 22
22
22
22
2
22
2








YXY
YX
YYX
YX
YX
YX
YX
c) Por a) y b)
       0,0,0,0, fYXfLím YX 
34
II. Diferenciación
1. Diferenciación Parcial.
2. Diferenciación Total.
3. Diferenciaciones Exactas.
4. Regla de la Cadena.
5. Gradiente y Derivada Direccional.
6. Multiplicadores de LaGrange.
35
1. Diferenciación Parcial
Observación.- Como la derivada de una función de una variable es:
   
X
XfXXf
Lím
dX
dY
X


  0
Definición.- Si  YXfZ , la derivada parcial con respecto a X es:
   
X
YXfYXXf
Lím
X
Z
X






,,
0
Y la derivada parcial con respecto a Y es:
   
Y
YXfYXXf
Lím
Y
Z
X






,,
0
Observación.- Cuando de evalúa
X
Z


la variable es X y a Y se le considera una
constante. Cuando se evalúa
Y
Z


la variable es Y y a X se le considera una
constante.
Ejemplo: Si 144 6323
 YXYXZ , determinar
X
Z


y
Y
Z


Solución.
53
22
68
812
XYX
Y
Z
y
XYX
X
Z






36
Observación.- Para  YXfZ ,
 
  fyxxfy
YX
Z
Y
Z
X
y
fxyyfx
XY
Z
X
Z
Y
fyZy
Y
f
Y
Z
y
fxZx
X
f
X
Z






































2
2
De manera análoga si:  zyxF ,, , se puede obtener: ..,,, etcFFF YZXZYXXYZ ,
Observación.- en general
XYXYXXXXY
ZXYYXZXYZ
FFF
FFF
y
fyxfxy



Ejemplo: Si  2105
cos XYYXZ  obtener YXZ
Solución.-
    
   
       
 294
2295211522116
2952116
2952105
cos50
1012cos2
cos102
cos102
XYYX
XYsenYYXXYsenYXXYYYXZ
y
XYYXXYsenYXZ
XYYXXYsenXYYXZ
YX
Y
Y




37
1. Diferencial Total
Definición.- Si   Yxf  es una función diferenciable, la derivada es:
 
dx
dy
dx
df
xf ´
Y la diferencial dfdy  es
  dxxfdy ´
dx
dx
df
dy 
En dos y tres dimensiones la diferencial de  YXfZ , y de  zyxF ,, serán
respectivamente:
dz
z
dy
y
dx
x
d
y
dy
y
z
dx
x
z
dz

















O bien
   
      dzzyxfzdyzyxfydxzyxfxd
y
dyyxfydxyxfxdz
,,,,,,
,,



Ejemplo: Si XYXZ  2
obtenga dZ
Solución.- Como
XZy
YXZx
y
ZydyZxdxdZ



2
38
   dyXdxYXdZ  2
Ejemplo: ¿Cuál es d si 432
32 ZYX  ?
Solución.-
dzZdyYXdxd
ZYX
y
dzdydxd
ZYX
ZYX
32
32
1262
12,6,2






39
2. Diferenciales Exactas.
Definición.- Se dice que una expresión como     dyyxQdxyxP ,,  es una
diferencia exacta si existe una función f talque     dyyxQdxyxPdf ,,  .
Teorema: sean P y Q continuas y con primeras derivadas parciales continuas en
una región rectangular del plano XY , entonces     dyyxQdxyxP ,,  es una
diferencial exacta si y sólo si:
X
Q
Y
P





para todo  YX, en la región.
Demostración: Si     dyyxQdxyxP ,,  es una diferencial exacta, existe una
función f talque:
   
x
Q
y
P
x
Q
yx
f
y
P
xy
f
Q
y
f
yP
x
f
dy
y
f
dx
x
f
df
dyyxQdxyxPdf
































22
,,
Ahora si
x
Q
y
P





40
Se quiere encontrar una función f talque.
Q
y
f
yP
x
f






Si hacemos:
      
X
Xo
Y
Yo
dyYXoQdxYoXPyxf ,,, Con  YoXo, un punto fijo de la región,
ahora:
   
 
 
   
     
 YXP
YoXPYXPYoXP
YXPYoXP
dy
X
P
YoXP
dy
X
Q
YoXP
dyYXoQdxYoXP
xx
f
Y
Yo
Y
Yo
Y
Yo
X
Xo
Y
Yo
,
,,,
,,
,
,
,,

















 
Análogamente:
Q
y
f



Ejemplo: Determine si las siguientes expresiones son diferenciales exactas.
a)    dyXXYdxYY  222 2
b)  dyxXYdx 12 2

Solución: a)
12,24
2,22 2







Y
x
Q
Y
y
P
XXYQYYP
41
x
Q
Y
P





 No es diferencial exacta.
b)
X
x
Q
X
y
P
XQXYP
2,2
1,2 2







x
Q
Y
P






Es diferencial exacta
Ejemplo: Resolver     0cos 22
 dyYXYdxXYsenxx
Solución.
X
Q
XY
Y
P





2
Ahora bien
 xhYXYfYXY
x
f


 2222
2
1
2
1
Pero
 
 
 
   XsenYXYyxf
Xsen
dxxsenxxh
senxxxh
XYsenxx
x
f
xhXYP
x
f
2222
2
2
2
2
1
,
2
1
cos
cos´
cos
´











42
3. Regla de la Cadena.
Observación.- Si  ufY  y  xgu  son funciones diferenciables entonces:
dx
du
du
dy
dx
dy

Teorema.- Si  ,ufZ  y  yxgu ,  yxh , , tienen primeras derivadas
parciales continuas, entonces:
y
z
y
u
u
z
y
Z
y
x
z
x
u
u
z
x
Z
































Caso Especial.- Si  ,ufZ  es diferente y  tgu  y  th son diferenciales,
dt
dz
dt
du
u
z
dt
dz 








Generalizaciones.
1.- Si  nuuufZ ,..., 21 y nuuu ,..., 21 son funciones de kxxx ,..., 21 con n no
necesariamente igual a k.
kicon
x
u
u
z
x
u
u
z
x
u
u
z
x
z
i
n
niii






















1
....2
2
1
1
2. Si  nuuufZ ,..., 21 y las  thu ii  con ni 1
dt
du
u
z
dt
du
u
z
dt
du
u
z
dt
dz n
n









 ....2
2
1
1
43
Ejemplo: Si 32
 uZ y yx
eu 32 
 ,  22
yxsen  , determine
x
Z


.
Solución. Como  ,ufZ  y  yxhu , ,  yxg , ; por regla de la cadena.
x
z
x
u
u
z
x
z













 

Y como
 
    
 22232
22232
22322
cos64
cos2322
cos2,2,3,2
yxue
x
z
yxxeu
x
z
yxx
x
e
x
uz
u
u
z
yx
yx
yx



























44
4. Gradiente y Derivada Direccional.
Definición.- Si  yxfZ , y  zyxh ,, son funciones diferenciables, el
gradiente de Z y  se define como:
j
y
f
i
x
f
fgrad
fj
y
i
x
fgrad
ffgrad
ˆˆ
ˆˆ



















y
k
z
h
j
y
h
i
x
h
grad
hk
z
j
y
i
x
hgrad
hhgrad
h
ˆˆˆ
ˆˆˆ

























Ejemplo: Obtenga  yxf , para   23
5, yxyyxf 
Solución.
   
 jyxyiyxf
jyxy
y
iyxy
x
f
j
y
f
i
x
f
f
ˆ25ˆ3
ˆ5ˆ5
ˆˆ
322
2323














Ejemplo: Para   322
3,, zxxyzyxF  hallar  4,1,2 F
Solución.
 
  kjiF
kzjxyixyF
k
z
F
j
y
F
i
x
F
F
ˆ48ˆ4ˆ134,1,2
ˆ3ˆ2ˆ6
ˆˆˆ
22











45
Definición.- La derivada direccional de  yxfZ , en la dirección de un vector
unitario jseniu ˆˆcos  

es:
    uyxfyxfuD

 ,,
Ejemplo: Obtenga la derivada direccional de   xyyxyxf 62, 32
 en  1,1 en la
dirección de un vector unitario cuyo ángulo con el eje x positivo es
6
 .
Solución.
 
      jxyxiyxyyxf
j
y
f
i
x
f
yxf
ˆ66ˆ64,
ˆˆ,
323







Como
    uffuD

 1,11,1 y
 
   
6
12
6
cos10
ˆ
6
ˆ
6
cosˆ12ˆ101,1
ˆ
6
ˆ
6
cos
ˆˆcosˆˆcos
ˆ12ˆ101,1




senuD
jsenijifuD
jseniu
jseniujseniu
jif






 







46
5. Multiplicadores de LaGrange.
Es un método para determinar los llamados extremos con restricciones de una
función.
Método.
1. Supóngase que se desea encontrar extremos de la función  yxfZ , con
la restricción dada por   0, yxg
2. Como f y g son respectivamente a las curvas   Cyxf , y   0, yxg ,
entonces para cumplir las restricciones f y g deben ser paralelas es
decir gf   para R
   
   
  0,
,,
,,



yxg
yxgyxfy
yxgyxfx
y
x


A  se le llama multiplicador de LaGrange.
47
Ejemplo: Aplicar el método de los multiplicadores de LaGrange para determinar el
máximo de   22
9, yxyxf  sujeta a 3 yx
Solución.
 
2
3
2
3
032
03
22
03
2
2
11
30,
2
2













xy
y
y
yy
yx
xx
yxy
Y
x
gyygx
yxyxg
yfy
xfx


Luego el máximo con restricciones es  
2
9
2
3
2
3
9
2
3
,
2
3
,
22


















 fyxf
48
Ejemplo: Un cilindro recto tiene un volumen de 3
1000 lt . La tapa y la base del
cilindro se hacen de un metal que cuesta 2 dólares por diámetro cuadrado. La cara
lateral se cubre con un metal que cuesta 2.5 dólares por diámetro cuadrado:
calcule el costo de la construcción mínimo.
Solución.
La función de costo es:
     
  hrrhrC
hrrhrC




54,
25.22,
2
2
Restricción:
 
 
 
 3............................01000
2..................................5
1............258
,5
2,58
1000,1000
2
2
2
22






hr
rr
hrhr
rghrCh
hrgrhrCr
hrhrghr






Con r1 y h22 y restando
  058
058 2


hrr
hrr


Si 0r no da cilindro alguno debemos tener
49
hr
hr
8
5
058


Por (3)
01000
8
5
2






hh


2
25
25
40
25
641000
3
3



rh
h
Luego el costo buscado es
75.1284$25300
25
40
,
2
25 3
3








C
50
I. Funciones con Valores Vectoriales
1. Trayectorias y Velocidad.
2. Longitud de Arco.
3. Campos Vectoriales.
4. Divergencia y rotacional de un campo vectorial.
51
1. Trayectoria y Velocidad
Ejemplo: Grafique la siguiente función 2
RR  con
      2,0,,cos  tsenttt
Solución.
Como 1cos 2222
 tsentyX
Definición.- Sea 3
: RR 
una trayectoria. El vector velocidad esta dado por
   ttV 
 en donde una trayectoria en n
R es una función.
        txtxtRba n
n
,...,,: 1   Y la rapidez es la longitud del vector  t .
 tV ´
Además la aceleración es      ttVta ´´ 

Ejemplo: Obtenga la velocidad, rapidez y aceleración para las trayectorias:
a)  tsentttS ,,cos: 
b)   





 t
r
senrt
r
rtr
O
O
O
O

,cos

Solución.
52
a)
   
 
   
 0,,cos
´
2
1cos
1,cos,
22
sentta
tVta
V
ttsentV
tsenttV








b)
 
 
   
  

















t
r
sen
r
t
rr
ta
tVta
tV
t
r
t
r
sentV
OO
OO






22
,cos
´
cos,



53
2. Longitud de Arco
Definición.-   n
Rba ,: una trayectoria.
La longitud es
   
       
          






b
a
b
a
b
a
dttztytx
Reny
dttytx
esRen
dtt
222
3
22
2
´´´
´´
´






Ejemplo: Encuentre la longitud de arco de las curvas:
a)      20,cos  tsenttrt
b)      405,2cos2,22´  tttsent
Solución.
a)
   









2
0
2
0
2222
2
cos
,cos
rdtr
dttrsenr
senttrt


54
b)







4
0
4
0
22
129
52cos424
dt
dtttsen


55
3. Campos vectoriales.
a) Campo Vectorial.- Un campo vectorial en n
R es una función nn
RRCAF :

que asigna a cada punto AX  un vector  xF

b) Ejemplo: La fuerza de atracción de la tierra sobre una masa m puede
describirse mediante un campo vectorial en 3
R . De acuerdo con la ley de Newton,
este campo está dado por:
r
r
mM
GF

3

Ejemplo: De acuerdo con la ley de Coulomb, la fuerza que actúa sobre unas
carga q en la posición r

debida a una carga Q en el origen, es.
r
r
qQ
kF

3

Si 0qQ la fuerza es repulsiva y para 0qQ la fuerza es atractiva.
56
c) Línea de Flujo.- Una línea de flujo para un campo vectorial F

es una
trayectoria  t talque     tFt 
 
Observación.- Geométricamente una líneas de flujo es una curva cuyo vector
tangente a ellas es un punto oX

coincida con el campo vectorial.
Observación.- Analíticamente el problema de hallar una línea de flujo que pase
por oX

en el tiempo 0t significa (implica) resolver la ecuación diferencial
    tFt 

´ con la condición inicial oX

; esto es   oX

0 , es decir para 3
R se
deben de resolver:
        
        
        
        ZoYoXoZYX
tZtYtXFtZ
tZtYtXFtY
tZtYtXFtX
,,0,0,0
,,´
,,´
,,´
3
2
1




57
4. Divergencia y rotacional de un campo vectorial.
a) Rotacional
Definición.- El rotacional de un campo vectorial F

en 3
R se define como:
k
y
F
x
F
j
zx
F
z
F
i
z
F
y
F
FFF
zyx
kji
FFrot ˆˆˆ
ˆˆˆ
123121
321










































En donde como antes
kFjFiFF
y
k
z
j
y
i
x
ˆˆˆ
ˆˆˆ
321 










b) Rotacional del gradiente 0
Teorema.- Para cualquier función f , el rotacional de un gradiente es igual a cero.
Demostración: Como
 
0
ˆˆˆ
ˆˆˆ
ˆˆˆ
222222


























































k
xy
f
yx
f
j
zx
f
xz
f
i
yz
f
zy
f
y
f
y
f
x
f
zyx
kji
fgradrot
k
z
f
j
y
f
i
x
f
ffgrad
58
c) Ejemplo. Si jXiYV ˆˆ  

con R obtenga Vrot

Solución.
k
XY
zyx
kji
Vrot ˆ2
0
ˆˆˆ












Ejemplo: Sea jXiYL ˆˆ 

muestre que L

no es un campo gradiente, es decir que
0L

Solución.
0ˆ2
0
ˆˆˆ








 k
XY
zyx
kji
Lrot

d) Divergencia.
Definición.- La divergencia de un campo vectorial F

en 3
R se define como:
 
z
F
y
F
x
F
Fdiv
kFjFiFk
z
j
y
i
x
Fdiv
FFdiv

























321
321
ˆˆˆˆˆˆ



e) Divergencia del Rotacional 0
Teorema.- Para cualquier campo vectorial F

de clase 2
C la divergencia de su
rotacional es igual a cero.
59
Demostración.
  







































y
F
x
F
zx
F
z
F
yz
F
x
F
x
Frotdiv 123123

Haciendo la correspondiente eliminación de términos nos queda:
  0Frotdiv

f) Ejemplo: Obtenga la divergencia de kXYZjZiYXF ˆˆˆ2


Solución.
     
