TERMODINAMICA
CICLO DE OTTO
ELEMENTOS DEL MOTOR
CILINDRO (MOTOR)
Es el recinto por donde se desplaza un pistón. Su nombre
proviene de su forma, aproximadamente un cilindro
geométrico.
LUMBRERAS
En el cilindro del motor que funciona según el ciclo de 2 tiempos, se
denominan así las aberturas que tienen la finalidad de permitir la
admisión y la expulsión, respectivamente, de la mezcla fresca y de los
gases quemados. Su posición, relativa al movimiento del pistón,
establece las fases, es decir el instante y la duración de la apertura y
del cierre de los conductos.
PISTÓN
Se trata de un émbolo que se ajusta al interior de las paredes del cilindro
mediante aros flexibles llamados segmentos o anillos. Efectúa un movimiento
alternativo, obligando al fluido que ocupa el cilindro a modificar su presión y
volumen o transformando en movimiento el cambio de presión y volumen del
fluido.
BIELA
Es un elemento mecánico que sometido a esfuerzos de tracción o
compresión, transmite el movimiento articulando a otras partes de la
máquina. En un motor de combustión interna conectan el pistón al
cigüeñal.
INYECTOR
Es un sistema de alimentación de motores de combustión interna,
alternativo al carburador en los motores de explosión, el sistema de
alimentación de combustible y formación de la mezcla complementa en
los motores OTTO al sistema de encendido del motor, que es el que se
encarga de desencadenar la combustión de la mezcla
aire/combustible.
VALVULA
Es un dispositivo mecánico con el cual se puede iniciar, detener o
regular la circulación (paso) de líquidos o gases mediante una pieza
movible que abre, cierra u obstruye en forma parcial uno o más
orificios o conductos.
CABEZOTES
Se conoce como cabeza o culata, a la parte superior del motor, que
cubre el bloque de cilindros. En la estructura, de una cabeza están
instaladas las válvulas, de admisión y de explosión. La característica
principal de una cabeza, es la de soportar el calor generado por la
combustión.
LEVA (MECÁNICA)
Es un elemento mecánico que va sujeto a un eje y tiene un contorno
con forma especial. De este modo, el giro del eje hace que el perfil o
contorno de la leva toque, mueva, empuje o conecte una pieza
conocida como seguidor.
ÁRBOL DE LEVAS
Es un mecanismo formado por un eje en el que se colocan distintas
levas, que pueden tener distintas formas y tamaños y estar orientadas
de diferente manera, para activar diferentes mecanismos a intervalos
repetitivos
CIGÜEÑAL
El cigüeñal transmite la fuerza del motor a la caja de cambio. Está
fundido o forjado en una sola pieza. En el tiempo de explosión cada
pistón impulsa al cigüeñal hacia abajo, mientras que en los otros tres
tiempos, es el cigüeñal el que impulsa a los cilindros hacia arriba y
abajo.
EL VOLANTE DEL MOTOR
Es una pieza en forma de disco macizo que cumple una doble misión. Por una
lado, aumenta la inercia del giro del conjunto biela cigüeñal para ayudar (como
los contrapesos), a perpetuar el movimiento circular. En segundo lugar,
contribuye a disminuir las vibraciones del motor.
CÁRTER
El cárter es una caja metálica que aloja los mecanismos operativos del
motor . es el elemento que cierra el bloque, de forma estanca, por la
parte inferior, y que cumple adicionalmente con la función de actuar
como depósito para el aceite del motor. Simultáneamente, este aceite
se refrigera al ceder calor al exterior.
Este punto es un punto clave en el comportamiento
real del ciclo, lo cual lo veremos.
Admisión Compresión Expansión Escape
CICLO DE CUATRO TIEMPOS
(4T)
ADMISIÓN
• Se abre la válvula de admisión, el pistón baja y
el cilindro se llena de aire y combustible.
COMPRESIÓN
• Se cierra la válvula de admisión, el pistón sube y
comprime la mezcla de aire/gasolina.
EXPANSIÓN
• Se enciende la mezcla comprimida y el calor
generado por la combustión, expande los gases
que empujan al pistón hacia abajo.
ESCAPE
• Se abre la válvula de escape, el pistón sube,
expulsando los gases quemados.
TIEMPOS DE UN MOTOR DE
COMBUSTIÓN INTERNA
1.- Admisión.
2.- Compresión.
3.- Explosión.
4.- Escape.
CICLO DE DOS TIEMPOS (2T)
1. TIEMPO
1.(Admisión - Compresión). Cuando el pistón alcanza el
PMI (Punto Muerto Inferior) empieza a desplazarse
hasta el PMS (Punto Muerto Superior), creando una
diferencia de presión que aspira la mezcla de aire y
gasolina por la lumbrera de admisión hacia el cárter de
precompresión .(Esto no significa que entre de forma
Gaseosa). Cuando el pistón tapa la lumbrera, deja de
entrar mezcla, y durante el resto del recorrido
descendente el pistón la comprime en el cárter inferior,
hasta que se descubre la lumbrera de transferencia que
lo comunica con la cámara de compresión, con lo que la
mezcla fresca precomprimida ayuda a expulsar los
gases quemados del escape (renovación de la carga).
2. TIEMPO
2.(Expansión - Escape de Gases). Una vez que
el pistón ha alcanzado el PMS y la mezcla está
comprimida, se la enciende por una chispa entre
los dos electrodos de la bujía, liberando energía
y alcanzando altas presiones y temperaturas en
el cilindro. El pistón se desplaza hacia abajo,
realizando trabajo hasta que se descubre la
lumbrera de escape. Al estar a altas presiones,
los gases quemados salen por ese orificio.
Ciclo Otto
• El ciclo Otto es el ciclo termodinámico que se aplica en
los motores de combustión interna de encendido
provocado (motores de gasolina). Se caracteriza porque
en una primera aproximación teórica, todo el calor se
aporta a volumen constante.
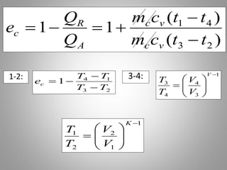
DESPEJE DE FORMULA
DEL CICLO DE OTTO
)(
)(
11
23
41
ttcm
ttcm
Q
Q
e
vc
vc
A
R
c



1-2:
23
14
1
TT
TT
ec



3-4: 1
3
4
4
3








V
V
V
T
T
1
1
2
2
1








K
V
V
T
T
Pero V2=V3 Y V4=V1
1
3
4
4
3








K
V
V
T
T
3
4
1
4
3
1
1
2
2
1
T
T
V
V
V
V
T
T
KK














3
4
2
1
T
T
T
T

2
3
1
4
T
T
T
T

11
2
3
1
4

T
T
T
T
Ó
cuando
2
23
1
14
T
TT
T
TT 


2
1
23
14
T
T
TT
TT



2
1
1
T
T
ec 
3
4
1
T
T
eec 
0
2
1

T
T


2
1 0
T
T


3
4 0
T
T
RELACIÓN DE COMPRESIÓN
PMI y PMS
3
4
2
1
v
v
ó
v
v
rc 
1
2
1
1
1
2
2
1
1
















k
c
k
rT
T
ó
v
v
T
T
Como
2
1
1
T
T
ec 
1
1
1 
 k
c
c
r
e
rc es maximo:
emax cuando 0
1
1
k
cr
O sea imorc max
2
1
v
v
cuando
Minimov
Maximov


2
1
102283002 ciclo-de-otto

102283002 ciclo-de-otto

  • 1.
  • 2.
  • 3.
    CILINDRO (MOTOR) Es elrecinto por donde se desplaza un pistón. Su nombre proviene de su forma, aproximadamente un cilindro geométrico.
  • 4.
    LUMBRERAS En el cilindrodel motor que funciona según el ciclo de 2 tiempos, se denominan así las aberturas que tienen la finalidad de permitir la admisión y la expulsión, respectivamente, de la mezcla fresca y de los gases quemados. Su posición, relativa al movimiento del pistón, establece las fases, es decir el instante y la duración de la apertura y del cierre de los conductos.
  • 5.
    PISTÓN Se trata deun émbolo que se ajusta al interior de las paredes del cilindro mediante aros flexibles llamados segmentos o anillos. Efectúa un movimiento alternativo, obligando al fluido que ocupa el cilindro a modificar su presión y volumen o transformando en movimiento el cambio de presión y volumen del fluido.
  • 6.
    BIELA Es un elementomecánico que sometido a esfuerzos de tracción o compresión, transmite el movimiento articulando a otras partes de la máquina. En un motor de combustión interna conectan el pistón al cigüeñal.
  • 7.
    INYECTOR Es un sistemade alimentación de motores de combustión interna, alternativo al carburador en los motores de explosión, el sistema de alimentación de combustible y formación de la mezcla complementa en los motores OTTO al sistema de encendido del motor, que es el que se encarga de desencadenar la combustión de la mezcla aire/combustible.
  • 8.
    VALVULA Es un dispositivomecánico con el cual se puede iniciar, detener o regular la circulación (paso) de líquidos o gases mediante una pieza movible que abre, cierra u obstruye en forma parcial uno o más orificios o conductos.
  • 9.
    CABEZOTES Se conoce comocabeza o culata, a la parte superior del motor, que cubre el bloque de cilindros. En la estructura, de una cabeza están instaladas las válvulas, de admisión y de explosión. La característica principal de una cabeza, es la de soportar el calor generado por la combustión.
  • 10.
    LEVA (MECÁNICA) Es unelemento mecánico que va sujeto a un eje y tiene un contorno con forma especial. De este modo, el giro del eje hace que el perfil o contorno de la leva toque, mueva, empuje o conecte una pieza conocida como seguidor.
  • 11.
    ÁRBOL DE LEVAS Esun mecanismo formado por un eje en el que se colocan distintas levas, que pueden tener distintas formas y tamaños y estar orientadas de diferente manera, para activar diferentes mecanismos a intervalos repetitivos
  • 12.
    CIGÜEÑAL El cigüeñal transmitela fuerza del motor a la caja de cambio. Está fundido o forjado en una sola pieza. En el tiempo de explosión cada pistón impulsa al cigüeñal hacia abajo, mientras que en los otros tres tiempos, es el cigüeñal el que impulsa a los cilindros hacia arriba y abajo.
