1. Muestre en una figura las representaciones de los vectores del campo vectorial
que tienen su punto inicial en (x,y), donde 2,1,2,1 yyxx
)(
1
),(
22
yjxi
yx
yxF
( 2ptos)
Solucion:
Para resolver este ejercico debemos tomas la ecuacion dada en la parte anterior y evaluar en cada uno
de los puntos x, y dado, de manera que obtendremos vectores que nos describiran el campo vectorial.
1. Calcule )()( tRytR si tkjtittR 11)( 22
si k
t
t
tji
t
tR
1
tan
1
1
)( 2
y kjiR 534)0( calcule R(t) ( 2ptos)
Solucion:
Debemos tomar la ecuacion de la funcion vectorial y derivando de manera que tenemos
que aplicar regla de la cadena.
1. Calcule el rot F y div R para el campo vectorial F dado
kj
yx
y
i
yx
x
zyxF
2
3
222
3
22
)()(
),,( ( 2ptos)
Solucion:
Para calcular el rotacional debemos calcular el producto cruz, es decir el determiante tomando
en cuenta las derivadas parciales. Por otro lado para calcular la divergencia debemos tomar el
producto punto de las derivadas parciales, la primera da como resultado un vector, la segunda
un escalar.
1. Obtenga una ecuación del plano tangente al paraboloide elíptico
(2,4,2)puntoelen0164 22
zyx ( 2 ptos)
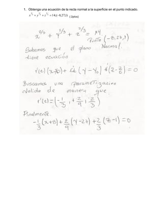
1. Obtenga una ecuación de la recta normal a la superficie en el punto indicado.
)1,27,8(;143
2
3
2
3
2
zyx ( 2ptos)

Asignacion 2 matematica iii brayan

  • 1.
    1. Muestre enuna figura las representaciones de los vectores del campo vectorial que tienen su punto inicial en (x,y), donde 2,1,2,1 yyxx )( 1 ),( 22 yjxi yx yxF ( 2ptos) Solucion: Para resolver este ejercico debemos tomas la ecuacion dada en la parte anterior y evaluar en cada uno de los puntos x, y dado, de manera que obtendremos vectores que nos describiran el campo vectorial.
  • 2.
    1. Calcule )()(tRytR si tkjtittR 11)( 22 si k t t tji t tR 1 tan 1 1 )( 2 y kjiR 534)0( calcule R(t) ( 2ptos) Solucion: Debemos tomar la ecuacion de la funcion vectorial y derivando de manera que tenemos que aplicar regla de la cadena.
  • 3.
    1. Calcule elrot F y div R para el campo vectorial F dado kj yx y i yx x zyxF 2 3 222 3 22 )()( ),,( ( 2ptos) Solucion: Para calcular el rotacional debemos calcular el producto cruz, es decir el determiante tomando en cuenta las derivadas parciales. Por otro lado para calcular la divergencia debemos tomar el producto punto de las derivadas parciales, la primera da como resultado un vector, la segunda un escalar.
  • 4.
    1. Obtenga unaecuación del plano tangente al paraboloide elíptico (2,4,2)puntoelen0164 22 zyx ( 2 ptos)
  • 5.
    1. Obtenga unaecuación de la recta normal a la superficie en el punto indicado. )1,27,8(;143 2 3 2 3 2 zyx ( 2ptos)