XYXYXYFdiv
XYZ
z
Z
y
YX
x
Fdiv
302
2












g) Laplaciano.- Para funciones f , el Laplaciano se define como:
  2
2
2
2
2
2
2
z
f
y
f
x
f
ff









Y para un campo vectorial F

se define:
kFjFiFF ˆˆˆ 3
2
2
2
1
22


60
V. Derivadas de Orden Superior; Máximos y Mínimos
1. Teorema de Taylor.
2. Extremos de Funciones con valores reales.
3. Teorema de la función implícita.
4. Aplicaciones.
61
1. Teorema de Taylor
a) En una dimensión.
Observación.- Para funciones de una variable se tiene:
              axRax
K
af
ax
af
axafafxf k
K
k

!
...
!2
´´
´
1
2
Con a constante.
b) Error de orden k
Observación.- Se llama error de orden K a
     
 


x
a
K
K
K dttf
K
tx
axR 1
!
Lo que significa que
 
 
0


K
K
ax
axR
Cuando ax 
Ejemplo. Desarrollar   x
exf  alrededor de 0X
Solución.
 
 
 
 
        
 










0
32
32
0
0
0
0
!
...
!3!2
1
....0
!3
1
0
!2
1
011
1´´´´
1´´
1´
1
0
K
K
x
K
x
xx
xxf
xxxexf
eaf
eaf
eaf
eaf
a
62
c) De primer orden.
Teorema.- Sea RRUf n
: , diferenciable en UoX 

,
       oXhRoX
xi
f
hioXfhoXf
n
i

,1
1



 
Donde
  0
,1

h
oXhR


Cuando 0 n
Rh

d) De segundo orden.
Teorema.- Sea RRUf n
: con derivadas parciales continúas
          







n
ji
n
i
oXhRoX
xjxi
f
hjhioX
xi
f
hioXfhoXf
1,
2
2
1
,
2
1 
Donde
  0
,
2
2

h
oXhR


Cuando 0

h
Ejemplo: Desarrolle la serie de Taylor de segundo orden para    yxsenyxf 2, 
alrededor del punto  0,0oX

Solución.
 
   
     ohRhhhhfhf
yx
f
y
f
x
f
y
f
x
f
f

,2,
0,0,0,20.20cos2,10.20cos
00,0
22121
2
2
2
2
2

















Donde
63
  0
,
2
2

h
ohR


Cuando 0

h
Ejemplo: Calcular la formula de Taylor de segundo orden para   yeyxf x
cos, 
alrededor de    0,0, YooX

Solución.
 
       
     ohRhhhhhfhf
yx
f
y
f
x
f
y
f
x
f
f

,
2
1
2
1
1,
00,0,10,0,10,0,0,10,0
10,0
2
2
2
2
1121
2
2
2
2
2

















Donde
  0
,
2
2

h
ohR


Cuando  0,0h

64
2. Extremos de Funciones con Valores Reales.
Definición.- Si RRUf n
: es una función escalar dada, un punto UoX 

se
llama mínimo local de f si existe una bola de oX

tal que para todos los puntos X

de la bola,    oxfxf

 de manera análoga UoX 

es un máximo local si existe
una vecindad V de oX

talque    oxfxf

 para todo X

de la bola.
El punto UoX 

es un extremo local o relativo, si es mínimo local o máximo local.
Un punto oX

es un punto crítico de f sí   0oXDf

. Un punto crítico que no es un
extremo local se llama punto silla.
Teorema.- Si n
RU  y RRUf n
: es diferenciable y UoX 

es un extremo
local,   0 oXDf

Ejemplo: Hallar los máximos y mínimos de la función RRf 2
: con
  22
, yxyx 
Solución.
   
02,02
0,,0,













y
y
f
x
x
f
yx
y
f
yx
x
f
 El punto crítico es  0,0
Y como     00,0,  fyxf el punto es un mínimo relativo.
65
3. Teorema de la Función Implícita.
Teorema.- Suponer que RRF n
1
: tiene derivadas parciales continúas. Si
  1
, 
 n
RoZoX

con n
RoX 

satisface:   0, oZoXF

y   0, 


oZoX
Z
F 
entonces
existe una función  XgZ

 talque:
ni
Z
Fxi
F
xi
g
,...,1,
1









Ejemplo: Considere la ecuación   01, 22
 ZXZXF en este caso 1n
muestre que se satisface el teorema.
Solución.
 
 
22
2
2
112
2
1
01
02
x
x
x
x
x
g
xxgz
y
zsixxgz
y
z
z
F













Como
2
12
2
2,2
x
x
z
x
z
x
z
F
x
F
z
z
F
x
x
F













66
V. Integrales Dobles
1. Integral doble.
2. Integrales iteradas.
3. Evaluación de integrales dobles.
4. Centro de masa y momentos.
5. Integrales dobles en coordenadas polares.
6. Área de superficies.
7. Integral triple
8. Integrales triples en otros sistemas de coordenadas.
a) Coordenadas cilíndricas.
b) Coordenadas esféricas.
67
1. Integral Doble.
La integral
 
R
dA Área de la Región y
  
R
dAyxf , Volumen del sólido arriba de la región R y abajo de la superficie
 yxfZ ,
Ejemplo: Evalúe R
dA10 para R indicada
Solución.
     2
60610101010 uAdAdA
68
2. Integrales Iteradas.
Observación.- Si se integra con respecto a X se considera a Y fija, y si se
integra a Y se considera a X fija.
Ejemplo: Evaluar

















3
1
2
2
1
2
46
46
dY
Y
X
XY
dY
Y
X
XY
Solución.
     





 














































3
1
22
22
3
1
3
1
222
2
1
2
2
1
1
2
32
16
2446
2
3
18
272346
241446
14224164246
Y
YdY
Y
X
XY
Y
Y
Y
Y
Y
X
YXdY
Y
X
XY
XLnXdY
Y
X
XY
XLnXXLnXXLnYXYdY
Y
X
XY
Definición.- Si bxa  y    xgyxg 21  se integrara:
 
 
 
dxdyyxf
xg
xg
b
a









2
1
,
Y para dyc  y    yhxyh 21  se integrará:
 
 
 
dydxyxf
yh
yh
d
c









2
1
,
69
Ejemplo: Evalúa la integral de   xyyxf 2,  para la región.
Solución.
   
    
  4
63
4
1
6
1
1
2,
2
1
4
32
2
1
222
2
1
12
2
1
2
1
11 222
















  
x
x
dxxxxx
dxxydxdyxydxdyyxf
x
x
x
x
x
x
Ejemplo: Evaluar   2
98, yxyxf  para la región.
Solución.
     
          
           199896132713122712
2724213218
3898,
223
1
2
3
1
3
1
33
3
1
1
2
3
3
1
1
2
2





  

 
xx
dxxdxx
dxyxydxdyyxdydxyxf
R
70
3. Evaluación de integrales dobles
Ejemplo: Evaluar la integral doble dydxe
R
yx

3
en la región.
Solución.
 
64.2771
4
1
2
1
4
1
2
1
4
1
2
1 4789
2
1
425
2
1
2
1
2
1
42553
5
33












  
eeeeee
dyeeedydxedydxe
yy
yyy
y
yx
y
y
yx
R
yx
Ejemplo: Evaluar la integral doble dydx
R
 en la región.
    
2
2
2
3
2
2
2
2
2
2
2
22
8
3
64
3
2
8
288
2
2
u
x
x
dxxdxxxdydxdydx
x
x
R









 

 
71
Ejemplo: Determine el volumen V del sólido del primer octante limitado por los
planos coordenados y graficas de 122
 yx y yxz  3
Solución.
   
  3
1
0
32
3
221
1
0
222
1
0
1
0
1
0
2
1
0
1
0
1
0
05.4
2
1
2
3
6
1
2
1
1
3
1
1
2
3
3
2
1
2
1
113
2
33,
2
22
uxxxxxxsen
dxxxxx
dx
y
xyydxdyyxdxdyyxfV
x
xx

























  

Ejemplo: Evaluar   
R
dAyx en la región limitada por las graficas de 2
yx  y
2
3
2
1
 xy
72
Solución:
     
   
93.46
8
9
24
2
8
11
5
2
5
4
8
9
8
5
4
11
2
22
9
1
322
5
1
0
2
5
1
0
9
1
22
3
2
3
9
1
2
3
2
2
1
0
2
1
0
9
1
2
3
2
21





























 

  



xxxxx
dxxxxdxx
dx
y
xydx
y
xy
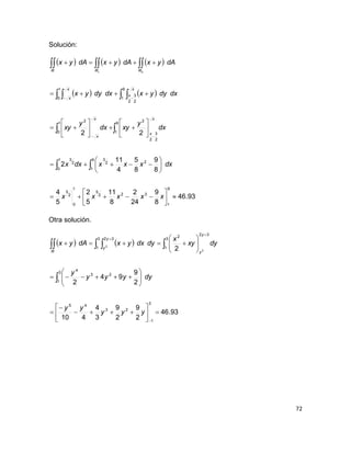
dxdyyxdxdyyx
dAyxdAyxdAyx
x
x
x
x
x
x
x
x
RRR
Otra solución.
   
93.46
2
9
2
9
3
4
410
2
9
94
2
2
3
1
23
45
3
1
23
4
3
1
32
2
3
1
32
2
2



























 
yyy
yy
dyyyy
y
dyxy
x
dydxyxdAyx
y
y
y
y
R
73
4. Centro de Masa y momentos.
Definición.- Si una región R tiene una densidad superficial (masa por unidad de
área)  yx, , su masa es  
R
dAyxm , y su centro de masa  YXMC ,.  con
m
My
X  ,
m
Mx
Y  y  
R
dAyxxMy ,  
R
dAyxyMx , .
A Mx se le llama momento respecto al eje X y a My se le llama momento respecto
al eje Y.
 
 
 
 




R
R
R
R
dAyx
dAyxy
Yy
dAyx
dAyxx
X
,
,
,
,




Observación.-
2
2
4
cos
4
10cos00
0
2
cos1
2
cos2cos 22






sen
sen
sen
xsenxx
74
Ejemplo: Ubique el centro de masa de una figura limitada por las graficas entre
0X y
4

x . La densidad es   Yyx ,
Solución.
   
 

  




4
0
4
0
4
0
224
0
cos
4
0
cos
2
4
1
2
4
1
2cos
2
1
cos
2
1
2
,,,,,.
 
