1
TEMA 1: LA QUÍMICA DE LA VIDA I
1. AGUA Y SOLUTOS
El agua es el medio líquido fundamental en el que se va a desarrollar la mayor parte de las reacciones químicas de la
célula, por lo que es el principal disolvente biológico. La molécula de agua presenta la característica química de
comportarse como un dipolo: el átomo de O, con una carga negativa, y los dos átomos de H como una carga principal
positiva. La distribución de las cargas y la geometría de la molécula posibilitan la gran interacción entre una molécula
y sus vecinas. Las interacciones débiles que establece una molécula de agua con las de alrededor se realizan mediante
puentes de hidrogeno. Este tipo de enlace débil del agua, el cual explica su carácter líquido, es vital para tanto para
disolver muchas moléculas orgánicas en este medio como para el plegamiento de macromoléculas (ácidos nucleicos y
proteínas). Las características más destacables del agua son:
• Disolvente biológico_ es un buen disolvente para moléculas polares y solutos cargados. No obstante, los
compuestos no polares se disuelven mal en agua y en contacto con ella forman micelas
• Función metabólica
• Función estructural
• Función mecánica
• Función transportadora
• Función termorreguladora
• Permite la vida en climas fríos
• Disuelve sales cristalinas hidratando sus iones
En los organismos, la concentración salina tiende a mantenerse constante. Las relaciones con un medio hipo o
hipertónico provocan movimientos hídricos entre la célula y el medio llamados osmosis. El plasma sanguíneo es
isotónico con una disolución de NaCl 0.9%.
Habitualmente se habla de pronto (H+
) como el catión disociado en una molécula de agua:
Sin embargo, en la naturaleza el protón se encuentra asociado a otra molécula formando un ion hidronio:
BIOQUÍMICA
2
Por tanto, el número de protones va a ser igual al número de iones hidronio (véase en la tabla)
El pH de una disolución es una medida de concentración de los protones; como los protones reaccionan con el agua para
dar iones hidronio, se puede considerar el pH como la concentración de esta última especie química. Debido a que el
pH solo es una manera de expresar la concentración del ion hidronio, las disoluciones acidas y básicas a una temperatura
de 25 grados, pueden identificarse por los siguientes valores de pH:
[H+] pH= - log [H+]
Disoluciones neutras 10-7
M 7
Disoluciones ácidas >10-7
M <7 (menor que 7)
Disoluciones básicas <10-7
M >7 (mayor que 7)
❖ El pH de los fluidos corporales es 6.5 - 8
Ciertos grupos funcionales presentes en las moléculas biológicas pueden comportarse como ácidos o bases débiles. Por
ello su estado de ionización dependerá de la concentración de protones del medio. Si se tiene en cuenta que la mayoría
de las enzimas van a presentar este tipo de grupos ionizables en su centro activo, se comprenderá el importante papel
que puede jugar una pequeña fluctuación del pH celular. Por ejemplo, si el grupo amino de una enzima presenta carga
positiva a un pH 7, un ligero aumento del pH puede forzar a que el H+
del grupo amino sea cedido al medio y, por lo
tanto, pierda esa carga. Con la carga perdida la enzima dejará de funcionar.
Tanto en el medio intracelular como en el extracelular, será por tanto imprescindible una regulación del pH para que las
moléculas puedan operar de manera óptima. Los tampones sistemas acuosos que tienden a amortiguar los cambios que
se producen en el pH, cuando se añaden pequeñas cantidades de ácido (H+
) o de base (OH-
). Estos sistemas de tampón
están constituidos por un ácido débil y su base conjugada, o bien por una base débil y su ácido conjugado. Cuando la
concentración de ambas especies es similar, entonces el sistema tiene una capacidad amortiguadora. En esta situación,
cualquier aumento de la concentración de H+
podrá ser absorbida por la base conjugada, y si se incrementa la
concentración de OH-
, será el ácido débil del sistema tampón quien ceda un portón al medio que neutralice el ion
hidroxilo. Según la ecuación de Henderson cuando el valor de pH de la solución es igual al pKa del sistema, entonces
las concentraciones de las dos especies que definen el sistema de tapón serán iguales. Por lo tanto, en la célula aquellas
sustancias que tengan un pKa próximo a 7 (pH fisiológico) serán buenos tampones.
El principal tampón biológico intracelular es el tampón fosfato, que presenta un pKa de 6,86 de manera que es capaz
de resistir los cambios de pH entre 5,9 y 7,9.
3
El principal tampón sanguíneo es el tampón bicarbonato, compuesto por el ácido débil carbónico y la base conjugada
del bicarbonato. El pKa del tampón bicarbonato es de 6,14
La similitud de estas constantes con el pH de la sangre hace interesantes a estos sistemas tampón para amortiguar el pH
de la sangre como consecuencia de las variaciones debidas al metabolismo.
2.CARBOHIDRATOS
Los glúcidos, tradicionalmente conocidos como hidratos de carbono, son biomoléculas orgánicas constituidos por C, H
y O, con la siguiente formula general (CH2O) n. Los glúcidos se clasifican según su grado de complejidad:
1. Los monosacáridos u osas son monómeros, no se pueden descomponer en otros compuestos más sencillos. Son una
fuente de energía inmediata.
2. Los ósidos son azucares complejos que al hidrolizarse liberan monosacáridos. Están formados por un numero
variable de monosacáridos unidos por enlaces covalentes. A su vez hay dos tipos de ósidos:
I. Holósidos, formados solo por monosacáridos:
➢ Oligosacáridos. Uniones de dos a diez osas.
➢ Polisacáridos. Uniones de más de diez osas que a su vez pueden ser:
o Homopolisacáridos: Todos los monosacáridos son iguales.
o Heteropolisacárido: Unión de más de un tipo de monosacáridos.
II. Heterósidos son moléculas muy diversas que están formados por una parte glucídica más una parte no glucídica
o aglucón. Según la naturaleza del aglucón, se distinguen:
➢ Glucolípidos. Unión de un glúcido con un lípido.
➢ Glucoproteínas. Unión de un glúcido con una proteína
2.1. MONOSACÁRIDOS Y FUNCIÓN BIOLÓGICA
Los monosacáridos son los azucares más simples. La principal característica de los monosacáridos es que responden a
la formula (CH2O) n, encontrándose n en un rango de 3 a 7. Química los monosacáridos son polihidroxialdehidos o
polihidroxicetonas, es decir moléculas con esqueleto carbonado simple. Su clasificación se basa atendiendo al grupo
funcional carbonilo (C=O), que puede ser un aldehído (aldosas) en el carbono 1 o un grupo cetona (cetosas) en el carbono
2, así como al número de átomos de carbonos (triosas, tetrosas, pentosas…). Así tendremos aldotriosas/cetotriosas;
aldopentosas/ cetopentosas; aldoheptosas/cetoheptosas, etc.
La glucosa es el monosacárido más importante, pues juega un papel central en el metabolismo celular. Otras aldohexosas
importantes son la galactosa y la manosa. Entre las cetohexosas la más abundante es la fructosa. También dentro de las
aldopentosas se encuentran moléculas de enorme interese biológico, como la ribosa, por formar parte de importantes
nucleótidos (como el ATP) y de los ácidos ribonucleicos. La ribosa y la desoxirribosa son dos monosacáridos con
función estructural a nivel molecular pues forman parte del ARN y del ADN, respectivamente.
Otra característica destacada de los monosacáridos es el poder reductor. La presencia del grupo carbonílico (C=O) que
aparece en el grupo aldehído o cetónico les confiere poder reductor frente a determinadas sustancias, ya que este grupo
carbonilo se puede oxidar a un grupo carboxilo (COOH).
4
2.2. DISACÁRIDOS Y FUNCIÓN BIOLÓGICA
La unión de dos monosacáridos da lugar a los disacáridos. Esta unión se produce mediante enlaces covalentes,
concretamente por medio de un enlace O-glucosídico, al unirse dos grupos hidroxilos de los monosacáridos, siempre
con desprendimiento de una molécula de agua. El enlace O-glucosídico se puede romper por hidrolisis.
Hay dos tipos de enlaces O-glucosídicos, en función de la posición (arriba o abajo) del grupo hidroxilo del carbono
anomérico (C-1 en aldosas y C-2 en cetonas) del primer monosacárido:
• Las uniones en α, que los enzimas los rompen fácilmente, y son propios de disacáridos con función energética.
• Las uniones en β, que hay pocos enzimas que los rompen, son enlaces más rígidos y resistentes. Aparecen en
moléculas con funciones estructurales.
Otra forma de clasificar los disacáridos es por el tipo de unión que se produce:
• Enlace monocarbonílico: Interviene un carbono anomérico de la primera osa y un carbono no anomérico
cualquiera de la otra osa. Como un carbono anomérico queda libre, se mantiene el poder reductor.
• Enlace dicarbonílico: Intervienen los dos carbonos anoméricos de las osas. Como ningún carbono anomérico
queda libre, se pierde el poder reductor.
5
El simple hecho de que la unió fije un tipo de anómero α o β, producirá un disacárido diferente, con diferentes
características bioquímicas. Por ejemplo, la unión de dos moléculas de D-glucosa mediante enlaces (α1→4), produce el
disacárido maltosa, pero si la unión es (β1→4) se produce celobiosa. Ambos son disacáridos que se obtienen como
productos de degradación de polisacáridos, la maltosa del almidón y la celobiosa de la celulosa. Los humanos podemos
digerir con facilidad la maltosa, ya que tenemos enzimas que hidrolizan este tipo de enances (α1→4), sin embargo, no
somos capaces de digerir la celobiosa, pues carecemos de enzimas hidrolíticas que rompan enlaces (β1→4).
También son importantes los disacáridos formados por unidades monosacáridos diferentes, como son la lactosa y la
sacarosa. La lactosa, o azúcar de leche, está formada por uniones (β1→4) entre galactosa y glucosa, aportando la
galactosa el carbono anomérico y quedando libre el carbono anomérico de la glucosa. Es, por lo tanto, un azúcar
reductor, como la malaltosa y la celobiosa, pues en estos casos se ha formado un enlace monocarbonílico. El disacárido
más abundante es la sacarosa, formada por la unión entre la galactosa y fructosa mediante enlace (α1→β2), es decir
ambos azúcares aportan al enlace carbonos anoméricos, formando un enlace dicarbonílico, quedando como
consecuencia el disacárido sin poder reductor.
Nuestro intestino no puede digerir la lactosa entera, por ello la lactasa intestinal descompone la lactosa en glucosa y
galactosa, los cuales son más fáciles de digerir. La intolerancia a la lactosa se produce por la falta de lactasa intestinal
en mamíferos, después de la infancia. Puede aparecer a los 5 años en europeos y a los 2 en asiáticos y africanos. La
leche sin lactosa lo que en realidad tiene es la enzima lactasa, lo que permite digerir la lactosa descomponiéndola.
2.3. POLISACÁRIDOS Y FUNCIÓN BIOLÓGICA
Los polímeros de glucosa con enlaces tipo α son la reserva energética del organismo. La principal manera que tienen
los organismos de almacenar la glucosa cuando no la necesitan es crean grandes polímeros, que se acumulan en forma
de gránulos en el interior de las células. Las plantas la almacenan en forma de almidón y los animales en forma de
glucógeno
6
• El glucógeno está altamente ramificado, con glucosas unidas por enlaces (α1→4) con ramificaciones mediante
enlaces (α1→6). Se disponen hasta en 12 capas concéntricas de ramificación. Esto hace que sea más compacto
que el almidón. Se almacena principalmente en el musculo y en el hígado
• El almidón de las plantas es similar al glucógeno, aunque menos ramificado. Está formado por dos polímeros,
la amilosa y la amilopectina. La amilosa es un polímero lineal de glucosas unidas por enlaces (α1→4), mientas
que la amilopectina es un polímero ramificado de glucosas unidas también por enlaces (α1→4) donde se
disponen de 24-30 capas concéntricas de ramificación.
Las pareces celulares están formadas por disacáridos con uniones tipo β y tienen función estructural :
• Celulosa_ forma la pared de las células vegetales. Son polímeros lineales de glucosas unidas por enlaces
(β1→4).
• Quitina_ forma el exoesqueleto de los artrópodos (insectos y crustáceos). Al igual que la celulosa, es un
polímero lineal de glucosa unido unidas por enlaces (β1→4), pero difiere en que la glucosa está N-acetilada en
el carbono 2.
3.LÍPIDOS
Los lípidos tienen más funciones biológicas que los hidratos de carbono, aunque las principales también son de reserva
energética y estructural. Son biomoléculas orgánicas con largas cadenas hidrocarbonadas que incluyen sustancias muy
diferentes. Químicamente los lípidos están constituidos por C, H y O (igual que glúcidos) y en múltiples ocasiones
también P y N. A diferencia de los glúcidos, la cantidad de O en estos compuestos es muy inferior en proporción a la
cantidad de C e H, circunstancia que determina sus propiedades (insolubilidad o poca solubilidad en agua) y la diferencia
de otros compuestos orgánicos.
Una de las principales características que comparten todos los lípidos es que son escasamente solubles en agua y son
solubles en disolventes apolares orgánicos (éter, cloroformo, o benceno). Esto es debido a que su estructura química es
fundamentalmente hidrocarbonada, con gran cantidad de enlaces C-H y C-C. El agua, al ser una molécula polar que
tiene facilidad para formar puentes de hidrogeno (N-H, O-H, F-H), no es capaz de interaccionar con estas moléculas.
En presencia de moléculas lipídicas, el agua adopta en torno a ellas una estructura muy ordenada que maximiza las
interacciones entre las propias moléculas de agua, de modo que las moléculas lipídicas se unen entre sí para evitar lo
máximo posible el contacto con el agua y reducen su movilidad. En consecuencia, los lípidos no se disuelven en agua,
son muy ligeros y menos densos que el agua y flotan sobre ella.
La unión de unas moléculas lipídicas con otras se realiza mediante fuerzas de Van der Waals, que son interacciones
hidrófobas entre grupos –CH2- de sus cadenas hidrocarbonadas. Estos mismos enlaces sirven para que se unan también
a otras moléculas hidrófobas (sustancias apolares), y por tanto se pueden disolver en ellas.
Algunos lípidos pueden estar formados por ácidos grasos. Los ácidos grasos son ácidos carboxílicos de cadena lineal
larga, cuya formula general es CH3-(CH2) n-COOH, siendo n un numero par. Algunos se pueden sintetizar y los
esenciales debemos ingerirlos en la dieta. Son fundamentales para los lípidos estructurales y de reserva. Hay dos tipos
de ácidos grasos:
• Saturados_ no contienen dobles enlaces en su cadena hidrocarbonada, tienen temperaturas de fusión elevadas,
por eso son sólidos a temperatura ambiente
• Insaturados_ presentan uno o más dobles enlaces en su cadena hidrocarbonada, siendo monoinsaturados y
poliinsaturados respectivamente. Su temperatura de fusión es más baja por lo que suelen ser líquidos a
temperatura ambiente y son abundantes en sustancias grasas de origen vegetal.
Los ácidos grasos no son totalmente insolubles en agua, son moléculas anfipáticas, que significa que en su estructura
molecular hay una parte polar hidrófila y otra apolar hidrófoba. La zona polar hidrófilo se corresponde con el grupo
carboxilo (-COOH), es la parte llamada cabeza, que puede establecer enlaces intermoleculares por puente de H con el
agua u otras moléculas polares. La zona apolar hidrófoba es la cadena hidrocarbonada más o menos larga, llamada cola,
que es atraída débilmente, por fuerzas de Van der Waals, por otras cadenas hidrocarbonadas de ácidos grasos adyacentes.
La insolubilidad en agua aumenta con la longitud de la cadena debido a que la parte apolar y la cantidad de enlaces por
fuerzas de Van der Waals que se establecen son mayores. Los ácidos grasos de 4 o 6 carbonos son solubles en agua, ya
que el grupo carboxilo es polar (soluble en agua), pero a partir de 8 carbonos son prácticamente insolubles en agua.
7
Tengan o no ácidos grasos los lípidos se clasifican en:
1. Lípidos saponificlaes_contienen en su molécula ácidos grasos, reciben este nombre porque al tener ácidos
grasos puedan dar lugar a jabones. A su vez hay dos tipos:
I. Saponificables simples_ están formados únicamente por C, H y O. Ejemplos: grasas o triacilglicéridos
(acilglicéridos) y las ceras.
II. Saponificables complejos_ cuando además de por el C, H y O contienen otros bioelementos como el P,
o moléculas no lipídicas, tipo glúcidos. Los fosfolípidos o fosfoglicéridos y los esfingolípidos
2. Los lípidos insaponificables, no contienen ácidos grasos y por tanto no pueden formar jabones. La unidad teórica
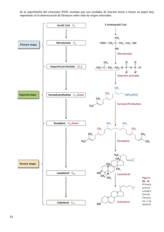
es el isopreno, el cual se polimeriza y en muchas ocasiones se cicla formando moléculas de interés biológico.
En este grupo se incluyen los terpenos o isoprenoides y los esteroides (colesterol, hormonas y sales binarias.).
Por tanto, entre las funciones de los lípidos destacan:
- Estructural, dado que los lípidos son los componentes fundamentales de las membranas celulares. Entre los
lípidos de membrana se encuentran fosfolípidos, esfingolípidos y colesterol.
- Energética, pues algunos lípidos, como los acilglicéridos, son eficientes reservas de energía. Los lípidos se
almacenan deshidratados, ocupando menos volumen y aportando más los glúcidos.
- Biocatalizadora, cuando posibilitan o favorecen reacciones químicas que se producen en los seres vivos.
Cumplen esta función las prostaglandinas, vitaminas y hormonas. Las vitaminas A, D, E y K son lípidos al igual
que algunas hormonas, como las adrenocorticales y las sexuales (testosterona, estrógeno y progesterona).
- Ceras_ ácido graso de cadena larga y un alcohol también de
cadena larga. Muy apolares. Función protectora en hojas,
plumas, piel y frutos. Se emplean mucho en cosmética y
perfumería.
- Triglicéridos/ triacilglicéridos/ triacilgliceroles_ funcionan
como almacén de energía en las células, construyendo reservas
de energía mucho más duraderas que los hidratos de carbono.
- Grasa_ principal reserva energética.
- Esfingolípidos_ componente de las membranas biológicas
especializadas.
- Fosfolípidos_ principal componente de membranas
biológicas.
- Colesterol para regular la fluidez
de las membranas biológicas
- Hormonas como testosterona y
prostaglandinas
- Sales biliares para emulsionar la
grasa en las primeras etapas de la
digestión
8
TEMA 2: LA QUÍMICA DE LA VIDA II
1.AMINOÁCIDOS Y ENLACE PETÍDICO
Los aminoácidos son los componentes con los que se construyen las proteínas. Hay veinte aminoácidos diferentes que
forman las proteínas, los mismos para todos los seres vivos. La fórmula general de un aminoácido consta de un carbono
central, llamado carbono alfa (Ca) al que se une un H, un grupo carboxilo (-COOH), un grupo amino (-NH2) y un
radical, que es distinto en cada aminoácido. Prácticamente todos los aminoácidos son α aminoácidos, es decir el grupo
amino esta unido al carbono adyacente al grupo carboxílico.
Los aminoácidos presentan comportamiento anfótero, de manera que el pH determina su carga, lo que es importante en
la conformación final de las proteínas. Cuando los aminoácidos están en disolución acuosa se pueden comportar como
ácidos o como bases dependiendo del pH de la disolución debido a que tienen un grupo carboxilo y otro amino. En
disoluciones acuosas neutras los aminoácidos se encuentran ionizados, son iones dipolares o hibrido (se llama también
zwitterion) pues el grupo carboxilo pierde un protón y se carga negativamente y el grupo amino gana un protón y se
carga positivamente.
Si el medio acidifica, aumentara la concentración de protones y disminuye el pH. El aminoácido es una sustancia tampón
que actuara amortiguando el cambio de pH. Por tanto, el grupo COO- capta un protón y pierde su carga negativa. El
aminoácido queda cargado positivamente y se comporta como una base.
Por el contrario, si el medio se hace básico disminuirá la concentración de protones y aumenta el pH. En el aminoácido
entonces el grupo NH3
+
libera un protón y pierde su carga positiva, por tanto, el aminoácido queda cargado
negativamente y actuara como acido.
El punto isoeléctrico (pI) indica el valor de pH en el que la fuerza dominante es el ion dipolar (zwitterion) y la carga
neta de la molécula es 0 (neutra). Por ejemplo, en el caso de la glicina a valores de pH por debajo de la pI la glicina
tiene carga neta positiva y migrará al cátodo mientras que, a valores superiores a la pI, presenta carga neta negativa
y migrará al ánodo.
Tipos de aminoácidos:
o Péptido es un compuesto de dos o
más aminoácidos.
o Oligopéptidos tienen diez o menos
aminoácidos.
o los polipéptidos son cadenas de más
de diez aminoácidos
9
1.2. FORMACIÓN DE PROTEÍNAS
Los aminoácidos se unen mediante enlace peptídico entre el grupo carboxilo de un aminoácido y el grupo amino del
siguiente aminoácido, con perdida de una molécula de agua.
El enlace se puede romper mediante hidrolisis.
1.3. TIPOS DE PROTEINAS
Según forma y solubilidad:
• Proteínas fibrosas_ Son insolubles en agua y de forma alargada, ya que generalmente los polipéptidos de estas
proteínas están enrollados formando fibras paralelas. Destacan el colágeno (encargada de soportar la tensión en
los tejidos conectivos o conjuntivos tales como los huesos, los dientes, tendones…) y la queratina.
• Proteínas globulares_ suelen ser solubles en agua, tienen una estructura compleja con múltiples plegamientos
que le confieren una forma más o menos esferoidal. Entre ellas destacan la hemoglobina y la mioglobulina.
Según la composición:
• Holoproteínas _ que son proteínas simples constituidas únicamente por aminoácidos. Ejemplo (globulinas,
queratina, colágeno, albúminas…)
• Heteroproteínas_ que son proteínas conjugadas porque para ser funcionales además de aminoácidos necesitan
otros compuestos (lipoproteínas, glucoproteínas…)
Según la función:
• Enzimas (con actividad catalítica)
• Transporte (Hb, Mb, a través de la membrana)
• Reserva (Ovoalbúmina)
• Estructurales
• Motiles (las que producen contracción muscular como actina y miosina)
• Defensa (anticuerpos, toxinas)
• Reguladoras (responden a señales)
• Hormonales (Hay hormonas como la Insulina de naturaleza proteica)
1.4. NIVELES DE ORGANICACIÓN DE LAS PROTEÍNAS
• Estructura primaria_ es la secuencia lineal de aminoácidos que la integra, es decir, indica los aminoácidos
que forman la proteína y el orden en que se encuentran unidos. Esta estructura viene determinada genéticamente
y está estabilizada por el enlace peptídico. Las diferentes proteínas se diferencian por el número, naturaleza y
orden de sus aminoácidos y este nivel es importante porque determina el resto de los niveles y por tanto
determina la función de la proteína.
El enlace peptídico es una unión "cabeza-
cola" (grupo amino con grupo carboxilo) de
forma que el dipéptido conserva siempre un
grupo amino libre, que puede reaccionar con
el grupo carboxilo de otro aminoácido, y un
grupo carboxilo libre, que puede reaccionar
con el grupo amino de otro aminoácido. Esta
circunstancia permite que mediante enlaces
peptídicos se puedan enlazar un número
elevado de aminoácidos formando largas
cadenas que siempre tendrán en un extremo un
grupo amino libre (extremo izquierdo amino-
terminal) y en el otro un grupo carboxilo libre
(extremo derecho carboxi-terminal).
10
• Estructura secundaria_ es el primer ordenamiento tridimensional estabilizado por fuerzas débiles. Es la
disposición que adopta en el espacio la cadena de aminoácidos. Se debe a la capacidad de rotación que tienen
los enlaces del C de cada aminoácido. Los radicales no actúan, pues se sitúan hacia el exterior de las
estructuras. Las formas más frecuentes de estructuras secundarias son la hélice alfa y la lámina beta:
- La hélice alfa se
origina al enrollarse
helicoidalmente la
cadena peptídica sobre
sí misma, en sentido
dextrógiro, cada 3-4
aminoácidos, por eso
se representa como una
hélice. Los giros son al
nivel C de cada
aminoácido y la
estructura de la hélice
se mantienen gracias a
enlaces por puentes de
hidrogeno
intracatenarios entre
grupos NH y CO de
enlaces peptídicos de diferentes aminoácidos que quedan enfrentados.
- En la lámina plegada o lamina beta la cadena polipeptídica presenta los aminoácidos dispuestos en zig-
zag y se establecen uniones por puentes de hidrogeno con tramos adyacentes de la misma cadena o de
cadenas diferentes. Estos tramos adyacentes pueden discurrir en el mismo sentido (disposición paralela)
o hacerlo en sentido contrario.
• Estructura terciaria_ es la disposición que adopta la estructura secundaria en el espacio, adoptando una
conformación tridimensional, que en la mayor parte de los casos es ya la definitiva. Los responsables de la
estructura terciaria son los radicales que interaccionan entre sí, aunque pueden estar separados por muchos
aminoácidos. Las interacciones que mantienen tanto la estructura secundaria como la terciaria son no covalentes
y débiles (puentes de hidrogeno, electroestáticas, hidrofóbicas) aunque en algunos puntos la estructura terciaria
puede estar estabilizada por presencia de enlaces covalentes, los puentes disulfuro.
• Estructura cuaternaria_ la hay en algunas proteínas. Formadas por la asociación de dos o más moléculas con
estructuras terciarias o por más de una cadena polipeptídica, que reciben el nombre de subunidades o
protomeros. Al igual que la estructura terciaria, la asociación entre estas subunidades está estabilizada por
fuerzas de atracción no covalentes y puede incluir uniones disulfuro covalentes entre las distintas subunidades,
como ocurre en el caso de las inmunoglobulinas.
La estructura supersecundaria es el ordenamiento espacial de estructuras secundarias para formar motivos y dominios
estructurales. La estructura terciaria está formada por varias de estas ordenaciones, aunque hay algunas proteínas que
no tienen estructuras supersecundarias. Son combinaciones de alfa-hélices y estructuras Beta conectadas a través de asas
o lazos, que forman patrones que están presentes en muchas proteínas diferentes. Estos plegamientos se estabilizan a
través de la misma clase de enlaces que mantiene a la estructura terciaria. Algunas veces se utiliza el
término “motivo” describir a estas estructuras supersecundarias.
11
Estas estructuras pueden ser relativamente simples, como alfa-alfa (dos hélices alfa unidas por una asa), Beta-Beta (dos
Beta-hebras unidas por una asa), Beta-alfa-Beta (Beta-hebra unida por un asa a una alfa-hélice que esta a su vez unida
a otra Beta-hebra por otro lazo) o estructuras más complejas, como el motivo llamado de “Llave Griega” (“Greek key”),
o el Barril Beta (“beta-barrel”).
Los dominios son unidades estructurales compactas, estables, dentro de una proteína, formadas por segmentos de una
cadena peptídica que se pliegan de forma independiente, con una estructura y función distinguible de otras regiones de
la proteína y estabilizadas por las mismas fuerzas que la estructura terciaria.
Los dominios pueden considerarse como unidades elementales de la estructura y evolución de las proteínas, que son
capaces de plegarse y de funcionar de una manera relativamente autónoma. Un dominio a veces está formado por
motivos, pero otras veces no contiene ninguno.
La estructura terciaria de muchas proteínas está formada por varios dominios.
2. ESTRUCTURA Y FUNCIÓN DE ÁCIDOS NUCLEICOS
Los nucleótidos son moléculas orgánicas complejas que
resultan de la unión de un grupo fosfato, una pentosa y una
base nitrogenada. Los nucleótidos contienen C, O, H, N y
P, y según se combinen las subunidades pueden formar
nucleótidos sencillos (mono- o dinucleótidos) o largos
polímeros llamados ácidos nucleicos. Hay dos tipos de
ácidos nucleicos, que son el ADN (polímeros de
nucleótidos de desoxirribosa encargados de la transmisión
y almacenamiento de la información genética) y ARN
(polímeros de nucleótidos de ribosa y son intermediario
de la expresión genética).
12
• Las pentosas que forman los ácidos nucleicos son aldopentosas; en el ARN aparece la s-D-ribofuranosa y los
nucleótidos que forman se llaman ribonucleótidos y en el ADN aparece la s- D-desoxirribofuranosa y los
nucleótidos que forman se llaman desoxirribonucleótidos.
• El grupo fosfato es el ácido ortofosforico (H3PO4), que se encuentra ionizado a pH fisiológico.
• Las bases nitrogenadas son estructuras cíclicas con carácter básico, que contienen átomos de carbono y
nitrógeno. Bases púricas y pirimidínicas son las bases nitrogenadas de los ácidos nucleicos. Las bases púricas
derivan de la purina por lo que presentan una estructura formada por dos anillos, uno hexagonal y otro
pentagonal. Las más importantes son la adenina (A) y la guanina (G). Las bases pirimidínicas derivan de la
pirimidina por lo que presentan un solo anillo hexagonal. Las más importantes son la citosina (C), la timina (T)
y el uracilo (U). En el ADN están presenta todas las bases nitrogenadas menos el uracilo, mientras que el ARN
presenta todas las bases excepto la timina.
Al estudiar la molécula de los ácidos nucleicos se
reconocen tres niveles estructurales:
• La estructura primaria que es cadena lineal
polinucleótida es común en ambos y el polímero se
forma por la unión de nucleótidos mediante enlaces
fosfodiéster.
• La estructura secundaria y terciaria que son
espaciales, ya son distintas en el ADN y en el ARN.
El ADN forma nucleoproteínas al empaquetarse con
histonas formando estructuras complejas
(cromatina) y el ARN es una molécula bastante
versátil que adopta diferentes estructuras y
funciones.
➢ En la estructura secundaria el ADN es una
cadena de doble hélice, complementaria y
antiparalela formada por enlaces dobles de puentes de hidrógeno entre A y T y por enlcases triples de puente
de hidrógeno entre el G y la C.
➢ La estructura terciaria del ADN es el resultado del superenrollamiento y de la asociación con proteínas
básicas tipo histona dando lugar a la fibra de cromatina o a los cromosomas.
El AND puede adoptar tes formas tridimensionales:
• DNA-B o forma B_ es la estructura más estable que puede adoptar un ADN de secuencia al azar en condiciones
fisiológicas. Está estructurado en una doble hélice de dos cadenas de polinucleótidos. Las dos cadenas de DNA
son antiparalelas (transcurren en direcciones opuestas) y dextrógira. Cada base está unida por enlaces puentes
de hidrogeno a una base de la hebra opuesta. El número de pares de bases o nucleótidos por vuelta es de 10,5.
La bases (hidrofóbicas) ocupan el centro de la hélice, en el interior, mientras que las cadenas de azúcares y
fosfatos se sitúan en el exterior. Esto minimiza las repulsiones entre los grupos fosfatos cargados.
• DNA-A o forma A_ predomina en disoluciones pobres en agua. El DNA está estructurado en una doble hélice
dextrógira, pero la hélice es mas gruesa y el número de pares de bases por vuelta es de 11.
• DNA-Z o forma Z_ supone una mayor desviación de la forma B. Es una hélice levógira. Contiene 12 pares por
vuelta y la estructura es más delgada y alargada. Las cadenas del DNA adoptan un plegamiento en zigzag
13
2.1. TIPOS DE RNA
El ARN es monocatenario, una sola cadena de ribonucleótidos, pero en algunos tipos de ARN hay zonas en que las
bases son complementarias, formando en esas zonas una estructura secundaria de doble hélice y dejando zonas
intermedias no complementarias, que reciben el nombre de bucles. Los tres tipos de ARN más importantes son:
• ARN mensajero (ARNm)→Es el modelo para la síntesis de proteína o traducción Su función es copiar la
información genética del ADN (transcripción) y existe un ARN mensajero distinto para cada tipo de proteína
que se produce en la célula, pues cada molécula de ARN mensajero recoge la información de un solo gen, y en
general incluye la información para una única proteína. El ARN mensajero es el único que su cadena es lineal.
• ARN de transferencia (ARNt)→ transporta los aminoácidos
en forma activa al ribosoma para la formación de enlaces
peptídicos a partir de la secuencia codificada por el ARNm
molde. Existe al menos un tipo de ARNt para cada uno de los
20 aminoácidos. Durante la síntesis de proteínas, tanto el ARNt
como el ARNm se unen al ribosoma de forma definida, lo que
garantiza el orden correcto de los aminoácidos en la cadena
polipeptídica sintetizada. En la estructura del ARNt se pueden
observar 4 brazos:
- Brazo aceptor_ contiene los de la molécula, en el extremo
3´ se une al aminoácido especifico que transporta, por el -
OH del nucleótido de A final.
- Brazo T_ azul, es donde se une al ribosoma durante la
traducción.
- Brazo D_ violeta, en la, es la zona por donde se une al
enzima aminoacil- ARNt sintetasa, que cataliza la unión del
ARNt con el aminoácido especifico que va a transportar.
Brazo A o brazo del anticodón_ contiene 3 bases
nitrogenadas llamadas anticodón (triplete), diferente para
cada ARNt en función del aminoácido transportado, y es
complementario
14
• ARN ribosómico→ es el componente principal de los ribosomas. Los ribosomas son macroestructuras
nucleoproteínas que leen el mensaje genético. Están formadas por una combinación de proteínas y moléculas
de RNA y constan de dos subunidades que pueden unirse o separarse en función de su actividad. Cada una de
estas subunidades tiene varios tipos de proteínas y varias moléculas distintas de ácido ribonucleico.
DIFERENCIAS ENTRE LOS DOS TIPOS DE ÁCIDOS NUCLEICOS
Tipo de ácido nucleico ADN (ácido desoxirribonucleico) ARN (ácido ribonucleico)
Composición química Pentosa: desoxirribosa
Bases nitrogenadas: A, T, C y G
Pentosa: Ribosa
Bases nitrogenadas: A, U, C y G
Localización En el núcleo celular. Citoplasma (mitocondrias, plastos,
jugo citoplasmático y, sobre todo, en
ribosomas)
función Portador de factores hereditarios y
dicta las órdenes para elaborar las
proteínas.
Recibe y ejecuta órdenes del ADN
Estructura Doble cadena, larga y asociada a unas
proteínas (histonas) para formar los
cromosomas.
Cadena sencilla, corta y no asociada
a proteínas.
Tipos Doble hélice (eucariotas), bicatenario
circular (bacterias) y monocatenario
(sólo en algunos virus, muy raro)
ARN mensajero, ARN de
transferencia y ARN ribosómico.
TEMA 3: ESTRUCTURA Y FUNCIÓN DE PROTEÍNAS
1. INTRODUCCIÓN
Las proteínas son biomoléculas orgánicas lineales, compuestas de C, O, H y N; en menor proporción por S y P. Son las
moléculas más abundantes, pues representan alrededor. Las enzimas constituyen el grupo más numeroso e importante
de proteínas, pues son moléculas dotadas de actividad catalítica, imprescindibles en todas y cada una de las reacciones
químicas del metabolismo celular.
2.DESNATURALIZACIÓN DE LAS PROTEÍNAS
En condiciones celulares, lar proteínas se encuentran en unas estructuras limitadas, que son estables desde el punto de
vista energético (menor energía libre de Gibbs). Estas disposiciones espaciales, en las que las proteínas son activamente
capaces de desempeñar su función, se denominan estructuras nativas, y se considera la estructura más estable de todas
las proteínas. Hay proteína que tienen como estructura nativa la secundaria (queratina, colágeno…) mientras que hay
las que tienen la estructura cuaternaria como estructura nativa(hemoglobina). Sin embargo, no hay proteínas cuya
estructura nativa sea la primaria.
