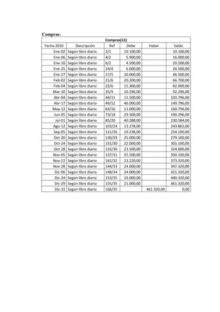
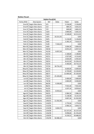
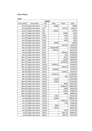
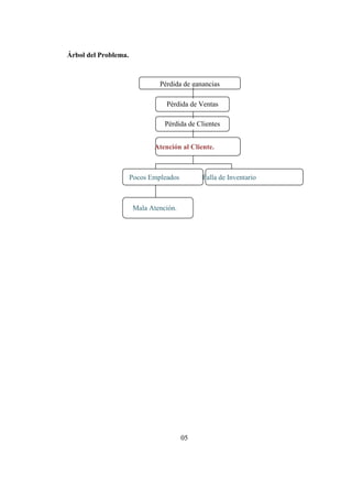
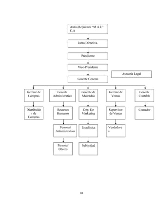
UNIDAD EDUCATIVA COLEGIO<br />“SANTA TERESIA DEL NIÑO JESÚS”<br />SAN CRISTÓBAL – TACHIRA<br />AUTO REPUESTOS “M.A.C” C.A<br />Caso: Proyecto Contable Informático<br />San Cristóbal, Junio 2011<br />UNIDAD EDUCATIVA COLEGIO<br />“SANTA TERESIA DEL NIÑO JESÚS”<br />SAN CRISTÓBAL – TACHIRA<br />AUTO REPUESTOS “M.A.C” C.A<br />Caso: Proyecto Contable Informático<br />Participantes:<br />Salcedo, Anna Lucía<br />Arellano, Carla Stephanie<br />Méndez, Mariela Alejandra<br />Docentes: <br />Prof. William Mora<br />Prof. Consuelo Rodríguez<br />San Cristóbal, Junio 2011<br />UNIDAD EDUCATIVA COLEGIO<br />“SANTA TERESIA DEL NIÑO JESÚS”<br />SAN CRISTÓBAL – TACHIRA<br />HOJA DE EVALUACIÓN<br />INTRODUCCIÓN<br />La contabilidad, existe desde los principios de la invención de la escritura. El hombre la ha utilizado desde tiempos remotos para llevar a cabo el registro de aquellos datos de la vida económica que le era poco preciso y se le dificultaba recordar. Con el paso del tiempo se convirtió en una ciencia más ordenada y precisa, que consiste en registrar, clasificar y resumir las operaciones mercantiles de un negocio con el fin de interpretar sus resultados.<br />Los avances de esta ciencia han sido muy significativos, por tanto, ya puede ser aplicada por el medio informático, el cual da una serie de instrumentos y programas que facilitan las operaciones contables, como se podrá ver aplicado en este proyecto.<br />El trabajo está estructurado en capítulos. El Capítulo I comprende el planteamiento del problema, objetivo general, objetivos específicos, la justificación y el árbol del problema. En el Capítulo II se encuentra el marco teórico y en el Capítulo III el desarrollo del proyecto. Asimismo, se presentan las conclusiones, la infografía y los anexos respectivos.<br />Autos Repuestos “M.A.C” C.A<br />Personal ObreroRecursos HumanosDistribuidor de ComprasGerente de ComprasAsesoría LegalGerente GeneralVice-PresidentePresidenteJunta Directiva. JuJUndfjbrjek<br />Gerente AdministrativoPersonal AdministrativoContadorGerente ContableVendedoresSupervisor de VentasGerente de VentasPublicidadEstadísticaDep. De MarketingGerente de Mercadeo                                     -------------------------<br />01<br />Capítulo I<br />Planteamiento de la Investigación.<br />La empresa está destinada a hacer repuestos, que son la pieza de un auto, que reemplaza a la original cuando se deteriora y termina su vida útil. Por ejemplo, las pastillas de frenos en los automóviles, los filtros de aceites del automóvil entre otros. Estas empresas fabricantes de maquinaria y automóviles están obligadas a dar un periodo de garantía a sus productos y sustituir gratuitamente las piezas deterioradas si han sido como consecuencia de un fallo achacable a la máquina y no fruto de mal uso de la misma.<br />Las empresas internacionales de repuestos de automóviles, se encargan de desarrollar todos los complementos de un auto,  hay muchas empresas de repuestos, también las mismas empresas de autos se encargan de hacer los repuestos como Volkswagen, Ferrari, BMW, Ford entre otras.. <br />Por tanto, la gran cantidad de explotación de repuestos internacionales se encuentran en China, Corea y EE.UU. Igualmente, se tienen empresas y distribuidoras nacionalmente de repuestos, como Acrópolis C.A que distribuye a todo el país, Repuestos Caracas con alto reconocimiento a nivel nacional por su calidad y servicio.<br />Regionalmente, se encuentran una gran cantidad de empresas de mucha importancia como Auto Repuestos Walter, Repuestos Automotriz,  entre otros. Son empresas encargadas de todo tipo de repuestos para automóviles.<br />Cabe resaltar, que todas estas empresas de repuestos se rigen por la preferencia del consumidor, ya que existen varias marcas dentro del grupo del repuesto.<br />02<br />Haciendo énfasis a la empresa llamada  Auto repuestos M.A.C C.A con una gran organización líder que tiene en la comercialización de repuestos originales, está comprometida a ganar la confianza de todos sus clientes suministrando todos los bienes y servicios que satisfagan sus necesidades, mediante la motivación constante del personal. <br />Finalmente, para esta empresa también se necesita una gran organización, en la contabilidad. Para saber llevar la empresa, y que alcance su prosperidad, se debe empezar desde su creación y tener en cuenta los detalles más mínimos. <br />03<br />Objetivo General<br />Crear el sistema contable de la empresa Auto repuestos M A C  C.A<br />Objetivos Específicos.<br />Adquirir personal de apoyo para la contabilidad de la empresa.<br />Crear libro diario, libro mayor y organigrama.<br />Llevar a cabo los asientos contables.<br />Justificación<br />El trabajo se realizó con el propósito de crear el sistema contable a la empresa Auto Repuesto M.A.C  C. A, es decir, la forma de administrarla de una manera cónsona y organizada de acuerdo a las exigencias del hecho económico que se vive en los actuales momentos.<br />Para cumplir con todos los objetivos planteados se necesita de la ayuda de herramientas como lo son la Contabilidad y la Programación llevando a cabo un buen proceso contable, con ayuda de libros diarios, libro mayor y balances de comprobación. Ya que hoy en día la tecnología ha avanzado que se tiene la facilidad de contar con la ayuda del programa Excel y así se puede hacer una empresa dinámica, eficaz y eficiente para lograr ser la mejor empresa de auto repuesto en la región.<br />Finalmente, a través de este trabajo se debe lograr que esta empresa evolucione y se mantenga como líder en el mercado automotriz.<br />04<br />Árbol del Problema.<br />Pérdida de ganancias<br />Pérdida de Ventas<br />Pérdida de Clientes<br />Atención al Cliente.<br />                                   Pocos Empleados             Falla de Inventario<br />                                     Mala Atención.<br />05<br />Capítulo II<br />Marco Teórico<br />Antecedentes<br />          Arellano (2006) realizó un trabajo titulado \"
Sistema Contable de la Empresa\"
, su objetivo fue llegar a tener un sistema físico con todos los libros de contabilidad y digital con los programas de Microsoft Office. Todo para el beneficio de que en esa empresa se desarrollara una administración, más eficaz y segura.                                                                                                                 Es  una investigación muy factible y con seguridad. Todo este proyecto se llevó a cabo durante los doce meses que tiene el año. Para esta investigación trabajó con una población de 15 personas. Utilizó medios muy tecnológicos como la programación, para así trabajarla con gran facilidad, finalmente se llevó a cabo el gran objetivo de la empresa.<br />06<br />Bases Teóricas<br />Información.<br />La información es un conjunto organizado de datos procesados, que constituyen un mensaje que cambia el estado de conocimiento del sujeto o sistema que recibe dicho mensaje.<br />Los datos sensoriales una vez percibidos y procesados constituyen una información que cambia el estado de conocimiento, eso permite a los individuos o sistemas que poseen dicho estado nuevo de conocimiento tomar decisiones pertinentes acordes a dicho conocimiento.<br />En la computación, la información es un conocimiento explícito extraído por seres vivos o sistemas expertos como resultado de interacción con el entorno o percepciones sensibles del mismo entorno. <br />07<br />Historia de la información.<br />La historia de la información está asociada a su producción, tratamiento y transmisión. Una cronología de esa historia detallada puede ser:<br />Siglos V a X - Alta Edad Media. El almacenamiento, acceso y uso limitado de la información se realiza en las bibliotecas de los monasterios de forma amanuense o manual.<br />Siglo XII. Los Incas (Perú) usan un sistema de cuerdas para el registro de información numérica llamada Quipu, usado principalmente para contar ganado.<br />Siglo XV - Edad Moderna. Con el nacimiento de la imprenta (Gutenberg), los libros comienzan a fabricarse en serie. Surgen los primeros periódicos.<br />Siglo XX. 1926. Se inicia la primera retransmisión de televisión que afectará al manejo y tratamiento de la información con gran impacto en los métodos de comunicación social durante todo el siglo.<br />Siglo XX. 1940. Jeremy Campbell, definió el término información desde una perspectiva científica, en el contexto de la era de la comunicación electrónica.<br />Siglo XX. 1943. El austro-húngaro Nikola Tesla inventa la radio, aunque inicialmente dicho invento se atribuye a Guglielmo Marconi y la patente no se reconoce a su autor hasta los años 1960.<br />Siglo XX. 1947. En diciembre John Bardeen, Walter Houser Brattain y William Bradford Shockley, inventan el transistor. Serán galardonados por ello con el Premio Nobel de Física en 1956.Acaban de sentar sin saberlo la primera de las dos bases para una nueva revolución tecnológica y económica, actuando como detonante de un aumento exponencial de la capacidad de integración microelectrónica, de la popularización y la potencia de cálculo del ordenador. <br />08<br />Siglo XX. 1948. Claude E. Shannon, elabora las bases matemáticas de la Teoría de la Información. Acaba de dar la segunda base de la revolución de las tecnologías de la información y la comunicación: la aplicación del Álgebra de Boole será el fundamento matemático para industrializar el procesamiento de la información. Nace así la Ciencia de la Computación o Ingeniería informática. La nueva revolución económica está servida. La humanidad entra en la Era Digital usando el transistor y la numeración binaria para simbolizar, transmitir y compartir la información. <br />Siglo XX. 1948. Norbert Wiener, elabora la idea de cibernética en su famosa obra Cibernética o el control y comunicación en animales y máquinas (Cybernetics or Control and Comunications in the Animal and the Machine) (1948) donde se encargó de \"
mantener el orden\"
 en cualquier sistema natural o artificial de información.<br />Siglo XX. 1951-1953. James Watson y Francis Crick descubren los principios de los códigos de ADN, que forman un sistema de información a partir de la doble espiral de ADN y la forma en que trabajan los genes.<br />Siglo XX. 1969. En el contexto de la guerra fría, el movimiento contracultural de los años 60', nace la embrionaria Internet cuando se establece la primera conexión de computadoras, conocida como ARPANET, entre tres universidades en California y una en Utah, Estados Unidos, con el objetivo inicial de facilitar una red de comunicaciones militares a prueba de bomba. Su expansión y popularización, y la democratización del conocimiento que facilita, transformará radicalmente las relaciones económicas, sociales y culturales en un mundo más y más interdependiente. <br />09<br />Actualmente, ya en el siglo XXI, en un corto período de tiempo, el mundo desarrollado se ha propuesto lograr la globalización del acceso a los enormes volúmenes de información existentes en medios cada vez más complejos, con capacidades exponencialmente crecientes de almacenamiento y en soportes cada vez más reducidos. A pesar de ello todavía existen muchas fuentes de información en formato no digital o inaccesible digitalmente por diversas causas. En este marco la proliferación de redes de transmisión de datos e información, de bases de datos con acceso en línea, ubicadas en cualquier lugar, localizables mediante Internet, permiten el hallazgo de otras redes y centros de información de diferentes tipos en cualquier momento desde cualquier lugar. Es el resultado de datos gestionados a través de aplicaciones informáticas donde los datos son procesados y transformados en información que posteriormente es manejada como signo integrador y característico de progreso económico del siglo XXI. <br />Procesamiento de la Información<br />Por procesamiento de datos se entienden habitualmente las técnicas eléctricas, electrónicas o mecánicas usadas para manipular datos para el empleo humano o de máquinas. Por supuesto, dado que se ha avanzado mucho en la comparación entre computadoras y cerebros, ¿por qué no invertir la situación y afirmar que el cerebro es capaz de procesar datos?<br />Un dato es un símbolo lingüístico o numérico que representa ya sea algo concreto como abstracto. \"
1, 2, 3\"
 son datos. En el momento de enlazar datos. Como por ejemplo, \"
1, 2, 3\"
 = \"
ventas diarias de enero 1, 2,3\"
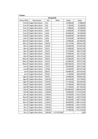
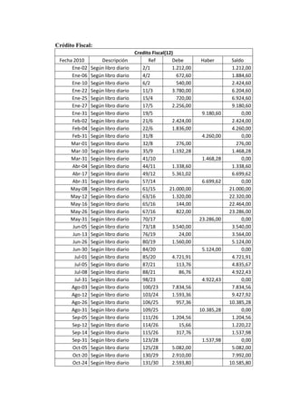
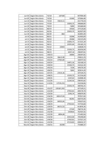
, los datos se convierten en información. Muchas personas confunden datos con información.<br />Se puede definir, primeramente, a un “sistema”, como el conjunto de individuos, objetos, entre otros, interrelacionados que concurren a un mismo fin, es decir, que realizan una misma función con un mismo propósito. Los integrantes se modifican entre sí, y los agentes externos modifican al sistema.<br />10<br />Procesamiento es la acción, que se ejecuta, en este caso sobre los datos, y que logra en ellos una transformación.<br /> Entonces, se puede  concluir que el procesamiento de datos es cualquier ordenación o tratamiento de datos, o los elementos básicos de información, mediante el empleo de un sistema.<br />Asimismo, se logra sobre los datos algún tipo de transformación. Es esta transformación la que convierte al dato en información.<br />Ahora bien ¿a partir de qué momento un dato pasa a ser información? A partir del momento en que esos datos (procesados ya) llegan a ser útiles para determinada persona.<br /> Quién procesa los datos realiza un control de calidad sobre los mismos, pero ¿cómo sabe éste si finalmente su trabajo ha cumplido o no su objetivo? Mediante recibir una respuesta inteligente del otro. <br />Informática.<br />Es la ciencia aplicada que abarca el estudio y aplicación del tratamiento automático de la información, utilizando sistemas computacionales, generalmente implementados como dispositivos electrónicos. También está definida como el procesamiento automático de la información.<br />Conforme a ello, los sistemas informáticos deben realizar las siguientes tres tareas básicas:<br />Entrada: captación de la información.<br />Proceso: tratamiento de la información.<br />Salida: transmisión de resultados.<br />En los inicios del procesado de información, con la informática sólo se facilitaban los trabajos repetitivos y monótonos del área administrativa. La automatización de esos procesos trajo como consecuencia directa una disminución de los costes y un incremento en la productividad.<br />11<br />En la informática convergen los fundamentos de las ciencias de la computación, la programación y metodologías para el desarrollo de software, la arquitectura de computadores, las redes de computadores, la inteligencia artificial y ciertas cuestiones relacionadas con la electrónica. Se puede entender por informática a la unión sinérgica de todo este conjunto de disciplinas.<br />Esta disciplina se aplica a numerosas y variadas áreas del conocimiento o la actividad humana, como por ejemplo: gestión de negocios, almacenamiento y consulta de información, monitorización y control de procesos, industria, robótica, comunicaciones, control de transportes, investigación, desarrollo de juegos, diseño computarizado, aplicaciones/herramientas multimedia, medicina, biología, física, química, meteorología, ingeniería, arte, etc. Una de la aplicaciones más importantes de la informática es proveer información en forma oportuna y veraz, lo cual, por ejemplo, puede tanto facilitar la toma de decisiones a nivel gerencial (en una empresa) como permitir el control de procesos críticos.<br />Actualmente, es difícil concebir un área que no use, de alguna forma, el apoyo de la informática. Ésta puede cubrir un enorme abanico de funciones, que van desde las más simples cuestiones domésticas hasta los cálculos científicos más complejos.<br />Entre las funciones principales de la informática se cuentan las siguientes:<br />Creación de nuevas especificaciones de trabajo.<br />Desarrollo e implementación de sistemas informáticos.<br />Sistematización de procesos.<br />Optimización de los métodos y sistemas informáticos existentes.<br />12<br />Programas Informativos.<br />Ofimática.<br />Se llama ofimática al equipamiento hardware y software usado para crear, coleccionar, almacenar, manipular y transmitir digitalmente la información necesaria en una oficina para realizar tareas y lograr objetivos básicos. Las actividades básicas de un sistema ofimático comprenden el almacenamiento de datos en bruto, la transferencia electrónica de los mismos y la gestión de información electrónica relativa al negocio. La ofimática ayuda a optimizar o automatizar los procedimientos existentes.<br />La ofimática con red de área local (LAN) permite a los usuarios transmitir datos, correo electrónico e incluso voz por la red. Todas las funciones propias del trabajo en oficina, incluyendo dictados, mecanografía, archivado, copias, fax, télex, microfilmado y gestión de archivos, operación de los teléfonos y la centralita, caen en esta categoría. La ofimática fue un concepto muy popular en los años 1970 y 1980, cuando los ordenadores de sobremesa se popularizaron. No es necesaria la red para trabajar con un paquete ofimático.<br />Open Office.<br />OpenOffice.org (frecuentemente escrito OOo para abreviar) es una suite ofimática libre (código abierto y distribución gratuita) que incluye herramientas como procesador de textos, hoja de cálculo, presentaciones, herramientas para el dibujo vectorial y base de datos. Está disponible para varias plataformas, tales como Microsoft Windows, GNU/Linux, BSD, Solaris y Mac OS X. Soporta numerosos formatos de archivo, incluyendo como predeterminado el formato estándar ISO/IEC OpenDocument (ODF), entre otros formatos comunes, así como también soporta más de 110 idiomas, desde febrero del año 2010. <br />13<br />OpenOffice.org tiene como base inicial a StarOffice, una suite ofimática desarrollada por StarDivision y adquirida por Sun Microsystems en agosto de 1999. El desarrollo de la suite está liderado por Oracle Corporation (inicialmente por Sun Microsystems), en conjunto con otras compañías como Novell, RedHat, RedFlag CH2000, IBM, Google, entre otras. El código fuente de la aplicación está disponible bajo la Licencia pública general limitada de GNU (LGPL) versión 3. <br />El proyecto y el programa son denominados «OpenOffice» de forma informal, aunque «OpenOffice.org» es el nombre oficial completo, ya que la denominación openoffice es una marca registrada en posesión de otra empresa.<br /> <br />Vinculación de la informática con la contabilidad.<br />Considerando esto, se puede  observar la revolución que ha hecho la informática en las diferentes ramas del conocimiento; se destaca el papel que juega ésta en la internacionalización de la contabilidad, su primeros aportes lo hizo cuando se dejó de usar el registro de los libros en forma manual, para implementar registros  electrónicos administrados bajo los software o paquetes contables, que posee la empresa, negocio o persona dueño de la información; más adelante esta información podía ser vista y utilizada a través de una red local en diferentes departamentos de la empresa, a tal punto que llegó a extenderse a lugares más retirados como otras ciudades, que facilitan el trabajo de las sucursales con su principal.<br />Hoy día estos registros no están sujetos a los PC de la empresa o negocio, sino que se pueden encontrar en la gran red Internet, es así como la informática influye en los procesos contables para ponerlos a la par del mundo actual.  <br />14<br />Parece ser que Internet se ha convertido en la mano derecha  de la globalización, y además es el medio más fácil y económico que se tiene para hacer parte de ella. La red juega un papel importante en los procesos que se adelantan para la estandarización de la contabilidad, por ejemplo se cuenta con un lenguaje estructural de información que facilita la presentación y el  envío de  reportes financieros a través  de ella como lo es el lenguaje XML. Hay un proyecto donde se espera superar la tarea de esta herramienta con un nuevo lenguaje  XFRML (Extensible Financial Reporting Markup Languages). <br />El objetivo de este  proyecto es proveer a los usuarios una estructura conceptual basada en estándares que entre otras cosas permita la preparación más eficiente y detallada de los estados financieros  y la extracción confiable de información específica  detallada  a partir de los estados financieros de diferentes organizaciones.<br />Con este ejemplo queda claro como es la influencia de la informática en los estándares de la contabilidad, asimismo,  es bueno mencionar que al haber unos estándares los programas o software contable estarán sujetos a ellos.<br />La informática va ligada a los cambios que sufre la ciencia contable, en buscando así mejorarla y hacerla más atractiva.<br />15<br />Contabilidad.<br />Es la ciencia social que se encarga de estudiar, medir y analizar el patrimonio de las empresas, con el fin de servir a la toma de decisiones y control, presentando la información, previamente registrada, de manera sistemática y útil para las distintas partes interesadas. Posee además una técnica que produce sistemática y estructuradamente información cuantitativa y valiosa, expresada en unidades monetarias acerca de las transacciones que efectúan las entidades económicas y de ciertos eventos económicos identificables y cuantificables que la afectan, con la finalidad de facilitar a los diversos públicos interesados.<br />También, se puede definir como el sistema que mide la actividad en los negocios y procesa dicha medición en informes y estados financieros para comunicar resultados y hallazgos a los encargados de tomar las decisiones.<br />Otros conceptos indican a la contabilidad como una parte de la economía, y que en el ámbito de la empresa su principal labor es ayudar al área de Administración. <br />El producto final de la contabilidad son todos los Estados Contables o Estados Financieros que son los que resumen la situación económica y financiera de la empresa. Esta información resulta útil para gestores, reguladores y otros tipos de interesados como los accionistas, acreedores o propietarios.<br />16<br />Asiento de Apertura<br />Es el primer asiento que se registra al principio del ejercicio contable. Se obtiene por la apertura del asiento de cierre del ejercicio anterior, si la empresa lleva varios ejercicios funcionando.<br /> Este es el primer asiento que se hace en contabilidad. Se realiza al iniciarse las actividades o al inicio del ejercicio económico. <br />Se considera que el cierre de la contabilidad es la operación a través de la cual se detiene momentáneamente el registro de operaciones para ofrecer una visión del patrimonio, de la situación financiera de la empresa y de sus resultados, en un momento concreto del tiempo. Se separa así un ejercicio económico de otro. <br />Abrir, o reabrir la contabilidad será la operación por la que se inicia o reanuda el registro de operaciones al iniciarse el ejercicio económico. El asiento de apertura se formará cargando las cuentas de Activo del Balance y abonando las de Pasivo. <br />Libro Diario <br />El Diario es un libro contable donde se recogen, día a día, los hechos económicos de una empresa. La anotación de un hecho económico en el libro Diario se llama asiento; es decir en él se registran todas las transacciones realizadas por una empresa.<br />Los asientos son anotaciones registradas por el sistema de partida doble y contienen entradas de débito en una o más cuentas y crédito en otra cuenta de tal manera que la suma de los débitos sea igual a la suma de los créditos. Se garantiza así que se mantenga la ecuación de contabilidad. Asimismo,  pueden existir Documento Contable que agrupen varios asientos y estos a su vez sean asignados a diferentes cuentas contables.<br />17<br /> Dependiendo del sistema de información contable, algunos asientos son automáticos y pueden utilizarse en conjunción con los asientos manuales para el mantenimiento de registros. En tal caso, el uso de asientos manuales puede limitarse a actividades no rutinarias y otros ajustes. De igual forma en la mayoríade los sistemas, los registros o asientos manuales son aquellos creados por un usuario y los automáticos son los generados propiamente por el sistema.<br />Libro Mayor<br />Libro Mayor es donde se registran las cuentas de activos, pasivos y patrimonio de la empresa.<br />Es el libro de contabilidad en donde se organizan y clasifican las diferentes cuentas que moviliza la cooperativa de sus activos, pasivos y patrimonio. Para que los registros sean válidos deben asentarse en el libro debidamente autorizado.<br />Es el registro o resumen de todas las transacciones que aparecen en el libro diario, con el propósito de conocer su movimiento y saldo en forma particular.<br />Los cargos y créditos a las distintas cuentas, según se muestra en los asientos de diario, se registran en las cuentas mediante el proceso llamado pasar al mayor. <br />Cuenta es una ficha individual que registra las cantidades de una cuenta en el debe y en el haber, así como el saldo de la misma. El libro mayor precisamente lo que hace es eso; anotar las cantidades que intervienen en los asientos en su correspondiente cuenta del libro mayor, representada por una T.<br />18<br />Balance de Comprobación<br />Un balance de comprobación es un instrumento financiero que se utiliza para visualizar la lista del total de los débitos y de los créditos de las cuentas, junto al saldo de cada una de ellas (ya sea deudor o acreedor). De esta forma, permite establecer un resumen básico de un estado financiero<br /> Este, refleja la contabilidad de una empresa u organización en un determinado periodo. Por eso, este balance actúa como base a la hora de preparar las cuentas anuales.<br />También, permite confirmar que la contabilidad de la empresa esté bien organizada. Es posible que el balance de sumas y saldos sea correcto y que, sin embargo, incluya una contabilidad defectuosa. Ese sería el caso, por ejemplo, de alguien que ha pagado a un proveedor pero le anotó dicho pago a otro. El balance sería correcto desde los números, pero no en la práctica.<br />La elaboración de un balance de comprobación comienza con la realización de las sumas de las anotaciones de cada cuenta, tanto en el debe como en el haber. En el paso siguiente, se obtiene el saldo de cada cuenta (la diferencia entre el debe y el haber). Por último, las sumas y los saldos obtenidos se trasladan al balance.<br />Por lo general, el balance de comprobación es un documento voluntario para el empresario, aunque recomendable para que éste pueda conocer con precisión el estado financiero de su empresa sin necesidad de arrastrar errores hasta la elaboración de las cuentas anuales.<br />19<br />Capítulo III<br />Ejercicio Económico<br />Acta Constitutiva:<br />CIUDADANO:<br />REGISTRADORA MERCANTIL. TERCERA DE LA CIRCUNSCRIPCIÓN JUDICIAL DEL ESTADO TÁCHIRA.<br />SU DESPACHO.-<br />Yo, CARLA LUCIA MENDEZ SALCEDO, Venezolana, mayor de edad, soltero, titular de la cedula de identidad Nro. V-20.300.200, de este domicilio y civilmente hábil, ante el Despacho y a su muy digno cargo ocurro para exponer: <br />    Debidamente autorizado por los accionistas de la Sociedad Mercantil denominada AUTO REPUESTOS M.A.C, C.A. y en mi carácter de Directora Única de la misma, presento a usted el Acta Constitutiva Estatutos de dicha Compañía, a los fines de su inscripción, fijación y publicación de conformidad con la Ley. Igualmente acompaño a fin de que sean agregados al Expediente Social, los respectivos recaudos que acreditan el pago de la totalidad del Capital Social: depósito bancario, Aceptación del Comisario y Titulo Fondo Negro de CARLA LUCIA MENDEZ SALCEDO.<br />Ruego a usted, darle el curso legal a esta participación y expedirme copia certificada de está, así como también de esta Acta Constitutiva producida, con su correspondiente nota de inscripción, a fin de dar cumplimiento a las anteriores formalidades de publicación.<br />Es justicia en San Cristóbal a la fecha de su presentación <br />CAPITULO I:<br />NOMBRE, DOMICILIO, DURACION Y OBJETO.