 

xsenxdx
dxxsenxdx
Y
Ydydx
YdydxdAyxm
m
Mx
Y
m
My
XYXMC
x
senx
x
senx
RR
Por otra parte
 
16
2
2cos
8
1
2
4
1
2cos
2
1
2
1
,
4
0
4
0
4
0
cos
4
0
cos
2










  




 
xxxsensdxx
dxyxydxdyxydxdydAyxxMy
x
senx
x
senxRR
Análogamente
    
R
x
senx
x
senx
R
dxydydxydydxydAyMx 4
0
cos
4
0
cos
3222
3
1 
75
      
 68.0,29.0.
68.0
9
8210
4
1
8
425
29.0
4
2
4
1
16
2
8
425
cos
3
1
cos
3
1
3
1
cos11cos
3
1
cos
3
1
4
0
33
4
0
4
0
2233



















  
MC
m
Mx
X
m
My
X
xxxsensenx
dxxsenxxsenxdxxsenx



 
76
5. Integrales dobles en coordenadas polares.
Observación.- Si R es la región limitada por las gráficas de las ecuaciones
polares  1gr  ,  2gr  y los rayos a y b
Entonces
    
 
  
R
b
a
g
g
ddrrrfdArf



2
1
,, Y para una región R de la forma:
Se tiene
    
 
  
R
b
a
h
h
drdrrfdArf



2
1
,,
Ejemplo: Obtener la masa de una superficie limitada por el pétalo de rosa
22senr  en el primer cuadrante; la densidad es   rr  ,
Solución.
77
La gráfica se obtiene variando  de
2
0

a así que:
   
 
mdu
dsen
dsend
r
drdrrdArm
sen
R
sen
..
9
16
2cos
6
1
2cos
2
1
8
3
22cos1
8
3
2
8
3
3
,
2
0
2
0
32
2
0
2
0
3
22
0
3
2
0
22
0
0










   


 

 


78
6. Área de Superficies
El área de la superficie sobre R está dada por:
    
R
dAfyfxA
22
1
Ejemplo: Halle el área de superficie de la porción de la esfera 2222
azyx 
que está arriba del plano xy y dentro del cilindro 222
byx  , ab 0
Solución. Con
 
   
   
 













drdrdAyxrcondA
yxa
a
A
yxa
a
fyfx
yxa
a
fyfx
yxa
y
fyy
yxa
x
fx
yxayxfz
,,
1
1
,
222
222
222
22
222
2
22
222222
222
79
   
  222
2
0
0
2
0
2
1
222
1
22
2 Ubaaa
draadrdrraA
b
a
b




    



 
80
7. Integral Triple.
Definición.- Para una función F de tres variables definida en una región D del
espacio. La integral triple de F en D es:
  dVzyxF
D
 ,,
Observación.- Si la región D está limitada por arriba por la gráfica de  yxfz ,2 y
por abajo por la gráfica de  yxfz ,1 y además la proyección de la región D es el
plano es R la que está limitada por  xgy 2  xgy 1 , bxa  entonces:
    
 
 
 
   
b
a
xg
xg
yxf
yxf
D
dzdydzxzyxFdVzyxF
2
1
2
1
,
,
,,,,
También se puede integrar:
    
 
 
 
   
d
c
yk
yk
zyh
zyh
D
dzdydzxzyxFdVzyxF
2
1
2
1
,
,
,,,,
81
Observación.- En particular el volumen del sólido D es 
D
dVV y la masa es
 
D
dVzyxm ,,
Ejemplo: Obtener el volumen del sólido primer octante limitado por las gráficas de
2
1 yz  , xy 2 y 2yx
Solución.
 
 
3
1
0
23
1
0
1
0
323
2
2
1
0
3
2
2
1
0
3
2
1
0
8
15
8
1
4
1
3
2
1
2
33
1
2
Uyyy
dyy
y
ydyxyx
dxdyydzdxdy
dVV
y
yy
y
D
















 
   


82
8. Integrales triples en otros sistemas de coordenadas.
a) Coordenadas cilíndricas
cosrx  , rseny  , zz 
222
yxr  ,
x
y
tan , zz 
drdzdrdV  Y
    
 
 
 
   
D
b
a
g
g
rf
rf
dzdrdrzrFdVzrF





2
1
2
1
,
,
,,,,
83
Ejemplo: Un sólido en el primer octante tiene la forma determinada por la gráfica
del cono 22
yxz  y los planos 1z , 0x , 0y ; obtenga la masa si la
densidad está dada por   rzr ,,
Solución.
 
24212
34
4
1
3
1
43
2
0
2
0
1
0
43
2
0
1
0
322
0
1
1
0
22
0
1
0
1
0



 












 















    
dd
rr
drdrrdrdzrdzdrdrrdVrm
rD
b) Coordenadas esféricas
2222
zyxr  ,
x
y
tan ,
222
cos
zyx
z


84
Y
 cossenrx  ,  sensenrY  , cosrz  ,  ddrdsenrdV 2

 r0 ,  0 ,  20 
Ejemplo: Obtenga el volumen de una esfera de radio R
    
 
  
   












  
  




2
0
3
33
2
0
2
0
2
0
0
3
0
3
2
0 0
0
3
2
0 0 0
2
2
3
4
2
3
2
3
2
0coscoscos
33
3
R
R
d
R
d
R
ddsen
R
ddsen
r
ddsendrr
dVV
R
R
85
VI. Integración de los Campos Vectoriales
1. Integrales circuitales.
2. Integrales curvilíneas planas.
3. Integrales curvilíneas en el espacio.
4. Integrales independientes del camino.
5. Campo de fuerzas, Trabajo.
6. Teorema de la divergencia.
7. Teorema de Green.
8. Teorema de Stokes
86
1. Integrales circuitales.
Observación.- Sabemos que la integral    1.... 
b
a
b
a
dxxfydxA representa el
área de la curva  xfy  , el eje X0 y las dos ordenadas ax  y bx  .
La expresión  1 puede usarse para calcular las áreas de tipo más complicadas.
Ejemplo: el área entre la parábola xy 2
y la parábola semicúbica 32
xy  es:
  
1
0
1
0
1
0
3
1
0 sP
ydxydxdxxdxxA
Donde los índices P y S en el segundo miembro indican que las integrales se
deben calcular para las curvas P y S , respectivamente. Puesto que el
intercambio de los límites hace cambiar el signo de la integral, se puede poner:
   
1
0
0
1
1
0
0
1 SPSP
ydxydxydxydxA
Cuando se considera el área en la región interior de una curva cerrada, es
conveniente disponer los límites de las diferentes integrales de tal modo que la
curva sea recurrida en un sentido determinado. Si alguien recorre P de 0 a 1,
regresa por S de 1 a 0; la curva cerrada ha sido descrita en sentido uniforme, ya
que el área A permanece constantemente a la derecha avanzando por S de 0 a 1
87
y regresando por P de 1 a 0, la curva cerrada se describe en sentido opuesto al
anterior y el área permanece siempre a la izquierda del observador. Para ser
consecuentes este último es el que se considera positivo para el área A:
 



  ydxydxydxA
PS
0
1
1
0
Y donde el símbolo  llamado integral circuital o integral cerrada, indica que debe
calcularse la integral dada a lo largo de la curva cerrada recorriéndola en el
sentido positivo.
En la misma forma, si se considera el área RQP ,, limitada por tres curvas cuyas
ecuaciones sean conocidas, tendremos:
 2......321
321

 




 

ydxydxydxydxA
ydxydxydxydxA
Q
R
R
P
P
Q
Q
P
Q
R
R
P
b
a
La formula  2 puede aplicarse al caso elemental dado en la siguiente figura:
88
Aquí el circuito consiste del contorno ABCDA, esto es,
   
B
A
A
D
D
C
C
B
ydxydxydxydxydx
La primera integral se anula porque 0y en la primera parte del contorno, y lo
mismo sucede con la segunda y la cuarta debido a que siendo x constante 0dx
luego:
  
C
D
D
C
ydxydxydx
Consideraciones semejantes pueden hacerse para obtener la integral circuital:
  3.........xdyA
De  2 y  3 se obtiene:
     4.........
2
1
2
1
dydx
yx
ydxxdyA
Una formula fundamental para el cálculo de áreas planas.
La forma vectorial de  4 se puede obtener de:
   
 
 





5...........
2
1
2
ˆ
ˆ
ˆ
0,,,,,
rdrA
dydx
yxK
AKA
ydxxdyKrdr
dydxrdzyxr




El vector unitario Kˆ indica únicamente que el área está en el plano xy y que el
vector A

es perpendicular a dicho plano
89
Fig. g1 Fig. g2
Hemos deducido la fórmula  4 para un área simple cuyo contorno es cortado por
una recta, paralela a los ejes de coordenadas, solamente en dos puntos, no
obstante puede hacerse extensiva a contornos más complicados haciendo uso de
subregiones apropiadas, las cuales se reducen al caso anterior. Esto es, si
tenemos el área  1.gFigQRSP , basta unir P con R por medio de una curva
simple cualquiera, puesto que:
       RPPQRRSPPRPQRPPRSP
Anulándose los valores de las integrales tomadas sobre PR por recorrerse en
sentidos opuestos.
Para un contorno que contenga huecos o cavidades  2.gFig trazándose PR y
QS el área A se obtiene haciendo el recorrido en el sentido indicado por las
flechas.
90
Una región A en la cual puede trazarse una curva cerrada talque la deformarse
paulatinamente se reduzca a un punto sin cruzar el contorno o recinto, se dice que
es una región simplemente conectada. Así las regiones limitadas por una
circunferencia, un rectángulo o una elipse son simplemente conectadas. Las
regiones que no tienen esta propiedad se llaman múltiplemente conectadas. Por
ejemplo, la región  2.gFigA es múltiplemente conectada, porque si se traza una
circunferencia dentro de A encerrando a 1C no se puede reducirse a un punto por
deformación paulatina ni cortar a 1C .
91
2. Integrales Curvilíneas planas.
La expresión  4 es un caso particular de un caso mucho más general de ciertas
integrales llamadas integrales de línea a integrales curvilíneas y cuya definición es
la siguiente:
Consideramos una función de dos variables  yxP , definida y continua para una
cierta región del plano xy , tomemos en esta región una curva C extendiéndose
desde el punto  baA , hasta el punto  dcB , . La integral curvilínea de  yxP , a lo
largo de C es
    
 
 1.......,,
,
, 
C
dc
ba
dxyxPdxyxP
El valor de esta integral depende no sólo de los límites, sino también de la curva
C y que toma el nombre de camino, contorno o trayecto.
Cuando la ecuación de C está dada por  xfy  la formula se reduce a la integral
  
C
a
dxxfxP , ó si la curva está dada por las ecuaciones  tfx  y  tgy  la
ecuación  1 tendrá la forma:  
2
1
t
t
dttF como ya conocíamos.
92
Generalmente las integrales curvilíneas se representan en la forma:
      2........,, 
C
dyyxQdxyxP
Y para el caso en que C sea una curva cerrada la integral se convierte en la
integral circuital:
      3........,,  dyyxQdxyxP
Ejemplo: Encontrar el valor de   
 
 
4,2
0,0
2
32 xydydxy sobre xyC 2: 
Solución.- rediciendo la integral a la variable x :
         
 
3
32
8
3
4
3
12
3
8
12822322
2
0
33
2
0
22
2
0
2







  
xx
dxxdxxdxxxdxxQdyPdx
C
Ejemplo: Encontrar el valor de la integral circuital    dyxdxy 22
a lo largo del
triángulo cuyos vértices son      0,1,1,0,0,1 y
Solución.
93
Las ecuaciones de los lados del triángulo son:
0,0
,1
,1



dyy
dxdyXy
dxdyXy
Empezando el circuito en el punto  0,1 , tenemos:
         
     
     
   3
2
111
3
2
1
3
2
21221
2121
011
2
1
0
2
0
1
23
0
1
1
0
2
0
1
1
0
2222
1
1
1
0
220
1
2222




















 
 
 
xxxxxdxxdxxx
dxxxxdxxxx
dxdxxdxxdyxdxxdyxdxy
Ejemplo: Determinar el valor de    
 
 
0,2
2,0
22
xdydxyx a lo largo de una
circunferencia con centro en  0,0 .
Solución. Como la curva debe pasar por los puntos  2,0 y  0,2 y la circunferencia
tendrá por ecuación:
422
 yx
94
   
 
      






















































 
3
8
3
2416
22
4
8
3
16
1
2
4
24
3
82
22
4
2
4
4
3
2
4
4
4
4
1
2
0
1
2
3
0,2
2,0
2
0 2
2
2222
2
2
sen
x
sen
xx
xx
dx
x
x
xxxdydxyx
dy
x
x
dy
xy
95
3. Integrales curvilíneas en el espacio.
Definición.- Para la curva C en el espacio y  zyxP ,,  zyxQ ,,  zyxR ,, la
integral curvilínea es:
       
C
dzzyxRdyzyxQdxzyxP ,,,,,,
Si  zyxr ,,

es un vector sobre C sea S la longitud de arco desde A hasta X ,
el vector
ds
rd
T

 es un vector tangente ha C apuntando en el sentido creciente de
S para un campo vectorial  zyxF ,,

definido sobre la curva C talque:
        kzyxRjzyxQizyxPzyxF ˆ,,ˆ,,ˆ,,,, 

Obsérvese que rdds

 se define la proyección ortogonal de F

sobre T

cómo
TFFT

 y la integral curvilínea de F

sobre C se define   
C C
T dsTFdsF

si
despejamos:
 dzdydxdsTrd ,,

Por lo que
   
CC
r
r
RdzQdyPdxrdFdsTF
f
O



Se puede considerar también integrales curvilíneas sobre C con integrados
vectoriales definidos como:
  


















C CCC
kRdsjQdsiPdsdsF ˆˆˆ

96
        






C C CCC
QdxPdyPdzRdxRdyQdzrdFdsTF ,,

Ejemplo: Encontrar el valor de la integral curvilínea C
Uds siendo 32
yxU  a lo
largo de la recta xy 2 desde el origen hasta el punto  4,2 .
Solución.
      
C C
rdyxdsyxUds
2
0
3232
8

En este caso
 
 
      
   









C
x
x
dxxxUds
dxdxdxdxrd
y
dxdxrd
xxr
5
3
104
52
3
58
5412
2,
2,
2
0
4
3
2
0
32
222


Ejemplo: Si   xxzyF ,,
2


encontrar el valor de la integral  
C
rdF

a lo largo de
la recta xy 2 desde el origen hasta el punto  4,2
Solución.
   