La estructura nativa es una estructura tridimensional, cuya pérdida conlleva a su vez la pérdida de esta estructura
tridimensional. El plegamiento de las proteínas sirve para que se puedan crear estructuras tridimensionales adecuadas
para la interacción con otras moléculas. En la célula, el plegamiento ocurre durante y después de que las proteínas sean
sintetizadas en los ribosomas. En algunos casos es facilitado por unas proteínas denominadas chaperonas, que
interaccionan con las cadenas parcialmente plegadas o plegadas de forma defectuosa facilitando que lo hagan de forma
correcta.
Si cambiamos las condiciones ambientales, la estructura nativa se pierde, este proceso se denomina desnaturalización.
La desnaturalización de una proteína se refiere a la ruptura de los enlaces débiles que mantienen su configuración
tridimensional, es decir, las estructuras cuaternaria, terciaria y secundaria, conservándose solamente los enlaces más
fuertes, que son los enlaces covalentes de la estructura primaria. Los efectos más visibles de este fenómeno es que las
proteínas se transforman en filamentos lineales y delgados que se entrelazan hasta formar compuestos fibrosos e
insolubles en agua y que pierden su actividad biológica. La desnaturalización puede ser reversible (renaturalización) si
el cambio no ha sido muy acusado. Los agentes que pueden desnaturalizar a una proteína pueden ser:
15
• Un cambio de pH altera la carga de las proteínas y el estado de ionización de los aminoácidos, lo cual altera las
interacciones electroestáticas que participan en el mantenimiento de una estructura.
• La fuera iónica. La presencia de sale o iones también pueden aumentar las interacciones electroestáticas, ya que
los iones disuelto compiten a la hora de establecer interacciones de este tipo
• Aumento de la temperatura o calor excesivo, pues la energía cinética de los grupos supera la de los enlaces que
los mantienen unidos.
3. ENZIMAS
Proteínas que catalizan las reacciones químicas necesarias para la supervivencia celular. Los catalizadores son agentes
que aumentan la velocidad de reacción y sus funciones son:
• Aceleran la velocidad de la reacción. Disminuyendo la energía de activación
• No se consumen en la reacción
• Son Saturables
Además, las enzimas tienen 3 propiedades que los catalizadores NO tienen
• Especificidad por el sustrato, molécula sobre la que actúa la enzima.
• Se inactivan por desnaturalización.
• Su actividad es regulable por estimulas intracelulares o extracelulares.
Numerosas enzimas llamadas apoenzimas, están formadas por dos componentes:
1. Una porción proteica, cadenas laterales de los aminoácidos, denominada apoenzima.
2. Un componente no proteico denominado cofactor (cationes metálicos) o coenzima (moléculas orgánicas). Este
componente no presenta uniones covalentes con la proteína.
3.2. UNIÓN AL SUSTRATO
Las enzimas tienen una fijación estereoquímica complementaria con el sustrato o bien una transformación catalítica del
mismo.
Es muy especifica la unión del sustrato:
• Complementariedad geométrica
• Complementariedad de cargas, uniones iónicas
• Modelos de interacción del complejo ES:
16
▪ Modelo de Llave y Cerradura (Emil Fischer) _ el sustrato y enzima se acoplan de forma
estereospecífica, como la llave a una cerradura. Este modelo explica la especificidad entre enzima y
sustrato, pero no permite explicar cómo se produce la reacción de forma eficiente.
▪ Modelo de Estabilización del Estado de Transición (Linus Pauling) _ este modelo es el que propone
el verdadero encaje llave-cerradura. Este encaje no ocurría entre el sustrato y la enzima, sino entre el
estado de transición y la enzima. Por tanto, el centro activo es en realidad complementario no al sustrato
o al producto, sino al estado de transición entre ambos.
▪ Modelo de ajuste inducido (Daniel E. Koshland) _ este modelo postula un mecanismo que permite
explicar el aumento de la eficacia de las interacciones no covalentes que se establecen entre la enzima
y el sustrato. Este modelo propone que la interacción entre ambas moléculas hace que la enzima sufra
un cambio de estructura que permite la formación de interacciones adicionales entre la enzima y el
estado de transición.
3.3.PARAMETROS DE LAS REACCIONES AFECTADAS POR LAS ENZIMAS
▪ Energía de activación: representa la energía libre necesaria para que se produzca la reacción. Corresponde a la
diferencia entre la energía libre existente en el estado de transición y la del estado basal.Es la energía libre que debe
adquirir el sistema para alcanzar el estado de transición.
▪ Estado basal: es el punto de partida tanto para la reacción hacia la derecha como hacia la izquierda. Es la
contribución a la energia libre del sistema de una molécula promedio (S o P) bajo un conjunto de conficiones dadas.
▪ Energía de transición: La transformación del sustrato en producto no es inmediata y ocurre a través de un estado
transitorio denominado el estado de transición. Este estado se caracteriza por tener una energía libre mayor que la
del estadio inicial, por lo que es un complejo inestable. Es un momento molecular fugaz en el que pueden sucerder
diferentes cosas (rotura o formación de enlaces, desarrollo de cargas…) han llegado al instante preciso en el que el
colpaso hacia sustrato o hacia producto es igualmente probable. En las reacciones catalizadas por enzimas, este
estado de transición es estabilizado por por los residuos del centro activo, con lo que consigue acelerar la reacción
mediante la formación del complejo enzima-sustrato que estabiliza el estado de transición.
3.4. MECANISMOS GENERALES DE CATALISIS ENZIMÁTICAS
Con enzima la reacción de la glucosa es
espontánea mientras que sin enzima no es
espontanea. Los enzimas aumentan la
velocidad de la reacción rebajando la
energía de activación necesaria para que se
produzca la reacción química. Sin embargo,
no modifican ΔG (energía libre), que sólo
depende de los estados iniciales y finales
(variable de estado). Las enzimas tampoco
alteran el equilibrio de productos y sustratos
(Keq) pero, al acelerar la velocidad de
reacción, consiguen que se alcance más
radio el equilibrio.
17
3.5. PARTICIPACION DE GRUPOS PROSPTÉTICOS, COENZIMAS Y COFACTORES EN LA ACTIVIDAD
ENZIMÁTICA.
Numerosas enzimas llamadas apoenzimas, están formadas por dos componentes:
1. Una porción proteica, cadenas laterales de los aminoácidos, denominada apoenzima.
2. Un componente no proteico denominado cofactor. Hay dos tipos de cofactores:
2.1.Cofactores orgánicos
2.2.Cofactores inorgánicos
3.5.1. Cofactores orgánicos: coenzimas y grupos prostéticos
Las coenzimas y los grupos prostéticos son dos tipos específicos de cofactores de naturaleza orgánica. Suelen ser
moléculas pequeñas.
Los ejemplos más comunes de coenzimas son vitaminas y derivados. No todas las vitaminas actúan como coenzimas,
pero es una actividad muy frecuente entre ellas. En el grupo de las vitaminas B encontramos numerosos ejemplos, como
la coenzima A, que es un derivado del ácido pantonénico (vitamina B5), o los cofactores NAD+
, NADP+
, FMN y FADH2
que intervienen en reacciones de oxido-reducción, mientras que el Coenzima A está implicado en la transferencia de
grupos acilo. Además, el NAD es una coenzima aceptadora de H.
El piruvato procedente de la glucosa se reduce a lactasa
FAD/FADH2 Transporta H+
en reacciones catabólicas.
NAD+
/NADH Transporta H+
en reacciones catabólicas.
NADP+
/NADPH Transporta H+
en reacciones anabólicas.
El grupo hemo es un ejemplo típico de grupo prostético. En general, las proteínas que contiene el grupo hemo se conocen
como hemoproteínas. Este grupo incluye proteínas con importantes funciones biológicas. Por ejemplo, la hemoglobina
y mioglobina (implicadas en el transporte de O2), varios citocromos (implicados en el transporte de energía química) o
las enzimas catalasa y óxido nítrico sintasa endotelial.
3.5.2. Cofactores inorgánicos: iones metálicos y centros hierro-azufre
Los iones metálicos son cofactores muy comunes y de ellos los más frecuentes son iones metálicos compuestos por uno
o dos átomos.
Algunos elementos inorgánicos participan en la regulación alostérica de enzimas, pero no se consideran cofactores de
las enzimas que regulan. Por ejemplo, el calcio participa en la regulación alostérica del óxido nítrico sintasa, proteína
fosfatasa o el adenilato Kinsasa, entre otras muchas, pero no es un cofactor de estas enzimas.
Otro tipo de cofactores inorgánicos son los centros hierro-azufre. Estos centros son complejos formados por grupos
sulfuro, generalmente provenientes del aminoácido cisteína, unidos a dos o cuatro átomos de hierro. Además del papel
funcional como cofactores, los centros hierro-azufre desempeñan una función estructural fundamental en la
conformación espacial de la proteína. Algunos ejemplos de proteínas con centros hierro-azufre son la ferredoxina,
NADH deshidrogenasa o la Coenzima Q – citocromo c reductasa.
Algunos cofactores incluyen elementos inorgánicos unidos a moléculas orgánicas. Estos cofactores suelen incluirse en
el grupo de cofactores orgánicos por el mayor peso de la fracción orgánica. Por ejemplo, el grupo hemo.
18
3.6. CINÉTICA ENZIMÁTICA
La cinética enzimática es el análisis cuantitativo del efecto de cada uno de los factores que intervienen en la actividad
enzimática, que se evalúa a través de la velocidad de la reacción catalizada. Las variables más importantes son:
• Concentración de enzima, sustratos y productos (incluyendo inhibidores y/o activadores).
• pH_ los cambios en el pH del medio pueden alterar al estado de ionización de las cadenas laterales de
aminoácidos ácidos y básicos. Estos cambios pueden alterar a la afinidad de la enzima por el sustrato, si se ven
alteradas las cargas de los aminoácidos que participan en la formación de interacciones no covalentes en el
complejo ES.
• Temperatura_ el aumento de la temperatura conduce a un aumento en la velocidad de la reacción. Sin embargo,
cuando se sobrepasa el limite de temperatura la enzima se desnaturaliza. Aproximadamente 45 grados es el
valor óptimo para que las enzimas, y otras proteínas, puedan llevar a cabo su función sin llegar a
desnaturalizarse.
3.6.1 Cinética de las reacciones de un solo sustrato
La variación de la velocidad de una reacción enzimática en función de la concentración del sustrato viene dada por la
ecuación de Michaelis - Menten.
Para la mayoría de las reacciones catalizadas por enzimas, los
datos experimentales proporcionan gráficas, como la de
arriba, en las que se identifican tres zonas claramente
diferenciadas:
• Una primera etapa lineal, abajas concentraciones de
sustrato, en la que la reacción se comporta como si
fuera de primer orden, en la cual la velocidad de
reacción depende únicamente del sustrato.
• Una segunda etapa curvilínea, a concentraciones de
sustrato intermedias, en las que hay un descenso en la
respuesta al aumento de la concentración de sustrato.
• Una última etapa, a elevadas concentraciones de
sustrato en las que la velocidad no varía al aumentar
la concentración de sustrato. La reacción sigue una
cinética de orden cero, donde la velocidad es
independiente de la concentración del sustrato, y se
dice que hay efecto de saturación de la enzima por el
sustrato.
Donde:
• V es la velocidad de la reacción para una determinada concentración de
sustrato [S].
• Vmax es la velocidad máxima de la reacción
• Km es una constante denominada constante de Michaelis-Menten,
característica de cada enzima.
19
Relación entre KM y Vmax establecida por Michaelis - Menten
Algunas veces resulta muy útil transformar la ecuación de Michaelis – Menten en una expresión algebraica que aporte
datos numéricos concretos para los parámetros cinéticos (Vmax y Km). Una transformación habitual consiste en
representar las inversas de v frente a las inversas de las concentraciones del sustrato. Haciendo la inversa se obtiene:
Esta ecuación, conocida como la ecuación de Lineweaver-Burk se representar mediante una recta pendiente Km/Vmax.
El punto de corte de esta recta con el eje x se corresponde con el valor de la fracción -1/Km y el punto de corte con el
eje Y con el valor de 1/Vmax. Una vez representados los valores obtenidos experimentalmente, se puede calcular el
valor de Vmax, que solo se podía obtener de forma aproximada en la representación tradicional.
Si en la ecuación igualamos el valor de la
velocidad con la mitad de la velocidad
máxima (V= ½ Vmax) y despejamos Km
obtenemos lo siguiente:
20
3.7. INHIBICIÓN ENZIMÁTICA
Un inhibidor son sustancias que disminuye o bloquean la actividad enzimática, a través de interacciones con el centro
activo u otros centros específicos (alostéricos). Esta definición excluye todos aquellos agentes que inactivan a la enzima
a través de desnaturalización de la molécula enzimática. De esta forma, habrá dos tipos de inhibidores:
I. Inhibidores irreversibles_ impiden totalmente la actividad enzimática. Actúan de forma permanente, bien
porque se unen con un fuerte enlace covalente o bien porque alteran la estructura química de la enzima
II. Inhibidores reversibles_ tiene un efecto temporal, porque el inhibidor solo se une por enlaces débiles al enzima
y no lo destruye. Según la forma de actuación se reconocen tres tipos de inhibidores reversibles:
i. Competitivos_ el inhibidor se une a la enzima por el mismo sitio que el sustrato, impidiendo la formación
del complejo ES. Suele ser una molécula semejante al sustrato de maneras que ambos compiten por el centro
activo; en este caso la acción del inhibidor puede contrarrestarse aumentando la concentración del sustrato.
En la inhibición competitiva la Vmax muestra un valor normal mientras que se necesita más sustrato para
alcanzar la mitad de la Vmax por lo que la Km tiene un valor mayor.
ii. No competitivos o alostéricos_ el inhibidor muestra afinidad tanto por la enzima libre como por el complejo
ES y la unión se realiza en un lugar distinto del centro activo, lugar alostérico, alterando la estructura de la
enzima. Un aumento de la concentración del sustrato no conduce a la recuperación de la actividad y esto
produce una disminución de la Vmax. El inhibidor al no unirse al centro activo la Km, o afinidad de la
enzima por el sustrato, no cambia.
iii. Acompetitivos o incompetitivos_ estos inhibidores se unen exclusivamente al complejo ES en un lugar
diferente al centro activo. Esto disminuye tanto la Vmax como la K
TEMA 5-BIOENÉRGETICA
1.METABOLISMO INTERMEDIARIO
Es el conjunto de reacciones en las que se obtienen intermediarios, que son compuestos químicos que actúan como
sustratos para otras reacciones del metabolismo. En estas reacciones también se obtiene energía y poder reductor. El
poder reductor son sustancias con capacidad para ceder electrones, como el FADH2 y el NADH+H+
.
Los intermediarios, junto con la energía y poder reductor se utilizan para fabrica las biomoléculas. Además, a partir de
cualquier intermediario se puede formar prácticamente cualquier biomolécula. Por otra parte, parte de la energía y poder
reductor se utilizar para el trabajo celular y por eso el rendimiento no es 1.
21
El metabolismo se divide en dos procesos: anabolismo y catabolismo. Las rutas catabólicas son convergentes, mientras
que las anabólicas son divergentes. Pueden estudiarse por separado las rutas catabólicas (que producen energía y poder
reductor) y las anabólicas (consumen energía y poder reductor) aunque están interconectadas y muy reguladas.
El oxígeno es un compuesto altamente oxidante que se puede utilizar como aceptador de electrones, lo que permite
llevar a la oxidación de las biomoléculas hasta dar CO2 y H2O, lo que permite producir mucha más energía a partir de
cada átomo de carbono, con un mayor rendimiento energético. El metabolismo oxidativo de las principales biomoléculas
(glúcidos, ácidos grasos y aminoácidos) habitualmente se divide en tres etapas, los cuales hacen referencia a la
complejidad de las moléculas y su estado do de reducción:
1. En la primera etapa las macromoléculas son fragmentadas en moléculas más pequeñas, normalmente en
moléculas sillares que posteriormente son degradadas a moléculas de acetil- CoA, de dos carbonos. En esta fase
se incluyen las vías catabólicas de aminoácidos, la β-oxidación de ácidos graso y la glucólisis en el caso de los
monosacáridos.
2. En una segunda etapa se encuentra se encuentra el ciclo de Krebs, que implica la oxidación de los átomos de
carbono del Acetil CoA hasta moléculas de CO2, liberando energía en forma de nucleótidos trifosfato (GTP) y
en forma de poder reductor (FADH2 y NADH+H+
).
3. En la tercera etapa se ubica la cadena transportadora de electrones y la fosforilación oxidativa, en el cual el
poder reductor generado en el ciclo de Krebs se emplea para la síntesis de ATP.
Las rutas catabólicas y anabólicas se conectan a través de moléculas trasportadoras de energía y de
electrones. En las dos vías metabólicas se producen reacciones de oxidación-reducción: en las vías
catabólicas, donde se realizan reacciones de oxidación, las moléculas reducidas irán cediendo
electrones para dar lugar a moléculas oxidadas. Estos electrones cedidos pasarán a las vías
anabólicas, donde las moléculas oxidadas irán captando los electrones para dar moléculas reducidas.
- Las deshidrogenasas actúan durante el catabolismo quitando pares de e- de la materia orgánica
y cediéndolos al NAD+
oxidado.
- Las reductasas actúan durante el anabolismo cediendo pares de e-
desde el NADPH reducido
hasta metabolitos oxidados.
- Hay reacciones adicionales que interconvierten unas formas de coenzimas en otras.
22
2.METABOLISMO DE LOS HIDRATOS DE CARBONO
La glucosa-6-fosfato (G6P) se produce la fosforilación de la glucosa libere, la degradación de glucógeno y la
gluconeogénesis. También es un precursor de la síntesis de glucógeno de la vía de las pentosas fosfato. El hígado puede
hidrolizar G6P a glucosa. La glucosa se metaboliza por glucólisis a piruvato, que luego puede romperse en acetil-CoA
por oxidación mediante el ciclo de Krebs. El lactato y los aminoácidos, que se convierten de modo reversible a piruvato,
son precursores de la gluconeogénesis.
2.1. GLUCÓLISIS
La glucólisis es la ruta universal del catabolismo de glucosa, pues no requiere de oxígeno, que aparece muy pronto en
la evolución y que posteriormente continua con el ciclo de Krebs y cadena de transporte de electrones. Es la ruta
degradativa la glucosa que sirve para obtener energía de esta molécula y poder reductor. Puede considerase el proceso
oxidativo de la glucosa, bien mediante su degradación hasta generar piruvato o bien mediante su fermentación para dar
ácido láctico. El glucolisis tiene lugar en el citosol o citoplasma y se divide en dos fases, dentro de las cuales se producen
un total de 10 reacciones enzimáticas que permiten la transformación de una molécula de glucosa a dos moléculas de
piruvato. Las dos fases, con sus respectivas reacciones son:
1. Fase preparativa→ en esta fase se produce un gasto energético: dos moléculas de ATP por molécula de glucosa.
La finalidad de esta fase es la de activar y preparar las moléculas de glucosa, para su posterior procesamiento.
1) Fosforilación de la glucosa a glucosa-6-fostafato_ requiere el gasto de una molécula de ATP y, en dos
condiciones fisiológicas, es una reacción irreversible. Esta reacción esta catalizada por la hexoquinasa (HK).
2) Conversión de la glucosa-6-fosfato a fructosa-6-fosfato_ es una reacción reversible catalizada por la
fosfoglucosa-isomerasa.
3) Fosforilación de la fructosa-6-fosfato a fructosa-1,6-bisfosfato_ requiere el gasto de una segunda
molécula de ATP y, en las condiciones fisiológicas, en una reacción irreversible. Esta catalizada por la
fosfofructoquinasa-1 (PFK-I).
23
4) Escisión de la fructosa-1,6-bisfosfato en dos triosas fosfato_ la dihidroxiacetona fosfato y el
gliceraldehído-3-fosfato: es una reacción reversible catalizada por la aldolasa.
5) Interconversión de las triosas de fosfato_ es un equilibrio catalizado por la enzima triosa fosfato
isomerasa. Dicho equilibrio se encuentra desplazado hacia la formación de gliceraldehído-3-fosfato, puesto
que es el compuesto que puede ser metabolizado en los siguientes pasos de la glucólisis, en la fase de
beneficios.
2. Fase de beneficios o de rendimiento energético→ En esta fase se obtiene cuatro moléculas de ATP y dos de
NADH+H+
por molécula de glucosa. Esta fase de rendimiento se produce dos veces por cada molécula de
glucosa que se hidroliza, ya que en cada una de las vueltas se metaboliza una de las dos triosas fosfatos en las
que se escindió la glucosa.
6) Oxidación del gliceraldehído-3-fosfato a 1,3-bisfosfoglicerato_ en este paso se oxida el grupo aldehído
hasta una forma ácido, lo cual permite obtener una molécula de NADH+H+
, a la vez que se aprovecha para
fijar un grupo fosfato, que permitirá en la siguiente reacción obtener energía en forma de un nucleótido
trifosfato. Esta reacción es reversible y esta catalizada por la enzima gliceraldehído-3-fosfato
deshidrogenasa. Constituye el primer paso de la fase de beneficios, paso que se repetirá posteriormente con
la molécula de dihidroxiacetona que, por acción de la triosa fosfato isomerasas, se convertirá en una nueva
molécula de gliceraldehído-3-fosfato.
7) Primera fosforilación a nivel de sustrato_ en esta reacción se produce síntesis de una molécula de ATP,
gracias a la transferencia de un grupo fosfato desde el 1,3-bisfosfoglicerato hasta un ADEP, liberando ATP
y 3-fosfoglicerato. La enzima que cataliza es fosfoglicerato quinasa, y la reacción es reversible.
8) Conversión del 3-fosfoglicerato a 2-fosfoglicerato_ por medio de las fosfoglicerato mutasa, es una
reacción reversible.
9) Deshidratación del 2-fosfoglicerato o fosfoenolpiruvato_ reacción reversible catalizada por la enolasa.
Esta reacción permite la creación de un enlace fosfato de alta energía, que será aprovechado en el siguiente
paso para obtener energía en forma de un nucleótido trifosfato.
10) Segunda fosforilación a nivel de sustrato_ en esta reacción se produce la síntesis de una molécula de ATP,
gracias a la transferencia de un grupo fosfato desde el fosfoenolpiruvato hasta un ADP, liberando ATP y
piruvato, mediante la enzima piruvato quinasa (PK). Esta reacción es irreversible en condiciones
fisiológicas.
Teniendo en cuenta estos procesos la ecuación global o balance del glucolisis y de cada una de las fases de la glucólisis
sería:
1ªFase
O bien
Glucosa+2ATP→ gliceraldehído 3-fosfato + dihidroxiacetona fosfato+ 2ADP
Glucosa+2ATP→ 2 gliceraldehído 3-fosfato+ 2 ADP
2ªFase Gliceraldehído 3-fosfato+ 2ADP+NAD+
+Pi → Piruvato+ 2ATP+NADH+H+
+2H2O
Global: Glucosa+ 2ADP+2ADP+2NAD+
+2Pi→ 2 Piruvato+ 2ATP+ 2NADH+2H+
+2H2O
El piruvato resultante se puede utilizar en las rutas anabólicas (gluconeogénesis) o en las rutas catabólicas
(descarboxilación oxidativa y fermentaciones).
24
2.1.1. Regulación de la glucólisis
En la ruta de la glucólisis existen tres pasos importantes de regulación, correspondientes con los tres pasos irreversibles
y que están catalizados por HK, PFK-I y PK. Estás enzimas están reguladas principalmente a través de una regulación
alostérica.
• Hexoquinasa→ está regulada alostéricamente por su producto, la glucosa-6-
fosfato (que inhibe la actuación de la enzima) y por el ATP, un indicador de que
las necesidades energéticas de la célula están satisfechas.
• Fosfofructoquinasa-1→ es activada por la fructosa-2,6-bisfosfato (F-2,6-BP)
y el AMP o ADP (un indicador de una baja producción de energía celular)
mientras que se inhibe por citrato, ATP y H+
. Los portones son un control para
prevenir un posible daño por incremento de la concentración de ácido, pues el
producto final de la glucólisis puede originar ácido láctico. En el hígado la F-2,6-
BP es de gran importancia dado que la glucólisis y gluconeogénesis no suceden
simultáneamente. La fructosa-2,6-bisfosfato se produce, a partir de la fructosa-6
fosfato, por la acción de la Fosfofructoquinasa-2(PFK-2/FBPasa-2), que es una
enzima controlada por la acción de la insulina y el glucagón. La insulina (que
indica un alto nivel de glucosa en sangre) activa la PFK-2, favoreciendo la
glucólisis e inhibiendo la gluconeogénesis, mientras que el glucagón (que indica
un bajo de nivel de glucosa sanguíneo) inhibe la PFK-2, inhibiendo la glucolisis
y favoreciendo la gluconeogénesis.
• Piruvato quinasa→ es inhibida por el ATP, el acetil-Coa o la alanina
(precursor del piruvato) y es estimulada tanto por la presencia de AMP o ADP
como de fructosa-1,6-bisfosfato. La PK presenta una regulación por modificación
covalente a través de un mecanismo de fosforilación y desfosforilación
controlado hormonalmente por el glucagón. Los niveles altos de glucagón activan
una proteína quinasa A, que produce la fosforilación y la consiguiente
inactivación de la PK
2.1.3. Rutas alimentadoras de la glucólisis
La glucosa no es el único hidrato de carbono
del que se puede obtener energía porque a
través de la dieta también podemos ingerir
otros disacáridos (sacarosa, maltosa y
lactosa) y otros monosacáridos como la
fructosa que, junto con la glucosa, son
combustibles metabólicos. Luego de la
digestión, estas moléculas ingresan en la
circulación que los lleva a varios tejidos.
Luego se convierten en intermediarios que
se pueden metabolizar en la vía glucolítica y
en la gluconeogénica.
➢ Aunque es ajena a la glucólisis, la enzima glucógeno fosforilasa, también regula la glucólisis al
ser la encargada de romper el glucógeno en glucosa
25
2.2.DESTINO ANABÓLICO DEL PIRUVATO: GLUCONEOGÉNESIS
La gluconeogénesis es la ruta que utilizan las células de los organismos autótrofos para sinterizar glucosa a partir de
piruvato, a través de un proceso anabólico que requiere una importante inversión de energía, en forma de moléculas de
ATP y de NADH+H+
. Constituye una ruta muy importante, ya que permite suministrar glucosa a los tejidos cuando el
porte de la dieta o los niveles presentes en sangre no son adecuadas. Esta ruta comparte una serie de reacciones con la
glucólisis, concretamente los pasos reversibles, pero presenta tres pasos exclusivos que son los tres pasos opuestos a
los irreversibles de la glucólisis.
La gluconeogénesis también permite la síntesis de glucosa a partir de diversos precursores no glucídicos ( aminoácidos,
lactato, glicerol o intermediarios del ciclo de Krebs). La gluconeogénesis es una ruta que se lleva a cabo únicamente en
el hígado y en la corteza renal.
Para evitar los pasos irreversibles que se originan en la glucólisis, la gluconeogénesis utiliza una serie de reacciones
alternativas catalizadas por enzimas diferentes:
• Síntesis de fosfoenolpiruvato→ la conversión del piruvato en fosfoenolpiruvato requiere de dos reacciones
catalizadas por dos enzimas:
- La piruvato carboxilasa, que cataliza la conversión de piruvato (3 carbonos) en oxalacetato (4 carbonos). Esta
enzima requiere gasto de una molécula de ATP para fijar un nuevo átomo de carbono, procedente del CO2 para
generar oxalacetato. Esta reacción ocurre en la mitocondria.
- El fosfoenolpiruvato carboxiquinasa, que cataliza la conversión de oxalacetato en fosfoenolpiruvato y CO2. En
esta reacción se utiliza la energía procedente de la hidrolisis de GTP.
Posteriormente el fosfoenolpiruvato se convertirá en fructosa-1,6-bifosfato siguiendo, en sentido contrario, las
reacciones reversibles de la glucolisis.
• Conversión de la fructosa-1,6-bifosfato en fructosa-6-fosfato→ ésta es una reacción hidrolítica por la cual se
elimina un grupo fosfato en posición 1 de la fructosa por acción de la enzima-1,6-bifosfatasa. En esta reacción no
se regenera ATP si no que se obtiene Pi. A continuación, la fructosa-6-fosfato se convertirá en glucosa-6-fosfato por
la reacción reversible detallada en el apartado de la glucolisis.
• Formación de glucosa a partir de-6-fosfato→ está es una reacción hidrolítica por la cual se libera el grupo fosfato
en posición 6 de la glucosa por acción de la glucosa-6-fosfatasa. Tampoco en esta reacción se regenera ATP, pero
si se obtiene Pi. La glucosa originada en esta ruta se libera en sangre para ser aprovechada en los tejidos
26
27
Determinados tejidos necesitan un aporte continuo de glucosa como la cerebro, depende de glucosa como combustible
primario, o el eritrocito (GR), que la utiliza como único combustible. El cerebro también puede alimentarse de cuerpos
cetónicos, pero depende más de la glucosa,
Las reservas directas de glucosa solo son suficientes para cubrir las necesidades de un día, por lo que periodos de ayuno
más largos implican la necesidad de sistemas alternativos de obtener glucosa.
La glucosa también se puede utilizar en otras rutas. La ruta pentosa fosfato es otra ruta catabólica que parte de la
glucosa. En esta ruta la glucosa se oxida, y se obtiene energía, pero no en forma de ATP. Entre estas finalidades de la
ruta de las pentosas fosfato se encuentran:
• La obtención de poder reductor en el citoplasma, en forma de NADPH+H+
, que es un agente reducto necesario
para infinidad de reacciones anabólicas. Este NADPH+H+
es utilizado en tejidos con elevada síntesis de ácidos
grasos como el adiposo, corteza renal y glándula mamaria
• La obtención de diversos monosacáridos para el esqueleto de los nucleótidos(desoxirribosa y ribosa). Uno de
los más importantes es la ribosa-5-fosfato, necesaria para la síntesis de los nucleótidos y es la base de los ácidos
nucleicos.
• También reduce el glutatión (moneda de intercambio de poder reductor universal) en glutatión reducido.
Tiene dos fases que tienen lugar en el citoplasma:
• Una fase oxidativa→ en esta fase se forma poder reductor y la ribosa-5-fosfato
• Una fase no oxidativa → implica una serie de reorganizaciones moleculares entre distintos monosacáridos,
caracterizada principalmente por la transferencia de dos o tres átomos de carbono de un monosacárido a otro.
Ala: alamina
Aa: aminoácidos
28
2.2.1.Regulacion de la gluconeogénesis y de la glucólisis
Las enzimas que se han estudiado en la gluconeogénesis están reguladas alostéricamente por una serie de factores, que
muchas veces son los mismos que regulan la enzima opuesta de la glucólisis, aunque el efecto regulador es el contrario.
La relación de dos enzimas que catalizan pasos opuestos a través de los mismos factores genera lo que se conoce como
ciclo de sustrato. Este sistema permite una coordinación muy precisa de ambas rutas, de tal manera que el mismo factor
que está activando una ruta, a su vez está inhibiendo la ruta opuesta; por lo tanto, el control de las dos rutas es muy
precisos y se minimiza el gasto energético a pesar de que ambas enzimas estén funcionando al mismo tiempo.
En el dibujo de arriba se presentan los ciclos de sustratos típicos de la ruta glucolítica y gluconeogénica, así como los
factores que potencian e inhiben cada enzima:
29
En la gluconeogénesis hay que destacar que la glucosa-6-fosfatasa es activada por la glucosa-6-fosfato; la fructosa 1-6-
bifosfatasa se inhibe por la acción de la fructosa-2-6-bifosfato y AMP y está potenciada por el citrato; mientras que el
ADP es un inhibidor de la fosfoenolpiruvato carboxiquinasa y de la piruvato carboxilasa.
2.2.2.Sustrato gluconeogénesis
Existen varias moléculas distintas que puede ser precursores de la síntesis de glucosa en la ruta gluconeogénica.
Destacan entre estos sustratos el ácido láctico, el glicerol y la alanina.
• Glicerol → dos enzimas (glicerol quinasa y glicerol 3-P-deshidrogenasa) transforman el glicerol en
dihidroxiacetona fosfato, uno de los intermediarios de la ruta gluconeogénica.
• Ciclo de la glucosa alanina→ proceso en el cual el aminoácido alanina se convierte en piruvato para después ser
transportado al hígado para que éste sintetice glucosa.
• Ciclo de cori→ Contribuye a
eliminar ácido láctico de la
sangre, que se genera en grandes
cantidades en células que no
poseen mitocondrias o que en
determinados momentos
presentan bajas concentraciones
de oxígeno. El ácido láctico se
libera y se transporta por vía
sanguínea hasta e hígado. En ese
órgano se transforma en piruvato,
que servirá para la síntesis de
nuevas moléculas de glucosa para
ser aprovechas por esas células
sin mitocondrias o carentes de
oxígeno.
30
2.3. DESTINOS CATABÓLICOS ALTERNATIVOS DEL PIRUVATO
El piruvato que se genera principalmente gracias a la glucólisis es un metabolito intermedio que va a ser aprovechado
por diversas rutas metabólicas con la finalidad de aumentar la producción de energía o servir para la síntesis de diversas
moléculas, principalmente aminoácidos. Entre las rutas catabólicas destacan principalmente dos: las fermentaciones y
la descarboxilación oxidativa del piruvato.
2.3.1. Fermentaciones y el reciclaje de NAD+H+
Las fermentaciones son una seria de rutas metabólicas que permiten el reciclaje de NAD+
. Si no se pudiera producir
dicho reciclaje, la glucólisis se vería bloqueada por la falta de NAD+
, y con ella se bloquearía la producción de ATP que
se genera en la ruta catabólica. En las células eucariotas, la regeneración de NAD+
se produce en las mitocondrias gracias
a la cadena transportador de electrones. Por ello, en organismo procariotas y en aquellas células eucariotas carentes de
mitocondrias o que se encuentran en condiciones de recudidos niveles de O2, la regeneración de NAD+
por fermentación
es fundamentan para producir ATP. Las fermentaciones son importantes tanto a nivel bioquímico como industrial. Las
dos principales tipos de oxidaciones incompletas, es decir, que no terminan en la producción de CO2, y que se producen
en el citoplasma a partir del piruvato son:
❖ Fermentación láctica (la reducción del piruvato)
Existen diversos tipos de fermentación láctica, si bien la mas destacable es la conocida como fermentación
homoláctica, por la cual el piruvato se reduce a lactato en presencia de NAD+H+
, por acción de la lactato
deshidrogenasa:
Esta reacción permite regenerar la cantidad suficiente de NAD+
para que la glucólisis siga funcionando, al
menos durante un periodo corto de tiempo en aquellas situaciones en las cuales el suministro de O2 se ve
reducido, como en las células musculares que se contraen rápidamente y presentan una demanda energética
elevada.
La reducción del piruvato a lactato ocurre tanto en células animales como vegetales y , especialmente en muchos
microorganismo. La fermentación láctica tiene una enorme importancia industrial ya que esta implicada en la
elaboración de una gran cantidad de productos lácteos (leche, yogures, mantequilla…).
• En condiciones anaeróbicas se
produce la descarboxilación
oxidativa del piruvato se transforma
en acetil-CoA ,entra en el ciclo de
Krebs y sigue el catabolismo hasta
la cadena transportadora de
electrones, generando 38 moléculas
de ATP.
• En condiciones anaeróbicas se
producen las fermentaciones donde
a partir del piruvato solo se obtienen
2 moléculas de ATP.
31
❖ Fermentación alcohólica (una descarboxilación no oxidativa del piruvato)
Este tipo de fermentación se da sobre todo en levaduras y en algunos tipos de bacterias y está implicada en la
elaboración de bebidas alcohólicas y en la fabricación de pan. La fermentación alcohólica realmente consiste
en dos reacciones consecutivas:
o La primera implica la descarboxilación del piruvato por la enzima piruvato descarboxilasa
o La segunda reacción produce etanol a partir de los productos de la reacción anterior por acción de la
alcohol deshidrogenasa.