<br />CLAUSULA PRIMERA: La Compañía se denominara “AUTO REPUESTOS M.A.C C.A.” domiciliada en la Guayana, centro comercial “Paseo la Villa”, Local No. A1-27, en la ciudad de San Cristóbal, Estado Táchira, República Bolivariana de Venezuela, y conformando su oficina, sucursal o agencias en cualquier lugar del país y del extranjero, previa aprobación de la Asamblea de Accionistas. CLAUSULA SEGUNDA: La duración de la Compañía es de veinte (20) años contados a partir de la fecha de su constitución, plazo que podrá ser prorrogado o disminuido, a juicio de la Asamblea de Accionistas. CLAUSULA TERCERA: La Compañía tendrá por objeto la importación, exportación, compra, venta distribución y comercialización tanto al mayor como al detal de productos automotores. Así mismo celebrar toda clase de acto necesario para la administración, desarrollo y ejecución de proyectos relacionados con todo tipo de repuestos automotrices como promociones, campañas, eventos, seminarios, convenciones y talleres, la compra y venta de repuestos automotrices ya sea con clientes regionales, nacionales e internacionales; la publicación de avisos, vallas, pancartas; letreros representaciones de marcas comerciales y de espectáculos o festivales nacionales e internacionales; además de todo lo relacionado directa o indirectamente con el área de servicios automotores  y el ejercicio de toda clase de arreglos automotrices de formas legales y que puedan resultar de interés de la compañía, estén comprendidas en la enumeración que antecede.<br />CAPITULO II:<br />CAPUTAL ACCIONES Y ACCIONISTAS<br />CLAUSULA CUARTA: El Capital de la Compañía es de UN MILLON DE BOLIVARES FUERTES (Bs.F 1000000,oo), Dividido en CIEN (100,oo) Acciones con un valor nominal de Diez Mil Bolívares fuertes (Bs.F 10000,oo) cada una, el Capital ha sido suscrito así: El Accionista CARLA LUCIA MENDEZ SALCEDO suscribe SESENTA (60) acciones, para un total de SEICIENTOS MIL BOLIVARES FUERTES (Bs.F 600000,oo) y el accionista ANNA VALERIA GARCIA MENDEZ, suscribe CUARENTA (40) acciones para un total de CUATROCIENTOS MIL BOLIVARES FUERTES (Bs.F 400000,oo). CLAUSULA QUINTA: El Capital ha sido suscrito y pagado en conjunto de la siguiente manera: Un veinte por ciento (20%), es decir la cantidad de DOCIENTOS MIL BOLIVARES FUERTES (Bs.F 200000,oo), en efectivo tal como sea evidencia de depósito bancario. El saldo restante será pagado como lo decida la Asamblea. CLAUSULA SEXTA: Cada Acción da derecho a un voto en las Asambleas y no admite división con respecto a la Compañía, la cual no reconocerá más que un propietario para cada una de ellas Todas las Acciones son de igual valor, confieren iguales derechos e imponen iguales obligaciones a cada uno de sus suscriptores. CLAUSULA SEPTIMA: La propiedad de las Acciones se prueba a través de la presente acta y con las correspondientes inscripciones en el Libro de Accionistas y la sesión o traspaso de las mismas sea acredita mediante acta que se inscribirá en el libro mencionado, firmada por el cedente, el sesionarlo y los representantes de la Compañía. CLASULA OCTAVA: Los Accionistas se conceden recíprocamente un derecho preferente en la relación a la enajenación de Acciones. El cedente hará oferta a los demás Accionistas por medio de un escrito dirigido a la Asamblea General de Accionistas la que en atención al derecho presente que tienen los accionistas para adquirirlas, convocara a un Asamblea Extraordinaria para el Octavo (8vo) día siguiente, por lo menos aquel en que recibió dicha comunicación, siendo en esa oportunidad en la que los Accionistas harán uso de tal derecho y si renuncian a él queda en libertad el oferente para ofrecerlas a terceras personas. CLAUSULA NOVENA: La adquisición de acciones de la Compañía implica plena adhesión a la presente acta constitutiva y sus modificaciones así como las decisiones tomadas en las Asambleas y dentro de sus atribuciones<br />CAPITULO III.<br />DE LAS ASAMBLEAS.<br />CLAUSULA DECIMA: La Asamblea General de Accionistas legalmente constituida, representada la máxima autoridad de la Compañía y sus decisiones deberán ser atacadas por todos los accionistas, estén o no de acuerdo con ellas y hayan asistido o no a sus reuniones siempre en que:<br />Nosotras: MARIELA MENDEZ, CARLA ARELLANO Y ANNA SALCEDO  venezolanas, mayores de edad, solteras las tres, domiciliadas en San Cristóbal, Estado Táchira, Titulares de la cedula de identidad Nros. V-25.498.402, V-24.147.506, 23.095.550 respectivamente, la primera periodista, la segunda Contadora y la tercera Abogada, civilmente Hábiles; por medio del presente documento declaramos: Que hemos venido a constituir, como en efecto constituimos, una Compañía Anónima la cual se regirá por las disposiciones contenidas en las cláusulas que a continuación se expresan, redactadas con suficiente amplitud para que sirvan a la vez de Acta Constitutiva y Estatutos Sociales de la Compañía. <br />CAPITULO IV:<br />DE LA ADMINISTRACION<br />CLAUSULA DECIMA CUARTA: La Compañía sera administrada por un Director Unico quien sera Accionista o no, durara diez (10) años en el ejercicio de sus funciones y podran ser reelegidos.<br />CAPITULO V:<br />DEL COMISARIO<br />CLAUSULA DÉCIMA SEPTIMA: La Compañía tendrá un COMISIARIO de libre elección remoción por la Asamblea de Accionistas el cual durará cinco (05) años en el ejercicio de sus funciones y podrá ser reelegido. Tendrá las facultades señaladas en el Código de Comercio.<br />CAPITULO VI:<br />DEL AÑO ECONÓMICO, BALANCE, CUENTAS, FONDOS, UTILIDADES<br />Termina el treinta y uno (31) de Diciembre de cada año. Salvo el primer ejercicio que comenzara en la fecha de su formal constitución por ante la Oficina de Registro Mercantil de la Circunscripción Judicial del estado Táchira y culminara el treinta y uno (31) de diciembre del mismo año. Al final de cada ejercicio se cortaran las cuentas y se participara el Balance general Inventario para determinar el estado de la Compañía. Si hubiere utilidades liquidas, se deducirá un Cinco por ciento (5%) para formar el Fondo de Reserva legal exigido por el Código de Comercio, hasta alcanzar el diez por ciento (10%) del Capital Social, el monto restante se abonará a la cuenta de utilidades por distribuir para ser repartido en forma de dividendos proporcionalmente a su respectivos aportes al Capital de la Empresa, cuando así lo disponga la Asamblea de Accionistas. CLAUSULA DECIMA NOVENA: Acordada la disolución de la Compañía por expiración del término o por decisión de una Asamblea de Accionistas convocada al efecto, podrá a su juicio, nombrar uno o más liquidadores, quienes tendrán las facultades que les otorgue la misma Asamblea de Accionistas y las previstas en el artículo 350 del Código de Comercio. Una vez hecha la liquidación total pagados los pasivos, el remanente será distribuido proporcionalmente entre los accionistas de la Compañía. CLAUSULA VIGESIMA: En todo lo no previsto en estos Estatutos la Compañía se regirá por las disposiciones legales pertinentes.<br />CAPITULO VII:<br />DISPOSICIONES TRANSITORIAS:<br />PRIMERA: Se designa como DIRECTORA ÚNICA al ciudadana CARLA LUCIA MENDEZ SALCEDO  y se nombra como COMISARIO, a la ciudadana ANNA VALERIA GARCIA MENDEZ, Licenciada en Contaduría Pública, inscrita en el Colegio de Contadores Públicos bajo el Número 28282, titular de la cédula de identidad No. V-15208035. SEGUNDA: Se autoriza suficientemente a la Directora Única ciudadana  CARLA LUCIA SALCEDO MENDEZ ya identificado, para que trámite la presentación, inscripción, registro y publicación de la presente Acta Constitutiva Estatutaria. <br />SE EXPIDE LA PRESENTE COPIA CERTIFICADA PARA FINES DE PUBLICACION EN LA PRENSA. CERTIFICO QUE ESTA COPIA FOTOSTATICA HA SIDO HECHA EN ESTA OFICINA POR  PABLO EDUARDO BOTERO CON CEDULA DE IDENTIDAD V-15156158, PERSONA CAPAZ AUTORIZADA POR MI PARA HACERLA Y QUIEN JUNTO CONMIGO SUSCRIBE LA PRESENTE CERTIFICACION Y CADA UNA DE SUS PAGINAS SAN CRISTOBAL (                                                                              )    (           )   DEL AÑO DOS MIL (                     )                                                          <br />Las mismas exista el quórum es decir que se encuentre presente un número de Accionistas que Representen el Sesenta porciento (60%) del capital social. CLAUSULA DECIMA PRIMERA: Las Asambleas serán convocadas y presididas por la administradora de la Compañía y se reunirán previa convocatoria, publicada por la prensa, con cinco (05) dias de anticipación por lo menos a la fecha en que deba celebrarse dicha Asamblea de conformidad con el Articulo 277 del Codigo de Comercio. La convocatoria se indicara el objeto, dia, lugar y hora de reunion. Cualquier deliberacion sobre puntos no expresados en la convocatoria sera nula, sin embargo podran efectuarse prescindiendo de la convocatoria previa, siempre que se encuentren presentes o representados de manera Autenticada todos los Accionistas y acuerden constituirse en Asamblea, pudiendo someter a consideracion los puntos que se creyeren convenientes y resolver sobre los mismos. El mismo procedimiento se utilizara en las convocatorias de las Asambleas Generales Extraordinarias, las cuales se reuniran cada vez que sea de interes para la compañía o cuando lo exija un numero de Accionistas que represente por lo menos el Veinte por Ciento (20%) del Capital social. CLAUSULA DECIMA SEGUNDA: La Asamblea Ordinaria de Accionistas debera reunirse todos los añoos dentro de los primero Noventa (90) dias siguientes al termino del ejercicio economico, fecha que determinara el Director unico y su objeto sera señalado en el Articulo 275 del Codigo de Comercio. CLAUSULA DECIMA TERCERA: Las Asambleas tanto Ordinarias como Extraordinarias se consideraran validamente constituidas cuando concurra a ellas un numero de accionistas que represente por lo menos el Sesenta por ciento (60%) del capital social. En caso de falta de siguiente, con necesidad de nueva convocatoria se instalara con cualquiera que sea el numero concurrentes a ella. Las resoluciones de las Asambleas tanto Ordinarias como Extraordinarias se tomaran por mayoria calificada del Setenta y cinco por ciento (75%) del capital social representado en la Asamblea  <br />25021<br />REPUBLICA BOLIVARIANA DE VENEZUELA<br />MINISTERIO DEL INTERIOR Y JUSTICIA <br />REGISTRO MERCANTIL TERCERO<br />DE LA CIRCUNSCRIPCION JUDICIAL DEL ESTADO TACHIRA<br />REGISTRADORA MERCANTIL TERCERO DE LA CINCUNSCRIPCION <br />JUDICIAL DEL ESTADO TACHIRA<br />C E R T I F I C A D A <br />25021<br />Que el asiento de registro de Comercio transcrito a continuación.<br />Cuyo original está escrito en el Tomo: 12-A.. Número: 18 así como<br />LA PARTICIPACION. NOTA Y DOCUMENTO que se copian de seguida son traslado<br />Fiel y exacto de sus originales. Los cuales son del tenor siguiente <br />ESTE FOLIO PERTENECE A:<br />AUTO REPUESTOS M.A.C C.A<br />Respectivo, por lo que los administradores continuarán en el desempeño de sus funciones.<br />CLAUSULA DECIMA QUINTA:              Conforme al artículo 244 del Código de Comercio los administradores depositarán en caja Social una (1) acción, para garantizar todos los actos de su gestión administrativa o su equivalente en dinero efectivo los no socios.         CLAUSULA DECIMA SEXTA: El Director Único ejercerá la representación y dirección de la Compañía  sin más limitación que las impuestas por los estatutos sociales, la Asamblea General de Accionistas y las leyes sobre la materia así mismo podrá el Director único, dentro de sus atribuciones el Director único tendrá las siguientes: 1.-Convocar y presidir las Asambleas de Accionistas. 2.- Rendir cuentas a la Asamblea General Ordinaria o Extraordinaria sobre las actividades y negocios de la Compañía. 3.- Ejercer la administración y dirección de la Compañía en todas las operaciones inherentes a la realización de su objeto social. 4.- Nombrar y remover los empleados de la Compañoa fijándoles sus remuneraciones. 5.- Aprovar los presupuestos de la Compañía y requerir el Capital de trabajo a la  personas naturales o jurídicas pertinentes incluidas las solicitudes de crédito a instituciones financieras otorgando las fianzas y garantías necesarias para lograr el objeto social de la Compañía. 6.- Movilizar, abrir y cerrar cuentas en institutos bancarios o Financieros, autorizando la firma para la movilizacion de los mismos personas de su confianza.  7.- Celebrar contratos y obligar a la compañía en los negocios que constituyen su objeto. 8.- Intentas, contestar demandas, cinvenir, desistir, cimprometer en árbitros, hacer postura en remate, recibir cantidades de dinero y disponer del derecho en litigio, anunciar recursos constituir, otorgar, sustituir y revocar poderes judiciales en Abogados de su confianza fijándole sus facultades deberes y remuneraciones. 9.- Emitir, endosar, aceptar cheques, pagares y cualquiera otros documentos cambiarios. 10.- Vender, enajenar, comprar, grabar, arrendar, o realizar contratos o negocio jurídico con los bienes muebles o inmuebles de la Compañía. 11.- designar y autorizar las personas que puedan emitir. Avalar y aceptar letras de cambio, cheques, pagares, titulos valores, créditos de cualquier otro efecto de comercio en nombre de la Compañía así como para abrir movilizar o cerrar cuentas bancarias en Institutos Financieros Nacionales y Extranjeras.<br />26<br />Regitsro de Informaciòn Fiscal:<br />27<br />Auto Repuestos “M.A.C” C.ALibro DiarioFecha 2010DescripciónRefDebeHaberEne-011Caja125800Bancos2155000Mobiliario3150000Vehiculos4540000Maquinaria515000Edificio6899000Terreno7650000Articulos de Oficina83400Equipos de Computación9525000Capital Social102963200P/R Asiento de apertura de la empresa \"
Auto Repuestos c.a\"
 inscrito en el Registro Mercantil 1ero del Estado Táchira, bajo el N.18, Tomo A-12, Expediente 3817Van..29632002963200<br />Auto Repuestos M.A.C c.aLibro DiarioFecha 2010DescripciónRefDebeHaberVienen…2.963.200,002.963.200,00Ene-022Compras1110.100,00Credito Fiscal121.212,00Bancos211.312,00P/R Compra de mercancia según cheque Nº 4402, factura Nº741, con credito fiscalEne-053Bancos219.936,00Ventas1317.800,00Debito Fiscal142.136,00P/R Venta de mercancia al Sr. Julian Lopez, factura Nº 001, según cheque Nº3366, con debito fiscalEne-064Compras115.900,00Credito Fiscal12672,60Descuentos sobre compras15295,00Caja16.277,60P/R Compra de mercancia en la comercial \"
El Sol Naciente c.a\"
 al contado, según factura Nº1174, con descuento del 5% con credito fiscalEne-075Rebajas sobre Ventas16288,75Caja18.300,60Ventas137.700,00Debito Fiscal14889,35P/R  Venta de Mercancia al Sr. Luis Gonzalez, según factura Nº 002, con rebaja del 3,75%, con debito fiscalVan…3.009.609,953.009.609,95Vienen…3.009.609,953.009.609,95Ene-106Compras114.500,00Credito Fiscal12540,00Cuentas por pagar175.040,00P/R Compra de mercancia, según factura Nº 2900, en la comercial \"
La Quemazon c.a\"
Ene-157Cuentas por cobrar187.840,00Ventas137.000,00Debito Fiscal14840,00P/R Venta de Mercancia a la Sra. Rosa Cardenas, según factura Nº 003, a credito con debito fiscal.Ene-158Sueldos y Salarios1910.000,00Bancos210.000,00P/R Pago de sueldos y salarios según cheque Nº711Ene-179Bancos218.500,00Caja118.500,00P/R Deposito Nº 03654Ene-2010Servicios Publicos201.750,00Caja11.750,00P/R Cancela según factura Nº 16876 a cadelaEne-2211Gasto Mant. Vehiculo2131.500,00Credito Fiscal123.780,00Bancos235.280,00P/R Cancelación al taller Multi-Servicios \"
El Rapido c.a\"
 según facftura Nº 9373, con cheque Nº 0196, con credito fiscal.Van…3.088.019,953.088.019,95<br />Vienen…3.088.019,953.088.019,95Ene-2312Honorarios Profesionales22510,00Caja1510,00P/R Cancelación, factura Nº 193, al Ing. Juan PerezEne-2413Bancos 25.500,00Caja15.500,00P/R Deposito Nº 9872Ene-2414Caja116.800,00Ventas1315.000,00Debito Fiscal141.800,00P/R Venta de Mercancia al contado, según factura Nº 004, al almacen \"
El Gran Vestir c.a\"
Ene-2515Compras116.000,00Credito Fiscal12720,00Bancos 6.720,00P/R Compra de mercancia, según cheque Nº4945, y según factura Nº 3535 al negocio \"
Hermanos Sanchez c.a\"
Ene-2616Rebajas sobre Ventas162.100,00Bancos 242.448,00Ventas1340.000,00Debito Fiscal144.548,00P/R Venta de Mercancio según factura Nº 005 y según cheque Nº 718, con rebajas del 5,25%Van…3.162.097,953.162.097,95<br />Vienen…3.162.097,953.162.097,95Ene-2717Compras 1120.000,00Credito fiscal122.256,00Rebajas sobre Compras231.200,00Bancos221.056,00P/R Compra de Mercancia según factura Nº 2315 a \"
 Inverciones La Nube c.a\"
 según cheque Nº 8891, recibiendo una rebaja del 6%Ene-2818Sueldos y Salarios1910.000,00Bancos210.000,00P/R Cancelación de sueldos y salarios según chque Nº 0403, por concepto de la segunda quincena del mes de EneroEne-3119Debito Fiscal1410.213,35Credito fiscal129.180,60Bancos21.032,75P/R Cierre de debitos y creditos fiscalesFeb-0220Cuentas por Cobrar 1847.936,00Ventas1342.800,00Debito Fiscal145.136,00P/R Venta de Mercancias a credito al Sr. León Jaramillo según factura Nº 006Feb-0221Compras 1120.200,00Credito fiscal122.424,00Cuentas por Pagar1722.624,00P/R Compra de Mercancia a credito en la comercial \"
La Gran Rebaja c.a\"
 según factura Nº1600Van…3.275.127,303.275.127,30Vienen…3.275.127,303.275.127,30Feb-0422Compras1115.300,00Credito Fiscal121.836,00Bancos217.136,00P/R Compra de fotocopiadora en la comercial \"
Sony c.a\"
 segúnfactura Nº298, según cheque Nº8100  Feb-1023Bancos26.427,05Caja16.427,05P/R Deposito Nº 2763, del 35% de los fondos de caja hasta el 31/01Feb-1224Descuentos sobre Ventas24531,76Caja121.300,43Ventas1319.550,00Debito Fiscal142.282,19P/R Venta de Mercancia al contado, la Sra. Garcia, s/f Nº007Feb-1525Sueldos y Salarios1910.000,00Bancos210.000,00P/R Cancelacion de sueldos y salarios S/Ch Nº3092, Primera quincena de FebreroFeb-1526Alquileres pagados por Ant.2549.300,00Bancos249.300,00P/R Cancelacion de alquileres por 1 ño, a la inmobiliaria \"
El Techo Seguro c.a\"
 S/ch Nº 7035Feb-1727Caja133.555,20Cuentas por Cobrar1833.555,20P/R El cobro del 70% de las Ventas a credito del 2 de FebreroVan..3.413.377,743.413.377,74Vienen..3.413.377,743.413.377,74Feb-2028Cuentas por Pagar1720.361,60Caja120.361,60P/R Cancelación del 90% de las Compras a credito del día 2 de FebreroFeb-2529Servicios Publicos20925,00Caja1925,00P/R Cancelación a Hidrosuroeste, según factura Nº 1123Feb-2830Sueldos y Salarios1912.500,00Bancos212.500,00P/R Cancelación de Suedos y Salarios S/Ch Nº415 con 25% de la cantidad cancelada al 15 por la 2da quincena del mes deFebreroFeb-3131Debito Fiscal147.418,19Credito Fiscal124.260,00Bancos23.158,19P/R Cierre de Creditos y Debitos Fiscales del mes de FebreroMar-0132Articulos de Oficina82.300,00Credito Fiscal12276,00Caja12.576,00P/R Compra de articulos de oficina en la comercial \"
Moderna c.a\"
 S/F Nº 1719, con credito fiscalMar-0333Cuentas por cobrar empleados266.500,00Bancos26.500,00P/R Cancelacion al empleado Luis Ramirez S/Ch Nº 0212 por prestamo otorgadoVan…3.463.658,533.463.658,53Vienen…3.463.658,533.463.658,53Mar-0534Descuento sobre Ventas24297,50Bancos218.706,80Ventas1317.000,00Debito Fiscal 142.004,30P/R Venta al Sr. Carlos Sanchez, según factura Nº008, con un descuento del 1,75%, según cheque Nº 7675, con debito fiscal.Mar-1035Compras1110.296,00Credito Fiscal121.192,28Rebajas sobre Compras23360,36Bancos211.127,92P/R Compra de Mercacia en la comercial \"
Don Regalón c.a\"
 según factura Nº 2024 según cheque Nº 2854, con una rebaja del 3,5% y credito fiscalMar-1536Sueldos y Salarios 1912.500,00Bancos212.500,00P/R Cancelación de sueldos y salarios por concepto de la 1era quincena del mes de marzo, según cheque Nº1520Mar-1737Gasto Mantenimiento Edificio2711.950,00Caja111.950,00P/R Cancelación a la constructora \"
El Rayo c.a\"
 por concepto de reparación a la planta fisica, según factura Nº 2111Van…3.518.601,103.518.601,10<br />Vienen…3.518.601,103.518.601,10Mar-1938Bancos212.878,69Caja112.878,69P/R Deposito al banco con fondo de caja al 30% hasta el 15 de Marzo según cheque Nº 1111Mar-2239Caja137.830,24Ventas1333.777,00Debito Fiscal144.053,24P/R Venta de Mercancia a la comercial \"
El Parque c,a\"
 según factura Nº009Mar-2940Sueldos y Salarios1912.500,00Bancos212.500,00P/R Cancelación de los sueldos y salarios por concepto de la 2da quincena del mes de Marzo, según cheque Nº 4500Mar-3141Debito Fiscal146.057,54Credito Fiscal121.468,28Caja14.589,26P/R El cierre de creditos y debitos fiscales del mes de marzoAbr-0142Descuentos sobre Ventas24760,00Caja120.428,80Ventas1319.000,00Debito Fiscal142.188,80P/R Venta de Mercancia según factura Nº 010, al Sr. Carlos Suarez, con un descuento del 4%, con debito fiscalVan…3.609.056,373.609.056,37Vienen…3.609.056,373.609.056,37Abr-0243Rebajas sobre Ventas16935,00Cuentas por Cobrar1817.992,80Ventas 1317.000,00Debito Fiscal141.927,80P/R Venta de Mercancia a credito según factura Nº 001 a la Sra. Rosa Perez, con una rebaja del 5,5% con Debito FiscalAbr-0444Compras1111.500,00Credito Fiscal121.338,60Descuentos sobre Compras15345,00Caja112.493,60P/R Compra de Mercancia en la comercial \"
 La Mejor c.a\"
 según factura Nº 9288 con un descuento del 3% con credito fiscalAbr-1045Cuentas por cobrar 1826.376,00Ventas1323.550,00Debito Fiscal142.826,00P/R Venta de Mercancia al Sr. Gerardo Cantor a credito, según factura Nº 012Abr-1146Caja142.150,36Cuentas por cobrar 1842.150,36P/R Cancelacion del 95% de las factura a credito del día 2 y 10 de AbrilAbr-1447Honorarios Profesionales227.777,00Bancos27.777,00P/R Cancelación al Ing. Diego Garcia por concepto de mantenimiento de los equipos de computación según cheque Nº 1212, según factura Nº2121Van..3.717.126,133.717.126,13Vienen…3.717.126,133.717.126,13Abr-1648Sueldos y Salarios1912.500,00Bancos212.500,00P/R Sueldos y Salarios correspondientes a la primera quincena del mes de abril según cheque Nº 2505Abr-1749Compras 1146.000,00Credito Fiscal125.361,02Descuentos sobre Compras151.324,80Cuentas por Pagar1750.036,22P/R Compra de Mercancia a credito en la comercial \"
El Ofertón del Día c.a\"
 según factura Nº 6615 y con un descuento del 2,88% con credito fiscalAbr-1750Descuentos sobre Ventas24887,50Cuentas por Cobrar1878.526,00Ventas1371.000,00Debito Fiscal148.413,50P/R Venta de Mercancia a la comercial \"
El Buen Vivir c.a\"
 a credito fiscal con un descuento de 1,25%, con debito fiscal, según factura Nº 0313 Abr-2051Bancos277.223,93Cuentas por Cobrar1877.223,93P/R La cancelación del 75% de las facturas pendientes de cobro Según cheque Nº 2354 y 6697Van…3.937.624,593.937.624,59Vienen…3.937.624,593.937.624,59Abr-2352Articulos de Limpieza17355,00Caja1355,00P/R La cancelación el abastp \"
El Rayo c.a\"
 una factura Nº5574 pendiente de pago por concepto de articulos de limpieza y pulimentoAbr-2553Cuentas por Pagar31.340,99Bancos31.340,99P/R la cancelación de todas las facturas pendientes de pago del 55% S/CH Nº 3366, 3370 y 3371Abr-2654Cuentas por cobrar accionistas16.000,00Bancos16.000,00P/R Prestamo al accionistas Sra. Carla Lucia Mendez Salcedo, S/CH Nº4484Abr-2955Bancos18.816,00Caja12.544,00Ventas28.000,00Debito Fiscal3.360,00P/R Venta de Mercancia según factura Nº 014 con 60% de Banco S/ch Nº 4994, 40% en efectivoAbr-3056Sueldos y Salarios13.125,00Bancos13.125,00P/R Cancelación de Sueldos y Salarios por concepto de la 2da quincena del mes de Abril, con un aumento del 5%Van…4.029.805,584.029.805,58Vienen…4.029.805,584.029.805,58Abr-3157Debito Fiscal18.716,10Credito Fiscal6.699,62Bancos12.016,48P/R el cierre de los debitos y los creditos fiscales del mes de abrilMay-0158Caja161.600,00Ventas1355.000,00Debito Fiscal146.600,00P/R venta de mercancia al contado y en efectivo S/F N° 015 al Sr. Carlos MezaMay-0359Inversiones temporales 308.500,00Caja 18.500,00P/R compra de accion del Club Tennis con un valor nominal de 25000 N° de la accion 099 perteneciente a la Sra. Juana Urgencias.May-0660Bancos266.686,33Caja166.686,33P/R deposito en el banco del 40% del efectivo en caja para ese dia S/D N° 5959May-0861Construccion en proceso31175.000,00Credito Fiscal1221.000,00Caja13.500,00Bancos238.500,00Efectos por pagar32154.000,00P/R La compra de un galpon en construccion en la zona industrial de Paramillo S/Doc. N° 147-145, el 20% en cheque y con una letra de cambio.Van…4.381.308,014.381.308,01Vienen…4.381.308,014.381.308,01May-1062Bancos262.720,00Ventas1356.000,00Debito Fiscal146.720,00P/R Venta de mercancias al contado S/CH N° 6061 al Sr. Pedro Consolacion S/F N°016May-1263Compras 1111.000,00Credito Fiscal121.320,00Caja 112.320,00P/R Compra de mercancia para la venta a credito S/F N° 27875 a la compañía \"
El Gran Remate c.a\"
May-1564Sueldos y Salarios1913.125,00Bancos213.125,00P/R Cancelación de Sueldos y Salarios por concepto de la 1era quincena del mes S/CH N° 9988May-1665Publicidad y Propaganda 331.200,00Credito Fiscal12144,00Caja11.344,00P/R Cancelacioón de aviso publicitario a la empresa \"
El Gran Pincel c.a\"
 S/F Nº11323May-1966Caja13.250,00Cuentas por cobrar empleado263.250,00P/R El pago del 50% del prestamo otorgado al empleado Luis Ramirez.Van…4.474.067,014.474.067,01Vienen…4.474.067,014.474.067,01May-2667Herramientas de trabajo 346.850,00Credito fiscal12822,00Banco27.672,00P/R Compra de herramientas de trabajo en la ferreteria \"
El Pico Moderno c.a\"
S/CH N° 2369 y S/F N 6635May-2968Banco2112.000,00Ventas13100.000,00Debito fiscal1412.000,00P/R Venta de mercancia S/F N° 017 a la Sra. Ana Marquez, S/CH N 6850May-3169Sueldos y Salarios 1913.125,00Banco213.125,00P/R Cancelacion de la 2da quincena del mes de mayo S/Ch N° 3256May-3170Debito fiscal25.320,00Credito fiscal23.286,00Banco2.034,00P/R El cierre de los debitos y los creditos fiscales del mes de mayo.Jun-0271Caja122.400,00Ventas1320.000,00Debito fiscal142.400,00P/R  venta de mercancia al Sr. Oscar Agudo S/F N° 018Van…4.654.584,014.654.584,01Vienen…4.654.584,014.654.584,01Jun-0372Banco2187.500,00Intereses Pagados por Anticipado3510.500,00Comisiones Bancarias362.000,00Prestamo Bancario por pagar37200.000,00P/R Credito otorgado por el banco \"
El Tesoro del Dia c.a\"
 cancelando los intereses, el 1% de comisiones y lo demas queda en el banco.Jun-0573Compras1129.500,00Credito Fiscal123.540,00Rebajas sobre Compras232.000,00Banco231.040,00P/R Compra de Mercancia al contado S/CH Nº 5414 al Almacen \"
La Mansión de La Rebaja c.a\"
 S/F Nº 2333 con una rebaja del Jun-0874Cuentas por Cobrar1817.360,00Ventas 1315.500,00Debito Fiscal141.860,00P/R Venta de Mercancia a credito S/F Nº 019 a la Sra. Claudia BuendiaJun-1075Banco 235.810,11Caja135.810,11P/R Deposito en el Banco S/CH Nª 19999 Con el 33% de fondos de CajaJun-1376Articulos de Limpieza28200,00Credito Fiscal1224,00Caja1224,00P/R Compra en efectivo Art. De Limpieza S/F Nº 0655Van…4.941.018,124.941.018,12Vienen…4.941.018,124.941.018,12Jun-1577Sueldos y Salarios 1915.093,75Banco215.093,75P/R Se cancelan sueldos y salarios con un aumento del 15% a la ultima quincena canceladaJun-1978Caja14.000,00Cuentas por Cobrar Accionistas294.000,00P/R El socio Carla Lucia Mendez Salcedo cancela el 25% del prestamoJun-2079Cuentas por Cobrar Empleados265.000,00Banco25.000,00P/R Prestamo solicitado a la Empleada Maria Contreras S/CH Nº 2444Jun-2680Gastos de Representación3813.000,00Credito Fiscal121.560,00Banco214.560,00P/R Cancelacion a la agencia de Viajes \"
El Avion de Papel c.a\"
 S/CH Nº 2672, por concepto de Boletos Aereos de la Junta Directiva S/F Nº 7227Jun-2781Caja110.416,00Cuentas por Cobrar1810.416,00P/R Se cobra el 60% de la factura del día 8 de JunioJun-2882Servicios Publicos205.750,00Caja15.750,00P/R Cancelacion a Cadela S/F Nº 2674Van…4.995.837,874.995.837,87Vienen…4.995.837,874.995.837,87Jun-2983Sueldos y Salarios1915.093,75Banco215.093,75P/R Cancelacion de segunda quincena del mes de JunioJun-3084Debito Fiscal144.260,00Banco2864,00Credito Fiscal125.124,00P/R Cierre de los debitos y los creditos fiscales del mes de JunioJul-0185Compras 1140.288,00Credito Fiscal124.721,91Descuentos sobre Compras15938,71Cuentas por Pagar1744.071,20P/R Compra de Mercancia a credito en la comercial La Oferta Redonda S/F Nº2570 con un descuento del 2,33%Jul-0286Descuentos sobre Ventas 243.067,51Cuentas por Cobrar1873.942,95Ventas 1369.088,00Debito Fiscal147.922,46P/R Venta de Mercancia al Sr. Pedro Perdomo a credito S/F Nº 020 con un descuento del 4,44%Jul-0587Gastos Articulos Varios39948,00Credito Fiscal12113,76Caja11.061,76P/R Cancelacion S/F Nº 3021 a la Librería \"
el Buen Lector c.a\"
 por concepto de Articulos VariosVan…5.139.137,765.139.137,76Vienen…5.139.137,765.139.137,76Jul-0888Articulos de Limpieza28723,00Credito Fiscal1286,76Caja1809,76P/R Cancelacion S/F Nº7755 por concepto de Articulos de Limpieza al Abasto \"
Las 3 esquinas c.a\"
