1. APLICACIONES LINEALES



           x                      y=f(x)




Sean V y       dos espacios vectoriales una aplicación   se llama
aplicación lineal u homomorfismo si:

     •


     •

Estas dos son condiciones semejantes

     •

PROPIEDADES

Si             es una aplicación lineal, si cumple:


     1.



     2.
3.
         sub espacio vectorial de V      es sub espacio vectorial de


  4.   T es sub espacio vectorial de            es sub espacio vectorial
       de V




           u                    f(u)=w


Ejemplo:
a)   Hallar la Aplicación Lineal




     b)   Hallar




a)
b)




Sea




Si:
+(




     1.1. NÚCLEO E IMAGEN
Si          es una aplicación lineal se llama imagen al sub espacio

vectorial             y núcleo al sub espacio vectorial

            .
Así,




Sea              una aplicación lineal:


   1.   Se llama NÚCLEO de una aplicación lineal al conjunto de vectores

                 tales que




            V                             W


           V1                                 W1

           0v                                 0w
            0v
           V2                                 W2
            V2
           V3                                 W3
            V3
           V4                                 W4
            V4




Ejemplos

Sea la aplicación lineal
Sea
Sea la función :




Hallar el núcleo de f
Si




Reemplazamos a y b en el núcleo:




2.- Sea




Hallar el Núcleo de f




Por defición
Reemplazamos x,y,z en el núcleo y tenemos:




3.- Sea




Hallar el núcleo de f




Si
Por lo que el Núcleo de f sera:




  2.   Se llama IMAGEN de   o recorrido de :




           V                         W

                                         Ow
            V1
            0v
                                         W1         Imagen
            v1
            V2
            v2                           W2

                                         W3    W5
            V3
                                         W4
            V4
Sea




Ejercicios de aplicación

Sea la función




   a)   Hallar la imagen de


   b)   Hallar el núcleo de
Sea                          una   transformación     lineal     y

                                     es una base de   tal que:




  a)   Hallar la imagen de

  b)   Hallar el núcleo de
Hallar la Imagen de




Por definicion:




2.- Sea la función:
a) Hallar la Imagen de f y su dimensión




      b) Hallar el núcleo f y su dimensión




a) Si




Si:
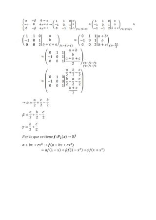
4.1 aplicaciones-lineales
4.1 aplicaciones-lineales

4.1 aplicaciones-lineales

  • 1.
    1. APLICACIONES LINEALES x y=f(x) Sean V y dos espacios vectoriales una aplicación se llama aplicación lineal u homomorfismo si: • • Estas dos son condiciones semejantes • PROPIEDADES Si es una aplicación lineal, si cumple: 1. 2.
  • 2.
    3. sub espacio vectorial de V es sub espacio vectorial de 4. T es sub espacio vectorial de es sub espacio vectorial de V u f(u)=w Ejemplo:
  • 3.
    a) Hallar la Aplicación Lineal b) Hallar a)
  • 4.
  • 6.
    +( 1.1. NÚCLEO E IMAGEN Si es una aplicación lineal se llama imagen al sub espacio vectorial y núcleo al sub espacio vectorial .
  • 7.
    Así, Sea una aplicación lineal: 1. Se llama NÚCLEO de una aplicación lineal al conjunto de vectores tales que V W V1 W1 0v 0w 0v V2 W2 V2 V3 W3 V3 V4 W4 V4 Ejemplos Sea la aplicación lineal
  • 8.
  • 9.
    Sea la función: Hallar el núcleo de f
  • 10.
    Si Reemplazamos a yb en el núcleo: 2.- Sea Hallar el Núcleo de f Por defición
  • 11.
    Reemplazamos x,y,z enel núcleo y tenemos: 3.- Sea Hallar el núcleo de f Si
  • 12.
    Por lo queel Núcleo de f sera: 2. Se llama IMAGEN de o recorrido de : V W Ow V1 0v W1 Imagen v1 V2 v2 W2 W3 W5 V3 W4 V4
  • 13.
    Sea Ejercicios de aplicación Seala función a) Hallar la imagen de b) Hallar el núcleo de
  • 14.
    Sea una transformación lineal y es una base de tal que: a) Hallar la imagen de b) Hallar el núcleo de
  • 16.
    Hallar la Imagende Por definicion: 2.- Sea la función:
  • 17.
    a) Hallar laImagen de f y su dimensión b) Hallar el núcleo f y su dimensión a) Si Si: