¡Qué bueno que quieras aprender matemáticas!
Con los cuadernos de trabajo ejercitarás todo lo que has aprendido en clases e
incluso te divertirás resolviendo entretenidos desafíos.

Junto a cada actividad encontrarás un cubo, que, según su color, indica el nivel de
dificultad de cada ejercicio o problema.
El cubo amarillo indica que el problema o ejercicio es sencillo.
El cubo verde indica que el problema o ejercicio es de mediana dificultad.

Cuadernillo 6

Ten presente que cuando te encuentres trabajando sobre la hoja de color, estarás
desarrollando problemas matemáticos y cuando lo hagas sobre la hoja blanca,
estarás resolviendo ejercicios.

6

El cubo azul indica que el problema o ejercicio es de mayor dificultad, pero
no te asustes, con un poco de esfuerzo lo puedes resolver.
Si en cambio te encuentras con este cubo, quiere decir que estás frente a
un desafío… ¡Atrévete a superarlo!

Que tu mente no se duerma, las matemáticas son parte de tu vida.

Índice
• Extraigo y ordeno datos .....................................................................2

Habilidades

• Interpreto y construyo gráficos de barra simple ......................6

• Describir

• Interpreto y construyo gráficos de barra horizontal ............ 18

• Ordenar y comparar

• Interpreto y construyo gráficos de barra doble o triple ..... 30

• Seleccionar y relacionar

• Construyo tablas y gráficos ............................................................. 34

• Aplicar y fundamentar

• Preparo mi SIMCE ................................................................................ 44

• Inferir

• ¿Cuánto aprendí? ................................................................................ 45

• Representar

• Solucionario ........................................................................................... 47

4º CUADERNILLO 6.indd 1

29/11/11 10:18:13
Extraigo y ordeno datos
1 La directora de la escuela quiere conocer los resultados de las elecciones de presidente
del Centro de Padres. Para eso organizó los datos en la siguiente tabla. Obsérvala y contesta
las preguntas.

Nombre

Votos

Ramón

195

Andrés

157

Elvira

62

a. ¿Quién ganó las elecciones?
b. ¿Cuántas personas votaron en total?
c. ¿Cuántos votos más tuvo Andrés que Elvira?

2 El veterinario del zoológico necesitaba hacer un registro con las estaturas de algunos
animales. Para esto realizó el siguiente gráfico. Busca la información que te permitirá
contestar las preguntas.

Estatura de animales

5

Metros

4
3
2
1
0

León

Jirafa
Elefante
Animales

Alce

a. ¿Cuánto más alta es la jirafa que el elefante?

b. ¿Qué animal es más alto que el león, pero más bajo que el elefante?

c. ¿Cuánto más alto tendría que ser el alce para alcanzar la estatura de la jirafa?

2

4º CUADERNILLO 6.indd 2

29/11/11 10:18:13
Cuadernillo 6

1 Colorea un rectángulo por cada persona que está patinando en la pista.

6

a. ¿Qué hay más, niños o niñas?
b. ¿Cuántos niños y niñas hay más que adultos?
c. ¿Cuántas personas hay en la pista?

2 Observa la gráfica y responde.
a. ¿Cuántos estudiantes prefieren la
gelatina de piña?

b. ¿Cuántos prefieren la de naranja?

c. ¿Cuántos la de uva?

3 ¿Cuál de los siguientes gráficos muestra el resultado de la encuesta que hizo Rosa acerca
de la fruta favorita de los estudiantes de su clase?

Plátano

5

Mango

20

Melón

12

Sandía

18

a. 20

b. 20

18
16
14
12
10
8
6
4
2
0

18
16
14
12
10
8
6
4
2
0

Plátano Mango Melón

Sandía

Plátano Mango Melón

Sandía

3

4º CUADERNILLO 6.indd 3

29/11/11 10:18:21
3 Paulina anotó la temperatura máxima del día durante una semana. Y la registró en la
siguiente tabla de datos. Observa y contesta las preguntas.
a. ¿Qué día la temperatura fue más alta?

Días de la semana Tº máxima
Lunes

25 ºC

Martes

23 ºC

Miércoles

21 ºC

Jueves

23 ºC

Viernes

24 ºC

Sábado

20 ºC

Domingo

22 ºC

b. ¿Qué días la temperatura máxima fue igual?

c. ¿Qué día marcó la menor temperatura?

d. ¿Qué diferencia hubo entre el día de mayor temperatura con el de menor temperatura?

e. Escribe los días de las tres temperaturas más altas.

4 En la escuela de David se hizo una encuesta para saber qué tipo de películas preferían los
estudiantes. Usa la tabla para construir un gráfico.

Tipo de película

Acción

Terror

Bélicas

Comedias

Ficción

Nº de estudiantes

72

69

47

57

76

80
70
Estudiantes

60
50
40
30
20
10
0

Acción

Terror

Bélicas

Comedias

Ficción

a. ¿Cuál es el tipo de películas preferido por los estudiantes?

b. ¿Qué tipo de películas es el que menos les gusta?

4

4º CUADERNILLO 6.indd 4

29/11/11 10:18:22
4 Representa en el gráfico los siguientes datos.
a. María, 25 kilos.

b. Juan, 35 kilos.

c. Pedro, 15 kilos.

d. Luisa, 40 kilos.

40
35
30
Kilos

25
20

Cuadernillo 6

15
10
5
0

María

Juan

Pedro

Luisa

6

5 Organiza en la tabla el peso de los siguientes animales: a. cebra: 308 kg; b. jirafa: 867 kg;
c. ciervo: 459 kg; d. mono araña: 9 kg; e. hipopótamo: 1 358 kg; f. pingüino: 45 kg y
g. tigre: 285 kg.
h. Ordena los animales de mayor peso a
menor peso.

a.
b.
c.
d.
e.
f.
g.

,

,

,

,

,

,

.

6 Representa en el gráfico los siguientes datos.
a. Felipe, 8 años.

b. Andrés, 12 años.

c. Claudio, 4 años.

14
12

Edad

10
8
6
4
2
0

Felipe

Andrés

Claudio

5

4º CUADERNILLO 6.indd 5

29/11/11 10:18:22
Interpreto y construyo gráficos
de barra simple
1 Uno de los más graves problemas de nuestro mundo es la contaminación y el poco
cuidado del ambiente. Debido a esto, muchas especies de animales han desaparecido y
otras están amenazadas. El siguiente gráfico muestra el número de especies animales que
están en peligro de extinción.

Animales en extinción en el mundo
80

Nº de especies

70
60

a. En la tabla, anota los datos de la gráfica anterior,
ordenando las clases de animales, de mayor a menor,
según el número de especies en peligro de extinción.

Clase de animales

50

Especies en peligro

40
30
20
10
0

ros

fe
mí

Ma

2

es
Av

s

ile

R

t
ep

ios

fib
An

s
ce
Pe

La profesora hizo una encuesta para saber qué frutas prefieren los estudiantes. Cada
carita feliz representa 5 niños. Con la información recolectada:
a. Escribe la operación que representa la cantidad
de niños que prefieren las naranjas.
b. Escribe la operación que representa la cantidad
de niños que prefieren las manzanas.
c. Escribe la operación que representa la cantidad
de niños que prefieren los plátanos.

3 Con los datos anteriores, elabora una gráfica de barras. Colorea un rectángulo por cada
niño que escogió una fruta (elige un lápiz diferente para cada fruta).

6

4º CUADERNILLO 6.indd 6

29/11/11 10:18:25
1 Elige la tabla correcta que contiene los datos que muestra la gráfica.
a.

Amarillo

Celeste

Verde

Amarillo

Morado

20

40

15

Verde

Celeste

Amarillo

Morado

40

20

25

15

Verde

Celeste

Amarillo

Morado

20

c.

Celeste

25
b.

Verde

25

15

40

Morado

Cuadernillo 6

45
40
35
30
25
20
15
10
5
0

6

2 La gráfica muestra las bolitas que tienen algunos niños del grupo de segundo año.
¿Quién tiene más? Encierra el nombre.
• Paulo

50
40
30
20
10
0

• Emilio

• Ramón

• Pablo

• Andrés

a. ¿Quién tiene menos bolitas?
• Paulo • Emilio

• Ramón

• Pablo

• Andrés

b. Estima cuántas bolitas tiene cada niño.
• Paulo
• Pablo

Ramón Paulo Andrés Pablo Emilio

• Emilio

• Ramón

• Andrés

c. ¿Cuántas bolitas tienen en total los niños según tu estimación?

3 La siguiente tabla muestra las películas que se arrendaron en un club de videos durante
una semana. ¿Cuántas películas se arrendaron en total?

Género

Acción

Infantiles

Suspenso

Terror

Comedia

Películas

25

80

45

20

50

• 320

• Más de 400

• 220

• Menos de 200

a. ¿Qué tipo de películas se arrendaron más y cuáles menos?
• Acción y suspenso.

• Infantiles y comedia.

• Comedia y terror.

• Infantiles y terror.

7

4º CUADERNILLO 6.indd 7

29/11/11 10:18:25
4 Una línea aérea necesita saber cuáles son los países de Latinoamérica más visitados
por turistas.
120 000

a. Según el gráfico, ¿cuántos turistas llegan más a
México que a Perú, aproximadamente?

Turistas

100 000
80 000
60 000

b. Aproximadamente, ¿cuántos turistas visitaron
Brasil y Chile?

40 000
20 000
0

México Brasil Perú
Países

Chile

5 Un grupo de amigos jugó a los naipes y Amalia anotó los resultados para saber quién
obtuvo más puntos.
25

Resultados de la competencia

a. ¿Quién obtuvo más puntos?

Puntos

20
15

b. ¿Qué diferencia hay entre los puntajes de Amalia
y Julio?

10
5
0

Julio

Amalia

Beto

Carlos

6 Don Germán vende juegos de mesa. Observa la gráfica que muestra las ventas que realizó
durante el último mes y contesta.
100
90
80
70
60
50
40
30
20
10

a. ¿Cuántos juegos de lotería se vendieron?

b. ¿Cuántos juegos de serpiente y de
recorrido se vendieron?

eg
lo o d
te e
ría

d. ¿Cuál juego registró mayores ventas?

Ju

ro
m Ju
pe eg
ca o
be de
za
s

Ju
re eg
co o
r r i de
do

Ju
se eg
rp o
ie de
nt
e

c. ¿Cuál juego se vendió menos?

8

4º CUADERNILLO 6.indd 8

29/11/11 10:18:27
4

Observa el gráfico anterior y responde.
a. Si un juego de lotería cuesta $2 850, ¿cuánto dinero ganó el dueño?
b. Si un juego de rompecabezas cuesta $1230, ¿cuánto dinero ganó el dueño?
c. Si un juego de serpiente cuesta $2 960, ¿cuánto dinero ganó el dueño?

5 Si se venden 20 juegos de cada tipo, ¿cuánto dinero ganará el dueño?
a. Juego de lotería

$

b. Rompecabezas

$

c. Juego de serpiente

$

d. Juego de recorrido

Cuadernillo 6

d. Si un juego de recorrido cuesta $1 640, ¿cuánto dinero ganó el dueño?

6

$

6 Redondea los resultados del ejercicio anterior a la decena de mil más cercana.
a.

b.

c.

d.

7 Ordena las siguientes cantidades de mayor a menor.
a. 101 256 – 102 017 – 101 165 – 101 900 – 102 016 – 101 899 – 102 108 – 102 099

8 Completa las siguientes operaciones:
a. 2 315 •

=

4 630

b. 30 600 •

= 918 000

c. 17 560 •

= 87 800

d. 98 012 •

= 588 072

e. 5 562 •

= 389 340

f. 10 245 •

= 819 600

g. 8 888 •

= 799 920

h. 15 740 •

= 31 480

9 Escribe el número que va antes y el número que va después.
a.

< 65 090 <

b.

< 46 201 <

c.

< 11 189 <

d.

< 94 599 <

e.

< 37 510 <

f.

< 99 999 <

g.

< 987 989 <

h.

< 125 556 <

9

4º CUADERNILLO 6.indd 9

29/11/11 10:18:28
7 El siguiente gráfico muestra la cantidad de empanadas vendidas por cuatro niños en la
ramada de la escuela.

Empanadas vendidas por estudiante

a. ¿Quién vendió más?

50
40

b. ¿Quién vendió menos?

30
20

c. ¿Cuál es la diferencia entre Pedro y Mario?

10
0

Sofía

Pedro
Mario
Nombres

Ema

d. ¿Qué diferencia hay entre la cantidad de empanadas que vendió Sofía y la que vendió Ema?

e. ¿Cuántas empanadas le faltaron a Pedro para vender lo mismo que Ema?

8 Los estudiantes de 4˚ básico hicieron una encuesta para saber qué música es la más
popular y registraron los resultados en el siguiente gráfico. Observa y responde.

Preferencias musicales 4º básico

25
20
15
10
5
0

Cumbia

Salsa

Rock

Reggaeton

Pop

Música

a. ¿Qué música prefieren los estudiantes?
b. ¿Qué música es la que menos escuchan?
c. ¿Cuántos estudiantes hay en cuarto básico?
d. En 4° A hay 22 estudiantes, en 4° B hay 18. Si son tres grupos de cuarto, ¿cuántos hay en 4° C?

10

4º CUADERNILLO 6.indd 10

29/11/11 10:18:28
10

Observa la siguiente tabla:

Venta del mes

Empanadas

Jugos

Empolvados

Marzo

1 200

5 300

4 800

Abril

1 500

4 600

3 700

a.

Cuadernillo 6

• Coloca en cada gráfico el título que corresponde.
b.

6 000

6 000

5 000

5 000

4 000

4 000

3 000

3 000

2 000

2 000

1 000

6

1 000

0

s
da

a
an

p

Em

0

s
do

s
go

Ju

lva

po

p

Em

Em

os

s

s

da

a
an

go

Ju

d
lva

po

Em

11 Observa la tabla anterior e identifica el gráfico que corresponde a cada producto.
1 500

6 000

5 000
4 500

Unidades

8 000

Unidades

2 000

5 500
Unidades

6 000

1 000
500
0

4 000
Marzo

a.

2 000
0

Marzo

Abril

4 000

Marzo

Abril

b.

Abril

c.

12 Usando la tabla anterior, calcula la diferencia entre las ventas de los dos meses para
cada producto.
a.

b.

c.

13 Usando la tabla anterior, calcula el total vendido en marzo y en abril para cada producto.
a.

b.

c.

11

4º CUADERNILLO 6.indd 11

29/11/11 10:18:29
9 Liliana hizo una encuesta en la escuela para saber cuáles eran las bebidas favoritas de los
estudiantes. El pictograma representa el resultado de la encuesta. Resuelve y contesta.

Bebidas favoritas para el verano

a. ¿Qué bebida recibió más votos?

= 5 votos

Jugo de frutas
b. ¿Qué bebidas recibieron el mismo
número de votos?

Té frío
Bebida de lata
Limonada
Leche

c. Qué bebida recibió 20 votos?

Agua
d. Supón que 25 estudiantes votaran por el agua. ¿Cuántos símbolos tendría el agua?

10 Un organismo internacional necesita saber cuánto ha crecido la población de América.
Observa el gráfico y contesta.

Crecimiento de la población en América
800
Millones de habitantes

700
600
500
400
300
200
100
0

1930

1940

1950

1960
Año

1970

1980

1994

a. ¿Cuál era la población aproximada de América en 1994?

b. ¿Cuánto aumentó aproximadamente la población de América entre 1940 y 1970?

c. ¿Entre qué años se dio el mayor aumento de la población?

12

4º CUADERNILLO 6.indd 12

29/11/11 10:18:29
11 En un campeonato de básquetbol, los 5 jugadores del equipo A que anotaron más puntos
son los siguientes. Observa el gráfico y contesta las preguntas.

50

0

Puntos anotados por los mejores jugadores a. ¿Cuántos puntos anotaron entre Marcos
y Roberto?

45

José

56

65

72
59

b. Si entre todos los jugadores del equipo
anotaron 342 puntos, ¿cuántos puntos
anotaron los otros 3 jugadores que
participaron?

Marcos Ignacio Manuel Roberto

12 En este pictograma, Antonio tiene anotados los pedidos de leche que repartió con su

Cuadernillo 6

100

6

camión durante la mañana. Observa el pictograma y contesta.
Cafetería
20 cajas
de 1 litro

Supermercado
Almacén
Panadería
a. ¿Dónde repartió más litros de leche?
b. ¿Cuántos litros repartió en total durante la mañana?

13 Verónica representó en un gráfico de barras el número de personas que participaron en las
actividades de la semana cultural de la escuela.

Participantes en la Semana Cultural
200
145

150
100

a. ¿Qué regla se utilizó para colocar los
números en el eje vertical?, ¿por qué?

120
85

115

95

b. ¿Qué día asistieron más personas a
las actividades?

50
0

Lunes

c. ¿Cuál es la diferencia de personas en los
días en que hubo mayor asistencia y
Martes Miércoles Jueves Viernes
menor asistencia?

13

4º CUADERNILLO 6.indd 13

29/11/11 10:18:32
14 La siguiente gráfica representa los resultados de una encuesta aplicada a 40 niños para
saber cuál es su fruta favorita.
a. Elige la opción correcta.

Frutas preferidas por los niños
16

• Las frutas preferidas fueron el
melón y la manzana.
• De los 40 niños encuestados, 10
eligieron la frutilla.
• La fruta preferida por los niños fue
la manzana.
• Ningún niño escogió el melón.

14
12
10
8
6
4

b. ¿Cuántos niños más eligieron
manzana que melón?

2
0

Sandía

Manzana

Frutilla

Melón

15 En la ciudad donde vive Mariana se realizaron elecciones de alcalde. En su escuela le pidieron
que explicara los resultados que aparecen en el gráfico. Ayúdala a responder las preguntas.
a. ¿Qué diferencia de votos hay entre la
mayor y la menor preferencia?

1 000 000
800 000
564 221

600 000
400 000

185 110

200 000 125 689
0

Manuel Elvira

Jaime

311 256 263 045

428 852

b. ¿Cuál es la regla utilizada en el gráfico
para los números del eje vertical?

Sonia Adriana Carlos

c. ¿Quién resultó electo alcalde de la ciudad?

16

El siguiente gráfico corresponde a la cantidad de turistas extranjeros por trimestre
que ingresaron a Chile entre los años 2001 y 2003. Observa el gráfico y responde.

Turismo
Cantidad de personas por trimestre 2001 - 2003
2001

1 000 000

2002

a. ¿Qué representan los números en el
eje vertical?

2003

800 000

b. ¿Qué sucedió en el primer trimestre
entre los años 2001 y 2002?

600 000
400 000
200 000
0

I

II

III IV

I

II

III IV

I

II

III IV

c. ¿Qué cantidad aproximada de turistas
ingresaron a nuestro país durante el
segundo trimestre del año 2002?

14

4º CUADERNILLO 6.indd 14

29/11/11 10:18:32
14 Observa el gráfico del problema 15 y responde.
a. ¿Cuántos habitantes votaron en total en la ciudad de Mariana?
b. Calcula la diferencia de votos entre Manuel y Jaime.
c. Calcula la diferencia de votos entre Carlos y Adriana.

,

,

,

,

,

.

,

.

e. Redondea el resultado de cada candidato a la decena de mil.
,

,

,

,

15 Resuelve las siguientes operaciones.
a.

529
31874
+ 4 574
__ ___

b.

1234
539 681
76 392
+ 490 779
_ ___ ___

c.

923 465
+ 475 879
_ ___ ___

e.

65 421
+ 47 149
___ ___

f.

6

50 241
67 879
76 998
+ 34 672
___ ___

d.

Cuadernillo 6

d. Ordena los nombres de los candidatos desde el que obtuvo más votos al que obtuvo menos.

79482
– 9540
__ ___

16 Completa el pictograma y responde.
= 15 flores

a. ¿Cuántas flores de cada color hay?
Verdes:
cafés:

, fucsias:
, rojas:

, calipsos:

,

.

15

4º CUADERNILLO 6.indd 15

29/11/11 10:18:33
17 El dueño de una heladería necesita saber cuáles son los sabores de helados preferidos para
fabricar más. El gráfico representa la cantidad de helados vendidos en un año. Coloca el
título del gráfico y contesta las preguntas.
(Título:

)
236

Kilos de helado

250

190

200

149

150
87

100

72
36

50
0

Coco

Nuez Chocolate Frutilla Naranja Vainilla

a. ¿Cuál es el sabor más vendido?

b. ¿Para qué crees que el dueño de la heladería hizo este gráfico?

c. De acuerdo con la gráfica, ¿cuántos helados más de vainilla que de coco se vendieron?