Jul-1089Cuentas por Pagar 1710.288,00Banco210.288,00P/R Cancelacion de facturas pendientes de pago en la empresa S/CH Nº 2266Jul-1190Cuentas por Cobrar Accionistas2920.288,00Banco220.288,00P/R Prestamo al Accionista Mendez Salcedo Carla Lucia S/CH Nº7878Jul-1291Rebajas sobre Ventas16525,00Caja19.680,16Ventas139.168,00Debito Fiscal141.037,16P/R Venta de Mercancia a la Sra. Nicolasa Ramirez S/F Nº 021Jul-1592Sueldos y Salarios 1915.093,75Banco215.093,75P/R Primera quincena del mes de Julio S/CH Nº7989Jul-1893Caja130.288,00Cuentas por Cobrar1830.288,00P/R Cobro en Efectivo abono del día 02/07Van…5.226.110,435.226.110,43Vienen…5.226.110,435.226.110,43Jul-2094Cuentas por Pagar1722.035,60Banco222.035,60P/R Cancelacion del 50% de la factura del día 01-07  S/CH Nº 6698Jul-2595Banco 222.843,00Caja122.843,00P/R Deposito al banco con fondos de Caja -S/D Nº 33548Jul-3096Caja12.788,00Cuentas por Cobrar Empleados262.788,00P/R Cancelacion de Prestamo a empleados en efectivoJul-3197Sueldos y Salarios 1915.593,75Banco215.593,75P/R La segunda quincena del mes de julio con un aumento de 500bsJul-3198Debito Fiscal148.959,62Credito Fiscal124.922,43Banco24.037,18P/R El cierre de los debitos y los creditos fiscales de mes de Julio.Ago-0199Caja127.874,56Ventas1324.888,00Debito Fiscal142.986,56P/R Venta de Mercancia al Contado S/F Nº 022 a la Sra. Luisa PerezVan…5.326.204,965.326.204,96Vienen…5.326.204,965.326.204,96Ago-03100Terreno765.288,00Credito Fiscal127.834,56Caja14.600,00Banco 230.000,00Efectos por Pagar3238.522,56P/R Compra de Terreno en la zona industrial de Puente Real S/D Nº 356988978, con una parte en efectivo, con cheque y un pagareAgo-05101Banco 230.615,90Caja130.615,90P/R Deposito en el Banco el 25% de fondo de caja S/D Nº 446674Ago-09102Descuentos sobre Ventas242.093,18Banco 247.963,80Ventas1344.918,00Debito Fiscal145.138,98P/R Venta de Mercancia al contado S/CH Nº 023 al Sr. Carlos Quintero, con un descuento del 4,66%Ago-12103Compra 1113.278,00Credito Fiscal121.593,36Banco 214.871,36P/R Compra de Mercancia S/F Nº 3878 a la Inversora \"
Don Regalon y Dinosaurio c.a\"
 S/CH Nº 77878Ago-16104Sueldos y Salarios1915.593,75Banco 115.593,75P/R Cancelacion de la primera quincena del mes de agosto S/CH Nº 8782Van…5.510.465,505.510.465,50Vienen…5.510.465,505.510.465,50Ago-22105Comisiones sobre Ventas407.238,00Banco27.238,00P/R Cancelacion al Sr. Guaicaipuro Torres por comisiones sobre ventas S/CH Nº 01069Ago-26106Herramientas de Trabajo 347.978,00Credito Fiscal12957,36Caja13.275,36Banco25.660,00P/R Compra en Madeco de herramientas de trabajo S/F Nº 33478Ago-29107Caja 112.000,00Banco223.535,36Ventas1331.728,00Debito Fiscal143.807,36P/R Venta de Mercancia al almacen \"
La Quemazon c.a\"
 S/F Nº 024, S/CH Nº80084Ago-31108Sueldos y Salarios1915.593,75Banco215.593,75P/R Cancelacion de sueldos de la Segunda quincena del mes de Agosto S/CH Nº 78888Ago-31109Debito Fiscal1411.932,90Credito Fiscal1210.385,28Banco21.547,62P/R el cierre de los debitos y creditos fiscales S/D Nª 574142Van…5.589.700,875.589.700,87Vienen…5.589.700,875.589.700,87Sep-01110Caja 116.562,56Ventas1314.788,00Debito Fiscal141.774,56P/R Venta de Mercancia al Sr. Francisco Parra S/F Nª 025Sep-05111Compras1110.238,00Credito Fiscal121.204,56Rebajas sobre Compras23200,00Banco211.242,56P/R Compra de Mercancia S/CH Nº 030303 en el Almacen La Mansion de La Rebaja c.a S/F Nº 43055 con una RebajaSep-08112Cuentas por Cobrar1819.228,16Ventas1317.168,00Debito Fiscal142.060,16P/R Venta de Mercnacia a credito S/F Nº 026 a Inversiones El Cielo AzulSep-10113Banco217.570,23Caja 117.570,23P/R Deposito Nº 090789 el 15% de los fondos de Caja al día 08/09Sep-12114Articulos de Limpieza28783,00Credito Fiscal1215,66Caja 1798,66P/R Compra de Art de Lipieza en el abasto 3 esquinas S/F N 6655Van…5.655.303,045.655.303,04Vienen…5.655.303,045.655.303,04Sep-14115Publicidad y Propaganda 332.648,00Credito Fiscal12317,76Caja12.965,76P/R Cancelacion a la emisora La Voz del Mundo por concepto d Cuña publicitaria por un añoSep-15116Sueldos y Salarios1915.593,75Banco215.593,75P/R La primera quincena del mes de septiembre S/F N 806047Sep-18117Caja132.288,00Cuentas por cobrar accionistas2932.288,00P/R el pago de todas las deudas de los accionitas en efectivoSep-20118Caja15.462,00Cuentas por cobrar empleados265.462,00P/R el pago de la totalidad de todas las deudas de los empleadosSep-26119Caja138.227,37Cuentas por Cobrar1838.227,37P/R La cancelacion del 40% de todas las cuentas por cobrarSep-27120Servicios Publicos203.288,00Caja13.288,00P/R Cacelacion a Cantv S/F N 001478Sep-28121Banco2126.367,20Caja1126.367,20P/R Deposito del 75% de fondos de caja a l dia 27/9van…5.879.495,125.879.495,12Vienen…5.879.495,125.879.495,12Sep-31122Sueldos y Salarios1917.932,81Banco217.932,81P/R La segunda quincena del mes de septiembre con un aumento de 15% S/CH N 098Sep-31123Debito fiscal143.834,72Credito fiscal121.537,98Banco22.296,74P/R el cierre de los debitos y creditos fiscales del mes de septiembreOct-01124Descuentos sobre Ventas2411.020,50Bancos2300.137,04Ventas13279.000,00Debito fiscal1432.157,54P/R Venta de Mercancia al almacen El Gran Balon con un descuento del 3,95% S/CH N 028854 S/F N 027Oct-05125Almacenaje sobre Compras417.500,00Seguros sobre Compras4213.000,00Fletes sobre Compras4320.700,00Acarreos sobre Compras441.150,00Credito fiscal125.082,00Caja11.150,00Banco246.282,00P/R Cancelacion de algunas facturas S/CH N 0211 0213 0214 S/F N 849Van…6.259.852,196.259.852,19Vienen…6.259.852,196.259.852,19Oct-09126Rebaja sobre Ventas162.176,20Banco284.922,66Ventas1378.000,00Debito Fiscal149.098,86P/R Venta de Mercancia S/F N 028 a la Sra. Juana Cubana  S/CH N 07828 y con rebaja del 2,79%Oct-15127Servicios Publicos203.500,00Caja13.500,00P/R Cancelacion de Cantv S/F N 7894Oct-16128Sueldos y Salarios 1417.932,81Banco217.932,81Oct-18129Rebaja sobre Ventas162.379,00Banco 286.151,52Ventas1379.300,00Debito Fiscal149.230,52P/R Venta de Mercancia al Sr. Justo Suarez S/F N 029 S/CH N 27889 rebaja del 3,55%Oct-20130compras1125.000,00Credito Fiscal122.910,00Descuentos sobre Compras15750,00Bancos227.160,00P/R Compra de Mercancia al almacen Rayo c.a S/F N 7788 S/CH N 7789 descuento del 3%Van…6.484.824,386.484.824,38Vienen…6.484.824,386.484.824,38Oct-24131Compras1122.000,00Credito Fiscal122.593,80Descuentos sobre Compras15385,00Bancos224.208,80P/R Compra de Mercancia al Sr. Carlos Mora al S/F N 31327 A/CH N 70998 con 1,75Oct-25132Banco28.894,48Caja18.894,48P/R Deposito al banco con fondos de caja 20%  S/D N 3894154Oct-28133Compras 1123.500,00Credito Fiscal122.776,29Descuentos sobre Compras15364,25Banco225.912,04P/R Compra Mercancia al Sr. Juan Paz S/CH N 32111 con un descuento de 1,55%Oct-30134Sueldos y Salarios 1917.932,81Banco217.932,81P/R Cancelacion de los sueldos del mes de octubre S/CH N 99127Oct-31135Debito Fiscal1450.486,92Credito Fiscal1213.362,09Banco237.124,83P/R El cierro de los debitos y creditos fiscales del mes de octubreVan…6.613.008,686.613.008,68Vienen…6.613.008,686.613.008,68Nov-02136Rebajas sobre Ventas162.100,00Banco281.648,00 Ventas1375.000,00Debito Fiscal148.748,00P/R Venta de Mercancia al contado S/F N 030 a la Sra. Yadira Chacon con una rebaja del 2,80%Nov-05137Compras 1125.500,00Credito Fiscal123.029,40Descuentos sobre compras15255,00Bancos228.274,40P/R Compra de Mercancia S/CH N 99328 al Comercial BMW c.a con un descuento del 1%Nov-12138Rebajas sobre Ventas162.745,75Bancos284.788,76Ventas 1378.450,00Debito Fiscal149.084,51P/R Venta de Mercancia S/CH N 09819 al Sr. Jorge Toloza S/F N 031 descuento del 3,5%Nov-14139Servicios Publicos204.400,00Caja14.400,00P/R Cancelacion a Cadela en efectivo S/F N 9998Nov-15140Sueldos y Salarios1917.932,81Bancos217.932,81P/R Cancelacion de la primera quincena del mes de Noviembre S/CH N 77894Van…6.835.153,406.835.153,40Vienen…6.835.153,406.835.153,40Nov-17141Bancos24.835,58Caja14.835,58P/R Deposito con el 20% de los fondos de caja al 15/10  S/D N2293471Nov-22142Compras 1123.220,00Credito Fiscal122.743,21Descuentos sobre compras15359,91Bancos225.603,30P/R Compra de Mercancia al Sr. Pepe Juan Al contado S/F N 99731 S/CH N 7895220 con descuento del 1,55%Nov-25143Rebajas sobre Ventas162.400,00Bancos286.912,00Ventas 1380.000,00Debito Fiscal149.312,00P/R Venta de Mercancia Al Dr. Mesias Diaz con dsto del 3% S/CH N 3901 S/F N 032Nov-28144Compras 1124.000,00Credito Fiscal122.822,40Descuentos sobre compras15480,00Bancos226.342,40P/R Compra de Mercancia al contado S/CH B 892756 S/F 787 descuento  del 2% a la Sra. Yadira ChaconNov-31145Sueldos y Salarios 1917.932,81Bancos217.932,81P/R La cancelacion de la segunda quincena del mes de noviembrevan…7.000.019,407.000.019,40Vienen…7.000.019,407.000.019,40Nov-31146Debito Fiscal1427.144,51Credito Fiscal128.595,01Bancos218.549,50P/R El cierre de ka debitos y creditos fiscalesDic-03147Rebajas sobre Ventas162.340,00Bancos284.739,20Ventas1378.000,00Debito Fiscal149.079,20P/R Venta de Mercancia al Sr. Luis David con una rebaja del 3% S/F N 033Dic-06148Compras 1124.000,00Credito Fiscal122.822,40descuentos sobre compras15480,00Bancos226.342,40P/R Compra a la Sra. Maria Jordans al contado S/CH N34147 S/F N 1233 con un dsto del 2%Dic-11149Rebajas sobre Ventas161.747,50Bancos282.042,80Ventas1375.000,00Debito Fiscal148.790,30P/R Venta de Mercancia al Almacen El Motor Feliz c.a S/F N 034 S/CH N 3234 con una rebaja de 2,33%Dic-15150Servicios Publicos 204.000,00Caja14.000,00P/R Cancelaciona hidrosuroeste c.a S/F N 321Van…7.228.855,817.228.855,81Vienen…7.228.855,817.228.855,81Dic-16151Sueldos y Salarios1919.726,09Bancos219.726,09P/R Cancelacion de la primera quincena del mes de diciembre con un aumento del 10%Dic-19152Bancos24.668,47Caja14.668,47P/R Deposito del 20% de los fondos de caja al 16/12 S/D N 32111Dic-24153Compras1119.000,00Credito Fiscal122.245,80Descuentos sobre Compras15285,00Bancos220.960,80P/R Compra de mercancia al contado Sra. Maria Petra S/CH N 3321 y S/F N 2912 con dsto del 1,50%Dic-27154Rebajas sobre Ventas163.100,00Bancos283.328,00Ventas1377.500,00Debito Fiscal148.928,00P/R Venta de mercancia al Sr. Cristofer Escalante S/CH N 3212 S/F N 212121 con una rebaja del 4%Dic-29155Compras1121.000,00Credito Fiscal122.494,80Descuentos sobre Compras15210,00Bancos223.284,80P/R Compra de mercancia a la Sra. Petronila Manrique S/F N 8713 S/CH N9999 -con dsto del 1%Van…7.384.418,977.384.418,97Vienen…7.384.418,977.384.418,97Dic-31156Sueldos y Salarios1919.726,09Bancos219.726,09P/R Cancelacion de la segunda quincena del mes de diciembreDic-31157Debito Fiscal1426.797,50Credito Fiscal127.563,00Bancos219.234,50P/R Cierre de los debitos y los creditos fiscales del mes de diciembreDic-31158Alquileres Gastos4543.137,50Alquileres Pagados por Ant.2543.137,50P/R El consumo de meses del 15-02-2010 al 31-12-2010Dic-31159Intereses Gastos466.125,00Intereses Pagados por Ant.356.125,00P/R El consumo de los meses de 03-06-2010 al 31-12-2010Dic-31160Sueldos y Salarios193.890,00Sueldos y Salarios por Pagar473.890,00P/R Paga sueldos y salarios pendientes de pago al 31-12-2010Dic-31161Prestaciones sociales gasto4859.357,91Prestaciones sociales por pagar4959.357,91P/R Pago de prestaciones del 1-1-2010 al 31-12-2010Dic-31162Articulos de Oficina Gasto 501.140,00Articulos Gasto511.140,00P/R El consumo al 31-12-2010Van…7.544.592,977.544.592,97Vienen…7.544.592,977.544.592,97Dic-31163Provision para Cuentas Inco.522.781,04Cuentas por cobrar182.781,04P/R provision al 31-12-2010 por el 4,85%Dic-31164Dep. gasto Edificio5315.283,00Dep. acum. Edificio5415.283,00P/R La depreciacion de edificio al 31-12-2010Dic-31165Dep. gasto Mobiliario559.000,00Dep. gasto Maquinaria56900,00Dep. gasto Vehiculo5732.400,00Dep. gasto Art de Oficina58342,00Dep. gasto Equipos de Comp.5931.500,00Dep gasto Herramientas Trabajo60889,68Dep. gasto Art. Limpieza61123,66Dep. acum Mobiliario629.000,00Dep. acum Maquinaria63900,00Dep. acum Vehiculo6432.400,00Dep . Acum Art de Oficina65342,00Dep. acum Equipos de Compu.6631.500,00Dep. acum Herramientas Trab.67889,68Dep. acum Art. Limpieza68123,66P/R La depreciacion de todos los demas activos por el 6%Van…Vienen…Dic-31166Costo de Ventas69124.380,97Inventario final de Mercancia 71369.056,00Rebajas sobre Compras233.760,36Descuentos sobre Compras156.472,67Inventario Inicial de Mercancia 720,00Compras11461.320,00Fletes sobre Compras 4320.700,00Acarreos sobre Compras441.150,00Seguros sobre Compras4213.000,00Almacenajes sobre Compras417.500,00P/R Cierre de las cuentas nominales del costo por el cierre del ejercicioDic-31167Costo de Ventas69658.772,23Sueldos y Salarios 19360.037,48Gastos Mantenimiento Vehiculo2131.500,00Gastos Mantenimiento Edificio2711.950,00Servicios Publicos 2023.613,00Honorarios Profesionales228.287,00Comisiones Bancarias362.000,00Gastos de Representacion3813.000,00Gastos Articulos Varios39948,00Comisiones sobre Ventas407.238,00Alquileres Gastos4543.137,50Intereses Gastos466.125,00Prestaciones sociales Gasto4859.357,91Articulos de Oficina Gastos501.140,00Dep. Gasto Edificio5315.283,00Dep. gasto mobiliario559.000,00Dep. gasto maquinaria 56900,00Dep. gasto vehiculo 5732.400,00Depr. gasto art. De Oficina58342,00Depr. gasto Equi. de compu5931.500,00Depr. Gasto Herra. De trabajo60889,68Depr. Gasto Art. De Limp.61123,66P/R cierre de las cuentas nominales gasto por cierreVan…Vienen…Dic-31168Ganancias y Perdidas70783.153,20Costo de Ventas69783.153,20P/R El costo y apertura del ganancias y perdidasDic-31169Ventas111.717.673,00Rebajas sobre Ventas1622.837,20Descuentos sobre Ventas2418.657,95Ganancias y Perdidas701.676.177,85P/R El cierre de las cuentas nominales de ingreso170Ganancias y Perdidas70893.024,65Utilidad del Ejercicio73893.024,65P/R El cierre del ejercicio al 2010<br />Libro Mayor<br />Caja<br />Caja(1)Fecha 2010DescripciónRefDebeHaberSaldoEne-01Según libro diario1/12580025800Ene-06Según libro diario4/26277,619522,4Ene-07Según libro diario5/28300,627823Ene-17Según libro diario9/3185009323Ene-20Según libro diario10/317507573Ene-23Según libro diario12/35107063Ene-24Según libro diario13/455001563Ene-24Según libro diario14/41680018363Feb-10Según libro diario23/66427,0511935,95Feb-12Según libro diario24/621300,428833236,38Feb-17Según libro diario27/733555,266791,58Feb-20Según libro diario28/720361,646429,98Feb-25Según libro diario29/792545504,98Mar-01Según libro diario32/8257642928,98Mar-17Según libro diario37/91195030978,98Mar-19Según libro diario38/912878,6918100,29Mar-22Según libro diario39/1037830,2455930,53Mar-31Según libro diario41/104589,2651341,27Abr-01Según libro diario42/1020428,871770,07Abr-04Según libro diario44/1112493,659276,47Abr-11Según libro diario46/1142150,36101426,83Abr-23Según libro diario52/13355101071,83Abr-29Según libro diario55/1412544113615,83May-01Según libro diario58/1461600175215,83May-03Según libro diario59/158500166715,83May-06Según libro diario60/1566686,33100029,50May-08Según libro diario61/15350096529,50May-12Según libro diario63/161232084209,50May-16Según libro diario65/16134482865,50May-19Según libro diario66/16325086115,50Jun-02Según libro diario71/1722400108515,50Jun-10Según libro diario75/1835810,1172705,38Jun-13Según libro diario76/1922472481,38Jun-19Según libro diario78/19400076481,38Jun-27Según libro diario81/201041686897,38Jun-28Según libro diario82/20575081147,38Jul-05Según libro diario87/211061,7680085,62Jul-08Según libro diario88/21809,7679275,86Jul-12Según libro diario91/229680,1688956,02Jul-18Según libro diario93/2230288119244,02Jul-25Según libro diario95/222284396401,02Jul-30Según libro diario96/23278899189,02Ago-01Según libro diario99/2327874,56127063,58Ago-03Según libro diario100/234600122463,58Ago-05Según libro diario101/2430615,9091847,69Ago-26Según libro diario106/253275,3688572,33Ago-29Según libro diario109/2512000100572,33Sep-01Según libro diario110/2516562,56117134,89Sep-10Según libro diario113/2617570,2399564,65Sep-12Según libro diario114/26798,6698765,99Sep-14Según libro diario115/262965,7695800,23Sep-18Según libro diario117/2732288128088,23Sep-20Según libro diario118/275462133550,23Sep-26Según libro diario119/2738227,37171777,60Sep-27Según libro diario120/273288168489,60Sep-28Según libro diario121/27126367,2042122,40Oct-05Según libro diario125/28115040972,40Oct-15Según libro diario127/29350037472,40Oct-25Según libro diario132/308894,4828577,92Nov-14Según libro diario139/31440024177,92Nov-17Según libro diario144/324.835,5819342,34Dic-15Según libro diario150/34400015342,34Dic-19Según libro diario152/354668,4710673,87<br />Bancos:<br />Bancos(2)Fecha 2010DescripciónRefDebeHaberSaldoEne-01Según libro diario1/1155000155000Ene-02Según libro diario2/111312143688Ene-05Según libro diario3/119936163624Ene-15Según libro diario8/310000153624Ene-17Según libro diario9/318500172124Ene-22Según libro diario11/335280136844Ene-24Según libro diario13/45500142344Ene-25Según libro diario15/46720135624Ene-26Según libro diario16/442448178072Ene-27Según libro diario17/521056157016Ene-28Según libro diario18/510000147016Ene-31Según libro diario19/51032,75145983,25Feb-04Según libro diario22/617136128847,25Feb-10Según libro diario23/66427,05135274,3Feb-15Según libro diario25/610000125274,3Feb-15Según libro diario26/74930075974,3Feb-28Según libro diario30/71250063474,3Feb-31Según libro diario31/83158,1960316,11Mar-03Según libro diario33/8650053816,11Mar-05Según libro diario34/818706,872522,91Mar-10Según libro diario35/911127,9261394,99Mar-15Según libro diario36/91250048894,99Mar-19Según libro diario38/912878,6961773,68Mar-29Según libro diario40/101250049273,68Abr-14Según libro diario47/12777741496,68Abr-16Según libro diario48/121250028996,68Abr-20Según libro diario51/1377223,93106220,61Abr-25Según libro diario53/1331340,9974879,62Abr-26Según libro diario54/131600058879,62Abr-29Según libro diario55/141881677695,62Abr-30Según libro diario56/141312564570,62Abr-31Según libro diario57/1412016,4852554,15May-06Según libro diario60/1566686,3302119240,48May-08Según libro diario61/153850080740,48May-10Según libro diario62/1562720143460,48May-15Según libro diario64/1613125130335,48May-26Según libro diario67/167672122663,48May-29Según libro diario68/17112000234663,48May-31Según libro diario69/1713125221538,48May-31Según libro diario70/172034219504,48Jun-03Según libro diario72/18187500407004,48Jun-05Según libro diario73/1831040375964,48Jun-10Según libro diario75/1835810,11411774,59Jun-15Según libro diario77/1915093,75396680,84Jun-20Según libro diario79/195000391680,84Jun-26Según libro diario80/1914560377120,84Jun-29Según libro diario83/2015093,75362027,09Jun-30Según libro diario84/20864362891,09Jul-10Según libro diario89/2110288352603,09Jul-11Según libro diario90/2220288332315,09Jul-15Según libro diario92/2215093,75317221,34Jul-20Según libro diario94/2222035,60295185,74Jul-25Según libro diario95/2222843318028,74Jul-31Según libro diario97/2315593,75302434,99Jul-31Según libro diario98/234037,18298397,81Ago-03Según libro diario100/2330000268397,81Ago-05Según libro diario101/2430615,90299013,70Ago-09Según libro diario102/2447963,80346977,50Ago-12Según libro diario103/2414871,36332106,14Ago-16Según libro diario104/2415593,75316512,39Ago-22Según libro diario105/247238309274,39Ago-26Según libro diario106/255660303614,39Ago-29Según libro diario107/2523535,36327149,75Ago-31Según libro diario108/2515593,75311556,00Ago-31Según libro diario109/251547,62310008,38Sep-05Según libro diario111/2611242,56298765,82Sep-10Según libro diario113/2617570,233316336,06Sep-15Según libro diario15593,75300742,31Sep-28Según libro diario121/27126367,202427109,51Sep-31Según libro diario122/2817932,81409176,70Sep-31Según libro diario123/282296,74406879,96Oct-01Según libro diario124/28300137,04707017,00Oct-05Según libro diario125/2846282660735,00Oct-09Según libro diario126/2984922,66745657,65Oct-16Según libro diario128/2917932,81727724,84Oct-18Según libro diario129/2986151,52813876,36Oct-20Según libro diario130/2927160786716,36Oct-24Según libro diario131/3024208,8762507,56Oct-25Según libro diario132/308894,48771402,04Oct-28Según libro diario133/3025912,04745490,00Oct-30Según libro diario134/3017932,81727557,19Oct-31Según libro diario135/3037124,83690432,37Nov-02Según libro diario136/3181648772080,37Nov-05Según libro diario137/3128274,4743805,97Nov-12Según libro diario138/3184788,76828594,73Nov-15Según libro diario140/3217.932,81810661,92Nov-17Según libro diario141/324.835,58815497,50Nov-22Según libro diario142/3225.603,30789894,20Nov-25Según libro diario143/3286.912,00876806,20Nov-28Según libro diario144/3226.342,40850463,80Nov-31Según libro diario145/33017.932,81832530,99Nov-31Según libro diario146/3318549,50813981,49Dic-03Según libro diario147/3384739,2898720,69Dic-06Según libro diario148/3426342,4872378,29Dic-11Según libro diario149/3482042,8954421,091Dic-16Según libro diario151/3419726,09934695,00Dic-19Según libro diario152/354668,47939363,47Dic-24Según libro diario153/3520960,8918402,67Dic-27Según libro diario154/35833281001730,67Dic-29Según libro diario155/3523284,8978445,871Dic-31Según libro diario156/3619726,09958719,781Dic-31Según libro diario157/3619234,5939485,28<br />Mobiliario:<br />Mobiliario(3)Fecha 2010DescripciónRefDebeHaberSaldoEne-01Según libro diario1/1150000150000<br />Vehículos:<br />Vehiculos(4)Fecha 2010DescripciónRefDebeHaberSaldoEne-01Según libro diario1/1540000540000<br />Maquinaria:<br />Maquinaria(5)Fecha 2010DescripciónRefDebeHaberSaldoEne-01Según libro diario1/11500015000<br />Edificio:<br />Edificio(6)Fecha 2010DescripciónRefDebe HaberSaldoEne-01Según libro diario1/1899000899000<br />Terreno:<br />Terreno(7)Fecha 2010DescripciónRefDebeHaberSaldoEne-01Según libro diario1/1650000650000Ago-03Según libro diario100/2365288715288<br />Artículos de Oficina:<br />Articulos de Oficina(8)Fecha 2010DescripciónRefDebeHaberSaldoEne-01Según libro diario1/134003400Mar-01Según libro diario32/823005700<br />Equipos de Computación:<br />Equipos de Computación(9)Fecha 2010DescripciónRefDebeHaberSaldoEne-01Según libro diario1/1525000525000<br />Capital Social:<br />Capital Social(10)Fecha 2010DescripciónRefDebeHaberSaldoEne-01Según libro diario1/129632002963200<br />Compras:<br />Compras(11)Fecha 2010DescripciónRefDebeHaberSaldoEne-02Según libro diario2/110.100,0010.100,00Ene-06Según libro diario4/25.900,0016.000,00Ene-10Según libro diario6/24.500,0020.500,00Ene-25Según libro diario14/46.000,0026.500,00Ene-27Según libro diario17/520.000,0046.500,00Feb-02Según libro diario21/620.200,0066.700,00Feb-04Según libro diario22/615.300,0082.000,00Mar-10Según libro diario35/910.296,0092.296,00Abr-04Según libro diario44/1111.500,00103.796,00Abr-17Según libro diario49/1246.000,00149.796,00May-12Según libro diario63/1611.000,00160.796,00Jun-05Según libro diario73/1829.500,00190.296,00Jul-01Según libro diario85/2040.288,00230.584,00Ago-12Según libro diario103/2413.278,00243.862,00Sep-05Según libro diario111/2610.238,00254.100,00Oct-20Según libro diario130/2925.000,00279.100,00Oct-24Según libro diario131/3022.000,00301.100,00Oct-28Según libro diario133/3023.500,00324.600,00Nov-05Según libro diario137/3125.500,00350.100,00Nov-22Según libro diario142/3223.220,00373.320,00Nov-28Según libro diario144/3324.000,00397.320,00Dic-06Según libro diario148/3424.000,00421.320,00Dic-24Según libro diario153/3519.000,00440.320,00Dic-29Según libro diario155/3521.000,00461.320,00Dic-31Según libro diario166/35461.320,000,00<br />Crédito Fiscal:<br />Credito Fiscal(12)Fecha 2010DescripciónRefDebeHaberSaldoEne-02Según libro diario2/11.212,001.212,00Ene-06Según libro diario4/2672,601.884,60Ene-10Según libro diario6/2540,002.424,60Ene-22Según libro diario11/33.780,006.204,60Ene-25Según libro diario15/4720,006.924,60Ene-27Según libro diario17/52.256,009.180,60Ene-31Según libro diario19/59.180,600,00Feb-02Según libro diario21/62.424,002.424,00Feb-04Según libro diario22/61.836,004.260,00Feb-31Según libro diario31/84.260,000,00Mar-01Según libro diario32/8276,00276,00Mar-10Según libro diario35/91.192,281.468,28Mar-31Según libro diario41/101.468,280,00Abr-04Según libro diario44/111.338,601.338,60Abr-17Según libro diario49/125.361,026.699,62Abr-31Según libro diario57/146.699,620,00May-08Según libro diario61/1521.000,0021.000,00May-12Según libro diario63/161.320,0022.320,00May-16Según libro diario65/16144,0022.464,00May-26Según libro diario67/16822,0023.286,00May-31Según libro diario70/1723.286,000,00Jun-05Según libro diario73/183.540,003.540,00Jun-13Según libro diario76/1924,003.564,00Jun-26Según libro diario80/191.560,005.124,00Jun-30Según libro diario84/205.124,000,00Jul-01Según libro diario85/204.721,914.721,91Jul-05Según libro diario87/21113,764.835,67Jul-08Según libro diario88/2186,764.922,43Jul-31Según libro diario98/234.922,430,00Ago-03Según libro diario100/237.834,567.834,56Ago-12Según libro diario103/241.593,369.427,92Ago-26Según libro diario106/25957,3610.385,28Ago-31Según libro diario109/2510.385,280,00Sep-05Según libro diario111/261.204,561.204,56Sep-12Según libro diario114/2615,661.220,22Sep-14Según libro diario115/26317,761.537,98Sep-31Según libro diario123/281.537,980,00Oct-05Según libro diario125/285.082,005.082,00Oct-20Según libro diario130/292.910,007.992,00Oct-24Según libro diario131/302.593,8010.585,80Oct-28Según libro diario133/302.776,2913.362,09Oct-31Según libro diario135/3013.362,090,00Nov-05Según libro diario137/313.029,403.029,40Nov-22Según libro diario142/322.743,215.772,61Nov-28Según libro diario144/332.822,408.595,01Nov-31Según libro diario146/338.595,010,00Dic-06Según libro diario148/342.822,402.822,40Dic-24Según libro diario153/352.245,805.068,20Dic-29Según libro diario155/352.494,807.563,00Dic-31Según libro diario157/367.563,000,00<br />Ventas:<br />Ventas(13)Fecha 2010DescripciónRefDebeHaberSaldoEne-05Según libro diario3/117.800,0017.800,00Ene-07Según libro diario5/27.700,0025.500,00Ene-15Según libro diario7/27.000,0032.500,00Ene-24Según libro diario14/415.000,0047.500,00Ene-26Según libro diario16/440.000,0087.500,00Feb-02Según libro diario20/542.800,00130.300,00Feb-12Según libro diario24/619.550,00149.850,00Mar-05Según libro diario34/817.000,00166.850,00Mar-22Según libro diario39/1033.777,00200.627,00Abr-01Según libro diario42/1019.000,00219.627,00Abr-02Según libro diario43/1117.000,00236.627,00Abr-10Según libro diario45/1123.550,00260.177,00Abr-17Según libro diario50/1271.000,00331.177,00Abr-29Según libro diario55/1428.000,00359.177,00May-01Según libro diario58/1455.000,00414.177,00May-10Según libro diario62/1556.000,00470.177,00May-29Según libro diario68/17100.000,00570.177,00Jun-02Según libro diario71/1720.000,00590.177,00Jun-08Según libro diario74/1815.500,00605.677,00Jul-02Según libro diario86/2169.088,00674.765,00Jul-12Según libro diario91/229.168,00683.933,00Ago-01Según libro diario99/2324.888,00708.821,00Ago-09Según libro diario102/2444.918,00753.739,00Ago-29Según libro diario107/2531.728,00785.467,00Sep-01Según libro diario110/2514.788,00800.255,00Sep-08Según libro diario111/2617.168,00817.423,00Oct-01Según libro diario124/28279.000,001.096.423,00Oct-09Según libro diario126/2978.000,001.174.423,00Oct-18Según libro diario129/2979.300,001.253.723,00Nov-02Según libro diario136/3175.000,001.328.723,00Nov-12Según libro diario138/3178.450,001.407.173,00Nov-25Según libro diario143/3280.000,001.487.173,00Dic-03Según libro diario147/3378.000,001.565.173,00Dic-11Según libro diario149/3475.000,001.640.173,00Dic-27Según libro diario154/3577.500,001.717.673,00Dic-31Según libro diario169/381.717.673,000,00<br />Debito Fiscal:<br />Debito Fiscal(14)Fecha 2010DescripciónRefDebeHaberSaldoEne-05Según libro diario3/12.136,002.136,00Ene-07Según libro diario5/2889,353.025,35Ene-15Según libro diario7/2840,003.865,35Ene-24Según libro diario14/41.800,005.665,35Ene-26Según libro diario16/44.548,0010.213,35Ene-31Según libro diario19/510.213,350,00Feb-02Según libro diario20/55.136,005.136,00Feb-12Según libro diario24/62.282,197.418,19Feb-31Según libro diario31/87.418,190,00Mar-05Según libro diario34/82.004,302.004,30Mar-22Según libro diario39/104.053,246.057,54Mar-31Según libro diario41/106.057,540,00Abr-01Según libro diario42/102.188,802.188,80Abr-02Según libro diario43/111.927,804.116,60Abr-10Según libro diario45/112.826,006.942,60Abr-17Según libro diario50/128.413,5015.356,10Abr-29Según libro diario55/143.360,0018.716,10Abr-31Según libro diario57/1418.716,100,00May-01Según libro diario58/146.600,006.600,00May-10Según libro diario62/156.720,0013.320,00May-29Según libro diario68/1712.000,0025.320,00May-31Según libro diario70/1725.320,000,00Jun-02Según libro diario71/172.400,002.400,00Jun-08Según libro diario74/181.860,004.260,00Jun-30Según libro diario84/204.260,000,00Jul-02Según libro diario86/217.922,467.922,46Jul-12Según libro diario91/221.037,168.959,62Jul-31Según libro diario98/238.959,620,00Ago-01Según libro diario99/232.986,562.986,56Ago-09Según libro diario102/245.138,988.125,54Ago-29Según libro diario107/253.807,3611.932,90Ago-31Según libro diario109/2511.932,900,00Sep-01Según libro diario110/251.774,561.774,56Sep-08Según libro diario112/262.060,163.834,72Sep-31Según libro diario123/283.834,720,00Oct-01Según libro diario124/2832.157,5432.157,54Oct-09Según libro diario126/289.098,8641.256,40Oct-18Según libro diario129/299.230,5250.486,92Oct-31Según libro diario135/3050.486,920,00Nov-02Según libro diario136/318.748,008.748,00Nov-12Según