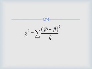
Chi –cuadrado
ARABIA RODRIGUEZ SAYAGO
GRUPO 16
V.DEL ROCIO

 El estadístico chi- cuadrado se puede utilizara para:
- Estudiar la relación o independencia de una variable con
más de una categoría
Es una prueba de conformidad o bondad de ajuste
- Estudiar la relación entre dos o más muestras o
poblaciones
Es una prueba de homogeneidad
- Entre dos o más variables de una población de la que
hemos extraído una muestra
Es una prueba de independencia o relación
RECORDATORIO

 Tenemos la siguiente tabla de contingencia que
refleja los datos de la asignatura de religión en
centros escolares. ¿Influye el tipo de colegio en la
nota obtenida? Con un margen de error 0,05)
EJERCICIO 1

 Ho: no hay relación entre el tipo de centro y
calificaciones
 Datos esperados:
insuficiente suficiente notable sobresalient
e
Tota
l
Publico 36 x 46/128 46 x 46 /
128
34x46/128 12x46/128 46
privado 36x 82/128 46x82/128 34 x82/128 82x12/128 82
Total 36 46 34 12 128


 Aplicamos formula = 17,3
 Calculamos los grados de libertad: ( 2-1) ( 4-1) =
1 x3= 3
Miramos en la tabla. Para el valor 3 , x2= 7,82
Conclusión: mi x2 es mayor ( 17,3) por tanto p es
menor a o,o5. en conclusión, rechazamos la Ho
privado= 6/46 = 0,13
Publico= 30/82= o,36
Hay mas porcentajes de suspensos en el publico

 inventar tema de investigación: ¿ afecta las barriadas
pobres a la obesidad infantil?
Siendo el nivel de significación 0,001
EJERCICIO 2
Marginal No marginal Total
Si 20 45 65
No 70 26 96
Total 90 71 161

 H0: no hay relación entre las barriadas pobres y la
obesidad infantil
 Datos esperados:
Marginal No marginal Total
si 90x 65/161 71x 65/161 65
No 90x 96/161 71x96/161 96
total 90 71 161


 Aplicamos fórmula : 27,9
 Calculamos los grados de libertad: al ser tabal dos
por dos es 1
 Miramos la tabla y para el valor 1 el x2= 10,83
 Nuestra x2 es mayor ( 27,9) por lo que la p es menor
a o,oo1 y rechazamos la H0
 Conclusión:
20/90= 0,22
45/71= 0,63 . Hay más obesidad en los barrios no
marginales

 INVENTAR EJERCICIO: ¿ que relación hay entre la
diabetes y la obesidad?
 Ho: no hay relación entre la diabetes y la obesidad
 Grado de libertad = 8
 Estadístico= 14
EJERCICIO 3

 ¿ que decisión tomarías a un nivel de significación de
o,o5?
miramos la tabla . Para 8 la x2 es de 15,51. nuestra x2
es menor por tanto la p es mayor a o,oo5 y por tanto
aceptamos la h0. es decir no hay relación

 ¿ que decisión tomarías a un nivel de significación
de o,o1?
Para 8, la x2 es de 26,12. nuestra x2 es menor por lo que
la p es mayor a o,o1 y por tanto aceptamos la H0

 Ho: no hay relación en tomar somníferos o placebos
para dormir bien o mal en este grupo de enfermeros
 Datos observados:
duerme bien mal total
Somníferos
54
Placebo 116
Total 125 45 170
EJERCICIO 4

 Datos esperados:
Duermen
bien
Duermen
mal
Total
somnifero 39,70 14,29 54
placebo 85,29 30,70 116
Total 125 45 170

 Aplicamos formula: x2= 2,55
 Grado de libertad = 1
 Miramos la tabla. Para grados de libertad =1 x2 =
3,84.
 Mi x2 es menor por lo que la p es > 0,05 y por tanto
aceptamos H0

 Datos observados:
EJERCICIO 5
hombres mujeres total
Si ulcera 10 24 34
No ulcera 282 168 450
Total 292 192 484

 ¿ cual es la hipotesis?
H0: no hay relación entre el sexo y las ulceras
datos observados:
Hombre Mujeres Total
Si 10 24 32
No 282 168 450
Total 292 192 484

 calcular el estadístico
Datos esperados:
Hombre Mujer Total
si 20,51 13,48 34
No 271,4 178,51 450
292 192 484

 Aplicamos formula: x2= 14,59
 ¿ existe relación entre la ulcera y el sexo?
Los grados de libertad son 1. miramos en la tabla y
corresponde a x2 = 3,84. nuestra x2 es mayor por lo que
la p < o,o5 y por tanto rechazo la ho, es decir, si hay
relación entre las ulceras y el sexo.
Hombre: 10/292= o,o34
Mujer: 24/192= 0,12 = hay mas mujeres con ulceras