2.3.2. Descarboxilación oxidativa del piruvato
El piruvato todavía tiene bastante energía química y se puede ser empleada para obtener una cantidad sustancia de ATP.
Para ello el piruvato debe oxidarse por completo. El primer paso es una descarboxilación que origina una molécula de
acetil-CoA, la cual posteriormente se degradará en el llamado ciclo de Krebs, produciendo mucha energía. Este proceso
de eliminación de un átomo de carbono se conoce como descarboxilación oxidativa del piruvato y lo realiza un complejo
METABOLISMO DEL ALCOHOL
Cualquier sustancia del cuerpo ajena es un cenobítico (fármaco, alcohol…). Todos siguen la misma ruta de
detoxicación en el hígado. Dentro de los hepatocitos el metabolismo del alcohol se realiza en tres lugares distintos:
- En citosol por la ADH (alcohol deshidrogenasa). En esta vía el etanol se oxida en acetaldehído por acción de la
alcohol deshidrogenasa, dando lugar poder reductor (NADH). Luego el acetaldehído se oxida en ácido acético
por acción de aldehído deshidrogenasa, dando lugar a poder reductor (NADH). El acetaldehído esta mas oxidado
que el etanol mientras que el ácido acético está más oxidado que el acetaldehído.
- En el peroxisoma por la catalasa
- En el sistema membranoso de oxidación de alcohol se da en el retículo endoplasmático. Aquí se tendría la ruta
del citocromo P 450. Este mismo sistema de oxido-reducciones se utiliza para detoxicar muchos fármacos y está
muy activo en los alcohólicos. Aquí se dan las mismas conversiones en el citosol, solo que se libera O2 y se
catalizan por dos enzimas diferentes (oxidasa de función mixta) y aldehído oxidasa.
La acumulación de NADH favorece fermentación (aumenta la [lactato] y disminuye pH de sangre) e inhibe la PDH
(piruvato deshidrogenasa), favoreciéndose anabolismo a partir de piruvato (rutas anapleróticas) y acetato.
La vitamina B12, acelera el metabolismo del alcohol y a la larga restaura el estado de oxidación de la PDH
32
multienzimático, conocido como piruvato deshidrogenasa (PDH), compuesto por 5 coenzimas y tres enzimas con
actividades enzimáticas distintas:
1. Piruvato descarboxilasa→ produce la eliminación del átomo de carbono del piruvato. Para actuar requiere
pirofosfato de tiamina como cofactor y origina como producto acetaldehído.
2. Dihidrolipoil transacetilasa → emplea dos lipoamidas como cofactores enzimáticos, que utiliza para transferir
el acetaldehído a una molécula de coenzima A (CoA-SH), a la vez que lo oxida originado el acetil CoA. La
reacción que cataliza la conversión de piruvato a acetil-CoA es irreversible y es un importante punto de control
de todo el metabolismo.
3. Dihidrolipoil deshidrogenasa→ esta enzima ayuda en la regeneración de las lipoamidas de la dihidrolipoil
transacetilasa, para la cual requiere como cofactor FAD, que las oxida. Finalmente, los electrones de la
oxidación serán cedidos por el FADH2 a una molécula de NAD+
, formando NADH+H+.
El balance de la reacción del complejo del piruvato deshidrogenasa sería el siguiente:
El complejo de piruvato deshidrogenasa se encuentra fuertemente regulado, presenta una regulación alostérica basada
principalmente en la relación NADH+H+
/NAD+
y acetil CoA/ CoA-SH; de tal manera que
- Si está relación es elevada, lo cual indica un nivel energético alto de la célula, la enzima se inhibe
- Si la relación es baja, lo cual indica bajo nivel energético de la célula, la enzima se activa.
También presenta un control por fosforilación-desfosforilación (modificación covalente reversible) que afecta a la
primera enzima o actividad enzimática (la piruvato descarboxilasa) del complejo piruvato deshidrogenasa.
- Las altas [NADH] y [acetil-CoA] activan la piruvato deshidrogenasa quinasa (PDHK) que fosforila la PDH,
inactivándola.
- Las elevadas [NAD+] y [CoA] inhiben a la piruvato deshidrogenasa quinasa (PDHK) y activan a la piruvato
deshidrogenasa fosfatasa (PDHPP) que desfosforila la PDH, activándola.
2.4. CICLO DE KREBS
También llamado ciclo del ácido cítrico o ciclo de los ácidos tricarboxílicos. Tiene lugar en la matriz mitocondrial de
la célula, excepto la succinil-CoA sintetasa que forma parte del complejo II de la cadena de transporte de electrones. Es
parte de la vía catabólica que realiza la oxidación de las moléculas de acetil-CoA hasta producir CO2, liberando gran
cantidad de energía química en forma de GTP y de poder reductor (NADH+H+
y el FADH2). En el ciclo de Krebs se
produce una secuencia de reacciones que oxidan los dos átomos de carbono de una molécula de acetil CoA hasta rendir
CO2. Las reacciones son:
1. Condensación entre una molécula de acetil- CoA (dedos carbonos) y una molécula de oxalacetato (de cuatro
carbonos). Esta reacción es una condensación aldólica a la que sigue una hidrolisis que libera la coenzima A
libre. Dicha reacción está catalizada por el citrato sintasa, dando como producto final el citrato (de seis
carbonos). Es un paso irreversible.
2. Transformación del citrato en isocitrato. Con esta reacción que sucede en dos pasos, una deshidratación
seguida de una hidratación se pasa de un sustrato con un alcohol terciario a una molécula con un alcohol
secundario, que resulta más fácilmente oxidable. Esta reacción se lleva a cabo por la aconitasa, formando un
intermediario conocido como cisaconitato.
3. Primera descarboxilación oxidativa. Se produce la transformación del isocitrato (de seis carbonos) a α-
cetoglutarato (de cinco carbonos) reacción que conlleva la reducción de una molécula de NAD+
a NADH+H+
y
la eliminación de un átomo de carbono en forma de CO2. Esta reacción la cataliza el isocitrato deshidrogenasa
y es la primera etapa en la se produce NADH+H+
y CO2.Es un paso irreversible.
33
4. Segunda descarboxilación oxidativa. Se produce la transformación del α-cetoglutarato (de cinco
carbonos) a succinil- CoA (el succinil tiene 4 carbonos), reacción la catalizada por el complejo multienzimático
α-cetoglutarato deshidrogenasa. Como resultado, además del succinil-CoA, se genera una segunda molécula
de NADH+H+
así como de CO2. Hay acumuladas dos moléculas de CO2, de manera que se ha completado la
oxidación neta del grupo acetilo. La reacción es un paso irreversible.
5. Fosforilación a nivel del sustrato. En esta reacción se acopla la ruptura del enlace de alta energía del succinil-
CoA con la síntesis de una molécula de GTP, a partir de GDP y Pi liberando succinato y coenzima A. Esta
reacción la lleva a cabo la enzima succinil-CoA sintetasa.
6. Oxidación del succinato (4C) en fumarato (4C) por acción del succinato deshidrogenasa. Es una reaccion de
deshidrogenación, de manera que el hidrogeno eliminado se acopla a la síntesis de una molécula de FADH2.
7. Hidratación del doble enlace fumarato, originado L-malato. La fumarasa cataliza esta reacción.
8. Oxidación del L-malato a oxalacetato, gracias al enzima malato deshidrogenasa. Esta reacción genera una
última molécula de NADH+ H+
, la tercera que se obtienen en el ciclo. El oxalacetato puede dar de nuevo al
inicio del ciclo, pues se utiliza junco con el acetil-CoA en la generación del citrato en el primer paso de ciclo.
9 y 10. Las dos últimas reacciones a partir de la formación del succinato suponen la preparación de otra vuelta
del ciclo mediante la regeneración del oxalacetato necesaria para la primera reacción. De esta forma se puede
oxidad un numero ilimitado de grupos acetilo con la mediación de una sola molécula de oxalacetato, ya que ésta
se regenera en cada vuelta del ciclo
34
El NADH+H+
y FADH2 se reoxidaran rápidamente a través de la cadena transportadora de electrones y la fosforilación
oxidativa. De esta forma se completa la degradación de metabolitos celulares, maximizando la obtención de energía
mediante la síntesis de nuevas moléculas de ATP. El GTP se puede utilizar como fuente de energía en determinadas
reacciones, o para sintetizar ATP.
2.4.1. Regulación del ciclo de Krebs
El ciclo está fuertemente regulado en distintos pasos. Se debe a que, por un lado, debe satisfacer con precisión las
necesidades energéticas de la célula y, por otro lado, el ciclo de Krebs es una fuente muy importante de precursores de
gran cantidad de biomoléculas. La regulación del ciclo de Krebs sucede principalmente a dos niveles:
• Disponibilidad del sustrato_ esto se debe a la concentración de acetil-CoA y oxalacetato es baja en la
mitocondria con relación a citrato sintasa. El aumento de la disponibilidad de estos sustratos estimula
frecuentemente la síntesis de citrato y, por consiguiente, el ciclo de Krebs. La disponibilidad de acetil-CoA
depende en gran medida del piruvato deshidrogenasa (PDH), mientras que la disponibilidad de oxalacetato
depende sobre todo de la piruvato carboxilasa. De tal forma que estas enzimas, ajenas al ciclo de Krebs, afectan
en gran medida a la regulación de este.
• Modulación de enzimas clave_ enzimas del propio ciclo de Krebs, principalmente aquellas que catalizan pasos
irreversibles, están finamente reguladas mediante efectores alostéricos. Esta regulación afecta sobre todo al
citrato sintasa, isocitrato deshidrogenasa y α-cetoglutarato deshidrogenasa. El citrato sintasa y la α-cetoglutarato
deshidrogenasa se inhiben principalmente por succinil-CoA y NADH+H+,
mientras que la isocitrato
35
deshidrogenasa se inhibe principalmente por ATP y NADH+H+
. La relación de NADH+H+
/NAD+
mitocondrial,
que refleja el estado energético celular del momento, es uno de los principales controladores del ciclo de Krebs.
En general, se podría decir que, en condiciones normales, las velocidades de la glucólisis y del ciclo de Krebs están
integradas de forma que sólo se metaboliza a piruvato la cantidad de glucosa necesaria para abastecer al ciclo, y de esta
forma cubrir las necesidades energéticas de la célula. Le velocidad de la glucólisis se acopla a la del ciclo de Krebs no
sólo a través de su inhibición por altos niveles de ATP y NADH sino también por la inhibición del citrato, todos ellos
productos del ciclo de Krebs. El arsénico bloquea el ciclo de Krebs produciendo graves daños e incluso la muerte.
2.4.2. Reacciones anapleróticas
Gran cantidad de rutas catabólicas convergen el ciclo de Krebs. Estas reacciones, que tienen su origen en el metabolismo
de hidratos de carbono, de los lípidos y sobre todo de los aminoácidos tienen gran importancia a la hora de reponer los
intermediarios del ciclo. Las reacciones que generan dichos intermediarios se conocen como reacciones anapleróticas.
Las reacciones anapleróticas permiten que el ciclo continúe funcionando, a pesar de que diversos intermediarios sean
utilizados para la síntesis de biomoléculas. Destacan entre reacciones anapleróticas la actuación del piruvato
carboxilasa y de la enzima málica, que permiten restablecer diversos intermediarios del ciclo de Krebs (malato y
oxalacetato) a partir del piruvato.
La doble naturaleza, catabólica y anabólica del ciclo, es lo que se conoce como carácter anfibólico del ciclo de Krebs y
viene determinada por el hecho de que algunos de los intermediarios intervienen como precursores de diversas rutas
biosintéticas. Esto implica que continuamente tengan que repuestos de intermediarios para no desabastecer al ciclo,
reposiciones que realizan las reacciones anapleróticas. Entre los distintos intermediarios del ciclo de Krebs que pueden
utilizarse como precursores destacan:
• Oxalacetato (OAA)_ se emplea en la gluconeogénesis y en la síntesis de aminoácidos. En el hígado, en
condiciones de anabolismo el OAA está en defecto y se repone mediante las rutas anapleróticas de fosfopiruvato
carboxilasa (PEPC), piruvato carboxilasa (PC) y enzima málica .
• Citrato_ se puede emplear en la biosíntesis de lípidos. Se utiliza para sacar el acetil CoA, que se genera en la
mitocondria, que no puede atravesar la membrana mitocondrial interna. En el hígado, en condiciones de
anabolismo el acetil-CoA se utiliza para sintetizar intermediarios.
• α-cetoglutarato
• Succinil- CoA
2.5. TRANSPORTE DE ELECTRONES
Los electrones de las oxidaciones se emplean en una primera etapa para reducir el NAD+
y FAD a NADH+H+
y FADH2.
Los electrones fijados en estas coenzimas pasan entonces a la cadena transportadora de electrones, gracias a la
reoxidación mitocondrial del NADH+H+
y FADH2 a NAD+
y FAD respectivamente. Los electrones sufren un proceso
de oxidación-reducción secuencial a través de determinados centros rédox para finalmente reducir el oxígeno a agua.
Este proceso, por el cual se transfieren los electrones desde las biomoléculas del alimento hasta el oxígeno, suele
denominarse respiración aerobia o respiración celular. Los transportadores están ordenados secuencialmente de mayor
a menor potencial de reducción de manera que las reacciones rédox se dan espontáneamente con liberación de energía
Una serie de protones (H+
) se transfieren desde la matriz mitocondrial hacia el espacio intermembrana de la mitocondria,
de modo que se crea un gradiente de protones H+
(gradiente electroquímico). Este gradiente resultante sirve para
impulsar la síntesis de ATP, a partir de ADP y Pi , a través de la llamada fosforilación oxidativa.
La mayoría de los electrones que se van a utilizar en la cadena transportadora de electrones provienen de la acción de
las deshidrogenasas, que recogen los electrones de distinto procesos catabólicos y los canalizan hacia los aceptores
universales de electrones (NAD+
y FAD). Entonces los electrones fijados por estas coenzimas se transfieren a una serie
de transportadores en la membrana interna de la mitocondria conocidos complejos mitocondriales. Estos complejos
transportadores de electrones son de naturaleza proteica y poseen grupos proteicos capaces de aceptar o donar electrones.
En a la cadena respiratoria intervienen tres tipos de moléculas capaces de trasferir electrones:
- Ubiquinona o coenzima Q
- Citocromos
- Proteínas con centros Fe-S
36
El tránsito de electrones a través de los complejos mitocondriales (agrupaciones de diferentes proteínas) se produce en
orden creciente de afinidad electrónica, transfiriendo electrones desde las coenzimas reducidas (NAD+
y FAD) hasta el
oxígeno, aceptor final de los electrones. Los complejos implicados en la transferencia de electrones son:
- Complejo I (NADH-Coenzima Q-oxidorreductasa) _ transporta los electrones del NADH a la ubiquinona.
- Complejo II (Succinato-Coenzima Q oxidorreductasa) _ una enzima del ciclo de Krebs que pasa los
electrones del FADH2 a la ubiquinona. Es el único complejo que no bombea H+
.
- Complejo III (Coenzima Q-citocromo c oxidorreductasa) _ la transferencia de electrones desde la
ubiquinona al citocromo c.
- Complejo IV (citocromo c oxidasa) _ es la última etapa y conduce a los electrones desde el citocromo c hasta
el ultimo aceptor de los electrones, el oxígeno, que se reduce a agua.
Los electrones del NADH+H+
se transportan al complejo I, y allí son aceptados por el nucleótido de flavina FMN;
posteriormente se transfieren a una serie de centros Fe-S que, finalmente trasladan los electrones a la ubiquinona. La
ubiquinona reducida difunde libremente por la membrana transportando los electrones hasta el complejo III. En este
complejo los electrones se transfieren de uno en uno. El hecho de que los electrones pasen individualmente hace que se
genere ubisemiquinona (molécula de ubiquinona reducida por un solo electrón) que, gracias a los citocromos b del
complejo II, se reduce nuevamente y cede el segundo electrón. Al final, los dos electrones son cedidos a dos citocromos
C: durante este proceso se logran transportar otros cuatro protones al espacio intermembrana. Los citocromos c se
encargan de transferir los electrones desde el complejo III al complejo IV, donde se reduce el oxígeno a agua.
Los electrones de las moléculas de FADH2 entran en la cadena trasportadora de electrones a través del complejo II que
transfiere los electrones a la ubiquinona. A partir de la ubiquinona, los electrones del FADH2 siguen el mismo camino
que los electrones del NADH+H+
, siendo transferidos al complejo III, al citocromo c, al complejo IV y, finalmente,
cedidos al oxígeno para formar agua.
2.6.FOSFORILACION OXIDATIVA (254)
Es la síntesis de ATP a partir de ADP y Pi en las mitocondrias y está catalizada por la ATP sintasa (o complejo V). Esta
enzima se encuentra:
• En la membrana mitocondrial interna de mamíferos, levaduras y hongos
• En la membrana citoplasmática de las bacterias
• En la membrana tilacoidal de los cloroplastos
La Teoría quimiosmótica de Mitchell infiere que la síntesis de ATP está acoplada a la cadena transportadora de
electrones mitocondrial mediante un gradiente de protones que se genera a partir de una seria de reacciones redox que
permiten el transporte de electrones. Los postulados de esta teoría son:
1. Los complejos transportadores de electrones logran pasar protones al espacio intermembrana en contra de
gradiente, creando así un gradiente eléctrico y un gradiente de protones a través de la membrana interna. A este
gradiente electroquímico generado por el transporte de electrones por diversos complejos mitocondriales se
denomina fuerza protón-motriz.
2. El potencial electroquímico de este gradiente o fuerza protón motriz lo aprovecha la ATP sintasa para sintetizar
ATP. La ATP sintasa transporta los protones a la matriz mitocondrial a favor de gradiente y acopla este proceso
a la síntesis de ATP.
Por lo tanto, el flujo electrónico provoca la salida de protones y su reentrada en el interior a través de
una H+-ATPsintasa produce la síntesis de ATP
Como ya se ha dicho, el transporte electrónico provoca que los complejos I, III y IV muevan protones a través de la
membrana mitocondrial interna desde la matriz (región de baja concentración de protones y de potencial negativo) al
espacio intermembrana (región de elevada concentración de protones y potencia eléctrico positivo). Esto hace que las
moléculas de NADH+H+
originen mayor transferencia de protones que las moléculas de FADH2, y produce que las
primeras generen un gradiente mayor, lo cual permitirá una mayor síntesis de ATP.
37
3.ALMACENAMIENTO DE LA GLUCOSA POR EL METABOLISMO DEL GLUCÓGENO
El glucógeno es un polisacárido de origen animal, formado por una gran cantidad de moléculas de glucosa. Ejerce una
función de reserva energética a corto plazo, con el fin de cubrir las necesidades a corto plazo de glucosa. El hígado y el
musculo almacenan el glucógeno.
El metabolismo del glucógeno se suele dividir en dos procesos: la gluconeogénesis (síntesis de glucógeno) y la
glucogenólisis (degradación del glucógeno).
3.1.GLUCOGENOGÉNESIS
Este proceso es anabólico. Se produce normalmente después de la ingestión, sobre todo si la dieta es rica en
carbohidratos. La glucosa será almacenada tanto en el tejido muscular como en el tejido hepático en forma de glucógeno.
El tejido hepático será el que se encargue de acumular la mayor cantidad de glucosa en forma de glucógeno.
La gluconeogénesis comienza con la transformación de glucosa en la glucosa-6-fosfato (por acción de la hexoquinasa
en el músculo y de la glucoquinasa en el hígado). Después la glucosa-6-P se transforma en glucosa-1-fosfato por la
acción de la fosfoglucomutasa, a través de una reacción reversible. Posteriormente la glucosa-1-fosfato se va a
transformar en UDP-glucosa, activando la glucosa. Esta activación determina que la glucosa pueda ser transformada en
un polisacárido, ya que la formación del enlace 0-glucosídico es un proceso que necesita energía aportada por la
hidrolisis de UDP de la glucosa. Para la síntesis de glucógeno a partir de moléculas de UDP-glucosa se necesitan:
• Una molécula preexistente de glucógeno
• La enzima glucógeno sintasa
• Una enzima ramificante cuyo papel es crear los puntos de ramificación mediante enlaces (α1→6)
3.2.GLUCOGENÓLISIS
La degradación de glucógeno normalmente se produce horas después de las comidas, pues en estos momentos habrán
descendido los niveles de glucosa en sangre. En estos momentos el tejido hepático empezará a degradar el glucógeno
para liberar glucosa a la sangre. Mientras en el tejido muscular, la degradación del glucógeno tendrá lugar cuando se
realice un mayor gasto energético que no pueda ser cubierto con el aporte de glucosa desde la sangre, normalmente
38
cuando se produce un ejercicio inmensos. Para la degradación del glucógeno en glucosa 1-P se necesitan
fundamentalmente :
• Glucógeno fosforilasa→ elimina las moléculas de glucosa de los extremos no reductores, recortando las
cadenas lineales de glucógeno. Esta enzima también rompe los enlaces (α1→4), liberando moléculas de glucosa-
1-fosfato.
• Enzima desramificante→ elimina los puntos de ramificación.
Después por acción de la fosfoglucomutasa, la glucosa-1-P se transforma en glucosa-6-P. En el tejido muscular, la
glucosa-6-fosfato se oxidará en la glucolisis. En el tejido hepático será transformada en glucosa libre por la glucosa-6-
6-fosfatasa, y posteriormente se liberará al torrente circulatorio para elevar los niveles de glucosa en sangre en otros
tejidos-
3.3.REGULACIÓN HORMONAL DEL METABOLISMO DEL GLUCÓGENO
La síntesis y la degradación del glucógeno están reguladas cuidadosamente para que la disponibilidad de glucosa permite
cubrir las necesidades energéticas del organismo. El control de estos procesos metabólicos se produce principalmente a
través de tres hormonas: la insulina, el glucagón y la adrenalina.
• Glucagón→ Naturaleza peptídica y síntesis en páncreas. Actúa únicamente en el hígado, puesto que el músculo
no tiene receptores para el glucagón Se libera cuando la [glucosa] en sangre es baja y desencadena rutas para la
obtención de energía a partir de materia de reserva, por lo que:
- En hígado activa la glucogenólisis y la gluconeogénesis
• Insulina → Naturaleza peptídica y síntesis en páncreas. Se libera cuando la [glucosa] en sangre es alta y
desencadena rutas biosintéticas para poder almacenar material de reserva, por lo que
- En hígado y músculo activa la glucogenogénesis.
- En el hígado activa la glucólisis.
• Adrenalina→ Es una catecolamina que se sintetiza en glándulas suprarrenales y se produce rápidamente ante
una respuesta de peligro para dotar al organismo de energía necesaria para la huida por lo que en el músculo
activa la glucogenólisis y la glucólisis.
39
Estas hormonas actúan a través de receptores celulares que regulan normalmente la actividad de una enzima adenilato
ciclasa de manera que em el hepatocito (hígado) ocurre lo siguiente:
• La adrenalina y el glucagón estimulan la síntesis de AMPc El AMPc, indicador de baja energía, es un
mensajero secundario que activa una serie de quinasas encargadas de fosforilar a la glucógeno fosforilasa
quinasa (GP) y a la glucógeno sintasa. La glucógeno fosforilasa fosforilada es la forma activa de la enzima,
mientras que la glucógeno sintasa fosforilada es inactiva de tal forma que la adrenalina y el glucagón impiden
la síntesis de glucógeno, o glucogenogénesis.
• La insulina no incrementa los niveles de AMPc, y por tanto en su presencia la quinasa no fosforilará las enzimas
del metabolismo del glucógeno. Además, la insulina favorece la actividad de unas enzimas fosfatasas que
desfosforilan a la glucógeno fosforilasa y la glucógeno sintasa, lo que provoca que pasen a una forma inactiva
y activa, respectivamente. Así, la insulina potencia la síntesis de glucógeno (glucogenogénesis) e inhibe la
degradación de éste (glucogenólisis). La insulina también favorece la glucólisis para que las células utilicen la
glucosa disponible y así reducirlos niveles de glucemia.
En el miocito(músculo) ocurre lo siguiente:
• La adrenalina estimula la síntesis de AMPc. En el músculo, además de la regulación hormonal, hay regulación
alostérica por AMP que desplaza a la GP de la forma T a la forma R. En este caso, la glucogenólisis y glucólisis
ocurren simultáneamente y se usan para obtener energía
• La insulina, cuando hay glucosa , potencia la glucogenogénesis para almacenar la glucosa
El hígado tiene receptores para las tres hormonas, mientras que el tejido muscular principalmente tienen receptores para
la adrenalina, aunque también tiene para la insulina. De esta manera la insulina y el glucagón afectan fundamentalmente
al hígado, mientras que la adrenalina regula la síntesis y degradación de glucógeno en el musculo. Este hecho tiene su
lógica, pues la insulina y el glucagón informan de los niveles de glucosa en sangre, niveles que se encarga de controlar
el hígado. La adrenalina se sintetiza como respuesta a un estímulo de alerta o a uno de estrés emocional, de tal forma
que, al favorecer, la glucogenólisis en el musculo, facilitan una respuesta rápida frente a un estímulo.
Glucógeno hepático Glucógeno muscular
Función
principal
Mantenimiento de la concentración de glucosa en
sangre.
Combustible reserva para la contracción
muscular
Otras
funciones
Utilizado como combustible para cualquier tejido, pues
el hígado contiene glucosa-6-fosfatasa que desfosforila
la glucosa y permite que salga a sangre.
Ninguna, el músculo carece de glucosa-6-
fosfatasa
Depósitos Aprox. 10% del peso del hígado. Sólo duran 12-24h
durante el ayuno.
Aprox. 13% del peso del músculo. Tenemos
mucha masa muscular, (por lo que hay el
doble de glucógeno en el hígado)
Control
hormonal
El glucagón y la adrenalina estimula la glucogenólisis
La insulina estimula la glucogenogénesis
La adrenalina estimula la glucogenólisis.
La insulina estimula la glucogenogénesis.
40
3.4.BIOQUÍMICA DE LA DIABETES
Al no haber insulina no se capta la glucosa por los
tejidos, al no estar estos permeabilizados, por lo
que la [glucosa] aumenta en sangre.
Las células al no entrar en la sangre las células del
cuerpo comienzan a utilizar las grasas del tejido
adiposo para obtener energía. Los ácidos grasos
van a parar a la sangre y luego al hígado, donde se
convierten en acetil- CoA,
Mientras en el músculo se degradan proteínas al no
haber casi glucógeno , lo que produce la liberación
de aminoácidos en sangre. Los aminoácidos van al
hígado, ahí se convierten en glucosa para
convertirse después en ácidos grasos y
posteriormente en acetil CoA
El piruvato, y en este caso, los ácidos grasos
producen acetil-CoA que, además de utilizarse
junto con el oxalacetato en el ciclo de Krebs, es un
precursor de los cuerpos cetónicos. Los cuerpos
cetónicos se producen cuando no hay suficiente
oxalacetato como para que el acetil-CoA reaccione
con él, no pudiéndose iniciar el ciclo de Krebs . La
degradación de los ácidos grasos produce mucha
más aceltil-CoA que el piruvato .
41
Por ejemplo:
- 18 átomos de carbono de un ácido graso generarían 9 de acetil-CoA
- 19 átomos de carbono de un ácido grado (n-3/2)= 8 moléculas de acetil- CoA más una molécula de malonil-
CoA
El acetil-CoA se convierte entonces en cuerpos cetónicos, que van a parar a la sangre. La acumulación de muchos
cuerpos cetónicos puede devenir en una acidosis metabólica que se expresa tanto en la sangre como en la orina. Los
síntomas son:
• Aumento de la sed
• Necesidad de orinar a menudo (poliuria)
• Incontinencia urinaria en niños que anteriormente no mojaban la cama durante la noche
• Hambre extrema
• Adelgazamiento no intencional
• Irritabilidad y otros cambios de humor
• Fatiga y debilidad
• Visión borrosa
• Respiraicon profunda y rápida (hiperventilación )
• Mal aliento (aliento de acetona)
• Glucosuria (presencia de glucosa en la orina)
• Náuseas, vómitos y dolor abdominal
TEMA6- BIOENERGÉTICA II
1.TRANSPORTE A TRAVÉS DE LAS MEMBRANAS
En la bicapa lipídica se disponen proteínas periféricas e integrales, azúcares en el exterior y colesterol. Todos ellos
contribuyen a las funciones bioquímicas y fisiológicas de las membranas Regulan el intercambio de sustancias entre el
interior y exterior en la misma célula, y reconocimiento intercelular.
Las sustancias suelen desplazarse de la membrana a través de dos procesos:
1. Procesos pasivos: las sustancias utilizan su propia energía cinética y se mueven siguiendo un gradiente de
concentración o un gradiente electroquímico. La célula no aporta energía. A veces, también se establecen canales
entre 2 células adyacentes y puede haber flujo de materia entre el citoplasma de ambas células. Hay tres tipos:
➢ Difusión simple
➢ Difusión facilitada
o Difusión facilitada por trasportador_ es impulsada por un cambio conformacional de la proteína al unir
la molécula a un trasportador.
o Difusión facilitada por canal_ los canales son hidrofóbicos, selectivos y algunos pueden cerrarse y son
sensibles a estímulos químicos o eléctricos.
➢ Ósmosis
42
2. Procesos activos: emplean energía celular (ATP) e impulsan las sustancias en contra de un gradiente. Hay dos tipos:
➢ Transporte activo_ es para solutos que necesitan moverse en contra de su gradiente de concentración. Se
requiere energía para que las proteínas transportadoras puedan mover a los solutos a través de la bicapa lipídica.
Este tipo de transporte es uniporte (sólo transporta un soluto). Existen dos fuentes de energía que se utilizan
para realizar el transporte activo:
I. Transporte activo primario _ la energía se obtiene por hidrolisis de ATP, que modifica la forma de lo
proteína transportadora para bombear una sustancia a través de la membrana y en contra de su gradiente.
Consume mucho ATP y las sustancias, como el cianuro, que detienen la producción de ATP, son letales al
suprimir el transporte activo de todas las células del organismo. Este tipo de transporte es uniporte o
cotransporte. Las proteínas del transporte activo se denominan bombas. La más importan es la de sodio
potasio (Na+
/K+
-ATPasa) que bombean 3 NA+
hacia el fuera y 2 K+
hacia el interior en contra de su
gradiente, pero en este caso la bomba es antiporte.
II. Transporte activo secundario_ utiliza energía almacenada de los gradientes de concentración iónicos (utiliza
indirectamente la energía obtenida de la hidrolisis de ATP) para facilitar el paso de otras sustancias a través de
la membrana. Este transporte acopla el movimiento de un ion que se desplaza a favor de su gradiente para el
transporte de una segunda sustancia contra su gradiente electroquímico.
- Cotransportadores o intercambiadores o simporte_ proteínas de membrana que transportan dos o más
sustancias en la misma dirección a través de la membrana.
- Contratransportadores o antiportes_ proteínas de membrana que transportan dos o más sustancias en
direcciones opuestas a través de la membrana.
2.SISTEMAS ATP/ADP
Los enlaces de ATP que contienen la energía son entre los grupos fosfatos. Normalmente, los enlaces que se hidrolizan
son el β y el γ, y se libera más energía cuando la molécula se hidroliza por β.
ATP es la moneda de cambio energético de
la célula. Los heterótrofos obtienen energía
de la materia orgánica y los autótrofos de la
luz, pero en ambos casos acumulan la
energía en moléculas con enlaces ricos
energéticamente.
Las biomoléculas de los alimentos se
oxidan en el catabolismo liberando energía
mientras que en el anabolismo se consume
energía para formar biomoléculas a partir de
compuestos sencillos. El ATP es el punto de
unión entre ambos procesos. Sin embargo,
no solo se libera y consume la energía en
forma de ATP porque también se libera y
necesita poder reductor.
El balance del metabolismo es<1
43
2.1.FUENTES DE ENERGÍA Y ESTRATEGIAS PARA GENERAR ATP
Adenilato quinasa_ Cataliza la condensación de dos moléculas de ADP para dar una de ATP y una de AMP
(ADP+ADP→ATP+AMP).
Fosforilación a nivel del sustrato_ Proceso por el cual se produce la fosforilación de ADP a ATP por transferencia de
un grupo fosfato, desde un determinado sustrato. Son reacciones acopladas en las que se utilizan compuestos de energía
de hidrolisis muy alta. Ocurre n las primeras etapas del catabolismo y supone el 2% de la producción de energía de los
organismos vivos.
Fosforilación oxidativa
Fotofosforilación _síntesis de ATP que se produce cuando se exponen cloroplastos aislados a la acción de la luz, en
presencia de ADP y fosfato.
3.OTROS TRANSPORTADORES MITCONDRIALES
Aparte de la cadena transportadora de electrones tenemos otros dos tipos de trasportadores:
• Translocasa ADP/ATP: realiza el intercambio antiporte entre ADP citosólico y ATP de la matriz mitocondrial.
• Translocadores de fosfato: son dos proteínas diferentes que realizan un antiporte hidroxilo y fosfato o un
simporte protón y fosfato.
4.INHIBIDORES METABÓLICOS
Bloque el transporte de electrones en la cadena transportadora de electrones. Si uno de los transportadores queda
bloqueado y no es capaz de transferir los electrones al siguiente, se colapsa toda la secuencia y se interrumpe el flujo de
electrones y por lo tanto la síntesis de ATP
5.DESACOPLANTES
Actúan disipando el gradiente de electrones. Son moléculas hidrofóbicas con un protón disociable, que pueden atravesar
la membrana mitocondrial interna transportando protones. En presencia de estas moléculas, el transporte de electrones
se realiza de manera normal, se consume NADH, FADH2 y O2, pero no se produce ATP. Entonces la energía se libera
en forma de calor.
La termoginina es un tipo de desacoplante natural. Lleva a cabo un desacoplamiento de la cadena de transporte
electrónica para generar calor. Se produce en las mitocondrias del tejido adiposo de mamíferos que hibernan, como el
oso. En animales pequeños como la rata, que no generan suficiente calor metabólico, necesitan producirlo activamente
en la grasa parda, también con un desacoplador.
44
TEM 8-METABOLISMO INTERMEDIARIO II
1.LÍPIDOS
Ente estos compuestos destacan los triacilglicéridos como fuente y reservorio de energía. Aunque los carbohidratos son
el combustible principal de las células, las grasas también desempeñan un destacado papel como fuente de
almacenamiento de energía. El valor calórico es muy elevado y se duplica prácticamente el valor calórico de los hidratos
de carbono.
Combustible almacenado Tejido Gramos Kilocalorías
Glucógeno Hígado 70 280
Glucógeno Músculo 120 480
Glucosa Fluidos Corporales 20 80
Grasa Adiposo muscular 15.000 135.000
Proteína Muscular 6.000 24.000
• El valor calórico de las grasas de 9 Kcal/g
• El valor calórico de las proteínas y de los hidratos de carbono es de 4 Kcal/g
Este tema se va a centran principalmente el metabolismo de los triacilglicéridos y de los ácidos grasos.
1.1. LIPOPROTEÍNAS TRANSPORTADORAS DE ÁCIDOS GRASOS
Existen distintos tipos de lipoproteínas: quilomicrones (QM), VLDL (lipoproteínas de muy baja densidad), IDL
(lipoproteínas de densidad intermedia), LDL (lipoproteínas de baja densidad) y HDL (proteínas de alta
densidad).
Lipoproteína Origen Función
QM Intestino Transportan la grasa (TG exógenos) del alimento desde el intestino a los tejidos
periféricos.
VDL Hígado e
intestino
Transportan los TG sintetizados en el hígado (TG endógenos) a los tejidos
periféricos.