CC C
xdzdyxzydxRdzQdyPdxrdF
2
Como
0,2,
0,2


dzdxdydxdx
zxy
97
 
3
28
.3
2
22
2
0
32
2
0
2






   xxdxxxdxrdF
C

Ejemplo: Calcular el valor de la integral  
C
rdF

desde A hasta B
Cuando  22
,, xzayzxaF 

y C es la intersección del cilindro 222
ayx  y en el
plano azx 
Solución.
    dzxzayzdydxaxrdzQdyPdxdzdydxRQPrdF 22
,,,, 

Para la curva C tenemos:
 
dxdz
xaz
y
xdxydy
xdxxadydydy
xay





22 222
222
Los puntos son  0,0,aA y  aaB ,,0
       
 
 



0
4
322222
0 22
4
2
a
C
a
a
dxxdxaxxdxadxaxxdxadxax
dxxaxxdxxaadxaxrdF

98
4. Integrales Independientes del camino.
La integral curvilínea   
C
r
r
rdFrdF
2
1



en general, depende de la curva sobre la
cual es calculada. Pero si el integrando es una diferencial exacta es decir;
k
z
U
j
y
U
i
x
U
uF ˆˆˆ










en la que  zyxU ,, es una función uniforme y
continua, y: por lo que la integral se convierte en      
C
r
r
rUrUdUrdF
2
1
12



que
depende únicamente de los puntos extremos.
Si la trayectoria es cerrada, la integral circuital 0  rdF

y recíprocamente, si la
integral circuital   rdF

es nula F

proviene de un gradiente.
99
5. Campo de Fuerzas. Trabajo.
Si F

representa una fuerza, el vector asociado con cada punto de una región R ,
decimos que tenemos un campo vectorial de fuerzas.
Cuando F

es la fuerza ejercida sobre una partícula de masa m, el trabajo W ,
efectuado por el campo sobre la partícula cuando esta se mueve de Po a Pf
sobre la curva  trr

 , se define por la integral curvilínea:
  
f
O
f
O
t
t
C
t
t
dtVFdt
dt
rd
FrdFW

La unidad de trabajo en el sistema MKS recibe el nombre de Joule.
ergcmdinasmNewtonJoule 75
1010010111 
En general, el trabajo depende de la trayectoria, pero si F

es el gradiente de una
función escalar, el trabajo es independiente del camino seguido: VF 

donde
 zyxV ,, es la función potencial.
Así      1.......
0
fo
C
r
r
rVrVdVrdFW
f  
    Por la segunda Ley de Newton
VmF 
 Multiplicando por V
     2222
2
1
2
1
2
1

dt
d
mVzVyVx
dt
d
mVV
dt
d
mVVmFV 

Sustituyendo en la definición de trabajo
100
     2.......
2
1
2
1
2
1
2
1 2222
  
f
O
f
O
t
t
Of
C
t
t
mVmVVmddtV
dt
d
mdtVFW

Al recalcar 2
2
1
mV se llama energía cinética por  1 y  2
   
    CterVmVrVmV
mVmVrVrV
OOff
OffO


22
22
2
1
2
1
2
1
2
1
Que es conocida como la Ley de Conservación de la Energía.
Para el caso en que VF 

decimos que el campo de fuerzas es conservatorio
porque la energía total que es la energía cinética más la energía potencial se
conserva constante.
Sabemos que   0Ggradrot

en nuestro caso   0 UxUxFrot

así que para que un campo sea conservativo basta mostrar que su rotacional es
cero.
Ejemplo: El campo gravitatorio de la tierra.- la tierra atrae a una partícula de masa
m con la fuerza zmgkmggmF  ˆ
donde g

es la aceleración local de la
gravedad y zk ˆ es el vector vertical unidad apuntando hacia arriba. Si una
partícula es lanzada con rapidez inicial OV desde una altura hz  ¿conque
rapidez llegará al suelo?
Solución.
  VmgzF 

101
mgzV  Por conservación de energía
 
ghVV
ghVV
mgmVmghmV
Of
Of
fO
2
2
0
2
1
2
1
2
22
22



Ejemplo: El campo gravitatorio del sol. Una partícula de masa m es atraída por el
sol de masa M con la fuerza
r
r
r
mM
F

 2
 donde r es la distancia de m hasta
el centro del sol,
r
r

es un vector unitario radial y  la constante de gravitación.
Puesto que:








r
Mm
r
r
Mm
F
r
r
r

2


Por lo tanto, el campo gravitatorio del sol tiene la energía total constante:
U
r
Mm
mV 
2
2
1
Ejemplo: Un aerolito de masa m está en reposo cuando 0,  Ur . Si entra al
campo gravitatorio del sol, llegará a la superficie con una rapidez iV tal que rR 
0
2
1 2
1 
r
Mm
mV

102
R
M
V
2
1 
Si M y R denotan la masa y radio de la tierra, la expresión anterior dará la
rapidez 1V con la cual un aerolito entra a la atmosfera. Cerca de la superficie de la
tierra:
2
R
M
g

 Y gRV 21 
Recíprocamente, para que una partícula abandone la tierra, debe ser lanzada con
una rapidez mínima 1V (no considerando la resistencia del aire). A iV se le llama
rapidez de escape.
103
6. Teorema de la Divergencia.
La integral de superficie de una función F

sobre el contorno de una superficie
cerrada, es igual a la integral de la divergencia de F

sobre el volumen limitado por
la superficie.
 
S V
dVFdivdsnF

ˆ
Ejemplo: Calcular la integral de superficie de la función    zxyxxzyxF 223
,,,, 

siendo S el cilindro 222
ayx  limitado por los planos bzz  ,0
Solución
2222
223
53 xxxx
z
zx
y
yx
x
x
z
Fz
y
Fy
x
Fx
FFdiv




















De aquí
 
badza
a
dz
a
x
senaxax
a
xa
x
dxdzxax
dydxdzxdVxdVFdivdsnF
b
a
bb a
S V
b a xa
V
2
0
2
2
0
0
1222
2
322
0 0
222
0 0 0
22
16
5
28
5
84
55
55ˆ
22


















 
    


104
7. Teorema de Green en el plano.
Este teorema establece una relación entre una integral circuital y una doble
integral.
Consideremos una región plana R limitada por una curva cerrada C , talque
cualquier recta paralela a los ejes de coordenadas, corte a la curva en solamente
dos puntos. Si  yxP , es una función definida y continúa para cada punto de R ,
obtendremos:
           


PdxdxyxPdxyxPdxyxPyxPdxdy
y
P b
a
a
b
b
a
2112 ,,,,
En la misma forma si  yxQ , es otra función definida y continua en R :
 


Qdydxdy
x
Q
Por lo que
   










QdxPdxdxdy
Y
p
X
Q
Que es el teorema de Green.
105
Ejemplo: Aplicar el teorema de Green para encontrar el valor de la integral
circuital    ydyydxx2
a lo largo de la curva cerrada formada por xy 2
, xy  ,
entre  0,0 y  1,1
Solución
En este caso
       








1
0
63
1
0
22
2
2
28
1
3
1
0,
,
dyyydydxxydyydxx
x
Q
x
y
P
yQyxP
Ejemplo: Comprobar el resultado calculando la integral circuital directamente
Solución.
A lo largo de la recta xy 
     
1
0
32
4
3
xdxdxxydyydxx
A lo largo de la curva
2
1xY 
106
   






1
0
2
1
2
1
2
5
2
14
11
2
1
dxxxdxxydyydxx
Y la suma da el valor de la integral circuital
28
1
14
11
4
3

107
8. Teorema de Stokes.
La integral circuital de la componente tangencial de un vector, tomada alrededor
de una curva simple C , es igual a la integral de superficie de la componente
normal del mismo vector, tomada sobre cualquier superficie que tiene a C como
periferia.
 


 