libro diario138/319.084,5117.832,51Nov-25Según libro diario143/329.312,0027.144,51Nov-31Según libro diario146/3327.144,510,00Dic-03Según libro diario147/339.079,209.079,20Dic-11Según libro diario149/348.790,3017.869,50Dic-27Según libro diario154/358.928,0026.797,50Dic-31Según libro diario157/3626.797,500,00<br />Descuentos sobre Compras:<br />Descuentos sobre Compras(15)Fecha 2010DescripciónRefDebeHaberSaldoEne-06Según libro diario4/2295,00295,00Abr-04Según libro diario44/11345,00640,00Abr-17Según libro diario49/121.324,801.964,80Jul-01Según libro diario85/20938,712.903,51Oct-20Según libro diario130/29750,003.653,51Oct-24Según libro diario131/30385,004.038,51Oct-28Según libro diario133/30364,254.402,76Nov-05Según libro diario137/31255,004.657,76Nov-22Según libro diario142/32359,915.017,67Nov-28Según libro diario144/33480,005.497,67Dic-06Según libro diario148/34480,005.977,67Dic-24Según libro diario153/35285,006.262,67Dic-29Según libro diario155/36210,006.472,67Dic-31Según libro diario169/586.472,670,00<br />Rebajas sobre Ventas:<br />Descuentos sobre Compras(15)Fecha 2010DescripciónRefDebeHaberSaldoEne-06Según libro diario4/2295,00295,00Abr-04Según libro diario44/11345,00640,00Abr-17Según libro diario49/121.324,801.964,80Jul-01Según libro diario85/20938,712.903,51Oct-20Según libro diario130/29750,003.653,51Oct-24Según libro diario131/30385,004.038,51Oct-28Según libro diario133/30364,254.402,76Nov-05Según libro diario137/31255,004.657,76Nov-22Según libro diario142/32359,915.017,67Nov-28Según libro diario144/33480,005.497,67Dic-06Según libro diario148/34480,005.977,67Dic-24Según libro diario153/35285,006.262,67Dic-29Según libro diario155/36210,006.472,67Dic-31Según libro diario169/586.472,670,00<br />Cuentas por Pagar:<br />Cuentas por Pagar(17)Fecha 2010DescripciónRefDebeHaberSaldoEne-10Según libro diario6/250405040Feb-02Según libro diario21/62262427664Feb-20Según libro diario28/720361,67302,4Abr-17Según libro diario49/1250036,2257338,62Abr-25Según libro diario53/1331340,9925997,63Jul-01Según libro diario85/2044071,2070068,84Jul-10Según libro diario89/211028859780,84Jul-20Según libro diario94/2222035,6037745,24<br />Cuentas por Cobrar:<br />Cuentas por Cobrar(18)Fecha 2010DescripciónRefDebeHaberSaldoEne-15Según libro diario7/278407840Feb-02Según libro diario20/54793655776Feb-17Según libro diario27/733555,222220,8Abr-02Según libro diario43/1117992,840213,6Abr-10Según libro diario45/112637666589,6Abr-11Según libro diario46/1142150,3624439,24Abr-17Según libro diario50/1278526102965,24Abr-20Según libro diario51/1377223,9325741,31Jun-08Según libro diario74/181736043101,31Jun-27Según libro diario81/201041632685,31Jul-02Según libro diario86/2173942,95106628,26Jul-18Según libro diario93/2230288,0076340,26Sep-08Según libro diario112/2619228,1695568,42Sep-26Según libro diario119/2738227,3757341,05Dic-31Según libro diario163/392781,0454560,01<br />Sueldos y Salarios<br />Sueldos y Salarios(19)Fecha 2010DescripcionRefDebe HaberSaldoEne-15Según libro diario8/310.000,0010.000,00Ene-28Según libro diario18/510.000,0020.000,00Feb-15Según libro diario25/610.000,0030.000,00Feb-28Según libro diario30/712.500,0042.500,00Mar-15Según libro diario36/912.500,0055.000,00Mar-29Según libro diario40/1012.500,0067.500,00Abr-16Según libro diario48/1212.500,0080.000,00Abr-30Según libro diario56/1413.125,0093.125,00May-15Según libro diario64/1613.125,00106.250,00May-31Según libro diario70/1713.125,00119.375,00Jun-15Según libro diario77/1915.093,75134.468,75Jun-29Según libro diario85/2015.093,75149.562,50Jul-15Según libro diario92/2215.093,75164.656,25Jul-31Según libro diario97/2315.593,75180.250,00Ago-16Según libro diario104/2415.593,75195.843,75Ago-31Según libro diario108/2515.593,75211.437,50Sep-15Según libro diario116/2715.593,75227.031,25Sep-31Según libro diario122/2817.932,81244.964,06Oct-16Según libro diario128/2917.932,81262.896,87Oct-30Según libro diario134/3017.932,81280.829,68Nov-15Según libro diario140/3217.932,81298.762,49Nov-31Según libro diario145/3317.932,81316.695,30Dic-16Según libro diario151/3119.726,09336.421,39Dic-31Según libro diario156/3619.726,09356.147,48Dic-31Según libro diario160/383.890,00360.037,48Dic-31Según libro diario167/35360.037,480,00<br />Servicios Públicos:<br />Servicios Publicos(20)Fecha 2010DescripciónRefDebeHaber SaldoEne-20Según libro diario10/317501750Feb-25Según libro diario29/79252675Jun-28Según libro diario82/2057508425Sep-27Según libro diario120/27328811713Oct-15Según libro diario127/29350015213Nov-14Según libro diario139/31440019613Dic-15Según libro diario140/34400023613Dic-31Según libro diario167/35236130<br />Gasto Mantenimiento Vehículo<br />Gasto Mant. Vehiculo(21)Fecha 2010DescripciónRefDebeHaberSaldoEne-22Según libro diario11/33150031500Dic-31Según libro diario167/35315000<br />Honorarios Profesionales:<br />Honorarios Profesionales(22)Fecha 2010DescripciónRefDebeHaberSaldoEne-23Según libro diario12/3510510Abr-14Según libro diario47/1277778287Dic-31Según libro diario167/3582870<br />Rebajas sobre Compras:<br />Rebajas sobre Compras(23)Fecha 2010DescripciónRefDebeHaberSaldoEne-27Según libro diario17/512001200Mar-10Según libro diario35/9360,361560,36Jun-05Según libro diario73/1820003560,36Sep-05Según libro diario111/262003760,36Dic-31Según libro diario167/353760,360<br />Descuentos sobre Ventas:<br />Descuentos sobre Ventas(24)Fecha 2010DescripciónRefDebeHaberSaldoFeb-12Según libro diario24/6531,76531,76Mar-05Según libro diario34/8297,5829,26Abr-01Según libro diario42/107601589,26Abr-17Según libro diario50/12887,52476,76Jul-02Según libro diario86/213067,515544,27Ago-09Según libro diario102/242093,187637,45Oct-01Según libro diario124/2811020,518657,95Dic-31Según libro diario167/3518657,9460,00<br />Alquileres Pagados por Anticipado:<br />Alquileres Pagados por Anticipado(25)Fecha 2010DescripiónRefDebeHaberSaldoFeb-15Según libro diario26/74930049300Dic-31Según libro diario167/3543137,56162,5<br />Cuentas por cobrar Empleados:<br />Cuentas por Cobrar Empleados(26)Fecha 2010DescripciónRefDebeHaberSaldoMar-03Según libro diario33/865006500May-19Según libro diario56/1632503250Jun-20Según libro diario79/1950008250Jul-30Según libro diario96/2327885462Sep-20Según libro diario118/2954620<br />Gasto Mantenimiento Edificio:<br />Gasto Mantenimiento Edificio(27)Fecha 2010DescripciónRefDebeHaberSaldoMar-17Según libro diario37/91195011950Dic-31Según libro diario119500<br />Articulos de Limpieza:<br />Articulos deLimpieza(28)Fecha 2010DescripciónRefDebeHaberSaldoAbr-23Según libro diario..52/13355355Jun-13Según libro diario..76/19200555Jul-08Según libro diario..88/217231278Sep-12Según libro diario..114/267832061<br />Cuentas por Cobrar Accionistas:<br />Cuentas por Cobrar Accionistas(29)Fecha 2010DescripciónRefDebeHaber SaldoAbr-26Según libro diario54/131600016000Jun-19Según libro diario78/19400012000Jul-11Según libro diario90/222028832288Sep-18Según libro diario117/27322880<br />Inversiones Temporales:<br />Inversiones Temporales(30)FechaDescripciónRefDebeHaberSaldoMay-03Según libro diario..59/1585008500<br />Construcciones en Proceso:<br />Construcciones en Proceso(31)FechaDescripcion RefDebeHaberSaldoMay-08Según libro diario61/15175000175000<br />Efectos por Pagar:<br />Efectos por Pagar(32)FechaDescripcionRefDebeHaberSaldoMay-08Según libro diario61/15154000154000Ago-03Según libro diario100/2338522,56192522,56<br />Publicidad y Propaganda:<br />Publicidad y Propaganda(33)FechaDescripcion RefDebeHaberSaldoMay-16Según libro diario65/1612001200Sep-14Según libro diario115/2626483848<br />Herramientas de Trabajo:<br />Herramientas de Trabajo(34)FechaDescripcionRefDebeHaberSaldoMay-26Según libro diario67/1668506850Ago-26Según libro diario106/25797814828<br />Intereses Pagados por Anticipado:<br />Intereses Pagados por Anticipado(35)FechaDescripcionRefDeberHaberSaldoJun-03Según libro diario72/181050010500Dic-31Según libro diario167/3561254375<br />Comisiones Bancarias:<br />Comisiones Bancarios(36)Fecha DescripcionRefDebeHaberSaldoJun-03Según libro diario72/1820002000Dic-31Según libro diario167/3520000<br />Préstamo Bancario por Pagar:<br />Prestamo Bancario por Pagar(37)FechaDescripciónRefDebeHaberSaldoJun-03Según libro diario72/18200000200000<br />Gastos de Representación.<br />Gastos de Representacion(38)FechaDescripcionRefDebeHaberSaldoJun-26Según libro diario80/191300013000Dic-31Según libro diario167/35130000<br />Gasto Artículos Varios:<br />Gastos Articulos Varios(39)FechaDescripcionRefDebeHaberSaldoJul-05Según libro diario87/21948948Dic-31Según libro diario167/359480<br />Comisiones sobre Ventas:<br />Comisiones sobre Ventas(40)FechaDescripcionRefDebeHaberSaldoAgo-22Según libro diario105/2472387238Dic-31Según libro diario167/3572380<br />Almacenaje sobre Compras<br />Almacenaje sobre Compras(41)FechaDescripcionRefDebeHaberSaldoOct-05Según libro diario125/2875007500Dic-31Según libro diario167/3575000<br />Seguros sobre Compras:<br />Seguros sobre Compras(42)FechaDescripcionRefDebeHaberSaldoOct-05Según libro diario125/281300013000Dic-31Según libro diario167/35130000<br />Fletes sobre Compras:<br />Fletes sobre Compras(43)FechaDescripcionRefDebeHaberSaldoOct-05Según libro diario125/282070020700Dic-31Según libro diario167/35207000<br />Acarreos sobre Compras:<br />Acarreos sobre Compras(44)FechaDescripcionRefDebeHaberSaldoOct-05Según libro diario125/2811501150Dic-31Según libro diario167/3511500<br />Alquileres Gastos:<br />Alquileres Gasto (45)FechaDescripcionRefDebeHaberSaldoDic-31Según libro diario158/3443137,543137,5Dic-31Según libro diario167/3543137,50<br />Intereses gastos:<br />Intereses Gastos(46)FechaDescripcionRefDebe HaberSaldoDic-31Según libro diario61256125Dic-31Según libro diario61250<br />Sueldos y Salarios por Pagar:<br />Sueldos y Salarios por Pagar (47)FechaDescripcionRefDebeHaberSaldoDic-31Según libro diario38903890<br />Prestaciones Sociales Gasto:<br />Prestamos Sociales Gasto(48)FechaDescripcionRefDebeHaberSaldoDic-31Según libro diario59357,9159357,91Dic-31Según libro diario59357,910<br />Prestaciones Sociales por Pagar:<br />Prestamos Sociales por Pagar(49)FechaDescripcionRefDebeHaberSaldoDic-31Según libro diario59357,9159357,91<br />Artículos de Oficina Gastos:<br />Articulos Oficina Gasto(50)FechaDescripcionRefDebeHaberSaldoDic-31Según libro diario11401140Dic-31Según libro diario11400<br />Artículos Varios:<br />Articulos Varios (51)FechaDescripcionRefDebeHaberSaldoDic-31Según libro diario11401140<br />Provisión para cuentas Incobrables:<br />Provision para cuentas incobrables (52)FechaDescripcionRefDebeHaberSaldoDic-31Según libro diario2781,042781,04<br />Depreciación gasto Edificio:<br />Depre. Gasto Edificio(58)FechaDescripcionRefDebeHaberSaldoDic-31Según libro diario1528315283Dic31Según libro diario152830<br />Depreciación Acumulado Edificio:<br />Depreciacion Acumulada Edificio (54)FechaDescripcionRefDebeHaberSaldoDic-31Según libro diario1528315283<br />Depreciación gasto Mobiliario:<br />Depreciacion Gasto Mobiliario (55)FechaDescripcionRefDebeHaberSaldoDic-31Según libro diario90009000Dic-31Según libro diario90000<br />Depreciación gasto Maquinaria:<br />Depreciacion Gasto Maquinaria(56)FechaDescripcionRefDebeHaberSaldoDic-31Según libro diario900900Dic-31Según libro diario9000<br />Depreciación gasto Vehículo:<br />Depreciacion Gasto Vehiculo (57)FechaDescripcionRefDebeHaberSaldoDic-31Según libro diario3240032400Dic-31Según libro diario324000<br />Depreciación gasto Art. De Oficina:<br />Depreciacion Gasto Articulos de Oficina (58)FechaDescripcionRefDebeHaberSaldoDic-31Según libro diario342342Dic-31Según libro diario3420<br />Depreciación gasto Equipos de Computación:<br />Depreciacion Gasto Equipo de Computacion (59)FechaDescripcionRefDebeHaberSaldoDic-31Según libro diario3150031500Dic-31Según libro diario315000<br />Depreciación gasto Herramientas de Trabajo:<br />Depreciacion Herramientas de trabajo (60)FechaDescripcionRefDebeHaberSaldoDic-31Según libro diario889,68889,68Dic-31Según libro diario889,680<br />Depreciación gasto Art. De Limpieza:<br />Depre. Gasto Art. de Limp.(61)FechaDescripcionRef DebeHaberSaldoDic-31Según libro diario123,66123,66Dic-31Según libro diario123,660<br />Depreciación acumulada Mobiliario:<br />Depreciacion Acumulada Mobiliario(62)FechaDescripcionRefDebeHaberSaldoDic-31Según libro diario90009000<br />Depreciación acumulada Maquinaria:<br />Depre. Acum. Maquinaria(63)FechaDescripcionRefDebeHaberSaldoDic-31Según libro diario900900<br />Depreciación acumulada Vehículo:<br />Depreciacion Acumulada Vehiculo (64)FechaDescripcionRef DebeHaberSaldoDic-31Según libro diario3240032400<br />Depreciación acumulada Art. De Oficina:<br />Depreciacion Acumulada Articulos de Oficina(65)FechaDescripcionRef DebeHaberSaldoDic-31Según libro diario342342<br />Depreciación acumulada Equipos de Computación:<br />Depreciaciom Acumulado Equipo de Computacion (66)FechaDescripcionRef DebeHaberSaldoDic-31Según libro diario3150031500<br />Depreciación acumulada Herramientas Trabajo<br />Depreciacion Acumulada Herramientas Trabajo (67)FechaDescripcionRef DebeHaberSaldoDic-31Según libro diario889,68889,68<br />Depreciación acumulada Artículos de Limpieza:<br />Depreciacion Acumulada Articulos de Limpieza (68)FechaDescripcionRef DebeHaberSaldoDic-31Según libro diario123,66123,66<br />Costo de Ventas:<br />Costo de Ventas(69)FechaDescripcionRefDebeHaberSaldoDic-31Según libro diario124.380,97124380,97Dic-31Según libro diario658772,23783153,20Dic-31Según libro diario783153,200<br />Ganancias y Perdidas:<br />Ganancias y Perdidas(70)FechaDescripcionRefDebeHaberSaldoDic-31Según libro diario783153,20783153,20Dic-31Según libro diario1676177,85893024,65<br />Inventario Final de Mercancía:<br />Inventario Final de Mercancia(71)FechaDescripcionRefDebeHaberSaldoDic-31Según libro diario369056369056<br />Inventario Inicial de Mercancía:<br />Inventario Inicial de Mercancia(72)FechaDescripcionRefDebeHaberSaldoDic-31Según libro diario00<br />Balances de Comprobación<br />Enero:<br />Auto Repuestos M.A.C c.a01/01/2010 al 31-01-2010CodigoCuentaDebe Haber1Caja183632Banco145983,253Mobiliario1500004Vehiculo5400005Maquinaria150006Edificio8990007Terreno6500008Articulos de Oficina34009Equipos de Computacion52500010Capital Social296320011Compras 4650012Credito Fiscal013Ventas8750014Debito Fiscal015Descuentos sobre Comopras29516Rebaja sobre Ventas2388,7517Cuentas por pagar504018Cuentas por cobrar784019Sueldos y Salarios2000020Servicios Publicos175021Gastos Mantenimiento Vehiculo3150022Honorarios Profesionales51023Rebajas sobre Compras1200SUMAS IGUALES30572353057235<br />Febrero:<br />Auto Repuestos M.A.C c.a01-02-2010 al 31-02-2010CodigoCuentaDebeHaber1Caja45504,982Banco60316,113Mobiliario1500004Vehiculos5400005Maquinaria150006Edificio8990007Terreno6500008Articulos de Oficina34009Equipos de Computacion52500010Capital Social296320011Compras8200012Credito Fiscal013Ventas14985014Debito Fiscal015Descuentos sobre Compras29516Rebajas sobre Ventas2388,7517Cuentas por pagar7302,418Cuentas por cobrar22220,819Sueldos y Salarios4250020Servicios Publicos267521Gasto Mantenimiento Vehiculo3150022Honorarios Profesionales51023Rebajas sobre Compras120024Descuentos sobre Ventas531,7625Alquileres Pagados por Ant.49300SUMAS IGUALES3121847,43121847,4<br />Marzo:<br />AutoRepuestos M.A.C c.a01-03-2010 al 31-03-2010CodigoCuenta Debe Haber1Caja51341,272Banco49273,683Mobiliario150000,004Vehiculos540000,005Maquinaria15000,006Edificio899000,007Terreno650000,008Articulos de Oficina5700,009Equipos de Computacion525000,0010Capital Social296320011Compras92296,0012Credito Fiscal0,0013Ventas20062714Debito Fiscal 015Descuento sobre Compras29516Rebaja sobre Ventas2388,7517Cuentas por Pagar 7302,418Cuentas por Cobrar22220,8019Sueldos y Salarios67500,0020Servicios Publicos2675,0021Gastos Mant. Vehiculo31500,0022Honorarios Profesionales 510,0023Rebaja sobre Compras1560,3624Descuento sobre Ventas829,2625Alquileres Pagados Por Ant.49300,0026Cuentas por Cobrar Empleados6500,0027Gastos Mant. Edificio11950,00SUMAS IGUALES3172984,763172984,76<br />Abril:<br />Auto Repuestos M.A.C c.a01-04-2010 al 31-04-2010CodigoCuentaDebe Haber1Caja113615,832Banco52554,153Mobiliario1500004Vehiculo5400005Maquinaria150006Edificio8990007Terreno6500008Articulos de Oficina57009Equipos de Computación52500010Capital Social296320011Compras14979612Credito Fiscal013Ventas35917714Debito Fiscal015Descuentos sobre Compras1964,816Rebajas sobre Ventas3323,7517Cuentas por pagar25997,6318Cuentas por Cobrar25741,3119Sueldos y Salarios9312520Servicios Publicos267521Gasto Mant. Vehiculo3150022Honorarios Profesionales828723Rebajas sobre Compras1560,3624Descuentos sobre Ventas2476,7625Alquileres pagados por Ant.4930026Cuentas por Cobrar Empleados650027Gasto Mant. Edificio1195028Articulos de Limpieza35529Cuentas por Cobrar Accionistas16000SUMAS IGUALES3351899,793351899,79<br />Mayo:<br />Auto Repuestos M.A.C c.a01-05-2010 al 31-05-2010CodigoDescripciónDebeHaber1Caja86115,502Banco219504,483Mobiliario1500004Vehiculo5400005Maquinaria150006Edificio8990007Terreno6500008Articulos de Oficina57009Equipos de Computación52500010Capital Social296320011Compras16079612Credito Fiscal013Ventas57017714Debito Fiscal015Descuentos sobre Compras1964,816Rebajas sobre Ventas3323,7517Cuentas por pagar25997,6318Cuentas por cobrar25741,3119Sueldos y Salarios11937520Servicios Publicos267521Gasto Mant. Vehiculo3150022Honorarios Profesionales828723Rebajas sobre Compras 1560,3624Descuentos sobre Ventas2476,7625Alquileres pagados por Ant.4930026Cuentas por cobrar Empleados325027Gasto Mant. Edificio1195028Articulos de Limpieza35529Cuentas por Cobrar Accionista1600030Inversiones Temporales850031Construcciones en Proceso17500032Efectos por Pagar15400033Publicidad y Propaganda120034Herramientas de Trabajo6850SUMAS IGUALES3716899,793716899,79<br />Junio:<br />Auto Repuestos M.A.C c.a01-06-2010 al 30-06-2010CodigoCuentaDebeHaber1Caja81147,382Banco362891,093Mobiliario1500004Vehiculo 5400005Maquinaria150006Edificio8990007Terreno6500008Articulos de Oficina57009Equipos de Computación52500010Capital Social296320011Compras19029612Credito Fiscal013Ventas60567714Debito Fiscal015Descuentos sobre Compras1964,816Rebajas sobre Ventas3323,7517Cuentas por Pagar25997,63418Cuentas por Cobrar 32685,3119Sueldos y Salarios149562,520Servicios Publicos842521Gasto Mant. Vehiculo3150022Honorarios Profesionales828723Rebajas sobre Compras3560,3624Descuentos sobre Ventas2476,7625Alquileres pagados por Ant.4930026Cuentas por cobrar empleados825027Gasto Mant. Edificio1195028Articulos de Limpieza55529Cuentas por cobrar accionistas1200030Inversiones Temporales850031Construcciones en Proceso17500032Efectos por Pagar15400033Publicidad y Propaganda120034Herramientas de Trabajo685035Intereses Pagados por Ant.1050036Comisiones Bancarias200037Prestamos Bancarios por Pagar20000038Gastos de Representación13000SUMAS IGUALES3954399,793954399,79<br />Julio:<br />Auto Repuestos M.A.C c.a01-07-2010 al 31-07-2010CodigoCuentaDebeHaber1Caja99189,022Banco 298397,813Mobiliario1500004Vehiculo5400005Maquinaria150006Edificio8990007Terreno6500008Articulos de Oficina57009Equipos de Computación52500010Capital Social296320011Compras23058412Credito Fiscal0,0013Ventas68393314Debito Fiscal0,0015Descuentos sobre Compras2903,5116Rebajas sobre Ventas3848,7517Cuentas por Pagar37745,2418Cuentas por Cobrar76340,2619Sueldos y Salarios 18025020Servicios Publicos842521Gasto Mant. Vehiculo 3150022Honorarios Profesionales828723Rebajas sobre Compras3560,3624Descuentos sobre Ventas5544,2725Alquileres pagados por Ant.4930026Cuentas por Cobrar Empleados546227Gasto Mant. Edificio1195028Articulos de Limpieza127829Cuentas por cobrar Accionistas3228830Inversiones Temporales850031Construcciones en Proceso17500032Efectos por Pagar15400033Publicidad y Propaganda120034Herramientas de Trabajo685035Intereses pagados por Ant.1050036Comisiones Bancarias200037Prestamos Ban. Por Pagar20000038Gastos de Representacion1300039Gastos Articulos Varios948SUMAS IGUALES4045342,114045342,11<br />Agosto:<br />Auto Repuestos M.A.C c.a01-08-2010 al 31-08-2010CodigoCuentaDebeHaber1Caja100572,332Banco 310008,383Mobiliario1500004Vehiculo5400005Maquinaria150006Edificio8990007Terreno7152888Articulos de Oficina57009Equipos de Computación52500010Capital Social296320011Compras24386212Credito Fiscal0,0013Ventas78546714Debito Fiscal015Descuentos sobre Compras2903,5116Rebajas sobre Ventas3848,7517Cuentas por Pagar37745,2418Cuentas por Cobrar76340,2619Sueldos y Salarios 211437,520Servicios Publicos842521Gasto Mant. Vehiculo 3150022Honorarios Profesionales828723Rebajas sobre Compras3560,3624Descuentos sobre Ventas7637,44625Alquileres pagados por Ant.4930026Cuentas por Cobrar Empleados546227Gasto Mant. Edificio1195028Articulos de Limpieza127829Cuentas por cobrar Accionistas3228830Inversiones Temporales850031Construcciones en Proceso17500032Efectos por Pagar192522,5633Publicidad y Propaganda120034Herramientas de Trabajo1482835Intereses pagados por Ant.1050036Comisiones Bancarias200037Prestamos Ban. Por Pagar20000038Gastos de Representacion1300039Gastos Articulos Varios94840Comisiones sobre Ventas7238SUMAS IGUALES4185398,674185398,67<br />Septiembre:<br />Auto Repuestos M.A.C c.a01-09-2010 al 31-09-2010CodigoCuentaDebeHaber1Caja42122,40062Banco 406879,9573Mobiliario1500004Vehiculo5400005Maquinaria150006Edificio8990007Terreno7152888Articulos de Oficina57009Equipos de Computación52500010Capital Social296320011Compras25410012Credito Fiscal013Ventas81742314Debito Fiscal015Descuentos sobre Compras2903,510416Rebajas sobre Ventas3848,7517Cuentas por Pagar37745,236218Cuentas por Cobrar57341,053219Sueldos y Salarios 244964,0620Servicios Publicos1171321Gasto Mant. Vehiculo 3150022Honorarios Profesionales828723Rebajas sobre Compras3760,3624Descuentos sobre Ventas7637,44625Alquileres pagados por Ant.4930026Cuentas por Cobrar Empleados027Gasto Mant. Edificio1195028Articulos de Limpieza206129Cuentas por cobrar Accionistas030Inversiones Temporales850031Construcciones en Proceso17500032Efectos por Pagar192522,5633Publicidad y Propaganda384834Herramientas de Trabajo1482835Intereses pagados por Ant.1050036Comisiones Bancarias200037Prestamos Ban. Por Pagar20000038Gastos de Representacion1300039Gastos Articulos Varios94840Comisiones sobre Ventas7238SUMAS IGUALES4217554,674217554,67<br />Octubre:<br />Auto Repuestos M.A.C c.a01-10-2010 al 31-10-2010CodigoCuentaDebeHaber1Caja28577,922Banco 690432,373Mobiliario150000,004Vehiculo540000,005Maquinaria15000,006Edificio899000,007Terreno715288,008Articulos de Oficina5700,009Equipos de Computación525000,0010Capital Social2963200,0011Compras324600,0012Credito Fiscal0,0013Ventas1253723,0014Debito Fiscal0,0015Descuentos sobre Compras4402,7616Rebajas sobre Ventas8403,9517Cuentas por Pagar37745,2418Cuentas por Cobrar57341,0519Sueldos y Salarios 280829,6820Servicios Publicos15213,0021Gasto Mant. Vehiculo 31500,0022Honorarios Profesionales8287,0023Rebajas sobre Compras3760,3624Descuentos sobre Ventas18657,9525Alquileres pagados por Ant.49300,0026Cuentas por Cobrar Empleados0,0027Gasto Mant. Edificio11950,0028Articulos de Limpieza2061,0029Cuentas por cobrar Accionistas0,0030Inversiones Temporales8500,0031Construcciones en Proceso175000,0032Efectos por Pagar192522,5633Publicidad y Propaganda3848,0034Herramientas de Trabajo14828,0035Intereses pagados por Ant.10500,0036Comisiones Bancarias2000,0037Prestamos Ban. Por Pagar200000,0038Gastos de Representacion13000,0039Gastos Articulos Varios948,0040Comisiones sobre Ventas7238,0041Almacenaje sobre Compras7500,0042Seguros sobre Compras13000,0043Fletes sobre Compras20700,0044Acarreos sobre Compras1150,00SUMAS IGUALES4655353,924655353,92<br />Noviembre:<br />Auto Repuestos M.A.C c.a01-11-2010 al 31-11-2010Codigo CuentaDebeHaber1Caja19.342,342Banco 813.981,493Mobiliario150.000,004Vehiculo540.000,005Maquinaria15.000,006Edificio899.000,007Terreno715.288,008Articulos de Oficina5.700,009Equipos de Computación525.000,0010Capital Social2.963.200,0011Compras397.320,0012Credito Fiscal0,0013Ventas1.487.173,0014Debito Fiscal0,0015Descuentos sobre Compras5.497,6716Rebajas sobre Ventas15.649,7017Cuentas por Pagar37.745,2418Cuentas por Cobrar57.341,0519Sueldos y Salarios 316.695,3020Servicios Publicos19.613,0021Gasto Mant. Vehiculo 31.500,0022Honorarios Profesionales8.287,0023Rebajas sobre Compras3.760,3624Descuentos sobre Ventas18.657,9525Alquileres pagados por Ant.49.300,0026Cuentas por Cobrar Empleados0,0027Gasto Mant. Edificio11.950,0028Articulos de Limpieza2.061,0029Cuentas por cobrar Accionistas0,0030Inversiones Temporales8.500,0031Construcciones en Proceso175.000,0032Efectos por Pagar192.522,5633Publicidad y Propaganda3.848,0034Herramientas de Trabajo14.828,0035Intereses pagados por Ant.10.500,0036Comisiones Bancarias2.000,0037Prestamos Ban. Por Pagar200.000,0038Gastos de Representacion13.000,0039Gastos Articulos Varios948,0040Comisiones sobre Ventas7.238,0041Almacenaje sobre Compras7.500,0042Seguros sobre Compras13.000,0043Fletes sobre Compras20.700,0044Acarreos sobre Compras1.150,00SUMAS IGUALES4.889.898,834.889.898,83<br />Diciembre:<br />Auto Repuestos M.A.C c.a01-12-2010 al 31-12-2010CodigoCuentaDebeHaber1Caja10673,872Banco 939485,283Mobiliario1500004Vehiculo5400005Maquinaria150006Edificio8990007Terreno7152888Articulos de Oficina57009Equipos de Computación52500010Capital Social296320011Compras46132012Credito Fiscal013Ventas171767314Debito Fiscal015Descuentos sobre Compras6472,6716Rebajas sobre Ventas22837,217Cuentas por Pagar37745,2418Cuentas por Cobrar57341,0519Sueldos y Salarios 356147,4820Servicios Publicos2361321Gasto Mant. Vehiculo 3150022Honorarios Profesionales828723Rebajas sobre Compras3760,3624Descuentos sobre Ventas18657,9525Alquileres pagados por Ant.4930026Cuentas por Cobrar Empleados027Gasto Mant. Edificio1195028Articulos de Limpieza206129Cuentas por cobrar Accionistas030Inversiones Temporales850031Construcciones en Proceso17500032Efectos por Pagar192522,5633Publicidad y Propaganda384834Herramientas de Trabajo1482835Intereses pagados por Ant.1050036Comisiones Bancarias200037Prestamos Ban. Por Pagar20000038Gastos de Representacion1300039Gastos Articulos Varios94840Comisiones sobre Ventas723841Almacenaje sobre Compras750042Seguros sobre Compras1300043Fletes sobre Compras2070044Acarreos sobre Compras1150SUMAS IGUALES5121373,835121373,83<br />Balance de Comprobación Ajustado al 31-12-2010<br />Auto Repuestos M.A.C c.aBalance de Comprobación Ajustado01-12-2010 al 31-12-2010CodigoDescripciónDebeHaber1Caja10673,872Banco 939485,283Mobiliario150000,004Vehiculo540000,005Maquinaria15000,006Edificio899000,007Terreno715288,008Articulos de Oficina5700,009Equipos de Computación525000,0010Capital Social2963200,0011Compras461320,0012Credito Fiscal0,0013Ventas1717673,0014Debito Fiscal0,0015Descuentos sobre Compras6472,6716Rebajas sobre Ventas22837,2017Cuentas por Pagar37745,2418Cuentas por Cobrar54560,0119Sueldos y Salarios 360037,4820Servicios Publicos23613,0021Gasto Mant. Vehiculo 31500,0022Honorarios Profesionales8287,0023Rebajas sobre Compras3760,3624Descuentos sobre Ventas18657,9525Alquileres pagados por Ant.6162,5026Cuentas por Cobrar Empleados0,0027Gasto Mant. Edificio11950,0028Articulos de Limpieza2061,0029Cuentas por cobrar Accionistas0,0030Inversiones Temporales8500,0031Construcciones en Proceso175000,0032Efectos por Pagar192522,5633Publicidad y Propaganda3848,0034Herramientas de Trabajo14828,0035Intereses pagados por Ant.4375,0036Comisiones Bancarias2000,0037Prestamos Ban. Por Pagar200000,0038Gastos de Representacion13000,0039Gastos Articulos Varios948,0040Comisiones sobre Ventas7238,0041Almacenaje sobre Compras7500,0042Seguros sobre Compras13000,0043Fletes sobre Compras20700,0044Acarreos sobre Compras1150,0045Alquileres gastos43137,5046Intereses gastos6125,0047Sueldos y Salarios por pagar3890,0048Prestaciones sociales gasto59357,9149Presta. Sociales por pagar59357,9150Articulos de Oficina gastos1140,0051Articulos gastos 1140,0052Provision para cuentas incob.2781,0453Depreciación gasto edificio15283,0054Depreciacion acum. Edif 15283,0055Depreciación gasto mobiliario9000,0056Depreciación gasto maquinaria 900,0057Depreciación gasto vehiculo 32400,0058Depre. gasto art. De Oficina342,0059Depre. gasto Equi. de compu31500,0060Depre. Gasto Herra. De trabajo889,6861Depre. Gasto Art. De Limp.123,6662Depre. Acum. Mobiliario 9000,0063Depre. Acum. Maquinaria900,0064Depre. Acum. Vehiculo32400,0065Depre. Acum. Art. De Ofic.342,0066Depre. Acum. Equip de Compu31500,0067Depre. Acum. Herram. Trabajo889,6868Depre. Acum Art de Limpieza123,66Sumas Iguales5276200,085276200,08<br />Índices Financieros de Solvencia.