REACTIVIDAD QUÍMICA
¿Cuáles son las propiedades químicas de los biolementos que
         promueven las interacciones que dan lugar a la vida?

                                                                                               SOLUBILIDAD;
                                                                                              TRANSPORTE,
                                                    Propiedades
                                                                                              REACTIVIDAD;
                                                      Químicas
                                                                                              PROP. REDOX,
                                                                                              PROP REDOX
                                                                                              REACTIVIDAD...




                                   Propiedades                          Fuerza del
                                    periódicas                            Enlace




  Radio atómico
   Radio Iónico                  Electronegatividad             Energía de ionización Afinidad electrónica:
(Distancia entre dos núcleos   (Es una medida de la fuerza de     (Energía necesaria para        (Energía necesaria
     del elemento unidos       atracción que ejerce un átomo      extraer un electrón de su    para quitar un electrón a
  por un enlace covalente       sobre los electrones de otro,              nivel de             un anión de un átomo)
         puro sencillo)           en un enlace covalente)              energía exterior)
Ley periódica:
 “Se repite un patrón particular a medida que aumenta el número
                             atómico
                             atómico”

Propiedades periódicas:
1.   Radio atómico: Es la mitad de la distancia entre dos núcleos del
     elemento unidos por un enlace covalente puro sencillo.
                                                Disminuye
             Aumenta
Radios atómicos (Å) de los elementos en un
              enlace simple
2. Electronegatividad:
   Es una medida de la fuerza de atracción que ejerce un átomo sobre los
            electrones d otro át
             l t         de t átomo en un enlace covalente
                                               l          l t

                                                           Aumenta
ELEMENTO   ELECTRO-
            NEGATI-
             VIDAD

   F         4.0      Disminuye
                      D
   O         3.5
   Cl        3.2
   N         3.0
                              e




   S         2.5
   C         2.5
   H         2.1
   P         2.1
  Mg         1.2
                                  Conclusión: Un átomo con alta electronegatividad,
  Ca         1.0
                                  va a ser un buen nucleófilo Y la diferencia de
                                                   nucleófilo.
  Na         0.9                  electronegatividad entre los átomos en una molécula
   K         0.8                  va a determinar si la molécula es iónica o covalente.
ELECTRONEGATIVIDAD DE ELEMENTOS
ELEMENTO     ELECTRONEGATIVIDAD
    F               4.0
    O               3.5
   Cl               3.0
    N               3.0
  S                 2.5
  C                 2.5
  H                 2.1
  P                 2.1
  Mg
  M                 1.2
                    12
  Ca                1.0
  Na                0.9
                    09
  K                 0.8
Propiedades periódicas…
 3. Energía de Ionización: Cantidad de energía necesaria para extraer
      un electrón de su nivel de energía exterior. Es un indicador de la
      fuerza con la que el núcleo atrae a los electrones de valencia.
                                                Aumenta
       Disminuye




Átomos con bajas           Los metales tienen energías de ionización más
energías de ionización     pequeñas que los no metales:
forman cationes: metales
del grupo I y II           Li+ ( 39 kJ mol-1) Na+ ( 96) O-2 (1313) F- (1681)
                               (539        1),    (496), 2 (1313),
Propiedades periódicas…
  4. Afinidad electrónica (AE): energía que se
     debe suministrar para quitar un electrón a
     un anión de un átomo:                        ELEMENTO     Afinidad
                                                             Electrónica
       F-(g) → F(g) + e- ΔH= +328 kJ mol-1                       (AE)
                                                              (kJ mol-1)
                                   Aumenta           F          328
                                                     O          141
                                                     Cl         349
                                                     N           0
Disminuye




                                                     S          200
                                                     C          122
                                                     H           73
                                                     P           72
                                                    Mg          <0
                                                    Ca          2.4
                                                    Na           53
            Átomos con altas AE tienden
            a permanecer como aniones               Hg          - 60
                                                             Chang, 306
FUERZAS DE ENLACE EN BIOMOLÉCULAS
Tipo de
  p        ΔH disoc      Tipo de
                           p         ΔH disoc
Enlace     (kJ mol-1)    Enlace      (kJ mol-1)
   Enlace Simple
              p              Enlace doble
  O-H         461         C=O           712
  H-H         435
                35         C
                           C=N          6 5
                                        615
  P-O         419          C=C          611
  CH
  C-H         414          P O
                           P=O          502
  C-O         352            Enlace triple
  C-C
  CC          348          C=C          816
  S-H         339          N=N          930
  C-N
  CN          293       Enlaces no covalentes
  S-S         214                4-20
En la célula ocurren 5 tipos de
         reacciones químicas
               i       í i
1. REDOX