S
S
S
sdFrot
dsnF
sdFrdF



ˆ

Notas de calculo vectorial

  • 1.
    Cálculo Vectorial Profe: MiguelMolina Rivera Profesor del Área de Física de Preparatoria Agrícola de la UACh. Las presentes notas son una de las herramientas básicas para el estudio, análisis y aplicación del cálculo vectorial en el mundo de la Física.
  • 2.
    CONTENIDO Pág. I. La Geometríadel Espacio Euclidiano 1. Vectores en el Espacio Tridimensional. 2. El Producto Interno. 3. El Producto Cruz. 4. Coordenadas Esféricas y Cilíndricas. 5. Espacio Euclidiano n-Dimensional 5.1 Funciones de más de una variable. 5.2 Límites de funciones de más de una variable. 5.3 Continuidad de funciones de más de una variable. 4 5 9 16 18 23 23 26 32 II. Diferenciación 1. Diferenciación Parcial. 2. Diferenciación Total. 3. Diferenciaciones Exactas. 4. Regla de la Cadena. 5. Gradiente y Derivada Direccional. 6. Multiplicadores de Lagrange. 34 35 37 39 42 44 46 III. Funciones con Valores Vectoriales 1. Trayectorias y Velocidad. 2. Longitud de Arco. 3. Campos Vectoriales. 4. Divergencia y rotacional de un campo vectorial. 50 51 53 55 57 IV. Derivadas de Orden Superior; Máximos y Mínimos 1. Teorema de Taylor. 2. Extremos de Funciones con valores reales. 3. Teorema de la función implícita. 4. Aplicaciones. 60 61 64 65 65
  • 3.
    CONTENIDO Pág. V. Integrales Dobles 1.Integral doble. 2. Integrales iteradas. 3. Evaluación de integrales dobles. 4. Centro de masa y momentos. 5. Integrales dobles en coordenadas polares. 6. Área de superficies. 7. Integral triple 8. Integrales triples en otros sistemas de coordenadas. a) Coordenadas cilíndricas. b) Coordenadas esféricas. 66 67 68 70 73 76 78 80 82 82 83 VI. Integración de los Campos Vectoriales 1. Integrales circuitales. 2. Integrales curvilíneas planas. 3. Integrales curvilíneas en el espacio. 4. Integrales independientes del camino. 5. Campo de fuerzas, Trabajo. 6. Teorema de la divergencia. 7. Teorema de Green. 8. Teorema de Stokes. 85 86 91 95 98 99 103 104 107
  • 4.
    4 I. La Geometríadel Espacio Euclidiano 1. Vectores en el Espacio Tridimensional. 2. El Producto Interno. 3. El Producto Cruz. 4. Coordenadas Esféricas y Cilíndricas. 5. Espacio Euclidiano n-Dimensional 5.1 Funciones de más de una variable. 5.2 Límites de funciones de más de una variable. 5.3 Continuidad de funciones de más de una variable.
  • 5.
    5 1. Vectores enel espacio tridimensional. Representación Gráfica R2 R3 Vector a y b Representación Múltiple Vectores Unitarios i y j Vectores unitarios i, j y k
  • 6.
    6 Suma de vectores Restade Vectores Vector  7,6,3ˆ7ˆ6ˆ3  kjia 
  • 7.
    7 Representación algebraica      n n Renxxxxc Renzyxb Renyxa ,.....,,, ,, , 321 3 2       O también nnaxaxaxaxc kzjyixb jyixa ˆ......ˆˆˆ ˆˆˆ ˆˆ 332211       Propiedades a)      zyxzyx ,,,,   b)       zyxzyxzyx ,,,,,,   c)         111321 ,,,,,,,, zyxzyxxxxzyx   d)    0,0,00,0,0  e)    0,0,0,,0 zyx f)    zyxzyx ,,,,1  En donde R,,,     zyxzyx  ,,,,  y      zcbyaxcbazyx  ,,,,,,
  • 8.
    8 Ejemplos:       24,12,06,3,04 30,21,1210,7,43              4,10,15,2,31,8,4 10,2,108,2,72,0,3   Problema: Obtenga la ecuación de la recta que pasa por iˆ3 y es paralela al eje Y Solución:     jtijtibr ib jtir ˆˆ3ˆˆ3 ˆ3 ˆˆ3      
  • 9.
    9 2. Producto puntoo producto interno. Teorema.- si A  es el vector  21,aa 2 2 2 1 aaA   Demostración: A es la magnitud de la longitud de A  , por construcción esta es la distancia del punto  0,0 al punto  21,aa . Por la fórmula para la distancia entre dos puntos     2 2 2 1 2 2 2 1 00 aaaaA  Observación.- El teorema anterior indica que para 3 dimensiones si:   2 3 2 2 2 1321 ,, aaaAaaaA   Ejemplo: Encontrar la magnitud de A  para  3,4A  Solución: Por la formula 525 91634 22 2 2 2 1    A A aaA    Ejemplo: Obtenga A  para  2,4,7 A  Solución: Por la formula   31.869 41649247 222 2 3 2 2 2 1    A A aaaA   
  • 10.
    10 Observación: Sea 21,aaA   y  la medida en radianes del ángulo que da la dirección de A  Entonces  ji ji senAA senAAA ˆˆ ˆˆ cos cos       Demostración:  senAaAa A a sen A a    21 21 ,cos,cos
  • 11.
    11 Ejemplo: Exprese alvector  2,5 A  en la forma anterior. Solución:   29 2 29 5 cos 29425 2,5 2 1       A a sen A a A A              jiA ˆ 29 2ˆ 29 5 29  Teorema.- Si el vector no es cero j A a i A a A esAunitariovectoreljaiaA ˆˆˆ ˆˆˆ 21 21     Demostración: 1ˆ ˆ ˆ 2 2 2 1 2 2 2 2 2 1     A A A A aa A A a A a A    
  • 12.
    12 Y como   A A A aa A A    1ˆ , 1ˆ 21   Como A  1 espositivo entonces Aˆ tiene la misma dirección que A  y su magnitud es 1. Observación: para  321 ,, bbbB   se tiene k B b j B b i B b B ˆˆˆˆ 321   Ejemplo: con  1,5,4B  y  2,9,3D  , encontrar el vector unitario que tiene la misma dirección que DB   . Solución           kjiDB DB DB DB ˆ 66 1ˆ 66 4ˆ 66 7 66 11649147 1,4,72,9,31,5,4 222         Definición: Si  21,aaA   y  21,bbB   son dos vectores, se define el producto punto de A  y B  esta dado por:
  • 13.
    13    22112121 ,, bababbaaBA   Y para R3     332211321321 ,,,, babababbbaaaBA   Ejemplo: Encontrar ML   para  3,2 L  y  8,7M  Solución.           102414 83728,73,2   ML ML   Observación: Se puede obtener que 1ˆˆ 1ˆˆ 1ˆˆ    kk jj ii Y 0ˆˆˆˆ 0ˆˆˆˆ 0ˆˆˆˆ    ikki jkkj ijji Teorema.- Si  es la medida en radianes del ángulo entre los vectores A  y B  diferentes de O  , entonces cosBABA   Demostración.
  • 14.
    14 Ejemplo: Dados 2,3 A  y  1,2B  encontrar el ángulo entre los vectores. Solución. cosBABA   Como 514 1349   B A   Y   cos5134 42,6  BA    67".27´15º604961.0cos 4961.0 65 4 cos 1      Demostración.- Como BA  , y BA   forman un triángulo entonces por la ley de los cosenos cos2 222 BABABA   Pero      2 2 2 1 2 2 2 2 1 2 22 2 2 2 211 2 1 2 1 2 22 2 11 2 22 bbB aaA babababababaBA      
  • 15.
    15      cos cos22 cos222 2211 2 2 2 1 2 2 2 122 2 2 2 211 2 1 2 1 BABA BAbaba BAbbaababababa ndosimplifica        Definición: Dosvectores no cero se dice que son paralelos si y sólo si el ángulo entre ellos es 0 ó  radianes. Definición: Dos vectores no cero se dice que son ortogonales o perpendiculares si y sólo si el ángulo entre ellos es 90º ó 2  radianes. Teorema.- Dos vectores no cero A  y B  son ortogonales si y sólo si 0BA  Demostración. º90 0cos 0 cos0 0 0cos cos 0cos º90                ByA BABA BAsi BABA BABA     
  • 16.
    16 3. Producto Vectorial Definición:El producto vectorial de dos vectores a  y b  es el vector nsenbaba ˆ   en donde  es el ángulo entre los vectores tal que  0 y nˆ es un vector unitario perpendicular al plano de a  y b  , con sentido dado por la regla de la mano derecha. Observación: Cuando el ángulo entre dos vectores no nulos es 0º, o bien rad  , entonces 0sen , y de esta manera 0  ba Definición: Una forma general de obtener ba   con  321 ,, aaaa   y  321 ,, bbbb   es por medio de el siguiente desarrollo.       kbabajbabaibababa k bb aa j bb aa i bb aa bbb aaa kji ba ˆˆˆ ˆˆˆ ˆˆˆ 122113312332 21 21 31 31 32 32 321 321     Ejemplo: Obtenga ba   si kjia ˆ5ˆ2ˆ4   y kjib ˆˆˆ3   kjiba kji kji ba ˆ10ˆ19ˆ3 ˆ 13 24ˆ 13 54ˆ 11 52 113 524 ˆˆˆ            
  • 17.
    17 Observación: abba   Observación: siia ˆ  y jb ˆ  por la definición nnsenjiji ˆˆ 2 ˆˆˆˆ         Pero como kˆ es un vector perpendicular al plano que contiene a iˆ y jˆ con la dirección indicada por la regla de la mano derecha y entonces: kji ˆˆˆ  Análogamente podemos obtener: jik ikj kji ˆˆˆ ˆˆˆ ˆˆˆ    jki ijk kij ˆˆˆ ˆˆˆ ˆˆˆ    Productos especiales.- podemos demostrar que          baccabcba cbacba    
  • 18.
    18 4. Coordenadas Cilíndricasy Esféricas Coordenadas Cartesianas Coordenadas Polares   senrYo rXo   cos Xo Yo YoXor 1 22 tan    Relación entre los dos tipos de coordenadas Ejemplo: Localizar los siguientes puntos    4 3,3, 4 ,2, 6 ,4   Solución
  • 19.
    19 Ejemplo: convierta 6 ,2  de coordenadas polares a rectangulares. Solución.    1,3 6 ,2 1 2 1 2 6 2 3 2 3 2 6 cos2 6 ,2                       senr X r Ejemplo: Convertir  1,1 de coordenadas rectangulares a polares. Solución       º50 1tan 1 1 tantan 211 111 2222              Xo Yo YoXor
  • 20.
    20 Coordenadas cilíndricas yesféricas. ZZ X Y YXr    1 22 tan ZZ senrY rX     cos  Zr ,20,0  Coordenadas cilíndricas Ejemplo: transforma las coordenadas cartesianas  2,7,4 a coordenadas cilíndricas. Solución.        2,7,42,"18´15º60,06.8 2 "18´15º60 4 7 tan 06.8 65491674 2,7,4,, 1 22         Z r r zr   
  • 21.
  • 22.
    22 Ejemplo: Transforme lascoordenadas cartesianas  8,3,5  a coordenadas esféricas.       9.99864925835 8,3,5,, 222   r r       8,3,530,"15´536,9.9 30 5 3 tan "15´536 8 34 tan 8 925 tan 8 35 tan 1 1 1 22 1                    
  • 23.
    23 5. Espacio Euclidianon - Dimensional. 5.1 Funciones de más de una variable. Observación: Así como denotamos un punto en R´ por el punto X, con un punto en R2 por una pareja ordenada de números reales  YX, y un punto en R3 por una tripleta ordenada de números reales  ZYX ,, , representaremos un punto en el espacio numérico n-dimensional Rn , por una n-ada ordenada de números reales usualmente denotados por  XnXXP ,...,, 21 . Observación: En particular, si 1n , hacemos XP  ; si 1n ,  YXP , ; si 3n ,  ZYXP ,, ; si 6n ,  654321 ,,,,, XXXXXXP  . Definición: El conjunto de todos las n-adas ordenadas de números reales se llama el espacio numérico n-dimensional y se denota por Rn . Cada n-ada ordenada  xnxx ,...,, 21 se llama un punto en el espacio numérico n-dimensional. Definición: Una función de n variable es un conjunto de parejas ordenadas de la forma  wp, en el cual dos parejas diferentes no tienen el mismo primer elemento. p Es un punto en el espacio numérico n-dimensional y w es un número real a la
  • 24.
    24 totalidad de todoslos valores posibles de p se llama el dominio de la función y la totalidad de los posibles valores de w se llama rango de la función. Ejemplo: La función de dos variables X y Y es el conjunto de todas las parejas ordenadas de la forma:   22 25, YXYXf  Encontrar el dominio y rango de f y hacer un dibujo mostrando con un área sombreada en R2 el conjunto de puntos del dominio de f . Solución. El dominio de f será para  YX, tales que 25025 2222  YXYX Que es el conjunto de puntos dentro del círculo. 2522 YX Y el mismo círculo como:       5,025, 22  YXfYXYXf Por lo que el rango de f es el conjunto  5,0 El dibujo es.
  • 25.
    25 Ejemplo: si fes la función definida por:   22 25, YXYXf  Encontrar  4,3 f ,  1,2f Solución.         20142512251,2 01692543254,3 22 22   f f Ejemplo: si g es la función definida por:   252,, yzxzxzyxg  Encontrar  2,4,1 g ,  xzyg ,, Solución.              zxxyyxzxyyxzyg g 2222 22 55,, 27161012421512,4,1  
  • 26.
    26 4.2 Límite deFunciones de más de una variable. En R´ la distancia entre dos puntos es el valor absoluto de la diferencia de dos números reales. Esto es, ax  es la distancia entre los puntos x y a . En R2 la distancia entre dos puntos  YXP , y  YoXoPo , está dada por    22 YoYXoX  . En R3 la distancia entre los puntos  ZYXP ,, y  ZoYoXoPo ,, está dada por      222 ZoZYoYXoX  . Definición.- Si  XnXXP ,....,, 21 y  naaaA ,....,, 21 son dos en Rn , entonces la distancia entre en P y A está dada por:      22 22 2 11 ... nn aXaXaXAP  AP  Se lee como “La distancia entre P y A” Ejemplo: En R2 la bola cerrada   3,2,1B es el conjunto de puntos  YX, en R2 tales que:             222 22 ,, rYoYXoX rYoYXoXYoXoYX  
  • 27.
    27 Es decir, ennuestro caso    921 22  YX que es un circulo de radio 3 con centro en (1, 2) Definición: Si A es un punto en Rn y r un número positivo, entonces la bola abierta  rAB , se define como el conjunto de todos los puntos P en Rn rAP  . Definición: Si A es un punto en Rn y r es un número positivo, entonces la bola cerrada  rAB , se define como el conjunto de todos los puntos P en Rn tales que rAP  Ejemplo: En R´ la bola abierta       ra B 3,2 es el conjunto de todos los puntos X en R´ tales que. 51 323 32    x x xax
  • 28.
    28 Definición: Sea funa función de n variables la cual está dada en alguna bola abierta  rAB , excepto posiblemente en el punto A mismo. Entonces el límite de  Pf cuando P se aproxima a A es L y se escribe:   LPfLím AP  Si para cualquier 0 no importando que tan pequeña, existe una 0 talque    LPf siempre que  AP0 . Observación: Para el caso de una variable es   LXfLím aX  Se escribe    Lxf siempre que  aX0 . Y para el caso de dos variable se dice: Sea f una función de dos variables la cual está definida en algún disco abierto   rXoXoB ,, excepto posiblemente en el punto  YoXo, mismo. Entonces       LYXfLím YoXoYX  ,,, Si para cualquier 0 , no importando que tan pequeño, existe una 0 talque    LYXf , siempre que      22 0 YoYXoX