<br />I Trimestre:<br />Auto Repuestos M.A.C c.aIndicios Financieros de SolvenciaI Trimestre al 31-03-2010Activo CirculanteActivo Circulante DisponibleBanco49273,68Caja51341,27Total Activo Circulante Disp.100614,95Activo Circulante ExigibleCuentas por Cobrar22220,80Total Activo Exigible22220,80Activo Circulante RealizableActivo Circulante Pre- PagadoAlquileres Pagados por Ant.49300,00Total Activo Cir. Pre- Pagado49300,00TOTAL ACTIVO CIRCULANTE172135,75Pasivo CirculanteCuentas por Pagar7302,40Total Pasivo Circulante7302,40R.C= AC/PC >2R.C=172135,757302,4023,57P.A= (A.C.D+ A.C.E)-A.C.RP.CP.A122835,757302,4016,82P.S.A= A.C.D>0,75PCP.S.A=100614,957302,4013,78I.C.T= A.C-P.CI.C.T=164833,35<br />II Trimestre:<br />Auto Repuestos M.A.C c.aIndices Financieros de SolvenciaII Trimestre  al 30-06-2010Activo CirculanteActivo Circulante DisponibleCaja81147,38Banco 362891,09Inversiones Temporales8500Total Activo Circulante Disp.452538,47Activo Circulante ExigibleCuentas por Cobrar32685,31Cuentas por Cobrar Empleados8250Cuentas por Cobrar Accionistas12000Total Act. Circulante Exigible52935,31Activo Circulante RealizableActivo Circulante Pre- PagadoAlquileres Pagados por Ant.49300Intereses Pagados por Ant.10500Total Act. Cir. Pre-Pagado59800TOTAL ACTIVO CIRCULANTE565273,78Pasivo CirculanteCuentas por Pagar25997,63Efectos por Pagar154000Prestamos Bancarios por Pagar200000Total Pasivo Circulante379997,63R.C= AC/PC >2R.C=565273,78379997,631,49P.A= (A.C.D+ A.C.E)-A.C.RP.CP.A505473,78379997,631,33P.S.A= A.C.D>0,75PCP.S.A=452538,47379997,631,19I.C.T= A.C-P.CI.C.T=185276,15<br />III Trimestre:<br />Auto Repuestos M.A.C c.aIndices Financieros de SolvenciaIII Trimestre al 31-09-2010Activo CirculanteActivo Circulante DisponibleCaja42122,40Banco 406879,96Inversiones Temporales8500Total Activo Circulante Disp.457502,36Activo Circulante ExigibleCuentas por Cobrar57341,05Total Act. Circulante Exigible57341,05Activo Circulante RealizableActivo Circulante Pre- PagadoAlquileres Pagados por Ant.49300Intereses Pagados por Ant.10500Total Act. Cir. Pre-Pagado59800TOTAL ACTIVO CIRCULANTE574643,41Pasivo CirculanteCuentas por Pagar37745,24Efectos por Pagar192522,56Prestamos Bancarios por Pagar200000Total Pasivo Circulante430267,80R.C= AC/PC >2R.C=574643,41430267,801,34P.A= (A.C.D+ A.C.E)-A.C.RP.CP.A514843,41430267,801,20P.S.A= A.C.D>0,75PCP.S.A=457502,36430267,801,06I.C.T= A.C-P.CI.C.T=144375,614<br />IV Trimestre:<br />Auto Repuestos M.A.C c.aIndices Financieros de SolvenciaIV Trimestre al 31-12-2010Activo CirculanteActivo Circulante DisponibleCaja10673,87Banco 939485,28Inversiones Temporales8500Total Activo Circulante Disp.958659,15Activo Circulante ExigibleCuentas por Cobrar57341,05Total Act. Circulante Exigible57341,05Activo Circulante RealizableActivo Circulante Pre- PagadoAlquileres Pagados por Ant.49300Intereses Pagados por Ant.10500Total Act. Cir. Pre-Pagado59800TOTAL ACTIVO CIRCULANTE1075800,20Pasivo CirculanteCuentas por Pagar37745,24Efectos por Pagar192522,56Prestamos Bancarios por Pagar200000Total Pasivo Circulante430267,80R.C= AC/PC >2R.C=1075800,2430267,802,50P.A= (A.C.D+ A.C.E)-A.C.RP.CP.A1016000,2430267,802,36P.S.A= A.C.D>0,75PCP.S.A=958659,15430267,802,23I.C.T= A.C-P.CI.C.T=645532,40<br />Resumen de los Índices Financieros de Solvencia:<br />Auto Repuestos M.A.C c.aResumen Índices Financieros de Solvenciaal 31-12-2010DescripciónIIIIIIIVActivo Circulante disponible100614,95452538,47457502,36958659,15Activo Circulante exigible22220,8052935,3157341,0557341,05Activo Circulante RealizableActivo Circulante Pre- Pagado49300,0059800,0059800,0059800,00Total Activo Circulante172135,75565273,78574643,411075800,20Pasivo Circulante7302,40379997,63430267,80430267,80R.C23,571,491,342,50P.A16,821,331,202,36P.S.A13,781,191,062,23I.T.C164833,35185276,15144375,61645532,40<br />Hoja de Trabajo.<br />Auto Repuestos M.A.C c.aHoja de Trabajo Al 31-12-2010clasificaciondescripcionbalance de comprobacionajustesB.C  ajustadocosto de ventasganacias y perdidasbalance generaldebehaberdebehaberdebehaberdebehaberdebehaberdebehaberBGCaja10.673,8710.673,8710.673,87BGBanco 939.485,28939.485,28939.485,28BGMobiliario150.000,00150.000,00150.000,00BGVehiculo540.000,00540.000,00540.000,00BGMaquinaria15.000,0015.000,0015.000,00BGEdificio899.000,00899.000,00899.000,00BGTerreno715.288,00715.288,00715.288,00BGArticulos de Oficina5.700,001.140,004.560,004.560,00BGEquipos de Computación525.000,00525.000,00525.000,00BGCapital Social2.963.200,002.963.200,002.963.200,00CVCompras461.320,00461.320,00461.320,00CVCredito Fiscal0,000,000,00GYPVentas1.717.673,001.717.673,001.717.673,00GYPDebito Fiscal0,000,000,00CVDescuentos sobre Compras6.472,676.472,676.472,67GYPRebajas sobre Ventas22.837,2022.837,2022.837,20BGCuentas por Pagar37.745,2437.745,2437.745,24BGCuentas por Cobrar57.341,052.781,0454.560,0154.560,01GYPSueldos y Salarios 356.147,483.890,00360.037,48360.037,48GYPServicios Publicos23.613,0023.613,0023.613,00GYPGasto Mant. Vehiculo 31.500,0031.500,0031.500,00GYPHonorarios Profesionales8.287,008.287,008.287,00CVRebajas sobre Compras3.760,363.760,363.760,36GYPDescuentos sobre Ventas18.657,9518.657,9518.657,95BGAlquileres pagados por Ant.49.300,0043.137,506.162,506.162,50BGCuentas por Cobrar Empleados0,000,000,00GYPGasto Mant. Edificio11.950,0011.950,0011.950,00BGArticulos de Limpieza2.061,002.061,002.061,00BGCuentas por cobrar Accionistas0,000,000,00BGInversiones Temporales8.500,008.500,008.500,00BGConstrucciones en Proceso175.000,00175.000,00175.000,00BGEfectos por Pagar192.522,56192.522,56192.522,56BGPublicidad y Propaganda3.848,003.848,003.848,00BGHerramientas de Trabajo14.828,0014.828,0014.828,00BGIntereses pagados por Ant.10.500,006.125,004.375,004.375,00GYPComisiones Bancarias2.000,002.000,002.000,00BGPrestamos Ban. Por Pagar200.000,00200.000,00200.000,00GYPGastos de Representacion13.000,0013.000,0013.000,00GYPGastos Articulos Varios948,00948,00948,00GYPComisiones sobre Ventas7.238,007.238,007.238,00CVAlmacenaje sobre Compras7.500,007.500,007.500,00CVSeguros sobre Compras13.000,0013.000,0013.000,00CVFletes sobre Compras20.700,0020.700,0020.700,00CVAcarreos sobre Compras1.150,001.150,001.150,00SUMAS IGUALES5.121.373,835.121.373,83GYPAlquileres gastos43.137,5043.137,5043.137,50GYPIntereses gastos6.125,006.125,006.125,00BGSueldos y Salarios por pagar3.890,003.890,003.890,00GYPPrestaciones sociales gasto59.357,9159.357,9159.357,91BGPresta. Sociales por pagar59.357,9159.357,9159.357,91GYPArticulos de Oficina gastos1.140,001.140,001.140,00BGProvision para cuentas incob.2.781,042.781,042.781,04GYPDepreciación gasto edificio15.283,0015.283,0015.283,00BGDepreciacion acum. Edif 15.283,0015.283,0015.283,00GYPDepreciación gasto mobiliario9.000,009.000,009.000,00GYPDepreciación gasto maquinaria 900,00900,00900,00GYPDepreciación gasto vehiculo 32.400,0032.400,0032.400,00GYPDepre. gasto art. De Oficina342,00342,00342,00GYPDepre. gasto Equi. de compu31.500,0031.500,0031.500,00GYPDepre. Gasto Herra. De trabajo889,68889,68889,68GYPDepre. Gasto Art. De Limp.123,66123,66123,66BGDepre. Acum. Mobiliario 9.000,009.000,009.000,00BGDepre. Acum. Maquinaria900,00900,00900,00BGDepre. Acum. Vehiculo32.400,0032.400,0032.400,00BGDepre. Acum. Art. De Ofic.342,00342,00342,00BGDepre. Acum. Equi. Comp.31.500,0031.500,0031.500,00BGDepre. Acum. Herram. Trabajo889,68889,68889,68BGDepre. Acum Art. Limpieza123,66123,66123,66Sumas iguales206.869,79206.869,795.275.060,085.275.060,08503.670,0010.233,03inventario final de mercancia369.056,00369.056,00costo de ventas124.380,97124.380,97sumas iguales503.670,00503.670,00824.648,351.717.673,00UTILIDAD DEL EJERCICIO893.024,65893.024,65SUMAS IGUALES1.717.673,001.717.673,004.440.178,704.440.178,70<br />Balance General.<br />Empresa Auto Repuestos M.A.C c.aBalance Generalal 31-12-2010DescripciónIIIIIIIVActivoActivo CirculanteCaja10673,87Banco 939485,28Cuentas por cobrar54560,01Menos la prov. Cuentas Inc.2781,0451778,97Inversiones Temporales8500,00Alquileres Pag. Por Ant.6162,50Intereses Pag. Por Ant.4375,00Total Activo Circulante1020975,62ACTIVO FIJOTangiblesTerreno715288,00Mobiliario150000,00Menos Dep. acum Mobiliario9000,00141000,00Maquinaria15000,00Menos Dep. acum Maquinaria900,0014100,00Vehiculo540000,00Menos Dep. acum Vehiculo32400,00507600,00Edificio899000,00Menos Dep. acum Edificio15283,00883717,00Articulos de Oficina4560,00Menos Dep. acum Art. Oficina342,004218,00Equipos de Computación525000,00Menos Dep. acum Equip Comp31500,00493500,00Herramientas de Trabajo14828,00Menos Dep. acum Herr. Trabajo889,6813938,32Articulos de Limpieza2061,00Menos Dep. acum Art de Lim.123,661937,34Total Activo tangible2775298,66Total Activo Fijo2775298,66Otros ActivosConstrucciones en Proceso175000,00Total otros activos175000,00 Total Activo3971274,28PASIVO Y CAPITALPASIVOCuentas por Pagar37745,24Efectos por Pagar192522,56Prestamos Ban. Por Pagar200000,00Sueldos y Salarios por pagar3890,00Total pasivo circulante434157,80Pasivo a largo plazoPresta. Sociales por pagar59357,91Total pasivo a largo plazo59357,91Total pasivo493515,71CapitalCapital Social2963200,00Utilidad del Ejercicio 893024,65Total Capital3856224,65 Total pasivo y capital378466,08<br />Ganancias y Perdidas.<br />Empresa Auto Repuestos M.A.C c.aEstado de Ganancias y PerdidasDescripciónIIIIIIIVVentas1717673MenosRebajas sobre Ventas22837,2Descuentos sobre Ventas18657,9541495,15Total Ventas Netas1676177,85Costo de VentasInventario Inicial de Merc.0Compras461320Masfletes sobre compras20700acarreos sobre compras1150almacenaje sobre compras7500Seguros sobre compras13000Sub- total503670menosrebajas sobre compras3760,36descuentos sobre compras6472,6710233,03total compras netas493436,97Total mercancia disponible493436,97menos Inventario final de Mercancia369056Total costo de Ventas124380,97Utilidad Bruta de las Ventas1551796,88Gastos de OperaciónGastos de VentasComisiones sobre Ventas7238Total gastos de Ventas 7238Gastos de AdministracionSueldos y Salarios360037,48Servicios Publicos23613Alquileres gastos43137,5Honorarios profesionales8287Gasto Mant. Vehiculo11.950,00Gasto Mant. Edificio31500Depreciación gasto mobiliario9000Depreciación gasto maquinaria 900Depreciación gasto vehiculo 32400Depre. gasto art. De Oficina342Depre. gasto Equi. de compu31500Depre. Gasto Herra. De trabajo889,68Depre. Gasto Art. De Limp.123,66Depre. Gasto Edificio15283articulos de oficina gastos1140Prestaciones sociales gasto59357,91Gastos articulos varios948gastos de representacion13000comisiones bancarias2000Total gasto de Administracion 645409,23 Total gastos de Operación652647,23Utilidad en Operación899149,65Ingresos y egresos extraordinariosOtros egresosIntereses gastos6125total ingresos y egresos6125Utilidad del Ejercicio893024,65<br />CONCLUSIONES<br />Al finalizar la elaboración del proyecto se puede concluir lo siguiente:<br />Para llevar el proceso contable de una empresa es indispensable, el uso del libro diario y el libro mayor, ya que por medio de estos se registran todas las operaciones contables diarias, desde la primera realizada en el año hasta la última que se registró. <br />Al realizar la contabilidad de la empresa, el ejercicio contable tuvo un normal curso de las cuentas, en las cuales los saldos siempre fueron positivos.<br />Durante los cuatro trimestres las cuentas con mayor movimiento financiero fueron: caja, banco, compra, venta, débito y crédito fiscal, así como sueldos y salarios.<br />Al finalizar las cuentas de depreciaciones gastos y depreciación acumulada aplicada sólo en los activos fijos mostraron movimientos considerables.<br />Para el cierre del año contable se realizó la hoja de trabajo con ajustes que arrojó la utilidad o pérdida de la empresa, a través de los estados financieros, costo de ventas y ganancias y pérdidas.<br />La elaboración de este proyecto permitió a las investigadoras consolidar sus conocimientos sobre contabilidad y programación, ejes fundamentales en el área de Procesamiento de Datos.<br />RepÚblica Bolivariana de Venezuela<br />Ministerio del Poder Popular para la Educación<br />U.E Colegio Santa Teresita del Niño Jesús<br />San Cristóbal- Táchira<br />Importancia de la Contabilidad, la Programación y un Sistema Contable en la empresa. Aportes del proyecto al Colegio Santa Teresita del Niño Jesús.<br />Méndez Gómez, Mariela Alejandra<br />C.I 25498402<br />Arellano Chacón, Carla Stephanie<br />C.I 24147506<br />Salcedo Zerpa, Anna Lucía.<br />C.I. 23095550<br />San Cristóbal, Junio 2011<br />La Contabilidad, es la ciencia social que se encarga de estudiar, medir y analizar el patrimonio de las empresas, con el fin de servir en la toma de decisiones y control, presentando la información previamente registrada, de manera sistemática y útil para las distintas partes interesadas. Posee además una técnica que produce sistemáticamente y estructuradamente información cuantitativa y valiosa, expresada en unidades monetarias acerca de las transacciones que efectúan las entidades económicas y de ciertos eventos económicos identificables y cuantificables que la afectan, con la finalidad de facilitarla a los diversos públicos interesados.<br />También, se puede definir como el sistema que mide la actividad en los negocios y procesa dicha medición en informes y estados financieros para comunicar resultados y hallazgos a los encargados de tomar las decisiones.<br />Otros conceptos confieren a la contabilidad como una parte de la economía, y que en el ámbito de la empresa su principal labor es ayudar al área de administración. El producto final de la contabilidad son todos los estados contables o estados financieros, que son los que resumen la situación económica y financiera de la empresa. Esta información resulta útil para gestores, reguladores y otros tipos de interesados como los accionistas, acreedores o propietarios.<br />La contabilidad es importante, ya que tiene como propósito dar una serie de informes u objetivos más específicos, obtener en cualquier momento información ordenada y sistemática sobre el movimiento económico y financiero del negocio, establecer en términos monetarios, la información histórica o predictiva, la cantidad de los bienes, deudas y el patrimonio que dispone la empresa, registrar en forma clara y precisa, todas las operaciones de ingresos y egresos, proporcionar en cualquier momento una imagen clara de la situación financiera del negocio u empresa, prevenir con anticipo las probabilidades futuras de la empresa, determinar las utilidades o pérdidas de ejercicio que se obtienen al final del ciclo económico, suministrar oportunamente información en términos de unidades monetarias, referidas a la situación de las cuentas que hayan tenido movimiento hasta la fecha de emisión, entre otros.<br />De igual manera, la programación es el proceso de diseñar, escribir, probar, depurar y mantener el código fuente de programas computacionales. El código fuente es escrito en un lenguaje de programación. El propósito de la programación es crear programas que exhiban un comportamiento deseado. <br />El proceso de escribir código requiere frecuentemente conocimientos en varias áreas distintas, además del dominio del lenguaje a utilizar, algoritmos especializados y lógica formal. Programar, no involucra necesariamente otras tareas tales como el análisis y diseño de la aplicación (pero sí, el diseño del código), aunque si suelen estar fusionadas en el desarrollo de pequeñas aplicaciones.<br />También, en una empresa debe haber un sistema contable que permita tener un control sobre los movimientos financieros y operacionales de la misma, ya que este sistema permite a través de los libros contables realizar registros diarios de todos los movimientos que se ejecutan en una empresa, para así obtener información clara en caso de que se quiera obtener información veraz en determinado momento de la factibilidad del sistema contable.<br />Asimismo, la programación es fundamental para el desarrollo de las empresas ya que ayuda a crear programas en los cuales se facilita el control de los bienes monetarios sin la necesidad de transcribir al computador los procesos numéricos manualmente, creando así una serie de programas que solo piden los datos iniciales para que a través de los códigos y formulas, se efectúen todas las operaciones; arrojando solamente los resultados.<br />Para concluir, se puede indicar que el trabajo realizado aporta al Colegio Santa Teresita del Niño Jesús en el aspecto teórico ya que se consultaron varias fuentes especializadas, analizaron e interpretaron enfoques y estudios de diversos planteamientos, con lo cual se acrecentaron los conocimientos y se dio basamento a la investigacion. Es así, que este estudio podrá servir de antecedente a futuros trabajos que se realicen en el plantel.  <br />Igualmente, el trabajo en el  plano de la práctica pedagógica se centra en la creación de una empresa y de su respectivo proceso contable, de acuerdo con los datos suministrados por los profesores de las áreas de Contabilidad y Programación, especialistas en la materia. Esto beneficia a docentes y estudiantes <br />de la institución pues podrán darse cuenta de la importancia que tiene elaborar el sistema contable de una empresa, base fundamental de los egresados en las promociones de Procesamiento de Datos. <br />INFOGRAFÍA.<br />http://es.wikipedia.org<br />http://www.winnernet.org<br />RECOMENDACIONES<br />Se recomienda a la empresa Auto Repuestos “M.A.C” C.A, tener más agilidad a la hora de poner en práctica los procesos contables.<br />119<br />Infografía.<br />http://www.ucauca.edu.co/~gcuellar<br />http://fccea.unicauca.edu.co/old/procesamiento.htm<br />http://es.wikipedia.org/wiki/Informática<br />http://es.wikipedia.org/wiki/Contabilidad<br />120<br />121<br />Regitsro de Informaciòn Fiscal:<br />DOCUMENTOS NEGOCIABLES:Los documentos mercantiles negociables sustituyen al dinero en efectivo; en consecuencia son negociables. Estos son: Letras de Cambio, Pagarés y Cheques<br />Letra de cambio: Es el instrumento negociable que constituye una orden escrita en virtud de la cual una persona manda a pagar a otra, a la orden de un tercero, la cantidad de dinero que exprese. . Sus características son: 1.- Es una orden de pago. 2.- En su emisión intervienen tres personas (librador, librado y beneficiario) 3.- Debe llevar la firma del suscriptor. 4.- Cantidad en número. Pagare: Es un documento de crédito en virtud del cual una persona promete formalmente pagar una deuda en determinada fecha posterior. Sus características son: 1.- Es una promesa de pago. 2.- Intervienen dos personas en su emisión (suscriptor y beneficiario) 3.- Debe de levar la firma del suscriptor. <br />Cheque: Documento escrito a través del cual se ordena un instituto de crédito donde se tenga una cierta cantidad de dinero. Sus características son: 1.- Es un orden de pago. 2.- Posee un número que lo identifica. 3.- Cantidad en número. DOCUMENTOS NO NEGOCIABLES:Son todos aquellos documentos que sirven de base para los registros en los libros de contabilidad y a la vez probar desde el punto de vista legal la realización de una operación mercantil. Estos son: Recibo: Documento en el cual quien firma, reconoce haber recibido la cantidad que en el mismo se expresa por concepto de dinero u otra cosa. Sus características son: 1.- Lugar, día, mes año en el que se emite el recibo. 2.- Nombre completo de la persona a favor de quien se extiende. 3.- Cantidad de dinero en letra o mencionar el objeto que se entrega. 4.- Indicación del concepto por el cual se extiende el recibo. 5.- Cantidad en números. 6.- Firma de quien emite el recibo. Factura: Es la nota que el vendedor entrega al comprador , en el que se detallan las mercancías compradas. Sus características son: 1.- Nombre y domicilio del comprador y el vendedor. 2.- Lugar, día, mes y año en el que se realiza la operación. 3.- Condiciones de pago. 4.- Mencionar los descuentos si los hay 5.- Instrucciones relacionadas con las cantidades, descripción y precios de las mercancías. 6.- Firma del comprador.<br />CIUDADANO:<br />REGISTRADORA MERCANTIL. TERCERA DE LA CIRCUNSCRIPCIÓN JUDICIAL DEL ESTADO TÁCHIRA.<br />SU DESPACHO.-<br />Yo, CARLA LUCIA MENDEZ SALCEDO, Venezolana, mayor de edad, soltero, titular de la cedula de identidad Nro. V-20.300.200, de este domicilio y civilmente hábil, ante el Despacho y a su muy digno cargo ocurro para exponer: <br />    Debidamente autorizado por los accionistas de la Sociedad Mercantil denominada AUTO REPUESTOS M.A.C, C.A. y en mi carácter de Directora Única de la misma, presento a usted el Acta Constitutiva Estatutos de dicha Compañía, a los fines de su inscripción, fijación y publicación de conformidad con la Ley. Igualmente acompaño a fin de que sean agregados al Expediente Social, los respectivos recaudos que acreditan el pago de la totalidad del Capital Social: depósito bancario, Aceptación del Comisario y Titulo Fondo Negro de CARLA LUCIA MENDEZ SALCEDO.<br />Ruego a usted, darle el curso legal a esta participación y expedirme copia certificada de está, así como también de esta Acta Constitutiva producida, con su correspondiente nota de inscripción, a fin de dar cumplimiento a las anteriores formalidades de publicación.<br />Es justicia en San Cristóbal a la fecha de su presentación <br />CAPITULO I:<br />NOMBRE, DOMICILIO, DURACION Y OBJETO.<br />CLAUSULA PRIMERA: La Compañía se denominara “AUTO REPUESTOS M.A.C C.A.” domiciliada en la Guayana, centro comercial “Paseo la Villa”, Local No. A1-27, en la ciudad de San Cristóbal, Estado Táchira, República Bolivariana de Venezuela, y conformando su oficina, sucursal o agencias en cualquier lugar del país y del extranjero, previa aprobación de la Asamblea de Accionistas. CLAUSULA SEGUNDA: La duración de la Compañía es de veinte (20) años contados a partir de la fecha de su constitución, plazo que podrá ser prorrogado o disminuido, a juicio de la Asamblea de Accionistas. CLAUSULA TERCERA: La Compañía tendrá por objeto la importación, exportación, compra, venta distribución y comercialización tanto al mayor como al detal de productos automotores. Así mismo celebrar toda clase de acto necesario para la administración, desarrollo y ejecución de proyectos relacionados con todo tipo de repuestos automotrices como promociones, campañas, eventos, seminarios, convenciones y talleres, la compra y venta de repuestos automotrices ya sea con clientes regionales, nacionales e internacionales; la publicación de avisos, vallas, pancartas; letreros representaciones de marcas comerciales y de espectáculos o festivales nacionales e internacionales; además de todo lo relacionado directa o indirectamente con el área de servicios automotores  y el ejercicio de toda clase de arreglos automotrices de formas legales y que puedan resultar de interés de la compañía, estén comprendidas en la enumeración que antecede.<br />CAPITULO II:<br />CAPUTAL ACCIONES Y ACCIONISTAS<br />CLAUSULA CUARTA: El Capital de la Compañía es de UN MILLON DE BOLIVARES FUERTES (Bs.F 1000000,oo), Dividido en CIEN (100,oo) Acciones con un valor nominal de Diez Mil Bolívares fuertes (Bs.F 10000,oo) cada una, el Capital ha sido suscrito así: El Accionista CARLA LUCIA MENDEZ SALCEDO suscribe SESENTA (60) acciones, para un total de SEICIENTOS MIL BOLIVARES FUERTES (Bs.F 600000,oo) y el accionista ANNA VALERIA GARCIA MENDEZ, suscribe CUARENTA (40) acciones para un total de CUATROCIENTOS MIL BOLIVARES FUERTES (Bs.F 400000,oo). CLAUSULA QUINTA: El Capital ha sido suscrito y pagado en conjunto de la siguiente manera: Un veinte por ciento (20%), es decir la cantidad de DOCIENTOS MIL BOLIVARES FUERTES (Bs.F 200000,oo), en efectivo tal como sea evidencia de depósito bancario. El saldo restante será pagado como lo decida la Asamblea. CLAUSULA SEXTA: Cada Acción da derecho a un voto en las Asambleas y no admite división con respecto a la Compañía, la cual no reconocerá más que un propietario para cada una de ellas Todas las Acciones son de igual valor, confieren iguales derechos e imponen iguales obligaciones a cada uno de sus suscriptores. CLAUSULA SEPTIMA: La propiedad de las Acciones se prueba a través de la presente acta y con las correspondientes inscripciones en el Libro de Accionistas y la sesión o traspaso de las mismas sea acredita mediante acta que se inscribirá en el libro mencionado, firmada por el cedente, el sesionarlo y los representantes de la Compañía. CLASULA OCTAVA: Los Accionistas se conceden recíprocamente un derecho preferente en la relación a la enajenación de Acciones. El cedente hará oferta a los demás Accionistas por medio de un escrito dirigido a la Asamblea General de Accionistas la que en atención al derecho presente que tienen los accionistas para adquirirlas, convocara a un Asamblea Extraordinaria para el Octavo (8vo) día siguiente, por lo menos aquel en que recibió dicha comunicación, siendo en esa oportunidad en la que los Accionistas harán uso de tal derecho y si renuncian a él queda en libertad el oferente para ofrecerlas a terceras personas. CLAUSULA NOVENA: La adquisición de acciones de la Compañía implica plena adhesión a la presente acta constitutiva y sus modificaciones así como las decisiones tomadas en las Asambleas y dentro de sus atribuciones<br />CAPITULO III.<br />DE LAS ASAMBLEAS.<br />CLAUSULA DECIMA: La Asamblea General de Accionistas legalmente constituida, representada la máxima autoridad de la Compañía y sus decisiones deberán ser atacadas por todos los accionistas, estén o no de acuerdo con ellas y hayan asistido o no a sus reuniones siempre en que:<br />Nosotras: MARIELA MENDEZ, CARLA ARELLANO Y ANNA SALCEDO  venezolanas, mayores de edad, solteras las tres, domiciliadas en San Cristóbal, Estado Táchira, Titulares de la cedula de identidad Nros. V-25.498.402, V-24.147.506, 23.095.550 respectivamente, la primera periodista, la segunda Contadora y la tercera Abogada, civilmente Hábiles; por medio del presente documento declaramos: Que hemos venido a constituir, como en efecto constituimos, una Compañía Anónima la cual se regirá por las disposiciones contenidas en las cláusulas que a continuación se expresan, redactadas con suficiente amplitud para que sirvan a la vez de Acta Constitutiva y Estatutos Sociales de la Compañía. <br />CAPITULO IV:<br />DE LA ADMINISTRACION<br />CLAUSULA DECIMA CUARTA: La Compañía sera administrada por un Director Unico quien sera Accionista o no, durara diez (10) años en el ejercicio de sus funciones y podran ser reelegidos.<br />CAPITULO V:<br />DEL COMISARIO<br />CLAUSULA DÉCIMA SEPTIMA: La Compañía tendrá un COMISIARIO de libre elección remoción por la Asamblea de Accionistas el cual durará cinco (05) años en el ejercicio de sus funciones y podrá ser reelegido. Tendrá las facultades señaladas en el Código de Comercio.<br />CAPITULO VI:<br />DEL AÑO ECONÓMICO, BALANCE, CUENTAS, FONDOS, UTILIDADES<br />Termina el treinta y uno (31) de Diciembre de cada año. Salvo el primer ejercicio que comenzara en la fecha de su formal constitución por ante la Oficina de Registro Mercantil de la Circunscripción Judicial del estado Táchira y culminara el treinta y uno (31) de diciembre del mismo año. Al final de cada ejercicio se cortaran las cuentas y se participara el Balance general Inventario para determinar el estado de la Compañía. Si hubiere utilidades liquidas, se deducirá un Cinco por ciento (5%) para formar el Fondo de Reserva legal exigido por el Código de Comercio, hasta alcanzar el diez por ciento (10%) del Capital Social, el monto restante se abonará a la cuenta de utilidades por distribuir para ser repartido en forma de dividendos proporcionalmente a su respectivos aportes al Capital de la Empresa, cuando así lo disponga la Asamblea de Accionistas. CLAUSULA DECIMA NOVENA: Acordada la disolución de la Compañía por expiración del término o por decisión de una Asamblea de Accionistas convocada al efecto, podrá a su juicio, nombrar uno o más liquidadores, quienes tendrán las facultades que les otorgue la misma Asamblea de Accionistas y las previstas en el artículo 350 del Código de Comercio. Una vez hecha la liquidación total pagados los pasivos, el remanente será distribuido proporcionalmente entre los accionistas de la Compañía. CLAUSULA VIGESIMA: En todo lo no previsto en estos Estatutos la Compañía se regirá por las disposiciones legales pertinentes.