Seminario 8

  • 1.
    Chi –cuadrado ARABIA RODRIGUEZSAYAGO GRUPO 16 V.DEL ROCIO
  • 2.
      El estadísticochi- cuadrado se puede utilizara para: - Estudiar la relación o independencia de una variable con más de una categoría Es una prueba de conformidad o bondad de ajuste - Estudiar la relación entre dos o más muestras o poblaciones Es una prueba de homogeneidad - Entre dos o más variables de una población de la que hemos extraído una muestra Es una prueba de independencia o relación RECORDATORIO
  • 3.
      Tenemos lasiguiente tabla de contingencia que refleja los datos de la asignatura de religión en centros escolares. ¿Influye el tipo de colegio en la nota obtenida? Con un margen de error 0,05) EJERCICIO 1
  • 4.
      Ho: nohay relación entre el tipo de centro y calificaciones  Datos esperados: insuficiente suficiente notable sobresalient e Tota l Publico 36 x 46/128 46 x 46 / 128 34x46/128 12x46/128 46 privado 36x 82/128 46x82/128 34 x82/128 82x12/128 82 Total 36 46 34 12 128
  • 5.
  • 6.
      Aplicamos formula= 17,3  Calculamos los grados de libertad: ( 2-1) ( 4-1) = 1 x3= 3 Miramos en la tabla. Para el valor 3 , x2= 7,82 Conclusión: mi x2 es mayor ( 17,3) por tanto p es menor a o,o5. en conclusión, rechazamos la Ho privado= 6/46 = 0,13 Publico= 30/82= o,36 Hay mas porcentajes de suspensos en el publico
  • 7.
      inventar temade investigación: ¿ afecta las barriadas pobres a la obesidad infantil? Siendo el nivel de significación 0,001 EJERCICIO 2 Marginal No marginal Total Si 20 45 65 No 70 26 96 Total 90 71 161
  • 8.
      H0: nohay relación entre las barriadas pobres y la obesidad infantil  Datos esperados: Marginal No marginal Total si 90x 65/161 71x 65/161 65 No 90x 96/161 71x96/161 96 total 90 71 161
  • 9.
  • 10.
      Aplicamos fórmula: 27,9  Calculamos los grados de libertad: al ser tabal dos por dos es 1  Miramos la tabla y para el valor 1 el x2= 10,83  Nuestra x2 es mayor ( 27,9) por lo que la p es menor a o,oo1 y rechazamos la H0  Conclusión: 20/90= 0,22 45/71= 0,63 . Hay más obesidad en los barrios no marginales
  • 11.
      INVENTAR EJERCICIO:¿ que relación hay entre la diabetes y la obesidad?  Ho: no hay relación entre la diabetes y la obesidad  Grado de libertad = 8  Estadístico= 14 EJERCICIO 3
  • 12.
      ¿ quedecisión tomarías a un nivel de significación de o,o5? miramos la tabla . Para 8 la x2 es de 15,51. nuestra x2 es menor por tanto la p es mayor a o,oo5 y por tanto aceptamos la h0. es decir no hay relación
  • 13.
      ¿ quedecisión tomarías a un nivel de significación de o,o1? Para 8, la x2 es de 26,12. nuestra x2 es menor por lo que la p es mayor a o,o1 y por tanto aceptamos la H0
  • 14.
      Ho: nohay relación en tomar somníferos o placebos para dormir bien o mal en este grupo de enfermeros  Datos observados: duerme bien mal total Somníferos 54 Placebo 116 Total 125 45 170 EJERCICIO 4
  • 15.
      Datos esperados: Duermen bien Duermen mal Total somnifero39,70 14,29 54 placebo 85,29 30,70 116 Total 125 45 170
  • 16.
      Aplicamos formula:x2= 2,55  Grado de libertad = 1  Miramos la tabla. Para grados de libertad =1 x2 = 3,84.  Mi x2 es menor por lo que la p es > 0,05 y por tanto aceptamos H0
  • 17.
      Datos observados: EJERCICIO5 hombres mujeres total Si ulcera 10 24 34 No ulcera 282 168 450 Total 292 192 484
  • 18.
      ¿ cuales la hipotesis? H0: no hay relación entre el sexo y las ulceras datos observados: Hombre Mujeres Total Si 10 24 32 No 282 168 450 Total 292 192 484
  • 19.
      calcular elestadístico Datos esperados: Hombre Mujer Total si 20,51 13,48 34 No 271,4 178,51 450 292 192 484
  • 20.
      Aplicamos formula:x2= 14,59  ¿ existe relación entre la ulcera y el sexo? Los grados de libertad son 1. miramos en la tabla y corresponde a x2 = 3,84. nuestra x2 es mayor por lo que la p < o,o5 y por tanto rechazo la ho, es decir, si hay relación entre las ulceras y el sexo. Hombre: 10/292= o,o34 Mujer: 24/192= 0,12 = hay mas mujeres con ulceras