  • 29.
    29 Ejemplo: Demostrar que      11323,2,  YXLím YX por criterio , Solución: mostramos que para cualquier 0 existe una 0 talque    1132 YX siempre que      22 310 YX por la desigualdad del triángulo. 331293221132  YXYXYX Y como             22 22 313 311 YXY y YXX Por lo que  5323312  YX Con 5 5    se demuestra lo pedido.
  • 30.
    30 Ejemplo: Demostrar que      53 2 2,1,  YXLím YX Solución: mostraremos que para cualquier 0 existe una 0 talque    53 2 Yx Siempre que      22 210 YX Por la desigualdad 211321323353 222  YXXYXYXYX Y como      22 211 YXX Y      22 212 YXX Y entonces         73 63 232113 2122 11 2 2      YXX X XX Haciendo 07373 22  
  • 31.
    31 Entonces     6 12497 32 34497       Para que 0
  • 32.
    32 4.3Continuidad de Funcionesde más de una variable. Definición.- Supongamos que f es una función de n variables y A es un punto de Rn . Entonces se dice que f es continua en el punto A si solo si se satisface. a) Existe  Af b) Existe  PfLím AP c)    AfPfLím AP  Ejemplo.- Sea      0,0, 0 3 , 22 2        YXconYX YX YXf Diga si f es continua en  0,0 Solución.- a)   00,0 f b)           22 2 0,0,0,0, 3 , YX YX LímYXfLím YXYX    Veamos que       0,0,0,  YXfLím YX Es decir que 0 0 talque        22 122 2 00,0,00 3 YXYXquesiempre YX YX Como
  • 33.
    33 222 YXX  y22 YXY  Por lo que     3 1 3 333 333 22 22 22 22 2 22 2         YXY YX YYX YX YX YX YX c) Por a) y b)        0,0,0,0, fYXfLím YX 
  • 34.
    34 II. Diferenciación 1. DiferenciaciónParcial. 2. Diferenciación Total. 3. Diferenciaciones Exactas. 4. Regla de la Cadena. 5. Gradiente y Derivada Direccional. 6. Multiplicadores de LaGrange.
  • 35.
    35 1. Diferenciación Parcial Observación.-Como la derivada de una función de una variable es:     X XfXXf Lím dX dY X     0 Definición.- Si  YXfZ , la derivada parcial con respecto a X es:     X YXfYXXf Lím X Z X       ,, 0 Y la derivada parcial con respecto a Y es:     Y YXfYXXf Lím Y Z X       ,, 0 Observación.- Cuando de evalúa X Z   la variable es X y a Y se le considera una constante. Cuando se evalúa Y Z   la variable es Y y a X se le considera una constante. Ejemplo: Si 144 6323  YXYXZ , determinar X Z   y Y Z   Solución. 53 22 68 812 XYX Y Z y XYX X Z      
  • 36.
    36 Observación.- Para YXfZ ,     fyxxfy YX Z Y Z X y fxyyfx XY Z X Z Y fyZy Y f Y Z y fxZx X f X Z                                       2 2 De manera análoga si:  zyxF ,, , se puede obtener: ..,,, etcFFF YZXZYXXYZ , Observación.- en general XYXYXXXXY ZXYYXZXYZ FFF FFF y fyxfxy    Ejemplo: Si  2105 cos XYYXZ  obtener YXZ Solución.-                   294 2295211522116 2952116 2952105 cos50 1012cos2 cos102 cos102 XYYX XYsenYYXXYsenYXXYYYXZ y XYYXXYsenYXZ XYYXXYsenXYYXZ YX Y Y    
  • 37.
    37 1. Diferencial Total Definición.-Si   Yxf  es una función diferenciable, la derivada es:   dx dy dx df xf ´ Y la diferencial dfdy  es   dxxfdy ´ dx dx df dy  En dos y tres dimensiones la diferencial de  YXfZ , y de  zyxF ,, serán respectivamente: dz z dy y dx x d y dy y z dx x z dz                  O bien           dzzyxfzdyzyxfydxzyxfxd y dyyxfydxyxfxdz ,,,,,, ,,    Ejemplo: Si XYXZ  2 obtenga dZ Solución.- Como XZy YXZx y ZydyZxdxdZ    2
  • 38.
    38   dyXdxYXdZ  2 Ejemplo: ¿Cuál es d si 432 32 ZYX  ? Solución.- dzZdyYXdxd ZYX y dzdydxd ZYX ZYX 32 32 1262 12,6,2      
  • 39.
    39 2. Diferenciales Exactas. Definición.-Se dice que una expresión como     dyyxQdxyxP ,,  es una diferencia exacta si existe una función f talque     dyyxQdxyxPdf ,,  . Teorema: sean P y Q continuas y con primeras derivadas parciales continuas en una región rectangular del plano XY , entonces     dyyxQdxyxP ,,  es una diferencial exacta si y sólo si: X Q Y P      para todo  YX, en la región. Demostración: Si     dyyxQdxyxP ,,  es una diferencial exacta, existe una función f talque:     x Q y P x Q yx f y P xy f Q y f yP x f dy y f dx x f df dyyxQdxyxPdf                                 22 ,, Ahora si x Q y P     
  • 40.
    40 Se quiere encontraruna función f talque. Q y f yP x f       Si hacemos:        X Xo Y Yo dyYXoQdxYoXPyxf ,,, Con  YoXo, un punto fijo de la región, ahora:                    YXP YoXPYXPYoXP YXPYoXP dy X P YoXP dy X Q YoXP dyYXoQdxYoXP xx f Y Yo Y Yo Y Yo X Xo Y Yo , ,,, ,, , , ,,                    Análogamente: Q y f    Ejemplo: Determine si las siguientes expresiones son diferenciales exactas. a)    dyXXYdxYY  222 2 b)  dyxXYdx 12 2  Solución: a) 12,24 2,22 2        Y x Q Y y P XXYQYYP
  • 41.
    41 x Q Y P       No esdiferencial exacta. b) X x Q X y P XQXYP 2,2 1,2 2        x Q Y P       Es diferencial exacta Ejemplo: Resolver     0cos 22  dyYXYdxXYsenxx Solución. X Q XY Y P      2 Ahora bien  xhYXYfYXY x f    2222 2 1 2 1 Pero          XsenYXYyxf Xsen dxxsenxxh senxxxh XYsenxx x f xhXYP x f 2222 2 2 2 2 1 , 2 1 cos cos´ cos ´           
  • 42.
    42 3. Regla dela Cadena. Observación.- Si  ufY  y  xgu  son funciones diferenciables entonces: dx du du dy dx dy  Teorema.- Si  ,ufZ  y  yxgu ,  yxh , , tienen primeras derivadas parciales continuas, entonces: y z y u u z y Z y x z x u u z x Z                                 Caso Especial.- Si  ,ufZ  es diferente y  tgu  y  th son diferenciales, dt dz dt du u z dt dz          Generalizaciones. 1.- Si  nuuufZ ,..., 21 y nuuu ,..., 21 son funciones de kxxx ,..., 21 con n no necesariamente igual a k. kicon x u u z x u u z x u u z x z i n niii                       1 ....2 2 1 1 2. Si  nuuufZ ,..., 21 y las  thu ii  con ni 1 dt du u z dt du u z dt du u z dt dz n n           ....2 2 1 1
  • 43.
    43 Ejemplo: Si 32 uZ y yx eu 32   ,  22 yxsen  , determine x Z   . Solución. Como  ,ufZ  y  yxhu , ,  yxg , ; por regla de la cadena. x z x u u z x z                 Y como         22232 22232 22322 cos64 cos2322 cos2,2,3,2 yxue x z yxxeu x z yxx x e x uz u u z yx yx yx                           
  • 44.
    44 4. Gradiente yDerivada Direccional. Definición.- Si  yxfZ , y  zyxh ,, son funciones diferenciables, el gradiente de Z y  se define como: j y f i x f fgrad fj y i x fgrad ffgrad ˆˆ ˆˆ                    y k z h j y h i x h grad hk z j y i x hgrad hhgrad h ˆˆˆ ˆˆˆ                          Ejemplo: Obtenga  yxf , para   23 5, yxyyxf  Solución.      jyxyiyxf jyxy y iyxy x f j y f i x f f ˆ25ˆ3 ˆ5ˆ5 ˆˆ 322 2323               Ejemplo: Para   322 3,, zxxyzyxF  hallar  4,1,2 F Solución.     kjiF kzjxyixyF k z F j y F i x F F ˆ48ˆ4ˆ134,1,2 ˆ3ˆ2ˆ6 ˆˆˆ 22           
  • 45.
    45 Definición.- La derivadadireccional de  yxfZ , en la dirección de un vector unitario jseniu ˆˆcos    es:     uyxfyxfuD   ,, Ejemplo: Obtenga la derivada direccional de   xyyxyxf 62, 32  en  1,1 en la dirección de un vector unitario cuyo ángulo con el eje x positivo es 6  . Solución.         jxyxiyxyyxf j y f i x f yxf ˆ66ˆ64, ˆˆ, 323        Como     uffuD   1,11,1 y       6 12 6 cos10 ˆ 6 ˆ 6 cosˆ12ˆ101,1 ˆ 6 ˆ 6 cos ˆˆcosˆˆcos ˆ12ˆ101,1     senuD jsenijifuD jseniu jseniujseniu jif               
  • 46.
    46 5. Multiplicadores deLaGrange. Es un método para determinar los llamados extremos con restricciones de una función. Método. 1. Supóngase que se desea encontrar extremos de la función  yxfZ , con la restricción dada por   0, yxg 2. Como f y g son respectivamente a las curvas   Cyxf , y   0, yxg , entonces para cumplir las restricciones f y g deben ser paralelas es decir gf   para R           0, ,, ,,    yxg yxgyxfy yxgyxfx y x   A  se le llama multiplicador de LaGrange.
  • 47.
    47 Ejemplo: Aplicar elmétodo de los multiplicadores de LaGrange para determinar el máximo de   22 9, yxyxf  sujeta a 3 yx Solución.   2 3 2 3 032 03 22 03 2 2 11 30, 2 2              xy y y yy yx xx yxy Y x gyygx yxyxg yfy xfx   Luego el máximo con restricciones es   2 9 2 3 2 3 9 2 3 , 2 3 , 22                    fyxf
  • 48.
    48 Ejemplo: Un cilindrorecto tiene un volumen de 3 1000 lt . La tapa y la base del cilindro se hacen de un metal que cuesta 2 dólares por diámetro cuadrado. La cara lateral se cubre con un metal que cuesta 2.5 dólares por diámetro cuadrado: calcule el costo de la construcción mínimo. Solución. La función de costo es:         hrrhrC hrrhrC     54, 25.22, 2 2 Restricción:        3............................01000 2..................................5 1............258 ,5 2,58 1000,1000 2 2 2 22       hr rr hrhr rghrCh hrgrhrCr hrhrghr       Con r1 y h22 y restando   058 058 2   hrr hrr   Si 0r no da cilindro alguno debemos tener
  • 49.
  • 50.
    50 I. Funciones conValores Vectoriales 1. Trayectorias y Velocidad. 2. Longitud de Arco. 3. Campos Vectoriales. 4. Divergencia y rotacional de un campo vectorial.
  • 51.
    51 1. Trayectoria yVelocidad Ejemplo: Grafique la siguiente función 2 RR  con       2,0,,cos  tsenttt Solución. Como 1cos 2222  tsentyX Definición.- Sea 3 : RR  una trayectoria. El vector velocidad esta dado por    ttV   en donde una trayectoria en n R es una función.         txtxtRba n n ,...,,: 1   Y la rapidez es la longitud del vector  t .  tV ´ Además la aceleración es      ttVta ´´   Ejemplo: Obtenga la velocidad, rapidez y aceleración para las trayectorias: a)  tsentttS ,,cos:  b)          t r senrt r rtr O O O O  ,cos  Solución.
  • 52.
    52 a)           0,,cos ´ 2 1cos 1,cos, 22 sentta tVta V ttsentV tsenttV         b)                             t r sen r t rr ta tVta tV t r t r sentV OO OO       22 ,cos ´ cos,   
  • 53.
    53 2. Longitud deArco Definición.-   n Rba ,: una trayectoria. La longitud es                              b a b a b a dttztytx Reny dttytx esRen dtt 222 3 22 2 ´´´ ´´ ´       Ejemplo: Encuentre la longitud de arco de las curvas: a)      20,cos  tsenttrt b)      405,2cos2,22´  tttsent Solución. a)              2 0 2 0 2222 2 cos ,cos rdtr dttrsenr senttrt  
  • 54.
  • 55.
    55 3. Campos vectoriales. a)Campo Vectorial.- Un campo vectorial en n R es una función nn RRCAF :  que asigna a cada punto AX  un vector  xF  b) Ejemplo: La fuerza de atracción de la tierra sobre una masa m puede describirse mediante un campo vectorial en 3 R . De acuerdo con la ley de Newton, este campo está dado por: r r mM GF  3  Ejemplo: De acuerdo con la ley de Coulomb, la fuerza que actúa sobre unas carga q en la posición r  debida a una carga Q en el origen, es. r r qQ kF  3  Si 0qQ la fuerza es repulsiva y para 0qQ la fuerza es atractiva.
  • 56.
    56 c) Línea deFlujo.- Una línea de flujo para un campo vectorial F  es una trayectoria  t talque     tFt    Observación.- Geométricamente una líneas de flujo es una curva cuyo vector tangente a ellas es un punto oX  coincida con el campo vectorial. Observación.- Analíticamente el problema de hallar una línea de flujo que pase por oX  en el tiempo 0t significa (implica) resolver la ecuación diferencial     tFt   ´ con la condición inicial oX  ; esto es   oX  0 , es decir para 3 R se deben de resolver:                                    ZoYoXoZYX tZtYtXFtZ tZtYtXFtY tZtYtXFtX ,,0,0,0 ,,´ ,,´ ,,´ 3 2 1    
  • 57.
    57 4. Divergencia yrotacional de un campo vectorial. a) Rotacional Definición.- El rotacional de un campo vectorial F  en 3 R se define como: k y F x F j zx F z F i z F y F FFF zyx kji FFrot ˆˆˆ ˆˆˆ 123121 321                                           En donde como antes kFjFiFF y k z j y i x ˆˆˆ ˆˆˆ 321            b) Rotacional del gradiente 0 Teorema.- Para cualquier función f , el rotacional de un gradiente es igual a cero. Demostración: Como   0 ˆˆˆ ˆˆˆ ˆˆˆ 222222                                                           k xy f yx f j zx f xz f i yz f zy f y f y f x f zyx kji fgradrot k z f j y f i x f ffgrad
  • 58.
    58 c) Ejemplo. SijXiYV ˆˆ    con R obtenga Vrot  Solución. k XY zyx kji Vrot ˆ2 0 ˆˆˆ             Ejemplo: Sea jXiYL ˆˆ   muestre que L  no es un campo gradiente, es decir que 0L  Solución. 0ˆ2 0 ˆˆˆ          k XY zyx kji Lrot  d) Divergencia. Definición.- La divergencia de un campo vectorial F  en 3 R se define como:   z F y F x F Fdiv kFjFiFk z j y i x Fdiv FFdiv                          321 321 ˆˆˆˆˆˆ    e) Divergencia del Rotacional 0 Teorema.- Para cualquier campo vectorial F  de clase 2 C la divergencia de su rotacional es igual a cero.