18 En la cooperativa de la escuela se hizo el siguiente gráfico de barras para ver durante la
semana qué productos se vendieron más y poder hacer el pedido al distribuidor.

Venta semanal del quiosco

Cantidad vendida

50
40
30
20
10
0

Jugos

Yogur Sándwiches
Productos vendidos

Frutas

a. ¿Qué producto se vendió más?
b. ¿Qué producto se vendió menos?
c. ¿Qué producto ocupó el tercer lugar en ventas?
d. ¿Cuántos productos se vendieron en la semana?

16

4º CUADERNILLO 6.indd 16

29/11/11 10:18:33
17 Observa el registro del tiempo en estos meses.
M

V

S

D

L

M

Febrero
M
J
V

S

D

Cuadernillo 6

L

Enero
M
J

6

a. ¿Cuántos días soleados hubo en cada mes?
b. ¿Cuántos días estuvo nublado?
c. ¿Cuántos fueron lluviosos?

18 Completa las barras pintando una casilla por cada día soleado, nublado o lluvioso que
hubo cada mes. Luego responde las preguntas.
a.

b.

c.

Enero

d.

e.

f.

Febrero

• Ahora interpreta.
a. ¿En qué mes hubo más días soleados?
b. ¿En qué mes llovió más?
c. ¿En qué mes hubo más días nublados?
d. ¿Cuántos días más lluviosos hubo en enero que en febrero?
e. ¿Cuántos días soleados hubo en total?

17

4º CUADERNILLO 6.indd 17

29/11/11 10:18:39
Interpreto y construyo gráficos de barra horizontal
1 La profesora de Ciencias Naturales muestra este gráfico a sus estudiantes y les hace las
siguientes preguntas.

Distancia que saltan los animales
León
Canguro
Antílope
Rana
Liebre
Caballo
0

200

400
600
800
1 000
Medidas en centímetros

1 200

1 400

a. ¿Qué muestra cada barra del gráfico?
b. ¿Qué representan los números de la escala?
c. ¿Hay dos animales que saltan la misma distancia? ¿Cómo lo sabes?

2 Se hace una encuesta a 135 estudiantes de 3º básico sobre cuál es su deporte favorito.
Los resultados arrojan que a 24 estudiantes les gusta el vóleibol, el atletismo a 54,
el fútbol a 42 y a 15 el básquetbol.
a. Construye una tabla con esta información y colócale un título.

b. ¿Cuál es el deporte favorito?
c. ¿Qué otras preguntas podrías hacer basado en la información que te entrega esta tabla?
Escribe al menos 2 y contéstalas.

18

4º CUADERNILLO 6.indd 18

29/11/11 10:18:40
1

Marca con un ✓ el gráfico que representa los datos indicados en la tabla.

Sabor

Frambuesa

Melón

Vainilla

Coco

Plátano

Damasco

Cantidad de
litros vendidos

125

232

247

189

98

201

b.

Venta de helados del mes

Damasco

Damasco

Plátano

Plátano

Coco

Coco

Vainilla

Vainilla

Melón

Melón

Frambuesa

Cuadernillo 6

Venta de helados del mes

a.

Frambuesa
0

c.

100

200

0

300

200

300

400

Venta de helados del mes

d.

Venta de helados del mes

100

6

Damasco

Damasco

Plátano

Plátano

Coco

Coco

Vainilla

Vainilla

Melón

Melón

Frambuesa

Frambuesa
0

100

200

300

0

50

100 150

200 250

2 Observa el eje horizontal de cada gráfico y responde.
a. ¿Cuál es la diferencia entre los gráficos a y b?

b. ¿Cuál es la diferencia entre los gráficos c y d?

c. ¿Cuál es la diferencia entre los gráficos b y d?

d. ¿Cuál es la diferencia entre los gráficos d y a?

e. ¿Cuál es la diferencia entre los gráficos b y c?

19

4º CUADERNILLO 6.indd 19

29/11/11 10:18:40
3 La bibliotecaria comprará libros nuevos. Para esto, hizo una encuesta acerca de los libros más
leídos por tema en un mes. Estos fueron los resultados. Resuelve y contesta las preguntas.

Temas más leídos por los estudiantes
Cuentos de hadas
Animales
Leyendas
Aventuras
Ciencia ficción
0

50

100

150 200 250 300 350
Cantidad de libros

400

450

a. ¿Cuál es el tema que más leen los estudiantes del colegio?
b. ¿Cuál es el tema menos leído?
c. ¿Qué diferencia de cantidad hay entre el tema más leído y el menos leído?
d. ¿Cuántos libros de ciencia ficción se leyeron?

4 La profesora registró la asistencia y puntualidad de sus estudiantes en la siguiente tabla
para presentarla a los apoderados. Contesta las preguntas sobre el gráfico.

Gráfico de puntualidad y asistencia
Lunes
Martes
Miércoles

A tiempo
Atrasados
A tiempo
Atrasados
A tiempo
Atrasados
0

1

2

3

4

5
6
Estudiantes

7

8

9

10

a. Si en el grupo hay 20 estudiantes, ¿qué día fueron más niños a clase?

b. ¿Qué día faltaron más estudiantes?
c. ¿Qué día llegaron a tiempo la misma cantidad de estudiantes que llegaron atrasados?

d. ¿Qué día llegaron atrasados más estudiantes?

20

4º CUADERNILLO 6.indd 20

29/11/11 10:18:41
3 Observa la siguiente tabla y contesta las preguntas.
Sucursal

Vendedor

Venta del mes

Javier

$458 650

C

Iris

$274 100

A

Consuelo

$300 020

B

Ignacio

$175 860

B

Carmen

$198 860

C

Doris

$206 760

A

Cecilia

$135 500

C

Roberto

$189 240

a. ¿Cuántos empleados hay en cada sucursal? A:

; B:

; C:

Cuadernillo 6

A

6

.

b. ¿Cuál es el total de empleados en las tres sucursales?
c. ¿Quién vendió más en el mes?
d. ¿Quién vendió menos en el mes?
e. ¿Qué cantidad vendió en total la sucursal A?
f. ¿Qué cantidad vendió en total la sucursal B?
g. ¿Qué cantidad vendió en total la sucursal C?

4 Calcula la diferencia entre las ventas de:
a. Javier e Iris.
b. Consuelo e Ignacio.
c. Roberto y Cecilia.
d. Doris y Javier.
e. Roberto y Consuelo.

5 Redondea las ventas de todos los empleados a la unidad de mil.
a. Javier:

b. Iris:

c. Consuelo:

d. Ignacio:

e. Carmen:

f. Doris:

g. Cecilia:

h. Roberto:

6 ¿Cuál fue la venta total de las 3 sucursales?

21

4º CUADERNILLO 6.indd 21

29/11/11 10:18:41
5

El siguiente gráfico presenta las ventas que dos agencias de la misma marca de autos
realizaron durante el año pasado. Analízalas y contesta las preguntas.

Agencia 1

Agencia 2
Auto
compacto
Auto
familiar
Camioneta
deportiva
Camioneta
familiar
Camioneta
de carga 1
Camioneta
de carga 2

Auto
compacto
Auto
familiar
Camioneta
deportiva
Camioneta
familiar
Camioneta
de carga 1
Camioneta
de carga 2
0

50

100
150
200
Autos vendidos

250

0

50

100
150
200
Autos vendidos

250

a. ¿Qué tipo de auto se vendió más en cada agencia?
Agencia 1

Agencia 2

b. ¿Cuál es la diferencia entre el número de autos compactos vendidos en cada agencia?

c. ¿Cuál fue el modelo de auto menos vendido en cada agencia?

d. Si consideras las ventas totales de las dos agencias, ¿cuáles fueron los 2 modelos de
auto más vendidos?

6 Traza un nuevo gráfico vertical que te permita comparar fácilmente las ventas de cada
modelo de auto en las dos agencias.

22

4º CUADERNILLO 6.indd 22

29/11/11 10:18:42
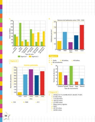
7 Completa la gráfica de inventos patentados.
Cantidad de inventos
patentados en EE.UU.

1836

103

1837

426

1838

514

1839

404

1840

458

Cuadernillo 6

Año

200
150
100
1836

6

1837

a. ¿Cuál es el número mayor que necesitas para el eje vertical?
b. ¿Y cuál es el número mayor para el eje horizontal?
c. Estima cuántas invenciones más fueron patentadas en 1838 que en 1836.

8 Copia y completa la gráfica lineal. Usa los datos de la tabla.
Año

Habitantes por km2

1790

4,5

1800

6,1

1810

4,3

1820

5,5

1830

7,4
5,0
4,0
0

1790

1800

1810

1820

1830

23

4º CUADERNILLO 6.indd 23

29/11/11 10:18:42
7 Los estudiantes de 4º A hicieron el siguiente gráfico de los juguetes preferidos por el
grupo. ¿Qué juguete prefiere la mayoría?

Juguetes preferidos 4º A
a. Patines

Patineta

b. Patineta

c. Bicicleta

Pelota

d. Pelota

Bicicleta
Patines
0

5

10
15
Niños

20

25

8 Jorge organizó un campeonato de bolitas y graficó la cantidad de bolitas ganadas. Observa
el gráfico, resuelve y contesta las preguntas.

Bolitas por ganador

a. ¿Quién ganó más bolitas?

Lola
Ulises

b. ¿Qué diferencia hay entre la cantidad de bolitas
ganadas por Karla y las ganadas por Lola?

Alonso
Karla
0

12

24
36
48
Cantidad de bolitas

60

c. ¿Cuántas bolitas le faltaron a Alonso para ganar la misma cantidad que Karla?

9 Para crear talleres de música, una escuela realizó una encuesta sobre los instrumentos
musicales que más interesaban a los estudiantes. Observa los datos obtenidos y responde.

Instrumento

Cantidad de chicos (frecuencia)

Guitarra

20

Teclado

15

Flauta

30

Bajo
Batería

5
10

a. ¿Cuántos estudiantes están interesados en aprender a tocar algún instrumento?

b. Representa estos datos en un gráfico de barras en tu cuaderno.

24

4º CUADERNILLO 6.indd 24

29/11/11 10:18:42
Observa el gráfico y resuelve.
a. Ordena la cantidad de visitantes
de menor a mayor.

Niños que visitan un museo

80 000

74 287
68 207

70 000

,
,

50 000
40 251

40 000 36 480
30 000

,

,

60 000

,

.

b. Calcula el total de niños que visitó
el museo entre marzo y abril.

32 115
24 562

20 000

Cuadernillo 6

9

6

10 000
0

Marzo

Abril

Mayo

Junio

Julio

Agosto

c. Calcula el total de niños que visitó el museo entre mayo y junio.
d. Calcula el total de niños que visitó el museo entre julio y agosto.
e. Calcula el total de niños que visitó el museo entre marzo y agosto.
f. ¿En qué meses visitaron el museo más de 40 000 niños?

g. ¿En qué meses visitaron el museo menos de 30 000 niños?

h. Calcula la diferencia entre el mes más visitado y el mes menos visitado.

i. Calcula la diferencia de visitas entre los meses de julio y agosto.

10 Resuelve las siguientes multiplicaciones y divisiones.
a. 153 650 • 9

b. 38 735 • 2

c. 23 564 • 4

d. 246 552 : 6 =

e. 396 393 : 3 =

11 Completa las series.
a. 897, 898, 899,

,

,

,

,

…

b. 834, 833, 832,

,

,

,

,

…

25

4º CUADERNILLO 6.indd 25

29/11/11 10:18:43
10 La Junta de vecinos quiere organizar actividades para las personas mayores. Para conocer
cuáles son sus preferencias realizó una encuesta, con la que se elaboró este gráfico.

Preferencias de actividades personas de la tercera edad
Teatro

1 232

Viajes

5 641

Bingo

10 088

Juego de naipes

12 447

Música

6 582

Pintura

8 512
0

2 000

4 000

6 000

8 000

10 000 12 000 14 000

a. ¿Cuál es la actividad preferida por las personas de tercera edad?
b. ¿Cuál es la actividad que menos prefieren?
c. ¿Cuántos más prefieren la pintura que viajar?
d. ¿Cuántas personas prefieren jugar al bingo y a los naipes?
e. ¿Cuál es la escala que se utilizó en el eje horizontal?
f. Si la Junta de vecinos cuenta con fondos para organizar solo tres actividades,
¿cuáles elegirá de acuerdo a las preferencias mostradas?

11

Patricio y Macarena juegan con una moneda y un vaso. Quieren saber cuántas
posibilidades hay de que caigan de diferentes maneras. Observa el gráfico y la tabla, y
resuelve los siguientes problemas.

Arriba

Abajo

Registro de 50 tiradas

De lado
Cara
Sello

Número de
resultados

18

5

27

0

10

20

30

40

50

a. ¿Cuál sería el título de la tabla?
b. ¿Cuántas veces se tiró la moneda?
c. ¿De qué lado cayó más veces la moneda: cara o sello?
d. Estima cuántas veces salió cada lado.
e. ¿Cuántas veces tiraron el vaso Patricio y Macarena?
f. Si tú haces el mismo experimento con un vaso, ¿crees que obtendrías los mismos
resultados? Por qué?

26

4º CUADERNILLO 6.indd 26

29/11/11 10:18:45
12 Observa el pictograma y responde.
Espectadores de videos musicales (por escuela)

a. ¿Qué representa cada

?

b. ¿Cómo podrías representar a 50 estudiantes?

Santa María
Pablo Neruda

Cuadernillo 6

c. ¿Cómo podrías representar a 1 000 estudiantes?

España
México
= 100 estudiantes.

d. ¿Cuántos estudiantes más vieron videos en la escuela Pablo Neruda que en

6

la escuela Santa María?

13 Calcula el total de espectadores de videos por escuela.
a. Escuela Santa María:

b. Escuela Pablo Neruda:

c. Escuela España:

d. Escuela México:

14 Completa siguiendo las indicaciones.
a. Cuenta de 50 en 50:

50 – 100 – 150 –

b. Cuenta de 200 en 200:

350 – 550 –

–
–

–
–

–
–

–
–

.
.

c. Cuenta de 1 000 en 1 000: 1 500 – 2 500 –

–

–

–

–

d. Cuenta de 0,1 en 0,1:

0,5 – 0,6 – 0,7 –

–

–

–

–

.

e. Cuenta de 0,5 en 0,5:

10 – 10,5 – 11 –

–

–

–

–

.

f. Cuenta de 0,2 en 0,2:

1 – 1,2 – 1,4 –

–

–

–

–

.

.

15 Completa las secuencias.
a.

240

b. 1 290
c.

0,7

320
1 320

f.

520

1 410

0,9

1 530
1,7

d. 15,1
e. 52 680

440

2,3

15,4

15,8

52 780

52 930
18,20

18,25

53 080
18,35

18,50

27

4º CUADERNILLO 6.indd 27

29/11/11 10:18:45
12 En un club de video desean saber en qué mes, entre junio y diciembre, se arriendan más
60
55
50
45
40
35
30
25
20
15
10
5
0

Mes

Cantidad de películas
(frecuencia)

Junio
Julio
Agosto
Septiembre
Octubre
Noviembre
re

bre
iem
Dic

mb

re
Oc

pti
Se

No
vie

tub

bre
em

sto
Ag
o

Jul

Jun

io

Diciembre
io

Cantidad de películas arrendadas

películas infantiles. Completa la tabla con los datos del gráfico.

Meses

a. ¿En qué mes se arrendaron más películas?

13

Un profesor hizo una encuesta para saber cuántos estudiantes prefieren las actividades
bajo techo y cuántos las actividades al aire libre. Observa el gráfico y resuelve.

Actividades favoritas para los sábados
Cine
Fútbol
Biblioteca
Juegos de mesa
Museos
0

1

2

3

4 5 6
7 8 9
Número de estudiantes

10 11 12

a. ¿Qué operación hay que realizar para responder a la pregunta?

b. ¿Cuántos estudiantes prefieren las actividades bajo techo?
c. ¿Cuántos estudiantes prefieren las actividades al aire libre?
d. ¿Cuál es la diferencia entre el número de estudiantes que prefieren las actividades
al aire libre y los que las prefieren bajo techo?

e. ¿Cuántos estudiantes no escogieron el cine o el fútbol?

28

4º CUADERNILLO 6.indd 28

29/11/11 10:18:46
16 Observa el gráfico y responde.
Colores favoritos

a. ¿Qué color tiene más votos?

Rojo
Violeta

b. ¿Qué color tiene menos votos?

Verde

c. ¿Qué color tiene 2 votos más que
el violeta?

Rosado
Negro
0

1

2

3
4
5
6
7
Número de estudiantes

8

9

17 Si cada casillero del gráfico representa 5 votos, ¿cuántos votos tendría cada color?
a. rojo

b. verde
e. azul

6

c. rosado

d. violeta

Cuadernillo 6

Azul

f. negro

18 Si cada casillero del gráfico representa 10 votos, ¿cuántos votos tendría cada color?
a. rojo

b. verde

c. rosado

d. violeta

e. azul

f. negro

19 Si cada casillero del gráfico representa 20 votos, ¿cuántos votos tendría cada color?
a. rojo

b. verde

c. rosado

d. violeta

e. azul

f. negro

20 Si cada casillero del gráfico representa 100 votos, ¿cuántos votos tendría cada color?
a. rojo

b. verde

c. rosado

d. violeta

e. azul

f. negro

21 Resuelve las siguientes operaciones.
a. 113 560 • 4

b. 421 318 • 9

c. 52 138 • 5

d. 12 048 : 4 =

e. 98 567 : 7 =

b. 18 • 1 000

c. 501 • 1 00

d. 23 000 • 1 0

e. 7 • 1 000

b. 94 643 • 6

c. 89 573 • 7

d. 25 348 • 9

22 Multiplica por 10, 100 y 1 000.
a. 342 • 1 0

23 Resuelve.
a. 72 051 • 4

29

4º CUADERNILLO 6.indd 29

29/11/11 10:18:46
Interpreto y construyo gráficos de barra doble o triple
1 En los 4os básicos de la escuela quieren saber la preferencia de niños y niñas por los
deportes. Observa el gráfico con los resultados obtenidos y resuelve.

Cantidad de
niños y niñas

40

Deportes alumnos de cuartos básicos

las niñas?

30

b. ¿Cuál es el deporte más apreciado por

20

los niños?

10
0

a. ¿Cuál es el deporte menos apreciado por

ol
ol
etb
útb
F
u
sq
Bá

nis
Te
Niños

l
n
bo
ció
lei
ó
ata
V
N
Niñas

c. ¿Cuántos niños prefieren básquetbol?

d. ¿Cuántas niñas prefieren vóleibol?

2 En la escuela midieron a los estudiantes de varios cursos para conocer la diferencia de

Nº de estudiantes

estatura entre niños y niñas. Observa el gráfico y responde.
10
9
8
7
6
5
4
3
2
1
0

a. ¿Cuál es la mayor estatura registrada
en las niñas?

b. ¿Cuántos niños y niñas fueron medidos?

1,31 1,32 1,33 1,34 1,35 1,36 1,37 1,38
Estaturas (metros)
Niñas
Niños

c. ¿Cuál es la menor estatura registrada
en los niños?

3 El siguiente gráfico muestra las distintas clases de animales y el número de especies que se
encuentran en peligro de extinción por continente.
20

Tipos de animales en extinción por continente

a. ¿Cuántas especies de aves están en peligro
de extinción en América?

15

b. ¿En qué continente hay más mamíferos en
peligro de extinción?

10
5
0

30

4º CUADERNILLO 6.indd 30

Aves

Mamíferos Reptiles
Especies
América
Europa

Peces

c. ¿Cuántas especies de aves están en peligro
de extinción en los tres continentes?

África

29/11/11 10:18:47
1 Observa la tabla de estaturas y responde las preguntas.
Estatura

Entre 1,50 m
y 1,60 m

Entre 1,60 m
y 1,70 m

Entre 1,70 m
y 1,80 m

Entre 1,80 m
y 1,90 m

Entre 1,90 m
y2m

Hombres

1 315

2 586

5 246

1 604

53

Mujeres

2 630

3 628

2 655

217

0

b. ¿Cuál es el total de mujeres que fueron medidas?
c. ¿Entre qué estaturas el número de mujeres es el doble que el de hombres?
d. ¿Cuántas personas miden más de 1,80 m?

Cuadernillo 6

a. ¿Cuál es el número total de hombres que fueron medidos?