<br />CAPITULO VII:<br />DISPOSICIONES TRANSITORIAS:<br />PRIMERA: Se designa como DIRECTORA ÚNICA al ciudadana CARLA LUCIA MENDEZ SALCEDO  y se nombra como COMISARIO, a la ciudadana ANNA VALERIA GARCIA MENDEZ, Licenciada en Contaduría Pública, inscrita en el Colegio de Contadores Públicos bajo el Número 28282, titular de la cédula de identidad No. V-15208035. SEGUNDA: Se autoriza suficientemente a la Directora Única ciudadana  CARLA LUCIA SALCEDO MENDEZ ya identificado, para que trámite la presentación, inscripción, registro y publicación de la presente Acta Constitutiva Estatutaria. <br />SE EXPIDE LA PRESENTE COPIA CERTIFICADA PARA FINES DE PUBLICACION EN LA PRENSA. CERTIFICO QUE ESTA COPIA FOTOSTATICA HA SIDO HECHA EN ESTA OFICINA POR  PABLO EDUARDO BOTERO CON CEDULA DE IDENTIDAD V-15156158, PERSONA CAPAZ AUTORIZADA POR MI PARA HACERLA Y QUIEN JUNTO CONMIGO SUSCRIBE LA PRESENTE CERTIFICACION Y CADA UNA DE SUS PAGINAS SAN CRISTOBAL (                                                                              )    (           )   DEL AÑO DOS MIL (                     )                                                          <br />Las mismas exista el quórum es decir que se encuentre presente un número de Accionistas que Representen el Sesenta porciento (60%) del capital social. CLAUSULA DECIMA PRIMERA: Las Asambleas serán convocadas y presididas por la administradora de la Compañía y se reunirán previa convocatoria, publicada por la prensa, con cinco (05) dias de anticipación por lo menos a la fecha en que deba celebrarse dicha Asamblea de conformidad con el Articulo 277 del Codigo de Comercio. La convocatoria se indicara el objeto, dia, lugar y hora de reunion. Cualquier deliberacion sobre puntos no expresados en la convocatoria sera nula, sin embargo podran efectuarse prescindiendo de la convocatoria previa, siempre que se encuentren presentes o representados de manera Autenticada todos los Accionistas y acuerden constituirse en Asamblea, pudiendo someter a consideracion los puntos que se creyeren convenientes y resolver sobre los mismos. El mismo procedimiento se utilizara en las convocatorias de las Asambleas Generales Extraordinarias, las cuales se reuniran cada vez que sea de interes para la compañía o cuando lo exija un numero de Accionistas que represente por lo menos el Veinte por Ciento (20%) del Capital social. CLAUSULA DECIMA SEGUNDA: La Asamblea Ordinaria de Accionistas debera reunirse todos los añoos dentro de los primero Noventa (90) dias siguientes al termino del ejercicio economico, fecha que determinara el Director unico y su objeto sera señalado en el Articulo 275 del Codigo de Comercio. CLAUSULA DECIMA TERCERA: Las Asambleas tanto Ordinarias como Extraordinarias se consideraran validamente constituidas cuando concurra a ellas un numero de accionistas que represente por lo menos el Sesenta por ciento (60%) del capital social. En caso de falta de siguiente, con necesidad de nueva convocatoria se instalara con cualquiera que sea el numero concurrentes a ella. Las resoluciones de las Asambleas tanto Ordinarias como Extraordinarias se tomaran por mayoria calificada del Setenta y cinco por ciento (75%) del capital social representado en la Asamblea  <br />25021<br />REPUBLICA BOLIVARIANA DE VENEZUELA<br />MINISTERIO DEL INTERIOR Y JUSTICIA <br />REGISTRO MERCANTIL TERCERO<br />DE LA CIRCUNSCRIPCION JUDICIAL DEL ESTADO TACHIRA<br />REGISTRADORA MERCANTIL TERCERO DE LA CINCUNSCRIPCION <br />JUDICIAL DEL ESTADO TACHIRA<br />C E R T I F I C A D A <br />25021<br />Que el asiento de registro de Comercio transcrito a continuación.<br />Cuyo original está escrito en el Tomo: 12-A.. Número: 18 así como<br />LA PARTICIPACION. NOTA Y DOCUMENTO que se copian de seguida son traslado<br />Fiel y exacto de sus originales. Los cuales son del tenor siguiente <br />ESTE FOLIO PERTENECE A:<br />AUTO REPUESTOS M.A.C C.A<br />Respectivo, por lo que los administradores continuarán en el desempeño de sus funciones.<br />CLAUSULA DECIMA QUINTA:              Conforme al artículo 244 del Código de Comercio los administradores depositarán en caja Social una (1) acción, para garantizar todos los actos de su gestión administrativa o su equivalente en dinero efectivo los no socios.         CLAUSULA DECIMA SEXTA: El Director Único ejercerá la representación y dirección de la Compañía  sin más limitación que las impuestas por los estatutos sociales, la Asamblea General de Accionistas y las leyes sobre la materia así mismo podrá el Director único, dentro de sus atribuciones el Director único tendrá las siguientes: 1.-Convocar y presidir las Asambleas de Accionistas. 2.- Rendir cuentas a la Asamblea General Ordinaria o Extraordinaria sobre las actividades y negocios de la Compañía. 3.- Ejercer la administración y dirección de la Compañía en todas las operaciones inherentes a la realización de su objeto social. 4.- Nombrar y remover los empleados de la Compañoa fijándoles sus remuneraciones. 5.- Aprovar los presupuestos de la Compañía y requerir el Capital de trabajo a la  personas naturales o jurídicas pertinentes incluidas las solicitudes de crédito a instituciones financieras otorgando las fianzas y garantías necesarias para lograr el objeto social de la Compañía. 6.- Movilizar, abrir y cerrar cuentas en institutos bancarios o Financieros, autorizando la firma para la movilizacion de los mismos personas de su confianza.  7.- Celebrar contratos y obligar a la compañía en los negocios que constituyen su objeto. 8.- Intentas, contestar demandas, cinvenir, desistir, cimprometer en árbitros, hacer postura en remate, recibir cantidades de dinero y disponer del derecho en litigio, anunciar recursos constituir, otorgar, sustituir y revocar poderes judiciales en Abogados de su confianza fijándole sus facultades deberes y remuneraciones. 9.- Emitir, endosar, aceptar cheques, pagares y cualquiera otros documentos cambiarios. 10.- Vender, enajenar, comprar, grabar, arrendar, o realizar contratos o negocio jurídico con los bienes muebles o inmuebles de la Compañía. 11.- designar y autorizar las personas que puedan emitir. Avalar y aceptar letras de cambio, cheques, pagares, titulos valores, créditos de cualquier otro efecto de comercio en nombre de la Compañía así como para abrir movilizar o cerrar cuentas bancarias en Institutos Financieros Nacionales y Extranjeras.<br />
Auto repuestos m.a.c c.a caso trabajo contable
Auto repuestos m.a.c c.a caso trabajo contable
Auto repuestos m.a.c c.a caso trabajo contable
Auto repuestos m.a.c c.a caso trabajo contable
Auto repuestos m.a.c c.a caso trabajo contable
Auto repuestos m.a.c c.a caso trabajo contable
Auto repuestos m.a.c c.a caso trabajo contable
Auto repuestos m.a.c c.a caso trabajo contable
Auto repuestos m.a.c c.a caso trabajo contable
Auto repuestos m.a.c c.a caso trabajo contable
Auto repuestos m.a.c c.a caso trabajo contable
Auto repuestos m.a.c c.a caso trabajo contable
Auto repuestos m.a.c c.a caso trabajo contable
Auto repuestos m.a.c c.a caso trabajo contable
Auto repuestos m.a.c c.a caso trabajo contable
Auto repuestos m.a.c c.a caso trabajo contable
Auto repuestos m.a.c c.a caso trabajo contable
Auto repuestos m.a.c c.a caso trabajo contable
Auto repuestos m.a.c c.a caso trabajo contable
Auto repuestos m.a.c c.a caso trabajo contable
Auto repuestos m.a.c c.a caso trabajo contable
Auto repuestos m.a.c c.a caso trabajo contable
Auto repuestos m.a.c c.a caso trabajo contable
Auto repuestos m.a.c c.a caso trabajo contable
Auto repuestos m.a.c c.a caso trabajo contable
Auto repuestos m.a.c c.a caso trabajo contable
Auto repuestos m.a.c c.a caso trabajo contable
Auto repuestos m.a.c c.a caso trabajo contable
Auto repuestos m.a.c c.a caso trabajo contable
Auto repuestos m.a.c c.a caso trabajo contable
Auto repuestos m.a.c c.a caso trabajo contable
Auto repuestos m.a.c c.a caso trabajo contable
Auto repuestos m.a.c c.a caso trabajo contable
Auto repuestos m.a.c c.a caso trabajo contable
Auto repuestos m.a.c c.a caso trabajo contable
Auto repuestos m.a.c c.a caso trabajo contable
Auto repuestos m.a.c c.a caso trabajo contable
Auto repuestos m.a.c c.a caso trabajo contable
Auto repuestos m.a.c c.a caso trabajo contable
Auto repuestos m.a.c c.a caso trabajo contable
Auto repuestos m.a.c c.a caso trabajo contable
Auto repuestos m.a.c c.a caso trabajo contable
Auto repuestos m.a.c c.a caso trabajo contable
Auto repuestos m.a.c c.a caso trabajo contable
Auto repuestos m.a.c c.a caso trabajo contable
Auto repuestos m.a.c c.a caso trabajo contable
Auto repuestos m.a.c c.a caso trabajo contable
Auto repuestos m.a.c c.a caso trabajo contable
Auto repuestos m.a.c c.a caso trabajo contable
Auto repuestos m.a.c c.a caso trabajo contable
Auto repuestos m.a.c c.a caso trabajo contable
Auto repuestos m.a.c c.a caso trabajo contable
Auto repuestos m.a.c c.a caso trabajo contable
Auto repuestos m.a.c c.a caso trabajo contable
Auto repuestos m.a.c c.a caso trabajo contable
Auto repuestos m.a.c c.a caso trabajo contable
Auto repuestos m.a.c c.a caso trabajo contable
Auto repuestos m.a.c c.a caso trabajo contable
Auto repuestos m.a.c c.a caso trabajo contable
Auto repuestos m.a.c c.a caso trabajo contable
Auto repuestos m.a.c c.a caso trabajo contable
Auto repuestos m.a.c c.a caso trabajo contable
Auto repuestos m.a.c c.a caso trabajo contable
Auto repuestos m.a.c c.a caso trabajo contable
Auto repuestos m.a.c c.a caso trabajo contable
Auto repuestos m.a.c c.a caso trabajo contable
Auto repuestos m.a.c c.a caso trabajo contable
Auto repuestos m.a.c c.a caso trabajo contable
Auto repuestos m.a.c c.a caso trabajo contable
Auto repuestos m.a.c c.a caso trabajo contable
Auto repuestos m.a.c c.a caso trabajo contable
Auto repuestos m.a.c c.a caso trabajo contable
Auto repuestos m.a.c c.a caso trabajo contable
Auto repuestos m.a.c c.a caso trabajo contable
Auto repuestos m.a.c c.a caso trabajo contable
Auto repuestos m.a.c c.a caso trabajo contable
Auto repuestos m.a.c c.a caso trabajo contable
Auto repuestos m.a.c c.a caso trabajo contable
Auto repuestos m.a.c c.a caso trabajo contable
Auto repuestos m.a.c c.a caso trabajo contable
Auto repuestos m.a.c c.a caso trabajo contable
Auto repuestos m.a.c c.a caso trabajo contable
Auto repuestos m.a.c c.a caso trabajo contable
Auto repuestos m.a.c c.a caso trabajo contable
Auto repuestos m.a.c c.a caso trabajo contable
Auto repuestos m.a.c c.a caso trabajo contable
Auto repuestos m.a.c c.a caso trabajo contable
Auto repuestos m.a.c c.a caso trabajo contable
Auto repuestos m.a.c c.a caso trabajo contable
Auto repuestos m.a.c c.a caso trabajo contable
Auto repuestos m.a.c c.a caso trabajo contable
Auto repuestos m.a.c c.a caso trabajo contable
Auto repuestos m.a.c c.a caso trabajo contable
Auto repuestos m.a.c c.a caso trabajo contable
Auto repuestos m.a.c c.a caso trabajo contable
Auto repuestos m.a.c c.a caso trabajo contable
Auto repuestos m.a.c c.a caso trabajo contable
Auto repuestos m.a.c c.a caso trabajo contable
Auto repuestos m.a.c c.a caso trabajo contable
Auto repuestos m.a.c c.a caso trabajo contable
Auto repuestos m.a.c c.a caso trabajo contable
Auto repuestos m.a.c c.a caso trabajo contable
Auto repuestos m.a.c c.a caso trabajo contable
Auto repuestos m.a.c c.a caso trabajo contable
Auto repuestos m.a.c c.a caso trabajo contable
Auto repuestos m.a.c c.a caso trabajo contable
Auto repuestos m.a.c c.a caso trabajo contable
Auto repuestos m.a.c c.a caso trabajo contable
Auto repuestos m.a.c c.a caso trabajo contable
Auto repuestos m.a.c c.a caso trabajo contable
Auto repuestos m.a.c c.a caso trabajo contable
Auto repuestos m.a.c c.a caso trabajo contable
Auto repuestos m.a.c c.a caso trabajo contable
Auto repuestos m.a.c c.a caso trabajo contable
Auto repuestos m.a.c c.a caso trabajo contable
Auto repuestos m.a.c c.a caso trabajo contable
Auto repuestos m.a.c c.a caso trabajo contable
Auto repuestos m.a.c c.a caso trabajo contable
Auto repuestos m.a.c c.a caso trabajo contable
Auto repuestos m.a.c c.a caso trabajo contable
Auto repuestos m.a.c c.a caso trabajo contable
Auto repuestos m.a.c c.a caso trabajo contable
Auto repuestos m.a.c c.a caso trabajo contable
Auto repuestos m.a.c c.a caso trabajo contable
Auto repuestos m.a.c c.a caso trabajo contable
Auto repuestos m.a.c c.a caso trabajo contable
Auto repuestos m.a.c c.a caso trabajo contable
Auto repuestos m.a.c c.a caso trabajo contable
Auto repuestos m.a.c c.a caso trabajo contable
Auto repuestos m.a.c c.a caso trabajo contable
Auto repuestos m.a.c c.a caso trabajo contable
Auto repuestos m.a.c c.a caso trabajo contable
Auto repuestos m.a.c c.a caso trabajo contable
Auto repuestos m.a.c c.a caso trabajo contable
Auto repuestos m.a.c c.a caso trabajo contable

Auto repuestos m.a.c c.a caso trabajo contable

  • 1.
    UNIDAD EDUCATIVA COLEGIO<br/>“SANTA TERESIA DEL NIÑO JESÚS”<br />SAN CRISTÓBAL – TACHIRA<br />AUTO REPUESTOS “M.A.C” C.A<br />Caso: Proyecto Contable Informático<br />San Cristóbal, Junio 2011<br />UNIDAD EDUCATIVA COLEGIO<br />“SANTA TERESIA DEL NIÑO JESÚS”<br />SAN CRISTÓBAL – TACHIRA<br />AUTO REPUESTOS “M.A.C” C.A<br />Caso: Proyecto Contable Informático<br />Participantes:<br />Salcedo, Anna Lucía<br />Arellano, Carla Stephanie<br />Méndez, Mariela Alejandra<br />Docentes: <br />Prof. William Mora<br />Prof. Consuelo Rodríguez<br />San Cristóbal, Junio 2011<br />UNIDAD EDUCATIVA COLEGIO<br />“SANTA TERESIA DEL NIÑO JESÚS”<br />SAN CRISTÓBAL – TACHIRA<br />HOJA DE EVALUACIÓN<br />INTRODUCCIÓN<br />La contabilidad, existe desde los principios de la invención de la escritura. El hombre la ha utilizado desde tiempos remotos para llevar a cabo el registro de aquellos datos de la vida económica que le era poco preciso y se le dificultaba recordar. Con el paso del tiempo se convirtió en una ciencia más ordenada y precisa, que consiste en registrar, clasificar y resumir las operaciones mercantiles de un negocio con el fin de interpretar sus resultados.<br />Los avances de esta ciencia han sido muy significativos, por tanto, ya puede ser aplicada por el medio informático, el cual da una serie de instrumentos y programas que facilitan las operaciones contables, como se podrá ver aplicado en este proyecto.<br />El trabajo está estructurado en capítulos. El Capítulo I comprende el planteamiento del problema, objetivo general, objetivos específicos, la justificación y el árbol del problema. En el Capítulo II se encuentra el marco teórico y en el Capítulo III el desarrollo del proyecto. Asimismo, se presentan las conclusiones, la infografía y los anexos respectivos.<br />Autos Repuestos “M.A.C” C.A<br />Personal ObreroRecursos HumanosDistribuidor de ComprasGerente de ComprasAsesoría LegalGerente GeneralVice-PresidentePresidenteJunta Directiva. JuJUndfjbrjek<br />Gerente AdministrativoPersonal AdministrativoContadorGerente ContableVendedoresSupervisor de VentasGerente de VentasPublicidadEstadísticaDep. De MarketingGerente de Mercadeo -------------------------<br />01<br />Capítulo I<br />Planteamiento de la Investigación.<br />La empresa está destinada a hacer repuestos, que son la pieza de un auto, que reemplaza a la original cuando se deteriora y termina su vida útil. Por ejemplo, las pastillas de frenos en los automóviles, los filtros de aceites del automóvil entre otros. Estas empresas fabricantes de maquinaria y automóviles están obligadas a dar un periodo de garantía a sus productos y sustituir gratuitamente las piezas deterioradas si han sido como consecuencia de un fallo achacable a la máquina y no fruto de mal uso de la misma.<br />Las empresas internacionales de repuestos de automóviles, se encargan de desarrollar todos los complementos de un auto, hay muchas empresas de repuestos, también las mismas empresas de autos se encargan de hacer los repuestos como Volkswagen, Ferrari, BMW, Ford entre otras.. <br />Por tanto, la gran cantidad de explotación de repuestos internacionales se encuentran en China, Corea y EE.UU. Igualmente, se tienen empresas y distribuidoras nacionalmente de repuestos, como Acrópolis C.A que distribuye a todo el país, Repuestos Caracas con alto reconocimiento a nivel nacional por su calidad y servicio.<br />Regionalmente, se encuentran una gran cantidad de empresas de mucha importancia como Auto Repuestos Walter, Repuestos Automotriz, entre otros. Son empresas encargadas de todo tipo de repuestos para automóviles.<br />Cabe resaltar, que todas estas empresas de repuestos se rigen por la preferencia del consumidor, ya que existen varias marcas dentro del grupo del repuesto.<br />02<br />Haciendo énfasis a la empresa llamada Auto repuestos M.A.C C.A con una gran organización líder que tiene en la comercialización de repuestos originales, está comprometida a ganar la confianza de todos sus clientes suministrando todos los bienes y servicios que satisfagan sus necesidades, mediante la motivación constante del personal. <br />Finalmente, para esta empresa también se necesita una gran organización, en la contabilidad. Para saber llevar la empresa, y que alcance su prosperidad, se debe empezar desde su creación y tener en cuenta los detalles más mínimos. <br />03<br />Objetivo General<br />Crear el sistema contable de la empresa Auto repuestos M A C C.A<br />Objetivos Específicos.<br />Adquirir personal de apoyo para la contabilidad de la empresa.<br />Crear libro diario, libro mayor y organigrama.<br />Llevar a cabo los asientos contables.<br />Justificación<br />El trabajo se realizó con el propósito de crear el sistema contable a la empresa Auto Repuesto M.A.C C. A, es decir, la forma de administrarla de una manera cónsona y organizada de acuerdo a las exigencias del hecho económico que se vive en los actuales momentos.<br />Para cumplir con todos los objetivos planteados se necesita de la ayuda de herramientas como lo son la Contabilidad y la Programación llevando a cabo un buen proceso contable, con ayuda de libros diarios, libro mayor y balances de comprobación. Ya que hoy en día la tecnología ha avanzado que se tiene la facilidad de contar con la ayuda del programa Excel y así se puede hacer una empresa dinámica, eficaz y eficiente para lograr ser la mejor empresa de auto repuesto en la región.<br />Finalmente, a través de este trabajo se debe lograr que esta empresa evolucione y se mantenga como líder en el mercado automotriz.<br />04<br />Árbol del Problema.<br />Pérdida de ganancias<br />Pérdida de Ventas<br />Pérdida de Clientes<br />Atención al Cliente.<br /> Pocos Empleados Falla de Inventario<br /> Mala Atención.<br />05<br />Capítulo II<br />Marco Teórico<br />Antecedentes<br /> Arellano (2006) realizó un trabajo titulado \" Sistema Contable de la Empresa\" , su objetivo fue llegar a tener un sistema físico con todos los libros de contabilidad y digital con los programas de Microsoft Office. Todo para el beneficio de que en esa empresa se desarrollara una administración, más eficaz y segura. Es una investigación muy factible y con seguridad. Todo este proyecto se llevó a cabo durante los doce meses que tiene el año. Para esta investigación trabajó con una población de 15 personas. Utilizó medios muy tecnológicos como la programación, para así trabajarla con gran facilidad, finalmente se llevó a cabo el gran objetivo de la empresa.<br />06<br />Bases Teóricas<br />Información.<br />La información es un conjunto organizado de datos procesados, que constituyen un mensaje que cambia el estado de conocimiento del sujeto o sistema que recibe dicho mensaje.<br />Los datos sensoriales una vez percibidos y procesados constituyen una información que cambia el estado de conocimiento, eso permite a los individuos o sistemas que poseen dicho estado nuevo de conocimiento tomar decisiones pertinentes acordes a dicho conocimiento.<br />En la computación, la información es un conocimiento explícito extraído por seres vivos o sistemas expertos como resultado de interacción con el entorno o percepciones sensibles del mismo entorno. <br />07<br />Historia de la información.<br />La historia de la información está asociada a su producción, tratamiento y transmisión. Una cronología de esa historia detallada puede ser:<br />Siglos V a X - Alta Edad Media. El almacenamiento, acceso y uso limitado de la información se realiza en las bibliotecas de los monasterios de forma amanuense o manual.<br />Siglo XII. Los Incas (Perú) usan un sistema de cuerdas para el registro de información numérica llamada Quipu, usado principalmente para contar ganado.<br />Siglo XV - Edad Moderna. Con el nacimiento de la imprenta (Gutenberg), los libros comienzan a fabricarse en serie. Surgen los primeros periódicos.<br />Siglo XX. 1926. Se inicia la primera retransmisión de televisión que afectará al manejo y tratamiento de la información con gran impacto en los métodos de comunicación social durante todo el siglo.<br />Siglo XX. 1940. Jeremy Campbell, definió el término información desde una perspectiva científica, en el contexto de la era de la comunicación electrónica.<br />Siglo XX. 1943. El austro-húngaro Nikola Tesla inventa la radio, aunque inicialmente dicho invento se atribuye a Guglielmo Marconi y la patente no se reconoce a su autor hasta los años 1960.<br />Siglo XX. 1947. En diciembre John Bardeen, Walter Houser Brattain y William Bradford Shockley, inventan el transistor. Serán galardonados por ello con el Premio Nobel de Física en 1956.Acaban de sentar sin saberlo la primera de las dos bases para una nueva revolución tecnológica y económica, actuando como detonante de un aumento exponencial de la capacidad de integración microelectrónica, de la popularización y la potencia de cálculo del ordenador. <br />08<br />Siglo XX. 1948. Claude E. Shannon, elabora las bases matemáticas de la Teoría de la Información. Acaba de dar la segunda base de la revolución de las tecnologías de la información y la comunicación: la aplicación del Álgebra de Boole será el fundamento matemático para industrializar el procesamiento de la información. Nace así la Ciencia de la Computación o Ingeniería informática. La nueva revolución económica está servida. La humanidad entra en la Era Digital usando el transistor y la numeración binaria para simbolizar, transmitir y compartir la información. <br />Siglo XX. 1948. Norbert Wiener, elabora la idea de cibernética en su famosa obra Cibernética o el control y comunicación en animales y máquinas (Cybernetics or Control and Comunications in the Animal and the Machine) (1948) donde se encargó de \" mantener el orden\" en cualquier sistema natural o artificial de información.<br />Siglo XX. 1951-1953. James Watson y Francis Crick descubren los principios de los códigos de ADN, que forman un sistema de información a partir de la doble espiral de ADN y la forma en que trabajan los genes.<br />Siglo XX. 1969. En el contexto de la guerra fría, el movimiento contracultural de los años 60', nace la embrionaria Internet cuando se establece la primera conexión de computadoras, conocida como ARPANET, entre tres universidades en California y una en Utah, Estados Unidos, con el objetivo inicial de facilitar una red de comunicaciones militares a prueba de bomba. Su expansión y popularización, y la democratización del conocimiento que facilita, transformará radicalmente las relaciones económicas, sociales y culturales en un mundo más y más interdependiente. <br />09<br />Actualmente, ya en el siglo XXI, en un corto período de tiempo, el mundo desarrollado se ha propuesto lograr la globalización del acceso a los enormes volúmenes de información existentes en medios cada vez más complejos, con capacidades exponencialmente crecientes de almacenamiento y en soportes cada vez más reducidos. A pesar de ello todavía existen muchas fuentes de información en formato no digital o inaccesible digitalmente por diversas causas. En este marco la proliferación de redes de transmisión de datos e información, de bases de datos con acceso en línea, ubicadas en cualquier lugar, localizables mediante Internet, permiten el hallazgo de otras redes y centros de información de diferentes tipos en cualquier momento desde cualquier lugar. Es el resultado de datos gestionados a través de aplicaciones informáticas donde los datos son procesados y transformados en información que posteriormente es manejada como signo integrador y característico de progreso económico del siglo XXI. <br />Procesamiento de la Información<br />Por procesamiento de datos se entienden habitualmente las técnicas eléctricas, electrónicas o mecánicas usadas para manipular datos para el empleo humano o de máquinas. Por supuesto, dado que se ha avanzado mucho en la comparación entre computadoras y cerebros, ¿por qué no invertir la situación y afirmar que el cerebro es capaz de procesar datos?<br />Un dato es un símbolo lingüístico o numérico que representa ya sea algo concreto como abstracto. \" 1, 2, 3\" son datos. En el momento de enlazar datos. Como por ejemplo, \" 1, 2, 3\" = \" ventas diarias de enero 1, 2,3\" , los datos se convierten en información. Muchas personas confunden datos con información.<br />Se puede definir, primeramente, a un “sistema”, como el conjunto de individuos, objetos, entre otros, interrelacionados que concurren a un mismo fin, es decir, que realizan una misma función con un mismo propósito. Los integrantes se modifican entre sí, y los agentes externos modifican al sistema.<br />10<br />Procesamiento es la acción, que se ejecuta, en este caso sobre los datos, y que logra en ellos una transformación.<br /> Entonces, se puede concluir que el procesamiento de datos es cualquier ordenación o tratamiento de datos, o los elementos básicos de información, mediante el empleo de un sistema.<br />Asimismo, se logra sobre los datos algún tipo de transformación. Es esta transformación la que convierte al dato en información.<br />Ahora bien ¿a partir de qué momento un dato pasa a ser información? A partir del momento en que esos datos (procesados ya) llegan a ser útiles para determinada persona.<br /> Quién procesa los datos realiza un control de calidad sobre los mismos, pero ¿cómo sabe éste si finalmente su trabajo ha cumplido o no su objetivo? Mediante recibir una respuesta inteligente del otro. <br />Informática.<br />Es la ciencia aplicada que abarca el estudio y aplicación del tratamiento automático de la información, utilizando sistemas computacionales, generalmente implementados como dispositivos electrónicos. También está definida como el procesamiento automático de la información.<br />Conforme a ello, los sistemas informáticos deben realizar las siguientes tres tareas básicas:<br />Entrada: captación de la información.<br />Proceso: tratamiento de la información.<br />Salida: transmisión de resultados.<br />En los inicios del procesado de información, con la informática sólo se facilitaban los trabajos repetitivos y monótonos del área administrativa. La automatización de esos procesos trajo como consecuencia directa una disminución de los costes y un incremento en la productividad.<br />11<br />En la informática convergen los fundamentos de las ciencias de la computación, la programación y metodologías para el desarrollo de software, la arquitectura de computadores, las redes de computadores, la inteligencia artificial y ciertas cuestiones relacionadas con la electrónica. Se puede entender por informática a la unión sinérgica de todo este conjunto de disciplinas.<br />Esta disciplina se aplica a numerosas y variadas áreas del conocimiento o la actividad humana, como por ejemplo: gestión de negocios, almacenamiento y consulta de información, monitorización y control de procesos, industria, robótica, comunicaciones, control de transportes, investigación, desarrollo de juegos, diseño computarizado, aplicaciones/herramientas multimedia, medicina, biología, física, química, meteorología, ingeniería, arte, etc. Una de la aplicaciones más importantes de la informática es proveer información en forma oportuna y veraz, lo cual, por ejemplo, puede tanto facilitar la toma de decisiones a nivel gerencial (en una empresa) como permitir el control de procesos críticos.<br />Actualmente, es difícil concebir un área que no use, de alguna forma, el apoyo de la informática. Ésta puede cubrir un enorme abanico de funciones, que van desde las más simples cuestiones domésticas hasta los cálculos científicos más complejos.<br />Entre las funciones principales de la informática se cuentan las siguientes:<br />Creación de nuevas especificaciones de trabajo.<br />Desarrollo e implementación de sistemas informáticos.<br />Sistematización de procesos.<br />Optimización de los métodos y sistemas informáticos existentes.<br />12<br />Programas Informativos.<br />Ofimática.<br />Se llama ofimática al equipamiento hardware y software usado para crear, coleccionar, almacenar, manipular y transmitir digitalmente la información necesaria en una oficina para realizar tareas y lograr objetivos básicos. Las actividades básicas de un sistema ofimático comprenden el almacenamiento de datos en bruto, la transferencia electrónica de los mismos y la gestión de información electrónica relativa al negocio. La ofimática ayuda a optimizar o automatizar los procedimientos existentes.<br />La ofimática con red de área local (LAN) permite a los usuarios transmitir datos, correo electrónico e incluso voz por la red. Todas las funciones propias del trabajo en oficina, incluyendo dictados, mecanografía, archivado, copias, fax, télex, microfilmado y gestión de archivos, operación de los teléfonos y la centralita, caen en esta categoría. La ofimática fue un concepto muy popular en los años 1970 y 1980, cuando los ordenadores de sobremesa se popularizaron. No es necesaria la red para trabajar con un paquete ofimático.