IDL Circulación
(VLDL) e hígado
Proceden de las VLDL. Tras la hidrolisis de los TG endógenos en los capilares
son captados por el hígado. Son precursores de las LDL.
LDL Circulación
(VLDL) e hígado
Son la principal forma de transporte del colesterol a los tejidos
HDL Hígado e
intestino
Elimina el exceso de colesterol de los tejidos y lo devuelven al hígado para su
metabolismo o excreción.
Las grasas ingeridas en la dieta pasan al intestino delgado. Ahí las sales biliares emulsionan las grasas de la diera,
formando micelas mixtas. Después las lipasas intestinales degradan los triacilgliceroles de la dieta (TG exógenos) a
glicerol y ácidos grasos. Los ácidos grasos y demás productos de la degradación son absorbidos por la mucosa intestinal
y convertidos en triacilglicéridos. En el intestino se forma gran cantidad de quilomicrones, lipoproteínas la as cuales los
triacilglicéridos se incorporan, junco con colesterol y apolipoproteínas. Los quilomicrones se vierten a la linfa, que las
transporta hasta la sangre, sin pasar por la circulación enterohepática, de tal forma que llegan primero a los tejidos
periféricos. En estos tejidos la enzima lipoproteína lipasa plasmática ataca los triacilglicéridos , hidrolizándolos en
glicerol y ácidos grasos, que son asimilados por las células tisulares, principalmente adipocitos y miocitos. El glicerol y
los ácidos grasos entran por difusión simple a las células de los tejidos periféricos y son utilizados para formar
triacilglicéridos y almacenar así grandes cantidades de energía cuando sea necesaria. De esta forma se produce el
transporte de los triacilglicéridos de la dieta (TG exógenos) hasta los tejidos. Los restos de los quilomicrones que quedan
tras la actuación de la lipoproteína lipasa plasmática se conocen como quilomicrones remanentes, pobres en
triacilglicéridos , pero no en fosfolípidos y apoproteínas. Estos restos son retirados por el hígado, suministrándose así
fosfolípidos, colesterol, ácidos graso y aminoácidos al tejido hepático.
Con las VLDL ocurre un proceso similar, aunque estas lipoproteínas suelen ser de origen hepático y transportan los
triacilglicéridos propios del organismo, sintetizados a nivel hepático (TG endógenos), hacia el músculo e hígado. La
45
actuación de la lipoproteína lipasa sobre las VLDL origina igualmente glicerol y ácidos graso que serán asimilados por
los tejidos. Además, se generan las IDL o VLDL remanentes (ricas en colesterol). Estas proteínas residuales son retiradas
igualmente por el hígado, que las usa como fuente de fosfolípidos, colesterol y aminoácidos. Estas IDL se pueden
enriquecer aún más en colesterol por acción de la proteína transportadora de colesterol esterificado (CETP) , que actúa
a nivel sanguíneo, provocando que las IDL se transformen en LDL, que son una forma de transporte de colesterol a los
tejidos. Las LDL son retiradas por las células de los tejidos periféricos a través de transportadores específicos que
reconocen las apo β-100, apoproteínas constitutivas de las LDL. En realidad, las células incorporan la lipoproteína entera
por un proceso de endocitosis mediado por un receptor dependiente de clatrina, así las LDL suministran de fosfolípidos,
colesterol y aminoácidos a los tejidos. Por tanto, las IDL/LDL llevan el colesterol al resto de tejidos
Las HDL, tienen origen principalmente hepático y sirven para recoger el exceso de colesterol depositado en los tejidos
periféricos y transportarlo al hígado. De la misma manera, esta lipoproteína interviene el intercambio de apoproteínas y
colesterol esterificado con las demás lipoproteínas, principalmente las LDL. Hay que destacar que las HADL tienen un
papel importante en la esterificación del colesterol catalizada por la enzima lectina colesterol aciltransferasa (LCAT),
que esterifica el colesterol que las HADL han recogido, con ácidos grasos procedentes de los fosfolípidos presentes en
los quilomicrones y VLDL principalmente.
46
Transporte endógeno y exógeno de los lípidos mediante lipoproteínas
2.METABOLISMO DE LOS ÁCIDOS GRASOS
47
2.1.LIPÓLISIS
Es el mecanismo de movilización de los lípidos que se encuentran almacenados como reservorio de energía. Esta
movilización sucede cuando hay una deficiencia de aporte energético o cuando se ayuna. Estos lípidos acumulados en
forma de triacilglicéridos se encuentran en el citoplasma de las células adiposas. El primer paso pasa su catabolismo,
por medio de la triglicérido lipasa intracelular, que origina como productos los componentes de los triacilglicéridos
(glicerol y tres ácidos grasos). La enzima triglicérido lipasa actúa bajo una estrecha regulación hormonal: el glucagón y
la adrenalina potencian su actividad, favoreciendo la lipolisis al fosforilar a la triglicérido lipasa a través de proteína
quinasa A dependiente de AMPc; mientras que la insulina, al potenciar una fosfatasa que desfosforila la lipoproteína
lipasa, bloquea la lipolisis.
Los ácidos grasos salen del adipocito y se unen en sangre a la albúmina. Está proteína plasmática transporta entre dos y
cuatro moléculas de ácidos grasos. Esos ácidos grasos movilizados transportados por la albúmina llegan hasta los tejidos
que requieren energía (músculo cardiaco, hígado, musculo esquelético…). En estos tejidos , los ácidos grasos serán
oxidados en una vía metabólica denominada, β-oxidación, para producir grandes cantidades de energía.
El glicerol también sale a la sangre, pues en el tejido adiposos no puede metabolizarse; de la sangre va al hígado, donde
se transforma en dihidroxiacetona fosfato, molécula que puede entrar tanto en la glucólisis como en la gluconeogénesis.
2.2. Β-OXIDACIÓN (p.e)
Aquí se producen sucesivas oxidaciones en el carbono β, que van separando fragmentos de dos carbonos en forma de
acetil-CoA, que se incorporará después al ciclo de Krebs. Al mismo tiempo se producen , tanto en la β-oxidación como
en el ciclo de Krebs, coenzimas reducidas que serán reoxidadas en la cadena respiratoria produciendo energía en forma
de ATP. La β-oxidación tiene lugar en la matriz mitocondrial. La oxidación de los ácidos grasos se puede dividir en tres
fases:
• Fase 1→ implica la activación del ácido graso esterificándose con el CoA (coenzima A), dando lugar a acil-
CoA, con la consiguiente liberación de AMP. Esta reacción requiere de mucha energía, tanta que implica la
hidrolisis de ATP a AMP.
• Fase 2→ supone la entrada en la mitocondria del acil-CoA a través de un transporte mediado por carnitina
• Fase 3→ es la β-oxidación propiamente dicha y sucede en la matriz mitocondrial. Es este proceso se degrada
el acil-CoA a moléculas de acetil-CoA, que finalmente entrarán en el ciclo de Krebs produciendo más energía.
En esta fase se producen 4 paso
- Deshidrogenación_ se introduce un doble enlace trans, obteniéndose una molécula con poder reductor
(FADH2 ) y originando una molécula de enoíl-CoA.
- Hidratación_ la molécula de enoíl-CoA se transforma en hidroxiacil- CoA, mediante la incorporación de
una molécula de agua.
- Deshidrogenación_ se oxida la molécula hasta una molécula de cetoactil-CoA, Esta oxidación sirve para
reducir una molécula de NAD+
a NADH+H+
.
- Ruptura tiólica_ catalizada por una tiolasa y con la intervención de una molécula de CoA libre. Se genera
una molécula de acetil-CoA y un acil-CoA (ácido graso activado) que tiene dos carbonos menos que en su
cadena que el original, NADH+H+
y de FADH2. El acetil-CoA se incorporará al ciclo de Krebs, mientras
que el acil-CoA do en dos carbonos, inicia una nueva vuelta en la β-oxidación. El ciclo se repite tantas veces
como sea necesario hasta cortar totalmente la cadena de ácido graso en fragmentos de acetil-CoA de dos
átomos de carbono.
Al final, todos los productos originados en la β-oxidación se aprovechan en la mitocondria para producir más energía.
Por cada vuelta en la β-oxidación, un ácido graso rinde una molécula de NADH+H+
, una molécula de FADH2 y una
molécula de acetil-CoA. Las moléculas de NADH+H+
y de FADH2 entrarán en la cadena transportadora de electrones
48
donde se oxidarán para producir energía en forma de ATP; mientras que las moléculas de acetil-CoA se degradaran en
el ciclo de Krebs, originando GTP y más moléculas de poder reductor que también se usaran para la síntesis de ATP por
la fosforilación oxidativa.
Con la oxidación de ácidos grasos de número impar de átomos de carbono se obtiene menos energía. Se realiza de forma
natural por la β-oxidación hasta llegar a la última vuelta, donde, además de formarse una molécula de acetil-CoA, se
origina un resto terminal de tres átomos de carbono, el propionil-CoA (3C). Entonces se invierte energía para reducir el
propionil-CoA a succinil-CoA, que es un intermediario del ciclo de Krebs.
2.3.BIOSINTESIS DE ÁCIDOS GRASOS
Puesto que la capacidad de los animales para almacenar glucosa es bastante limitada, la ruta biosintética que conduce
desde la glucosa a los ácidos grasos es una vía muy importante. La glucosa ingerida en exceso se puede almacenar en
49
glucógeno, pero también puede convertirse en ácidos grasos y éstos, a su vez en triacilglicéridos que puedan
almacenarse en grandes cantidades en el tejido adiposo.
Para procede a la síntesis de ácidos grasos se requiere disponibilidad de poder reductor, NADPH+H+
, que se obtiene de
la ruta de las pentosas fosfato y de la actuación de la enzima málica. Además, se necesitan suficientes moléculas de
acetil-CoA citoplasmáticas, pues la síntesis de los ácidos grasos tiene lugar en el citoplasma, para lo cual las moléculas
de acetil-CoA tienen que salir de la mitocondria, donde se generan a partir del piruvato. Las moléculas de acetil-CoA
se utilizan para sintetizar malonil-CoA a través de la enzima acetil-CoA carboxilasa, que emplea como cofactor biotina
en un proceso que requiere energía procedente de una molécula de ATP para fijar el átomo de carbono procedente del
CO2. La formación de malonil es una paso clave de regulación, regulación que principalmente tiene lugar a nivel
hormonal, pues es activada por insulina e inhibida por glucagón en hígado y tejido adiposo.
En la formación de los nuevos ácidos grasos interviene la ácido graso sintasa, complejo multienzimático con 7
dominios diferentes que desempeña todas las funciones necesarias para formar un nuevo ácido graso a partir de
moléculas de molonanil-CoA, NADPH+H+
y una molécula de acetil-CoA. La ácido graso sintasa habitualmente va a
sintetizar siempre el mismo ácido graso, el ácido palmítico, que, posteriormente, se transformará en los demás ácidos
grasos que necesite la célula, mediante enzimas de tipo elongasas y desaturasas. El ciclo de la ácido graso sintasa es
muy similar a la β-oxidación, si bien se realiza en sentido contrario y, en vez de usar la CoA como transportador de
ácidos grasos, usa una proteína, la denominada proteína portadora de grupos acilo (ACP).
El balance de la biosíntesis del ácido palmítico, precursor de todos los demás ácidos grasos, sería el siguiente
Una vez formado el ácido palmítico, distintas desaturasas del retículo endoplasmático liso (que son enzimas que
introducen dobles enlaces de forma específica en un determinado carbono) y distintas elongasas (enzimas que
introducen dos átomos de carbono en un ácido graso a partir de acetil-CoA, en la mitocondria, o malonil-CoA, en el
retículo endoplasmático liso) comienzan la transformación del ácido palmítico en los demás ácidos grasos que se
necesitan. Hay que destacar que las elongasas mitocondriales realizan la ruta inversa de la β- oxidación consumiendo
como poder reductor NADPH+H+
, mientras que las elongasas del retículo endoplasmático liso realizan el mismo
mecanismo que la ácido graso sintasa utilizando la CoA como transportador de acilos en vez de la ACP.
50
La biosíntesis de ácidos grasos está regulada, principalmente a nivel hormonal mediante la fosforilación-
desfosforilación:
• La insulina estimula la biosíntesis, pues potencia la actuación de la acetil-CoA carboxilasa favoreciendo una
formar desfosforilada que es la forma activa.
• El glucagón inhibe la biosíntesis, pues provoca la inhibición de la acetil-CoA carboxilasa favoreciendo una
formar fosforilada que es la forma inactiva.
➢ La acetil-CoA carboxilasa también se inhibe mediante una regulación alostérica mediada por malonil-CoA y
palmitoil-CoA, dos factores alostéricos, mientras que la actuación del citrato potencia a la enzima a través de
una regulación alostérica.
2.4.BIOSITENSIS DE LOS LÍPIDOS
2.4.1.Triacilglicéridos
Son la forma de almacenamiento a largo plazo por excelencia de los mamíferos. Su síntesis tiene lugar en el retículo
endoplasmático liso (REL) de células adiposas y hepáticas. Se sintetizan a partir de glicerol (dieta y glucólisis en hígado)
y ácidos grasos de la dieta (directamente o pasando por el hígado). Requiere la formación previa de un fosfolípido
intermediario, que es el ácido fosfatídico, compuesto por dos ácidos grasos, glicerol y un grupo fosfato. El proceso de
síntesis del ácido fosfatídico se puede dividir en diversas etapas.:
• Síntesis de glicerol-3-fosfato
• Activación de los ácidos grasos
• Transferencia de los ácidos grasos activados→ para originar el ácido fosfatídico,
El ácido fosfatídico originado no sólo sirve para la síntesis de triacilglicéridos , sino también para la síntesis de
fosfoglicéridos.
2.4.2.Colesterol
Es un compuesto de gran importancia para las membranas celulares animales y como precursor de hormonas esteroideas.
La síntesis de colesterol tiene lugar en el citoplasma a partir de moléculas de acetil-CoA . Sus fases son:
• Primera etapa: síntesis de los isoprenos activados a partir de acetil-CoA→ Esta fase comienza con un
mecanismo análogo a la síntesis de cuerpos cetónicos, por la que a partir de tres moléculas de acetil-CoA, que
se condensan hasta das mevalonato. El mevalonato es activado hasta dar los isoprenos activados (isopentil-
pirofosfato y dimetilalil-pirofosfato), paso que implica la descarboxilación del grupo ácido del mevalonato y el
gasto de tres moléculas de ATP, dos para la formación del pirofosfato y una tercera para favorecer la
descarboxilación del ácido.
• Segunda etapa: condensación de seis moléculas de isoprenos activados para formar escualeno(C30)→ A
partir de la condensación de una molécula de isopentil-pirofosfato y otra dimetilalil-pirofosfato se origina el
geranilpirofosfato, el cual se condensa, a su vez con otra molécula de isopentil-pirofosfato para dar lugar al
farnesil-pirofosfato. La condensación posterior de dos moléculas de farnesil-pirofosfato genera el escualeno.
• Tercera etapa: ciclación del escualeno a lanosterol (C30) y conversión final a colesterol (C27)→ el escualeno
se cicla y reorganiza para formar lanosterol. El lanosterol se convierte en colesterol mediante un proceso de
múltiples pasos, 19 etapas en total. Hay que destacar que algunas de las reacciones están catalizadas por enzimas
de la superfamilia del citocromo P450, enzimas que son oxidadas de función mixta y tienen un papel muy
importante en la destoxicación de fármacos sobre todo de origen esteroideo.
• Tercera etapa: ciclación del escualeno a lanosterol (C30) y conversión final a colesterol (C27)→ el escualeno
se cicla y reorganiza para formar lanosterol. El lanosterol se convierte en colesterol mediante un proceso de
múltiples pasos, 19 etapas en total. Hay que destacar que algunas de las reacciones están catalizadas por enzimas
51
de la superfamilia del citocromo P450, enzimas que son oxidadas de función mixta y tienen un papel muy
importante en la destoxicación de fármacos sobre todo de origen esteroideo.
52
En los vertebrados, la síntesis de colesterol está controlada principalmente mediante la velocidad a la que el colesterol
entra en las células procedente del torrente sanguíneo. La homeostasis se mantiene mediante un mecanismo que coordina
el consumo de colesterol en el alimento, la síntesis de colesterol endógeno en el hígado y la tasa de utilización de
colesterol por las células. En este mecanismo interviene el receptor de LDL, lipoproteína encargada del transporte de
colesterol en el torrente sanguíneo. Para la asimilación celular de colesterol son necesarios los receptores LDL
(SR-B1) y el transportador ABCA1, que saca de la célula el colesterol en exceso.
En la hipercolesterolemia familiar se acumula colesterol en sangre al no estar el receptor LDL, mientras que en la
enfermedad de Tangier se acumula dentro de la célula al no existir el transportador ABCA1
2.5.CUERPOS CETÓNICOS
Los cuerpos cetónicos (acetoacetato, hidroxibutirato y acetona ) son sustancias que se producen a partir de acetil-CoA
en las mitocondrias del tejido hepático, cuando la velocidad de la β-oxidación supera a la velocidad de oxidación del
acetil-CoA en ciclo de Krebs, por ejemplo, en situaciones de ayuno. Estos compuestos, que se pueden distribuir a través
del sistema circulatorio por todos los tejidos, sirven como fuente de energía para corazón, músculo y otros tejidos. Así,
favorecen un ahorro de glucosa, que es fundamental para otros tejidos que dependen más estrechamente de ésta como
el cerebro y los glóbulos rojos. Si se produce un ayuno prolongado pueden ser utilizados como fuente alternativa a la
glucosa.
En situaciones de ayuno llegan ácidos grasos del tejido adiposo hasta el hígado, los cuales se transforman en moléculas
de acetil-CoA que interaccionan con el oxalacetato para entran en el ciclo de Krebs. Con eso se comienza tanto la
glucogenólisis como la gluconeogénesis, mediadas por el glucagón. En el momento que el glucógeno se acaba y en el
que se consume todo el oxalacetato en la gluconeogénesis, en situaciones de ayuno más prolongado, el acetil-CoA no
entra puede entrar en el ciclo de Krebs. Con esto comienzo la lipolisis, donde el acetil-CoA se condensa en cuerpos
cetónicos. La lipolisis dará lugar a acetil CoA enzima, que, al no haber oxalacetato, no se puede meter en el ciclo de
Krebs, por lo que se convertirá en cuerpos cetónicos. Estos cuerpos cetónicos se exportarán a otros órganos, sobre todo
al cerebro. En el cerebro y otros órganos se descondensan los cuerpos cetónicos a acetil-CoA ,que entra en mitocondria
y al ciclo de Krebs
53
2.5.1.Cetogénesis
2.5.2.Utilización de los cuerpos cetónicos
Los cuerpos cetónicos son asimilados por los tejidos extrahepáticos se utilizan para producir moléculas de acetil-CoA
que serán degradas en el ciclo de Krebs. El hidroxibutirato se oxida a acetoacetato, originando NADH+H+
que será
utilizado para producir ATP mediante la fosforilación oxidativa en la cadena trasportadora de electrones. El acetoacetato
se unirá a CoA formando, gracias a la enzima cetoacil-CoA transferasa, una molécula de acetoacetil-CoA. La escisión
del acetoacetil-CoA por una tiolasa dará lugar a dos moléculas de acetil-CoA que se degradan posteriormente en el ciclo
de los ácidos tricarboxílicos , generando una gran cantidad de energía.
El usos de cuerpos cetónicos depende de las fluctuaciones de los niveles de glucosa en sangre. Así, después de las
comidas, cuando la cantidad de glucosa es elevada, todos los tejidos usan glucosa como fuente principal de glucosa. En
este momento el hígado aprovecha para almacenar glucosa en forma de glucógeno. Cuando los niveles empiezan a
El proceso de la creación de los cuerpos
cetónicos se conoce como cetogénesis.
Básicamente consiste en la condensación de
dos moléculas de acetil-CoA por acción de
una tiolasa, formando el acetatoacetil-CoA.
Posteriormente se fusiona una nueva
molécula de acetil-CoA, gracias a la acción
de la enzima hidroximetilglutaril-CoA
sintasa, originado el hidroximetilglutaril-
CoA . Este compuesto sirve para al síntesis
de los cuerpos cetónicos y también se utiliza
para la biosíntesis de colesterol. El
hidroximetilglutaril-CoA se esciente en
acetil-CoA y en acetoacetato, el primer
cuerpo cetónico, por acción de la
hidroximetilglutaril-CoA liasa. El
acetoacetato es el precursor de los demás
cuerpos cetónicos que del organismo.
• Por reducción se origina el
hidroxibutirato, en una reacción
catalizada por la hidroxibutirato
deshidrogenasa.
• Por descarboxilación del
acetoacetato se forma la cetona (si
bien este paso puede ser catalizado
enzimáticamente, suele ocurrir de
forma espontánea y de forma no
deseada). La descarboxilación
implica la pérdida de un átomo de
carbono, de manera que el acetona
pierde capacidad energética y va a
rendir menos ATP que el resto de
los cuerpos cetónicos.
Posteriormente estos compuestos salen de la
mitocondria y atraviesan la célula hepática
hasta llegar a la sangre, que se encarga de
distribuirlos por todo el organismo.
54
descender, el hígado intenta mantener los niveles de glucosa liberando las reservas procedentes del glucógeno, así como
generando nuevas moléculas a través de la gluconeogénesis. A su vez, ciertos tejidos como el músculo esquelético y
cardiaco comienzan a usar como principal fuente de energía los ácidos grasos procedentes de la lipólisis del tejido
adiposo. Estos ácidos grasos también los emplea el hígado para la β- oxidación, obtener gran cantidad de moléculas ce
acetil-CoA y con ellas generar los cuerpos cetónicos, que sirven como fuente de energía a diversos tejidos,
principalmente al muscular. Cuando el proceso de ayuno es muy prolongado y se agotan las reservas de glucosa, la gran
mayoría de los tejidos pasan a alimentarse de cuerpos cetónicos, incluso el cerebro. La glucosa que queda es reservada
casi exclusivamente para los glóbulos rojos. Además, el hígado sigue generando pequeñas cantidades de glucosa por
gluconeogénesis a partir del glicerol procedente de la lipólisis, pero también a partir de la degradación de aminoácidos
o del ácido latico. Así seguirán abasteciendo a los eritrocitos de glucosa.
Un incremento importante de los niveles de cuerpos cetónicos en sangre puede originar lo que se conoce como
cetoacidosis , un trastorno graves que puede poner en riesgo la vida. La cetoacidosis más conocida es la diabética, que
es una forma severa y específica de acidosis metabólica, que se genera por una deficiencia de insulina y se agrava por
el glucagón y el cortisol.
2.6.RESUMEN METABOLISMO CARBOHIDRATOS (síntesis de ácidos grasos, almacenamiento grasas y β-
oxidación)
55
En la síntesis de ácidos grasos de los hepatocitos el citrato de la acetil-CoA, procedente de la β-oxidación, forma
acetil-CoA. Este acetil-CoA , por acción de la acetil-CoA carboxilasa, se transforma en malonil-CoA. Entonces la
malonil-CoA, por acción de la ácido graso sintasa, origina acido palmítico. A partir del ácido palmítico se originan el
resto de los ácidos grasos. En el almacenamiento de grasa los ácidos grasos sintetizados se transformarán en
triglicéridos endógenos. Los triacilglicéridos se transportarán por los VLDL a los adipocitos donde la lipoproteína lipasa
los degradará a ácidos grasos y glicerol. Posteriormente estos productos se almacenan en forma de triacilglicéridos.
Cuando se requiere energía procedente de los almacenes a largo plazo, los triacilglicéridos de los adipocitos se
transforman en ácidos grasos libres, los cuales van al torrente sanguíneo. Aquí la albumina, proteína transportadora, los
lleva de vuelta al hepatocito. En el hepatocito se inicia la β- oxidación. Entonces los ácidos grasos se activan dando
lugar a acil-CoA. La acil-CoA entra a la mitocondria por un transporte mediado por la carnitina. En la mitocondria la
acil-CoA se transforma en acetil-CoA, la cual se aprovecha en el ciclo de Krebs para producir energía. La acetil-CoA
también se puede convertir en citrato para iniciar la β-oxidación.
3. METABOLISMO DE PROTEÍNAS
Los aminoácidos no se almacenan como tal y se utilizan para sintetizar. Para ellos los aminoácidos deben sintetizarse a
demanda o ingerirse. Los aminoácidos pueden proceder de las proteínas (vegetales o animales) que ingerimos de la dieta
o a través se la síntesis de nuevos aminoácidos recogido de las proteínas endógenas recicladas. Las proteínas no tienen
un rendimiento energético significativo, se consumen porque son esenciales para la vida.
3.1.DEGRADACION DE PROTEÍNAS
La degradación de las proteínas debe estudiarse fundamentalmente a dos niveles dependiendo de la localización del
proceso:
• En el tracto digestivo, donde se procesan las proteínas exógenas o ingeridas de la dieta; es la denominada
digestión de proteínas. Este proceso digestivo permite obtener los aminoácidos en forma libre, necesarios para
sintetizar las proteínas propias, así como otras biomoléculas que se forman a partir de ellos.
• En el interior de la célula, donde se procesan las proteínas endógenas, lo que se suele conocer bajo la de
denominación de recambio proteico. Este recambio proteico es de gran utilidad para reciclar los aminoácidos
de las proteínas que ya no son útiles para el organismo y generar nuevas proteínas u otras biomoléculas a partir
de ellos. Además, también sirve para la eliminación de aminoácidos dañados.
3.1.1.Digestión de proteínas
La digestión de proteínas exógenas en el tracto digestivo tiene un papel clave para generar aminoácidos libres, En el ser
humano, existen aminoácidos que solo pueden conseguirse de la dieta, ya que el propio organismo no logra sintetizarlos
por sí mismo. Estos aminoácidos se denominan esenciales y son: isoleucina (Ilu), leucina(Leu), lisina (Lys), metionina
(Met), fenilalanina (Phe), treonina (Thr), triptófano (Trp), valina (Val) e hidistidina (His).
El procesos digestivo de las proteínas de la dieta se ve favorecido por la desnaturalización de las mimas en el estómago,
gracias al pH ácido del estómago provocado por la presencia de HCL. Una vez desnaturalizada la proteína comienza la
hidrolisis proteica, mediante la rotura de enlace peptídico, hasta dar péptidos, dipéptidos y aminoácidos libres.
3.1.2.Recambio proteico
Hace referencia a la degradación intracelular de las proteínas, con la finalidad de reciclar o degradas los aminoácidos
de estas. Esta proteólisis puede darse en los lisosomas o en el citoplasma.
• Proteólisis lisosómica→ tiene lugar en los lisosomas. Aquí la digestión puede ser autofágica (se procesan
proteínas intracelulares como receptores hormonales o proteínas de membrana) o heterofágica (se actúa sobre
proteínas extracelulares capturadas por endocitosis como en el caso de las LDL).
• Proteólisis citoplasmática→ esta degradación de proteínas tiene lugar bien a partir de proteasas dependientes
de Ca2+
o bien mediante una estructura denominada proteosoma. El proteosoma es una complejo
multienzimático con diversas actividades catalíticas; presenta una estructura con aspecto de barril en el cual
56
solo entran y se dirigen las proteínas que han sido previamente marcadas por la unión de pequeñas moléculas
de ubiquitina.
3.2.DEGRADACION DE AMINOÁCIDOS
En el proceso de degradación de los aminoácidos hay dos partes claramente diferenciadas:
• La primera la determina el grupo amino, que debe ser eliminado de la estructura del aminoácido y transportado
de forma segura hasta su eliminación del organismo. La correcta eliminación del grupo amino es muy
importante, pues es relativamente fácil que dicho compuesto acabe formando amoniaco en el organismo,
compuesto muy tóxico. El grupo amino debe entrar al ciclo de la urea donde se consume ATP para transformarlo
en urea. El organismo no suele catabolizar el grupo amino debido a su bajo rendimiento energético y por la
facilidad que tiene de formar NH3.
• La segunda implica la eliminación o aprovechamiento del resto del aminoácido, es decir, el esqueleto
carbonatado, que puede entrar al ciclo de Krebs a diferentes niveles en función de su naturaleza, o puede
utilizarse para biosíntesis
4.METABOLISMO DE LOS ÁCIDOS NUCLEICOS
Los nucleótidos son compuestos formados por un grupo fosfato, un azúcar y una base nitrogenada. Estos compuestos
son de gran importancia como sillares para la formación de ácidos nucleicos, moléculas imprescindibles para el
almacenamiento y transmisión de la información genética de un organismo. Los nucleótidos, además, desempeñan otros
muchos papeles vitales para las células: como mensajeros secundarios (AMPc), con trasportadores de energía (ATP),
como trasportadores de ácidos grasos (coenzima A) y como coenzimas (FAD)
Tanto para la síntesis de los desoxirribonucleótidos como para los ribonucleótidos existen dos vías complementarias de
síntesis:
• Rutas de salvamiento→ están ligadas a las vías de degradación de los nucleótidos, de las que se utilizan
productos intermediarios para la síntesis de nuevos nucleótidos.
• Síntesis de novo→ ruta que requiere la ribosa-5-P, procedente de la ruta de las pentosas.
4.1.SINTESIS DE NOVO
La síntesis de nuevos nucleótidos de purina, que son el AMP (adenosina-5-monofosfato ) y el GMP (guanosina-5´-
monofosfato), consta de dos partes. El proceso consta de dos partes:
• Una parte común→ aquí el proceso de inicia en presencia de la ribosa-5-P,PRPP, y los aminoácidos (Gly),
glutamina (Gln) y aspartato (Asp), necesarios para construir el núcleo de purina. Esta parte común comienza
cuando la ribosa-5-P se fosforila a PRPP (fosforribosilpirofosfato) a expensas de ATP para formar IMP o ácido
inosínico (ionosina-5’-monofosfato). Sobre este intermediario comienza a montarse la base nitrogenada.
• Una parte ramificada→ a partir de IMP, en el que se obtiene los nucleótidos de AMP o GMP, por pasos
distintos. Una vez obtenidos el AMP y GMP se pueden sintetizar el resto de los nucleótidos de purina, incluidos
los desoxirribonucleótidos, a partir de más glutamina (Gln) y aspartato (Asp). En este ciclo también se aprecia
como la HPRT (hipoxantina fosforribosiltransferasa) es capaz de crear GMP a partir de guanina e IMP, a partir
de hipoxantina.
En la síntesis de nuevos nucleótidos de pirimidina se sintetiza primero la base nitrogenada conocida como ácido orótico
u orotato, a partir de aspartato (Asp) y carbamoíl-P (el cual se sintetiza a partir de CO2 y del grupo amino de la
glutamina). Una vez formado el ácido orótico , éste se une al PRPP para sintetizar el nuevo nucleótido: la orotidina-5’-
monofosfato o orotidilato (OMP), el cual, por descarboxilación, forma el primero de los nucleótidos de pirimidina: la
uridina-5’-monofosfato (UMP). A partir del UMP, y mediante enzimas específicas, se obtienen los demás nucleótidos
57
como la citosina-5’-monofosfato (CMP) y los desoxirribonucleótidos como, por ejemplo , la desoxitimidina-5´-
monofosfato (TMP).
La diferencia entre la síntesis de purinas y la de pirimidinas es que:
• En las purinas, el anillo de la base nitrogenada se forma sobre el azúcar (ribosa-P) ya unido, originándose el
nucleótido directamente.
• En las pirimidinas, se forma primero la base nitrogenada y posteriormente se une al azúcar fosforilado dando
el nucleótido.
4.2. REGULACIÓN Y DEGRADACIÓN DE ÁCIDOS NUCLEICOS
En cuando a la regulación:
• En el caso de las purinas, cuando los nucleótidos finales de la síntesis de novo (AMP y GMP) están en elevadas
concentraciones, inhiben alostéricamente la enzima la PRPP amidotransfersa.
• Para las pirimidinas, en procariotas sólo un producto final realiza el “feed-back” negativo al principio de la ruta,
mientras que en eucariotas es más parecida a la de purinas.
En cuanto a la degradación, los nucleótidos de purina sufren por una eliminación secuencial que produce ácido úrico
como producto final del catabolismo en humanos:
• La AMP presenta dos vías distintas de degradación dependiendo del tejido:
- La ruta general_ que ocurre en la mayoría de los tejidos. Aquí una nucleótidos libera el grupo fosfato y se
forma un nucleósido de adenosina que sufrirá una desaminación, transformándose en inosina.
- Tejido muscular_ se realiza primero la desaminación, pasando a IMP, que sufrirá una desfosforilación para
obtener inosina.
➢ La inosina, punto de confluencia de ambas vías, perderá el azúcar fosfato (la ribosa) pasando a
hipoxantina que, tras una oxidación originarán xantina, y tras una segunda oxidación dará ácido úrico.
• La GMP se desfosforila pasando a guanosina; ésta pierde el azúcar, y da guanina que se desamina originando
xantina. La xantina es un punto común en la degradación tanto del AMP como del GMP y se oxidará formando
58
ácido úrico, el cual se elimina por orina. El GMP también se puede desaminar, pasando a IMP, que sufrirá una
desfosforilación para obtener inosina.
La degradación de los nucleótidos de pirimidina es más sencilla: origina dilhidrouracilo que, por una serie de
reacciones, se transformará en β- alanina, producto que se emplea como precursor de la biosíntesis de la Coenzima A
La degradación de nucleótidos tanto de pirimidina como de purina tienen dos aspectos en común:
• Se interconvierten entre ellas y no se obtiene ATP y si NH3
• Los esqueletos pueden recuperar algún intermediario y el NH3 entra en el ciclo de la urea
• Por los mismos motivos que en los aminoácidos, el organismo prefiere no catabolizar ácidos nucleicos por su
bajo contenido energético.
5.INTEGRACIÓN METABOLISMO
59
Tejido Combustible almacenado Combustible preferido Combustibles desechados
Cerebro Ninguno Glucosa y cuerpos
cetónicos en iniciación
Ninguno
Músculo esquelético
(reposos)
Glucógeno Ácidos grasos Ninguno
Músculo esquelético
(ejercicio)
Ninguno Glucosa y proteína en
inanición
Lactato (por fermentación)
y alanina (`por degradación
proteína)
Músculo cardiaco Ninguno Ácidos grasos, glucosa,
lactato y cuerpos cetónicos
Ninguno
Tejido adiposo Triacilglicéridos Ácidos grasos Ácidos grasos y glicerol
Hígado Glucógeno y
triacilglicéridos
Aminoácidos glucosa y
ácidos grasos
Ácidos graspos, glucosa y
cuerpos cetónicos
• El cerebro y el corazón están fuera de control hormonal y siempre consumen combustible.
• El tejido adiposo almacena grasas.
• El tejido muscular e hígado consumen y almacenan
• En la sangre no pueden obtenerse intermediarios, por lo que si se requieren se ha de pasar primero por el hígado.
Tejido Insulina Glucagón Adrenalina
Muscular Glucogenogénesis Nada Glucogenólisis
Adiposo Lipogénesis Lipólisis Lipólisis
Hepático Glcogenogénesis
Glucólisis
Lipogénesis
Biosíntesis
Glucogenólisis
Gluconeogénesis
Glucogenólisis
Gluconeogénesis
Con glucagón se moviliza la grasa del tejido adiposo
(ayuno prolongado) y en el hígado se realiza la β-
oxidación y producción de cuerpos cetónicos debido a
que el ciclo de krebs está bloqueado por la
gluconeogénesis.
60
5.1. BIOQUÍMICA DEL EJERCICIO
En el ejercicio intenso adecuado y con O2 el musculo consume glucógeno y posteriormente grasa. Sin embargo, si se
realiza sin calentamiento la demanda de O2 es mayor que el que llega y se da fermentación., produciendo lactato.