6

e. ¿Cuántas mujeres miden menos de 1,70 m?
f. ¿Cuántas personas fueron medidas en total?
g. ¿Cuántos hombres más que mujeres miden entre 1,70 m y 1,80 m?
h. ¿Cuántas mujeres más que hombres miden entre 1,60 m y 1,70 m?
i. ¿Cuántas personas miden menos de 1,60 m?
j. ¿Cuál es la diferencia entre hombres y mujeres que miden más de 1,80 m?

2 Resuelve las siguientes adiciones:
a. 875 + 52 154 + 896 689 =

b. 587 418 + 94 004 + 894 =

c. 268 + 700 916 + 9 871 =

d. 181 586 + 258 126 + 1 024 =

e. 216 030 + 697 254 + 27 =

f. 458 + 863 978 + 258 278 =

g. 3 851 + 9 + 6 102 + 7 032 =

h. 4 189 + 72 910 + 158 + 6 254 =

i. 720 + 234 564 + 28 + 125 500 =

j. 1 020 + 954 231 + 85 – 2 =

k. 321 458 + 47 + 69 698 =

l. 25 647 + 23 056 + 218 + 61 =

3 Resuelve las siguientes sustracciones:
a. 7 568 – 569 =

b. 3 574 – 663 =

c. 569 569 – 257 895 =

d. 5 245 – 236 =

e. 2 567 – 1 256 =

f. 274 563 – 107 851 =

g. 75 143 – 2 964 =

h. 1 090 – 654 =

i. 607 314 – 563 257 =

j. 42 236 – 24 637 =

k. 256 712 – 895 =

l. 500 000 – 331 654 =

31

4º CUADERNILLO 6.indd 31

29/11/11 10:18:47
4 En el video club del barrio arriendan películas y videojuegos. Durante el primer semestre
del año 2011 las cantidades de títulos arrendados fueron los siguientes.
Enero: 750 películas y 500
videojuegos.
Abril: 1 250 películas y 1 000
videojuegos.
Febrero: 500 películas y 250
videojuegos.
Mayo: 1 500 películas y 750
videojuegos.

a. Ordena los datos en la siguiente tabla.

Mes

Cantidad de videojuegos
arrendados

Cantidad de películas
arrendadas

Enero
Febrero
Marzo
Abril

Marzo: 1 000 películas y 750
videojuegos.

Mayo

Junio: 500 películas y 500
videojuegos.

Total

5

Junio

Ahora el dueño del video club necesita hacer un gráfico de barras doble que exprese
los arriendos de películas y videojuegos. Completa el gráfico y responde.
Cantidad de arriendos

1 500
1 200
900
600
300
0

Enero

Febrero

Películas

Marzo
Abril
Meses

Mayo

Junio

Videojuegos

a. ¿Cuántas películas más que videojuegos se arrendaron en abril?

b. ¿Cuántos videojuegos se arrendaron en total entre los meses de enero y junio?

c. ¿Cuántas películas se arrendaron entre los meses de enero y junio?

32

4º CUADERNILLO 6.indd 32

29/11/11 10:18:47
4 Observa el gráfico y resuelve.
800

684

Asignaturas preferidas

741

660

618 589

600 527

482

369

400

547

529
368

308

0

Historia

Ciencias

Matemática Lenguaje
Asignaturas

Niños

Ed. Física

Cuadernillo 6

200
Arte

Niñas

Calcula la diferencia en las preferencias que se dan entre niños y niñas.
a. En Historia hay

más que prefieren esta asignatura.

b. En Ciencias hay

6

más que prefieren esta asignatura.

c. En Matemáticas hay

más que prefieren esta asignatura.

d. En Lenguaje hay

más que prefieren esta asignatura.

e. En Educación Física hay

más que prefieren esta asignatura.

f. En Arte hay

más que prefieren esta asignatura.

5 Calcula las preferencias por asignatura.
a. ¿Cuántos prefieren Historia?

b. ¿Cuántos prefieren Matemáticas?

c. ¿Cuántos prefieren Arte?

d. Cuántos prefieren Ciencias?

e. Cuántos prefieren Lenguaje?

f. Cuántos prefieren Ed. Física?

6 Calcula el total de niños encuestados.
a. Niños

b. Niñas

7 Calcula mentalmente las siguientes operaciones.
a. 275 + 320

=

b. 650 + 339

=

c. 565 + 430

=

d. 951 – 620

=

e. 478 – 406

=

f. 652 + 130

=

g. 1 023 + 256 =

h. 759 – 158

=

i. 2 729 – 1 429 =

j. 3 650 + 3 300 =

k. 217 + 543

=

l. 5 650 + 1 230 =

m. 8 005 – 3 500 =

n. 6 898 – 2 798 =

ñ. 9 211 – 3 011 =

33

4º CUADERNILLO 6.indd 33

29/11/11 10:18:48
Construyo tablas y gráficos
Para organizar el préstamo del gimnasio, la directora de la escuela necesita saber qué
cantidad de apoderados practica diferentes tipos de deportes. Completa la tabla,
la gráfica y responde.

1

Deporte

Cantidad de hombres que lo practican

Cantidad de mujeres que lo practican

Atletismo

20

50

Básquetbol

50

50

Vóleibol

30

20

Fútbol

80

Total
Cantidad de apoderados

80

a. ¿Cuál es el deporte más practicado
por las mujeres?

70
60
50

b. ¿Cuál es el deporte más practicado
por los hombres?

40
30
20
10
0

Atletismo

Básquetbol
Vóleibol
Deportes
Mujeres

Fútbol

c. ¿Qué deporte practican hombres y
mujeres por igual?

Hombres

2 Se realizó una encuesta para saber las preferencias de los estudiantes de 4º básico para la
fiesta de fin de año. 12 prefieren un asado, 6 un paseo al campo, 9 un paseo a la playa, 7 una
salida al cine y 3 una convivencia.
a. Construye una tabla para organizar la información arrojada en la encuesta.

Celebración

Número de estudiantes

Asado

b. ¿Qué opción tiene la más alta preferencia?
c. ¿Qué opción tiene la más baja preferencia?

34

4º CUADERNILLO 6.indd 34

29/11/11 10:18:48
1

Construye las tablas correspondientes a cada gráfico. Estima las cantidades.
a.

Vehículos vendidos

7 000
6 000
5 000
4 000

Cuadernillo 6

3 000
2 000
1 000
0

Enero

Febrero

Marzo

Nuevos

Abril

Usados

b.

Personas que escuchan radio

700

6

600
500
400
300
200
100
0

Mañana

Tarde

Radio A

Radio B

Noche
Radio C

2 Observa el gráfico 1 y la tabla, y estima la diferencia entre vehículos nuevos y usados
vendidos cada mes.
a. Enero

b. Febrero

c. Marzo

d. Abril

e. Calcula el total aproximado de autos usados vendidos.
f. Calcula el total aproximado de autos nuevos vendidos.

3 Observa el gráfico 2 y la tabla, y estima la cantidad total de personas que escuchan radio.
a. En la mañana

b. En la tarde

c. En la noche

d. ¿Cuántas personas más escuchan radio en la mañana que en la noche?
e. ¿Cuántas personas más escuchan radio en la noche que en la tarde?

35

4º CUADERNILLO 6.indd 35

29/11/11 10:18:49
3 ¿Qué color de pelo tienen tus compañeros y compañeras de curso? Haz la observación y
regístrala en la tabla. Luego construye el gráfico.
(Título)
Cantidad de niños y niñas

40

Color de pelo

35

Cantidad de
niños y niñas

30
25
20
15
10
5
0

Castaño

Negro
Rubio
Color de pelo

Colorín

Según el gráfico que construiste responde.
a. ¿Qué color de pelo tiene la mayoría de los niños?
b. ¿Qué diferencia hay entre el color que tiene la mayoría con el de la minoría?

4

El colegio de Luis le entregó las calificaciones del segundo semestre de esta forma.
Analiza el gráfico y responde las preguntas.

Calificaciones de Luis del 2º semestre

7

6,7

6,2
6

5,6
4,7

5
Notas

a. ¿Qué materias le son más fáciles
a Luis?

b. ¿En qué materias necesitaría
mejorar sus notas?

4,2

4

4
3
2

c. ¿En qué materias necesita estudiar
más? ¿Por qué?

1
ca
ísi
Ed
.F

M
ús
ic a

s

r ia
sto
Hi

Ci
en
cia

gu
aje
Le
n

M

at
em

át

ica

0

d. Con los datos extraídos del gráfico completa una tabla en tu cuaderno.

36

4º CUADERNILLO 6.indd 36

29/11/11 10:18:49
4 Observa el gráfico del problema anterior y ordena las calificaciones de Luis de mayor a menor.
,

,

,

,

,

.

5 Escribe entre qué unidades se encuentra cada calificación.
a. Música:

<

6,7 <

c. Ed. Física:

<

e. Historia:

<

<

<

<

d. Lenguaje:

<

<

<

f. Ciencias:

<

<

6 Ordena los siguientes números decimales de menor a mayor.
4,5 – 2,33 - 7,28 – 2,9 – 3,25 – 6,1 – 5,25 – 4,58
<

<

<

<

<

<

Cuadernillo 6

b. Matemática:

6

<

7 Une cada número con su descomposición.
a.

14,8

30 + 6 + 0,2

b.

25,1

0 + 0,7 + 0,05

c.

11,7

20 + 5 + 0,1

d.

36,2

10 + 4 + 0,8

e.

0,75

5 + 0,9 + 0,08

f.

5,98

10 + 1 + 0,7

8 Compara los números y escribe >, < o =.
a. 1,4

1,7

b. 13,1

12,4

d. 9,8

8,9

e. 1,11

g. 1,85

1,74

j. 3,9

c. 4,2

3,6

1,2

f.

7,25

7,250

h. 5,28

5,1

i.

6,4

7,1

3,8

k. 6,9

6,6

l.

0,37

0,45

m. 4,54

4,48

n. 1,26

1,1

ñ. 17,45

17,6

o. 3,45

3,5

p. 1,7

1,3

q. 3,6

3,5

r. 7,3

7,2

s. 4,2

4,20

t. 1,34

1,4

u. 3,70

3,7

v. 7,24

7,240

w. 0,96

0,7

37

4º CUADERNILLO 6.indd 37

29/11/11 10:18:50
5 Paola averiguó cuáles son los alimentos preferidos de los estudiantes de su escuela y lo
anotó de esta manera. Completa la tabla y contesta.

Tabla de frecuencias de consumo
Alimento
Leche

Marcas

Cantidad

a. ¿Cuántos tipos de alimentos hay?

IIIII IIII

Legumbres IIIII IIIII IIIII
Fideos

IIIII IIIII IIIII IIIII IIIII IIIII III

Arroz

IIIII IIIII IIIII IIIII IIIII

Carne

IIII

Pan

IIIII IIIII II

Verduras

IIIII IIIII IIIII IIIII III

b. ¿Cuál alimento es el preferido?

Cantidad

c. Traza un gráfico en el que se muestre la información anterior.
40
35
30
25
20
15
10
5
0

Fideos

Legumbres

Leche

Carne

Arroz

Pan

Verduras

6 Haz una encuesta en el curso acerca de las mascotas que tienen. Completa la siguiente

Mascota

Cantidad de
niños y niñas

Cantidad de niños y niñas

tabla de datos y grafica los resultados.

Mascotas

a. ¿Qué título le pondrías al gráfico?
b. ¿Cuál es la mascota preferida?
c. ¿Cuál es la mascota menos preferida?

38

4º CUADERNILLO 6.indd 38

29/11/11 10:18:50
9

Observa la tabla y escribe el deporte que corresponde a cada barra.

Deporte que practican

Tenis

Vóleibol

Fútbol

Atletismo

284

Nº de estudiantes

Básquetbol
325

157

647

274

Deporte que practican los estudiantes
b.

d

c.
d.

Cuadernillo 6

e
Deportes

a.

c
b
a

e.

0

200

400
600
Número de estudiantes

6

800

10 Observa la tabla y el gráfico y resuelve.
a. ¿Cuántos estudiantes no practican fútbol?
b. ¿Cuántos estudiantes no practican vóleibol?
c. ¿Cuántos estudiantes más practican básquetbol que atletismo?
d. ¿Cuál es la diferencia entre los que practican fútbol y vóleibol?
e. ¿Cuántos estudiantes practican deporte en esta escuela?

11 Observa la tabla y completa el gráfico.
Pantalones
b. Algodón

Precios

c. Cotelé
18 000
16 000
14 000
12 000
10 000
8 000
6 000
4 000
2 000
0

Tienda 2

Tienda 3

$12 540

a. Jeans

Tienda 1

$10 040

$15 970

$9 670

$12 780

$13 860

$10 480

$11 750

$8 420

Precios de pantalones

Tienda 1
Jeans

Tienda 2
Algodón

Tienda 3

Cotelé

39

4º CUADERNILLO 6.indd 39

29/11/11 10:18:51
7 La profesora hizo una encuesta para saber cuáles son los juegos de mesa preferidos por los
estudiantes de 4º básico. Registra en un gráfico los resultados obtenidos.

Juego

Votos

Lotería

a. ¿Cuál es el juego preferido?

5

Números

10

Quién fue

9

Memoria

3

Torres de madera

4

Turista

2

Adivina, adivinador

b. ¿Cuántos estudiantes contestaron la encuesta?

6

c. ¿Qué juego ocupa el tercer lugar de las preferencias?

d. Registra pintando los resultados en el gráfico.

Lotería

Números Quién fue Memoria Torres de
madera

Turista

Adivina
adivinador

8 Magaly va a estar de cumpleaños. Antes de elegir su torta hizo una encuesta entre sus
amigos para saber qué sabor preferían. Los resultados fueron los siguientes.

Frutilla

Vainilla

Chocolate

Tres leches

6

8

2

10

a. Representa los resultados de la encuesta en un gráfico en tu cuaderno.
b. Los amigos que opinaron van a ir a la fiesta. ¿Cuántos invitados tiene?

c. ¿Cuántos niños más prefieren la torta de tres leches que la torta de vainilla?

d. Si Magaly tomó en cuenta la opinión de la mayoría de sus compañeros, ¿de qué sabor
será su torta de cumpleaños?

40

4º CUADERNILLO 6.indd 40

29/11/11 10:18:51
Compara los gráficos y responde.

Precios año 2010
2 000

$1 850

$1 780

1 000
0

Mantequilla

$2 850

3 000

$2 540

2 000

$2 120

$1 830

1 000

kg leche kg cereales
Productos

0

Mantequilla

kg leche kg cereales
Productos

a. ¿En cuánto aumentó el precio del kilo de mantequilla?

Cuadernillo 6

Pesos

3 000

Precios año 2011

Pesos

12

6

b. ¿Cuál es la diferencia en el precio del kilo de leche en los dos años?
c. ¿En cuánto aumentó el precio del kilo de cereales?
d. ¿Cuáles productos en el año 2010 costaron entre $1 000 y $2 000?
e. ¿Cuáles productos costaban más de $2 000 pesos en 2011?
f. ¿Cuál producto aumentó menos su precio en estos dos años?

13 Construye un gráfico de barras doble a partir de los dos gráficos anteriores.

14 Redondea las cantidades a la unidad de mil más cercana.
a. 23 056

b. 121 005

c. 200 363

d. 154 892

e. 89 990

f. 457 601

g. 895 623

h. 12 501

i. 740 098

15 Redondea a la centena más cercana.
a. 212 458

b. 13 489

c. 565 234

d. 15 236

e. 365 556

f. 300 058

g. 75 262

h. 44 801

i. 428 890

41

4º CUADERNILLO 6.indd 41

29/11/11 10:18:51
9 Se entrevistó a un grupo de estudiantes para saber qué tipo de locomoción usaban para
llegar a la escuela. Representa en un gráfico de barras los datos de la tabla.

Tipo de
movilización

Nº de
estudiantes

Bicicleta

10

Micro

25

Caminando

18

Bus escolar

7

Taxi

4

Tren o metro

9

a. ¿Cuántos estudiantes fueron entrevistados?
b. ¿Cuál es el tipo de movilización más utilizado?
c. ¿Cuál es el tipo de movilización menos utilizado?
d. ¿Cuántos niños viajan más en micro que en bicicleta?
e. ¿Qué tipo de movilización usas tú?
f. Entrevista a tus compañeros y compañeras para saber en qué medio de transporte
llegan a la escuela. Registra los datos en tu cuaderno y construye una tabla.

10

Jorge tiene galletas con forma de animales en una bolsa. Tiene osos, conejos y gatos.
Sacó 40 galletas y anotó los resultados para ver qué forma de galleta tiene mayor
posibilidad de salir.

Veces que sacó galletas de la bolsa a. ¿Qué forma de galleta salió con mayor frecuencia?
Animal

Conteo

Oso

IIII IIII

Conejo

IIII IIII

Gato

IIII IIII

IIII IIII

b. ¿Qué forma de galleta salió con menor frecuencia?

II

c. ¿Por qué crees tú que sucedió esto?
d. Si dentro de la bolsa hubiera el doble de conejos que de osos y gatos, ¿crees tú que
el resultado sería igual? ¿Por qué?

e. Construye en tu cuaderno un gráfico de barras para representar los resultados
de Jorge.

42

4º CUADERNILLO 6.indd 42

29/11/11 10:18:52
16 Haz gráficos de barra, utilizando los siguientes datos.
Año

Día de la semana Número de minutos de tarea

Número de camionetas vendidas

20

1985

8

Día 2

45

1986

12

Día 3

20

1987

18

Día 4

60

1988

28

Día 5

45

1989

35

a.

b.

Cuadernillo 6

Día 1

6

17 Observa la siguiente tabla.
Mes

Consumo de agua en litros

a. ¿Cuál es la diferencia de consumo entre las
dos familias cada mes?

Familia López

Familia Rosas

Enero

1 600

1 500

Febrero

1 700

1 650

Febrero

Marzo

1 400

1 100

Marzo

850

720

Abril

Enero

Abril

b. Transforma la tabla en un gráfico de barras doble. Coloca el título, el rótulo vertical y
el horizontal.

c. ¿Cuál fue el consumo de cada familia en los 5 meses?

43

4º CUADERNILLO 6.indd 43

29/11/11 10:18:52
Preparo mi SIMCE
1. La tabla muestra la población de diferentes ciudades de Chile en el año 2005. ¿Qué ciudad
tiene menos habitantes?

La Serena

Copiapó

Iquique

Chillán

Valdivia

Osorno

427 794

160 994

214 586

206 670

155 254

160 475

a. Copiapó

b. Iquique

c. Osorno

d. Valdivia

2. La siguiente tabla presenta, en toneladas, el consumo de frutas y hortalizas en Chile, en el
año 1998. Indica cuál es el gráfico que corresponde.

Tomate

Choclo

Zapallo

Sandía

Melón

490 683

188 356

120 529

61 999

55 826

600 000

600 000

500 000

500 000

500 000

400 000

400 000

400 000

300 000

300 000

300 000

200 000

200 000

200 000

100 000

100 000

100 000

0

0

0

To
m

To
m

To
m

600 000

at
e
Ch
oc
lo
Za
pa
llo
Sa
nd
ía
M
eló
n

c.

at
e
Ch
oc
lo
Za
pa
llo
Sa
nd
ía
M
eló
n

b.

at
e
Ch
oc
lo
Za
pa
llo
Sa
nd
ía
M
eló
n

a.

3. ¿Cuál es la secuencia que corresponde en el eje vertical del gráfico?
1 050
750

820

a. 200 – 400 – 600 – 800 – 1 000

b. 100 – 300 – 500 – 700 – 900

c. 200 – 300 – 400 – 500 – 600

d. 200 – 350 – 500 – 650 – 800

44

4º CUADERNILLO 6.indd 44

29/11/11 10:18:55
¿Cuánto aprendí?
1. En la escuela Holanda se llevó a cabo un concurso de cálculo mental. ¿Qué grupo ganó el
concurso?
5º A

5º B

5º C

5º D

Calificación

9,04

9,3

9,7

9,09

a. 5º D

b. 5º C

c. 5º B

d. 5º A

2. A partir de la tabla, elabora un gráfico.

Color de pintura

Votos

Gris

116

Celeste

156

Rojo

6

106

Beige

Cuadernillo 6

Grupo

156

3. Mario ha hecho un estudio acerca de su producción de manzanas en los últimos 4 años.
Observa el gráfico y construye la tabla.