  • 59.
    59 Demostración.                                           y F x F zx F z F yz F x F x Frotdiv123123  Haciendo la correspondiente eliminación de términos nos queda:   0Frotdiv  f) Ejemplo: Obtenga la divergencia de kXYZjZiYXF ˆˆˆ2   Solución.       XYXYXYFdiv XYZ z Z y YX x Fdiv 302 2             g) Laplaciano.- Para funciones f , el Laplaciano se define como:   2 2 2 2 2 2 2 z f y f x f ff          Y para un campo vectorial F  se define: kFjFiFF ˆˆˆ 3 2 2 2 1 22  
  • 60.
    60 V. Derivadas deOrden Superior; Máximos y Mínimos 1. Teorema de Taylor. 2. Extremos de Funciones con valores reales. 3. Teorema de la función implícita. 4. Aplicaciones.
  • 61.
    61 1. Teorema deTaylor a) En una dimensión. Observación.- Para funciones de una variable se tiene:               axRax K af ax af axafafxf k K k  ! ... !2 ´´ ´ 1 2 Con a constante. b) Error de orden k Observación.- Se llama error de orden K a           x a K K K dttf K tx axR 1 ! Lo que significa que     0   K K ax axR Cuando ax  Ejemplo. Desarrollar   x exf  alrededor de 0X Solución.                              0 32 32 0 0 0 0 ! ... !3!2 1 ....0 !3 1 0 !2 1 011 1´´´´ 1´´ 1´ 1 0 K K x K x xx xxf xxxexf eaf eaf eaf eaf a
  • 62.
    62 c) De primerorden. Teorema.- Sea RRUf n : , diferenciable en UoX   ,        oXhRoX xi f hioXfhoXf n i  ,1 1      Donde   0 ,1  h oXhR   Cuando 0 n Rh  d) De segundo orden. Teorema.- Sea RRUf n : con derivadas parciales continúas                   n ji n i oXhRoX xjxi f hjhioX xi f hioXfhoXf 1, 2 2 1 , 2 1  Donde   0 , 2 2  h oXhR   Cuando 0  h Ejemplo: Desarrolle la serie de Taylor de segundo orden para    yxsenyxf 2,  alrededor del punto  0,0oX  Solución.            ohRhhhhfhf yx f y f x f y f x f f  ,2, 0,0,0,20.20cos2,10.20cos 00,0 22121 2 2 2 2 2                  Donde
  • 63.
    63   0 , 2 2  h ohR   Cuando0  h Ejemplo: Calcular la formula de Taylor de segundo orden para   yeyxf x cos,  alrededor de    0,0, YooX  Solución.                ohRhhhhhfhf yx f y f x f y f x f f  , 2 1 2 1 1, 00,0,10,0,10,0,0,10,0 10,0 2 2 2 2 1121 2 2 2 2 2                  Donde   0 , 2 2  h ohR   Cuando  0,0h 
  • 64.
    64 2. Extremos deFunciones con Valores Reales. Definición.- Si RRUf n : es una función escalar dada, un punto UoX   se llama mínimo local de f si existe una bola de oX  tal que para todos los puntos X  de la bola,    oxfxf   de manera análoga UoX   es un máximo local si existe una vecindad V de oX  talque    oxfxf   para todo X  de la bola. El punto UoX   es un extremo local o relativo, si es mínimo local o máximo local. Un punto oX  es un punto crítico de f sí   0oXDf  . Un punto crítico que no es un extremo local se llama punto silla. Teorema.- Si n RU  y RRUf n : es diferenciable y UoX   es un extremo local,   0 oXDf  Ejemplo: Hallar los máximos y mínimos de la función RRf 2 : con   22 , yxyx  Solución.     02,02 0,,0,              y y f x x f yx y f yx x f  El punto crítico es  0,0 Y como     00,0,  fyxf el punto es un mínimo relativo.
  • 65.
    65 3. Teorema dela Función Implícita. Teorema.- Suponer que RRF n 1 : tiene derivadas parciales continúas. Si   1 ,   n RoZoX  con n RoX   satisface:   0, oZoXF  y   0,    oZoX Z F  entonces existe una función  XgZ   talque: ni Z Fxi F xi g ,...,1, 1          Ejemplo: Considere la ecuación   01, 22  ZXZXF en este caso 1n muestre que se satisface el teorema. Solución.     22 2 2 112 2 1 01 02 x x x x x g xxgz y zsixxgz y z z F              Como 2 12 2 2,2 x x z x z x z F x F z z F x x F             
  • 66.
    66 V. Integrales Dobles 1.Integral doble. 2. Integrales iteradas. 3. Evaluación de integrales dobles. 4. Centro de masa y momentos. 5. Integrales dobles en coordenadas polares. 6. Área de superficies. 7. Integral triple 8. Integrales triples en otros sistemas de coordenadas. a) Coordenadas cilíndricas. b) Coordenadas esféricas.
  • 67.
    67 1. Integral Doble. Laintegral   R dA Área de la Región y    R dAyxf , Volumen del sólido arriba de la región R y abajo de la superficie  yxfZ , Ejemplo: Evalúe R dA10 para R indicada Solución.      2 60610101010 uAdAdA
  • 68.
    68 2. Integrales Iteradas. Observación.-Si se integra con respecto a X se considera a Y fija, y si se integra a Y se considera a X fija. Ejemplo: Evaluar                  3 1 2 2 1 2 46 46 dY Y X XY dY Y X XY Solución.                                                            3 1 22 22 3 1 3 1 222 2 1 2 2 1 1 2 32 16 2446 2 3 18 272346 241446 14224164246 Y YdY Y X XY Y Y Y Y Y X YXdY Y X XY XLnXdY Y X XY XLnXXLnXXLnYXYdY Y X XY Definición.- Si bxa  y    xgyxg 21  se integrara:       dxdyyxf xg xg b a          2 1 , Y para dyc  y    yhxyh 21  se integrará:       dydxyxf yh yh d c          2 1 ,
  • 69.
    69 Ejemplo: Evalúa laintegral de   xyyxf 2,  para la región. Solución.            4 63 4 1 6 1 1 2, 2 1 4 32 2 1 222 2 1 12 2 1 2 1 11 222                    x x dxxxxx dxxydxdyxydxdyyxf x x x x x x Ejemplo: Evaluar   2 98, yxyxf  para la región. Solución.                             199896132713122712 2724213218 3898, 223 1 2 3 1 3 1 33 3 1 1 2 3 3 1 1 2 2            xx dxxdxx dxyxydxdyyxdydxyxf R
  • 70.
    70 3. Evaluación deintegrales dobles Ejemplo: Evaluar la integral doble dydxe R yx  3 en la región. Solución.   64.2771 4 1 2 1 4 1 2 1 4 1 2 1 4789 2 1 425 2 1 2 1 2 1 42553 5 33                eeeeee dyeeedydxedydxe yy yyy y yx y y yx R yx Ejemplo: Evaluar la integral doble dydx R  en la región.      2 2 2 3 2 2 2 2 2 2 2 22 8 3 64 3 2 8 288 2 2 u x x dxxdxxxdydxdydx x x R              
  • 71.
    71 Ejemplo: Determine elvolumen V del sólido del primer octante limitado por los planos coordenados y graficas de 122  yx y yxz  3 Solución.       3 1 0 32 3 221 1 0 222 1 0 1 0 1 0 2 1 0 1 0 1 0 05.4 2 1 2 3 6 1 2 1 1 3 1 1 2 3 3 2 1 2 1 113 2 33, 2 22 uxxxxxxsen dxxxxx dx y xyydxdyyxdxdyyxfV x xx                              Ejemplo: Evaluar    R dAyx en la región limitada por las graficas de 2 yx  y 2 3 2 1  xy
  • 72.
    72 Solución:          93.46 8 9 24 2 8 11 5 2 5 4 8 9 8 5 4 11 2 22 9 1 322 5 1 0 2 5 1 0 9 1 22 3 2 3 9 1 2 3 2 2 1 0 2 1 0 9 1 2 3 2 21                                       xxxxx dxxxxdxx dx y xydx y xy dxdyyxdxdyyx dAyxdAyxdAyx x x x x x x x x RRR Otra solución.     93.46 2 9 2 9 3 4 410 2 9 94 2 2 3 1 23 45 3 1 23 4 3 1 32 2 3 1 32 2 2                              yyy yy dyyyy y dyxy x dydxyxdAyx y y y y R
  • 73.
    73 4. Centro deMasa y momentos. Definición.- Si una región R tiene una densidad superficial (masa por unidad de área)  yx, , su masa es   R dAyxm , y su centro de masa  YXMC ,.  con m My X  , m Mx Y  y   R dAyxxMy ,   R dAyxyMx , . A Mx se le llama momento respecto al eje X y a My se le llama momento respecto al eje Y.             R R R R dAyx dAyxy Yy dAyx dAyxx X , , , ,     Observación.- 2 2 4 cos 4 10cos00 0 2 cos1 2 cos2cos 22       sen sen sen xsenxx
  • 74.
    74 Ejemplo: Ubique elcentro de masa de una figura limitada por las graficas entre 0X y 4  x . La densidad es   Yyx , Solución.               4 0 4 0 4 0 224 0 cos 4 0 cos 2 4 1 2 4 1 2cos 2 1 cos 2 1 2 ,,,,,.      xsenxdx dxxsenxdx Y Ydydx YdydxdAyxm m Mx Y m My XYXMC x senx x senx RR Por otra parte   16 2 2cos 8 1 2 4 1 2cos 2 1 2 1 , 4 0 4 0 4 0 cos 4 0 cos 2                    xxxsensdxx dxyxydxdyxydxdydAyxxMy x senx x senxRR Análogamente      R x senx x senx R dxydydxydydxydAyMx 4 0 cos 4 0 cos 3222 3 1 
  • 75.
    75        68.0,29.0. 68.0 9 8210 4 1 8 425 29.0 4 2 4 1 16 2 8 425 cos 3 1 cos 3 1 3 1 cos11cos 3 1 cos 3 1 4 0 33 4 0 4 0 2233                       MC m Mx X m My X xxxsensenx dxxsenxxsenxdxxsenx     
  • 76.
    76 5. Integrales doblesen coordenadas polares. Observación.- Si R es la región limitada por las gráficas de las ecuaciones polares  1gr  ,  2gr  y los rayos a y b Entonces           R b a g g ddrrrfdArf    2 1 ,, Y para una región R de la forma: Se tiene           R b a h h drdrrfdArf    2 1 ,, Ejemplo: Obtener la masa de una superficie limitada por el pétalo de rosa 22senr  en el primer cuadrante; la densidad es   rr  , Solución.
  • 77.
    77 La gráfica seobtiene variando  de 2 0  a así que:       mdu dsen dsend r drdrrdArm sen R sen .. 9 16 2cos 6 1 2cos 2 1 8 3 22cos1 8 3 2 8 3 3 , 2 0 2 0 32 2 0 2 0 3 22 0 3 2 0 22 0 0                       
  • 78.
    78 6. Área deSuperficies El área de la superficie sobre R está dada por:      R dAfyfxA 22 1 Ejemplo: Halle el área de superficie de la porción de la esfera 2222 azyx  que está arriba del plano xy y dentro del cilindro 222 byx  , ab 0 Solución. Con                          drdrdAyxrcondA yxa a A yxa a fyfx yxa a fyfx yxa y fyy yxa x fx yxayxfz ,, 1 1 , 222 222 222 22 222 2 22 222222 222
  • 79.
    79      222 2 0 0 2 0 2 1 222 1 22 2 Ubaaa draadrdrraA b a b              
  • 80.
    80 7. Integral Triple. Definición.-Para una función F de tres variables definida en una región D del espacio. La integral triple de F en D es:   dVzyxF D  ,, Observación.- Si la región D está limitada por arriba por la gráfica de  yxfz ,2 y por abajo por la gráfica de  yxfz ,1 y además la proyección de la región D es el plano es R la que está limitada por  xgy 2  xgy 1 , bxa  entonces:                b a xg xg yxf yxf D dzdydzxzyxFdVzyxF 2 1 2 1 , , ,,,, También se puede integrar:                d c yk yk zyh zyh D dzdydzxzyxFdVzyxF 2 1 2 1 , , ,,,,
  • 81.
    81 Observación.- En particularel volumen del sólido D es  D dVV y la masa es   D dVzyxm ,, Ejemplo: Obtener el volumen del sólido primer octante limitado por las gráficas de 2 1 yz  , xy 2 y 2yx Solución.     3 1 0 23 1 0 1 0 323 2 2 1 0 3 2 2 1 0 3 2 1 0 8 15 8 1 4 1 3 2 1 2 33 1 2 Uyyy dyy y ydyxyx dxdyydzdxdy dVV y yy y D                        
  • 82.
    82 8. Integrales triplesen otros sistemas de coordenadas. a) Coordenadas cilíndricas cosrx  , rseny  , zz  222 yxr  , x y tan , zz  drdzdrdV  Y                D b a g g rf rf dzdrdrzrFdVzrF      2 1 2 1 , , ,,,,
  • 83.
    83 Ejemplo: Un sólidoen el primer octante tiene la forma determinada por la gráfica del cono 22 yxz  y los planos 1z , 0x , 0y ; obtenga la masa si la densidad está dada por   rzr ,, Solución.   24212 34 4 1 3 1 43 2 0 2 0 1 0 43 2 0 1 0 322 0 1 1 0 22 0 1 0 1 0                                        dd rr drdrrdrdzrdzdrdrrdVrm rD b) Coordenadas esféricas 2222 zyxr  , x y tan , 222 cos zyx z  
  • 84.
    84 Y  cossenrx ,  sensenrY  , cosrz  ,  ddrdsenrdV 2   r0 ,  0 ,  20  Ejemplo: Obtenga el volumen de una esfera de radio R                                     2 0 3 33 2 0 2 0 2 0 0 3 0 3 2 0 0 0 3 2 0 0 0 2 2 3 4 2 3 2 3 2 0coscoscos 33 3 R R d R d R ddsen R ddsen r ddsendrr dVV R R
  • 85.
    85 VI. Integración delos Campos Vectoriales 1. Integrales circuitales. 2. Integrales curvilíneas planas. 3. Integrales curvilíneas en el espacio. 4. Integrales independientes del camino. 5. Campo de fuerzas, Trabajo. 6. Teorema de la divergencia. 7. Teorema de Green. 8. Teorema de Stokes
  • 86.
    86 1. Integrales circuitales. Observación.-Sabemos que la integral    1....  b a b a dxxfydxA representa el área de la curva  xfy  , el eje X0 y las dos ordenadas ax  y bx  . La expresión  1 puede usarse para calcular las áreas de tipo más complicadas. Ejemplo: el área entre la parábola xy 2 y la parábola semicúbica 32 xy  es:    1 0 1 0 1 0 3 1 0 sP ydxydxdxxdxxA Donde los índices P y S en el segundo miembro indican que las integrales se deben calcular para las curvas P y S , respectivamente. Puesto que el intercambio de los límites hace cambiar el signo de la integral, se puede poner:     1 0 0 1 1 0 0 1 SPSP ydxydxydxydxA Cuando se considera el área en la región interior de una curva cerrada, es conveniente disponer los límites de las diferentes integrales de tal modo que la curva sea recurrida en un sentido determinado. Si alguien recorre P de 0 a 1, regresa por S de 1 a 0; la curva cerrada ha sido descrita en sentido uniforme, ya que el área A permanece constantemente a la derecha avanzando por S de 0 a 1
  • 87.