Entonces el lactato pasa al torren sanguíneo y de ahí al hígado. En el hígado a partir del lactato se produce la
gluconeogénesis para así exportar glucosa nuevamente al músculo. Este procesos se conoce como ciclo de Cori. El
balance energético del ciclo de Cori es negativo, pero al darse en tejidos diferentes tiene significado fisiológico
61
En estado de reposo (dibujo de arriba). El páncreas segrega insulina, la cual:
• En el tejido adiposo favorece la biosíntesis de ácidos graso y de triacilglicéridos (lipogénesis). La glucosa
excedente se convierte en ácidos grasos y posteriormente se almacenan en forma de triacilglicéridos.
• En el músculo la favorece la síntesis de glucógeno a partir de la glucosa excedente.
• En el hígado estimula tanto la lipogénesis como la síntesis de glucógeno a partir de la glucosa excedente.
En estado de ejercicio intenso (dibujo abajo) actúan tanto el páncreas como las glándulas adrenales. El páncreas segrega
glucagón, el cual:
• En el tejido adiposo estimula la lipolisis de los triacilglicéridos para dar lugar a ácidos grasos.
• En el hígado favorece la glucogenólisis y la gluconeogénesis para dar lugar a glucosa.
Las glándulas adrenales segregan adrenalina:
• En el tejido adiposo estimula la lipólisis de los triacilglicéridos para dar lugar a ácidos grasos.
• En el hígado estimula la glucogenólisis y la gluconeogénesis para dar lugar a glucosa.
• En el músculo favorece la glucogenólisis para dar lugar a glucosa.
62
AYUNO TEMPRANO
AYUNO PROLONGADO

Apuntes bioquimica pdf

  • 1.
    1 TEMA 1: LAQUÍMICA DE LA VIDA I 1. AGUA Y SOLUTOS El agua es el medio líquido fundamental en el que se va a desarrollar la mayor parte de las reacciones químicas de la célula, por lo que es el principal disolvente biológico. La molécula de agua presenta la característica química de comportarse como un dipolo: el átomo de O, con una carga negativa, y los dos átomos de H como una carga principal positiva. La distribución de las cargas y la geometría de la molécula posibilitan la gran interacción entre una molécula y sus vecinas. Las interacciones débiles que establece una molécula de agua con las de alrededor se realizan mediante puentes de hidrogeno. Este tipo de enlace débil del agua, el cual explica su carácter líquido, es vital para tanto para disolver muchas moléculas orgánicas en este medio como para el plegamiento de macromoléculas (ácidos nucleicos y proteínas). Las características más destacables del agua son: • Disolvente biológico_ es un buen disolvente para moléculas polares y solutos cargados. No obstante, los compuestos no polares se disuelven mal en agua y en contacto con ella forman micelas • Función metabólica • Función estructural • Función mecánica • Función transportadora • Función termorreguladora • Permite la vida en climas fríos • Disuelve sales cristalinas hidratando sus iones En los organismos, la concentración salina tiende a mantenerse constante. Las relaciones con un medio hipo o hipertónico provocan movimientos hídricos entre la célula y el medio llamados osmosis. El plasma sanguíneo es isotónico con una disolución de NaCl 0.9%. Habitualmente se habla de pronto (H+ ) como el catión disociado en una molécula de agua: Sin embargo, en la naturaleza el protón se encuentra asociado a otra molécula formando un ion hidronio: BIOQUÍMICA
  • 2.
    2 Por tanto, elnúmero de protones va a ser igual al número de iones hidronio (véase en la tabla) El pH de una disolución es una medida de concentración de los protones; como los protones reaccionan con el agua para dar iones hidronio, se puede considerar el pH como la concentración de esta última especie química. Debido a que el pH solo es una manera de expresar la concentración del ion hidronio, las disoluciones acidas y básicas a una temperatura de 25 grados, pueden identificarse por los siguientes valores de pH: [H+] pH= - log [H+] Disoluciones neutras 10-7 M 7 Disoluciones ácidas >10-7 M <7 (menor que 7) Disoluciones básicas <10-7 M >7 (mayor que 7) ❖ El pH de los fluidos corporales es 6.5 - 8 Ciertos grupos funcionales presentes en las moléculas biológicas pueden comportarse como ácidos o bases débiles. Por ello su estado de ionización dependerá de la concentración de protones del medio. Si se tiene en cuenta que la mayoría de las enzimas van a presentar este tipo de grupos ionizables en su centro activo, se comprenderá el importante papel que puede jugar una pequeña fluctuación del pH celular. Por ejemplo, si el grupo amino de una enzima presenta carga positiva a un pH 7, un ligero aumento del pH puede forzar a que el H+ del grupo amino sea cedido al medio y, por lo tanto, pierda esa carga. Con la carga perdida la enzima dejará de funcionar. Tanto en el medio intracelular como en el extracelular, será por tanto imprescindible una regulación del pH para que las moléculas puedan operar de manera óptima. Los tampones sistemas acuosos que tienden a amortiguar los cambios que se producen en el pH, cuando se añaden pequeñas cantidades de ácido (H+ ) o de base (OH- ). Estos sistemas de tampón están constituidos por un ácido débil y su base conjugada, o bien por una base débil y su ácido conjugado. Cuando la concentración de ambas especies es similar, entonces el sistema tiene una capacidad amortiguadora. En esta situación, cualquier aumento de la concentración de H+ podrá ser absorbida por la base conjugada, y si se incrementa la concentración de OH- , será el ácido débil del sistema tampón quien ceda un portón al medio que neutralice el ion hidroxilo. Según la ecuación de Henderson cuando el valor de pH de la solución es igual al pKa del sistema, entonces las concentraciones de las dos especies que definen el sistema de tapón serán iguales. Por lo tanto, en la célula aquellas sustancias que tengan un pKa próximo a 7 (pH fisiológico) serán buenos tampones. El principal tampón biológico intracelular es el tampón fosfato, que presenta un pKa de 6,86 de manera que es capaz de resistir los cambios de pH entre 5,9 y 7,9.
  • 3.
    3 El principal tampónsanguíneo es el tampón bicarbonato, compuesto por el ácido débil carbónico y la base conjugada del bicarbonato. El pKa del tampón bicarbonato es de 6,14 La similitud de estas constantes con el pH de la sangre hace interesantes a estos sistemas tampón para amortiguar el pH de la sangre como consecuencia de las variaciones debidas al metabolismo. 2.CARBOHIDRATOS Los glúcidos, tradicionalmente conocidos como hidratos de carbono, son biomoléculas orgánicas constituidos por C, H y O, con la siguiente formula general (CH2O) n. Los glúcidos se clasifican según su grado de complejidad: 1. Los monosacáridos u osas son monómeros, no se pueden descomponer en otros compuestos más sencillos. Son una fuente de energía inmediata. 2. Los ósidos son azucares complejos que al hidrolizarse liberan monosacáridos. Están formados por un numero variable de monosacáridos unidos por enlaces covalentes. A su vez hay dos tipos de ósidos: I. Holósidos, formados solo por monosacáridos: ➢ Oligosacáridos. Uniones de dos a diez osas. ➢ Polisacáridos. Uniones de más de diez osas que a su vez pueden ser: o Homopolisacáridos: Todos los monosacáridos son iguales. o Heteropolisacárido: Unión de más de un tipo de monosacáridos. II. Heterósidos son moléculas muy diversas que están formados por una parte glucídica más una parte no glucídica o aglucón. Según la naturaleza del aglucón, se distinguen: ➢ Glucolípidos. Unión de un glúcido con un lípido. ➢ Glucoproteínas. Unión de un glúcido con una proteína 2.1. MONOSACÁRIDOS Y FUNCIÓN BIOLÓGICA Los monosacáridos son los azucares más simples. La principal característica de los monosacáridos es que responden a la formula (CH2O) n, encontrándose n en un rango de 3 a 7. Química los monosacáridos son polihidroxialdehidos o polihidroxicetonas, es decir moléculas con esqueleto carbonado simple. Su clasificación se basa atendiendo al grupo funcional carbonilo (C=O), que puede ser un aldehído (aldosas) en el carbono 1 o un grupo cetona (cetosas) en el carbono 2, así como al número de átomos de carbonos (triosas, tetrosas, pentosas…). Así tendremos aldotriosas/cetotriosas; aldopentosas/ cetopentosas; aldoheptosas/cetoheptosas, etc. La glucosa es el monosacárido más importante, pues juega un papel central en el metabolismo celular. Otras aldohexosas importantes son la galactosa y la manosa. Entre las cetohexosas la más abundante es la fructosa. También dentro de las aldopentosas se encuentran moléculas de enorme interese biológico, como la ribosa, por formar parte de importantes nucleótidos (como el ATP) y de los ácidos ribonucleicos. La ribosa y la desoxirribosa son dos monosacáridos con función estructural a nivel molecular pues forman parte del ARN y del ADN, respectivamente. Otra característica destacada de los monosacáridos es el poder reductor. La presencia del grupo carbonílico (C=O) que aparece en el grupo aldehído o cetónico les confiere poder reductor frente a determinadas sustancias, ya que este grupo carbonilo se puede oxidar a un grupo carboxilo (COOH).
  • 4.
    4 2.2. DISACÁRIDOS YFUNCIÓN BIOLÓGICA La unión de dos monosacáridos da lugar a los disacáridos. Esta unión se produce mediante enlaces covalentes, concretamente por medio de un enlace O-glucosídico, al unirse dos grupos hidroxilos de los monosacáridos, siempre con desprendimiento de una molécula de agua. El enlace O-glucosídico se puede romper por hidrolisis. Hay dos tipos de enlaces O-glucosídicos, en función de la posición (arriba o abajo) del grupo hidroxilo del carbono anomérico (C-1 en aldosas y C-2 en cetonas) del primer monosacárido: • Las uniones en α, que los enzimas los rompen fácilmente, y son propios de disacáridos con función energética. • Las uniones en β, que hay pocos enzimas que los rompen, son enlaces más rígidos y resistentes. Aparecen en moléculas con funciones estructurales. Otra forma de clasificar los disacáridos es por el tipo de unión que se produce: • Enlace monocarbonílico: Interviene un carbono anomérico de la primera osa y un carbono no anomérico cualquiera de la otra osa. Como un carbono anomérico queda libre, se mantiene el poder reductor. • Enlace dicarbonílico: Intervienen los dos carbonos anoméricos de las osas. Como ningún carbono anomérico queda libre, se pierde el poder reductor.
  • 5.
    5 El simple hechode que la unió fije un tipo de anómero α o β, producirá un disacárido diferente, con diferentes características bioquímicas. Por ejemplo, la unión de dos moléculas de D-glucosa mediante enlaces (α1→4), produce el disacárido maltosa, pero si la unión es (β1→4) se produce celobiosa. Ambos son disacáridos que se obtienen como productos de degradación de polisacáridos, la maltosa del almidón y la celobiosa de la celulosa. Los humanos podemos digerir con facilidad la maltosa, ya que tenemos enzimas que hidrolizan este tipo de enances (α1→4), sin embargo, no somos capaces de digerir la celobiosa, pues carecemos de enzimas hidrolíticas que rompan enlaces (β1→4). También son importantes los disacáridos formados por unidades monosacáridos diferentes, como son la lactosa y la sacarosa. La lactosa, o azúcar de leche, está formada por uniones (β1→4) entre galactosa y glucosa, aportando la galactosa el carbono anomérico y quedando libre el carbono anomérico de la glucosa. Es, por lo tanto, un azúcar reductor, como la malaltosa y la celobiosa, pues en estos casos se ha formado un enlace monocarbonílico. El disacárido más abundante es la sacarosa, formada por la unión entre la galactosa y fructosa mediante enlace (α1→β2), es decir ambos azúcares aportan al enlace carbonos anoméricos, formando un enlace dicarbonílico, quedando como consecuencia el disacárido sin poder reductor. Nuestro intestino no puede digerir la lactosa entera, por ello la lactasa intestinal descompone la lactosa en glucosa y galactosa, los cuales son más fáciles de digerir. La intolerancia a la lactosa se produce por la falta de lactasa intestinal en mamíferos, después de la infancia. Puede aparecer a los 5 años en europeos y a los 2 en asiáticos y africanos. La leche sin lactosa lo que en realidad tiene es la enzima lactasa, lo que permite digerir la lactosa descomponiéndola. 2.3. POLISACÁRIDOS Y FUNCIÓN BIOLÓGICA Los polímeros de glucosa con enlaces tipo α son la reserva energética del organismo. La principal manera que tienen los organismos de almacenar la glucosa cuando no la necesitan es crean grandes polímeros, que se acumulan en forma de gránulos en el interior de las células. Las plantas la almacenan en forma de almidón y los animales en forma de glucógeno
  • 6.
    6 • El glucógenoestá altamente ramificado, con glucosas unidas por enlaces (α1→4) con ramificaciones mediante enlaces (α1→6). Se disponen hasta en 12 capas concéntricas de ramificación. Esto hace que sea más compacto que el almidón. Se almacena principalmente en el musculo y en el hígado • El almidón de las plantas es similar al glucógeno, aunque menos ramificado. Está formado por dos polímeros, la amilosa y la amilopectina. La amilosa es un polímero lineal de glucosas unidas por enlaces (α1→4), mientas que la amilopectina es un polímero ramificado de glucosas unidas también por enlaces (α1→4) donde se disponen de 24-30 capas concéntricas de ramificación. Las pareces celulares están formadas por disacáridos con uniones tipo β y tienen función estructural : • Celulosa_ forma la pared de las células vegetales. Son polímeros lineales de glucosas unidas por enlaces (β1→4). • Quitina_ forma el exoesqueleto de los artrópodos (insectos y crustáceos). Al igual que la celulosa, es un polímero lineal de glucosa unido unidas por enlaces (β1→4), pero difiere en que la glucosa está N-acetilada en el carbono 2. 3.LÍPIDOS Los lípidos tienen más funciones biológicas que los hidratos de carbono, aunque las principales también son de reserva energética y estructural. Son biomoléculas orgánicas con largas cadenas hidrocarbonadas que incluyen sustancias muy diferentes. Químicamente los lípidos están constituidos por C, H y O (igual que glúcidos) y en múltiples ocasiones también P y N. A diferencia de los glúcidos, la cantidad de O en estos compuestos es muy inferior en proporción a la cantidad de C e H, circunstancia que determina sus propiedades (insolubilidad o poca solubilidad en agua) y la diferencia de otros compuestos orgánicos. Una de las principales características que comparten todos los lípidos es que son escasamente solubles en agua y son solubles en disolventes apolares orgánicos (éter, cloroformo, o benceno). Esto es debido a que su estructura química es fundamentalmente hidrocarbonada, con gran cantidad de enlaces C-H y C-C. El agua, al ser una molécula polar que tiene facilidad para formar puentes de hidrogeno (N-H, O-H, F-H), no es capaz de interaccionar con estas moléculas. En presencia de moléculas lipídicas, el agua adopta en torno a ellas una estructura muy ordenada que maximiza las interacciones entre las propias moléculas de agua, de modo que las moléculas lipídicas se unen entre sí para evitar lo máximo posible el contacto con el agua y reducen su movilidad. En consecuencia, los lípidos no se disuelven en agua, son muy ligeros y menos densos que el agua y flotan sobre ella. La unión de unas moléculas lipídicas con otras se realiza mediante fuerzas de Van der Waals, que son interacciones hidrófobas entre grupos –CH2- de sus cadenas hidrocarbonadas. Estos mismos enlaces sirven para que se unan también a otras moléculas hidrófobas (sustancias apolares), y por tanto se pueden disolver en ellas. Algunos lípidos pueden estar formados por ácidos grasos. Los ácidos grasos son ácidos carboxílicos de cadena lineal larga, cuya formula general es CH3-(CH2) n-COOH, siendo n un numero par. Algunos se pueden sintetizar y los esenciales debemos ingerirlos en la dieta. Son fundamentales para los lípidos estructurales y de reserva. Hay dos tipos de ácidos grasos: • Saturados_ no contienen dobles enlaces en su cadena hidrocarbonada, tienen temperaturas de fusión elevadas, por eso son sólidos a temperatura ambiente • Insaturados_ presentan uno o más dobles enlaces en su cadena hidrocarbonada, siendo monoinsaturados y poliinsaturados respectivamente. Su temperatura de fusión es más baja por lo que suelen ser líquidos a temperatura ambiente y son abundantes en sustancias grasas de origen vegetal. Los ácidos grasos no son totalmente insolubles en agua, son moléculas anfipáticas, que significa que en su estructura molecular hay una parte polar hidrófila y otra apolar hidrófoba. La zona polar hidrófilo se corresponde con el grupo carboxilo (-COOH), es la parte llamada cabeza, que puede establecer enlaces intermoleculares por puente de H con el agua u otras moléculas polares. La zona apolar hidrófoba es la cadena hidrocarbonada más o menos larga, llamada cola, que es atraída débilmente, por fuerzas de Van der Waals, por otras cadenas hidrocarbonadas de ácidos grasos adyacentes. La insolubilidad en agua aumenta con la longitud de la cadena debido a que la parte apolar y la cantidad de enlaces por fuerzas de Van der Waals que se establecen son mayores. Los ácidos grasos de 4 o 6 carbonos son solubles en agua, ya que el grupo carboxilo es polar (soluble en agua), pero a partir de 8 carbonos son prácticamente insolubles en agua.
  • 7.
    7 Tengan o noácidos grasos los lípidos se clasifican en: 1. Lípidos saponificlaes_contienen en su molécula ácidos grasos, reciben este nombre porque al tener ácidos grasos puedan dar lugar a jabones. A su vez hay dos tipos: I. Saponificables simples_ están formados únicamente por C, H y O. Ejemplos: grasas o triacilglicéridos (acilglicéridos) y las ceras. II. Saponificables complejos_ cuando además de por el C, H y O contienen otros bioelementos como el P, o moléculas no lipídicas, tipo glúcidos. Los fosfolípidos o fosfoglicéridos y los esfingolípidos 2. Los lípidos insaponificables, no contienen ácidos grasos y por tanto no pueden formar jabones. La unidad teórica es el isopreno, el cual se polimeriza y en muchas ocasiones se cicla formando moléculas de interés biológico. En este grupo se incluyen los terpenos o isoprenoides y los esteroides (colesterol, hormonas y sales binarias.). Por tanto, entre las funciones de los lípidos destacan: - Estructural, dado que los lípidos son los componentes fundamentales de las membranas celulares. Entre los lípidos de membrana se encuentran fosfolípidos, esfingolípidos y colesterol. - Energética, pues algunos lípidos, como los acilglicéridos, son eficientes reservas de energía. Los lípidos se almacenan deshidratados, ocupando menos volumen y aportando más los glúcidos. - Biocatalizadora, cuando posibilitan o favorecen reacciones químicas que se producen en los seres vivos. Cumplen esta función las prostaglandinas, vitaminas y hormonas. Las vitaminas A, D, E y K son lípidos al igual que algunas hormonas, como las adrenocorticales y las sexuales (testosterona, estrógeno y progesterona). - Ceras_ ácido graso de cadena larga y un alcohol también de cadena larga. Muy apolares. Función protectora en hojas, plumas, piel y frutos. Se emplean mucho en cosmética y perfumería. - Triglicéridos/ triacilglicéridos/ triacilgliceroles_ funcionan como almacén de energía en las células, construyendo reservas de energía mucho más duraderas que los hidratos de carbono. - Grasa_ principal reserva energética. - Esfingolípidos_ componente de las membranas biológicas especializadas. - Fosfolípidos_ principal componente de membranas biológicas. - Colesterol para regular la fluidez de las membranas biológicas - Hormonas como testosterona y prostaglandinas - Sales biliares para emulsionar la grasa en las primeras etapas de la digestión
  • 8.
    8 TEMA 2: LAQUÍMICA DE LA VIDA II 1.AMINOÁCIDOS Y ENLACE PETÍDICO Los aminoácidos son los componentes con los que se construyen las proteínas. Hay veinte aminoácidos diferentes que forman las proteínas, los mismos para todos los seres vivos. La fórmula general de un aminoácido consta de un carbono central, llamado carbono alfa (Ca) al que se une un H, un grupo carboxilo (-COOH), un grupo amino (-NH2) y un radical, que es distinto en cada aminoácido. Prácticamente todos los aminoácidos son α aminoácidos, es decir el grupo amino esta unido al carbono adyacente al grupo carboxílico. Los aminoácidos presentan comportamiento anfótero, de manera que el pH determina su carga, lo que es importante en la conformación final de las proteínas. Cuando los aminoácidos están en disolución acuosa se pueden comportar como ácidos o como bases dependiendo del pH de la disolución debido a que tienen un grupo carboxilo y otro amino. En disoluciones acuosas neutras los aminoácidos se encuentran ionizados, son iones dipolares o hibrido (se llama también zwitterion) pues el grupo carboxilo pierde un protón y se carga negativamente y el grupo amino gana un protón y se carga positivamente. Si el medio acidifica, aumentara la concentración de protones y disminuye el pH. El aminoácido es una sustancia tampón que actuara amortiguando el cambio de pH. Por tanto, el grupo COO- capta un protón y pierde su carga negativa. El aminoácido queda cargado positivamente y se comporta como una base. Por el contrario, si el medio se hace básico disminuirá la concentración de protones y aumenta el pH. En el aminoácido entonces el grupo NH3 + libera un protón y pierde su carga positiva, por tanto, el aminoácido queda cargado negativamente y actuara como acido. El punto isoeléctrico (pI) indica el valor de pH en el que la fuerza dominante es el ion dipolar (zwitterion) y la carga neta de la molécula es 0 (neutra). Por ejemplo, en el caso de la glicina a valores de pH por debajo de la pI la glicina tiene carga neta positiva y migrará al cátodo mientras que, a valores superiores a la pI, presenta carga neta negativa y migrará al ánodo. Tipos de aminoácidos: o Péptido es un compuesto de dos o más aminoácidos. o Oligopéptidos tienen diez o menos aminoácidos. o los polipéptidos son cadenas de más de diez aminoácidos
  • 9.
    9 1.2. FORMACIÓN DEPROTEÍNAS Los aminoácidos se unen mediante enlace peptídico entre el grupo carboxilo de un aminoácido y el grupo amino del siguiente aminoácido, con perdida de una molécula de agua. El enlace se puede romper mediante hidrolisis. 1.3. TIPOS DE PROTEINAS Según forma y solubilidad: • Proteínas fibrosas_ Son insolubles en agua y de forma alargada, ya que generalmente los polipéptidos de estas proteínas están enrollados formando fibras paralelas. Destacan el colágeno (encargada de soportar la tensión en los tejidos conectivos o conjuntivos tales como los huesos, los dientes, tendones…) y la queratina. • Proteínas globulares_ suelen ser solubles en agua, tienen una estructura compleja con múltiples plegamientos que le confieren una forma más o menos esferoidal. Entre ellas destacan la hemoglobina y la mioglobulina. Según la composición: • Holoproteínas _ que son proteínas simples constituidas únicamente por aminoácidos. Ejemplo (globulinas, queratina, colágeno, albúminas…) • Heteroproteínas_ que son proteínas conjugadas porque para ser funcionales además de aminoácidos necesitan otros compuestos (lipoproteínas, glucoproteínas…) Según la función: • Enzimas (con actividad catalítica) • Transporte (Hb, Mb, a través de la membrana) • Reserva (Ovoalbúmina) • Estructurales • Motiles (las que producen contracción muscular como actina y miosina) • Defensa (anticuerpos, toxinas) • Reguladoras (responden a señales) • Hormonales (Hay hormonas como la Insulina de naturaleza proteica) 1.4. NIVELES DE ORGANICACIÓN DE LAS PROTEÍNAS • Estructura primaria_ es la secuencia lineal de aminoácidos que la integra, es decir, indica los aminoácidos que forman la proteína y el orden en que se encuentran unidos. Esta estructura viene determinada genéticamente y está estabilizada por el enlace peptídico. Las diferentes proteínas se diferencian por el número, naturaleza y orden de sus aminoácidos y este nivel es importante porque determina el resto de los niveles y por tanto determina la función de la proteína. El enlace peptídico es una unión "cabeza- cola" (grupo amino con grupo carboxilo) de forma que el dipéptido conserva siempre un grupo amino libre, que puede reaccionar con el grupo carboxilo de otro aminoácido, y un grupo carboxilo libre, que puede reaccionar con el grupo amino de otro aminoácido. Esta circunstancia permite que mediante enlaces peptídicos se puedan enlazar un número elevado de aminoácidos formando largas cadenas que siempre tendrán en un extremo un grupo amino libre (extremo izquierdo amino- terminal) y en el otro un grupo carboxilo libre (extremo derecho carboxi-terminal).
  • 10.
    10 • Estructura secundaria_es el primer ordenamiento tridimensional estabilizado por fuerzas débiles. Es la disposición que adopta en el espacio la cadena de aminoácidos. Se debe a la capacidad de rotación que tienen los enlaces del C de cada aminoácido. Los radicales no actúan, pues se sitúan hacia el exterior de las estructuras. Las formas más frecuentes de estructuras secundarias son la hélice alfa y la lámina beta: - La hélice alfa se origina al enrollarse helicoidalmente la cadena peptídica sobre sí misma, en sentido dextrógiro, cada 3-4 aminoácidos, por eso se representa como una hélice. Los giros son al nivel C de cada aminoácido y la estructura de la hélice se mantienen gracias a enlaces por puentes de hidrogeno intracatenarios entre grupos NH y CO de enlaces peptídicos de diferentes aminoácidos que quedan enfrentados. - En la lámina plegada o lamina beta la cadena polipeptídica presenta los aminoácidos dispuestos en zig- zag y se establecen uniones por puentes de hidrogeno con tramos adyacentes de la misma cadena o de cadenas diferentes. Estos tramos adyacentes pueden discurrir en el mismo sentido (disposición paralela) o hacerlo en sentido contrario. • Estructura terciaria_ es la disposición que adopta la estructura secundaria en el espacio, adoptando una conformación tridimensional, que en la mayor parte de los casos es ya la definitiva. Los responsables de la estructura terciaria son los radicales que interaccionan entre sí, aunque pueden estar separados por muchos aminoácidos. Las interacciones que mantienen tanto la estructura secundaria como la terciaria son no covalentes y débiles (puentes de hidrogeno, electroestáticas, hidrofóbicas) aunque en algunos puntos la estructura terciaria puede estar estabilizada por presencia de enlaces covalentes, los puentes disulfuro. • Estructura cuaternaria_ la hay en algunas proteínas. Formadas por la asociación de dos o más moléculas con estructuras terciarias o por más de una cadena polipeptídica, que reciben el nombre de subunidades o protomeros. Al igual que la estructura terciaria, la asociación entre estas subunidades está estabilizada por fuerzas de atracción no covalentes y puede incluir uniones disulfuro covalentes entre las distintas subunidades, como ocurre en el caso de las inmunoglobulinas. La estructura supersecundaria es el ordenamiento espacial de estructuras secundarias para formar motivos y dominios estructurales. La estructura terciaria está formada por varias de estas ordenaciones, aunque hay algunas proteínas que no tienen estructuras supersecundarias. Son combinaciones de alfa-hélices y estructuras Beta conectadas a través de asas o lazos, que forman patrones que están presentes en muchas proteínas diferentes. Estos plegamientos se estabilizan a través de la misma clase de enlaces que mantiene a la estructura terciaria. Algunas veces se utiliza el término “motivo” describir a estas estructuras supersecundarias.
  • 11.
    11 Estas estructuras puedenser relativamente simples, como alfa-alfa (dos hélices alfa unidas por una asa), Beta-Beta (dos Beta-hebras unidas por una asa), Beta-alfa-Beta (Beta-hebra unida por un asa a una alfa-hélice que esta a su vez unida a otra Beta-hebra por otro lazo) o estructuras más complejas, como el motivo llamado de “Llave Griega” (“Greek key”), o el Barril Beta (“beta-barrel”). Los dominios son unidades estructurales compactas, estables, dentro de una proteína, formadas por segmentos de una cadena peptídica que se pliegan de forma independiente, con una estructura y función distinguible de otras regiones de la proteína y estabilizadas por las mismas fuerzas que la estructura terciaria. Los dominios pueden considerarse como unidades elementales de la estructura y evolución de las proteínas, que son capaces de plegarse y de funcionar de una manera relativamente autónoma. Un dominio a veces está formado por motivos, pero otras veces no contiene ninguno. La estructura terciaria de muchas proteínas está formada por varios dominios. 2. ESTRUCTURA Y FUNCIÓN DE ÁCIDOS NUCLEICOS Los nucleótidos son moléculas orgánicas complejas que resultan de la unión de un grupo fosfato, una pentosa y una base nitrogenada. Los nucleótidos contienen C, O, H, N y P, y según se combinen las subunidades pueden formar nucleótidos sencillos (mono- o dinucleótidos) o largos polímeros llamados ácidos nucleicos. Hay dos tipos de ácidos nucleicos, que son el ADN (polímeros de nucleótidos de desoxirribosa encargados de la transmisión y almacenamiento de la información genética) y ARN (polímeros de nucleótidos de ribosa y son intermediario de la expresión genética).
  • 12.
    12 • Las pentosasque forman los ácidos nucleicos son aldopentosas; en el ARN aparece la s-D-ribofuranosa y los nucleótidos que forman se llaman ribonucleótidos y en el ADN aparece la s- D-desoxirribofuranosa y los nucleótidos que forman se llaman desoxirribonucleótidos. • El grupo fosfato es el ácido ortofosforico (H3PO4), que se encuentra ionizado a pH fisiológico. • Las bases nitrogenadas son estructuras cíclicas con carácter básico, que contienen átomos de carbono y nitrógeno. Bases púricas y pirimidínicas son las bases nitrogenadas de los ácidos nucleicos. Las bases púricas derivan de la purina por lo que presentan una estructura formada por dos anillos, uno hexagonal y otro pentagonal. Las más importantes son la adenina (A) y la guanina (G). Las bases pirimidínicas derivan de la pirimidina por lo que presentan un solo anillo hexagonal. Las más importantes son la citosina (C), la timina (T) y el uracilo (U). En el ADN están presenta todas las bases nitrogenadas menos el uracilo, mientras que el ARN presenta todas las bases excepto la timina. Al estudiar la molécula de los ácidos nucleicos se reconocen tres niveles estructurales: • La estructura primaria que es cadena lineal polinucleótida es común en ambos y el polímero se forma por la unión de nucleótidos mediante enlaces fosfodiéster. • La estructura secundaria y terciaria que son espaciales, ya son distintas en el ADN y en el ARN. El ADN forma nucleoproteínas al empaquetarse con histonas formando estructuras complejas (cromatina) y el ARN es una molécula bastante versátil que adopta diferentes estructuras y funciones. ➢ En la estructura secundaria el ADN es una cadena de doble hélice, complementaria y antiparalela formada por enlaces dobles de puentes de hidrógeno entre A y T y por enlcases triples de puente de hidrógeno entre el G y la C. ➢ La estructura terciaria del ADN es el resultado del superenrollamiento y de la asociación con proteínas básicas tipo histona dando lugar a la fibra de cromatina o a los cromosomas. El AND puede adoptar tes formas tridimensionales: • DNA-B o forma B_ es la estructura más estable que puede adoptar un ADN de secuencia al azar en condiciones fisiológicas. Está estructurado en una doble hélice de dos cadenas de polinucleótidos. Las dos cadenas de DNA son antiparalelas (transcurren en direcciones opuestas) y dextrógira. Cada base está unida por enlaces puentes de hidrogeno a una base de la hebra opuesta. El número de pares de bases o nucleótidos por vuelta es de 10,5. La bases (hidrofóbicas) ocupan el centro de la hélice, en el interior, mientras que las cadenas de azúcares y fosfatos se sitúan en el exterior. Esto minimiza las repulsiones entre los grupos fosfatos cargados. • DNA-A o forma A_ predomina en disoluciones pobres en agua. El DNA está estructurado en una doble hélice dextrógira, pero la hélice es mas gruesa y el número de pares de bases por vuelta es de 11. • DNA-Z o forma Z_ supone una mayor desviación de la forma B. Es una hélice levógira. Contiene 12 pares por vuelta y la estructura es más delgada y alargada. Las cadenas del DNA adoptan un plegamiento en zigzag
  • 13.
    13 2.1. TIPOS DERNA El ARN es monocatenario, una sola cadena de ribonucleótidos, pero en algunos tipos de ARN hay zonas en que las bases son complementarias, formando en esas zonas una estructura secundaria de doble hélice y dejando zonas intermedias no complementarias, que reciben el nombre de bucles. Los tres tipos de ARN más importantes son: • ARN mensajero (ARNm)→Es el modelo para la síntesis de proteína o traducción Su función es copiar la información genética del ADN (transcripción) y existe un ARN mensajero distinto para cada tipo de proteína que se produce en la célula, pues cada molécula de ARN mensajero recoge la información de un solo gen, y en general incluye la información para una única proteína. El ARN mensajero es el único que su cadena es lineal. • ARN de transferencia (ARNt)→ transporta los aminoácidos en forma activa al ribosoma para la formación de enlaces peptídicos a partir de la secuencia codificada por el ARNm molde. Existe al menos un tipo de ARNt para cada uno de los 20 aminoácidos. Durante la síntesis de proteínas, tanto el ARNt como el ARNm se unen al ribosoma de forma definida, lo que garantiza el orden correcto de los aminoácidos en la cadena polipeptídica sintetizada. En la estructura del ARNt se pueden observar 4 brazos: - Brazo aceptor_ contiene los de la molécula, en el extremo 3´ se une al aminoácido especifico que transporta, por el - OH del nucleótido de A final. - Brazo T_ azul, es donde se une al ribosoma durante la traducción. - Brazo D_ violeta, en la, es la zona por donde se une al enzima aminoacil- ARNt sintetasa, que cataliza la unión del ARNt con el aminoácido especifico que va a transportar. Brazo A o brazo del anticodón_ contiene 3 bases nitrogenadas llamadas anticodón (triplete), diferente para cada ARNt en función del aminoácido transportado, y es complementario
  • 14.
    14 • ARN ribosómico→es el componente principal de los ribosomas. Los ribosomas son macroestructuras nucleoproteínas que leen el mensaje genético. Están formadas por una combinación de proteínas y moléculas de RNA y constan de dos subunidades que pueden unirse o separarse en función de su actividad. Cada una de estas subunidades tiene varios tipos de proteínas y varias moléculas distintas de ácido ribonucleico. DIFERENCIAS ENTRE LOS DOS TIPOS DE ÁCIDOS NUCLEICOS Tipo de ácido nucleico ADN (ácido desoxirribonucleico) ARN (ácido ribonucleico) Composición química Pentosa: desoxirribosa Bases nitrogenadas: A, T, C y G Pentosa: Ribosa Bases nitrogenadas: A, U, C y G Localización En el núcleo celular. Citoplasma (mitocondrias, plastos, jugo citoplasmático y, sobre todo, en ribosomas) función Portador de factores hereditarios y dicta las órdenes para elaborar las proteínas. Recibe y ejecuta órdenes del ADN Estructura Doble cadena, larga y asociada a unas proteínas (histonas) para formar los cromosomas. Cadena sencilla, corta y no asociada a proteínas. Tipos Doble hélice (eucariotas), bicatenario circular (bacterias) y monocatenario (sólo en algunos virus, muy raro) ARN mensajero, ARN de transferencia y ARN ribosómico. TEMA 3: ESTRUCTURA Y FUNCIÓN DE PROTEÍNAS 1. INTRODUCCIÓN Las proteínas son biomoléculas orgánicas lineales, compuestas de C, O, H y N; en menor proporción por S y P. Son las moléculas más abundantes, pues representan alrededor. Las enzimas constituyen el grupo más numeroso e importante de proteínas, pues son moléculas dotadas de actividad catalítica, imprescindibles en todas y cada una de las reacciones químicas del metabolismo celular. 2.DESNATURALIZACIÓN DE LAS PROTEÍNAS En condiciones celulares, lar proteínas se encuentran en unas estructuras limitadas, que son estables desde el punto de vista energético (menor energía libre de Gibbs). Estas disposiciones espaciales, en las que las proteínas son activamente capaces de desempeñar su función, se denominan estructuras nativas, y se considera la estructura más estable de todas las proteínas. Hay proteína que tienen como estructura nativa la secundaria (queratina, colágeno…) mientras que hay las que tienen la estructura cuaternaria como estructura nativa(hemoglobina). Sin embargo, no hay proteínas cuya estructura nativa sea la primaria. La estructura nativa es una estructura tridimensional, cuya pérdida conlleva a su vez la pérdida de esta estructura tridimensional. El plegamiento de las proteínas sirve para que se puedan crear estructuras tridimensionales adecuadas para la interacción con otras moléculas. En la célula, el plegamiento ocurre durante y después de que las proteínas sean sintetizadas en los ribosomas. En algunos casos es facilitado por unas proteínas denominadas chaperonas, que interaccionan con las cadenas parcialmente plegadas o plegadas de forma defectuosa facilitando que lo hagan de forma correcta. Si cambiamos las condiciones ambientales, la estructura nativa se pierde, este proceso se denomina desnaturalización. La desnaturalización de una proteína se refiere a la ruptura de los enlaces débiles que mantienen su configuración tridimensional, es decir, las estructuras cuaternaria, terciaria y secundaria, conservándose solamente los enlaces más fuertes, que son los enlaces covalentes de la estructura primaria. Los efectos más visibles de este fenómeno es que las proteínas se transforman en filamentos lineales y delgados que se entrelazan hasta formar compuestos fibrosos e insolubles en agua y que pierden su actividad biológica. La desnaturalización puede ser reversible (renaturalización) si el cambio no ha sido muy acusado. Los agentes que pueden desnaturalizar a una proteína pueden ser:
  • 15.