Kilos de manzanas

1 000 000

Producción anual de manzanas (2000 - 2004)

Años

Kilos de manzanas

800 000
600 000
400 000
200 000
0

2000

2001

2002
Años

2003

2004

a. ¿Qué representan los números 2000, 2001, 2002 y 2003?
b. ¿Cuántos kilos de manzanas produjo aproximadamente el año 2002?
c. ¿En cuánto aumentó la producción entre los años 2000 y 2001?
d. ¿Es posible predecir cuánto será la producción de manzanas el año 2004? ¿Por qué?
¿Cuánto será?

45

4º CUADERNILLO 6.indd 45

29/11/11 10:18:56
x xxxxx

4. ¿Cómo van ordenados los datos en el eje horizontal de este gráfico?

Ropa recolectada en la campaña de la escuela
Polera

658

Chaqueta

323

Zapatillas

459
364

Pantalón

a. De 10 en 10

b. De 100 en 100

c. De 80 en 80

d. De 200 en 200

5. En la siguiente tabla se indica la superficie de algunos países de Sudamérica. ¿Cuál es el país
con menor superficie de los indicados en la tabla?

País

Superficie en km2

a. Bolivia

Bolivia

1 098 581

b. Colombia

Colombia

1 141 748

c. Perú

Perú

1 285 216

d. Venezuela

Venezuela

1 016 017

6. El dueño de una paquetería contó todos los artículos para coser que tenía e hizo este gráfico.
Si en total tenía 53 450 artículos, ¿cuántos hilos hay?
a. 7 830

b. 50 120
25 000

c. 3 330

d. 33 300

22 500

Cantidad

20 000
15 000

12 620
10 000

10 000

5 000

5 000
0

Botones

Cierres

Cintas

Broches

Hilos

Artículos

46

4º CUADERNILLO 6.indd 46

29/11/11 10:18:58
S O L U C I ON A R I O
Página 5

Página 2
1. a. Ramón
2. a. 2 m

b. 414
b. Alce

c. 95
c. 3 m

4.

40
35

Página3
1.

Cuadernillo 6

30
Kilos

25
20
15
10

6

5
0
5.

María

Juan

Animal

a. Niños.
2. a. 12
3. b.

b. 10
b. 7

c. 28
c. 10

Lunes.
Martes y jueves.
Sábado.
5 ºC
Lunes, martes, jueves y viernes.

70
60
Estudiantes

6.

Peso (kg)

14
12
10
Edad

80

Luisa

a. Cebra
308
b. Jirafa
867
c. Ciervo
459
d. Mono araña
9
e. Hipopótamo
1358
f. Pingüino
45
g. Tigre
285
h. Hipopótamo; Jirafa; Ciervo; Cebra; Tigre;
Pingüino; Mono araña.

Página 4
3. a.
b.
c.
d.
e.
4.

Pedro

8
6
4

50

2

40

0

30

Felipe

Andrés

Claudio

20
10
0

Acción
a. Ficción.
b. Bélicas.

Terror

Bélicas Comedias Ficción

Página 6
1. a.
Clases de animales
Aves
Peces
Mamíferos
Reptiles
Anfibios

Especies en peligro
70
65
40
15
5

47

4º CUADERNILLO 6.indd 47

29/11/11 10:19:03
2. a. 5 • 2
3.

b. 5 • 3

c. 5 • 5

f. 99 998 < 99 999 < 100 000
g. 987 988 < 987 989 < 987 990
h. 125 555 < 125 556 < 125 557
Página 10
7. a.
c.
e.
8. a.
d.

Ema.
b. Mario.
30 empanadas.
d. 30 empanadas.
10 empanadas.
Cumbia.
b. Salsa.
c. 58
18 alumnos.

Página 11
Página 7
1. b.
2. Pablo.
a. Ramón.
b. Paulo 31; Emilio 28; Ramón 10; Pablo 40;
Andrés 15.
c. 124 bolitas.
3. 220 películas.
a. Infantiles y terror.
Página 8
4. a.
b.
5. a.
b.
6. a.
b.
c.
d.

Aproximadamente 60 000 turistas.
Aproximadamente 70 000 turistas.
Carlos.
Hay 10 puntos de diferencia.
90
90
Juego de recorrido.
Juego de rompecabezas.

Página 9
4. a. $256 500
b. $123 000
c. $177 600
d. $49 200
5. a. $57 000
b. $24 600
c. $59 200
d. $32 800
6. a. 60 000
b. 20 000
c. 60 000
d. 30 000
7. 102 108 / 102 099 / 102 017 / 102 016 / 101 900 /
101 899 / 101 256 / 101 165.
8. a. 2
b. 30
c. 5
d. 6
e. 70
f. 80
g. 90 h. 2
9. a. 65 089 < 65 090 < 65 091
b. 46 200 < 46 201 < 46 202
c. 11 188 < 11 189 < 11 190
d. 94 598 < 94 599 < 94 600
e. 37 509 < 37 510 < 37 511

10. a. Ventas de marzo.
11. a. Jugos.
c. Empolvados.
12. a. 300 empanadas.
c. 1 100 empolvados.
13. a. 2 700 empanadas.
c. 8 500 empolvados.

b. Ventas de abril.
b. Empanadas.
b. 700 jugos.
b. 9 900 jugos.

Página 12
9. a. Bebida de lata.
c. Limonada.
10. a. 710 millones.
c. 1930 - 1994

b. Jugo de frutas y té frío.
d. 5
b. 230 millones.

Página 13
11. a. 115
b. 45
12. a. Supermercado. b. 520 litros.
13. a. De 50 en 50.
b. Viernes.

c. 60 personas.

Página 14
14. a. La fruta preferida por los niños fue la manzana.
b. 8
15. a. 438 532
b. De 200 000 en 200 000.
c. Elvira.
16. a. Cantidad de personas.
b. Una baja de 200 000 personas.
c. 220 000 personas.
Página 15
14. a.
b.
c.
d.
e.

1 878 173
59 421
165 807
Elvira, Carlos, Sonia, Adriana, Jaime, Manuel.
130 000; 560 000; 190 000; 310 000; 260 000;
430 000.

48

4º CUADERNILLO 6.indd 48

29/11/11 10:19:04
Página 16
17. Título: Venta anual de helados
a. Chocolate.
b. Para determinar cuál es el sabor más vendido.
c. 62
18. a. Sándwich.
b. Jugos.
c. Yogur.
d. Se vendieron 113 productos.
Página 17
17. a. Enero: 20; Febrero: 17
b. Enero: 5; Febrero: 6
c. Enero: 6; Febrero: 5
b.
c.
18. a.

d.

e.

f.

Página 19
1. a.
2. a. En el gráfico a. los números van del 0 al 300,
mientras que en el gráfico b. los números van
del 0 al 400.
b. En el gráfico c. los números van del 0 al 300 y
la graduación es de 100 en 100, mientras que
en el gráfico d. los números van del 0 al 250 y la
graduación es de 50 en 50.
c. En el gráfico b. los números van del 0 al 400 y
la graduación es de 100 en 100, mientras que
en el gráfico d. los números van del 0 al 250 y la
graduación es de 50 en 50.
d. En el gráfico a. los números van del 0 al 300 y
la graduación es de 100 en 100, mientras que
en el gráfico d. los números van del 0 al 250 y la
graduación es de 50 en 50.
e. En el gráfico b. los números van del 0 al 400,
mientras que en el gráfico c. los números van
del 0 al 300.

Cuadernillo 6

15. a. 36 977
b. 1 108 086
c. 229 790
d. 1 399 344
e. 112 570
f. 69 942
16. a. Verdes: 195; Fucsias: 135; Calipsos: 90; Cafés:
120; Rojas: 180.

6

Página 20
3. a.
d.
4. a.
d.

Todos.
300 libros.
Miércoles.
Miércoles.

b. Leyendas.

c. 400 libros.

b. Lunes.

c. Lunes.

Página 21

Enero
a. Enero
d. 1 día

Febrero
b. Enero
e. 37 días.

c. Febrero

Página 18
1. a. Distancia que saltan los animales.
b. Centímetros.
c. No
2. a.
Preferencias Deportivas
Deporte
Número de estudiantes
Vóleibol
24
Atletismo
54
Fútbol
42
Básquetbol
15
b. El atletismo.
c. Múltiples respuestas.

3. a. Sucursal A: 3; Sucursal B: 2; Sucursal C: 3.
b. 8 empleados. c. Javier.
d. Cecilia.
e. $894 170
f. $374 720
g. $670 100
4. a. $184 550
b. $124 160
c. $53 740
d. $251 890
e. $110 780
5. a. 459 000
b. 274 000
c. 300 000
d. 176 000
e. 199 000
f. 207 000
g. 136 000
h. 189 000
6. $1 938 990
Página 22
5. a. Agencia 1: Auto familiar; Agencia 2: Camioneta
de carga 2.
b. 20 autos.
c. Agencia 1: Camioneta de carga 2; Agencia 2:
Camioneta deportiva.
d. Agencia 1: Auto y camioneta familiar; Agencia 2:
Camioneta de carga 1 y 2.

49

4º CUADERNILLO 6.indd 49

29/11/11 10:19:06
6.

8.
240

Número de habitantes entre 1790 - 1830

8,0

210
Autos vendidos

180

7,0
Habitantes por km2

150
120
90
60
30

6,0
5,0
4,0

fam Au
il to
Ca iar
de mio
po ne
rti ta
Ca va
m
i
famone
il ta
Ca iar
de mio
ca ne
rg ta
a1
Ca
m
de io
ca ne
rg ta
a2

co
m Au
pa to
ct
o

0

Tipo de auto
Agencia 1
Agencia 2

Inventos patentados

Número de alumnos

500
450
400
350
300
250

1810
Año

1820

1830

c. 48 bolitas.

25
20
15
10
5
0

200
150

Guitarra Teclado Flauta Bajo
Tipo de instrumento

Batería

Página 25

100
1836

1837

1838

1839

Año
a. 550

1800

Página 24

550

Número de patentes

1790

7. c
8. a. Karla.
b. 36 bolitas.
9. a. 80 estudiantes.
b.
30

Página 23
7.

0

b. 1840

c. 411

1840

9. a. 24 562; 32 115; 36 480; 40 251; 68 207; 74 287.
b. 61 042 niños.
c. 114 538 niños.
d. 100 322 niños.
e. 275 902 niños.
f. Mayo, junio y agosto.
g. Abril.
h. 49 725 niños.
i. 36 092 niños.

50

4º CUADERNILLO 6.indd 50

29/11/11 10:19:07
1 382 850
77 470
94 256
41 092
132 131
900, 901, 902, 903, 904.
831, 830, 829, 828, 827.

Página 26
10. a.
b.
c.
d.
e.
f.
11. a.
b.
c.
d.
e.
f.

Juego de naipes.
Teatro.
2 871 personas.
22 535 personas.
de 2 000 en 2 000.
Juego de naipes, bingo y pintura.
Probabilidades de lanzamiento.
50 veces.
Cara.
Cara: 28; Sello: 22
50
No, porque es al azar.

Página 27
12. a. Número de estudiantes.
b.
c.
d. 100 estudiantes.
13. a. 500 estudiantes.
b. 600 estudiantes.
c. 300 estudiantes.
d. 800 estudiantes.
14. a. 200 – 250 – 300 – 350 – 400.
b. 750 – 950 – 1 150 – 1 350 – 1 550.
c. 3 500 – 4 500 – 5 500 – 6 500 – 7 500.
d. 0,8 – 0,9 – 1,0 – 1,1 – 1,2.
e. 11,5 – 12 – 12,5 – 13 – 13,5.
f. 1,6 – 1,8 – 2,0 – 2,2 – 2,4.
15. a. 280 / 360 / 400 / 480 / 560 / 600.
b. 1 350 / 1 380 / 1 440 / 1 470 / 1 500 / 1 560.
c. 1,1 / 1,3 / 1,5 / 1,9 / 2,1 / 2,5.
d. 15,2 / 15,3 / 15,5 / 15,6 / 15,7 / 15,9 / 16,0.
e. 52 730 / 52 830 / 52 830 / 52 880 / 52 980 /
53 030 / 54 130.
f. 18,05 / 18,10 / 18,15 / 18,30 / 18,40 / 18,45.

Página 28
12.
Mes

Cantidad de películas (Frecuencia)
20
60
35
25
20
10
45

Junio
Julio
Agosto
Septiembre
Octubre
Noviembre
Diciembre
a. Julio.
13. a. Suma la cantidad de estudiantes.
b. 25
c. 9
d. 16
e. 14

Cuadernillo 6

10. a.
b.
c.
d.
e.
11. a.
b.

6

Página 29
16. a. Verde
17. a. 10
d. 35
18. a. 20
d. 70
19. a. 40
d. 140
20. a. 200
d. 700
21. a. 454 240
d. 3012
22. a. 3420
d. 230 000
23. a. 288 204
c. 627 011

b.
b.
e.
b.
e.
b.
e.
b.
e.
b.
e.
b.
e.
b.
d.

Azul
45
5
90
10
180
20
900
100
3 791 862
14 081
18 000
7 000
567 858
228 132

c.
c.
f.
c.
f.
c.
f.
c.
f.
c.

Verde
30
40
60
80
120
160
600
800
260 690

c. 50 100

Página 30
1. a.
c.
2. a.
3. a.

Natación y vóleibol.
b. Fútbol.
10
d.5
1,36 metros. b. 82
c. 1,31 metros.
5
b. América.
c. 7

Página 31
1. a.
c.
e.
g.
i.

10 804 hombres.
Entre 1,50 y 1,60 metros.
6 258 mujeres.
2 591 hombres más.
3 945 personas.

b. 9 130 mujeres.
d. 1 874 personas.
f. 19 934 personas.
h. 1 042 mujeres más.
j. 1 440 hombres más.

51

4º CUADERNILLO 6.indd 51

29/11/11 10:19:07
2. a.
d.
g.
j.
3. a.
d.
g.
j.

949 718
440 736
16 994
955 334
6 999
5 009
72 179
17 599

b. 682 316
e. 913 311
h. 83 511
k. 391 203
b. 2 911
e. 1 311
h. 436
k. 255 817

c.
f.
i.
l.
c.
f.
i.
l.

711 055
1 122 714
360 812
48 982
311 674
166 712
44 057
168 346

7. a. 595
d. 331
g. 1 279
j. 6 950
m.4 505

4.

Enero
Febrero
Marzo
Abril
Mayo
Junio
Total
Cantidad de arriendos

5.

1 500
1 200
900
600
300
0

a. 250

Enero Febrero Marzo Abril Mayo Junio
Meses
Películas
b. 3 750

Videojuegos
c. 5 500.

Página 33
4. a. 157 niñas.
c. 29 niños.
e. 179 niños.
5. a. 1 211 niños y niñas.
b. 1 207 niños y niñas.
c. 837 niños y niñas.
d. 1 110 niños y niñas.
e. 1 142 niños y niñas.
f. 915 niños y niñas.
6. a. Niños: 3 401.
b. Niñas: 3 021.

b. 372 niños.
d. 178 niños.
f. 221 niñas.

Atletismo
Básquetbol
Vóleibol
Fútbol
Total

Cantidad de hombres
que lo practican
20
50
30
80
180

Cantidad de mujeres
que lo practican
50
50
20
0
120

a. Atletismo y básquetbol.
b. Fútbol.
c. Básquetbol.
80
70
60
50
40
30
20
10
0
Atletismo Básquetbol Vóleibol
Fútbol
Deportes
Mujeres
Hombres
2. a.
Cantidad de apoderados

Mes

c. 995
f. 782
i. 1 300
l. 6 880
ñ. 6 200

1.
Mes

Cantidad de DVD
arrendados
750
500
1 000
1 250
1 500
500
5 500

989
72
601
760
4 100

Página 34

Página 32
Cantidad de
videojuegos arrendados
500
250
750
1 000
750
500
3 750

b.
e.
h.
k.
n.

Celebración
Número de estudiantes
Asado
12
Paseo al campo
6
Paseo a la playa
9
Salida al cine
7
Convivencia
3
b. Asado.
c. Convivencia.

52

4º CUADERNILLO 6.indd 52

29/11/11 10:19:08
1. a.
Vehículos nuevos Vehículos usados
2 000
7 000
3 000
6 000
4 000
5 000
6 000
3 000

b.
Tipo Nº de auditores Nº de auditores Nº de auditores
de radio en la mañana en la tarde
en la noche
A
600
200
250
B
550
150
400
C
500
100
350
2. a. 5 000 autos.
b. 3 000 autos.
c. 1000 autos.
d. 3 000 autos.
e. 21 000 autos.
f. 15 000 autos.
3. a. 1 650 personas.
b. 450 personas.
c. 1 000 personas.
d. 650 personas.
e. 550 personas.

Página 38

Cantidad

5. a. 7
b. Fideos.
c.

Página 36

Fid

Le
g
6. a. Múltiples respuestas.
b. Múltiples respuestas.
c. Múltiples respuestas.

Página 37
4. 6,7 – 6,2 – 5,6 – 4,7 – 4,2 - 4,0.
5. a. 6 < 6,7 < 7
b. 3 < 4 < 5
c. 5 < 5,6 < 6
d. 6 < 6,2 < 7
e. 4 < 4,2 < 5
f. 4 < 4,7 < 5

Celebración
Promedio de calificaciones

40
35
30
25
20
15
10
5
0

eo
s
um
br
es
Le
ch
e
Ca
rn
e
Ar
ro
z

3. a. Múltiples respuestas.
b. Múltiples respuestas.
4. a. Música y Lenguaje.
b. Matemática, Historia y Ciencias.
c. Matemática e Historia.
d. * Ver solución al pie de página.

4. d. *

6

Pa
n
Ve
rd
ur
as

Mes del año
Enero
Febrero
Marzo
Abril

6. 2,33 – 2,9 – 3,25 – 4,5 – 4,58 -5,25 – 6,1 – 7,28.
7. a. 10 + 4 + 0,8
b. 20 + 5 + 0,1
c. 10 + 1 + 0,7
d. 30 + 6 + 0,2
e. 0 + 0,7 + 0,05
f. 5 + 0,9 + 0,08
8. a. 1,4 < 1,7
b. 13,1 > 12,4
c. 4,2 > 3,6
d. 9,8 > 8,9
e. 1,11 < 1,2
f. 7,25 = 7,250
g. 1,85 > 1,74
h. 5,28 > 5,1
i. 6,4 < 7,1
j. 3,9 > 3,8
k. 6,9 > 6,6
l. 0,37 < 0,45
m.4,54 > 4,48
n. 1,26 > 1,1
ñ. 17,45 < 17,6
o. 3,45 < 3,5
p. 1,7 > 1,3
q. 3,6 > 3,5
r. 7,3 > 7,2
s. 4,2 = 4,20
t. 1,34 < 1,4
u. 3,70 = 3,7
v. 7,24 = 7,240
w. 0,96 > 0,7

Cuadernillo 6

Página 35

Matemática Lenguaje
4,0

6,2

Ciencias Historia Música Educación Física
4,7

4,2

6,7

5,6

53

4º CUADERNILLO 6.indd 53

29/11/11 10:19:09
8. a.

Página 39
9. a. Atletismo.
b. Vóleibol.
c. Básquetbol.
d. Tenis.
e. Fútbol.
10. a. 1 040 estudiantes.
b. 1 530 estudiantes.
c. 51 estudiantes.
d. 490 estudiantes.
e. 1 687 estudiantes.
11. * Ver solución al pie de página.

10

Preferencia

8
6
4
2
0

Página 40

Frutilla

Vainilla Chocolate Tres leches
Variedades

b. 26
c. 2
d. Tres leches.

7. a. Números.
b. 39
c. Adivina, adivinador.
d.

Página 41

Lo
te
ría
Nú
m
er
os
Qu
ién
fu
e
M
em
or
ia
To
rre
m sd
ad e
er
a
Tu
ris
ta
ad Ad
ivi ivi
na na
do
r

12. a. 270 pesos.
b. 310 pesos.
c. 50 pesos.
d. Mantequilla y cereales.
e. Mantequilla y leche.
f. Cereales.

Precios de pantalones

Precios

11. *
18 000
16 000
14 000
12 000
10 000
8 000
6 000
4 000
2 000
0

Tienda 1
Jeans

Tienda 2
Algodón

Tienda 3
Cotelé

54

4º CUADERNILLO 6.indd 54

29/11/11 10:19:10
14. a.
c.
e.
g.
i.
15. a.
c.
e.
g.
i.