  • 13.
    EL VOLANTE DELMOTOR Es una pieza en forma de disco macizo que cumple una doble misión. Por una lado, aumenta la inercia del giro del conjunto biela cigüeñal para ayudar (como los contrapesos), a perpetuar el movimiento circular. En segundo lugar, contribuye a disminuir las vibraciones del motor.
  • 14.
    CÁRTER El cárter esuna caja metálica que aloja los mecanismos operativos del motor . es el elemento que cierra el bloque, de forma estanca, por la parte inferior, y que cumple adicionalmente con la función de actuar como depósito para el aceite del motor. Simultáneamente, este aceite se refrigera al ceder calor al exterior.
  • 15.
    Este punto esun punto clave en el comportamiento real del ciclo, lo cual lo veremos. Admisión Compresión Expansión Escape
  • 16.
    CICLO DE CUATROTIEMPOS (4T)
  • 17.
    ADMISIÓN • Se abrela válvula de admisión, el pistón baja y el cilindro se llena de aire y combustible.
  • 18.
    COMPRESIÓN • Se cierrala válvula de admisión, el pistón sube y comprime la mezcla de aire/gasolina.
  • 19.
    EXPANSIÓN • Se enciendela mezcla comprimida y el calor generado por la combustión, expande los gases que empujan al pistón hacia abajo.
  • 20.
    ESCAPE • Se abrela válvula de escape, el pistón sube, expulsando los gases quemados.
  • 21.
    TIEMPOS DE UNMOTOR DE COMBUSTIÓN INTERNA 1.- Admisión. 2.- Compresión. 3.- Explosión. 4.- Escape.
  • 23.
    CICLO DE DOSTIEMPOS (2T)
  • 24.
    1. TIEMPO 1.(Admisión -Compresión). Cuando el pistón alcanza el PMI (Punto Muerto Inferior) empieza a desplazarse hasta el PMS (Punto Muerto Superior), creando una diferencia de presión que aspira la mezcla de aire y gasolina por la lumbrera de admisión hacia el cárter de precompresión .(Esto no significa que entre de forma Gaseosa). Cuando el pistón tapa la lumbrera, deja de entrar mezcla, y durante el resto del recorrido descendente el pistón la comprime en el cárter inferior, hasta que se descubre la lumbrera de transferencia que lo comunica con la cámara de compresión, con lo que la mezcla fresca precomprimida ayuda a expulsar los gases quemados del escape (renovación de la carga).
  • 25.
    2. TIEMPO 2.(Expansión -Escape de Gases). Una vez que el pistón ha alcanzado el PMS y la mezcla está comprimida, se la enciende por una chispa entre los dos electrodos de la bujía, liberando energía y alcanzando altas presiones y temperaturas en el cilindro. El pistón se desplaza hacia abajo, realizando trabajo hasta que se descubre la lumbrera de escape. Al estar a altas presiones, los gases quemados salen por ese orificio.
  • 29.
    Ciclo Otto • Elciclo Otto es el ciclo termodinámico que se aplica en los motores de combustión interna de encendido provocado (motores de gasolina). Se caracteriza porque en una primera aproximación teórica, todo el calor se aporta a volumen constante.
  • 31.
  • 32.
  • 33.
    Pero V2=V3 YV4=V1 1 3 4 4 3         K V V T T 3 4 1 4 3 1 1 2 2 1 T T V V V V T T KK               3 4 2 1 T T T T  2 3 1 4 T T T T  11 2 3 1 4  T T T T
  • 34.
  • 35.
    RELACIÓN DE COMPRESIÓN PMIy PMS 3 4 2 1 v v ó v v rc  1 2 1 1 1 2 2 1 1                 k c k rT T ó v v T T Como 2 1 1 T T ec  1 1 1   k c c r e
  • 36.
    rc es maximo: emaxcuando 0 1 1 k cr O sea imorc max 2 1 v v cuando Minimov Maximov   2 1