    87 y regresando porP de 1 a 0, la curva cerrada se describe en sentido opuesto al anterior y el área permanece siempre a la izquierda del observador. Para ser consecuentes este último es el que se considera positivo para el área A:        ydxydxydxA PS 0 1 1 0 Y donde el símbolo  llamado integral circuital o integral cerrada, indica que debe calcularse la integral dada a lo largo de la curva cerrada recorriéndola en el sentido positivo. En la misma forma, si se considera el área RQP ,, limitada por tres curvas cuyas ecuaciones sean conocidas, tendremos:  2......321 321           ydxydxydxydxA ydxydxydxydxA Q R R P P Q Q P Q R R P b a La formula  2 puede aplicarse al caso elemental dado en la siguiente figura:
  • 88.
    88 Aquí el circuitoconsiste del contorno ABCDA, esto es,     B A A D D C C B ydxydxydxydxydx La primera integral se anula porque 0y en la primera parte del contorno, y lo mismo sucede con la segunda y la cuarta debido a que siendo x constante 0dx luego:    C D D C ydxydxydx Consideraciones semejantes pueden hacerse para obtener la integral circuital:   3.........xdyA De  2 y  3 se obtiene:      4......... 2 1 2 1 dydx yx ydxxdyA Una formula fundamental para el cálculo de áreas planas. La forma vectorial de  4 se puede obtener de:              5........... 2 1 2 ˆ ˆ ˆ 0,,,,, rdrA dydx yxK AKA ydxxdyKrdr dydxrdzyxr     El vector unitario Kˆ indica únicamente que el área está en el plano xy y que el vector A  es perpendicular a dicho plano
  • 89.
    89 Fig. g1 Fig.g2 Hemos deducido la fórmula  4 para un área simple cuyo contorno es cortado por una recta, paralela a los ejes de coordenadas, solamente en dos puntos, no obstante puede hacerse extensiva a contornos más complicados haciendo uso de subregiones apropiadas, las cuales se reducen al caso anterior. Esto es, si tenemos el área  1.gFigQRSP , basta unir P con R por medio de una curva simple cualquiera, puesto que:        RPPQRRSPPRPQRPPRSP Anulándose los valores de las integrales tomadas sobre PR por recorrerse en sentidos opuestos. Para un contorno que contenga huecos o cavidades  2.gFig trazándose PR y QS el área A se obtiene haciendo el recorrido en el sentido indicado por las flechas.
  • 90.
    90 Una región Aen la cual puede trazarse una curva cerrada talque la deformarse paulatinamente se reduzca a un punto sin cruzar el contorno o recinto, se dice que es una región simplemente conectada. Así las regiones limitadas por una circunferencia, un rectángulo o una elipse son simplemente conectadas. Las regiones que no tienen esta propiedad se llaman múltiplemente conectadas. Por ejemplo, la región  2.gFigA es múltiplemente conectada, porque si se traza una circunferencia dentro de A encerrando a 1C no se puede reducirse a un punto por deformación paulatina ni cortar a 1C .
  • 91.
    91 2. Integrales Curvilíneasplanas. La expresión  4 es un caso particular de un caso mucho más general de ciertas integrales llamadas integrales de línea a integrales curvilíneas y cuya definición es la siguiente: Consideramos una función de dos variables  yxP , definida y continua para una cierta región del plano xy , tomemos en esta región una curva C extendiéndose desde el punto  baA , hasta el punto  dcB , . La integral curvilínea de  yxP , a lo largo de C es         1.......,, , ,  C dc ba dxyxPdxyxP El valor de esta integral depende no sólo de los límites, sino también de la curva C y que toma el nombre de camino, contorno o trayecto. Cuando la ecuación de C está dada por  xfy  la formula se reduce a la integral    C a dxxfxP , ó si la curva está dada por las ecuaciones  tfx  y  tgy  la ecuación  1 tendrá la forma:   2 1 t t dttF como ya conocíamos.
  • 92.
    92 Generalmente las integralescurvilíneas se representan en la forma:       2........,,  C dyyxQdxyxP Y para el caso en que C sea una curva cerrada la integral se convierte en la integral circuital:       3........,,  dyyxQdxyxP Ejemplo: Encontrar el valor de        4,2 0,0 2 32 xydydxy sobre xyC 2:  Solución.- rediciendo la integral a la variable x :             3 32 8 3 4 3 12 3 8 12822322 2 0 33 2 0 22 2 0 2           xx dxxdxxdxxxdxxQdyPdx C Ejemplo: Encontrar el valor de la integral circuital    dyxdxy 22 a lo largo del triángulo cuyos vértices son      0,1,1,0,0,1 y Solución.
  • 93.
    93 Las ecuaciones delos lados del triángulo son: 0,0 ,1 ,1    dyy dxdyXy dxdyXy Empezando el circuito en el punto  0,1 , tenemos:                          3 2 111 3 2 1 3 2 21221 2121 011 2 1 0 2 0 1 23 0 1 1 0 2 0 1 1 0 2222 1 1 1 0 220 1 2222                           xxxxxdxxdxxx dxxxxdxxxx dxdxxdxxdyxdxxdyxdxy Ejemplo: Determinar el valor de         0,2 2,0 22 xdydxyx a lo largo de una circunferencia con centro en  0,0 . Solución. Como la curva debe pasar por los puntos  2,0 y  0,2 y la circunferencia tendrá por ecuación: 422  yx
  • 94.
    94                                                                     3 8 3 2416 22 4 8 3 16 1 2 4 24 3 82 22 4 2 4 4 3 2 4 4 4 4 1 2 0 1 2 3 0,2 2,0 2 0 2 2 2222 2 2 sen x sen xx xx dx x x xxxdydxyx dy x x dy xy
  • 95.
    95 3. Integrales curvilíneasen el espacio. Definición.- Para la curva C en el espacio y  zyxP ,,  zyxQ ,,  zyxR ,, la integral curvilínea es:         C dzzyxRdyzyxQdxzyxP ,,,,,, Si  zyxr ,,  es un vector sobre C sea S la longitud de arco desde A hasta X , el vector ds rd T   es un vector tangente ha C apuntando en el sentido creciente de S para un campo vectorial  zyxF ,,  definido sobre la curva C talque:         kzyxRjzyxQizyxPzyxF ˆ,,ˆ,,ˆ,,,,   Obsérvese que rdds   se define la proyección ortogonal de F  sobre T  cómo TFFT   y la integral curvilínea de F  sobre C se define    C C T dsTFdsF  si despejamos:  dzdydxdsTrd ,,  Por lo que     CC r r RdzQdyPdxrdFdsTF f O    Se puede considerar también integrales curvilíneas sobre C con integrados vectoriales definidos como:                      C CCC kRdsjQdsiPdsdsF ˆˆˆ 
  • 96.
    96               C C CCC QdxPdyPdzRdxRdyQdzrdFdsTF ,,  Ejemplo: Encontrar el valor de la integral curvilínea C Uds siendo 32 yxU  a lo largo de la recta xy 2 desde el origen hasta el punto  4,2 . Solución.        C C rdyxdsyxUds 2 0 3232 8  En este caso                         C x x dxxxUds dxdxdxdxrd y dxdxrd xxr 5 3 104 52 3 58 5412 2, 2, 2 0 4 3 2 0 32 222   Ejemplo: Si   xxzyF ,, 2   encontrar el valor de la integral   C rdF  a lo largo de la recta xy 2 desde el origen hasta el punto  4,2 Solución.     CC C xdzdyxzydxRdzQdyPdxrdF 2 Como 0,2, 0,2   dzdxdydxdx zxy
  • 97.
    97   3 28 .3 2 22 2 0 32 2 0 2         xxdxxxdxrdF C  Ejemplo: Calcular el valor de la integral   C rdF  desde A hasta B Cuando  22 ,, xzayzxaF   y C es la intersección del cilindro 222 ayx  y en el plano azx  Solución.     dzxzayzdydxaxrdzQdyPdxdzdydxRQPrdF 22 ,,,,   Para la curva C tenemos:   dxdz xaz y xdxydy xdxxadydydy xay      22 222 222 Los puntos son  0,0,aA y  aaB ,,0                0 4 322222 0 22 4 2 a C a a dxxdxaxxdxadxaxxdxadxax dxxaxxdxxaadxaxrdF 
  • 98.
    98 4. Integrales Independientesdel camino. La integral curvilínea    C r r rdFrdF 2 1    en general, depende de la curva sobre la cual es calculada. Pero si el integrando es una diferencial exacta es decir; k z U j y U i x U uF ˆˆˆ           en la que  zyxU ,, es una función uniforme y continua, y: por lo que la integral se convierte en       C r r rUrUdUrdF 2 1 12    que depende únicamente de los puntos extremos. Si la trayectoria es cerrada, la integral circuital 0  rdF  y recíprocamente, si la integral circuital   rdF  es nula F  proviene de un gradiente.
  • 99.
    99 5. Campo deFuerzas. Trabajo. Si F  representa una fuerza, el vector asociado con cada punto de una región R , decimos que tenemos un campo vectorial de fuerzas. Cuando F  es la fuerza ejercida sobre una partícula de masa m, el trabajo W , efectuado por el campo sobre la partícula cuando esta se mueve de Po a Pf sobre la curva  trr   , se define por la integral curvilínea:    f O f O t t C t t dtVFdt dt rd FrdFW  La unidad de trabajo en el sistema MKS recibe el nombre de Joule. ergcmdinasmNewtonJoule 75 1010010111  En general, el trabajo depende de la trayectoria, pero si F  es el gradiente de una función escalar, el trabajo es independiente del camino seguido: VF   donde  zyxV ,, es la función potencial. Así      1....... 0 fo C r r rVrVdVrdFW f       Por la segunda Ley de Newton VmF   Multiplicando por V      2222 2 1 2 1 2 1  dt d mVzVyVx dt d mVV dt d mVVmFV   Sustituyendo en la definición de trabajo
  • 100.
    100     2....... 2 1 2 1 2 1 2 1 2222    f O f O t t Of C t t mVmVVmddtV dt d mdtVFW  Al recalcar 2 2 1 mV se llama energía cinética por  1 y  2         CterVmVrVmV mVmVrVrV OOff OffO   22 22 2 1 2 1 2 1 2 1 Que es conocida como la Ley de Conservación de la Energía. Para el caso en que VF   decimos que el campo de fuerzas es conservatorio porque la energía total que es la energía cinética más la energía potencial se conserva constante. Sabemos que   0Ggradrot  en nuestro caso   0 UxUxFrot  así que para que un campo sea conservativo basta mostrar que su rotacional es cero. Ejemplo: El campo gravitatorio de la tierra.- la tierra atrae a una partícula de masa m con la fuerza zmgkmggmF  ˆ donde g  es la aceleración local de la gravedad y zk ˆ es el vector vertical unidad apuntando hacia arriba. Si una partícula es lanzada con rapidez inicial OV desde una altura hz  ¿conque rapidez llegará al suelo? Solución.   VmgzF  
  • 101.
    101 mgzV  Porconservación de energía   ghVV ghVV mgmVmghmV Of Of fO 2 2 0 2 1 2 1 2 22 22    Ejemplo: El campo gravitatorio del sol. Una partícula de masa m es atraída por el sol de masa M con la fuerza r r r mM F   2  donde r es la distancia de m hasta el centro del sol, r r  es un vector unitario radial y  la constante de gravitación. Puesto que:         r Mm r r Mm F r r r  2   Por lo tanto, el campo gravitatorio del sol tiene la energía total constante: U r Mm mV  2 2 1 Ejemplo: Un aerolito de masa m está en reposo cuando 0,  Ur . Si entra al campo gravitatorio del sol, llegará a la superficie con una rapidez iV tal que rR  0 2 1 2 1  r Mm mV 
  • 102.
    102 R M V 2 1  Si My R denotan la masa y radio de la tierra, la expresión anterior dará la rapidez 1V con la cual un aerolito entra a la atmosfera. Cerca de la superficie de la tierra: 2 R M g   Y gRV 21  Recíprocamente, para que una partícula abandone la tierra, debe ser lanzada con una rapidez mínima 1V (no considerando la resistencia del aire). A iV se le llama rapidez de escape.
  • 103.
    103 6. Teorema dela Divergencia. La integral de superficie de una función F  sobre el contorno de una superficie cerrada, es igual a la integral de la divergencia de F  sobre el volumen limitado por la superficie.   S V dVFdivdsnF  ˆ Ejemplo: Calcular la integral de superficie de la función    zxyxxzyxF 223 ,,,,   siendo S el cilindro 222 ayx  limitado por los planos bzz  ,0 Solución 2222 223 53 xxxx z zx y yx x x z Fz y Fy x Fx FFdiv                     De aquí   badza a dz a x senaxax a xa x dxdzxax dydxdzxdVxdVFdivdsnF b a bb a S V b a xa V 2 0 2 2 0 0 1222 2 322 0 0 222 0 0 0 22 16 5 28 5 84 55 55ˆ 22                           
  • 104.
    104 7. Teorema deGreen en el plano. Este teorema establece una relación entre una integral circuital y una doble integral. Consideremos una región plana R limitada por una curva cerrada C , talque cualquier recta paralela a los ejes de coordenadas, corte a la curva en solamente dos puntos. Si  yxP , es una función definida y continúa para cada punto de R , obtendremos:               PdxdxyxPdxyxPdxyxPyxPdxdy y P b a a b b a 2112 ,,,, En la misma forma si  yxQ , es otra función definida y continua en R :     Qdydxdy x Q Por lo que               QdxPdxdxdy Y p X Q Que es el teorema de Green.
  • 105.
    105 Ejemplo: Aplicar elteorema de Green para encontrar el valor de la integral circuital    ydyydxx2 a lo largo de la curva cerrada formada por xy 2 , xy  , entre  0,0 y  1,1 Solución En este caso                 1 0 63 1 0 22 2 2 28 1 3 1 0, , dyyydydxxydyydxx x Q x y P yQyxP Ejemplo: Comprobar el resultado calculando la integral circuital directamente Solución. A lo largo de la recta xy        1 0 32 4 3 xdxdxxydyydxx A lo largo de la curva 2 1xY 
  • 106.
    106          1 0 2 1 2 1 2 5 2 14 11 2 1 dxxxdxxydyydxx Y la suma da el valor de la integral circuital 28 1 14 11 4 3 
  • 107.
    107 8. Teorema deStokes. La integral circuital de la componente tangencial de un vector, tomada alrededor de una curva simple C , es igual a la integral de superficie de la componente normal del mismo vector, tomada sobre cualquier superficie que tiene a C como periferia.          S S S sdFrot dsnF sdFrdF    ˆ