    15 • Un cambiode pH altera la carga de las proteínas y el estado de ionización de los aminoácidos, lo cual altera las interacciones electroestáticas que participan en el mantenimiento de una estructura. • La fuera iónica. La presencia de sale o iones también pueden aumentar las interacciones electroestáticas, ya que los iones disuelto compiten a la hora de establecer interacciones de este tipo • Aumento de la temperatura o calor excesivo, pues la energía cinética de los grupos supera la de los enlaces que los mantienen unidos. 3. ENZIMAS Proteínas que catalizan las reacciones químicas necesarias para la supervivencia celular. Los catalizadores son agentes que aumentan la velocidad de reacción y sus funciones son: • Aceleran la velocidad de la reacción. Disminuyendo la energía de activación • No se consumen en la reacción • Son Saturables Además, las enzimas tienen 3 propiedades que los catalizadores NO tienen • Especificidad por el sustrato, molécula sobre la que actúa la enzima. • Se inactivan por desnaturalización. • Su actividad es regulable por estimulas intracelulares o extracelulares. Numerosas enzimas llamadas apoenzimas, están formadas por dos componentes: 1. Una porción proteica, cadenas laterales de los aminoácidos, denominada apoenzima. 2. Un componente no proteico denominado cofactor (cationes metálicos) o coenzima (moléculas orgánicas). Este componente no presenta uniones covalentes con la proteína. 3.2. UNIÓN AL SUSTRATO Las enzimas tienen una fijación estereoquímica complementaria con el sustrato o bien una transformación catalítica del mismo. Es muy especifica la unión del sustrato: • Complementariedad geométrica • Complementariedad de cargas, uniones iónicas • Modelos de interacción del complejo ES:
  • 16.
    16 ▪ Modelo deLlave y Cerradura (Emil Fischer) _ el sustrato y enzima se acoplan de forma estereospecífica, como la llave a una cerradura. Este modelo explica la especificidad entre enzima y sustrato, pero no permite explicar cómo se produce la reacción de forma eficiente. ▪ Modelo de Estabilización del Estado de Transición (Linus Pauling) _ este modelo es el que propone el verdadero encaje llave-cerradura. Este encaje no ocurría entre el sustrato y la enzima, sino entre el estado de transición y la enzima. Por tanto, el centro activo es en realidad complementario no al sustrato o al producto, sino al estado de transición entre ambos. ▪ Modelo de ajuste inducido (Daniel E. Koshland) _ este modelo postula un mecanismo que permite explicar el aumento de la eficacia de las interacciones no covalentes que se establecen entre la enzima y el sustrato. Este modelo propone que la interacción entre ambas moléculas hace que la enzima sufra un cambio de estructura que permite la formación de interacciones adicionales entre la enzima y el estado de transición. 3.3.PARAMETROS DE LAS REACCIONES AFECTADAS POR LAS ENZIMAS ▪ Energía de activación: representa la energía libre necesaria para que se produzca la reacción. Corresponde a la diferencia entre la energía libre existente en el estado de transición y la del estado basal.Es la energía libre que debe adquirir el sistema para alcanzar el estado de transición. ▪ Estado basal: es el punto de partida tanto para la reacción hacia la derecha como hacia la izquierda. Es la contribución a la energia libre del sistema de una molécula promedio (S o P) bajo un conjunto de conficiones dadas. ▪ Energía de transición: La transformación del sustrato en producto no es inmediata y ocurre a través de un estado transitorio denominado el estado de transición. Este estado se caracteriza por tener una energía libre mayor que la del estadio inicial, por lo que es un complejo inestable. Es un momento molecular fugaz en el que pueden sucerder diferentes cosas (rotura o formación de enlaces, desarrollo de cargas…) han llegado al instante preciso en el que el colpaso hacia sustrato o hacia producto es igualmente probable. En las reacciones catalizadas por enzimas, este estado de transición es estabilizado por por los residuos del centro activo, con lo que consigue acelerar la reacción mediante la formación del complejo enzima-sustrato que estabiliza el estado de transición. 3.4. MECANISMOS GENERALES DE CATALISIS ENZIMÁTICAS Con enzima la reacción de la glucosa es espontánea mientras que sin enzima no es espontanea. Los enzimas aumentan la velocidad de la reacción rebajando la energía de activación necesaria para que se produzca la reacción química. Sin embargo, no modifican ΔG (energía libre), que sólo depende de los estados iniciales y finales (variable de estado). Las enzimas tampoco alteran el equilibrio de productos y sustratos (Keq) pero, al acelerar la velocidad de reacción, consiguen que se alcance más radio el equilibrio.
  • 17.
    17 3.5. PARTICIPACION DEGRUPOS PROSPTÉTICOS, COENZIMAS Y COFACTORES EN LA ACTIVIDAD ENZIMÁTICA. Numerosas enzimas llamadas apoenzimas, están formadas por dos componentes: 1. Una porción proteica, cadenas laterales de los aminoácidos, denominada apoenzima. 2. Un componente no proteico denominado cofactor. Hay dos tipos de cofactores: 2.1.Cofactores orgánicos 2.2.Cofactores inorgánicos 3.5.1. Cofactores orgánicos: coenzimas y grupos prostéticos Las coenzimas y los grupos prostéticos son dos tipos específicos de cofactores de naturaleza orgánica. Suelen ser moléculas pequeñas. Los ejemplos más comunes de coenzimas son vitaminas y derivados. No todas las vitaminas actúan como coenzimas, pero es una actividad muy frecuente entre ellas. En el grupo de las vitaminas B encontramos numerosos ejemplos, como la coenzima A, que es un derivado del ácido pantonénico (vitamina B5), o los cofactores NAD+ , NADP+ , FMN y FADH2 que intervienen en reacciones de oxido-reducción, mientras que el Coenzima A está implicado en la transferencia de grupos acilo. Además, el NAD es una coenzima aceptadora de H. El piruvato procedente de la glucosa se reduce a lactasa FAD/FADH2 Transporta H+ en reacciones catabólicas. NAD+ /NADH Transporta H+ en reacciones catabólicas. NADP+ /NADPH Transporta H+ en reacciones anabólicas. El grupo hemo es un ejemplo típico de grupo prostético. En general, las proteínas que contiene el grupo hemo se conocen como hemoproteínas. Este grupo incluye proteínas con importantes funciones biológicas. Por ejemplo, la hemoglobina y mioglobina (implicadas en el transporte de O2), varios citocromos (implicados en el transporte de energía química) o las enzimas catalasa y óxido nítrico sintasa endotelial. 3.5.2. Cofactores inorgánicos: iones metálicos y centros hierro-azufre Los iones metálicos son cofactores muy comunes y de ellos los más frecuentes son iones metálicos compuestos por uno o dos átomos. Algunos elementos inorgánicos participan en la regulación alostérica de enzimas, pero no se consideran cofactores de las enzimas que regulan. Por ejemplo, el calcio participa en la regulación alostérica del óxido nítrico sintasa, proteína fosfatasa o el adenilato Kinsasa, entre otras muchas, pero no es un cofactor de estas enzimas. Otro tipo de cofactores inorgánicos son los centros hierro-azufre. Estos centros son complejos formados por grupos sulfuro, generalmente provenientes del aminoácido cisteína, unidos a dos o cuatro átomos de hierro. Además del papel funcional como cofactores, los centros hierro-azufre desempeñan una función estructural fundamental en la conformación espacial de la proteína. Algunos ejemplos de proteínas con centros hierro-azufre son la ferredoxina, NADH deshidrogenasa o la Coenzima Q – citocromo c reductasa. Algunos cofactores incluyen elementos inorgánicos unidos a moléculas orgánicas. Estos cofactores suelen incluirse en el grupo de cofactores orgánicos por el mayor peso de la fracción orgánica. Por ejemplo, el grupo hemo.
  • 18.
    18 3.6. CINÉTICA ENZIMÁTICA Lacinética enzimática es el análisis cuantitativo del efecto de cada uno de los factores que intervienen en la actividad enzimática, que se evalúa a través de la velocidad de la reacción catalizada. Las variables más importantes son: • Concentración de enzima, sustratos y productos (incluyendo inhibidores y/o activadores). • pH_ los cambios en el pH del medio pueden alterar al estado de ionización de las cadenas laterales de aminoácidos ácidos y básicos. Estos cambios pueden alterar a la afinidad de la enzima por el sustrato, si se ven alteradas las cargas de los aminoácidos que participan en la formación de interacciones no covalentes en el complejo ES. • Temperatura_ el aumento de la temperatura conduce a un aumento en la velocidad de la reacción. Sin embargo, cuando se sobrepasa el limite de temperatura la enzima se desnaturaliza. Aproximadamente 45 grados es el valor óptimo para que las enzimas, y otras proteínas, puedan llevar a cabo su función sin llegar a desnaturalizarse. 3.6.1 Cinética de las reacciones de un solo sustrato La variación de la velocidad de una reacción enzimática en función de la concentración del sustrato viene dada por la ecuación de Michaelis - Menten. Para la mayoría de las reacciones catalizadas por enzimas, los datos experimentales proporcionan gráficas, como la de arriba, en las que se identifican tres zonas claramente diferenciadas: • Una primera etapa lineal, abajas concentraciones de sustrato, en la que la reacción se comporta como si fuera de primer orden, en la cual la velocidad de reacción depende únicamente del sustrato. • Una segunda etapa curvilínea, a concentraciones de sustrato intermedias, en las que hay un descenso en la respuesta al aumento de la concentración de sustrato. • Una última etapa, a elevadas concentraciones de sustrato en las que la velocidad no varía al aumentar la concentración de sustrato. La reacción sigue una cinética de orden cero, donde la velocidad es independiente de la concentración del sustrato, y se dice que hay efecto de saturación de la enzima por el sustrato. Donde: • V es la velocidad de la reacción para una determinada concentración de sustrato [S]. • Vmax es la velocidad máxima de la reacción • Km es una constante denominada constante de Michaelis-Menten, característica de cada enzima.
  • 19.
    19 Relación entre KMy Vmax establecida por Michaelis - Menten Algunas veces resulta muy útil transformar la ecuación de Michaelis – Menten en una expresión algebraica que aporte datos numéricos concretos para los parámetros cinéticos (Vmax y Km). Una transformación habitual consiste en representar las inversas de v frente a las inversas de las concentraciones del sustrato. Haciendo la inversa se obtiene: Esta ecuación, conocida como la ecuación de Lineweaver-Burk se representar mediante una recta pendiente Km/Vmax. El punto de corte de esta recta con el eje x se corresponde con el valor de la fracción -1/Km y el punto de corte con el eje Y con el valor de 1/Vmax. Una vez representados los valores obtenidos experimentalmente, se puede calcular el valor de Vmax, que solo se podía obtener de forma aproximada en la representación tradicional. Si en la ecuación igualamos el valor de la velocidad con la mitad de la velocidad máxima (V= ½ Vmax) y despejamos Km obtenemos lo siguiente:
  • 20.
    20 3.7. INHIBICIÓN ENZIMÁTICA Uninhibidor son sustancias que disminuye o bloquean la actividad enzimática, a través de interacciones con el centro activo u otros centros específicos (alostéricos). Esta definición excluye todos aquellos agentes que inactivan a la enzima a través de desnaturalización de la molécula enzimática. De esta forma, habrá dos tipos de inhibidores: I. Inhibidores irreversibles_ impiden totalmente la actividad enzimática. Actúan de forma permanente, bien porque se unen con un fuerte enlace covalente o bien porque alteran la estructura química de la enzima II. Inhibidores reversibles_ tiene un efecto temporal, porque el inhibidor solo se une por enlaces débiles al enzima y no lo destruye. Según la forma de actuación se reconocen tres tipos de inhibidores reversibles: i. Competitivos_ el inhibidor se une a la enzima por el mismo sitio que el sustrato, impidiendo la formación del complejo ES. Suele ser una molécula semejante al sustrato de maneras que ambos compiten por el centro activo; en este caso la acción del inhibidor puede contrarrestarse aumentando la concentración del sustrato. En la inhibición competitiva la Vmax muestra un valor normal mientras que se necesita más sustrato para alcanzar la mitad de la Vmax por lo que la Km tiene un valor mayor. ii. No competitivos o alostéricos_ el inhibidor muestra afinidad tanto por la enzima libre como por el complejo ES y la unión se realiza en un lugar distinto del centro activo, lugar alostérico, alterando la estructura de la enzima. Un aumento de la concentración del sustrato no conduce a la recuperación de la actividad y esto produce una disminución de la Vmax. El inhibidor al no unirse al centro activo la Km, o afinidad de la enzima por el sustrato, no cambia. iii. Acompetitivos o incompetitivos_ estos inhibidores se unen exclusivamente al complejo ES en un lugar diferente al centro activo. Esto disminuye tanto la Vmax como la K TEMA 5-BIOENÉRGETICA 1.METABOLISMO INTERMEDIARIO Es el conjunto de reacciones en las que se obtienen intermediarios, que son compuestos químicos que actúan como sustratos para otras reacciones del metabolismo. En estas reacciones también se obtiene energía y poder reductor. El poder reductor son sustancias con capacidad para ceder electrones, como el FADH2 y el NADH+H+ . Los intermediarios, junto con la energía y poder reductor se utilizan para fabrica las biomoléculas. Además, a partir de cualquier intermediario se puede formar prácticamente cualquier biomolécula. Por otra parte, parte de la energía y poder reductor se utilizar para el trabajo celular y por eso el rendimiento no es 1.
  • 21.
    21 El metabolismo sedivide en dos procesos: anabolismo y catabolismo. Las rutas catabólicas son convergentes, mientras que las anabólicas son divergentes. Pueden estudiarse por separado las rutas catabólicas (que producen energía y poder reductor) y las anabólicas (consumen energía y poder reductor) aunque están interconectadas y muy reguladas. El oxígeno es un compuesto altamente oxidante que se puede utilizar como aceptador de electrones, lo que permite llevar a la oxidación de las biomoléculas hasta dar CO2 y H2O, lo que permite producir mucha más energía a partir de cada átomo de carbono, con un mayor rendimiento energético. El metabolismo oxidativo de las principales biomoléculas (glúcidos, ácidos grasos y aminoácidos) habitualmente se divide en tres etapas, los cuales hacen referencia a la complejidad de las moléculas y su estado do de reducción: 1. En la primera etapa las macromoléculas son fragmentadas en moléculas más pequeñas, normalmente en moléculas sillares que posteriormente son degradadas a moléculas de acetil- CoA, de dos carbonos. En esta fase se incluyen las vías catabólicas de aminoácidos, la β-oxidación de ácidos graso y la glucólisis en el caso de los monosacáridos. 2. En una segunda etapa se encuentra se encuentra el ciclo de Krebs, que implica la oxidación de los átomos de carbono del Acetil CoA hasta moléculas de CO2, liberando energía en forma de nucleótidos trifosfato (GTP) y en forma de poder reductor (FADH2 y NADH+H+ ). 3. En la tercera etapa se ubica la cadena transportadora de electrones y la fosforilación oxidativa, en el cual el poder reductor generado en el ciclo de Krebs se emplea para la síntesis de ATP. Las rutas catabólicas y anabólicas se conectan a través de moléculas trasportadoras de energía y de electrones. En las dos vías metabólicas se producen reacciones de oxidación-reducción: en las vías catabólicas, donde se realizan reacciones de oxidación, las moléculas reducidas irán cediendo electrones para dar lugar a moléculas oxidadas. Estos electrones cedidos pasarán a las vías anabólicas, donde las moléculas oxidadas irán captando los electrones para dar moléculas reducidas. - Las deshidrogenasas actúan durante el catabolismo quitando pares de e- de la materia orgánica y cediéndolos al NAD+ oxidado. - Las reductasas actúan durante el anabolismo cediendo pares de e- desde el NADPH reducido hasta metabolitos oxidados. - Hay reacciones adicionales que interconvierten unas formas de coenzimas en otras.
  • 22.
    22 2.METABOLISMO DE LOSHIDRATOS DE CARBONO La glucosa-6-fosfato (G6P) se produce la fosforilación de la glucosa libere, la degradación de glucógeno y la gluconeogénesis. También es un precursor de la síntesis de glucógeno de la vía de las pentosas fosfato. El hígado puede hidrolizar G6P a glucosa. La glucosa se metaboliza por glucólisis a piruvato, que luego puede romperse en acetil-CoA por oxidación mediante el ciclo de Krebs. El lactato y los aminoácidos, que se convierten de modo reversible a piruvato, son precursores de la gluconeogénesis. 2.1. GLUCÓLISIS La glucólisis es la ruta universal del catabolismo de glucosa, pues no requiere de oxígeno, que aparece muy pronto en la evolución y que posteriormente continua con el ciclo de Krebs y cadena de transporte de electrones. Es la ruta degradativa la glucosa que sirve para obtener energía de esta molécula y poder reductor. Puede considerase el proceso oxidativo de la glucosa, bien mediante su degradación hasta generar piruvato o bien mediante su fermentación para dar ácido láctico. El glucolisis tiene lugar en el citosol o citoplasma y se divide en dos fases, dentro de las cuales se producen un total de 10 reacciones enzimáticas que permiten la transformación de una molécula de glucosa a dos moléculas de piruvato. Las dos fases, con sus respectivas reacciones son: 1. Fase preparativa→ en esta fase se produce un gasto energético: dos moléculas de ATP por molécula de glucosa. La finalidad de esta fase es la de activar y preparar las moléculas de glucosa, para su posterior procesamiento. 1) Fosforilación de la glucosa a glucosa-6-fostafato_ requiere el gasto de una molécula de ATP y, en dos condiciones fisiológicas, es una reacción irreversible. Esta reacción esta catalizada por la hexoquinasa (HK). 2) Conversión de la glucosa-6-fosfato a fructosa-6-fosfato_ es una reacción reversible catalizada por la fosfoglucosa-isomerasa. 3) Fosforilación de la fructosa-6-fosfato a fructosa-1,6-bisfosfato_ requiere el gasto de una segunda molécula de ATP y, en las condiciones fisiológicas, en una reacción irreversible. Esta catalizada por la fosfofructoquinasa-1 (PFK-I).
  • 23.
    23 4) Escisión dela fructosa-1,6-bisfosfato en dos triosas fosfato_ la dihidroxiacetona fosfato y el gliceraldehído-3-fosfato: es una reacción reversible catalizada por la aldolasa. 5) Interconversión de las triosas de fosfato_ es un equilibrio catalizado por la enzima triosa fosfato isomerasa. Dicho equilibrio se encuentra desplazado hacia la formación de gliceraldehído-3-fosfato, puesto que es el compuesto que puede ser metabolizado en los siguientes pasos de la glucólisis, en la fase de beneficios. 2. Fase de beneficios o de rendimiento energético→ En esta fase se obtiene cuatro moléculas de ATP y dos de NADH+H+ por molécula de glucosa. Esta fase de rendimiento se produce dos veces por cada molécula de glucosa que se hidroliza, ya que en cada una de las vueltas se metaboliza una de las dos triosas fosfatos en las que se escindió la glucosa. 6) Oxidación del gliceraldehído-3-fosfato a 1,3-bisfosfoglicerato_ en este paso se oxida el grupo aldehído hasta una forma ácido, lo cual permite obtener una molécula de NADH+H+ , a la vez que se aprovecha para fijar un grupo fosfato, que permitirá en la siguiente reacción obtener energía en forma de un nucleótido trifosfato. Esta reacción es reversible y esta catalizada por la enzima gliceraldehído-3-fosfato deshidrogenasa. Constituye el primer paso de la fase de beneficios, paso que se repetirá posteriormente con la molécula de dihidroxiacetona que, por acción de la triosa fosfato isomerasas, se convertirá en una nueva molécula de gliceraldehído-3-fosfato. 7) Primera fosforilación a nivel de sustrato_ en esta reacción se produce síntesis de una molécula de ATP, gracias a la transferencia de un grupo fosfato desde el 1,3-bisfosfoglicerato hasta un ADEP, liberando ATP y 3-fosfoglicerato. La enzima que cataliza es fosfoglicerato quinasa, y la reacción es reversible. 8) Conversión del 3-fosfoglicerato a 2-fosfoglicerato_ por medio de las fosfoglicerato mutasa, es una reacción reversible. 9) Deshidratación del 2-fosfoglicerato o fosfoenolpiruvato_ reacción reversible catalizada por la enolasa. Esta reacción permite la creación de un enlace fosfato de alta energía, que será aprovechado en el siguiente paso para obtener energía en forma de un nucleótido trifosfato. 10) Segunda fosforilación a nivel de sustrato_ en esta reacción se produce la síntesis de una molécula de ATP, gracias a la transferencia de un grupo fosfato desde el fosfoenolpiruvato hasta un ADP, liberando ATP y piruvato, mediante la enzima piruvato quinasa (PK). Esta reacción es irreversible en condiciones fisiológicas. Teniendo en cuenta estos procesos la ecuación global o balance del glucolisis y de cada una de las fases de la glucólisis sería: 1ªFase O bien Glucosa+2ATP→ gliceraldehído 3-fosfato + dihidroxiacetona fosfato+ 2ADP Glucosa+2ATP→ 2 gliceraldehído 3-fosfato+ 2 ADP 2ªFase Gliceraldehído 3-fosfato+ 2ADP+NAD+ +Pi → Piruvato+ 2ATP+NADH+H+ +2H2O Global: Glucosa+ 2ADP+2ADP+2NAD+ +2Pi→ 2 Piruvato+ 2ATP+ 2NADH+2H+ +2H2O El piruvato resultante se puede utilizar en las rutas anabólicas (gluconeogénesis) o en las rutas catabólicas (descarboxilación oxidativa y fermentaciones).
  • 24.
    24 2.1.1. Regulación dela glucólisis En la ruta de la glucólisis existen tres pasos importantes de regulación, correspondientes con los tres pasos irreversibles y que están catalizados por HK, PFK-I y PK. Estás enzimas están reguladas principalmente a través de una regulación alostérica. • Hexoquinasa→ está regulada alostéricamente por su producto, la glucosa-6- fosfato (que inhibe la actuación de la enzima) y por el ATP, un indicador de que las necesidades energéticas de la célula están satisfechas. • Fosfofructoquinasa-1→ es activada por la fructosa-2,6-bisfosfato (F-2,6-BP) y el AMP o ADP (un indicador de una baja producción de energía celular) mientras que se inhibe por citrato, ATP y H+ . Los portones son un control para prevenir un posible daño por incremento de la concentración de ácido, pues el producto final de la glucólisis puede originar ácido láctico. En el hígado la F-2,6- BP es de gran importancia dado que la glucólisis y gluconeogénesis no suceden simultáneamente. La fructosa-2,6-bisfosfato se produce, a partir de la fructosa-6 fosfato, por la acción de la Fosfofructoquinasa-2(PFK-2/FBPasa-2), que es una enzima controlada por la acción de la insulina y el glucagón. La insulina (que indica un alto nivel de glucosa en sangre) activa la PFK-2, favoreciendo la glucólisis e inhibiendo la gluconeogénesis, mientras que el glucagón (que indica un bajo de nivel de glucosa sanguíneo) inhibe la PFK-2, inhibiendo la glucolisis y favoreciendo la gluconeogénesis. • Piruvato quinasa→ es inhibida por el ATP, el acetil-Coa o la alanina (precursor del piruvato) y es estimulada tanto por la presencia de AMP o ADP como de fructosa-1,6-bisfosfato. La PK presenta una regulación por modificación covalente a través de un mecanismo de fosforilación y desfosforilación controlado hormonalmente por el glucagón. Los niveles altos de glucagón activan una proteína quinasa A, que produce la fosforilación y la consiguiente inactivación de la PK 2.1.3. Rutas alimentadoras de la glucólisis La glucosa no es el único hidrato de carbono del que se puede obtener energía porque a través de la dieta también podemos ingerir otros disacáridos (sacarosa, maltosa y lactosa) y otros monosacáridos como la fructosa que, junto con la glucosa, son combustibles metabólicos. Luego de la digestión, estas moléculas ingresan en la circulación que los lleva a varios tejidos. Luego se convierten en intermediarios que se pueden metabolizar en la vía glucolítica y en la gluconeogénica. ➢ Aunque es ajena a la glucólisis, la enzima glucógeno fosforilasa, también regula la glucólisis al ser la encargada de romper el glucógeno en glucosa
  • 25.
    25 2.2.DESTINO ANABÓLICO DELPIRUVATO: GLUCONEOGÉNESIS La gluconeogénesis es la ruta que utilizan las células de los organismos autótrofos para sinterizar glucosa a partir de piruvato, a través de un proceso anabólico que requiere una importante inversión de energía, en forma de moléculas de ATP y de NADH+H+ . Constituye una ruta muy importante, ya que permite suministrar glucosa a los tejidos cuando el porte de la dieta o los niveles presentes en sangre no son adecuadas. Esta ruta comparte una serie de reacciones con la glucólisis, concretamente los pasos reversibles, pero presenta tres pasos exclusivos que son los tres pasos opuestos a los irreversibles de la glucólisis. La gluconeogénesis también permite la síntesis de glucosa a partir de diversos precursores no glucídicos ( aminoácidos, lactato, glicerol o intermediarios del ciclo de Krebs). La gluconeogénesis es una ruta que se lleva a cabo únicamente en el hígado y en la corteza renal. Para evitar los pasos irreversibles que se originan en la glucólisis, la gluconeogénesis utiliza una serie de reacciones alternativas catalizadas por enzimas diferentes: • Síntesis de fosfoenolpiruvato→ la conversión del piruvato en fosfoenolpiruvato requiere de dos reacciones catalizadas por dos enzimas: - La piruvato carboxilasa, que cataliza la conversión de piruvato (3 carbonos) en oxalacetato (4 carbonos). Esta enzima requiere gasto de una molécula de ATP para fijar un nuevo átomo de carbono, procedente del CO2 para generar oxalacetato. Esta reacción ocurre en la mitocondria. - El fosfoenolpiruvato carboxiquinasa, que cataliza la conversión de oxalacetato en fosfoenolpiruvato y CO2. En esta reacción se utiliza la energía procedente de la hidrolisis de GTP. Posteriormente el fosfoenolpiruvato se convertirá en fructosa-1,6-bifosfato siguiendo, en sentido contrario, las reacciones reversibles de la glucolisis. • Conversión de la fructosa-1,6-bifosfato en fructosa-6-fosfato→ ésta es una reacción hidrolítica por la cual se elimina un grupo fosfato en posición 1 de la fructosa por acción de la enzima-1,6-bifosfatasa. En esta reacción no se regenera ATP si no que se obtiene Pi. A continuación, la fructosa-6-fosfato se convertirá en glucosa-6-fosfato por la reacción reversible detallada en el apartado de la glucolisis. • Formación de glucosa a partir de-6-fosfato→ está es una reacción hidrolítica por la cual se libera el grupo fosfato en posición 6 de la glucosa por acción de la glucosa-6-fosfatasa. Tampoco en esta reacción se regenera ATP, pero si se obtiene Pi. La glucosa originada en esta ruta se libera en sangre para ser aprovechada en los tejidos
  • 26.
  • 27.
    27 Determinados tejidos necesitanun aporte continuo de glucosa como la cerebro, depende de glucosa como combustible primario, o el eritrocito (GR), que la utiliza como único combustible. El cerebro también puede alimentarse de cuerpos cetónicos, pero depende más de la glucosa, Las reservas directas de glucosa solo son suficientes para cubrir las necesidades de un día, por lo que periodos de ayuno más largos implican la necesidad de sistemas alternativos de obtener glucosa. La glucosa también se puede utilizar en otras rutas. La ruta pentosa fosfato es otra ruta catabólica que parte de la glucosa. En esta ruta la glucosa se oxida, y se obtiene energía, pero no en forma de ATP. Entre estas finalidades de la ruta de las pentosas fosfato se encuentran: • La obtención de poder reductor en el citoplasma, en forma de NADPH+H+ , que es un agente reducto necesario para infinidad de reacciones anabólicas. Este NADPH+H+ es utilizado en tejidos con elevada síntesis de ácidos grasos como el adiposo, corteza renal y glándula mamaria • La obtención de diversos monosacáridos para el esqueleto de los nucleótidos(desoxirribosa y ribosa). Uno de los más importantes es la ribosa-5-fosfato, necesaria para la síntesis de los nucleótidos y es la base de los ácidos nucleicos. • También reduce el glutatión (moneda de intercambio de poder reductor universal) en glutatión reducido. Tiene dos fases que tienen lugar en el citoplasma: • Una fase oxidativa→ en esta fase se forma poder reductor y la ribosa-5-fosfato • Una fase no oxidativa → implica una serie de reorganizaciones moleculares entre distintos monosacáridos, caracterizada principalmente por la transferencia de dos o tres átomos de carbono de un monosacárido a otro. Ala: alamina Aa: aminoácidos
  • 28.
    28 2.2.1.Regulacion de lagluconeogénesis y de la glucólisis Las enzimas que se han estudiado en la gluconeogénesis están reguladas alostéricamente por una serie de factores, que muchas veces son los mismos que regulan la enzima opuesta de la glucólisis, aunque el efecto regulador es el contrario. La relación de dos enzimas que catalizan pasos opuestos a través de los mismos factores genera lo que se conoce como ciclo de sustrato. Este sistema permite una coordinación muy precisa de ambas rutas, de tal manera que el mismo factor que está activando una ruta, a su vez está inhibiendo la ruta opuesta; por lo tanto, el control de las dos rutas es muy precisos y se minimiza el gasto energético a pesar de que ambas enzimas estén funcionando al mismo tiempo. En el dibujo de arriba se presentan los ciclos de sustratos típicos de la ruta glucolítica y gluconeogénica, así como los factores que potencian e inhiben cada enzima:
  • 29.
    29 En la gluconeogénesishay que destacar que la glucosa-6-fosfatasa es activada por la glucosa-6-fosfato; la fructosa 1-6- bifosfatasa se inhibe por la acción de la fructosa-2-6-bifosfato y AMP y está potenciada por el citrato; mientras que el ADP es un inhibidor de la fosfoenolpiruvato carboxiquinasa y de la piruvato carboxilasa. 2.2.2.Sustrato gluconeogénesis Existen varias moléculas distintas que puede ser precursores de la síntesis de glucosa en la ruta gluconeogénica. Destacan entre estos sustratos el ácido láctico, el glicerol y la alanina. • Glicerol → dos enzimas (glicerol quinasa y glicerol 3-P-deshidrogenasa) transforman el glicerol en dihidroxiacetona fosfato, uno de los intermediarios de la ruta gluconeogénica. • Ciclo de la glucosa alanina→ proceso en el cual el aminoácido alanina se convierte en piruvato para después ser transportado al hígado para que éste sintetice glucosa. • Ciclo de cori→ Contribuye a eliminar ácido láctico de la sangre, que se genera en grandes cantidades en células que no poseen mitocondrias o que en determinados momentos presentan bajas concentraciones de oxígeno. El ácido láctico se libera y se transporta por vía sanguínea hasta e hígado. En ese órgano se transforma en piruvato, que servirá para la síntesis de nuevas moléculas de glucosa para ser aprovechas por esas células sin mitocondrias o carentes de oxígeno.
  • 30.
    30 2.3. DESTINOS CATABÓLICOSALTERNATIVOS DEL PIRUVATO El piruvato que se genera principalmente gracias a la glucólisis es un metabolito intermedio que va a ser aprovechado por diversas rutas metabólicas con la finalidad de aumentar la producción de energía o servir para la síntesis de diversas moléculas, principalmente aminoácidos. Entre las rutas catabólicas destacan principalmente dos: las fermentaciones y la descarboxilación oxidativa del piruvato. 2.3.1. Fermentaciones y el reciclaje de NAD+H+ Las fermentaciones son una seria de rutas metabólicas que permiten el reciclaje de NAD+ . Si no se pudiera producir dicho reciclaje, la glucólisis se vería bloqueada por la falta de NAD+ , y con ella se bloquearía la producción de ATP que se genera en la ruta catabólica. En las células eucariotas, la regeneración de NAD+ se produce en las mitocondrias gracias a la cadena transportador de electrones. Por ello, en organismo procariotas y en aquellas células eucariotas carentes de mitocondrias o que se encuentran en condiciones de recudidos niveles de O2, la regeneración de NAD+ por fermentación es fundamentan para producir ATP. Las fermentaciones son importantes tanto a nivel bioquímico como industrial. Las dos principales tipos de oxidaciones incompletas, es decir, que no terminan en la producción de CO2, y que se producen en el citoplasma a partir del piruvato son: ❖ Fermentación láctica (la reducción del piruvato) Existen diversos tipos de fermentación láctica, si bien la mas destacable es la conocida como fermentación homoláctica, por la cual el piruvato se reduce a lactato en presencia de NAD+H+ , por acción de la lactato deshidrogenasa: Esta reacción permite regenerar la cantidad suficiente de NAD+ para que la glucólisis siga funcionando, al menos durante un periodo corto de tiempo en aquellas situaciones en las cuales el suministro de O2 se ve reducido, como en las células musculares que se contraen rápidamente y presentan una demanda energética elevada. La reducción del piruvato a lactato ocurre tanto en células animales como vegetales y , especialmente en muchos microorganismo. La fermentación láctica tiene una enorme importancia industrial ya que esta implicada en la elaboración de una gran cantidad de productos lácteos (leche, yogures, mantequilla…). • En condiciones anaeróbicas se produce la descarboxilación oxidativa del piruvato se transforma en acetil-CoA ,entra en el ciclo de Krebs y sigue el catabolismo hasta la cadena transportadora de electrones, generando 38 moléculas de ATP. • En condiciones anaeróbicas se producen las fermentaciones donde a partir del piruvato solo se obtienen 2 moléculas de ATP.
  • 31.