<br />Open Office.<br />OpenOffice.org (frecuentemente escrito OOo para abreviar) es una suite ofimática libre (código abierto y distribución gratuita) que incluye herramientas como procesador de textos, hoja de cálculo, presentaciones, herramientas para el dibujo vectorial y base de datos. Está disponible para varias plataformas, tales como Microsoft Windows, GNU/Linux, BSD, Solaris y Mac OS X. Soporta numerosos formatos de archivo, incluyendo como predeterminado el formato estándar ISO/IEC OpenDocument (ODF), entre otros formatos comunes, así como también soporta más de 110 idiomas, desde febrero del año 2010. <br />13<br />OpenOffice.org tiene como base inicial a StarOffice, una suite ofimática desarrollada por StarDivision y adquirida por Sun Microsystems en agosto de 1999. El desarrollo de la suite está liderado por Oracle Corporation (inicialmente por Sun Microsystems), en conjunto con otras compañías como Novell, RedHat, RedFlag CH2000, IBM, Google, entre otras. El código fuente de la aplicación está disponible bajo la Licencia pública general limitada de GNU (LGPL) versión 3. <br />El proyecto y el programa son denominados «OpenOffice» de forma informal, aunque «OpenOffice.org» es el nombre oficial completo, ya que la denominación openoffice es una marca registrada en posesión de otra empresa.<br /> <br />Vinculación de la informática con la contabilidad.<br />Considerando esto, se puede observar la revolución que ha hecho la informática en las diferentes ramas del conocimiento; se destaca el papel que juega ésta en la internacionalización de la contabilidad, su primeros aportes lo hizo cuando se dejó de usar el registro de los libros en forma manual, para implementar registros  electrónicos administrados bajo los software o paquetes contables, que posee la empresa, negocio o persona dueño de la información; más adelante esta información podía ser vista y utilizada a través de una red local en diferentes departamentos de la empresa, a tal punto que llegó a extenderse a lugares más retirados como otras ciudades, que facilitan el trabajo de las sucursales con su principal.<br />Hoy día estos registros no están sujetos a los PC de la empresa o negocio, sino que se pueden encontrar en la gran red Internet, es así como la informática influye en los procesos contables para ponerlos a la par del mundo actual.  <br />14<br />Parece ser que Internet se ha convertido en la mano derecha  de la globalización, y además es el medio más fácil y económico que se tiene para hacer parte de ella. La red juega un papel importante en los procesos que se adelantan para la estandarización de la contabilidad, por ejemplo se cuenta con un lenguaje estructural de información que facilita la presentación y el  envío de  reportes financieros a través  de ella como lo es el lenguaje XML. Hay un proyecto donde se espera superar la tarea de esta herramienta con un nuevo lenguaje  XFRML (Extensible Financial Reporting Markup Languages). <br />El objetivo de este  proyecto es proveer a los usuarios una estructura conceptual basada en estándares que entre otras cosas permita la preparación más eficiente y detallada de los estados financieros  y la extracción confiable de información específica  detallada  a partir de los estados financieros de diferentes organizaciones.<br />Con este ejemplo queda claro como es la influencia de la informática en los estándares de la contabilidad, asimismo, es bueno mencionar que al haber unos estándares los programas o software contable estarán sujetos a ellos.<br />La informática va ligada a los cambios que sufre la ciencia contable, en buscando así mejorarla y hacerla más atractiva.<br />15<br />Contabilidad.<br />Es la ciencia social que se encarga de estudiar, medir y analizar el patrimonio de las empresas, con el fin de servir a la toma de decisiones y control, presentando la información, previamente registrada, de manera sistemática y útil para las distintas partes interesadas. Posee además una técnica que produce sistemática y estructuradamente información cuantitativa y valiosa, expresada en unidades monetarias acerca de las transacciones que efectúan las entidades económicas y de ciertos eventos económicos identificables y cuantificables que la afectan, con la finalidad de facilitar a los diversos públicos interesados.<br />También, se puede definir como el sistema que mide la actividad en los negocios y procesa dicha medición en informes y estados financieros para comunicar resultados y hallazgos a los encargados de tomar las decisiones.<br />Otros conceptos indican a la contabilidad como una parte de la economía, y que en el ámbito de la empresa su principal labor es ayudar al área de Administración. <br />El producto final de la contabilidad son todos los Estados Contables o Estados Financieros que son los que resumen la situación económica y financiera de la empresa. Esta información resulta útil para gestores, reguladores y otros tipos de interesados como los accionistas, acreedores o propietarios.<br />16<br />Asiento de Apertura<br />Es el primer asiento que se registra al principio del ejercicio contable. Se obtiene por la apertura del asiento de cierre del ejercicio anterior, si la empresa lleva varios ejercicios funcionando.<br /> Este es el primer asiento que se hace en contabilidad. Se realiza al iniciarse las actividades o al inicio del ejercicio económico. <br />Se considera que el cierre de la contabilidad es la operación a través de la cual se detiene momentáneamente el registro de operaciones para ofrecer una visión del patrimonio, de la situación financiera de la empresa y de sus resultados, en un momento concreto del tiempo. Se separa así un ejercicio económico de otro. <br />Abrir, o reabrir la contabilidad será la operación por la que se inicia o reanuda el registro de operaciones al iniciarse el ejercicio económico. El asiento de apertura se formará cargando las cuentas de Activo del Balance y abonando las de Pasivo. <br />Libro Diario <br />El Diario es un libro contable donde se recogen, día a día, los hechos económicos de una empresa. La anotación de un hecho económico en el libro Diario se llama asiento; es decir en él se registran todas las transacciones realizadas por una empresa.<br />Los asientos son anotaciones registradas por el sistema de partida doble y contienen entradas de débito en una o más cuentas y crédito en otra cuenta de tal manera que la suma de los débitos sea igual a la suma de los créditos. Se garantiza así que se mantenga la ecuación de contabilidad. Asimismo, pueden existir Documento Contable que agrupen varios asientos y estos a su vez sean asignados a diferentes cuentas contables.<br />17<br /> Dependiendo del sistema de información contable, algunos asientos son automáticos y pueden utilizarse en conjunción con los asientos manuales para el mantenimiento de registros. En tal caso, el uso de asientos manuales puede limitarse a actividades no rutinarias y otros ajustes. De igual forma en la mayoríade los sistemas, los registros o asientos manuales son aquellos creados por un usuario y los automáticos son los generados propiamente por el sistema.<br />Libro Mayor<br />Libro Mayor es donde se registran las cuentas de activos, pasivos y patrimonio de la empresa.<br />Es el libro de contabilidad en donde se organizan y clasifican las diferentes cuentas que moviliza la cooperativa de sus activos, pasivos y patrimonio. Para que los registros sean válidos deben asentarse en el libro debidamente autorizado.<br />Es el registro o resumen de todas las transacciones que aparecen en el libro diario, con el propósito de conocer su movimiento y saldo en forma particular.<br />Los cargos y créditos a las distintas cuentas, según se muestra en los asientos de diario, se registran en las cuentas mediante el proceso llamado pasar al mayor. <br />Cuenta es una ficha individual que registra las cantidades de una cuenta en el debe y en el haber, así como el saldo de la misma. El libro mayor precisamente lo que hace es eso; anotar las cantidades que intervienen en los asientos en su correspondiente cuenta del libro mayor, representada por una T.<br />18<br />Balance de Comprobación<br />Un balance de comprobación es un instrumento financiero que se utiliza para visualizar la lista del total de los débitos y de los créditos de las cuentas, junto al saldo de cada una de ellas (ya sea deudor o acreedor). De esta forma, permite establecer un resumen básico de un estado financiero<br /> Este, refleja la contabilidad de una empresa u organización en un determinado periodo. Por eso, este balance actúa como base a la hora de preparar las cuentas anuales.<br />También, permite confirmar que la contabilidad de la empresa esté bien organizada. Es posible que el balance de sumas y saldos sea correcto y que, sin embargo, incluya una contabilidad defectuosa. Ese sería el caso, por ejemplo, de alguien que ha pagado a un proveedor pero le anotó dicho pago a otro. El balance sería correcto desde los números, pero no en la práctica.<br />La elaboración de un balance de comprobación comienza con la realización de las sumas de las anotaciones de cada cuenta, tanto en el debe como en el haber. En el paso siguiente, se obtiene el saldo de cada cuenta (la diferencia entre el debe y el haber). Por último, las sumas y los saldos obtenidos se trasladan al balance.<br />Por lo general, el balance de comprobación es un documento voluntario para el empresario, aunque recomendable para que éste pueda conocer con precisión el estado financiero de su empresa sin necesidad de arrastrar errores hasta la elaboración de las cuentas anuales.<br />19<br />Capítulo III<br />Ejercicio Económico<br />Acta Constitutiva:<br />CIUDADANO:<br />REGISTRADORA MERCANTIL. TERCERA DE LA CIRCUNSCRIPCIÓN JUDICIAL DEL ESTADO TÁCHIRA.<br />SU DESPACHO.-<br />Yo, CARLA LUCIA MENDEZ SALCEDO, Venezolana, mayor de edad, soltero, titular de la cedula de identidad Nro. V-20.300.200, de este domicilio y civilmente hábil, ante el Despacho y a su muy digno cargo ocurro para exponer: <br /> Debidamente autorizado por los accionistas de la Sociedad Mercantil denominada AUTO REPUESTOS M.A.C, C.A. y en mi carácter de Directora Única de la misma, presento a usted el Acta Constitutiva Estatutos de dicha Compañía, a los fines de su inscripción, fijación y publicación de conformidad con la Ley. Igualmente acompaño a fin de que sean agregados al Expediente Social, los respectivos recaudos que acreditan el pago de la totalidad del Capital Social: depósito bancario, Aceptación del Comisario y Titulo Fondo Negro de CARLA LUCIA MENDEZ SALCEDO.<br />Ruego a usted, darle el curso legal a esta participación y expedirme copia certificada de está, así como también de esta Acta Constitutiva producida, con su correspondiente nota de inscripción, a fin de dar cumplimiento a las anteriores formalidades de publicación.<br />Es justicia en San Cristóbal a la fecha de su presentación <br />CAPITULO I:<br />NOMBRE, DOMICILIO, DURACION Y OBJETO.<br />CLAUSULA PRIMERA: La Compañía se denominara “AUTO REPUESTOS M.A.C C.A.” domiciliada en la Guayana, centro comercial “Paseo la Villa”, Local No. A1-27, en la ciudad de San Cristóbal, Estado Táchira, República Bolivariana de Venezuela, y conformando su oficina, sucursal o agencias en cualquier lugar del país y del extranjero, previa aprobación de la Asamblea de Accionistas. CLAUSULA SEGUNDA: La duración de la Compañía es de veinte (20) años contados a partir de la fecha de su constitución, plazo que podrá ser prorrogado o disminuido, a juicio de la Asamblea de Accionistas. CLAUSULA TERCERA: La Compañía tendrá por objeto la importación, exportación, compra, venta distribución y comercialización tanto al mayor como al detal de productos automotores. Así mismo celebrar toda clase de acto necesario para la administración, desarrollo y ejecución de proyectos relacionados con todo tipo de repuestos automotrices como promociones, campañas, eventos, seminarios, convenciones y talleres, la compra y venta de repuestos automotrices ya sea con clientes regionales, nacionales e internacionales; la publicación de avisos, vallas, pancartas; letreros representaciones de marcas comerciales y de espectáculos o festivales nacionales e internacionales; además de todo lo relacionado directa o indirectamente con el área de servicios automotores y el ejercicio de toda clase de arreglos automotrices de formas legales y que puedan resultar de interés de la compañía, estén comprendidas en la enumeración que antecede.<br />CAPITULO II:<br />CAPUTAL ACCIONES Y ACCIONISTAS<br />CLAUSULA CUARTA: El Capital de la Compañía es de UN MILLON DE BOLIVARES FUERTES (Bs.F 1000000,oo), Dividido en CIEN (100,oo) Acciones con un valor nominal de Diez Mil Bolívares fuertes (Bs.F 10000,oo) cada una, el Capital ha sido suscrito así: El Accionista CARLA LUCIA MENDEZ SALCEDO suscribe SESENTA (60) acciones, para un total de SEICIENTOS MIL BOLIVARES FUERTES (Bs.F 600000,oo) y el accionista ANNA VALERIA GARCIA MENDEZ, suscribe CUARENTA (40) acciones para un total de CUATROCIENTOS MIL BOLIVARES FUERTES (Bs.F 400000,oo). CLAUSULA QUINTA: El Capital ha sido suscrito y pagado en conjunto de la siguiente manera: Un veinte por ciento (20%), es decir la cantidad de DOCIENTOS MIL BOLIVARES FUERTES (Bs.F 200000,oo), en efectivo tal como sea evidencia de depósito bancario. El saldo restante será pagado como lo decida la Asamblea. CLAUSULA SEXTA: Cada Acción da derecho a un voto en las Asambleas y no admite división con respecto a la Compañía, la cual no reconocerá más que un propietario para cada una de ellas Todas las Acciones son de igual valor, confieren iguales derechos e imponen iguales obligaciones a cada uno de sus suscriptores. CLAUSULA SEPTIMA: La propiedad de las Acciones se prueba a través de la presente acta y con las correspondientes inscripciones en el Libro de Accionistas y la sesión o traspaso de las mismas sea acredita mediante acta que se inscribirá en el libro mencionado, firmada por el cedente, el sesionarlo y los representantes de la Compañía. CLASULA OCTAVA: Los Accionistas se conceden recíprocamente un derecho preferente en la relación a la enajenación de Acciones. El cedente hará oferta a los demás Accionistas por medio de un escrito dirigido a la Asamblea General de Accionistas la que en atención al derecho presente que tienen los accionistas para adquirirlas, convocara a un Asamblea Extraordinaria para el Octavo (8vo) día siguiente, por lo menos aquel en que recibió dicha comunicación, siendo en esa oportunidad en la que los Accionistas harán uso de tal derecho y si renuncian a él queda en libertad el oferente para ofrecerlas a terceras personas. CLAUSULA NOVENA: La adquisición de acciones de la Compañía implica plena adhesión a la presente acta constitutiva y sus modificaciones así como las decisiones tomadas en las Asambleas y dentro de sus atribuciones<br />CAPITULO III.<br />DE LAS ASAMBLEAS.<br />CLAUSULA DECIMA: La Asamblea General de Accionistas legalmente constituida, representada la máxima autoridad de la Compañía y sus decisiones deberán ser atacadas por todos los accionistas, estén o no de acuerdo con ellas y hayan asistido o no a sus reuniones siempre en que:<br />Nosotras: MARIELA MENDEZ, CARLA ARELLANO Y ANNA SALCEDO venezolanas, mayores de edad, solteras las tres, domiciliadas en San Cristóbal, Estado Táchira, Titulares de la cedula de identidad Nros. V-25.498.402, V-24.147.506, 23.095.550 respectivamente, la primera periodista, la segunda Contadora y la tercera Abogada, civilmente Hábiles; por medio del presente documento declaramos: Que hemos venido a constituir, como en efecto constituimos, una Compañía Anónima la cual se regirá por las disposiciones contenidas en las cláusulas que a continuación se expresan, redactadas con suficiente amplitud para que sirvan a la vez de Acta Constitutiva y Estatutos Sociales de la Compañía. <br />CAPITULO IV:<br />DE LA ADMINISTRACION<br />CLAUSULA DECIMA CUARTA: La Compañía sera administrada por un Director Unico quien sera Accionista o no, durara diez (10) años en el ejercicio de sus funciones y podran ser reelegidos.<br />CAPITULO V:<br />DEL COMISARIO<br />CLAUSULA DÉCIMA SEPTIMA: La Compañía tendrá un COMISIARIO de libre elección remoción por la Asamblea de Accionistas el cual durará cinco (05) años en el ejercicio de sus funciones y podrá ser reelegido. Tendrá las facultades señaladas en el Código de Comercio.<br />CAPITULO VI:<br />DEL AÑO ECONÓMICO, BALANCE, CUENTAS, FONDOS, UTILIDADES<br />Termina el treinta y uno (31) de Diciembre de cada año. Salvo el primer ejercicio que comenzara en la fecha de su formal constitución por ante la Oficina de Registro Mercantil de la Circunscripción Judicial del estado Táchira y culminara el treinta y uno (31) de diciembre del mismo año. Al final de cada ejercicio se cortaran las cuentas y se participara el Balance general Inventario para determinar el estado de la Compañía. Si hubiere utilidades liquidas, se deducirá un Cinco por ciento (5%) para formar el Fondo de Reserva legal exigido por el Código de Comercio, hasta alcanzar el diez por ciento (10%) del Capital Social, el monto restante se abonará a la cuenta de utilidades por distribuir para ser repartido en forma de dividendos proporcionalmente a su respectivos aportes al Capital de la Empresa, cuando así lo disponga la Asamblea de Accionistas. CLAUSULA DECIMA NOVENA: Acordada la disolución de la Compañía por expiración del término o por decisión de una Asamblea de Accionistas convocada al efecto, podrá a su juicio, nombrar uno o más liquidadores, quienes tendrán las facultades que les otorgue la misma Asamblea de Accionistas y las previstas en el artículo 350 del Código de Comercio. Una vez hecha la liquidación total pagados los pasivos, el remanente será distribuido proporcionalmente entre los accionistas de la Compañía. CLAUSULA VIGESIMA: En todo lo no previsto en estos Estatutos la Compañía se regirá por las disposiciones legales pertinentes.<br />CAPITULO VII:<br />DISPOSICIONES TRANSITORIAS:<br />PRIMERA: Se designa como DIRECTORA ÚNICA al ciudadana CARLA LUCIA MENDEZ SALCEDO y se nombra como COMISARIO, a la ciudadana ANNA VALERIA GARCIA MENDEZ, Licenciada en Contaduría Pública, inscrita en el Colegio de Contadores Públicos bajo el Número 28282, titular de la cédula de identidad No. V-15208035. SEGUNDA: Se autoriza suficientemente a la Directora Única ciudadana CARLA LUCIA SALCEDO MENDEZ ya identificado, para que trámite la presentación, inscripción, registro y publicación de la presente Acta Constitutiva Estatutaria. <br />SE EXPIDE LA PRESENTE COPIA CERTIFICADA PARA FINES DE PUBLICACION EN LA PRENSA. CERTIFICO QUE ESTA COPIA FOTOSTATICA HA SIDO HECHA EN ESTA OFICINA POR PABLO EDUARDO BOTERO CON CEDULA DE IDENTIDAD V-15156158, PERSONA CAPAZ AUTORIZADA POR MI PARA HACERLA Y QUIEN JUNTO CONMIGO SUSCRIBE LA PRESENTE CERTIFICACION Y CADA UNA DE SUS PAGINAS SAN CRISTOBAL ( ) ( ) DEL AÑO DOS MIL ( ) <br />Las mismas exista el quórum es decir que se encuentre presente un número de Accionistas que Representen el Sesenta porciento (60%) del capital social. CLAUSULA DECIMA PRIMERA: Las Asambleas serán convocadas y presididas por la administradora de la Compañía y se reunirán previa convocatoria, publicada por la prensa, con cinco (05) dias de anticipación por lo menos a la fecha en que deba celebrarse dicha Asamblea de conformidad con el Articulo 277 del Codigo de Comercio. La convocatoria se indicara el objeto, dia, lugar y hora de reunion. Cualquier deliberacion sobre puntos no expresados en la convocatoria sera nula, sin embargo podran efectuarse prescindiendo de la convocatoria previa, siempre que se encuentren presentes o representados de manera Autenticada todos los Accionistas y acuerden constituirse en Asamblea, pudiendo someter a consideracion los puntos que se creyeren convenientes y resolver sobre los mismos. El mismo procedimiento se utilizara en las convocatorias de las Asambleas Generales Extraordinarias, las cuales se reuniran cada vez que sea de interes para la compañía o cuando lo exija un numero de Accionistas que represente por lo menos el Veinte por Ciento (20%) del Capital social. CLAUSULA DECIMA SEGUNDA: La Asamblea Ordinaria de Accionistas debera reunirse todos los añoos dentro de los primero Noventa (90) dias siguientes al termino del ejercicio economico, fecha que determinara el Director unico y su objeto sera señalado en el Articulo 275 del Codigo de Comercio. CLAUSULA DECIMA TERCERA: Las Asambleas tanto Ordinarias como Extraordinarias se consideraran validamente constituidas cuando concurra a ellas un numero de accionistas que represente por lo menos el Sesenta por ciento (60%) del capital social. En caso de falta de siguiente, con necesidad de nueva convocatoria se instalara con cualquiera que sea el numero concurrentes a ella. Las resoluciones de las Asambleas tanto Ordinarias como Extraordinarias se tomaran por mayoria calificada del Setenta y cinco por ciento (75%) del capital social representado en la Asamblea <br />25021<br />REPUBLICA BOLIVARIANA DE VENEZUELA<br />MINISTERIO DEL INTERIOR Y JUSTICIA <br />REGISTRO MERCANTIL TERCERO<br />DE LA CIRCUNSCRIPCION JUDICIAL DEL ESTADO TACHIRA<br />REGISTRADORA MERCANTIL TERCERO DE LA CINCUNSCRIPCION <br />JUDICIAL DEL ESTADO TACHIRA<br />C E R T I F I C A D A <br />25021<br />Que el asiento de registro de Comercio transcrito a continuación.<br />Cuyo original está escrito en el Tomo: 12-A.. Número: 18 así como<br />LA PARTICIPACION. NOTA Y DOCUMENTO que se copian de seguida son traslado<br />Fiel y exacto de sus originales. Los cuales son del tenor siguiente <br />ESTE FOLIO PERTENECE A:<br />AUTO REPUESTOS M.A.C C.A<br />Respectivo, por lo que los administradores continuarán en el desempeño de sus funciones.<br />CLAUSULA DECIMA QUINTA: Conforme al artículo 244 del Código de Comercio los administradores depositarán en caja Social una (1) acción, para garantizar todos los actos de su gestión administrativa o su equivalente en dinero efectivo los no socios. CLAUSULA DECIMA SEXTA: El Director Único ejercerá la representación y dirección de la Compañía sin más limitación que las impuestas por los estatutos sociales, la Asamblea General de Accionistas y las leyes sobre la materia así mismo podrá el Director único, dentro de sus atribuciones el Director único tendrá las siguientes: 1.-Convocar y presidir las Asambleas de Accionistas. 2.- Rendir cuentas a la Asamblea General Ordinaria o Extraordinaria sobre las actividades y negocios de la Compañía. 3.- Ejercer la administración y dirección de la Compañía en todas las operaciones inherentes a la realización de su objeto social. 4.- Nombrar y remover los empleados de la Compañoa fijándoles sus remuneraciones. 5.- Aprovar los presupuestos de la Compañía y requerir el Capital de trabajo a la personas naturales o jurídicas pertinentes incluidas las solicitudes de crédito a instituciones financieras otorgando las fianzas y garantías necesarias para lograr el objeto social de la Compañía. 6.- Movilizar, abrir y cerrar cuentas en institutos bancarios o Financieros, autorizando la firma para la movilizacion de los mismos personas de su confianza. 7.- Celebrar contratos y obligar a la compañía en los negocios que constituyen su objeto. 8.- Intentas, contestar demandas, cinvenir, desistir, cimprometer en árbitros, hacer postura en remate, recibir cantidades de dinero y disponer del derecho en litigio, anunciar recursos constituir, otorgar, sustituir y revocar poderes judiciales en Abogados de su confianza fijándole sus facultades deberes y remuneraciones. 9.- Emitir, endosar, aceptar cheques, pagares y cualquiera otros documentos cambiarios. 10.- Vender, enajenar, comprar, grabar, arrendar, o realizar contratos o negocio jurídico con los bienes muebles o inmuebles de la Compañía. 11.- designar y autorizar las personas que puedan emitir. Avalar y aceptar letras de cambio, cheques, pagares, titulos valores, créditos de cualquier otro efecto de comercio en nombre de la Compañía así como para abrir movilizar o cerrar cuentas bancarias en Institutos Financieros Nacionales y Extranjeras.<br />26<br />Regitsro de Informaciòn Fiscal:<br />27<br />Auto Repuestos “M.A.C” C.ALibro DiarioFecha 2010DescripciónRefDebeHaberEne-011Caja125800Bancos2155000Mobiliario3150000Vehiculos4540000Maquinaria515000Edificio6899000Terreno7650000Articulos de Oficina83400Equipos de Computación9525000Capital Social102963200P/R Asiento de apertura de la empresa \" Auto Repuestos c.a\" inscrito en el Registro Mercantil 1ero del Estado Táchira, bajo el N.18, Tomo A-12, Expediente 3817Van..29632002963200<br />Auto Repuestos M.A.C c.aLibro DiarioFecha 2010DescripciónRefDebeHaberVienen…2.963.200,002.963.200,00Ene-022Compras1110.100,00Credito Fiscal121.212,00Bancos211.312,00P/R Compra de mercancia según cheque Nº 4402, factura Nº741, con credito fiscalEne-053Bancos219.936,00Ventas1317.800,00Debito Fiscal142.136,00P/R Venta de mercancia al Sr. Julian Lopez, factura Nº 001, según cheque Nº3366, con debito fiscalEne-064Compras115.900,00Credito Fiscal12672,60Descuentos sobre compras15295,00Caja16.277,60P/R Compra de mercancia en la comercial \" El Sol Naciente c.a\" al contado, según factura Nº1174, con descuento del 5% con credito fiscalEne-075Rebajas sobre Ventas16288,75Caja18.300,60Ventas137.700,00Debito Fiscal14889,35P/R Venta de Mercancia al Sr. Luis Gonzalez, según factura Nº 002, con rebaja del 3,75%, con debito fiscalVan…3.009.609,953.009.609,95Vienen…3.009.609,953.009.609,95Ene-106Compras114.500,00Credito Fiscal12540,00Cuentas por pagar175.040,00P/R Compra de mercancia, según factura Nº 2900, en la comercial \" La Quemazon c.a\" Ene-157Cuentas por cobrar187.840,00Ventas137.000,00Debito Fiscal14840,00P/R Venta de Mercancia a la Sra. Rosa Cardenas, según factura Nº 003, a credito con debito fiscal.Ene-158Sueldos y Salarios1910.000,00Bancos210.000,00P/R Pago de sueldos y salarios según cheque Nº711Ene-179Bancos218.500,00Caja118.500,00P/R Deposito Nº 03654Ene-2010Servicios Publicos201.750,00Caja11.750,00P/R Cancela según factura Nº 16876 a cadelaEne-2211Gasto Mant. Vehiculo2131.500,00Credito Fiscal123.780,00Bancos235.280,00P/R Cancelación al taller Multi-Servicios \" El Rapido c.a\" según facftura Nº 9373, con cheque Nº 0196, con credito fiscal.Van…3.088.019,953.088.019,95<br />Vienen…3.088.019,953.088.019,95Ene-2312Honorarios Profesionales22510,00Caja1510,00P/R Cancelación, factura Nº 193, al Ing. Juan PerezEne-2413Bancos 25.500,00Caja15.500,00P/R Deposito Nº 9872Ene-2414Caja116.800,00Ventas1315.000,00Debito Fiscal141.800,00P/R Venta de Mercancia al contado, según factura Nº 004, al almacen \" El Gran Vestir c.a\" Ene-2515Compras116.000,00Credito Fiscal12720,00Bancos 6.720,00P/R Compra de mercancia, según cheque Nº4945, y según factura Nº 3535 al negocio \" Hermanos Sanchez c.a\" Ene-2616Rebajas sobre Ventas162.100,00Bancos 242.448,00Ventas1340.000,00Debito Fiscal144.548,00P/R Venta de Mercancio según factura Nº 005 y según cheque Nº 718, con rebajas del 5,25%Van…3.162.097,953.162.097,95<br />Vienen…3.162.097,953.162.097,95Ene-2717Compras 1120.000,00Credito fiscal122.256,00Rebajas sobre Compras231.200,00Bancos221.056,00P/R Compra de Mercancia según factura Nº 2315 a \" Inverciones La Nube c.a\" según cheque Nº 8891, recibiendo una rebaja del 6%Ene-2818Sueldos y Salarios1910.000,00Bancos210.000,00P/R Cancelación de sueldos y salarios según chque Nº 0403, por concepto de la segunda quincena del mes de EneroEne-3119Debito Fiscal1410.213,35Credito fiscal129.180,60Bancos21.032,75P/R Cierre de debitos y creditos fiscalesFeb-0220Cuentas por Cobrar 1847.936,00Ventas1342.800,00Debito Fiscal145.136,00P/R Venta de Mercancias a credito al Sr. León Jaramillo según factura Nº 006Feb-0221Compras 1120.200,00Credito fiscal122.424,00Cuentas por Pagar1722.624,00P/R Compra de Mercancia a credito en la comercial \" La Gran Rebaja c.a\" según factura Nº1600Van…3.275.127,303.275.127,30Vienen…3.275.127,303.275.127,30Feb-0422Compras1115.300,00Credito Fiscal121.836,00Bancos217.136,00P/R Compra de fotocopiadora en la comercial \" Sony c.a\" segúnfactura Nº298, según cheque Nº8100 Feb-1023Bancos26.427,05Caja16.427,05P/R Deposito Nº 2763, del 35% de los fondos de caja hasta el 31/01Feb-1224Descuentos sobre Ventas24531,76Caja121.300,43Ventas1319.550,00Debito Fiscal142.282,19P/R Venta de Mercancia al contado, la Sra. Garcia, s/f Nº007Feb-1525Sueldos y Salarios1910.000,00Bancos210.000,00P/R Cancelacion de sueldos y salarios S/Ch Nº3092, Primera quincena de FebreroFeb-1526Alquileres pagados