PRODUCTO
ENTRE VECTORES
 Geometría Analítica del espacio
  Curso: CÁLCULO VECTORIAL

        Rafael D. Méndez A.
Producto escalar
 Si
El producto escalar entre A y B en función de sus componentes
está dado por:



Para los vectores unitarios i, j, k
Propiedades del producto
        escalar
Si A, B y C son vectores cualesquiera en el espacio y c es un
escalar, entonces:
                   (Ley conmutativa)

                                       (Ley distributiva)
Si θ es la medida del ángulo entre los vectores A y B,
entonces:



La anterior ecuación es útil para encontrar el ángulo
entre dos vectores, conociendo sus componentes.
También, debido a que el cos(90°)=0 se puede
concluir que dos vectores son ortogonales si:
Interpretación física del
    producto escalar


    A        B
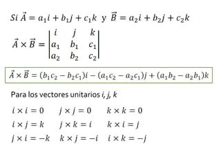
Producto Cruz
        Por definición:




   Siendo      un vector unitario ortogonal al
   plano formado por los vectores         , lo
   cual indica que el vector resultante del
   producto cruz entre         es ortogonal a
   estos dos vectores.
Para los vectores unitarios i, j, k
Triple producto escalar
Dados los vectores           , el triple producto escalar
entre ellos está dado por:




                             Volumen de un sólido

                             Los vectores son coplanares,
                             nos da la ecuación del plano
                             que los contiene.
Por lo tanto,




Por propiedades de los determinantes,

Producto entre vectores

  • 1.
    PRODUCTO ENTRE VECTORES GeometríaAnalítica del espacio Curso: CÁLCULO VECTORIAL Rafael D. Méndez A.
  • 2.
    Producto escalar Si Elproducto escalar entre A y B en función de sus componentes está dado por: Para los vectores unitarios i, j, k
  • 3.
    Propiedades del producto escalar Si A, B y C son vectores cualesquiera en el espacio y c es un escalar, entonces: (Ley conmutativa) (Ley distributiva)
  • 4.
    Si θ esla medida del ángulo entre los vectores A y B, entonces: La anterior ecuación es útil para encontrar el ángulo entre dos vectores, conociendo sus componentes. También, debido a que el cos(90°)=0 se puede concluir que dos vectores son ortogonales si:
  • 5.
    Interpretación física del producto escalar A B
  • 6.
    Producto Cruz Por definición: Siendo un vector unitario ortogonal al plano formado por los vectores , lo cual indica que el vector resultante del producto cruz entre es ortogonal a estos dos vectores.
  • 7.
    Para los vectoresunitarios i, j, k
  • 8.
    Triple producto escalar Dadoslos vectores , el triple producto escalar entre ellos está dado por: Volumen de un sólido Los vectores son coplanares, nos da la ecuación del plano que los contiene.
  • 9.
    Por lo tanto, Porpropiedades de los determinantes,