Mantequilla

Leche
Cereales
Productos
2011
2010

23 000
200 000
90 000
896 000
740 000
212 500
565 200
365 600
75 300
428 900

b. 121 000
d. 155 000
f. 458 000
h. 13 000

Cuadernillo 6

Número de veces

10. a. Oso.
b. Conejo.
c. Múltiples respuestas.
d. Múltiples respuestas.
e.
16

3 200
2 800
2 400
2 000
1 600
1 200
800
400
0

12
8
4
0

Oso

Conejo
Forma

6

Gato

Página 43
16. a.

b.13 500
d. 15 200
f. 300 100
h. 44 800

75
60
Minutos

Pesos

13.

45
30
15

Página 42

1

25

2

3
Días

4

5

b.
20

50
Número de
camionetas

Número de estudiantes

9.

15
10
5
i
Tre
m n
et o
ro

Ta
x

co Bus
lar
es

M
icr
o
Ca
m
in
an
do

B ic

icl

et

a

0

40
30
20
10
1985 1986 1987 1988 1989
Años

Tipo de movilización

a.
b.
c.
d.
e.
f.

73
Micro.
Taxi.
15
Múltiples respuestas.
Múltiples respuestas.

55

4º CUADERNILLO 6.indd 55

29/11/11 10:19:11
1 800
1 600
1 400
1 200
1 000
800
600
400
200
0

Consumo mensual de agua

¿Cuánto aprendí?
1. b.
2.
200
Número de votos

Litros

17. a. Enero: 100 litros. Febrero: 50 litros. Marzo: 300
litros. Abril: 130 litros.
b.

160
120
80
40
Gris

Enero

Febrero
Marzo
Abril
Meses
F. López
F. Rosas

Rojo

3.

c. Familia López: 5 550 litros.
Familia Rosas: 4 970 litros.
Preparo mi SIMCE
1. d.
2. b.
3. a.

Beige
Celeste
Colores

a.
b.
c.
d.
4. c.
5. d.
6. a.

Años
Kilos de manzanas
2 000
200 000
2 001
400 000
2 002
600 000
2 003
800 000
Años
600 000 kilos
200 000 kilos
Múltiples respuestas.

56

4º CUADERNILLO 6.indd 56

29/11/11 10:19:11

¡Qué bueno que quieras aprender matemáticas!