    31 ❖ Fermentación alcohólica(una descarboxilación no oxidativa del piruvato) Este tipo de fermentación se da sobre todo en levaduras y en algunos tipos de bacterias y está implicada en la elaboración de bebidas alcohólicas y en la fabricación de pan. La fermentación alcohólica realmente consiste en dos reacciones consecutivas: o La primera implica la descarboxilación del piruvato por la enzima piruvato descarboxilasa o La segunda reacción produce etanol a partir de los productos de la reacción anterior por acción de la alcohol deshidrogenasa. 2.3.2. Descarboxilación oxidativa del piruvato El piruvato todavía tiene bastante energía química y se puede ser empleada para obtener una cantidad sustancia de ATP. Para ello el piruvato debe oxidarse por completo. El primer paso es una descarboxilación que origina una molécula de acetil-CoA, la cual posteriormente se degradará en el llamado ciclo de Krebs, produciendo mucha energía. Este proceso de eliminación de un átomo de carbono se conoce como descarboxilación oxidativa del piruvato y lo realiza un complejo METABOLISMO DEL ALCOHOL Cualquier sustancia del cuerpo ajena es un cenobítico (fármaco, alcohol…). Todos siguen la misma ruta de detoxicación en el hígado. Dentro de los hepatocitos el metabolismo del alcohol se realiza en tres lugares distintos: - En citosol por la ADH (alcohol deshidrogenasa). En esta vía el etanol se oxida en acetaldehído por acción de la alcohol deshidrogenasa, dando lugar poder reductor (NADH). Luego el acetaldehído se oxida en ácido acético por acción de aldehído deshidrogenasa, dando lugar a poder reductor (NADH). El acetaldehído esta mas oxidado que el etanol mientras que el ácido acético está más oxidado que el acetaldehído. - En el peroxisoma por la catalasa - En el sistema membranoso de oxidación de alcohol se da en el retículo endoplasmático. Aquí se tendría la ruta del citocromo P 450. Este mismo sistema de oxido-reducciones se utiliza para detoxicar muchos fármacos y está muy activo en los alcohólicos. Aquí se dan las mismas conversiones en el citosol, solo que se libera O2 y se catalizan por dos enzimas diferentes (oxidasa de función mixta) y aldehído oxidasa. La acumulación de NADH favorece fermentación (aumenta la [lactato] y disminuye pH de sangre) e inhibe la PDH (piruvato deshidrogenasa), favoreciéndose anabolismo a partir de piruvato (rutas anapleróticas) y acetato. La vitamina B12, acelera el metabolismo del alcohol y a la larga restaura el estado de oxidación de la PDH
  • 32.
    32 multienzimático, conocido comopiruvato deshidrogenasa (PDH), compuesto por 5 coenzimas y tres enzimas con actividades enzimáticas distintas: 1. Piruvato descarboxilasa→ produce la eliminación del átomo de carbono del piruvato. Para actuar requiere pirofosfato de tiamina como cofactor y origina como producto acetaldehído. 2. Dihidrolipoil transacetilasa → emplea dos lipoamidas como cofactores enzimáticos, que utiliza para transferir el acetaldehído a una molécula de coenzima A (CoA-SH), a la vez que lo oxida originado el acetil CoA. La reacción que cataliza la conversión de piruvato a acetil-CoA es irreversible y es un importante punto de control de todo el metabolismo. 3. Dihidrolipoil deshidrogenasa→ esta enzima ayuda en la regeneración de las lipoamidas de la dihidrolipoil transacetilasa, para la cual requiere como cofactor FAD, que las oxida. Finalmente, los electrones de la oxidación serán cedidos por el FADH2 a una molécula de NAD+ , formando NADH+H+. El balance de la reacción del complejo del piruvato deshidrogenasa sería el siguiente: El complejo de piruvato deshidrogenasa se encuentra fuertemente regulado, presenta una regulación alostérica basada principalmente en la relación NADH+H+ /NAD+ y acetil CoA/ CoA-SH; de tal manera que - Si está relación es elevada, lo cual indica un nivel energético alto de la célula, la enzima se inhibe - Si la relación es baja, lo cual indica bajo nivel energético de la célula, la enzima se activa. También presenta un control por fosforilación-desfosforilación (modificación covalente reversible) que afecta a la primera enzima o actividad enzimática (la piruvato descarboxilasa) del complejo piruvato deshidrogenasa. - Las altas [NADH] y [acetil-CoA] activan la piruvato deshidrogenasa quinasa (PDHK) que fosforila la PDH, inactivándola. - Las elevadas [NAD+] y [CoA] inhiben a la piruvato deshidrogenasa quinasa (PDHK) y activan a la piruvato deshidrogenasa fosfatasa (PDHPP) que desfosforila la PDH, activándola. 2.4. CICLO DE KREBS También llamado ciclo del ácido cítrico o ciclo de los ácidos tricarboxílicos. Tiene lugar en la matriz mitocondrial de la célula, excepto la succinil-CoA sintetasa que forma parte del complejo II de la cadena de transporte de electrones. Es parte de la vía catabólica que realiza la oxidación de las moléculas de acetil-CoA hasta producir CO2, liberando gran cantidad de energía química en forma de GTP y de poder reductor (NADH+H+ y el FADH2). En el ciclo de Krebs se produce una secuencia de reacciones que oxidan los dos átomos de carbono de una molécula de acetil CoA hasta rendir CO2. Las reacciones son: 1. Condensación entre una molécula de acetil- CoA (dedos carbonos) y una molécula de oxalacetato (de cuatro carbonos). Esta reacción es una condensación aldólica a la que sigue una hidrolisis que libera la coenzima A libre. Dicha reacción está catalizada por el citrato sintasa, dando como producto final el citrato (de seis carbonos). Es un paso irreversible. 2. Transformación del citrato en isocitrato. Con esta reacción que sucede en dos pasos, una deshidratación seguida de una hidratación se pasa de un sustrato con un alcohol terciario a una molécula con un alcohol secundario, que resulta más fácilmente oxidable. Esta reacción se lleva a cabo por la aconitasa, formando un intermediario conocido como cisaconitato. 3. Primera descarboxilación oxidativa. Se produce la transformación del isocitrato (de seis carbonos) a α- cetoglutarato (de cinco carbonos) reacción que conlleva la reducción de una molécula de NAD+ a NADH+H+ y la eliminación de un átomo de carbono en forma de CO2. Esta reacción la cataliza el isocitrato deshidrogenasa y es la primera etapa en la se produce NADH+H+ y CO2.Es un paso irreversible.
  • 33.
    33 4. Segunda descarboxilaciónoxidativa. Se produce la transformación del α-cetoglutarato (de cinco carbonos) a succinil- CoA (el succinil tiene 4 carbonos), reacción la catalizada por el complejo multienzimático α-cetoglutarato deshidrogenasa. Como resultado, además del succinil-CoA, se genera una segunda molécula de NADH+H+ así como de CO2. Hay acumuladas dos moléculas de CO2, de manera que se ha completado la oxidación neta del grupo acetilo. La reacción es un paso irreversible. 5. Fosforilación a nivel del sustrato. En esta reacción se acopla la ruptura del enlace de alta energía del succinil- CoA con la síntesis de una molécula de GTP, a partir de GDP y Pi liberando succinato y coenzima A. Esta reacción la lleva a cabo la enzima succinil-CoA sintetasa. 6. Oxidación del succinato (4C) en fumarato (4C) por acción del succinato deshidrogenasa. Es una reaccion de deshidrogenación, de manera que el hidrogeno eliminado se acopla a la síntesis de una molécula de FADH2. 7. Hidratación del doble enlace fumarato, originado L-malato. La fumarasa cataliza esta reacción. 8. Oxidación del L-malato a oxalacetato, gracias al enzima malato deshidrogenasa. Esta reacción genera una última molécula de NADH+ H+ , la tercera que se obtienen en el ciclo. El oxalacetato puede dar de nuevo al inicio del ciclo, pues se utiliza junco con el acetil-CoA en la generación del citrato en el primer paso de ciclo. 9 y 10. Las dos últimas reacciones a partir de la formación del succinato suponen la preparación de otra vuelta del ciclo mediante la regeneración del oxalacetato necesaria para la primera reacción. De esta forma se puede oxidad un numero ilimitado de grupos acetilo con la mediación de una sola molécula de oxalacetato, ya que ésta se regenera en cada vuelta del ciclo
  • 34.
    34 El NADH+H+ y FADH2se reoxidaran rápidamente a través de la cadena transportadora de electrones y la fosforilación oxidativa. De esta forma se completa la degradación de metabolitos celulares, maximizando la obtención de energía mediante la síntesis de nuevas moléculas de ATP. El GTP se puede utilizar como fuente de energía en determinadas reacciones, o para sintetizar ATP. 2.4.1. Regulación del ciclo de Krebs El ciclo está fuertemente regulado en distintos pasos. Se debe a que, por un lado, debe satisfacer con precisión las necesidades energéticas de la célula y, por otro lado, el ciclo de Krebs es una fuente muy importante de precursores de gran cantidad de biomoléculas. La regulación del ciclo de Krebs sucede principalmente a dos niveles: • Disponibilidad del sustrato_ esto se debe a la concentración de acetil-CoA y oxalacetato es baja en la mitocondria con relación a citrato sintasa. El aumento de la disponibilidad de estos sustratos estimula frecuentemente la síntesis de citrato y, por consiguiente, el ciclo de Krebs. La disponibilidad de acetil-CoA depende en gran medida del piruvato deshidrogenasa (PDH), mientras que la disponibilidad de oxalacetato depende sobre todo de la piruvato carboxilasa. De tal forma que estas enzimas, ajenas al ciclo de Krebs, afectan en gran medida a la regulación de este. • Modulación de enzimas clave_ enzimas del propio ciclo de Krebs, principalmente aquellas que catalizan pasos irreversibles, están finamente reguladas mediante efectores alostéricos. Esta regulación afecta sobre todo al citrato sintasa, isocitrato deshidrogenasa y α-cetoglutarato deshidrogenasa. El citrato sintasa y la α-cetoglutarato deshidrogenasa se inhiben principalmente por succinil-CoA y NADH+H+, mientras que la isocitrato
  • 35.
    35 deshidrogenasa se inhibeprincipalmente por ATP y NADH+H+ . La relación de NADH+H+ /NAD+ mitocondrial, que refleja el estado energético celular del momento, es uno de los principales controladores del ciclo de Krebs. En general, se podría decir que, en condiciones normales, las velocidades de la glucólisis y del ciclo de Krebs están integradas de forma que sólo se metaboliza a piruvato la cantidad de glucosa necesaria para abastecer al ciclo, y de esta forma cubrir las necesidades energéticas de la célula. Le velocidad de la glucólisis se acopla a la del ciclo de Krebs no sólo a través de su inhibición por altos niveles de ATP y NADH sino también por la inhibición del citrato, todos ellos productos del ciclo de Krebs. El arsénico bloquea el ciclo de Krebs produciendo graves daños e incluso la muerte. 2.4.2. Reacciones anapleróticas Gran cantidad de rutas catabólicas convergen el ciclo de Krebs. Estas reacciones, que tienen su origen en el metabolismo de hidratos de carbono, de los lípidos y sobre todo de los aminoácidos tienen gran importancia a la hora de reponer los intermediarios del ciclo. Las reacciones que generan dichos intermediarios se conocen como reacciones anapleróticas. Las reacciones anapleróticas permiten que el ciclo continúe funcionando, a pesar de que diversos intermediarios sean utilizados para la síntesis de biomoléculas. Destacan entre reacciones anapleróticas la actuación del piruvato carboxilasa y de la enzima málica, que permiten restablecer diversos intermediarios del ciclo de Krebs (malato y oxalacetato) a partir del piruvato. La doble naturaleza, catabólica y anabólica del ciclo, es lo que se conoce como carácter anfibólico del ciclo de Krebs y viene determinada por el hecho de que algunos de los intermediarios intervienen como precursores de diversas rutas biosintéticas. Esto implica que continuamente tengan que repuestos de intermediarios para no desabastecer al ciclo, reposiciones que realizan las reacciones anapleróticas. Entre los distintos intermediarios del ciclo de Krebs que pueden utilizarse como precursores destacan: • Oxalacetato (OAA)_ se emplea en la gluconeogénesis y en la síntesis de aminoácidos. En el hígado, en condiciones de anabolismo el OAA está en defecto y se repone mediante las rutas anapleróticas de fosfopiruvato carboxilasa (PEPC), piruvato carboxilasa (PC) y enzima málica . • Citrato_ se puede emplear en la biosíntesis de lípidos. Se utiliza para sacar el acetil CoA, que se genera en la mitocondria, que no puede atravesar la membrana mitocondrial interna. En el hígado, en condiciones de anabolismo el acetil-CoA se utiliza para sintetizar intermediarios. • α-cetoglutarato • Succinil- CoA 2.5. TRANSPORTE DE ELECTRONES Los electrones de las oxidaciones se emplean en una primera etapa para reducir el NAD+ y FAD a NADH+H+ y FADH2. Los electrones fijados en estas coenzimas pasan entonces a la cadena transportadora de electrones, gracias a la reoxidación mitocondrial del NADH+H+ y FADH2 a NAD+ y FAD respectivamente. Los electrones sufren un proceso de oxidación-reducción secuencial a través de determinados centros rédox para finalmente reducir el oxígeno a agua. Este proceso, por el cual se transfieren los electrones desde las biomoléculas del alimento hasta el oxígeno, suele denominarse respiración aerobia o respiración celular. Los transportadores están ordenados secuencialmente de mayor a menor potencial de reducción de manera que las reacciones rédox se dan espontáneamente con liberación de energía Una serie de protones (H+ ) se transfieren desde la matriz mitocondrial hacia el espacio intermembrana de la mitocondria, de modo que se crea un gradiente de protones H+ (gradiente electroquímico). Este gradiente resultante sirve para impulsar la síntesis de ATP, a partir de ADP y Pi , a través de la llamada fosforilación oxidativa. La mayoría de los electrones que se van a utilizar en la cadena transportadora de electrones provienen de la acción de las deshidrogenasas, que recogen los electrones de distinto procesos catabólicos y los canalizan hacia los aceptores universales de electrones (NAD+ y FAD). Entonces los electrones fijados por estas coenzimas se transfieren a una serie de transportadores en la membrana interna de la mitocondria conocidos complejos mitocondriales. Estos complejos transportadores de electrones son de naturaleza proteica y poseen grupos proteicos capaces de aceptar o donar electrones. En a la cadena respiratoria intervienen tres tipos de moléculas capaces de trasferir electrones: - Ubiquinona o coenzima Q - Citocromos - Proteínas con centros Fe-S
  • 36.
    36 El tránsito deelectrones a través de los complejos mitocondriales (agrupaciones de diferentes proteínas) se produce en orden creciente de afinidad electrónica, transfiriendo electrones desde las coenzimas reducidas (NAD+ y FAD) hasta el oxígeno, aceptor final de los electrones. Los complejos implicados en la transferencia de electrones son: - Complejo I (NADH-Coenzima Q-oxidorreductasa) _ transporta los electrones del NADH a la ubiquinona. - Complejo II (Succinato-Coenzima Q oxidorreductasa) _ una enzima del ciclo de Krebs que pasa los electrones del FADH2 a la ubiquinona. Es el único complejo que no bombea H+ . - Complejo III (Coenzima Q-citocromo c oxidorreductasa) _ la transferencia de electrones desde la ubiquinona al citocromo c. - Complejo IV (citocromo c oxidasa) _ es la última etapa y conduce a los electrones desde el citocromo c hasta el ultimo aceptor de los electrones, el oxígeno, que se reduce a agua. Los electrones del NADH+H+ se transportan al complejo I, y allí son aceptados por el nucleótido de flavina FMN; posteriormente se transfieren a una serie de centros Fe-S que, finalmente trasladan los electrones a la ubiquinona. La ubiquinona reducida difunde libremente por la membrana transportando los electrones hasta el complejo III. En este complejo los electrones se transfieren de uno en uno. El hecho de que los electrones pasen individualmente hace que se genere ubisemiquinona (molécula de ubiquinona reducida por un solo electrón) que, gracias a los citocromos b del complejo II, se reduce nuevamente y cede el segundo electrón. Al final, los dos electrones son cedidos a dos citocromos C: durante este proceso se logran transportar otros cuatro protones al espacio intermembrana. Los citocromos c se encargan de transferir los electrones desde el complejo III al complejo IV, donde se reduce el oxígeno a agua. Los electrones de las moléculas de FADH2 entran en la cadena trasportadora de electrones a través del complejo II que transfiere los electrones a la ubiquinona. A partir de la ubiquinona, los electrones del FADH2 siguen el mismo camino que los electrones del NADH+H+ , siendo transferidos al complejo III, al citocromo c, al complejo IV y, finalmente, cedidos al oxígeno para formar agua. 2.6.FOSFORILACION OXIDATIVA (254) Es la síntesis de ATP a partir de ADP y Pi en las mitocondrias y está catalizada por la ATP sintasa (o complejo V). Esta enzima se encuentra: • En la membrana mitocondrial interna de mamíferos, levaduras y hongos • En la membrana citoplasmática de las bacterias • En la membrana tilacoidal de los cloroplastos La Teoría quimiosmótica de Mitchell infiere que la síntesis de ATP está acoplada a la cadena transportadora de electrones mitocondrial mediante un gradiente de protones que se genera a partir de una seria de reacciones redox que permiten el transporte de electrones. Los postulados de esta teoría son: 1. Los complejos transportadores de electrones logran pasar protones al espacio intermembrana en contra de gradiente, creando así un gradiente eléctrico y un gradiente de protones a través de la membrana interna. A este gradiente electroquímico generado por el transporte de electrones por diversos complejos mitocondriales se denomina fuerza protón-motriz. 2. El potencial electroquímico de este gradiente o fuerza protón motriz lo aprovecha la ATP sintasa para sintetizar ATP. La ATP sintasa transporta los protones a la matriz mitocondrial a favor de gradiente y acopla este proceso a la síntesis de ATP. Por lo tanto, el flujo electrónico provoca la salida de protones y su reentrada en el interior a través de una H+-ATPsintasa produce la síntesis de ATP Como ya se ha dicho, el transporte electrónico provoca que los complejos I, III y IV muevan protones a través de la membrana mitocondrial interna desde la matriz (región de baja concentración de protones y de potencial negativo) al espacio intermembrana (región de elevada concentración de protones y potencia eléctrico positivo). Esto hace que las moléculas de NADH+H+ originen mayor transferencia de protones que las moléculas de FADH2, y produce que las primeras generen un gradiente mayor, lo cual permitirá una mayor síntesis de ATP.
  • 37.
    37 3.ALMACENAMIENTO DE LAGLUCOSA POR EL METABOLISMO DEL GLUCÓGENO El glucógeno es un polisacárido de origen animal, formado por una gran cantidad de moléculas de glucosa. Ejerce una función de reserva energética a corto plazo, con el fin de cubrir las necesidades a corto plazo de glucosa. El hígado y el musculo almacenan el glucógeno. El metabolismo del glucógeno se suele dividir en dos procesos: la gluconeogénesis (síntesis de glucógeno) y la glucogenólisis (degradación del glucógeno). 3.1.GLUCOGENOGÉNESIS Este proceso es anabólico. Se produce normalmente después de la ingestión, sobre todo si la dieta es rica en carbohidratos. La glucosa será almacenada tanto en el tejido muscular como en el tejido hepático en forma de glucógeno. El tejido hepático será el que se encargue de acumular la mayor cantidad de glucosa en forma de glucógeno. La gluconeogénesis comienza con la transformación de glucosa en la glucosa-6-fosfato (por acción de la hexoquinasa en el músculo y de la glucoquinasa en el hígado). Después la glucosa-6-P se transforma en glucosa-1-fosfato por la acción de la fosfoglucomutasa, a través de una reacción reversible. Posteriormente la glucosa-1-fosfato se va a transformar en UDP-glucosa, activando la glucosa. Esta activación determina que la glucosa pueda ser transformada en un polisacárido, ya que la formación del enlace 0-glucosídico es un proceso que necesita energía aportada por la hidrolisis de UDP de la glucosa. Para la síntesis de glucógeno a partir de moléculas de UDP-glucosa se necesitan: • Una molécula preexistente de glucógeno • La enzima glucógeno sintasa • Una enzima ramificante cuyo papel es crear los puntos de ramificación mediante enlaces (α1→6) 3.2.GLUCOGENÓLISIS La degradación de glucógeno normalmente se produce horas después de las comidas, pues en estos momentos habrán descendido los niveles de glucosa en sangre. En estos momentos el tejido hepático empezará a degradar el glucógeno para liberar glucosa a la sangre. Mientras en el tejido muscular, la degradación del glucógeno tendrá lugar cuando se realice un mayor gasto energético que no pueda ser cubierto con el aporte de glucosa desde la sangre, normalmente
  • 38.
    38 cuando se produceun ejercicio inmensos. Para la degradación del glucógeno en glucosa 1-P se necesitan fundamentalmente : • Glucógeno fosforilasa→ elimina las moléculas de glucosa de los extremos no reductores, recortando las cadenas lineales de glucógeno. Esta enzima también rompe los enlaces (α1→4), liberando moléculas de glucosa- 1-fosfato. • Enzima desramificante→ elimina los puntos de ramificación. Después por acción de la fosfoglucomutasa, la glucosa-1-P se transforma en glucosa-6-P. En el tejido muscular, la glucosa-6-fosfato se oxidará en la glucolisis. En el tejido hepático será transformada en glucosa libre por la glucosa-6- 6-fosfatasa, y posteriormente se liberará al torrente circulatorio para elevar los niveles de glucosa en sangre en otros tejidos- 3.3.REGULACIÓN HORMONAL DEL METABOLISMO DEL GLUCÓGENO La síntesis y la degradación del glucógeno están reguladas cuidadosamente para que la disponibilidad de glucosa permite cubrir las necesidades energéticas del organismo. El control de estos procesos metabólicos se produce principalmente a través de tres hormonas: la insulina, el glucagón y la adrenalina. • Glucagón→ Naturaleza peptídica y síntesis en páncreas. Actúa únicamente en el hígado, puesto que el músculo no tiene receptores para el glucagón Se libera cuando la [glucosa] en sangre es baja y desencadena rutas para la obtención de energía a partir de materia de reserva, por lo que: - En hígado activa la glucogenólisis y la gluconeogénesis • Insulina → Naturaleza peptídica y síntesis en páncreas. Se libera cuando la [glucosa] en sangre es alta y desencadena rutas biosintéticas para poder almacenar material de reserva, por lo que - En hígado y músculo activa la glucogenogénesis. - En el hígado activa la glucólisis. • Adrenalina→ Es una catecolamina que se sintetiza en glándulas suprarrenales y se produce rápidamente ante una respuesta de peligro para dotar al organismo de energía necesaria para la huida por lo que en el músculo activa la glucogenólisis y la glucólisis.
  • 39.
    39 Estas hormonas actúana través de receptores celulares que regulan normalmente la actividad de una enzima adenilato ciclasa de manera que em el hepatocito (hígado) ocurre lo siguiente: • La adrenalina y el glucagón estimulan la síntesis de AMPc El AMPc, indicador de baja energía, es un mensajero secundario que activa una serie de quinasas encargadas de fosforilar a la glucógeno fosforilasa quinasa (GP) y a la glucógeno sintasa. La glucógeno fosforilasa fosforilada es la forma activa de la enzima, mientras que la glucógeno sintasa fosforilada es inactiva de tal forma que la adrenalina y el glucagón impiden la síntesis de glucógeno, o glucogenogénesis. • La insulina no incrementa los niveles de AMPc, y por tanto en su presencia la quinasa no fosforilará las enzimas del metabolismo del glucógeno. Además, la insulina favorece la actividad de unas enzimas fosfatasas que desfosforilan a la glucógeno fosforilasa y la glucógeno sintasa, lo que provoca que pasen a una forma inactiva y activa, respectivamente. Así, la insulina potencia la síntesis de glucógeno (glucogenogénesis) e inhibe la degradación de éste (glucogenólisis). La insulina también favorece la glucólisis para que las células utilicen la glucosa disponible y así reducirlos niveles de glucemia. En el miocito(músculo) ocurre lo siguiente: • La adrenalina estimula la síntesis de AMPc. En el músculo, además de la regulación hormonal, hay regulación alostérica por AMP que desplaza a la GP de la forma T a la forma R. En este caso, la glucogenólisis y glucólisis ocurren simultáneamente y se usan para obtener energía • La insulina, cuando hay glucosa , potencia la glucogenogénesis para almacenar la glucosa El hígado tiene receptores para las tres hormonas, mientras que el tejido muscular principalmente tienen receptores para la adrenalina, aunque también tiene para la insulina. De esta manera la insulina y el glucagón afectan fundamentalmente al hígado, mientras que la adrenalina regula la síntesis y degradación de glucógeno en el musculo. Este hecho tiene su lógica, pues la insulina y el glucagón informan de los niveles de glucosa en sangre, niveles que se encarga de controlar el hígado. La adrenalina se sintetiza como respuesta a un estímulo de alerta o a uno de estrés emocional, de tal forma que, al favorecer, la glucogenólisis en el musculo, facilitan una respuesta rápida frente a un estímulo. Glucógeno hepático Glucógeno muscular Función principal Mantenimiento de la concentración de glucosa en sangre. Combustible reserva para la contracción muscular Otras funciones Utilizado como combustible para cualquier tejido, pues el hígado contiene glucosa-6-fosfatasa que desfosforila la glucosa y permite que salga a sangre. Ninguna, el músculo carece de glucosa-6- fosfatasa Depósitos Aprox. 10% del peso del hígado. Sólo duran 12-24h durante el ayuno. Aprox. 13% del peso del músculo. Tenemos mucha masa muscular, (por lo que hay el doble de glucógeno en el hígado) Control hormonal El glucagón y la adrenalina estimula la glucogenólisis La insulina estimula la glucogenogénesis La adrenalina estimula la glucogenólisis. La insulina estimula la glucogenogénesis.
  • 40.
    40 3.4.BIOQUÍMICA DE LADIABETES Al no haber insulina no se capta la glucosa por los tejidos, al no estar estos permeabilizados, por lo que la [glucosa] aumenta en sangre. Las células al no entrar en la sangre las células del cuerpo comienzan a utilizar las grasas del tejido adiposo para obtener energía. Los ácidos grasos van a parar a la sangre y luego al hígado, donde se convierten en acetil- CoA, Mientras en el músculo se degradan proteínas al no haber casi glucógeno , lo que produce la liberación de aminoácidos en sangre. Los aminoácidos van al hígado, ahí se convierten en glucosa para convertirse después en ácidos grasos y posteriormente en acetil CoA El piruvato, y en este caso, los ácidos grasos producen acetil-CoA que, además de utilizarse junto con el oxalacetato en el ciclo de Krebs, es un precursor de los cuerpos cetónicos. Los cuerpos cetónicos se producen cuando no hay suficiente oxalacetato como para que el acetil-CoA reaccione con él, no pudiéndose iniciar el ciclo de Krebs . La degradación de los ácidos grasos produce mucha más aceltil-CoA que el piruvato .
  • 41.
    41 Por ejemplo: - 18átomos de carbono de un ácido graso generarían 9 de acetil-CoA - 19 átomos de carbono de un ácido grado (n-3/2)= 8 moléculas de acetil- CoA más una molécula de malonil- CoA El acetil-CoA se convierte entonces en cuerpos cetónicos, que van a parar a la sangre. La acumulación de muchos cuerpos cetónicos puede devenir en una acidosis metabólica que se expresa tanto en la sangre como en la orina. Los síntomas son: • Aumento de la sed • Necesidad de orinar a menudo (poliuria) • Incontinencia urinaria en niños que anteriormente no mojaban la cama durante la noche • Hambre extrema • Adelgazamiento no intencional • Irritabilidad y otros cambios de humor • Fatiga y debilidad • Visión borrosa • Respiraicon profunda y rápida (hiperventilación ) • Mal aliento (aliento de acetona) • Glucosuria (presencia de glucosa en la orina) • Náuseas, vómitos y dolor abdominal TEMA6- BIOENERGÉTICA II 1.TRANSPORTE A TRAVÉS DE LAS MEMBRANAS En la bicapa lipídica se disponen proteínas periféricas e integrales, azúcares en el exterior y colesterol. Todos ellos contribuyen a las funciones bioquímicas y fisiológicas de las membranas Regulan el intercambio de sustancias entre el interior y exterior en la misma célula, y reconocimiento intercelular. Las sustancias suelen desplazarse de la membrana a través de dos procesos: 1. Procesos pasivos: las sustancias utilizan su propia energía cinética y se mueven siguiendo un gradiente de concentración o un gradiente electroquímico. La célula no aporta energía. A veces, también se establecen canales entre 2 células adyacentes y puede haber flujo de materia entre el citoplasma de ambas células. Hay tres tipos: ➢ Difusión simple ➢ Difusión facilitada o Difusión facilitada por trasportador_ es impulsada por un cambio conformacional de la proteína al unir la molécula a un trasportador. o Difusión facilitada por canal_ los canales son hidrofóbicos, selectivos y algunos pueden cerrarse y son sensibles a estímulos químicos o eléctricos. ➢ Ósmosis
  • 42.
    42 2. Procesos activos:emplean energía celular (ATP) e impulsan las sustancias en contra de un gradiente. Hay dos tipos: ➢ Transporte activo_ es para solutos que necesitan moverse en contra de su gradiente de concentración. Se requiere energía para que las proteínas transportadoras puedan mover a los solutos a través de la bicapa lipídica. Este tipo de transporte es uniporte (sólo transporta un soluto). Existen dos fuentes de energía que se utilizan para realizar el transporte activo: I. Transporte activo primario _ la energía se obtiene por hidrolisis de ATP, que modifica la forma de lo proteína transportadora para bombear una sustancia a través de la membrana y en contra de su gradiente. Consume mucho ATP y las sustancias, como el cianuro, que detienen la producción de ATP, son letales al suprimir el transporte activo de todas las células del organismo. Este tipo de transporte es uniporte o cotransporte. Las proteínas del transporte activo se denominan bombas. La más importan es la de sodio potasio (Na+ /K+ -ATPasa) que bombean 3 NA+ hacia el fuera y 2 K+ hacia el interior en contra de su gradiente, pero en este caso la bomba es antiporte. II. Transporte activo secundario_ utiliza energía almacenada de los gradientes de concentración iónicos (utiliza indirectamente la energía obtenida de la hidrolisis de ATP) para facilitar el paso de otras sustancias a través de la membrana. Este transporte acopla el movimiento de un ion que se desplaza a favor de su gradiente para el transporte de una segunda sustancia contra su gradiente electroquímico. - Cotransportadores o intercambiadores o simporte_ proteínas de membrana que transportan dos o más sustancias en la misma dirección a través de la membrana. - Contratransportadores o antiportes_ proteínas de membrana que transportan dos o más sustancias en direcciones opuestas a través de la membrana. 2.SISTEMAS ATP/ADP Los enlaces de ATP que contienen la energía son entre los grupos fosfatos. Normalmente, los enlaces que se hidrolizan son el β y el γ, y se libera más energía cuando la molécula se hidroliza por β. ATP es la moneda de cambio energético de la célula. Los heterótrofos obtienen energía de la materia orgánica y los autótrofos de la luz, pero en ambos casos acumulan la energía en moléculas con enlaces ricos energéticamente. Las biomoléculas de los alimentos se oxidan en el catabolismo liberando energía mientras que en el anabolismo se consume energía para formar biomoléculas a partir de compuestos sencillos. El ATP es el punto de unión entre ambos procesos. Sin embargo, no solo se libera y consume la energía en forma de ATP porque también se libera y necesita poder reductor. El balance del metabolismo es<1
  • 43.
    43 2.1.FUENTES DE ENERGÍAY ESTRATEGIAS PARA GENERAR ATP Adenilato quinasa_ Cataliza la condensación de dos moléculas de ADP para dar una de ATP y una de AMP (ADP+ADP→ATP+AMP). Fosforilación a nivel del sustrato_ Proceso por el cual se produce la fosforilación de ADP a ATP por transferencia de un grupo fosfato, desde un determinado sustrato. Son reacciones acopladas en las que se utilizan compuestos de energía de hidrolisis muy alta. Ocurre n las primeras etapas del catabolismo y supone el 2% de la producción de energía de los organismos vivos. Fosforilación oxidativa Fotofosforilación _síntesis de ATP que se produce cuando se exponen cloroplastos aislados a la acción de la luz, en presencia de ADP y fosfato. 3.OTROS TRANSPORTADORES MITCONDRIALES Aparte de la cadena transportadora de electrones tenemos otros dos tipos de trasportadores: • Translocasa ADP/ATP: realiza el intercambio antiporte entre ADP citosólico y ATP de la matriz mitocondrial. • Translocadores de fosfato: son dos proteínas diferentes que realizan un antiporte hidroxilo y fosfato o un simporte protón y fosfato. 4.INHIBIDORES METABÓLICOS Bloque el transporte de electrones en la cadena transportadora de electrones. Si uno de los transportadores queda bloqueado y no es capaz de transferir los electrones al siguiente, se colapsa toda la secuencia y se interrumpe el flujo de electrones y por lo tanto la síntesis de ATP 5.DESACOPLANTES Actúan disipando el gradiente de electrones. Son moléculas hidrofóbicas con un protón disociable, que pueden atravesar la membrana mitocondrial interna transportando protones. En presencia de estas moléculas, el transporte de electrones se realiza de manera normal, se consume NADH, FADH2 y O2, pero no se produce ATP. Entonces la energía se libera en forma de calor. La termoginina es un tipo de desacoplante natural. Lleva a cabo un desacoplamiento de la cadena de transporte electrónica para generar calor. Se produce en las mitocondrias del tejido adiposo de mamíferos que hibernan, como el oso. En animales pequeños como la rata, que no generan suficiente calor metabólico, necesitan producirlo activamente en la grasa parda, también con un desacoplador.
  • 44.
    44 TEM 8-METABOLISMO INTERMEDIARIOII 1.LÍPIDOS Ente estos compuestos destacan los triacilglicéridos como fuente y reservorio de energía. Aunque los carbohidratos son el combustible principal de las células, las grasas también desempeñan un destacado papel como fuente de almacenamiento de energía. El valor calórico es muy elevado y se duplica prácticamente el valor calórico de los hidratos de carbono. Combustible almacenado Tejido Gramos Kilocalorías Glucógeno Hígado 70 280 Glucógeno Músculo 120 480 Glucosa Fluidos Corporales 20 80 Grasa Adiposo muscular 15.000 135.000 Proteína Muscular 6.000 24.000 • El valor calórico de las grasas de 9 Kcal/g • El valor calórico de las proteínas y de los hidratos de carbono es de 4 Kcal/g Este tema se va a centran principalmente el metabolismo de los triacilglicéridos y de los ácidos grasos. 1.1. LIPOPROTEÍNAS TRANSPORTADORAS DE ÁCIDOS GRASOS Existen distintos tipos de lipoproteínas: quilomicrones (QM), VLDL (lipoproteínas de muy baja densidad), IDL (lipoproteínas de densidad intermedia), LDL (lipoproteínas de baja densidad) y HDL (proteínas de alta densidad). Lipoproteína Origen Función QM Intestino Transportan la grasa (TG exógenos) del alimento desde el intestino a los tejidos periféricos. VDL Hígado e intestino Transportan los TG sintetizados en el hígado (TG endógenos) a los tejidos periféricos. IDL Circulación (VLDL) e hígado Proceden de las VLDL. Tras la hidrolisis de los TG endógenos en los capilares son captados por el hígado. Son precursores de las LDL. LDL Circulación (VLDL) e hígado Son la principal forma de transporte del colesterol a los tejidos HDL Hígado e intestino Elimina el exceso de colesterol de los tejidos y lo devuelven al hígado para su metabolismo o excreción. Las grasas ingeridas en la dieta pasan al intestino delgado. Ahí las sales biliares emulsionan las grasas de la diera, formando micelas mixtas. Después las lipasas intestinales degradan los triacilgliceroles de la dieta (TG exógenos) a glicerol y ácidos grasos. Los ácidos grasos y demás productos de la degradación son absorbidos por la mucosa intestinal y convertidos en triacilglicéridos. En el intestino se forma gran cantidad de quilomicrones, lipoproteínas la as cuales los triacilglicéridos se incorporan, junco con colesterol y apolipoproteínas. Los quilomicrones se vierten a la linfa, que las transporta hasta la sangre, sin pasar por la circulación enterohepática, de tal forma que llegan primero a los tejidos periféricos. En estos tejidos la enzima lipoproteína lipasa plasmática ataca los triacilglicéridos , hidrolizándolos en glicerol y ácidos grasos, que son asimilados por las células tisulares, principalmente adipocitos y miocitos. El glicerol y los ácidos grasos entran por difusión simple a las células de los tejidos periféricos y son utilizados para formar triacilglicéridos y almacenar así grandes cantidades de energía cuando sea necesaria. De esta forma se produce el transporte de los triacilglicéridos de la dieta (TG exógenos) hasta los tejidos. Los restos de los quilomicrones que quedan tras la actuación de la lipoproteína lipasa plasmática se conocen como quilomicrones remanentes, pobres en triacilglicéridos , pero no en fosfolípidos y apoproteínas. Estos restos son retirados por el hígado, suministrándose así fosfolípidos, colesterol, ácidos graso y aminoácidos al tejido hepático. Con las VLDL ocurre un proceso similar, aunque estas lipoproteínas suelen ser de origen hepático y transportan los triacilglicéridos propios del organismo, sintetizados a nivel hepático (TG endógenos), hacia el músculo e hígado. La
  • 45.