2. FORMACIÓN Y ROMPIMIENTO DE ENLACES C-C

3. REARREGLOS INTERNOS (isomerizaciones)

4. TRANSFERENCIA DE GRUPOS

5. CONDENSACIONES
1. REACCIONES REDOX:   OXIDACIÓN DEL CARBONO


O
X
I
D
A
C
I
Ó
N
UNA REACCIÓN REDOX:
EL C-2 DEL LÁCTICO SE OXIDA DE ALCOHOL A CETONA
2. FORMACIÓN Y ROMPIMIENTO DE ENLACES C-C
ROMPIMIENTO = cleavage




*
La formación y el rompimiento de enlaces
      puede ser ocasionado por un nucleófilo
          d          i   d            l ófil


nucleófilo



        :             +
GRUPOS FUNCIONALES NUCLEÓFILOS EN CÉLULAS
             AGUA                                HOH
      ION HIDRÓXIDO                               HO-
   HIDROXILO (alcohol)                          R-OH
          ALCOXIDO                                RO-
        SULFHIDRILO                             R- SH
          SULFURO                                R-S-
                                                 RS
            AMINO                               R-NH2
       CARBOXILATO                             R COO-
                                               R-COO
          IMIDAZOL                            Histidina
      ORTOFOSFATO                               HPO4-
*Citados en orden decreciente de fuerza de la propiedad.
RUPTURA DE UN ENLACE PEPTÍDICO(HIDRÓLISIS): El
              H20 actúa como nucleófilo




EL H2O REALIZA UN ATAQUE NUCLEOFÍLICO SOBRE EL C=O, DESPLAZANDO EL N DEL
                               GRUPO NH2
3. REARREGLO INTERNO   (Isomerizaciones)

EJEMPLO:
EJEMPLO
4. REACCIÓN DE TRANSFERENCIA DE GRUPO
5. REACCIÓN DE CONDENSACIÓN
EJERCICIOS
  CLASIFICA LAS
    SIGUIENTES
   REACCIONES
  COMO: REDOX, ,
ISOMERIZACIÓN, …
Respuesta: Redox, ¿por qué?
Respuesta: Transferencia de grupo, ¿por qué?
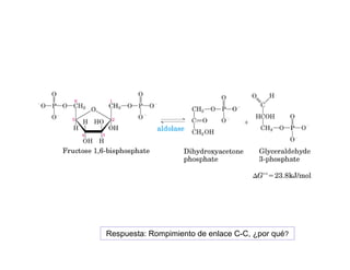
Respuesta: Rompimiento de enlace C-C, ¿por qué?
Respuesta: Transferencia de grupo, ¿por qué?
Respuesta: Isomerización, ¿por qué?
Respuesta: Transferencia de grupo, ¿por qué?
Respuesta: Rompimiento de enlace C-C, ¿por qué?
Clasificar las reacciones
        6, 7,8 y 10

2a Pte React QuíMica

  • 1.
  • 2.
    ¿Cuáles son laspropiedades químicas de los biolementos que promueven las interacciones que dan lugar a la vida? SOLUBILIDAD; TRANSPORTE, Propiedades REACTIVIDAD; Químicas PROP. REDOX, PROP REDOX REACTIVIDAD... Propiedades Fuerza del periódicas Enlace Radio atómico Radio Iónico Electronegatividad Energía de ionización Afinidad electrónica: (Distancia entre dos núcleos (Es una medida de la fuerza de (Energía necesaria para (Energía necesaria del elemento unidos atracción que ejerce un átomo extraer un electrón de su para quitar un electrón a por un enlace covalente sobre los electrones de otro, nivel de un anión de un átomo) puro sencillo) en un enlace covalente) energía exterior)
  • 3.
    Ley periódica: “Serepite un patrón particular a medida que aumenta el número atómico atómico” Propiedades periódicas: 1. Radio atómico: Es la mitad de la distancia entre dos núcleos del elemento unidos por un enlace covalente puro sencillo. Disminuye Aumenta
  • 4.
    Radios atómicos (Å)de los elementos en un enlace simple
  • 5.
    2. Electronegatividad: Es una medida de la fuerza de atracción que ejerce un átomo sobre los electrones d otro át l t de t átomo en un enlace covalente l l t Aumenta ELEMENTO ELECTRO- NEGATI- VIDAD F 4.0 Disminuye D O 3.5 Cl 3.2 N 3.0 e S 2.5 C 2.5 H 2.1 P 2.1 Mg 1.2 Conclusión: Un átomo con alta electronegatividad, Ca 1.0 va a ser un buen nucleófilo Y la diferencia de nucleófilo. Na 0.9 electronegatividad entre los átomos en una molécula K 0.8 va a determinar si la molécula es iónica o covalente.
  • 6.
    ELECTRONEGATIVIDAD DE ELEMENTOS ELEMENTO ELECTRONEGATIVIDAD F 4.0 O 3.5 Cl 3.0 N 3.0 S 2.5 C 2.5 H 2.1 P 2.1 Mg M 1.2 12 Ca 1.0 Na 0.9 09 K 0.8
  • 7.
    Propiedades periódicas… 3.Energía de Ionización: Cantidad de energía necesaria para extraer un electrón de su nivel de energía exterior. Es un indicador de la fuerza con la que el núcleo atrae a los electrones de valencia. Aumenta Disminuye Átomos con bajas Los metales tienen energías de ionización más energías de ionización pequeñas que los no metales: forman cationes: metales del grupo I y II Li+ ( 39 kJ mol-1) Na+ ( 96) O-2 (1313) F- (1681) (539 1), (496), 2 (1313),
  • 8.
    Propiedades periódicas… 4. Afinidad electrónica (AE): energía que se debe suministrar para quitar un electrón a un anión de un átomo: ELEMENTO Afinidad Electrónica F-(g) → F(g) + e- ΔH= +328 kJ mol-1 (AE) (kJ mol-1) Aumenta F 328 O 141 Cl 349 N 0 Disminuye S 200 C 122 H 73 P 72 Mg <0 Ca 2.4 Na 53 Átomos con altas AE tienden a permanecer como aniones Hg - 60 Chang, 306
  • 9.
    FUERZAS DE ENLACEEN BIOMOLÉCULAS Tipo de p ΔH disoc Tipo de p ΔH disoc Enlace (kJ mol-1) Enlace (kJ mol-1) Enlace Simple p Enlace doble O-H 461 C=O 712 H-H 435 35 C C=N 6 5 615 P-O 419 C=C 611 CH C-H 414 P O P=O 502 C-O 352 Enlace triple C-C CC 348 C=C 816 S-H 339 N=N 930 C-N CN 293 Enlaces no covalentes S-S 214 4-20
  • 10.
    En la célulaocurren 5 tipos de reacciones químicas i í i 1. REDOX 2. FORMACIÓN Y ROMPIMIENTO DE ENLACES C-C 3. REARREGLOS INTERNOS (isomerizaciones) 4. TRANSFERENCIA DE GRUPOS 5. CONDENSACIONES
  • 11.
    1. REACCIONES REDOX: OXIDACIÓN DEL CARBONO O X I D A C I Ó N
  • 13.
    UNA REACCIÓN REDOX: ELC-2 DEL LÁCTICO SE OXIDA DE ALCOHOL A CETONA
  • 14.
    2. FORMACIÓN YROMPIMIENTO DE ENLACES C-C ROMPIMIENTO = cleavage *
  • 15.
    La formación yel rompimiento de enlaces puede ser ocasionado por un nucleófilo d i d l ófil nucleófilo : +
  • 16.
    GRUPOS FUNCIONALES NUCLEÓFILOSEN CÉLULAS AGUA HOH ION HIDRÓXIDO HO- HIDROXILO (alcohol) R-OH ALCOXIDO RO- SULFHIDRILO R- SH SULFURO R-S- RS AMINO R-NH2 CARBOXILATO R COO- R-COO IMIDAZOL Histidina ORTOFOSFATO HPO4- *Citados en orden decreciente de fuerza de la propiedad.
  • 17.
    RUPTURA DE UNENLACE PEPTÍDICO(HIDRÓLISIS): El H20 actúa como nucleófilo EL H2O REALIZA UN ATAQUE NUCLEOFÍLICO SOBRE EL C=O, DESPLAZANDO EL N DEL GRUPO NH2
  • 18.
    3. REARREGLO INTERNO (Isomerizaciones) EJEMPLO: EJEMPLO
  • 19.
    4. REACCIÓN DETRANSFERENCIA DE GRUPO
  • 20.
    5. REACCIÓN DECONDENSACIÓN
  • 21.
    EJERCICIOS CLASIFICALAS SIGUIENTES REACCIONES COMO: REDOX, , ISOMERIZACIÓN, …
  • 22.
  • 23.
    Respuesta: Transferencia degrupo, ¿por qué?
  • 24.
    Respuesta: Rompimiento deenlace C-C, ¿por qué?
  • 25.
    Respuesta: Transferencia degrupo, ¿por qué?
  • 26.
  • 27.
    Respuesta: Transferencia degrupo, ¿por qué?
  • 28.
    Respuesta: Rompimiento deenlace C-C, ¿por qué?
  • 29.