  • 1.
    ¡Qué bueno quequieras aprender matemáticas! Con los cuadernos de trabajo ejercitarás todo lo que has aprendido en clases e incluso te divertirás resolviendo entretenidos desafíos. Junto a cada actividad encontrarás un cubo, que, según su color, indica el nivel de dificultad de cada ejercicio o problema. El cubo amarillo indica que el problema o ejercicio es sencillo. El cubo verde indica que el problema o ejercicio es de mediana dificultad. Cuadernillo 6 Ten presente que cuando te encuentres trabajando sobre la hoja de color, estarás desarrollando problemas matemáticos y cuando lo hagas sobre la hoja blanca, estarás resolviendo ejercicios. 6 El cubo azul indica que el problema o ejercicio es de mayor dificultad, pero no te asustes, con un poco de esfuerzo lo puedes resolver. Si en cambio te encuentras con este cubo, quiere decir que estás frente a un desafío… ¡Atrévete a superarlo! Que tu mente no se duerma, las matemáticas son parte de tu vida. Índice • Extraigo y ordeno datos .....................................................................2 Habilidades • Interpreto y construyo gráficos de barra simple ......................6 • Describir • Interpreto y construyo gráficos de barra horizontal ............ 18 • Ordenar y comparar • Interpreto y construyo gráficos de barra doble o triple ..... 30 • Seleccionar y relacionar • Construyo tablas y gráficos ............................................................. 34 • Aplicar y fundamentar • Preparo mi SIMCE ................................................................................ 44 • Inferir • ¿Cuánto aprendí? ................................................................................ 45 • Representar • Solucionario ........................................................................................... 47 4º CUADERNILLO 6.indd 1 29/11/11 10:18:13
  • 2.
    Extraigo y ordenodatos 1 La directora de la escuela quiere conocer los resultados de las elecciones de presidente del Centro de Padres. Para eso organizó los datos en la siguiente tabla. Obsérvala y contesta las preguntas. Nombre Votos Ramón 195 Andrés 157 Elvira 62 a. ¿Quién ganó las elecciones? b. ¿Cuántas personas votaron en total? c. ¿Cuántos votos más tuvo Andrés que Elvira? 2 El veterinario del zoológico necesitaba hacer un registro con las estaturas de algunos animales. Para esto realizó el siguiente gráfico. Busca la información que te permitirá contestar las preguntas. Estatura de animales 5 Metros 4 3 2 1 0 León Jirafa Elefante Animales Alce a. ¿Cuánto más alta es la jirafa que el elefante? b. ¿Qué animal es más alto que el león, pero más bajo que el elefante? c. ¿Cuánto más alto tendría que ser el alce para alcanzar la estatura de la jirafa? 2 4º CUADERNILLO 6.indd 2 29/11/11 10:18:13
  • 3.
    Cuadernillo 6 1 Coloreaun rectángulo por cada persona que está patinando en la pista. 6 a. ¿Qué hay más, niños o niñas? b. ¿Cuántos niños y niñas hay más que adultos? c. ¿Cuántas personas hay en la pista? 2 Observa la gráfica y responde. a. ¿Cuántos estudiantes prefieren la gelatina de piña? b. ¿Cuántos prefieren la de naranja? c. ¿Cuántos la de uva? 3 ¿Cuál de los siguientes gráficos muestra el resultado de la encuesta que hizo Rosa acerca de la fruta favorita de los estudiantes de su clase? Plátano 5 Mango 20 Melón 12 Sandía 18 a. 20 b. 20 18 16 14 12 10 8 6 4 2 0 18 16 14 12 10 8 6 4 2 0 Plátano Mango Melón Sandía Plátano Mango Melón Sandía 3 4º CUADERNILLO 6.indd 3 29/11/11 10:18:21
  • 4.
    3 Paulina anotóla temperatura máxima del día durante una semana. Y la registró en la siguiente tabla de datos. Observa y contesta las preguntas. a. ¿Qué día la temperatura fue más alta? Días de la semana Tº máxima Lunes 25 ºC Martes 23 ºC Miércoles 21 ºC Jueves 23 ºC Viernes 24 ºC Sábado 20 ºC Domingo 22 ºC b. ¿Qué días la temperatura máxima fue igual? c. ¿Qué día marcó la menor temperatura? d. ¿Qué diferencia hubo entre el día de mayor temperatura con el de menor temperatura? e. Escribe los días de las tres temperaturas más altas. 4 En la escuela de David se hizo una encuesta para saber qué tipo de películas preferían los estudiantes. Usa la tabla para construir un gráfico. Tipo de película Acción Terror Bélicas Comedias Ficción Nº de estudiantes 72 69 47 57 76 80 70 Estudiantes 60 50 40 30 20 10 0 Acción Terror Bélicas Comedias Ficción a. ¿Cuál es el tipo de películas preferido por los estudiantes? b. ¿Qué tipo de películas es el que menos les gusta? 4 4º CUADERNILLO 6.indd 4 29/11/11 10:18:22
  • 5.
    4 Representa enel gráfico los siguientes datos. a. María, 25 kilos. b. Juan, 35 kilos. c. Pedro, 15 kilos. d. Luisa, 40 kilos. 40 35 30 Kilos 25 20 Cuadernillo 6 15 10 5 0 María Juan Pedro Luisa 6 5 Organiza en la tabla el peso de los siguientes animales: a. cebra: 308 kg; b. jirafa: 867 kg; c. ciervo: 459 kg; d. mono araña: 9 kg; e. hipopótamo: 1 358 kg; f. pingüino: 45 kg y g. tigre: 285 kg. h. Ordena los animales de mayor peso a menor peso. a. b. c. d. e. f. g. , , , , , , . 6 Representa en el gráfico los siguientes datos. a. Felipe, 8 años. b. Andrés, 12 años. c. Claudio, 4 años. 14 12 Edad 10 8 6 4 2 0 Felipe Andrés Claudio 5 4º CUADERNILLO 6.indd 5 29/11/11 10:18:22
  • 6.
    Interpreto y construyográficos de barra simple 1 Uno de los más graves problemas de nuestro mundo es la contaminación y el poco cuidado del ambiente. Debido a esto, muchas especies de animales han desaparecido y otras están amenazadas. El siguiente gráfico muestra el número de especies animales que están en peligro de extinción. Animales en extinción en el mundo 80 Nº de especies 70 60 a. En la tabla, anota los datos de la gráfica anterior, ordenando las clases de animales, de mayor a menor, según el número de especies en peligro de extinción. Clase de animales 50 Especies en peligro 40 30 20 10 0 ros fe mí Ma 2 es Av s ile R t ep ios fib An s ce Pe La profesora hizo una encuesta para saber qué frutas prefieren los estudiantes. Cada carita feliz representa 5 niños. Con la información recolectada: a. Escribe la operación que representa la cantidad de niños que prefieren las naranjas. b. Escribe la operación que representa la cantidad de niños que prefieren las manzanas. c. Escribe la operación que representa la cantidad de niños que prefieren los plátanos. 3 Con los datos anteriores, elabora una gráfica de barras. Colorea un rectángulo por cada niño que escogió una fruta (elige un lápiz diferente para cada fruta). 6 4º CUADERNILLO 6.indd 6 29/11/11 10:18:25
  • 7.
    1 Elige latabla correcta que contiene los datos que muestra la gráfica. a. Amarillo Celeste Verde Amarillo Morado 20 40 15 Verde Celeste Amarillo Morado 40 20 25 15 Verde Celeste Amarillo Morado 20 c. Celeste 25 b. Verde 25 15 40 Morado Cuadernillo 6 45 40 35 30 25 20 15 10 5 0 6 2 La gráfica muestra las bolitas que tienen algunos niños del grupo de segundo año. ¿Quién tiene más? Encierra el nombre. • Paulo 50 40 30 20 10 0 • Emilio • Ramón • Pablo • Andrés a. ¿Quién tiene menos bolitas? • Paulo • Emilio • Ramón • Pablo • Andrés b. Estima cuántas bolitas tiene cada niño. • Paulo • Pablo Ramón Paulo Andrés Pablo Emilio • Emilio • Ramón • Andrés c. ¿Cuántas bolitas tienen en total los niños según tu estimación? 3 La siguiente tabla muestra las películas que se arrendaron en un club de videos durante una semana. ¿Cuántas películas se arrendaron en total? Género Acción Infantiles Suspenso Terror Comedia Películas 25 80 45 20 50 • 320 • Más de 400 • 220 • Menos de 200 a. ¿Qué tipo de películas se arrendaron más y cuáles menos? • Acción y suspenso. • Infantiles y comedia. • Comedia y terror. • Infantiles y terror. 7 4º CUADERNILLO 6.indd 7 29/11/11 10:18:25
  • 8.
    4 Una líneaaérea necesita saber cuáles son los países de Latinoamérica más visitados por turistas. 120 000 a. Según el gráfico, ¿cuántos turistas llegan más a México que a Perú, aproximadamente? Turistas 100 000 80 000 60 000 b. Aproximadamente, ¿cuántos turistas visitaron Brasil y Chile? 40 000 20 000 0 México Brasil Perú Países Chile 5 Un grupo de amigos jugó a los naipes y Amalia anotó los resultados para saber quién obtuvo más puntos. 25 Resultados de la competencia a. ¿Quién obtuvo más puntos? Puntos 20 15 b. ¿Qué diferencia hay entre los puntajes de Amalia y Julio? 10 5 0 Julio Amalia Beto Carlos 6 Don Germán vende juegos de mesa. Observa la gráfica que muestra las ventas que realizó durante el último mes y contesta. 100 90 80 70 60 50 40 30 20 10 a. ¿Cuántos juegos de lotería se vendieron? b. ¿Cuántos juegos de serpiente y de recorrido se vendieron? eg lo o d te e ría d. ¿Cuál juego registró mayores ventas? Ju ro m Ju pe eg ca o be de za s Ju re eg co o r r i de do Ju se eg rp o ie de nt e c. ¿Cuál juego se vendió menos? 8 4º CUADERNILLO 6.indd 8 29/11/11 10:18:27
  • 9.
    4 Observa el gráficoanterior y responde. a. Si un juego de lotería cuesta $2 850, ¿cuánto dinero ganó el dueño? b. Si un juego de rompecabezas cuesta $1230, ¿cuánto dinero ganó el dueño? c. Si un juego de serpiente cuesta $2 960, ¿cuánto dinero ganó el dueño? 5 Si se venden 20 juegos de cada tipo, ¿cuánto dinero ganará el dueño? a. Juego de lotería $ b. Rompecabezas $ c. Juego de serpiente $ d. Juego de recorrido Cuadernillo 6 d. Si un juego de recorrido cuesta $1 640, ¿cuánto dinero ganó el dueño? 6 $ 6 Redondea los resultados del ejercicio anterior a la decena de mil más cercana. a. b. c. d. 7 Ordena las siguientes cantidades de mayor a menor. a. 101 256 – 102 017 – 101 165 – 101 900 – 102 016 – 101 899 – 102 108 – 102 099 8 Completa las siguientes operaciones: a. 2 315 • = 4 630 b. 30 600 • = 918 000 c. 17 560 • = 87 800 d. 98 012 • = 588 072 e. 5 562 • = 389 340 f. 10 245 • = 819 600 g. 8 888 • = 799 920 h. 15 740 • = 31 480 9 Escribe el número que va antes y el número que va después. a. < 65 090 < b. < 46 201 < c. < 11 189 < d. < 94 599 < e. < 37 510 < f. < 99 999 < g. < 987 989 < h. < 125 556 < 9 4º CUADERNILLO 6.indd 9 29/11/11 10:18:28
  • 10.
    7 El siguientegráfico muestra la cantidad de empanadas vendidas por cuatro niños en la ramada de la escuela. Empanadas vendidas por estudiante a. ¿Quién vendió más? 50 40 b. ¿Quién vendió menos? 30 20 c. ¿Cuál es la diferencia entre Pedro y Mario? 10 0 Sofía Pedro Mario Nombres Ema d. ¿Qué diferencia hay entre la cantidad de empanadas que vendió Sofía y la que vendió Ema? e. ¿Cuántas empanadas le faltaron a Pedro para vender lo mismo que Ema? 8 Los estudiantes de 4˚ básico hicieron una encuesta para saber qué música es la más popular y registraron los resultados en el siguiente gráfico. Observa y responde. Preferencias musicales 4º básico 25 20 15 10 5 0 Cumbia Salsa Rock Reggaeton Pop Música a. ¿Qué música prefieren los estudiantes? b. ¿Qué música es la que menos escuchan? c. ¿Cuántos estudiantes hay en cuarto básico? d. En 4° A hay 22 estudiantes, en 4° B hay 18. Si son tres grupos de cuarto, ¿cuántos hay en 4° C? 10 4º CUADERNILLO 6.indd 10 29/11/11 10:18:28
  • 11.
    10 Observa la siguientetabla: Venta del mes Empanadas Jugos Empolvados Marzo 1 200 5 300 4 800 Abril 1 500 4 600 3 700 a. Cuadernillo 6 • Coloca en cada gráfico el título que corresponde. b. 6 000 6 000 5 000 5 000 4 000 4 000 3 000 3 000 2 000 2 000 1 000 6 1 000 0 s da a an p Em 0 s do s go Ju lva po p Em Em os s s da a an go Ju d lva po Em 11 Observa la tabla anterior e identifica el gráfico que corresponde a cada producto. 1 500 6 000 5 000 4 500 Unidades 8 000 Unidades 2 000 5 500 Unidades 6 000 1 000 500 0 4 000 Marzo a. 2 000 0 Marzo Abril 4 000 Marzo Abril b. Abril c. 12 Usando la tabla anterior, calcula la diferencia entre las ventas de los dos meses para cada producto. a. b. c. 13 Usando la tabla anterior, calcula el total vendido en marzo y en abril para cada producto. a. b. c. 11 4º CUADERNILLO 6.indd 11 29/11/11 10:18:29
  • 12.
    9 Liliana hizouna encuesta en la escuela para saber cuáles eran las bebidas favoritas de los estudiantes. El pictograma representa el resultado de la encuesta. Resuelve y contesta. Bebidas favoritas para el verano a. ¿Qué bebida recibió más votos? = 5 votos Jugo de frutas b. ¿Qué bebidas recibieron el mismo número de votos? Té frío Bebida de lata Limonada Leche c. Qué bebida recibió 20 votos? Agua d. Supón que 25 estudiantes votaran por el agua. ¿Cuántos símbolos tendría el agua? 10 Un organismo internacional necesita saber cuánto ha crecido la población de América. Observa el gráfico y contesta. Crecimiento de la población en América 800 Millones de habitantes 700 600 500 400 300 200 100 0 1930 1940 1950 1960 Año 1970 1980 1994 a. ¿Cuál era la población aproximada de América en 1994? b. ¿Cuánto aumentó aproximadamente la población de América entre 1940 y 1970? c. ¿Entre qué años se dio el mayor aumento de la población? 12 4º CUADERNILLO 6.indd 12 29/11/11 10:18:29
  • 13.
    11 En uncampeonato de básquetbol, los 5 jugadores del equipo A que anotaron más puntos son los siguientes. Observa el gráfico y contesta las preguntas. 50 0 Puntos anotados por los mejores jugadores a. ¿Cuántos puntos anotaron entre Marcos y Roberto? 45 José 56 65 72 59 b. Si entre todos los jugadores del equipo anotaron 342 puntos, ¿cuántos puntos anotaron los otros 3 jugadores que participaron? Marcos Ignacio Manuel Roberto 12 En este pictograma, Antonio tiene anotados los pedidos de leche que repartió con su Cuadernillo 6 100 6 camión durante la mañana. Observa el pictograma y contesta. Cafetería 20 cajas de 1 litro Supermercado Almacén Panadería a. ¿Dónde repartió más litros de leche? b. ¿Cuántos litros repartió en total durante la mañana? 13 Verónica representó en un gráfico de barras el número de personas que participaron en las actividades de la semana cultural de la escuela. Participantes en la Semana Cultural 200 145 150 100 a. ¿Qué regla se utilizó para colocar los números en el eje vertical?, ¿por qué? 120 85 115 95 b. ¿Qué día asistieron más personas a las actividades? 50 0 Lunes c. ¿Cuál es la diferencia de personas en los días en que hubo mayor asistencia y Martes Miércoles Jueves Viernes menor asistencia? 13 4º CUADERNILLO 6.indd 13 29/11/11 10:18:32
  • 14.
    14 La siguientegráfica representa los resultados de una encuesta aplicada a 40 niños para saber cuál es su fruta favorita. a. Elige la opción correcta. Frutas preferidas por los niños 16 • Las frutas preferidas fueron el melón y la manzana. • De los 40 niños encuestados, 10 eligieron la frutilla. • La fruta preferida por los niños fue la manzana. • Ningún niño escogió el melón. 14 12 10 8 6 4 b. ¿Cuántos niños más eligieron manzana que melón? 2 0 Sandía Manzana Frutilla Melón 15 En la ciudad donde vive Mariana se realizaron elecciones de alcalde. En su escuela le pidieron que explicara los resultados que aparecen en el gráfico. Ayúdala a responder las preguntas. a. ¿Qué diferencia de votos hay entre la mayor y la menor preferencia? 1 000 000 800 000 564 221 600 000 400 000 185 110 200 000 125 689 0 Manuel Elvira Jaime 311 256 263 045 428 852 b. ¿Cuál es la regla utilizada en el gráfico para los números del eje vertical? Sonia Adriana Carlos c. ¿Quién resultó electo alcalde de la ciudad? 16 El siguiente gráfico corresponde a la cantidad de turistas extranjeros por trimestre que ingresaron a Chile entre los años 2001 y 2003. Observa el gráfico y responde. Turismo Cantidad de personas por trimestre 2001 - 2003 2001 1 000 000 2002 a. ¿Qué representan los números en el eje vertical? 2003 800 000 b. ¿Qué sucedió en el primer trimestre entre los años 2001 y 2002? 600 000 400 000 200 000 0 I II III IV I II III IV I II III IV c. ¿Qué cantidad aproximada de turistas ingresaron a nuestro país durante el segundo trimestre del año 2002? 14 4º CUADERNILLO 6.indd 14 29/11/11 10:18:32
  • 15.
    14 Observa elgráfico del problema 15 y responde. a. ¿Cuántos habitantes votaron en total en la ciudad de Mariana? b. Calcula la diferencia de votos entre Manuel y Jaime. c. Calcula la diferencia de votos entre Carlos y Adriana. , , , , , . , . e. Redondea el resultado de cada candidato a la decena de mil. , , , , 15 Resuelve las siguientes operaciones. a. 529 31874 + 4 574 __ ___ b. 1234 539 681 76 392 + 490 779 _ ___ ___ c. 923 465 + 475 879 _ ___ ___ e. 65 421 + 47 149 ___ ___ f. 6 50 241 67 879 76 998 + 34 672 ___ ___ d. Cuadernillo 6 d. Ordena los nombres de los candidatos desde el que obtuvo más votos al que obtuvo menos. 79482 – 9540 __ ___ 16 Completa el pictograma y responde. = 15 flores a. ¿Cuántas flores de cada color hay? Verdes: cafés: , fucsias: , rojas: , calipsos: , . 15 4º CUADERNILLO 6.indd 15 29/11/11 10:18:33
  • 16.
    17 El dueñode una heladería necesita saber cuáles son los sabores de helados preferidos para fabricar más. El gráfico representa la cantidad de helados vendidos en un año. Coloca el título del gráfico y contesta las preguntas. (Título: ) 236 Kilos de helado 250 190 200 149 150 87 100 72 36 50 0 Coco Nuez Chocolate Frutilla Naranja Vainilla a. ¿Cuál es el sabor más vendido? b. ¿Para qué crees que el dueño de la heladería hizo este gráfico? c. De acuerdo con la gráfica, ¿cuántos helados más de vainilla que de coco se vendieron? 18 En la cooperativa de la escuela se hizo el siguiente gráfico de barras para ver durante la semana qué productos se vendieron más y poder hacer el pedido al distribuidor. Venta semanal del quiosco Cantidad vendida 50 40 30 20 10 0 Jugos Yogur Sándwiches Productos vendidos Frutas a. ¿Qué producto se vendió más? b. ¿Qué producto se vendió menos? c. ¿Qué producto ocupó el tercer lugar en ventas? d. ¿Cuántos productos se vendieron en la semana? 16 4º CUADERNILLO 6.indd 16 29/11/11 10:18:33
  • 17.
    17 Observa elregistro del tiempo en estos meses. M V S D L M Febrero M J V S D Cuadernillo 6 L Enero M J 6 a. ¿Cuántos días soleados hubo en cada mes? b. ¿Cuántos días estuvo nublado? c. ¿Cuántos fueron lluviosos? 18 Completa las barras pintando una casilla por cada día soleado, nublado o lluvioso que hubo cada mes. Luego responde las preguntas. a. b. c. Enero d. e. f. Febrero • Ahora interpreta. a. ¿En qué mes hubo más días soleados? b. ¿En qué mes llovió más? c. ¿En qué mes hubo más días nublados? d. ¿Cuántos días más lluviosos hubo en enero que en febrero? e. ¿Cuántos días soleados hubo en total? 17 4º CUADERNILLO 6.indd 17 29/11/11 10:18:39
  • 18.
    Interpreto y construyográficos de barra horizontal 1 La profesora de Ciencias Naturales muestra este gráfico a sus estudiantes y les hace las siguientes preguntas. Distancia que saltan los animales León Canguro Antílope Rana Liebre Caballo 0 200 400 600 800 1 000 Medidas en centímetros 1 200 1 400 a. ¿Qué muestra cada barra del gráfico? b. ¿Qué representan los números de la escala? c. ¿Hay dos animales que saltan la misma distancia? ¿Cómo lo sabes? 2 Se hace una encuesta a 135 estudiantes de 3º básico sobre cuál es su deporte favorito. Los resultados arrojan que a 24 estudiantes les gusta el vóleibol, el atletismo a 54, el fútbol a 42 y a 15 el básquetbol. a. Construye una tabla con esta información y colócale un título. b. ¿Cuál es el deporte favorito? c. ¿Qué otras preguntas podrías hacer basado en la información que te entrega esta tabla? Escribe al menos 2 y contéstalas. 18 4º CUADERNILLO 6.indd 18 29/11/11 10:18:40
  • 19.
    1 Marca con un✓ el gráfico que representa los datos indicados en la tabla. Sabor Frambuesa Melón Vainilla Coco Plátano Damasco Cantidad de litros vendidos 125 232 247 189 98 201 b. Venta de helados del mes Damasco Damasco Plátano Plátano Coco Coco Vainilla Vainilla Melón Melón Frambuesa Cuadernillo 6 Venta de helados del mes a. Frambuesa 0 c. 100 200 0 300 200 300 400 Venta de helados del mes d. Venta de helados del mes 100 6 Damasco Damasco Plátano Plátano Coco Coco Vainilla Vainilla Melón Melón Frambuesa Frambuesa 0 100 200 300 0 50 100 150 200 250 2 Observa el eje horizontal de cada gráfico y responde. a. ¿Cuál es la diferencia entre los gráficos a y b? b. ¿Cuál es la diferencia entre los gráficos c y d? c. ¿Cuál es la diferencia entre los gráficos b y d? d. ¿Cuál es la diferencia entre los gráficos d y a? e. ¿Cuál es la diferencia entre los gráficos b y c? 19 4º CUADERNILLO 6.indd 19 29/11/11 10:18:40
  • 20.
    3 La bibliotecariacomprará libros nuevos. Para esto, hizo una encuesta acerca de los libros más leídos por tema en un mes. Estos fueron los resultados. Resuelve y contesta las preguntas. Temas más leídos por los estudiantes Cuentos de hadas Animales Leyendas Aventuras Ciencia ficción 0 50 100 150 200 250 300 350 Cantidad de libros 400 450 a. ¿Cuál es el tema que más leen los estudiantes del colegio? b. ¿Cuál es el tema menos leído? c. ¿Qué diferencia de cantidad hay entre el tema más leído y el menos leído? d. ¿Cuántos libros de ciencia ficción se leyeron? 4 La profesora registró la asistencia y puntualidad de sus estudiantes en la siguiente tabla para presentarla a los apoderados. Contesta las preguntas sobre el gráfico. Gráfico de puntualidad y asistencia Lunes Martes Miércoles A tiempo Atrasados A tiempo Atrasados A tiempo Atrasados 0 1 2 3 4 5 6 Estudiantes 7 8 9 10 a. Si en el grupo hay 20 estudiantes, ¿qué día fueron más niños a clase? b. ¿Qué día faltaron más estudiantes? c. ¿Qué día llegaron a tiempo la misma cantidad de estudiantes que llegaron atrasados? d. ¿Qué día llegaron atrasados más estudiantes? 20 4º CUADERNILLO 6.indd 20 29/11/11 10:18:41