    45 actuación de lalipoproteína lipasa sobre las VLDL origina igualmente glicerol y ácidos graso que serán asimilados por los tejidos. Además, se generan las IDL o VLDL remanentes (ricas en colesterol). Estas proteínas residuales son retiradas igualmente por el hígado, que las usa como fuente de fosfolípidos, colesterol y aminoácidos. Estas IDL se pueden enriquecer aún más en colesterol por acción de la proteína transportadora de colesterol esterificado (CETP) , que actúa a nivel sanguíneo, provocando que las IDL se transformen en LDL, que son una forma de transporte de colesterol a los tejidos. Las LDL son retiradas por las células de los tejidos periféricos a través de transportadores específicos que reconocen las apo β-100, apoproteínas constitutivas de las LDL. En realidad, las células incorporan la lipoproteína entera por un proceso de endocitosis mediado por un receptor dependiente de clatrina, así las LDL suministran de fosfolípidos, colesterol y aminoácidos a los tejidos. Por tanto, las IDL/LDL llevan el colesterol al resto de tejidos Las HDL, tienen origen principalmente hepático y sirven para recoger el exceso de colesterol depositado en los tejidos periféricos y transportarlo al hígado. De la misma manera, esta lipoproteína interviene el intercambio de apoproteínas y colesterol esterificado con las demás lipoproteínas, principalmente las LDL. Hay que destacar que las HADL tienen un papel importante en la esterificación del colesterol catalizada por la enzima lectina colesterol aciltransferasa (LCAT), que esterifica el colesterol que las HADL han recogido, con ácidos grasos procedentes de los fosfolípidos presentes en los quilomicrones y VLDL principalmente.
  • 46.
    46 Transporte endógeno yexógeno de los lípidos mediante lipoproteínas 2.METABOLISMO DE LOS ÁCIDOS GRASOS
  • 47.
    47 2.1.LIPÓLISIS Es el mecanismode movilización de los lípidos que se encuentran almacenados como reservorio de energía. Esta movilización sucede cuando hay una deficiencia de aporte energético o cuando se ayuna. Estos lípidos acumulados en forma de triacilglicéridos se encuentran en el citoplasma de las células adiposas. El primer paso pasa su catabolismo, por medio de la triglicérido lipasa intracelular, que origina como productos los componentes de los triacilglicéridos (glicerol y tres ácidos grasos). La enzima triglicérido lipasa actúa bajo una estrecha regulación hormonal: el glucagón y la adrenalina potencian su actividad, favoreciendo la lipolisis al fosforilar a la triglicérido lipasa a través de proteína quinasa A dependiente de AMPc; mientras que la insulina, al potenciar una fosfatasa que desfosforila la lipoproteína lipasa, bloquea la lipolisis. Los ácidos grasos salen del adipocito y se unen en sangre a la albúmina. Está proteína plasmática transporta entre dos y cuatro moléculas de ácidos grasos. Esos ácidos grasos movilizados transportados por la albúmina llegan hasta los tejidos que requieren energía (músculo cardiaco, hígado, musculo esquelético…). En estos tejidos , los ácidos grasos serán oxidados en una vía metabólica denominada, β-oxidación, para producir grandes cantidades de energía. El glicerol también sale a la sangre, pues en el tejido adiposos no puede metabolizarse; de la sangre va al hígado, donde se transforma en dihidroxiacetona fosfato, molécula que puede entrar tanto en la glucólisis como en la gluconeogénesis. 2.2. Β-OXIDACIÓN (p.e) Aquí se producen sucesivas oxidaciones en el carbono β, que van separando fragmentos de dos carbonos en forma de acetil-CoA, que se incorporará después al ciclo de Krebs. Al mismo tiempo se producen , tanto en la β-oxidación como en el ciclo de Krebs, coenzimas reducidas que serán reoxidadas en la cadena respiratoria produciendo energía en forma de ATP. La β-oxidación tiene lugar en la matriz mitocondrial. La oxidación de los ácidos grasos se puede dividir en tres fases: • Fase 1→ implica la activación del ácido graso esterificándose con el CoA (coenzima A), dando lugar a acil- CoA, con la consiguiente liberación de AMP. Esta reacción requiere de mucha energía, tanta que implica la hidrolisis de ATP a AMP. • Fase 2→ supone la entrada en la mitocondria del acil-CoA a través de un transporte mediado por carnitina • Fase 3→ es la β-oxidación propiamente dicha y sucede en la matriz mitocondrial. Es este proceso se degrada el acil-CoA a moléculas de acetil-CoA, que finalmente entrarán en el ciclo de Krebs produciendo más energía. En esta fase se producen 4 paso - Deshidrogenación_ se introduce un doble enlace trans, obteniéndose una molécula con poder reductor (FADH2 ) y originando una molécula de enoíl-CoA. - Hidratación_ la molécula de enoíl-CoA se transforma en hidroxiacil- CoA, mediante la incorporación de una molécula de agua. - Deshidrogenación_ se oxida la molécula hasta una molécula de cetoactil-CoA, Esta oxidación sirve para reducir una molécula de NAD+ a NADH+H+ . - Ruptura tiólica_ catalizada por una tiolasa y con la intervención de una molécula de CoA libre. Se genera una molécula de acetil-CoA y un acil-CoA (ácido graso activado) que tiene dos carbonos menos que en su cadena que el original, NADH+H+ y de FADH2. El acetil-CoA se incorporará al ciclo de Krebs, mientras que el acil-CoA do en dos carbonos, inicia una nueva vuelta en la β-oxidación. El ciclo se repite tantas veces como sea necesario hasta cortar totalmente la cadena de ácido graso en fragmentos de acetil-CoA de dos átomos de carbono. Al final, todos los productos originados en la β-oxidación se aprovechan en la mitocondria para producir más energía. Por cada vuelta en la β-oxidación, un ácido graso rinde una molécula de NADH+H+ , una molécula de FADH2 y una molécula de acetil-CoA. Las moléculas de NADH+H+ y de FADH2 entrarán en la cadena transportadora de electrones
  • 48.
    48 donde se oxidaránpara producir energía en forma de ATP; mientras que las moléculas de acetil-CoA se degradaran en el ciclo de Krebs, originando GTP y más moléculas de poder reductor que también se usaran para la síntesis de ATP por la fosforilación oxidativa. Con la oxidación de ácidos grasos de número impar de átomos de carbono se obtiene menos energía. Se realiza de forma natural por la β-oxidación hasta llegar a la última vuelta, donde, además de formarse una molécula de acetil-CoA, se origina un resto terminal de tres átomos de carbono, el propionil-CoA (3C). Entonces se invierte energía para reducir el propionil-CoA a succinil-CoA, que es un intermediario del ciclo de Krebs. 2.3.BIOSINTESIS DE ÁCIDOS GRASOS Puesto que la capacidad de los animales para almacenar glucosa es bastante limitada, la ruta biosintética que conduce desde la glucosa a los ácidos grasos es una vía muy importante. La glucosa ingerida en exceso se puede almacenar en
  • 49.
    49 glucógeno, pero tambiénpuede convertirse en ácidos grasos y éstos, a su vez en triacilglicéridos que puedan almacenarse en grandes cantidades en el tejido adiposo. Para procede a la síntesis de ácidos grasos se requiere disponibilidad de poder reductor, NADPH+H+ , que se obtiene de la ruta de las pentosas fosfato y de la actuación de la enzima málica. Además, se necesitan suficientes moléculas de acetil-CoA citoplasmáticas, pues la síntesis de los ácidos grasos tiene lugar en el citoplasma, para lo cual las moléculas de acetil-CoA tienen que salir de la mitocondria, donde se generan a partir del piruvato. Las moléculas de acetil-CoA se utilizan para sintetizar malonil-CoA a través de la enzima acetil-CoA carboxilasa, que emplea como cofactor biotina en un proceso que requiere energía procedente de una molécula de ATP para fijar el átomo de carbono procedente del CO2. La formación de malonil es una paso clave de regulación, regulación que principalmente tiene lugar a nivel hormonal, pues es activada por insulina e inhibida por glucagón en hígado y tejido adiposo. En la formación de los nuevos ácidos grasos interviene la ácido graso sintasa, complejo multienzimático con 7 dominios diferentes que desempeña todas las funciones necesarias para formar un nuevo ácido graso a partir de moléculas de molonanil-CoA, NADPH+H+ y una molécula de acetil-CoA. La ácido graso sintasa habitualmente va a sintetizar siempre el mismo ácido graso, el ácido palmítico, que, posteriormente, se transformará en los demás ácidos grasos que necesite la célula, mediante enzimas de tipo elongasas y desaturasas. El ciclo de la ácido graso sintasa es muy similar a la β-oxidación, si bien se realiza en sentido contrario y, en vez de usar la CoA como transportador de ácidos grasos, usa una proteína, la denominada proteína portadora de grupos acilo (ACP). El balance de la biosíntesis del ácido palmítico, precursor de todos los demás ácidos grasos, sería el siguiente Una vez formado el ácido palmítico, distintas desaturasas del retículo endoplasmático liso (que son enzimas que introducen dobles enlaces de forma específica en un determinado carbono) y distintas elongasas (enzimas que introducen dos átomos de carbono en un ácido graso a partir de acetil-CoA, en la mitocondria, o malonil-CoA, en el retículo endoplasmático liso) comienzan la transformación del ácido palmítico en los demás ácidos grasos que se necesitan. Hay que destacar que las elongasas mitocondriales realizan la ruta inversa de la β- oxidación consumiendo como poder reductor NADPH+H+ , mientras que las elongasas del retículo endoplasmático liso realizan el mismo mecanismo que la ácido graso sintasa utilizando la CoA como transportador de acilos en vez de la ACP.
  • 50.
    50 La biosíntesis deácidos grasos está regulada, principalmente a nivel hormonal mediante la fosforilación- desfosforilación: • La insulina estimula la biosíntesis, pues potencia la actuación de la acetil-CoA carboxilasa favoreciendo una formar desfosforilada que es la forma activa. • El glucagón inhibe la biosíntesis, pues provoca la inhibición de la acetil-CoA carboxilasa favoreciendo una formar fosforilada que es la forma inactiva. ➢ La acetil-CoA carboxilasa también se inhibe mediante una regulación alostérica mediada por malonil-CoA y palmitoil-CoA, dos factores alostéricos, mientras que la actuación del citrato potencia a la enzima a través de una regulación alostérica. 2.4.BIOSITENSIS DE LOS LÍPIDOS 2.4.1.Triacilglicéridos Son la forma de almacenamiento a largo plazo por excelencia de los mamíferos. Su síntesis tiene lugar en el retículo endoplasmático liso (REL) de células adiposas y hepáticas. Se sintetizan a partir de glicerol (dieta y glucólisis en hígado) y ácidos grasos de la dieta (directamente o pasando por el hígado). Requiere la formación previa de un fosfolípido intermediario, que es el ácido fosfatídico, compuesto por dos ácidos grasos, glicerol y un grupo fosfato. El proceso de síntesis del ácido fosfatídico se puede dividir en diversas etapas.: • Síntesis de glicerol-3-fosfato • Activación de los ácidos grasos • Transferencia de los ácidos grasos activados→ para originar el ácido fosfatídico, El ácido fosfatídico originado no sólo sirve para la síntesis de triacilglicéridos , sino también para la síntesis de fosfoglicéridos. 2.4.2.Colesterol Es un compuesto de gran importancia para las membranas celulares animales y como precursor de hormonas esteroideas. La síntesis de colesterol tiene lugar en el citoplasma a partir de moléculas de acetil-CoA . Sus fases son: • Primera etapa: síntesis de los isoprenos activados a partir de acetil-CoA→ Esta fase comienza con un mecanismo análogo a la síntesis de cuerpos cetónicos, por la que a partir de tres moléculas de acetil-CoA, que se condensan hasta das mevalonato. El mevalonato es activado hasta dar los isoprenos activados (isopentil- pirofosfato y dimetilalil-pirofosfato), paso que implica la descarboxilación del grupo ácido del mevalonato y el gasto de tres moléculas de ATP, dos para la formación del pirofosfato y una tercera para favorecer la descarboxilación del ácido. • Segunda etapa: condensación de seis moléculas de isoprenos activados para formar escualeno(C30)→ A partir de la condensación de una molécula de isopentil-pirofosfato y otra dimetilalil-pirofosfato se origina el geranilpirofosfato, el cual se condensa, a su vez con otra molécula de isopentil-pirofosfato para dar lugar al farnesil-pirofosfato. La condensación posterior de dos moléculas de farnesil-pirofosfato genera el escualeno. • Tercera etapa: ciclación del escualeno a lanosterol (C30) y conversión final a colesterol (C27)→ el escualeno se cicla y reorganiza para formar lanosterol. El lanosterol se convierte en colesterol mediante un proceso de múltiples pasos, 19 etapas en total. Hay que destacar que algunas de las reacciones están catalizadas por enzimas de la superfamilia del citocromo P450, enzimas que son oxidadas de función mixta y tienen un papel muy importante en la destoxicación de fármacos sobre todo de origen esteroideo. • Tercera etapa: ciclación del escualeno a lanosterol (C30) y conversión final a colesterol (C27)→ el escualeno se cicla y reorganiza para formar lanosterol. El lanosterol se convierte en colesterol mediante un proceso de múltiples pasos, 19 etapas en total. Hay que destacar que algunas de las reacciones están catalizadas por enzimas
  • 51.
    51 de la superfamiliadel citocromo P450, enzimas que son oxidadas de función mixta y tienen un papel muy importante en la destoxicación de fármacos sobre todo de origen esteroideo.
  • 52.
    52 En los vertebrados,la síntesis de colesterol está controlada principalmente mediante la velocidad a la que el colesterol entra en las células procedente del torrente sanguíneo. La homeostasis se mantiene mediante un mecanismo que coordina el consumo de colesterol en el alimento, la síntesis de colesterol endógeno en el hígado y la tasa de utilización de colesterol por las células. En este mecanismo interviene el receptor de LDL, lipoproteína encargada del transporte de colesterol en el torrente sanguíneo. Para la asimilación celular de colesterol son necesarios los receptores LDL (SR-B1) y el transportador ABCA1, que saca de la célula el colesterol en exceso. En la hipercolesterolemia familiar se acumula colesterol en sangre al no estar el receptor LDL, mientras que en la enfermedad de Tangier se acumula dentro de la célula al no existir el transportador ABCA1 2.5.CUERPOS CETÓNICOS Los cuerpos cetónicos (acetoacetato, hidroxibutirato y acetona ) son sustancias que se producen a partir de acetil-CoA en las mitocondrias del tejido hepático, cuando la velocidad de la β-oxidación supera a la velocidad de oxidación del acetil-CoA en ciclo de Krebs, por ejemplo, en situaciones de ayuno. Estos compuestos, que se pueden distribuir a través del sistema circulatorio por todos los tejidos, sirven como fuente de energía para corazón, músculo y otros tejidos. Así, favorecen un ahorro de glucosa, que es fundamental para otros tejidos que dependen más estrechamente de ésta como el cerebro y los glóbulos rojos. Si se produce un ayuno prolongado pueden ser utilizados como fuente alternativa a la glucosa. En situaciones de ayuno llegan ácidos grasos del tejido adiposo hasta el hígado, los cuales se transforman en moléculas de acetil-CoA que interaccionan con el oxalacetato para entran en el ciclo de Krebs. Con eso se comienza tanto la glucogenólisis como la gluconeogénesis, mediadas por el glucagón. En el momento que el glucógeno se acaba y en el que se consume todo el oxalacetato en la gluconeogénesis, en situaciones de ayuno más prolongado, el acetil-CoA no entra puede entrar en el ciclo de Krebs. Con esto comienzo la lipolisis, donde el acetil-CoA se condensa en cuerpos cetónicos. La lipolisis dará lugar a acetil CoA enzima, que, al no haber oxalacetato, no se puede meter en el ciclo de Krebs, por lo que se convertirá en cuerpos cetónicos. Estos cuerpos cetónicos se exportarán a otros órganos, sobre todo al cerebro. En el cerebro y otros órganos se descondensan los cuerpos cetónicos a acetil-CoA ,que entra en mitocondria y al ciclo de Krebs
  • 53.
    53 2.5.1.Cetogénesis 2.5.2.Utilización de loscuerpos cetónicos Los cuerpos cetónicos son asimilados por los tejidos extrahepáticos se utilizan para producir moléculas de acetil-CoA que serán degradas en el ciclo de Krebs. El hidroxibutirato se oxida a acetoacetato, originando NADH+H+ que será utilizado para producir ATP mediante la fosforilación oxidativa en la cadena trasportadora de electrones. El acetoacetato se unirá a CoA formando, gracias a la enzima cetoacil-CoA transferasa, una molécula de acetoacetil-CoA. La escisión del acetoacetil-CoA por una tiolasa dará lugar a dos moléculas de acetil-CoA que se degradan posteriormente en el ciclo de los ácidos tricarboxílicos , generando una gran cantidad de energía. El usos de cuerpos cetónicos depende de las fluctuaciones de los niveles de glucosa en sangre. Así, después de las comidas, cuando la cantidad de glucosa es elevada, todos los tejidos usan glucosa como fuente principal de glucosa. En este momento el hígado aprovecha para almacenar glucosa en forma de glucógeno. Cuando los niveles empiezan a El proceso de la creación de los cuerpos cetónicos se conoce como cetogénesis. Básicamente consiste en la condensación de dos moléculas de acetil-CoA por acción de una tiolasa, formando el acetatoacetil-CoA. Posteriormente se fusiona una nueva molécula de acetil-CoA, gracias a la acción de la enzima hidroximetilglutaril-CoA sintasa, originado el hidroximetilglutaril- CoA . Este compuesto sirve para al síntesis de los cuerpos cetónicos y también se utiliza para la biosíntesis de colesterol. El hidroximetilglutaril-CoA se esciente en acetil-CoA y en acetoacetato, el primer cuerpo cetónico, por acción de la hidroximetilglutaril-CoA liasa. El acetoacetato es el precursor de los demás cuerpos cetónicos que del organismo. • Por reducción se origina el hidroxibutirato, en una reacción catalizada por la hidroxibutirato deshidrogenasa. • Por descarboxilación del acetoacetato se forma la cetona (si bien este paso puede ser catalizado enzimáticamente, suele ocurrir de forma espontánea y de forma no deseada). La descarboxilación implica la pérdida de un átomo de carbono, de manera que el acetona pierde capacidad energética y va a rendir menos ATP que el resto de los cuerpos cetónicos. Posteriormente estos compuestos salen de la mitocondria y atraviesan la célula hepática hasta llegar a la sangre, que se encarga de distribuirlos por todo el organismo.
  • 54.
    54 descender, el hígadointenta mantener los niveles de glucosa liberando las reservas procedentes del glucógeno, así como generando nuevas moléculas a través de la gluconeogénesis. A su vez, ciertos tejidos como el músculo esquelético y cardiaco comienzan a usar como principal fuente de energía los ácidos grasos procedentes de la lipólisis del tejido adiposo. Estos ácidos grasos también los emplea el hígado para la β- oxidación, obtener gran cantidad de moléculas ce acetil-CoA y con ellas generar los cuerpos cetónicos, que sirven como fuente de energía a diversos tejidos, principalmente al muscular. Cuando el proceso de ayuno es muy prolongado y se agotan las reservas de glucosa, la gran mayoría de los tejidos pasan a alimentarse de cuerpos cetónicos, incluso el cerebro. La glucosa que queda es reservada casi exclusivamente para los glóbulos rojos. Además, el hígado sigue generando pequeñas cantidades de glucosa por gluconeogénesis a partir del glicerol procedente de la lipólisis, pero también a partir de la degradación de aminoácidos o del ácido latico. Así seguirán abasteciendo a los eritrocitos de glucosa. Un incremento importante de los niveles de cuerpos cetónicos en sangre puede originar lo que se conoce como cetoacidosis , un trastorno graves que puede poner en riesgo la vida. La cetoacidosis más conocida es la diabética, que es una forma severa y específica de acidosis metabólica, que se genera por una deficiencia de insulina y se agrava por el glucagón y el cortisol. 2.6.RESUMEN METABOLISMO CARBOHIDRATOS (síntesis de ácidos grasos, almacenamiento grasas y β- oxidación)
  • 55.
    55 En la síntesisde ácidos grasos de los hepatocitos el citrato de la acetil-CoA, procedente de la β-oxidación, forma acetil-CoA. Este acetil-CoA , por acción de la acetil-CoA carboxilasa, se transforma en malonil-CoA. Entonces la malonil-CoA, por acción de la ácido graso sintasa, origina acido palmítico. A partir del ácido palmítico se originan el resto de los ácidos grasos. En el almacenamiento de grasa los ácidos grasos sintetizados se transformarán en triglicéridos endógenos. Los triacilglicéridos se transportarán por los VLDL a los adipocitos donde la lipoproteína lipasa los degradará a ácidos grasos y glicerol. Posteriormente estos productos se almacenan en forma de triacilglicéridos. Cuando se requiere energía procedente de los almacenes a largo plazo, los triacilglicéridos de los adipocitos se transforman en ácidos grasos libres, los cuales van al torrente sanguíneo. Aquí la albumina, proteína transportadora, los lleva de vuelta al hepatocito. En el hepatocito se inicia la β- oxidación. Entonces los ácidos grasos se activan dando lugar a acil-CoA. La acil-CoA entra a la mitocondria por un transporte mediado por la carnitina. En la mitocondria la acil-CoA se transforma en acetil-CoA, la cual se aprovecha en el ciclo de Krebs para producir energía. La acetil-CoA también se puede convertir en citrato para iniciar la β-oxidación. 3. METABOLISMO DE PROTEÍNAS Los aminoácidos no se almacenan como tal y se utilizan para sintetizar. Para ellos los aminoácidos deben sintetizarse a demanda o ingerirse. Los aminoácidos pueden proceder de las proteínas (vegetales o animales) que ingerimos de la dieta o a través se la síntesis de nuevos aminoácidos recogido de las proteínas endógenas recicladas. Las proteínas no tienen un rendimiento energético significativo, se consumen porque son esenciales para la vida. 3.1.DEGRADACION DE PROTEÍNAS La degradación de las proteínas debe estudiarse fundamentalmente a dos niveles dependiendo de la localización del proceso: • En el tracto digestivo, donde se procesan las proteínas exógenas o ingeridas de la dieta; es la denominada digestión de proteínas. Este proceso digestivo permite obtener los aminoácidos en forma libre, necesarios para sintetizar las proteínas propias, así como otras biomoléculas que se forman a partir de ellos. • En el interior de la célula, donde se procesan las proteínas endógenas, lo que se suele conocer bajo la de denominación de recambio proteico. Este recambio proteico es de gran utilidad para reciclar los aminoácidos de las proteínas que ya no son útiles para el organismo y generar nuevas proteínas u otras biomoléculas a partir de ellos. Además, también sirve para la eliminación de aminoácidos dañados. 3.1.1.Digestión de proteínas La digestión de proteínas exógenas en el tracto digestivo tiene un papel clave para generar aminoácidos libres, En el ser humano, existen aminoácidos que solo pueden conseguirse de la dieta, ya que el propio organismo no logra sintetizarlos por sí mismo. Estos aminoácidos se denominan esenciales y son: isoleucina (Ilu), leucina(Leu), lisina (Lys), metionina (Met), fenilalanina (Phe), treonina (Thr), triptófano (Trp), valina (Val) e hidistidina (His). El procesos digestivo de las proteínas de la dieta se ve favorecido por la desnaturalización de las mimas en el estómago, gracias al pH ácido del estómago provocado por la presencia de HCL. Una vez desnaturalizada la proteína comienza la hidrolisis proteica, mediante la rotura de enlace peptídico, hasta dar péptidos, dipéptidos y aminoácidos libres. 3.1.2.Recambio proteico Hace referencia a la degradación intracelular de las proteínas, con la finalidad de reciclar o degradas los aminoácidos de estas. Esta proteólisis puede darse en los lisosomas o en el citoplasma. • Proteólisis lisosómica→ tiene lugar en los lisosomas. Aquí la digestión puede ser autofágica (se procesan proteínas intracelulares como receptores hormonales o proteínas de membrana) o heterofágica (se actúa sobre proteínas extracelulares capturadas por endocitosis como en el caso de las LDL). • Proteólisis citoplasmática→ esta degradación de proteínas tiene lugar bien a partir de proteasas dependientes de Ca2+ o bien mediante una estructura denominada proteosoma. El proteosoma es una complejo multienzimático con diversas actividades catalíticas; presenta una estructura con aspecto de barril en el cual
  • 56.
    56 solo entran yse dirigen las proteínas que han sido previamente marcadas por la unión de pequeñas moléculas de ubiquitina. 3.2.DEGRADACION DE AMINOÁCIDOS En el proceso de degradación de los aminoácidos hay dos partes claramente diferenciadas: • La primera la determina el grupo amino, que debe ser eliminado de la estructura del aminoácido y transportado de forma segura hasta su eliminación del organismo. La correcta eliminación del grupo amino es muy importante, pues es relativamente fácil que dicho compuesto acabe formando amoniaco en el organismo, compuesto muy tóxico. El grupo amino debe entrar al ciclo de la urea donde se consume ATP para transformarlo en urea. El organismo no suele catabolizar el grupo amino debido a su bajo rendimiento energético y por la facilidad que tiene de formar NH3. • La segunda implica la eliminación o aprovechamiento del resto del aminoácido, es decir, el esqueleto carbonatado, que puede entrar al ciclo de Krebs a diferentes niveles en función de su naturaleza, o puede utilizarse para biosíntesis 4.METABOLISMO DE LOS ÁCIDOS NUCLEICOS Los nucleótidos son compuestos formados por un grupo fosfato, un azúcar y una base nitrogenada. Estos compuestos son de gran importancia como sillares para la formación de ácidos nucleicos, moléculas imprescindibles para el almacenamiento y transmisión de la información genética de un organismo. Los nucleótidos, además, desempeñan otros muchos papeles vitales para las células: como mensajeros secundarios (AMPc), con trasportadores de energía (ATP), como trasportadores de ácidos grasos (coenzima A) y como coenzimas (FAD) Tanto para la síntesis de los desoxirribonucleótidos como para los ribonucleótidos existen dos vías complementarias de síntesis: • Rutas de salvamiento→ están ligadas a las vías de degradación de los nucleótidos, de las que se utilizan productos intermediarios para la síntesis de nuevos nucleótidos. • Síntesis de novo→ ruta que requiere la ribosa-5-P, procedente de la ruta de las pentosas. 4.1.SINTESIS DE NOVO La síntesis de nuevos nucleótidos de purina, que son el AMP (adenosina-5-monofosfato ) y el GMP (guanosina-5´- monofosfato), consta de dos partes. El proceso consta de dos partes: • Una parte común→ aquí el proceso de inicia en presencia de la ribosa-5-P,PRPP, y los aminoácidos (Gly), glutamina (Gln) y aspartato (Asp), necesarios para construir el núcleo de purina. Esta parte común comienza cuando la ribosa-5-P se fosforila a PRPP (fosforribosilpirofosfato) a expensas de ATP para formar IMP o ácido inosínico (ionosina-5’-monofosfato). Sobre este intermediario comienza a montarse la base nitrogenada. • Una parte ramificada→ a partir de IMP, en el que se obtiene los nucleótidos de AMP o GMP, por pasos distintos. Una vez obtenidos el AMP y GMP se pueden sintetizar el resto de los nucleótidos de purina, incluidos los desoxirribonucleótidos, a partir de más glutamina (Gln) y aspartato (Asp). En este ciclo también se aprecia como la HPRT (hipoxantina fosforribosiltransferasa) es capaz de crear GMP a partir de guanina e IMP, a partir de hipoxantina. En la síntesis de nuevos nucleótidos de pirimidina se sintetiza primero la base nitrogenada conocida como ácido orótico u orotato, a partir de aspartato (Asp) y carbamoíl-P (el cual se sintetiza a partir de CO2 y del grupo amino de la glutamina). Una vez formado el ácido orótico , éste se une al PRPP para sintetizar el nuevo nucleótido: la orotidina-5’- monofosfato o orotidilato (OMP), el cual, por descarboxilación, forma el primero de los nucleótidos de pirimidina: la uridina-5’-monofosfato (UMP). A partir del UMP, y mediante enzimas específicas, se obtienen los demás nucleótidos
  • 57.
    57 como la citosina-5’-monofosfato(CMP) y los desoxirribonucleótidos como, por ejemplo , la desoxitimidina-5´- monofosfato (TMP). La diferencia entre la síntesis de purinas y la de pirimidinas es que: • En las purinas, el anillo de la base nitrogenada se forma sobre el azúcar (ribosa-P) ya unido, originándose el nucleótido directamente. • En las pirimidinas, se forma primero la base nitrogenada y posteriormente se une al azúcar fosforilado dando el nucleótido. 4.2. REGULACIÓN Y DEGRADACIÓN DE ÁCIDOS NUCLEICOS En cuando a la regulación: • En el caso de las purinas, cuando los nucleótidos finales de la síntesis de novo (AMP y GMP) están en elevadas concentraciones, inhiben alostéricamente la enzima la PRPP amidotransfersa. • Para las pirimidinas, en procariotas sólo un producto final realiza el “feed-back” negativo al principio de la ruta, mientras que en eucariotas es más parecida a la de purinas. En cuanto a la degradación, los nucleótidos de purina sufren por una eliminación secuencial que produce ácido úrico como producto final del catabolismo en humanos: • La AMP presenta dos vías distintas de degradación dependiendo del tejido: - La ruta general_ que ocurre en la mayoría de los tejidos. Aquí una nucleótidos libera el grupo fosfato y se forma un nucleósido de adenosina que sufrirá una desaminación, transformándose en inosina. - Tejido muscular_ se realiza primero la desaminación, pasando a IMP, que sufrirá una desfosforilación para obtener inosina. ➢ La inosina, punto de confluencia de ambas vías, perderá el azúcar fosfato (la ribosa) pasando a hipoxantina que, tras una oxidación originarán xantina, y tras una segunda oxidación dará ácido úrico. • La GMP se desfosforila pasando a guanosina; ésta pierde el azúcar, y da guanina que se desamina originando xantina. La xantina es un punto común en la degradación tanto del AMP como del GMP y se oxidará formando
  • 58.
    58 ácido úrico, elcual se elimina por orina. El GMP también se puede desaminar, pasando a IMP, que sufrirá una desfosforilación para obtener inosina. La degradación de los nucleótidos de pirimidina es más sencilla: origina dilhidrouracilo que, por una serie de reacciones, se transformará en β- alanina, producto que se emplea como precursor de la biosíntesis de la Coenzima A La degradación de nucleótidos tanto de pirimidina como de purina tienen dos aspectos en común: • Se interconvierten entre ellas y no se obtiene ATP y si NH3 • Los esqueletos pueden recuperar algún intermediario y el NH3 entra en el ciclo de la urea • Por los mismos motivos que en los aminoácidos, el organismo prefiere no catabolizar ácidos nucleicos por su bajo contenido energético. 5.INTEGRACIÓN METABOLISMO
  • 59.
    59 Tejido Combustible almacenadoCombustible preferido Combustibles desechados Cerebro Ninguno Glucosa y cuerpos cetónicos en iniciación Ninguno Músculo esquelético (reposos) Glucógeno Ácidos grasos Ninguno Músculo esquelético (ejercicio) Ninguno Glucosa y proteína en inanición Lactato (por fermentación) y alanina (`por degradación proteína) Músculo cardiaco Ninguno Ácidos grasos, glucosa, lactato y cuerpos cetónicos Ninguno Tejido adiposo Triacilglicéridos Ácidos grasos Ácidos grasos y glicerol Hígado Glucógeno y triacilglicéridos Aminoácidos glucosa y ácidos grasos Ácidos graspos, glucosa y cuerpos cetónicos • El cerebro y el corazón están fuera de control hormonal y siempre consumen combustible. • El tejido adiposo almacena grasas. • El tejido muscular e hígado consumen y almacenan • En la sangre no pueden obtenerse intermediarios, por lo que si se requieren se ha de pasar primero por el hígado. Tejido Insulina Glucagón Adrenalina Muscular Glucogenogénesis Nada Glucogenólisis Adiposo Lipogénesis Lipólisis Lipólisis Hepático Glcogenogénesis Glucólisis Lipogénesis Biosíntesis Glucogenólisis Gluconeogénesis Glucogenólisis Gluconeogénesis Con glucagón se moviliza la grasa del tejido adiposo (ayuno prolongado) y en el hígado se realiza la β- oxidación y producción de cuerpos cetónicos debido a que el ciclo de krebs está bloqueado por la gluconeogénesis.
  • 60.
    60 5.1. BIOQUÍMICA DELEJERCICIO En el ejercicio intenso adecuado y con O2 el musculo consume glucógeno y posteriormente grasa. Sin embargo, si se realiza sin calentamiento la demanda de O2 es mayor que el que llega y se da fermentación., produciendo lactato. Entonces el lactato pasa al torren sanguíneo y de ahí al hígado. En el hígado a partir del lactato se produce la gluconeogénesis para así exportar glucosa nuevamente al músculo. Este procesos se conoce como ciclo de Cori. El balance energético del ciclo de Cori es negativo, pero al darse en tejidos diferentes tiene significado fisiológico
  • 61.
    61 En estado dereposo (dibujo de arriba). El páncreas segrega insulina, la cual: • En el tejido adiposo favorece la biosíntesis de ácidos graso y de triacilglicéridos (lipogénesis). La glucosa excedente se convierte en ácidos grasos y posteriormente se almacenan en forma de triacilglicéridos. • En el músculo la favorece la síntesis de glucógeno a partir de la glucosa excedente. • En el hígado estimula tanto la lipogénesis como la síntesis de glucógeno a partir de la glucosa excedente. En estado de ejercicio intenso (dibujo abajo) actúan tanto el páncreas como las glándulas adrenales. El páncreas segrega glucagón, el cual: • En el tejido adiposo estimula la lipolisis de los triacilglicéridos para dar lugar a ácidos grasos. • En el hígado favorece la glucogenólisis y la gluconeogénesis para dar lugar a glucosa. Las glándulas adrenales segregan adrenalina: • En el tejido adiposo estimula la lipólisis de los triacilglicéridos para dar lugar a ácidos grasos. • En el hígado estimula la glucogenólisis y la gluconeogénesis para dar lugar a glucosa. • En el músculo favorece la glucogenólisis para dar lugar a glucosa.
  • 62.