  • 21.
    3 Observa lasiguiente tabla y contesta las preguntas. Sucursal Vendedor Venta del mes Javier $458 650 C Iris $274 100 A Consuelo $300 020 B Ignacio $175 860 B Carmen $198 860 C Doris $206 760 A Cecilia $135 500 C Roberto $189 240 a. ¿Cuántos empleados hay en cada sucursal? A: ; B: ; C: Cuadernillo 6 A 6 . b. ¿Cuál es el total de empleados en las tres sucursales? c. ¿Quién vendió más en el mes? d. ¿Quién vendió menos en el mes? e. ¿Qué cantidad vendió en total la sucursal A? f. ¿Qué cantidad vendió en total la sucursal B? g. ¿Qué cantidad vendió en total la sucursal C? 4 Calcula la diferencia entre las ventas de: a. Javier e Iris. b. Consuelo e Ignacio. c. Roberto y Cecilia. d. Doris y Javier. e. Roberto y Consuelo. 5 Redondea las ventas de todos los empleados a la unidad de mil. a. Javier: b. Iris: c. Consuelo: d. Ignacio: e. Carmen: f. Doris: g. Cecilia: h. Roberto: 6 ¿Cuál fue la venta total de las 3 sucursales? 21 4º CUADERNILLO 6.indd 21 29/11/11 10:18:41
  • 22.
    5 El siguiente gráficopresenta las ventas que dos agencias de la misma marca de autos realizaron durante el año pasado. Analízalas y contesta las preguntas. Agencia 1 Agencia 2 Auto compacto Auto familiar Camioneta deportiva Camioneta familiar Camioneta de carga 1 Camioneta de carga 2 Auto compacto Auto familiar Camioneta deportiva Camioneta familiar Camioneta de carga 1 Camioneta de carga 2 0 50 100 150 200 Autos vendidos 250 0 50 100 150 200 Autos vendidos 250 a. ¿Qué tipo de auto se vendió más en cada agencia? Agencia 1 Agencia 2 b. ¿Cuál es la diferencia entre el número de autos compactos vendidos en cada agencia? c. ¿Cuál fue el modelo de auto menos vendido en cada agencia? d. Si consideras las ventas totales de las dos agencias, ¿cuáles fueron los 2 modelos de auto más vendidos? 6 Traza un nuevo gráfico vertical que te permita comparar fácilmente las ventas de cada modelo de auto en las dos agencias. 22 4º CUADERNILLO 6.indd 22 29/11/11 10:18:42
  • 23.
    7 Completa lagráfica de inventos patentados. Cantidad de inventos patentados en EE.UU. 1836 103 1837 426 1838 514 1839 404 1840 458 Cuadernillo 6 Año 200 150 100 1836 6 1837 a. ¿Cuál es el número mayor que necesitas para el eje vertical? b. ¿Y cuál es el número mayor para el eje horizontal? c. Estima cuántas invenciones más fueron patentadas en 1838 que en 1836. 8 Copia y completa la gráfica lineal. Usa los datos de la tabla. Año Habitantes por km2 1790 4,5 1800 6,1 1810 4,3 1820 5,5 1830 7,4 5,0 4,0 0 1790 1800 1810 1820 1830 23 4º CUADERNILLO 6.indd 23 29/11/11 10:18:42
  • 24.
    7 Los estudiantesde 4º A hicieron el siguiente gráfico de los juguetes preferidos por el grupo. ¿Qué juguete prefiere la mayoría? Juguetes preferidos 4º A a. Patines Patineta b. Patineta c. Bicicleta Pelota d. Pelota Bicicleta Patines 0 5 10 15 Niños 20 25 8 Jorge organizó un campeonato de bolitas y graficó la cantidad de bolitas ganadas. Observa el gráfico, resuelve y contesta las preguntas. Bolitas por ganador a. ¿Quién ganó más bolitas? Lola Ulises b. ¿Qué diferencia hay entre la cantidad de bolitas ganadas por Karla y las ganadas por Lola? Alonso Karla 0 12 24 36 48 Cantidad de bolitas 60 c. ¿Cuántas bolitas le faltaron a Alonso para ganar la misma cantidad que Karla? 9 Para crear talleres de música, una escuela realizó una encuesta sobre los instrumentos musicales que más interesaban a los estudiantes. Observa los datos obtenidos y responde. Instrumento Cantidad de chicos (frecuencia) Guitarra 20 Teclado 15 Flauta 30 Bajo Batería 5 10 a. ¿Cuántos estudiantes están interesados en aprender a tocar algún instrumento? b. Representa estos datos en un gráfico de barras en tu cuaderno. 24 4º CUADERNILLO 6.indd 24 29/11/11 10:18:42
  • 25.
    Observa el gráficoy resuelve. a. Ordena la cantidad de visitantes de menor a mayor. Niños que visitan un museo 80 000 74 287 68 207 70 000 , , 50 000 40 251 40 000 36 480 30 000 , , 60 000 , . b. Calcula el total de niños que visitó el museo entre marzo y abril. 32 115 24 562 20 000 Cuadernillo 6 9 6 10 000 0 Marzo Abril Mayo Junio Julio Agosto c. Calcula el total de niños que visitó el museo entre mayo y junio. d. Calcula el total de niños que visitó el museo entre julio y agosto. e. Calcula el total de niños que visitó el museo entre marzo y agosto. f. ¿En qué meses visitaron el museo más de 40 000 niños? g. ¿En qué meses visitaron el museo menos de 30 000 niños? h. Calcula la diferencia entre el mes más visitado y el mes menos visitado. i. Calcula la diferencia de visitas entre los meses de julio y agosto. 10 Resuelve las siguientes multiplicaciones y divisiones. a. 153 650 • 9 b. 38 735 • 2 c. 23 564 • 4 d. 246 552 : 6 = e. 396 393 : 3 = 11 Completa las series. a. 897, 898, 899, , , , , … b. 834, 833, 832, , , , , … 25 4º CUADERNILLO 6.indd 25 29/11/11 10:18:43
  • 26.
    10 La Juntade vecinos quiere organizar actividades para las personas mayores. Para conocer cuáles son sus preferencias realizó una encuesta, con la que se elaboró este gráfico. Preferencias de actividades personas de la tercera edad Teatro 1 232 Viajes 5 641 Bingo 10 088 Juego de naipes 12 447 Música 6 582 Pintura 8 512 0 2 000 4 000 6 000 8 000 10 000 12 000 14 000 a. ¿Cuál es la actividad preferida por las personas de tercera edad? b. ¿Cuál es la actividad que menos prefieren? c. ¿Cuántos más prefieren la pintura que viajar? d. ¿Cuántas personas prefieren jugar al bingo y a los naipes? e. ¿Cuál es la escala que se utilizó en el eje horizontal? f. Si la Junta de vecinos cuenta con fondos para organizar solo tres actividades, ¿cuáles elegirá de acuerdo a las preferencias mostradas? 11 Patricio y Macarena juegan con una moneda y un vaso. Quieren saber cuántas posibilidades hay de que caigan de diferentes maneras. Observa el gráfico y la tabla, y resuelve los siguientes problemas. Arriba Abajo Registro de 50 tiradas De lado Cara Sello Número de resultados 18 5 27 0 10 20 30 40 50 a. ¿Cuál sería el título de la tabla? b. ¿Cuántas veces se tiró la moneda? c. ¿De qué lado cayó más veces la moneda: cara o sello? d. Estima cuántas veces salió cada lado. e. ¿Cuántas veces tiraron el vaso Patricio y Macarena? f. Si tú haces el mismo experimento con un vaso, ¿crees que obtendrías los mismos resultados? Por qué? 26 4º CUADERNILLO 6.indd 26 29/11/11 10:18:45
  • 27.
    12 Observa elpictograma y responde. Espectadores de videos musicales (por escuela) a. ¿Qué representa cada ? b. ¿Cómo podrías representar a 50 estudiantes? Santa María Pablo Neruda Cuadernillo 6 c. ¿Cómo podrías representar a 1 000 estudiantes? España México = 100 estudiantes. d. ¿Cuántos estudiantes más vieron videos en la escuela Pablo Neruda que en 6 la escuela Santa María? 13 Calcula el total de espectadores de videos por escuela. a. Escuela Santa María: b. Escuela Pablo Neruda: c. Escuela España: d. Escuela México: 14 Completa siguiendo las indicaciones. a. Cuenta de 50 en 50: 50 – 100 – 150 – b. Cuenta de 200 en 200: 350 – 550 – – – – – – – – – . . c. Cuenta de 1 000 en 1 000: 1 500 – 2 500 – – – – – d. Cuenta de 0,1 en 0,1: 0,5 – 0,6 – 0,7 – – – – – . e. Cuenta de 0,5 en 0,5: 10 – 10,5 – 11 – – – – – . f. Cuenta de 0,2 en 0,2: 1 – 1,2 – 1,4 – – – – – . . 15 Completa las secuencias. a. 240 b. 1 290 c. 0,7 320 1 320 f. 520 1 410 0,9 1 530 1,7 d. 15,1 e. 52 680 440 2,3 15,4 15,8 52 780 52 930 18,20 18,25 53 080 18,35 18,50 27 4º CUADERNILLO 6.indd 27 29/11/11 10:18:45
  • 28.
    12 En unclub de video desean saber en qué mes, entre junio y diciembre, se arriendan más 60 55 50 45 40 35 30 25 20 15 10 5 0 Mes Cantidad de películas (frecuencia) Junio Julio Agosto Septiembre Octubre Noviembre re bre iem Dic mb re Oc pti Se No vie tub bre em sto Ag o Jul Jun io Diciembre io Cantidad de películas arrendadas películas infantiles. Completa la tabla con los datos del gráfico. Meses a. ¿En qué mes se arrendaron más películas? 13 Un profesor hizo una encuesta para saber cuántos estudiantes prefieren las actividades bajo techo y cuántos las actividades al aire libre. Observa el gráfico y resuelve. Actividades favoritas para los sábados Cine Fútbol Biblioteca Juegos de mesa Museos 0 1 2 3 4 5 6 7 8 9 Número de estudiantes 10 11 12 a. ¿Qué operación hay que realizar para responder a la pregunta? b. ¿Cuántos estudiantes prefieren las actividades bajo techo? c. ¿Cuántos estudiantes prefieren las actividades al aire libre? d. ¿Cuál es la diferencia entre el número de estudiantes que prefieren las actividades al aire libre y los que las prefieren bajo techo? e. ¿Cuántos estudiantes no escogieron el cine o el fútbol? 28 4º CUADERNILLO 6.indd 28 29/11/11 10:18:46
  • 29.
    16 Observa elgráfico y responde. Colores favoritos a. ¿Qué color tiene más votos? Rojo Violeta b. ¿Qué color tiene menos votos? Verde c. ¿Qué color tiene 2 votos más que el violeta? Rosado Negro 0 1 2 3 4 5 6 7 Número de estudiantes 8 9 17 Si cada casillero del gráfico representa 5 votos, ¿cuántos votos tendría cada color? a. rojo b. verde e. azul 6 c. rosado d. violeta Cuadernillo 6 Azul f. negro 18 Si cada casillero del gráfico representa 10 votos, ¿cuántos votos tendría cada color? a. rojo b. verde c. rosado d. violeta e. azul f. negro 19 Si cada casillero del gráfico representa 20 votos, ¿cuántos votos tendría cada color? a. rojo b. verde c. rosado d. violeta e. azul f. negro 20 Si cada casillero del gráfico representa 100 votos, ¿cuántos votos tendría cada color? a. rojo b. verde c. rosado d. violeta e. azul f. negro 21 Resuelve las siguientes operaciones. a. 113 560 • 4 b. 421 318 • 9 c. 52 138 • 5 d. 12 048 : 4 = e. 98 567 : 7 = b. 18 • 1 000 c. 501 • 1 00 d. 23 000 • 1 0 e. 7 • 1 000 b. 94 643 • 6 c. 89 573 • 7 d. 25 348 • 9 22 Multiplica por 10, 100 y 1 000. a. 342 • 1 0 23 Resuelve. a. 72 051 • 4 29 4º CUADERNILLO 6.indd 29 29/11/11 10:18:46
  • 30.
    Interpreto y construyográficos de barra doble o triple 1 En los 4os básicos de la escuela quieren saber la preferencia de niños y niñas por los deportes. Observa el gráfico con los resultados obtenidos y resuelve. Cantidad de niños y niñas 40 Deportes alumnos de cuartos básicos las niñas? 30 b. ¿Cuál es el deporte más apreciado por 20 los niños? 10 0 a. ¿Cuál es el deporte menos apreciado por ol ol etb útb F u sq Bá nis Te Niños l n bo ció lei ó ata V N Niñas c. ¿Cuántos niños prefieren básquetbol? d. ¿Cuántas niñas prefieren vóleibol? 2 En la escuela midieron a los estudiantes de varios cursos para conocer la diferencia de Nº de estudiantes estatura entre niños y niñas. Observa el gráfico y responde. 10 9 8 7 6 5 4 3 2 1 0 a. ¿Cuál es la mayor estatura registrada en las niñas? b. ¿Cuántos niños y niñas fueron medidos? 1,31 1,32 1,33 1,34 1,35 1,36 1,37 1,38 Estaturas (metros) Niñas Niños c. ¿Cuál es la menor estatura registrada en los niños? 3 El siguiente gráfico muestra las distintas clases de animales y el número de especies que se encuentran en peligro de extinción por continente. 20 Tipos de animales en extinción por continente a. ¿Cuántas especies de aves están en peligro de extinción en América? 15 b. ¿En qué continente hay más mamíferos en peligro de extinción? 10 5 0 30 4º CUADERNILLO 6.indd 30 Aves Mamíferos Reptiles Especies América Europa Peces c. ¿Cuántas especies de aves están en peligro de extinción en los tres continentes? África 29/11/11 10:18:47
  • 31.
    1 Observa latabla de estaturas y responde las preguntas. Estatura Entre 1,50 m y 1,60 m Entre 1,60 m y 1,70 m Entre 1,70 m y 1,80 m Entre 1,80 m y 1,90 m Entre 1,90 m y2m Hombres 1 315 2 586 5 246 1 604 53 Mujeres 2 630 3 628 2 655 217 0 b. ¿Cuál es el total de mujeres que fueron medidas? c. ¿Entre qué estaturas el número de mujeres es el doble que el de hombres? d. ¿Cuántas personas miden más de 1,80 m? Cuadernillo 6 a. ¿Cuál es el número total de hombres que fueron medidos? 6 e. ¿Cuántas mujeres miden menos de 1,70 m? f. ¿Cuántas personas fueron medidas en total? g. ¿Cuántos hombres más que mujeres miden entre 1,70 m y 1,80 m? h. ¿Cuántas mujeres más que hombres miden entre 1,60 m y 1,70 m? i. ¿Cuántas personas miden menos de 1,60 m? j. ¿Cuál es la diferencia entre hombres y mujeres que miden más de 1,80 m? 2 Resuelve las siguientes adiciones: a. 875 + 52 154 + 896 689 = b. 587 418 + 94 004 + 894 = c. 268 + 700 916 + 9 871 = d. 181 586 + 258 126 + 1 024 = e. 216 030 + 697 254 + 27 = f. 458 + 863 978 + 258 278 = g. 3 851 + 9 + 6 102 + 7 032 = h. 4 189 + 72 910 + 158 + 6 254 = i. 720 + 234 564 + 28 + 125 500 = j. 1 020 + 954 231 + 85 – 2 = k. 321 458 + 47 + 69 698 = l. 25 647 + 23 056 + 218 + 61 = 3 Resuelve las siguientes sustracciones: a. 7 568 – 569 = b. 3 574 – 663 = c. 569 569 – 257 895 = d. 5 245 – 236 = e. 2 567 – 1 256 = f. 274 563 – 107 851 = g. 75 143 – 2 964 = h. 1 090 – 654 = i. 607 314 – 563 257 = j. 42 236 – 24 637 = k. 256 712 – 895 = l. 500 000 – 331 654 = 31 4º CUADERNILLO 6.indd 31 29/11/11 10:18:47
  • 32.
    4 En elvideo club del barrio arriendan películas y videojuegos. Durante el primer semestre del año 2011 las cantidades de títulos arrendados fueron los siguientes. Enero: 750 películas y 500 videojuegos. Abril: 1 250 películas y 1 000 videojuegos. Febrero: 500 películas y 250 videojuegos. Mayo: 1 500 películas y 750 videojuegos. a. Ordena los datos en la siguiente tabla. Mes Cantidad de videojuegos arrendados Cantidad de películas arrendadas Enero Febrero Marzo Abril Marzo: 1 000 películas y 750 videojuegos. Mayo Junio: 500 películas y 500 videojuegos. Total 5 Junio Ahora el dueño del video club necesita hacer un gráfico de barras doble que exprese los arriendos de películas y videojuegos. Completa el gráfico y responde. Cantidad de arriendos 1 500 1 200 900 600 300 0 Enero Febrero Películas Marzo Abril Meses Mayo Junio Videojuegos a. ¿Cuántas películas más que videojuegos se arrendaron en abril? b. ¿Cuántos videojuegos se arrendaron en total entre los meses de enero y junio? c. ¿Cuántas películas se arrendaron entre los meses de enero y junio? 32 4º CUADERNILLO 6.indd 32 29/11/11 10:18:47
  • 33.
    4 Observa elgráfico y resuelve. 800 684 Asignaturas preferidas 741 660 618 589 600 527 482 369 400 547 529 368 308 0 Historia Ciencias Matemática Lenguaje Asignaturas Niños Ed. Física Cuadernillo 6 200 Arte Niñas Calcula la diferencia en las preferencias que se dan entre niños y niñas. a. En Historia hay más que prefieren esta asignatura. b. En Ciencias hay 6 más que prefieren esta asignatura. c. En Matemáticas hay más que prefieren esta asignatura. d. En Lenguaje hay más que prefieren esta asignatura. e. En Educación Física hay más que prefieren esta asignatura. f. En Arte hay más que prefieren esta asignatura. 5 Calcula las preferencias por asignatura. a. ¿Cuántos prefieren Historia? b. ¿Cuántos prefieren Matemáticas? c. ¿Cuántos prefieren Arte? d. Cuántos prefieren Ciencias? e. Cuántos prefieren Lenguaje? f. Cuántos prefieren Ed. Física? 6 Calcula el total de niños encuestados. a. Niños b. Niñas 7 Calcula mentalmente las siguientes operaciones. a. 275 + 320 = b. 650 + 339 = c. 565 + 430 = d. 951 – 620 = e. 478 – 406 = f. 652 + 130 = g. 1 023 + 256 = h. 759 – 158 = i. 2 729 – 1 429 = j. 3 650 + 3 300 = k. 217 + 543 = l. 5 650 + 1 230 = m. 8 005 – 3 500 = n. 6 898 – 2 798 = ñ. 9 211 – 3 011 = 33 4º CUADERNILLO 6.indd 33 29/11/11 10:18:48
  • 34.
    Construyo tablas ygráficos Para organizar el préstamo del gimnasio, la directora de la escuela necesita saber qué cantidad de apoderados practica diferentes tipos de deportes. Completa la tabla, la gráfica y responde. 1 Deporte Cantidad de hombres que lo practican Cantidad de mujeres que lo practican Atletismo 20 50 Básquetbol 50 50 Vóleibol 30 20 Fútbol 80 Total Cantidad de apoderados 80 a. ¿Cuál es el deporte más practicado por las mujeres? 70 60 50 b. ¿Cuál es el deporte más practicado por los hombres? 40 30 20 10 0 Atletismo Básquetbol Vóleibol Deportes Mujeres Fútbol c. ¿Qué deporte practican hombres y mujeres por igual? Hombres 2 Se realizó una encuesta para saber las preferencias de los estudiantes de 4º básico para la fiesta de fin de año. 12 prefieren un asado, 6 un paseo al campo, 9 un paseo a la playa, 7 una salida al cine y 3 una convivencia. a. Construye una tabla para organizar la información arrojada en la encuesta. Celebración Número de estudiantes Asado b. ¿Qué opción tiene la más alta preferencia? c. ¿Qué opción tiene la más baja preferencia? 34 4º CUADERNILLO 6.indd 34 29/11/11 10:18:48
  • 35.
    1 Construye las tablascorrespondientes a cada gráfico. Estima las cantidades. a. Vehículos vendidos 7 000 6 000 5 000 4 000 Cuadernillo 6 3 000 2 000 1 000 0 Enero Febrero Marzo Nuevos Abril Usados b. Personas que escuchan radio 700 6 600 500 400 300 200 100 0 Mañana Tarde Radio A Radio B Noche Radio C 2 Observa el gráfico 1 y la tabla, y estima la diferencia entre vehículos nuevos y usados vendidos cada mes. a. Enero b. Febrero c. Marzo d. Abril e. Calcula el total aproximado de autos usados vendidos. f. Calcula el total aproximado de autos nuevos vendidos. 3 Observa el gráfico 2 y la tabla, y estima la cantidad total de personas que escuchan radio. a. En la mañana b. En la tarde c. En la noche d. ¿Cuántas personas más escuchan radio en la mañana que en la noche? e. ¿Cuántas personas más escuchan radio en la noche que en la tarde? 35 4º CUADERNILLO 6.indd 35 29/11/11 10:18:49
  • 36.
    3 ¿Qué colorde pelo tienen tus compañeros y compañeras de curso? Haz la observación y regístrala en la tabla. Luego construye el gráfico. (Título) Cantidad de niños y niñas 40 Color de pelo 35 Cantidad de niños y niñas 30 25 20 15 10 5 0 Castaño Negro Rubio Color de pelo Colorín Según el gráfico que construiste responde. a. ¿Qué color de pelo tiene la mayoría de los niños? b. ¿Qué diferencia hay entre el color que tiene la mayoría con el de la minoría? 4 El colegio de Luis le entregó las calificaciones del segundo semestre de esta forma. Analiza el gráfico y responde las preguntas. Calificaciones de Luis del 2º semestre 7 6,7 6,2 6 5,6 4,7 5 Notas a. ¿Qué materias le son más fáciles a Luis? b. ¿En qué materias necesitaría mejorar sus notas? 4,2 4 4 3 2 c. ¿En qué materias necesita estudiar más? ¿Por qué? 1 ca ísi Ed .F M ús ic a s r ia sto Hi Ci en cia gu aje Le n M at em át ica 0 d. Con los datos extraídos del gráfico completa una tabla en tu cuaderno. 36 4º CUADERNILLO 6.indd 36 29/11/11 10:18:49
  • 37.
    4 Observa elgráfico del problema anterior y ordena las calificaciones de Luis de mayor a menor. , , , , , . 5 Escribe entre qué unidades se encuentra cada calificación. a. Música: < 6,7 < c. Ed. Física: < e. Historia: < < < < d. Lenguaje: < < < f. Ciencias: < < 6 Ordena los siguientes números decimales de menor a mayor. 4,5 – 2,33 - 7,28 – 2,9 – 3,25 – 6,1 – 5,25 – 4,58 < < < < < < Cuadernillo 6 b. Matemática: 6 < 7 Une cada número con su descomposición. a. 14,8 30 + 6 + 0,2 b. 25,1 0 + 0,7 + 0,05 c. 11,7 20 + 5 + 0,1 d. 36,2 10 + 4 + 0,8 e. 0,75 5 + 0,9 + 0,08 f. 5,98 10 + 1 + 0,7 8 Compara los números y escribe >, < o =. a. 1,4 1,7 b. 13,1 12,4 d. 9,8 8,9 e. 1,11 g. 1,85 1,74 j. 3,9 c. 4,2 3,6 1,2 f. 7,25 7,250 h. 5,28 5,1 i. 6,4 7,1 3,8 k. 6,9 6,6 l. 0,37 0,45 m. 4,54 4,48 n. 1,26 1,1 ñ. 17,45 17,6 o. 3,45 3,5 p. 1,7 1,3 q. 3,6 3,5 r. 7,3 7,2 s. 4,2 4,20 t. 1,34 1,4 u. 3,70 3,7 v. 7,24 7,240 w. 0,96 0,7 37 4º CUADERNILLO 6.indd 37 29/11/11 10:18:50
  • 38.
    5 Paola averiguócuáles son los alimentos preferidos de los estudiantes de su escuela y lo anotó de esta manera. Completa la tabla y contesta. Tabla de frecuencias de consumo Alimento Leche Marcas Cantidad a. ¿Cuántos tipos de alimentos hay? IIIII IIII Legumbres IIIII IIIII IIIII Fideos IIIII IIIII IIIII IIIII IIIII IIIII III Arroz IIIII IIIII IIIII IIIII IIIII Carne IIII Pan IIIII IIIII II Verduras IIIII IIIII IIIII IIIII III b. ¿Cuál alimento es el preferido? Cantidad c. Traza un gráfico en el que se muestre la información anterior. 40 35 30 25 20 15 10 5 0 Fideos Legumbres Leche Carne Arroz Pan Verduras 6 Haz una encuesta en el curso acerca de las mascotas que tienen. Completa la siguiente Mascota Cantidad de niños y niñas Cantidad de niños y niñas tabla de datos y grafica los resultados. Mascotas a. ¿Qué título le pondrías al gráfico? b. ¿Cuál es la mascota preferida? c. ¿Cuál es la mascota menos preferida? 38 4º CUADERNILLO 6.indd 38 29/11/11 10:18:50
  • 39.
    9 Observa la tablay escribe el deporte que corresponde a cada barra. Deporte que practican Tenis Vóleibol Fútbol Atletismo 284 Nº de estudiantes Básquetbol 325 157 647 274 Deporte que practican los estudiantes b. d c. d. Cuadernillo 6 e Deportes a. c b a e. 0 200 400 600 Número de estudiantes 6 800 10 Observa la tabla y el gráfico y resuelve. a. ¿Cuántos estudiantes no practican fútbol? b. ¿Cuántos estudiantes no practican vóleibol? c. ¿Cuántos estudiantes más practican básquetbol que atletismo? d. ¿Cuál es la diferencia entre los que practican fútbol y vóleibol? e. ¿Cuántos estudiantes practican deporte en esta escuela? 11 Observa la tabla y completa el gráfico. Pantalones b. Algodón Precios c. Cotelé 18 000 16 000 14 000 12 000 10 000 8 000 6 000 4 000 2 000 0 Tienda 2 Tienda 3 $12 540 a. Jeans Tienda 1 $10 040 $15 970 $9 670 $12 780 $13 860 $10 480 $11 750 $8 420 Precios de pantalones Tienda 1 Jeans Tienda 2 Algodón Tienda 3 Cotelé 39 4º CUADERNILLO 6.indd 39 29/11/11 10:18:51
  • 40.
    7 La profesorahizo una encuesta para saber cuáles son los juegos de mesa preferidos por los estudiantes de 4º básico. Registra en un gráfico los resultados obtenidos. Juego Votos Lotería a. ¿Cuál es el juego preferido? 5 Números 10 Quién fue 9 Memoria 3 Torres de madera 4 Turista 2 Adivina, adivinador b. ¿Cuántos estudiantes contestaron la encuesta? 6 c. ¿Qué juego ocupa el tercer lugar de las preferencias? d. Registra pintando los resultados en el gráfico. Lotería Números Quién fue Memoria Torres de madera Turista Adivina adivinador 8 Magaly va a estar de cumpleaños. Antes de elegir su torta hizo una encuesta entre sus amigos para saber qué sabor preferían. Los resultados fueron los siguientes. Frutilla Vainilla Chocolate Tres leches 6 8 2 10 a. Representa los resultados de la encuesta en un gráfico en tu cuaderno. b. Los amigos que opinaron van a ir a la fiesta. ¿Cuántos invitados tiene? c. ¿Cuántos niños más prefieren la torta de tres leches que la torta de vainilla? d. Si Magaly tomó en cuenta la opinión de la mayoría de sus compañeros, ¿de qué sabor será su torta de cumpleaños? 40 4º CUADERNILLO 6.indd 40 29/11/11 10:18:51
  • 41.
    Compara los gráficosy responde. Precios año 2010 2 000 $1 850 $1 780 1 000 0 Mantequilla $2 850 3 000 $2 540 2 000 $2 120 $1 830 1 000 kg leche kg cereales Productos 0 Mantequilla kg leche kg cereales Productos a. ¿En cuánto aumentó el precio del kilo de mantequilla? Cuadernillo 6 Pesos 3 000 Precios año 2011 Pesos 12 6 b. ¿Cuál es la diferencia en el precio del kilo de leche en los dos años? c. ¿En cuánto aumentó el precio del kilo de cereales? d. ¿Cuáles productos en el año 2010 costaron entre $1 000 y $2 000? e. ¿Cuáles productos costaban más de $2 000 pesos en 2011? f. ¿Cuál producto aumentó menos su precio en estos dos años? 13 Construye un gráfico de barras doble a partir de los dos gráficos anteriores. 14 Redondea las cantidades a la unidad de mil más cercana. a. 23 056 b. 121 005 c. 200 363 d. 154 892 e. 89 990 f. 457 601 g. 895 623 h. 12 501 i. 740 098 15 Redondea a la centena más cercana. a. 212 458 b. 13 489 c. 565 234 d. 15 236 e. 365 556 f. 300 058 g. 75 262 h. 44 801 i. 428 890 41 4º CUADERNILLO 6.indd 41 29/11/11 10:18:51
  • 42.
    9 Se entrevistóa un grupo de estudiantes para saber qué tipo de locomoción usaban para llegar a la escuela. Representa en un gráfico de barras los datos de la tabla. Tipo de movilización Nº de estudiantes Bicicleta 10 Micro 25 Caminando 18 Bus escolar 7 Taxi 4 Tren o metro 9 a. ¿Cuántos estudiantes fueron entrevistados? b. ¿Cuál es el tipo de movilización más utilizado? c. ¿Cuál es el tipo de movilización menos utilizado? d. ¿Cuántos niños viajan más en micro que en bicicleta? e. ¿Qué tipo de movilización usas tú? f. Entrevista a tus compañeros y compañeras para saber en qué medio de transporte llegan a la escuela. Registra los datos en tu cuaderno y construye una tabla. 10 Jorge tiene galletas con forma de animales en una bolsa. Tiene osos, conejos y gatos. Sacó 40 galletas y anotó los resultados para ver qué forma de galleta tiene mayor posibilidad de salir. Veces que sacó galletas de la bolsa a. ¿Qué forma de galleta salió con mayor frecuencia? Animal Conteo Oso IIII IIII Conejo IIII IIII Gato IIII IIII IIII IIII b. ¿Qué forma de galleta salió con menor frecuencia? II c. ¿Por qué crees tú que sucedió esto? d. Si dentro de la bolsa hubiera el doble de conejos que de osos y gatos, ¿crees tú que el resultado sería igual? ¿Por qué? e. Construye en tu cuaderno un gráfico de barras para representar los resultados de Jorge. 42 4º CUADERNILLO 6.indd 42 29/11/11 10:18:52
  • 43.
    16 Haz gráficosde barra, utilizando los siguientes datos. Año Día de la semana Número de minutos de tarea Número de camionetas vendidas 20 1985 8 Día 2 45 1986 12 Día 3 20 1987 18 Día 4 60 1988 28 Día 5 45 1989 35 a. b. Cuadernillo 6 Día 1 6 17 Observa la siguiente tabla. Mes Consumo de agua en litros a. ¿Cuál es la diferencia de consumo entre las dos familias cada mes? Familia López Familia Rosas Enero 1 600 1 500 Febrero 1 700 1 650 Febrero Marzo 1 400 1 100 Marzo 850 720 Abril Enero Abril b. Transforma la tabla en un gráfico de barras doble. Coloca el título, el rótulo vertical y el horizontal. c. ¿Cuál fue el consumo de cada familia en los 5 meses? 43 4º CUADERNILLO 6.indd 43 29/11/11 10:18:52
  • 44.
    Preparo mi SIMCE 1.La tabla muestra la población de diferentes ciudades de Chile en el año 2005. ¿Qué ciudad tiene menos habitantes? La Serena Copiapó Iquique Chillán Valdivia Osorno 427 794 160 994 214 586 206 670 155 254 160 475 a. Copiapó b. Iquique c. Osorno d. Valdivia 2. La siguiente tabla presenta, en toneladas, el consumo de frutas y hortalizas en Chile, en el año 1998. Indica cuál es el gráfico que corresponde. Tomate Choclo Zapallo Sandía Melón 490 683 188 356 120 529 61 999 55 826 600 000 600 000 500 000 500 000 500 000 400 000 400 000 400 000 300 000 300 000 300 000 200 000 200 000 200 000 100 000 100 000 100 000 0 0 0 To m To m To m 600 000 at e Ch oc lo Za pa llo Sa nd ía M eló n c. at e Ch oc lo Za pa llo Sa nd ía M eló n b. at e Ch oc lo Za pa llo Sa nd ía M eló n a. 3. ¿Cuál es la secuencia que corresponde en el eje vertical del gráfico? 1 050 750 820 a. 200 – 400 – 600 – 800 – 1 000 b. 100 – 300 – 500 – 700 – 900 c. 200 – 300 – 400 – 500 – 600 d. 200 – 350 – 500 – 650 – 800 44 4º CUADERNILLO 6.indd 44 29/11/11 10:18:55
  • 45.
    ¿Cuánto aprendí? 1. Enla escuela Holanda se llevó a cabo un concurso de cálculo mental. ¿Qué grupo ganó el concurso? 5º A 5º B 5º C 5º D Calificación 9,04 9,3 9,7 9,09 a. 5º D b. 5º C c. 5º B d. 5º A 2. A partir de la tabla, elabora un gráfico. Color de pintura Votos Gris 116 Celeste 156 Rojo 6 106 Beige Cuadernillo 6 Grupo 156 3. Mario ha hecho un estudio acerca de su producción de manzanas en los últimos 4 años. Observa el gráfico y construye la tabla. Kilos de manzanas 1 000 000 Producción anual de manzanas (2000 - 2004) Años Kilos de manzanas 800 000 600 000 400 000 200 000 0 2000 2001 2002 Años 2003 2004 a. ¿Qué representan los números 2000, 2001, 2002 y 2003? b. ¿Cuántos kilos de manzanas produjo aproximadamente el año 2002? c. ¿En cuánto aumentó la producción entre los años 2000 y 2001? d. ¿Es posible predecir cuánto será la producción de manzanas el año 2004? ¿Por qué? ¿Cuánto será? 45 4º CUADERNILLO 6.indd 45 29/11/11 10:18:56
  • 46.
    x xxxxx 4. ¿Cómovan ordenados los datos en el eje horizontal de este gráfico? Ropa recolectada en la campaña de la escuela Polera 658 Chaqueta 323 Zapatillas 459 364 Pantalón a. De 10 en 10 b. De 100 en 100 c. De 80 en 80 d. De 200 en 200 5. En la siguiente tabla se indica la superficie de algunos países de Sudamérica. ¿Cuál es el país con menor superficie de los indicados en la tabla? País Superficie en km2 a. Bolivia Bolivia 1 098 581 b. Colombia Colombia 1 141 748 c. Perú Perú 1 285 216 d. Venezuela Venezuela 1 016 017 6. El dueño de una paquetería contó todos los artículos para coser que tenía e hizo este gráfico. Si en total tenía 53 450 artículos, ¿cuántos hilos hay? a. 7 830 b. 50 120 25 000 c. 3 330 d. 33 300 22 500 Cantidad 20 000 15 000 12 620 10 000 10 000 5 000 5 000 0 Botones Cierres Cintas Broches Hilos Artículos 46 4º CUADERNILLO 6.indd 46 29/11/11 10:18:58
  • 47.
    S O LU C I ON A R I O Página 5 Página 2 1. a. Ramón 2. a. 2 m b. 414 b. Alce c. 95 c. 3 m 4. 40 35 Página3 1. Cuadernillo 6 30 Kilos 25 20 15 10 6 5 0 5. María Juan Animal a. Niños. 2. a. 12 3. b. b. 10 b. 7 c. 28 c. 10 Lunes. Martes y jueves. Sábado. 5 ºC Lunes, martes, jueves y viernes. 70 60 Estudiantes 6. Peso (kg) 14 12 10 Edad 80 Luisa a. Cebra 308 b. Jirafa 867 c. Ciervo 459 d. Mono araña 9 e. Hipopótamo 1358 f. Pingüino 45 g. Tigre 285 h. Hipopótamo; Jirafa; Ciervo; Cebra; Tigre; Pingüino; Mono araña. Página 4 3. a. b. c. d. e. 4. Pedro 8 6 4 50 2 40 0 30 Felipe Andrés Claudio 20 10 0 Acción a. Ficción. b. Bélicas. Terror Bélicas Comedias Ficción Página 6 1. a. Clases de animales Aves Peces Mamíferos Reptiles Anfibios Especies en peligro 70 65 40 15 5 47 4º CUADERNILLO 6.indd 47 29/11/11 10:19:03
  • 48.
    2. a. 5• 2 3. b. 5 • 3 c. 5 • 5 f. 99 998 < 99 999 < 100 000 g. 987 988 < 987 989 < 987 990 h. 125 555 < 125 556 < 125 557 Página 10 7. a. c. e. 8. a. d. Ema. b. Mario. 30 empanadas. d. 30 empanadas. 10 empanadas. Cumbia. b. Salsa. c. 58 18 alumnos. Página 11 Página 7 1. b. 2. Pablo. a. Ramón. b. Paulo 31; Emilio 28; Ramón 10; Pablo 40; Andrés 15. c. 124 bolitas. 3. 220 películas. a. Infantiles y terror. Página 8 4. a. b. 5. a. b. 6. a. b. c. d. Aproximadamente 60 000 turistas. Aproximadamente 70 000 turistas. Carlos. Hay 10 puntos de diferencia. 90 90 Juego de recorrido. Juego de rompecabezas. Página 9 4. a. $256 500 b. $123 000 c. $177 600 d. $49 200 5. a. $57 000 b. $24 600 c. $59 200 d. $32 800 6. a. 60 000 b. 20 000 c. 60 000 d. 30 000 7. 102 108 / 102 099 / 102 017 / 102 016 / 101 900 / 101 899 / 101 256 / 101 165. 8. a. 2 b. 30 c. 5 d. 6 e. 70 f. 80 g. 90 h. 2 9. a. 65 089 < 65 090 < 65 091 b. 46 200 < 46 201 < 46 202 c. 11 188 < 11 189 < 11 190 d. 94 598 < 94 599 < 94 600 e. 37 509 < 37 510 < 37 511 10. a. Ventas de marzo. 11. a. Jugos. c. Empolvados. 12. a. 300 empanadas. c. 1 100 empolvados. 13. a. 2 700 empanadas. c. 8 500 empolvados. b. Ventas de abril. b. Empanadas. b. 700 jugos. b. 9 900 jugos. Página 12 9. a. Bebida de lata. c. Limonada. 10. a. 710 millones. c. 1930 - 1994 b. Jugo de frutas y té frío. d. 5 b. 230 millones. Página 13 11. a. 115 b. 45 12. a. Supermercado. b. 520 litros. 13. a. De 50 en 50. b. Viernes. c. 60 personas. Página 14 14. a. La fruta preferida por los niños fue la manzana. b. 8 15. a. 438 532 b. De 200 000 en 200 000. c. Elvira. 16. a. Cantidad de personas. b. Una baja de 200 000 personas. c. 220 000 personas. Página 15 14. a. b. c. d. e. 1 878 173 59 421 165 807 Elvira, Carlos, Sonia, Adriana, Jaime, Manuel. 130 000; 560 000; 190 000; 310 000; 260 000; 430 000. 48 4º CUADERNILLO 6.indd 48 29/11/11 10:19:04
  • 49.
    Página 16 17. Título:Venta anual de helados a. Chocolate. b. Para determinar cuál es el sabor más vendido. c. 62 18. a. Sándwich. b. Jugos. c. Yogur. d. Se vendieron 113 productos. Página 17 17. a. Enero: 20; Febrero: 17 b. Enero: 5; Febrero: 6 c. Enero: 6; Febrero: 5 b. c. 18. a. d. e. f. Página 19 1. a. 2. a. En el gráfico a. los números van del 0 al 300, mientras que en el gráfico b. los números van del 0 al 400. b. En el gráfico c. los números van del 0 al 300 y la graduación es de 100 en 100, mientras que en el gráfico d. los números van del 0 al 250 y la graduación es de 50 en 50. c. En el gráfico b. los números van del 0 al 400 y la graduación es de 100 en 100, mientras que en el gráfico d. los números van del 0 al 250 y la graduación es de 50 en 50. d. En el gráfico a. los números van del 0 al 300 y la graduación es de 100 en 100, mientras que en el gráfico d. los números van del 0 al 250 y la graduación es de 50 en 50. e. En el gráfico b. los números van del 0 al 400, mientras que en el gráfico c. los números van del 0 al 300. Cuadernillo 6 15. a. 36 977 b. 1 108 086 c. 229 790 d. 1 399 344 e. 112 570 f. 69 942 16. a. Verdes: 195; Fucsias: 135; Calipsos: 90; Cafés: 120; Rojas: 180. 6 Página 20 3. a. d. 4. a. d. Todos. 300 libros. Miércoles. Miércoles. b. Leyendas. c. 400 libros. b. Lunes. c. Lunes. Página 21 Enero a. Enero d. 1 día Febrero b. Enero e. 37 días. c. Febrero Página 18 1. a. Distancia que saltan los animales. b. Centímetros. c. No 2. a. Preferencias Deportivas Deporte Número de estudiantes Vóleibol 24 Atletismo 54 Fútbol 42 Básquetbol 15 b. El atletismo. c. Múltiples respuestas. 3. a. Sucursal A: 3; Sucursal B: 2; Sucursal C: 3. b. 8 empleados. c. Javier. d. Cecilia. e. $894 170 f. $374 720 g. $670 100 4. a. $184 550 b. $124 160 c. $53 740 d. $251 890 e. $110 780 5. a. 459 000 b. 274 000 c. 300 000 d. 176 000 e. 199 000 f. 207 000 g. 136 000 h. 189 000 6. $1 938 990 Página 22 5. a. Agencia 1: Auto familiar; Agencia 2: Camioneta de carga 2. b. 20 autos. c. Agencia 1: Camioneta de carga 2; Agencia 2: Camioneta deportiva. d. Agencia 1: Auto y camioneta familiar; Agencia 2: Camioneta de carga 1 y 2. 49 4º CUADERNILLO 6.indd 49 29/11/11 10:19:06
  • 50.
    6. 8. 240 Número de habitantesentre 1790 - 1830 8,0 210 Autos vendidos 180 7,0 Habitantes por km2 150 120 90 60 30 6,0 5,0 4,0 fam Au il to Ca iar de mio po ne rti ta Ca va m i famone il ta Ca iar de mio ca ne rg ta a1 Ca m de io ca ne rg ta a2 co m Au pa to ct o 0 Tipo de auto Agencia 1 Agencia 2 Inventos patentados Número de alumnos 500 450 400 350 300 250 1810 Año 1820 1830 c. 48 bolitas. 25 20 15 10 5 0 200 150 Guitarra Teclado Flauta Bajo Tipo de instrumento Batería Página 25 100 1836 1837 1838 1839 Año a. 550 1800 Página 24 550 Número de patentes 1790 7. c 8. a. Karla. b. 36 bolitas. 9. a. 80 estudiantes. b. 30 Página 23 7. 0 b. 1840 c. 411 1840 9. a. 24 562; 32 115; 36 480; 40 251; 68 207; 74 287. b. 61 042 niños. c. 114 538 niños. d. 100 322 niños. e. 275 902 niños. f. Mayo, junio y agosto. g. Abril. h. 49 725 niños. i. 36 092 niños. 50 4º CUADERNILLO 6.indd 50 29/11/11 10:19:07
  • 51.
    1 382 850 77470 94 256 41 092 132 131 900, 901, 902, 903, 904. 831, 830, 829, 828, 827. Página 26 10. a. b. c. d. e. f. 11. a. b. c. d. e. f. Juego de naipes. Teatro. 2 871 personas. 22 535 personas. de 2 000 en 2 000. Juego de naipes, bingo y pintura. Probabilidades de lanzamiento. 50 veces. Cara. Cara: 28; Sello: 22 50 No, porque es al azar. Página 27 12. a. Número de estudiantes. b. c. d. 100 estudiantes. 13. a. 500 estudiantes. b. 600 estudiantes. c. 300 estudiantes. d. 800 estudiantes. 14. a. 200 – 250 – 300 – 350 – 400. b. 750 – 950 – 1 150 – 1 350 – 1 550. c. 3 500 – 4 500 – 5 500 – 6 500 – 7 500. d. 0,8 – 0,9 – 1,0 – 1,1 – 1,2. e. 11,5 – 12 – 12,5 – 13 – 13,5. f. 1,6 – 1,8 – 2,0 – 2,2 – 2,4. 15. a. 280 / 360 / 400 / 480 / 560 / 600. b. 1 350 / 1 380 / 1 440 / 1 470 / 1 500 / 1 560. c. 1,1 / 1,3 / 1,5 / 1,9 / 2,1 / 2,5. d. 15,2 / 15,3 / 15,5 / 15,6 / 15,7 / 15,9 / 16,0. e. 52 730 / 52 830 / 52 830 / 52 880 / 52 980 / 53 030 / 54 130. f. 18,05 / 18,10 / 18,15 / 18,30 / 18,40 / 18,45. Página 28 12. Mes Cantidad de películas (Frecuencia) 20 60 35 25 20 10 45 Junio Julio Agosto Septiembre Octubre Noviembre Diciembre a. Julio. 13. a. Suma la cantidad de estudiantes. b. 25 c. 9 d. 16 e. 14 Cuadernillo 6 10. a. b. c. d. e. 11. a. b. 6 Página 29 16. a. Verde 17. a. 10 d. 35 18. a. 20 d. 70 19. a. 40 d. 140 20. a. 200 d. 700 21. a. 454 240 d. 3012 22. a. 3420 d. 230 000 23. a. 288 204 c. 627 011 b. b. e. b. e. b. e. b. e. b. e. b. e. b. d. Azul 45 5 90 10 180 20 900 100 3 791 862 14 081 18 000 7 000 567 858 228 132 c. c. f. c. f. c. f. c. f. c. Verde 30 40 60 80 120 160 600 800 260 690 c. 50 100 Página 30 1. a. c. 2. a. 3. a. Natación y vóleibol. b. Fútbol. 10 d.5 1,36 metros. b. 82 c. 1,31 metros. 5 b. América. c. 7 Página 31 1. a. c. e. g. i. 10 804 hombres. Entre 1,50 y 1,60 metros. 6 258 mujeres. 2 591 hombres más. 3 945 personas. b. 9 130 mujeres. d. 1 874 personas. f. 19 934 personas. h. 1 042 mujeres más. j. 1 440 hombres más. 51 4º CUADERNILLO 6.indd 51 29/11/11 10:19:07
  • 52.
    2. a. d. g. j. 3. a. d. g. j. 949718 440 736 16 994 955 334 6 999 5 009 72 179 17 599 b. 682 316 e. 913 311 h. 83 511 k. 391 203 b. 2 911 e. 1 311 h. 436 k. 255 817 c. f. i. l. c. f. i. l. 711 055 1 122 714 360 812 48 982 311 674 166 712 44 057 168 346 7. a. 595 d. 331 g. 1 279 j. 6 950 m.4 505 4. Enero Febrero Marzo Abril Mayo Junio Total Cantidad de arriendos 5. 1 500 1 200 900 600 300 0 a. 250 Enero Febrero Marzo Abril Mayo Junio Meses Películas b. 3 750 Videojuegos c. 5 500. Página 33 4. a. 157 niñas. c. 29 niños. e. 179 niños. 5. a. 1 211 niños y niñas. b. 1 207 niños y niñas. c. 837 niños y niñas. d. 1 110 niños y niñas. e. 1 142 niños y niñas. f. 915 niños y niñas. 6. a. Niños: 3 401. b. Niñas: 3 021. b. 372 niños. d. 178 niños. f. 221 niñas. Atletismo Básquetbol Vóleibol Fútbol Total Cantidad de hombres que lo practican 20 50 30 80 180 Cantidad de mujeres que lo practican 50 50 20 0 120 a. Atletismo y básquetbol. b. Fútbol. c. Básquetbol. 80 70 60 50 40 30 20 10 0 Atletismo Básquetbol Vóleibol Fútbol Deportes Mujeres Hombres 2. a. Cantidad de apoderados Mes c. 995 f. 782 i. 1 300 l. 6 880 ñ. 6 200 1. Mes Cantidad de DVD arrendados 750 500 1 000 1 250 1 500 500 5 500 989 72 601 760 4 100 Página 34 Página 32 Cantidad de videojuegos arrendados 500 250 750 1 000 750 500 3 750 b. e. h. k. n. Celebración Número de estudiantes Asado 12 Paseo al campo 6 Paseo a la playa 9 Salida al cine 7 Convivencia 3 b. Asado. c. Convivencia. 52 4º CUADERNILLO 6.indd 52 29/11/11 10:19:08
  • 53.
    1. a. Vehículos nuevosVehículos usados 2 000 7 000 3 000 6 000 4 000 5 000 6 000 3 000 b. Tipo Nº de auditores Nº de auditores Nº de auditores de radio en la mañana en la tarde en la noche A 600 200 250 B 550 150 400 C 500 100 350 2. a. 5 000 autos. b. 3 000 autos. c. 1000 autos. d. 3 000 autos. e. 21 000 autos. f. 15 000 autos. 3. a. 1 650 personas. b. 450 personas. c. 1 000 personas. d. 650 personas. e. 550 personas. Página 38 Cantidad 5. a. 7 b. Fideos. c. Página 36 Fid Le g 6. a. Múltiples respuestas. b. Múltiples respuestas. c. Múltiples respuestas. Página 37 4. 6,7 – 6,2 – 5,6 – 4,7 – 4,2 - 4,0. 5. a. 6 < 6,7 < 7 b. 3 < 4 < 5 c. 5 < 5,6 < 6 d. 6 < 6,2 < 7 e. 4 < 4,2 < 5 f. 4 < 4,7 < 5 Celebración Promedio de calificaciones 40 35 30 25 20 15 10 5 0 eo s um br es Le ch e Ca rn e Ar ro z 3. a. Múltiples respuestas. b. Múltiples respuestas. 4. a. Música y Lenguaje. b. Matemática, Historia y Ciencias. c. Matemática e Historia. d. * Ver solución al pie de página. 4. d. * 6 Pa n Ve rd ur as Mes del año Enero Febrero Marzo Abril 6. 2,33 – 2,9 – 3,25 – 4,5 – 4,58 -5,25 – 6,1 – 7,28. 7. a. 10 + 4 + 0,8 b. 20 + 5 + 0,1 c. 10 + 1 + 0,7 d. 30 + 6 + 0,2 e. 0 + 0,7 + 0,05 f. 5 + 0,9 + 0,08 8. a. 1,4 < 1,7 b. 13,1 > 12,4 c. 4,2 > 3,6 d. 9,8 > 8,9 e. 1,11 < 1,2 f. 7,25 = 7,250 g. 1,85 > 1,74 h. 5,28 > 5,1 i. 6,4 < 7,1 j. 3,9 > 3,8 k. 6,9 > 6,6 l. 0,37 < 0,45 m.4,54 > 4,48 n. 1,26 > 1,1 ñ. 17,45 < 17,6 o. 3,45 < 3,5 p. 1,7 > 1,3 q. 3,6 > 3,5 r. 7,3 > 7,2 s. 4,2 = 4,20 t. 1,34 < 1,4 u. 3,70 = 3,7 v. 7,24 = 7,240 w. 0,96 > 0,7 Cuadernillo 6 Página 35 Matemática Lenguaje 4,0 6,2 Ciencias Historia Música Educación Física 4,7 4,2 6,7 5,6 53 4º CUADERNILLO 6.indd 53 29/11/11 10:19:09
  • 54.
    8. a. Página 39 9.a. Atletismo. b. Vóleibol. c. Básquetbol. d. Tenis. e. Fútbol. 10. a. 1 040 estudiantes. b. 1 530 estudiantes. c. 51 estudiantes. d. 490 estudiantes. e. 1 687 estudiantes. 11. * Ver solución al pie de página. 10 Preferencia 8 6 4 2 0 Página 40 Frutilla Vainilla Chocolate Tres leches Variedades b. 26 c. 2 d. Tres leches. 7. a. Números. b. 39 c. Adivina, adivinador. d. Página 41 Lo te ría Nú m er os Qu ién fu e M em or ia To rre m sd ad e er a Tu ris ta ad Ad ivi ivi na na do r 12. a. 270 pesos. b. 310 pesos. c. 50 pesos. d. Mantequilla y cereales. e. Mantequilla y leche. f. Cereales. Precios de pantalones Precios 11. * 18 000 16 000 14 000 12 000 10 000 8 000 6 000 4 000 2 000 0 Tienda 1 Jeans Tienda 2 Algodón Tienda 3 Cotelé 54 4º CUADERNILLO 6.indd 54 29/11/11 10:19:10
  • 55.
    14. a. c. e. g. i. 15. a. c. e. g. i. Mantequilla Leche Cereales Productos 2011 2010 23000 200 000 90 000 896 000 740 000 212 500 565 200 365 600 75 300 428 900 b. 121 000 d. 155 000 f. 458 000 h. 13 000 Cuadernillo 6 Número de veces 10. a. Oso. b. Conejo. c. Múltiples respuestas. d. Múltiples respuestas. e. 16 3 200 2 800 2 400 2 000 1 600 1 200 800 400 0 12 8 4 0 Oso Conejo Forma 6 Gato Página 43 16. a. b.13 500 d. 15 200 f. 300 100 h. 44 800 75 60 Minutos Pesos 13. 45 30 15 Página 42 1 25 2 3 Días 4 5 b. 20 50 Número de camionetas Número de estudiantes 9. 15 10 5 i Tre m n et o ro Ta x co Bus lar es M icr o Ca m in an do B ic icl et a 0 40 30 20 10 1985 1986 1987 1988 1989 Años Tipo de movilización a. b. c. d. e. f. 73 Micro. Taxi. 15 Múltiples respuestas. Múltiples respuestas. 55 4º CUADERNILLO 6.indd 55 29/11/11 10:19:11
  • 56.
    1 800 1 600 1400 1 200 1 000 800 600 400 200 0 Consumo mensual de agua ¿Cuánto aprendí? 1. b. 2. 200 Número de votos Litros 17. a. Enero: 100 litros. Febrero: 50 litros. Marzo: 300 litros. Abril: 130 litros. b. 160 120 80 40 Gris Enero Febrero Marzo Abril Meses F. López F. Rosas Rojo 3. c. Familia López: 5 550 litros. Familia Rosas: 4 970 litros. Preparo mi SIMCE 1. d. 2. b. 3. a. Beige Celeste Colores a. b. c. d. 4. c. 5. d. 6. a. Años Kilos de manzanas 2 000 200 000 2 001 400 000 2 002 600 000 2 003 800 000 Años 600 000 kilos 200 000 kilos Múltiples respuestas. 56 4º CUADERNILLO 6.indd 56 29/11/11 10:19:11