por Ant.2549.300,00Bancos249.300,00P/R Cancelacion de alquileres por 1 ño, a la inmobiliaria \" El Techo Seguro c.a\" S/ch Nº 7035Feb-1727Caja133.555,20Cuentas por Cobrar1833.555,20P/R El cobro del 70% de las Ventas a credito del 2 de FebreroVan..3.413.377,743.413.377,74Vienen..3.413.377,743.413.377,74Feb-2028Cuentas por Pagar1720.361,60Caja120.361,60P/R Cancelación del 90% de las Compras a credito del día 2 de FebreroFeb-2529Servicios Publicos20925,00Caja1925,00P/R Cancelación a Hidrosuroeste, según factura Nº 1123Feb-2830Sueldos y Salarios1912.500,00Bancos212.500,00P/R Cancelación de Suedos y Salarios S/Ch Nº415 con 25% de la cantidad cancelada al 15 por la 2da quincena del mes deFebreroFeb-3131Debito Fiscal147.418,19Credito Fiscal124.260,00Bancos23.158,19P/R Cierre de Creditos y Debitos Fiscales del mes de FebreroMar-0132Articulos de Oficina82.300,00Credito Fiscal12276,00Caja12.576,00P/R Compra de articulos de oficina en la comercial \" Moderna c.a\" S/F Nº 1719, con credito fiscalMar-0333Cuentas por cobrar empleados266.500,00Bancos26.500,00P/R Cancelacion al empleado Luis Ramirez S/Ch Nº 0212 por prestamo otorgadoVan…3.463.658,533.463.658,53Vienen…3.463.658,533.463.658,53Mar-0534Descuento sobre Ventas24297,50Bancos218.706,80Ventas1317.000,00Debito Fiscal 142.004,30P/R Venta al Sr. Carlos Sanchez, según factura Nº008, con un descuento del 1,75%, según cheque Nº 7675, con debito fiscal.Mar-1035Compras1110.296,00Credito Fiscal121.192,28Rebajas sobre Compras23360,36Bancos211.127,92P/R Compra de Mercacia en la comercial \" Don Regalón c.a\" según factura Nº 2024 según cheque Nº 2854, con una rebaja del 3,5% y credito fiscalMar-1536Sueldos y Salarios 1912.500,00Bancos212.500,00P/R Cancelación de sueldos y salarios por concepto de la 1era quincena del mes de marzo, según cheque Nº1520Mar-1737Gasto Mantenimiento Edificio2711.950,00Caja111.950,00P/R Cancelación a la constructora \" El Rayo c.a\" por concepto de reparación a la planta fisica, según factura Nº 2111Van…3.518.601,103.518.601,10<br />Vienen…3.518.601,103.518.601,10Mar-1938Bancos212.878,69Caja112.878,69P/R Deposito al banco con fondo de caja al 30% hasta el 15 de Marzo según cheque Nº 1111Mar-2239Caja137.830,24Ventas1333.777,00Debito Fiscal144.053,24P/R Venta de Mercancia a la comercial \" El Parque c,a\" según factura Nº009Mar-2940Sueldos y Salarios1912.500,00Bancos212.500,00P/R Cancelación de los sueldos y salarios por concepto de la 2da quincena del mes de Marzo, según cheque Nº 4500Mar-3141Debito Fiscal146.057,54Credito Fiscal121.468,28Caja14.589,26P/R El cierre de creditos y debitos fiscales del mes de marzoAbr-0142Descuentos sobre Ventas24760,00Caja120.428,80Ventas1319.000,00Debito Fiscal142.188,80P/R Venta de Mercancia según factura Nº 010, al Sr. Carlos Suarez, con un descuento del 4%, con debito fiscalVan…3.609.056,373.609.056,37Vienen…3.609.056,373.609.056,37Abr-0243Rebajas sobre Ventas16935,00Cuentas por Cobrar1817.992,80Ventas 1317.000,00Debito Fiscal141.927,80P/R Venta de Mercancia a credito según factura Nº 001 a la Sra. Rosa Perez, con una rebaja del 5,5% con Debito FiscalAbr-0444Compras1111.500,00Credito Fiscal121.338,60Descuentos sobre Compras15345,00Caja112.493,60P/R Compra de Mercancia en la comercial \" La Mejor c.a\" según factura Nº 9288 con un descuento del 3% con credito fiscalAbr-1045Cuentas por cobrar 1826.376,00Ventas1323.550,00Debito Fiscal142.826,00P/R Venta de Mercancia al Sr. Gerardo Cantor a credito, según factura Nº 012Abr-1146Caja142.150,36Cuentas por cobrar 1842.150,36P/R Cancelacion del 95% de las factura a credito del día 2 y 10 de AbrilAbr-1447Honorarios Profesionales227.777,00Bancos27.777,00P/R Cancelación al Ing. Diego Garcia por concepto de mantenimiento de los equipos de computación según cheque Nº 1212, según factura Nº2121Van..3.717.126,133.717.126,13Vienen…3.717.126,133.717.126,13Abr-1648Sueldos y Salarios1912.500,00Bancos212.500,00P/R Sueldos y Salarios correspondientes a la primera quincena del mes de abril según cheque Nº 2505Abr-1749Compras 1146.000,00Credito Fiscal125.361,02Descuentos sobre Compras151.324,80Cuentas por Pagar1750.036,22P/R Compra de Mercancia a credito en la comercial \" El Ofertón del Día c.a\" según factura Nº 6615 y con un descuento del 2,88% con credito fiscalAbr-1750Descuentos sobre Ventas24887,50Cuentas por Cobrar1878.526,00Ventas1371.000,00Debito Fiscal148.413,50P/R Venta de Mercancia a la comercial \" El Buen Vivir c.a\" a credito fiscal con un descuento de 1,25%, con debito fiscal, según factura Nº 0313 Abr-2051Bancos277.223,93Cuentas por Cobrar1877.223,93P/R La cancelación del 75% de las facturas pendientes de cobro Según cheque Nº 2354 y 6697Van…3.937.624,593.937.624,59Vienen…3.937.624,593.937.624,59Abr-2352Articulos de Limpieza17355,00Caja1355,00P/R La cancelación el abastp \" El Rayo c.a\" una factura Nº5574 pendiente de pago por concepto de articulos de limpieza y pulimentoAbr-2553Cuentas por Pagar31.340,99Bancos31.340,99P/R la cancelación de todas las facturas pendientes de pago del 55% S/CH Nº 3366, 3370 y 3371Abr-2654Cuentas por cobrar accionistas16.000,00Bancos16.000,00P/R Prestamo al accionistas Sra. Carla Lucia Mendez Salcedo, S/CH Nº4484Abr-2955Bancos18.816,00Caja12.544,00Ventas28.000,00Debito Fiscal3.360,00P/R Venta de Mercancia según factura Nº 014 con 60% de Banco S/ch Nº 4994, 40% en efectivoAbr-3056Sueldos y Salarios13.125,00Bancos13.125,00P/R Cancelación de Sueldos y Salarios por concepto de la 2da quincena del mes de Abril, con un aumento del 5%Van…4.029.805,584.029.805,58Vienen…4.029.805,584.029.805,58Abr-3157Debito Fiscal18.716,10Credito Fiscal6.699,62Bancos12.016,48P/R el cierre de los debitos y los creditos fiscales del mes de abrilMay-0158Caja161.600,00Ventas1355.000,00Debito Fiscal146.600,00P/R venta de mercancia al contado y en efectivo S/F N° 015 al Sr. Carlos MezaMay-0359Inversiones temporales 308.500,00Caja 18.500,00P/R compra de accion del Club Tennis con un valor nominal de 25000 N° de la accion 099 perteneciente a la Sra. Juana Urgencias.May-0660Bancos266.686,33Caja166.686,33P/R deposito en el banco del 40% del efectivo en caja para ese dia S/D N° 5959May-0861Construccion en proceso31175.000,00Credito Fiscal1221.000,00Caja13.500,00Bancos238.500,00Efectos por pagar32154.000,00P/R La compra de un galpon en construccion en la zona industrial de Paramillo S/Doc. N° 147-145, el 20% en cheque y con una letra de cambio.Van…4.381.308,014.381.308,01Vienen…4.381.308,014.381.308,01May-1062Bancos262.720,00Ventas1356.000,00Debito Fiscal146.720,00P/R Venta de mercancias al contado S/CH N° 6061 al Sr. Pedro Consolacion S/F N°016May-1263Compras 1111.000,00Credito Fiscal121.320,00Caja 112.320,00P/R Compra de mercancia para la venta a credito S/F N° 27875 a la compañía \" El Gran Remate c.a\" May-1564Sueldos y Salarios1913.125,00Bancos213.125,00P/R Cancelación de Sueldos y Salarios por concepto de la 1era quincena del mes S/CH N° 9988May-1665Publicidad y Propaganda 331.200,00Credito Fiscal12144,00Caja11.344,00P/R Cancelacioón de aviso publicitario a la empresa \" El Gran Pincel c.a\" S/F Nº11323May-1966Caja13.250,00Cuentas por cobrar empleado263.250,00P/R El pago del 50% del prestamo otorgado al empleado Luis Ramirez.Van…4.474.067,014.474.067,01Vienen…4.474.067,014.474.067,01May-2667Herramientas de trabajo 346.850,00Credito fiscal12822,00Banco27.672,00P/R Compra de herramientas de trabajo en la ferreteria \" El Pico Moderno c.a\" S/CH N° 2369 y S/F N 6635May-2968Banco2112.000,00Ventas13100.000,00Debito fiscal1412.000,00P/R Venta de mercancia S/F N° 017 a la Sra. Ana Marquez, S/CH N 6850May-3169Sueldos y Salarios 1913.125,00Banco213.125,00P/R Cancelacion de la 2da quincena del mes de mayo S/Ch N° 3256May-3170Debito fiscal25.320,00Credito fiscal23.286,00Banco2.034,00P/R El cierre de los debitos y los creditos fiscales del mes de mayo.Jun-0271Caja122.400,00Ventas1320.000,00Debito fiscal142.400,00P/R venta de mercancia al Sr. Oscar Agudo S/F N° 018Van…4.654.584,014.654.584,01Vienen…4.654.584,014.654.584,01Jun-0372Banco2187.500,00Intereses Pagados por Anticipado3510.500,00Comisiones Bancarias362.000,00Prestamo Bancario por pagar37200.000,00P/R Credito otorgado por el banco \" El Tesoro del Dia c.a\" cancelando los intereses, el 1% de comisiones y lo demas queda en el banco.Jun-0573Compras1129.500,00Credito Fiscal123.540,00Rebajas sobre Compras232.000,00Banco231.040,00P/R Compra de Mercancia al contado S/CH Nº 5414 al Almacen \" La Mansión de La Rebaja c.a\" S/F Nº 2333 con una rebaja del Jun-0874Cuentas por Cobrar1817.360,00Ventas 1315.500,00Debito Fiscal141.860,00P/R Venta de Mercancia a credito S/F Nº 019 a la Sra. Claudia BuendiaJun-1075Banco 235.810,11Caja135.810,11P/R Deposito en el Banco S/CH Nª 19999 Con el 33% de fondos de CajaJun-1376Articulos de Limpieza28200,00Credito Fiscal1224,00Caja1224,00P/R Compra en efectivo Art. De Limpieza S/F Nº 0655Van…4.941.018,124.941.018,12Vienen…4.941.018,124.941.018,12Jun-1577Sueldos y Salarios 1915.093,75Banco215.093,75P/R Se cancelan sueldos y salarios con un aumento del 15% a la ultima quincena canceladaJun-1978Caja14.000,00Cuentas por Cobrar Accionistas294.000,00P/R El socio Carla Lucia Mendez Salcedo cancela el 25% del prestamoJun-2079Cuentas por Cobrar Empleados265.000,00Banco25.000,00P/R Prestamo solicitado a la Empleada Maria Contreras S/CH Nº 2444Jun-2680Gastos de Representación3813.000,00Credito Fiscal121.560,00Banco214.560,00P/R Cancelacion a la agencia de Viajes \" El Avion de Papel c.a\" S/CH Nº 2672, por concepto de Boletos Aereos de la Junta Directiva S/F Nº 7227Jun-2781Caja110.416,00Cuentas por Cobrar1810.416,00P/R Se cobra el 60% de la factura del día 8 de JunioJun-2882Servicios Publicos205.750,00Caja15.750,00P/R Cancelacion a Cadela S/F Nº 2674Van…4.995.837,874.995.837,87Vienen…4.995.837,874.995.837,87Jun-2983Sueldos y Salarios1915.093,75Banco215.093,75P/R Cancelacion de segunda quincena del mes de JunioJun-3084Debito Fiscal144.260,00Banco2864,00Credito Fiscal125.124,00P/R Cierre de los debitos y los creditos fiscales del mes de JunioJul-0185Compras 1140.288,00Credito Fiscal124.721,91Descuentos sobre Compras15938,71Cuentas por Pagar1744.071,20P/R Compra de Mercancia a credito en la comercial La Oferta Redonda S/F Nº2570 con un descuento del 2,33%Jul-0286Descuentos sobre Ventas 243.067,51Cuentas por Cobrar1873.942,95Ventas 1369.088,00Debito Fiscal147.922,46P/R Venta de Mercancia al Sr. Pedro Perdomo a credito S/F Nº 020 con un descuento del 4,44%Jul-0587Gastos Articulos Varios39948,00Credito Fiscal12113,76Caja11.061,76P/R Cancelacion S/F Nº 3021 a la Librería \" el Buen Lector c.a\" por concepto de Articulos VariosVan…5.139.137,765.139.137,76Vienen…5.139.137,765.139.137,76Jul-0888Articulos de Limpieza28723,00Credito Fiscal1286,76Caja1809,76P/R Cancelacion S/F Nº7755 por concepto de Articulos de Limpieza al Abasto \" Las 3 esquinas c.a\" Jul-1089Cuentas por Pagar 1710.288,00Banco210.288,00P/R Cancelacion de facturas pendientes de pago en la empresa S/CH Nº 2266Jul-1190Cuentas por Cobrar Accionistas2920.288,00Banco220.288,00P/R Prestamo al Accionista Mendez Salcedo Carla Lucia S/CH Nº7878Jul-1291Rebajas sobre Ventas16525,00Caja19.680,16Ventas139.168,00Debito Fiscal141.037,16P/R Venta de Mercancia a la Sra. Nicolasa Ramirez S/F Nº 021Jul-1592Sueldos y Salarios 1915.093,75Banco215.093,75P/R Primera quincena del mes de Julio S/CH Nº7989Jul-1893Caja130.288,00Cuentas por Cobrar1830.288,00P/R Cobro en Efectivo abono del día 02/07Van…5.226.110,435.226.110,43Vienen…5.226.110,435.226.110,43Jul-2094Cuentas por Pagar1722.035,60Banco222.035,60P/R Cancelacion del 50% de la factura del día 01-07 S/CH Nº 6698Jul-2595Banco 222.843,00Caja122.843,00P/R Deposito al banco con fondos de Caja -S/D Nº 33548Jul-3096Caja12.788,00Cuentas por Cobrar Empleados262.788,00P/R Cancelacion de Prestamo a empleados en efectivoJul-3197Sueldos y Salarios 1915.593,75Banco215.593,75P/R La segunda quincena del mes de julio con un aumento de 500bsJul-3198Debito Fiscal148.959,62Credito Fiscal124.922,43Banco24.037,18P/R El cierre de los debitos y los creditos fiscales de mes de Julio.Ago-0199Caja127.874,56Ventas1324.888,00Debito Fiscal142.986,56P/R Venta de Mercancia al Contado S/F Nº 022 a la Sra. Luisa PerezVan…5.326.204,965.326.204,96Vienen…5.326.204,965.326.204,96Ago-03100Terreno765.288,00Credito Fiscal127.834,56Caja14.600,00Banco 230.000,00Efectos por Pagar3238.522,56P/R Compra de Terreno en la zona industrial de Puente Real S/D Nº 356988978, con una parte en efectivo, con cheque y un pagareAgo-05101Banco 230.615,90Caja130.615,90P/R Deposito en el Banco el 25% de fondo de caja S/D Nº 446674Ago-09102Descuentos sobre Ventas242.093,18Banco 247.963,80Ventas1344.918,00Debito Fiscal145.138,98P/R Venta de Mercancia al contado S/CH Nº 023 al Sr. Carlos Quintero, con un descuento del 4,66%Ago-12103Compra 1113.278,00Credito Fiscal121.593,36Banco 214.871,36P/R Compra de Mercancia S/F Nº 3878 a la Inversora \" Don Regalon y Dinosaurio c.a\" S/CH Nº 77878Ago-16104Sueldos y Salarios1915.593,75Banco 115.593,75P/R Cancelacion de la primera quincena del mes de agosto S/CH Nº 8782Van…5.510.465,505.510.465,50Vienen…5.510.465,505.510.465,50Ago-22105Comisiones sobre Ventas407.238,00Banco27.238,00P/R Cancelacion al Sr. Guaicaipuro Torres por comisiones sobre ventas S/CH Nº 01069Ago-26106Herramientas de Trabajo 347.978,00Credito Fiscal12957,36Caja13.275,36Banco25.660,00P/R Compra en Madeco de herramientas de trabajo S/F Nº 33478Ago-29107Caja 112.000,00Banco223.535,36Ventas1331.728,00Debito Fiscal143.807,36P/R Venta de Mercancia al almacen \" La Quemazon c.a\" S/F Nº 024, S/CH Nº80084Ago-31108Sueldos y Salarios1915.593,75Banco215.593,75P/R Cancelacion de sueldos de la Segunda quincena del mes de Agosto S/CH Nº 78888Ago-31109Debito Fiscal1411.932,90Credito Fiscal1210.385,28Banco21.547,62P/R el cierre de los debitos y creditos fiscales S/D Nª 574142Van…5.589.700,875.589.700,87Vienen…5.589.700,875.589.700,87Sep-01110Caja 116.562,56Ventas1314.788,00Debito Fiscal141.774,56P/R Venta de Mercancia al Sr. Francisco Parra S/F Nª 025Sep-05111Compras1110.238,00Credito Fiscal121.204,56Rebajas sobre Compras23200,00Banco211.242,56P/R Compra de Mercancia S/CH Nº 030303 en el Almacen La Mansion de La Rebaja c.a S/F Nº 43055 con una RebajaSep-08112Cuentas por Cobrar1819.228,16Ventas1317.168,00Debito Fiscal142.060,16P/R Venta de Mercnacia a credito S/F Nº 026 a Inversiones El Cielo AzulSep-10113Banco217.570,23Caja 117.570,23P/R Deposito Nº 090789 el 15% de los fondos de Caja al día 08/09Sep-12114Articulos de Limpieza28783,00Credito Fiscal1215,66Caja 1798,66P/R Compra de Art de Lipieza en el abasto 3 esquinas S/F N 6655Van…5.655.303,045.655.303,04Vienen…5.655.303,045.655.303,04Sep-14115Publicidad y Propaganda 332.648,00Credito Fiscal12317,76Caja12.965,76P/R Cancelacion a la emisora La Voz del Mundo por concepto d Cuña publicitaria por un añoSep-15116Sueldos y Salarios1915.593,75Banco215.593,75P/R La primera quincena del mes de septiembre S/F N 806047Sep-18117Caja132.288,00Cuentas por cobrar accionistas2932.288,00P/R el pago de todas las deudas de los accionitas en efectivoSep-20118Caja15.462,00Cuentas por cobrar empleados265.462,00P/R el pago de la totalidad de todas las deudas de los empleadosSep-26119Caja138.227,37Cuentas por Cobrar1838.227,37P/R La cancelacion del 40% de todas las cuentas por cobrarSep-27120Servicios Publicos203.288,00Caja13.288,00P/R Cacelacion a Cantv S/F N 001478Sep-28121Banco2126.367,20Caja1126.367,20P/R Deposito del 75% de fondos de caja a l dia 27/9van…5.879.495,125.879.495,12Vienen…5.879.495,125.879.495,12Sep-31122Sueldos y Salarios1917.932,81Banco217.932,81P/R La segunda quincena del mes de septiembre con un aumento de 15% S/CH N 098Sep-31123Debito fiscal143.834,72Credito fiscal121.537,98Banco22.296,74P/R el cierre de los debitos y creditos fiscales del mes de septiembreOct-01124Descuentos sobre Ventas2411.020,50Bancos2300.137,04Ventas13279.000,00Debito fiscal1432.157,54P/R Venta de Mercancia al almacen El Gran Balon con un descuento del 3,95% S/CH N 028854 S/F N 027Oct-05125Almacenaje sobre Compras417.500,00Seguros sobre Compras4213.000,00Fletes sobre Compras4320.700,00Acarreos sobre Compras441.150,00Credito fiscal125.082,00Caja11.150,00Banco246.282,00P/R Cancelacion de algunas facturas S/CH N 0211 0213 0214 S/F N 849Van…6.259.852,196.259.852,19Vienen…6.259.852,196.259.852,19Oct-09126Rebaja sobre Ventas162.176,20Banco284.922,66Ventas1378.000,00Debito Fiscal149.098,86P/R Venta de Mercancia S/F N 028 a la Sra. Juana Cubana S/CH N 07828 y con rebaja del 2,79%Oct-15127Servicios Publicos203.500,00Caja13.500,00P/R Cancelacion de Cantv S/F N 7894Oct-16128Sueldos y Salarios 1417.932,81Banco217.932,81Oct-18129Rebaja sobre Ventas162.379,00Banco 286.151,52Ventas1379.300,00Debito Fiscal149.230,52P/R Venta de Mercancia al Sr. Justo Suarez S/F N 029 S/CH N 27889 rebaja del 3,55%Oct-20130compras1125.000,00Credito Fiscal122.910,00Descuentos sobre Compras15750,00Bancos227.160,00P/R Compra de Mercancia al almacen Rayo c.a S/F N 7788 S/CH N 7789 descuento del 3%Van…6.484.824,386.484.824,38Vienen…6.484.824,386.484.824,38Oct-24131Compras1122.000,00Credito Fiscal122.593,80Descuentos sobre Compras15385,00Bancos224.208,80P/R Compra de Mercancia al Sr. Carlos Mora al S/F N 31327 A/CH N 70998 con 1,75Oct-25132Banco28.894,48Caja18.894,48P/R Deposito al banco con fondos de caja 20% S/D N 3894154Oct-28133Compras 1123.500,00Credito Fiscal122.776,29Descuentos sobre Compras15364,25Banco225.912,04P/R Compra Mercancia al Sr. Juan Paz S/CH N 32111 con un descuento de 1,55%Oct-30134Sueldos y Salarios 1917.932,81Banco217.932,81P/R Cancelacion de los sueldos del mes de octubre S/CH N 99127Oct-31135Debito Fiscal1450.486,92Credito Fiscal1213.362,09Banco237.124,83P/R El cierro de los debitos y creditos fiscales del mes de octubreVan…6.613.008,686.613.008,68Vienen…6.613.008,686.613.008,68Nov-02136Rebajas sobre Ventas162.100,00Banco281.648,00 Ventas1375.000,00Debito Fiscal148.748,00P/R Venta de Mercancia al contado S/F N 030 a la Sra. Yadira Chacon con una rebaja del 2,80%Nov-05137Compras 1125.500,00Credito Fiscal123.029,40Descuentos sobre compras15255,00Bancos228.274,40P/R Compra de Mercancia S/CH N 99328 al Comercial BMW c.a con un descuento del 1%Nov-12138Rebajas sobre Ventas162.745,75Bancos284.788,76Ventas 1378.450,00Debito Fiscal149.084,51P/R Venta de Mercancia S/CH N 09819 al Sr. Jorge Toloza S/F N 031 descuento del 3,5%Nov-14139Servicios Publicos204.400,00Caja14.400,00P/R Cancelacion a Cadela en efectivo S/F N 9998Nov-15140Sueldos y Salarios1917.932,81Bancos217.932,81P/R Cancelacion de la primera quincena del mes de Noviembre S/CH N 77894Van…6.835.153,406.835.153,40Vienen…6.835.153,406.835.153,40Nov-17141Bancos24.835,58Caja14.835,58P/R Deposito con el 20% de los fondos de caja al 15/10 S/D N2293471Nov-22142Compras 1123.220,00Credito Fiscal122.743,21Descuentos sobre compras15359,91Bancos225.603,30P/R Compra de Mercancia al Sr. Pepe Juan Al contado S/F N 99731 S/CH N 7895220 con descuento del 1,55%Nov-25143Rebajas sobre Ventas162.400,00Bancos286.912,00Ventas 1380.000,00Debito Fiscal149.312,00P/R Venta de Mercancia Al Dr. Mesias Diaz con dsto del 3% S/CH N 3901 S/F N 032Nov-28144Compras 1124.000,00Credito Fiscal122.822,40Descuentos sobre compras15480,00Bancos226.342,40P/R Compra de Mercancia al contado S/CH B 892756 S/F 787 descuento del 2% a la Sra. Yadira ChaconNov-31145Sueldos y Salarios 1917.932,81Bancos217.932,81P/R La cancelacion de la segunda quincena del mes de noviembrevan…7.000.019,407.000.019,40Vienen…7.000.019,407.000.019,40Nov-31146Debito Fiscal1427.144,51Credito Fiscal128.595,01Bancos218.549,50P/R El cierre de ka debitos y creditos fiscalesDic-03147Rebajas sobre Ventas162.340,00Bancos284.739,20Ventas1378.000,00Debito Fiscal149.079,20P/R Venta de Mercancia al Sr. Luis David con una rebaja del 3% S/F N 033Dic-06148Compras 1124.000,00Credito Fiscal122.822,40descuentos sobre compras15480,00Bancos226.342,40P/R Compra a la Sra. Maria Jordans al contado S/CH N34147 S/F N 1233 con un dsto del 2%Dic-11149Rebajas sobre Ventas161.747,50Bancos282.042,80Ventas1375.000,00Debito Fiscal148.790,30P/R Venta de Mercancia al Almacen El Motor Feliz c.a S/F N 034 S/CH N 3234 con una rebaja de 2,33%Dic-15150Servicios Publicos 204.000,00Caja14.000,00P/R Cancelaciona hidrosuroeste c.a S/F N 321Van…7.228.855,817.228.855,81Vienen…7.228.855,817.228.855,81Dic-16151Sueldos y Salarios1919.726,09Bancos219.726,09P/R Cancelacion de la primera quincena del mes de diciembre con un aumento del 10%Dic-19152Bancos24.668,47Caja14.668,47P/R Deposito del 20% de los fondos de caja al 16/12 S/D N 32111Dic-24153Compras1119.000,00Credito Fiscal122.245,80Descuentos sobre Compras15285,00Bancos220.960,80P/R Compra de mercancia al contado Sra. Maria Petra S/CH N 3321 y S/F N 2912 con dsto del 1,50%Dic-27154Rebajas sobre Ventas163.100,00Bancos283.328,00Ventas1377.500,00Debito Fiscal148.928,00P/R Venta de mercancia al Sr. Cristofer Escalante S/CH N 3212 S/F N 212121 con una rebaja del 4%Dic-29155Compras1121.000,00Credito Fiscal122.494,80Descuentos sobre Compras15210,00Bancos223.284,80P/R Compra de mercancia a la Sra. Petronila Manrique S/F N 8713 S/CH N9999 -con dsto del 1%Van…7.384.418,977.384.418,97Vienen…7.384.418,977.384.418,97Dic-31156Sueldos y Salarios1919.726,09Bancos219.726,09P/R Cancelacion de la segunda quincena del mes de diciembreDic-31157Debito Fiscal1426.797,50Credito Fiscal127.563,00Bancos219.234,50P/R Cierre de los debitos y los creditos fiscales del mes de diciembreDic-31158Alquileres Gastos4543.137,50Alquileres Pagados por Ant.2543.137,50P/R El consumo de meses del 15-02-2010 al 31-12-2010Dic-31159Intereses Gastos466.125,00Intereses Pagados por Ant.356.125,00P/R El consumo de los meses de 03-06-2010 al 31-12-2010Dic-31160Sueldos y Salarios193.890,00Sueldos y Salarios por Pagar473.890,00P/R Paga sueldos y salarios pendientes de pago al 31-12-2010Dic-31161Prestaciones sociales gasto4859.357,91Prestaciones sociales por pagar4959.357,91P/R Pago de prestaciones del 1-1-2010 al 31-12-2010Dic-31162Articulos de Oficina Gasto 501.140,00Articulos Gasto511.140,00P/R El consumo al 31-12-2010Van…7.544.592,977.544.592,97Vienen…7.544.592,977.544.592,97Dic-31163Provision para Cuentas Inco.522.781,04Cuentas por cobrar182.781,04P/R provision al 31-12-2010 por el 4,85%Dic-31164Dep. gasto Edificio5315.283,00Dep. acum. Edificio5415.283,00P/R La depreciacion de edificio al 31-12-2010Dic-31165Dep. gasto Mobiliario559.000,00Dep. gasto Maquinaria56900,00Dep. gasto Vehiculo5732.400,00Dep. gasto Art de Oficina58342,00Dep. gasto Equipos de Comp.5931.500,00Dep gasto Herramientas Trabajo60889,68Dep. gasto Art. Limpieza61123,66Dep. acum Mobiliario629.000,00Dep. acum Maquinaria63900,00Dep. acum Vehiculo6432.400,00Dep . Acum Art de Oficina65342,00Dep. acum Equipos de Compu.6631.500,00Dep. acum Herramientas Trab.67889,68Dep. acum Art. Limpieza68123,66P/R La depreciacion de todos los demas activos por el 6%Van…Vienen…Dic-31166Costo de Ventas69124.380,97Inventario final de Mercancia 71369.056,00Rebajas sobre Compras233.760,36Descuentos sobre Compras156.472,67Inventario Inicial de Mercancia 720,00Compras11461.320,00Fletes sobre Compras 4320.700,00Acarreos sobre Compras441.150,00Seguros sobre Compras4213.000,00Almacenajes sobre Compras417.500,00P/R Cierre de las cuentas nominales del costo por el cierre del ejercicioDic-31167Costo de Ventas69658.772,23Sueldos y Salarios 19360.037,48Gastos Mantenimiento Vehiculo2131.500,00Gastos Mantenimiento Edificio2711.950,00Servicios Publicos 2023.613,00Honorarios Profesionales228.287,00Comisiones Bancarias362.000,00Gastos de Representacion3813.000,00Gastos Articulos Varios39948,00Comisiones sobre Ventas407.238,00Alquileres Gastos4543.137,50Intereses Gastos466.125,00Prestaciones sociales Gasto4859.357,91Articulos de Oficina Gastos501.140,00Dep. Gasto Edificio5315.283,00Dep. gasto mobiliario559.000,00Dep. gasto maquinaria 56900,00Dep. gasto vehiculo 5732.400,00Depr. gasto art. De Oficina58342,00Depr. gasto Equi. de compu5931.500,00Depr. Gasto Herra. De trabajo60889,68Depr. Gasto Art. De Limp.61123,66P/R cierre de las cuentas nominales gasto por cierreVan…Vienen…Dic-31168Ganancias y Perdidas70783.153,20Costo de Ventas69783.153,20P/R El costo y apertura del ganancias y perdidasDic-31169Ventas111.717.673,00Rebajas sobre Ventas1622.837,20Descuentos sobre Ventas2418.657,95Ganancias y Perdidas701.676.177,85P/R El cierre de las cuentas nominales de ingreso170Ganancias y Perdidas70893.024,65Utilidad del Ejercicio73893.024,65P/R El cierre del ejercicio al 2010<br />Libro Mayor<br />Caja<br />Caja(1)Fecha 2010DescripciónRefDebeHaberSaldoEne-01Según libro diario1/12580025800Ene-06Según libro diario4/26277,619522,4Ene-07Según libro diario5/28300,627823Ene-17Según libro diario9/3185009323Ene-20Según libro diario10/317507573Ene-23Según libro diario12/35107063Ene-24Según libro diario13/455001563Ene-24Según libro diario14/41680018363Feb-10Según libro diario23/66427,0511935,95Feb-12Según libro diario24/621300,428833236,38Feb-17Según libro diario27/733555,266791,58Feb-20Según libro diario28/720361,646429,98Feb-25Según libro diario29/792545504,98Mar-01Según libro diario32/8257642928,98Mar-17Según libro diario37/91195030978,98Mar-19Según libro diario38/912878,6918100,29Mar-22Según libro diario39/1037830,2455930,53Mar-31Según libro diario41/104589,2651341,27Abr-01Según libro diario42/1020428,871770,07Abr-04Según libro diario44/1112493,659276,47Abr-11Según libro diario46/1142150,36101426,83Abr-23Según libro diario52/13355101071,83Abr-29Según libro diario55/1412544113615,83May-01Según libro diario58/1461600175215,83May-03Según libro diario59/158500166715,83May-06Según libro diario60/1566686,33100029,50May-08Según libro diario61/15350096529,50May-12Según libro diario63/161232084209,50May-16Según libro diario65/16134482865,50May-19Según libro diario66/16325086115,50Jun-02Según libro diario71/1722400108515,50Jun-10Según libro diario75/1835810,1172705,38Jun-13Según libro diario76/1922472481,38Jun-19Según libro diario78/19400076481,38Jun-27Según libro diario81/201041686897,38Jun-28Según libro diario82/20575081147,38Jul-05Según libro diario87/211061,7680085,62Jul-08Según libro diario88/21809,7679275,86Jul-12Según libro diario91/229680,1688956,02Jul-18Según libro diario93/2230288119244,02Jul-25Según libro diario95/222284396401,02Jul-30Según libro diario96/23278899189,02Ago-01Según libro diario99/2327874,56127063,58Ago-03Según libro diario100/234600122463,58Ago-05Según libro diario101/2430615,9091847,69Ago-26Según libro diario106/253275,3688572,33Ago-29Según libro diario109/2512000100572,33Sep-01Según libro diario110/2516562,56117134,89Sep-10Según libro diario113/2617570,2399564,65Sep-12Según libro diario114/26798,6698765,99Sep-14Según libro diario115/262965,7695800,23Sep-18Según libro diario117/2732288128088,23Sep-20Según libro diario118/275462133550,23Sep-26Según libro diario119/2738227,37171777,60Sep-27Según libro diario120/273288168489,60Sep-28Según libro diario121/27126367,2042122,40Oct-05Según libro diario125/28115040972,40Oct-15Según libro diario127/29350037472,40Oct-25Según libro diario132/308894,4828577,92Nov-14Según libro diario139/31440024177,92Nov-17Según libro diario144/324.835,5819342,34Dic-15Según libro diario150/34400015342,34Dic-19Según libro diario152/354668,4710673,87<br />Bancos:<br />Bancos(2)Fecha 2010DescripciónRefDebeHaberSaldoEne-01Según libro diario1/1155000155000Ene-02Según libro diario2/111312143688Ene-05Según libro diario3/119936163624Ene-15Según libro diario8/310000153624Ene-17Según libro diario9/318500172124Ene-22Según libro diario11/335280136844Ene-24Según libro diario13/45500142344Ene-25Según libro diario15/46720135624Ene-26Según libro diario16/442448178072Ene-27Según libro diario17/521056157016Ene-28Según libro diario18/510000147016Ene-31Según libro diario19/51032,75145983,25Feb-04Según libro diario22/617136128847,25Feb-10Según libro diario23/66427,05135274,3Feb-15Según libro diario25/610000125274,3Feb-15Según libro diario26/74930075974,3Feb-28Según libro diario30/71250063474,3Feb-31Según libro diario31/83158,1960316,11Mar-03Según libro diario33/8650053816,11Mar-05Según libro diario34/818706,872522,91Mar-10Según libro diario35/911127,9261394,99Mar-15Según libro diario36/91250048894,99Mar-19Según libro diario38/912878,6961773,68Mar-29Según libro diario40/101250049273,68Abr-14Según libro diario47/12777741496,68Abr-16Según libro diario48/121250028996,68Abr-20Según libro diario51/1377223,93106220,61Abr-25Según libro diario53/1331340,9974879,62Abr-26Según libro diario54/131600058879,62Abr-29Según libro diario55/141881677695,62Abr-30Según libro diario56/141312564570,62Abr-31Según libro diario57/1412016,4852554,15May-06Según libro diario60/1566686,3302119240,48May-08Según libro diario61/153850080740,48May-10Según libro diario62/1562720143460,48May-15Según libro diario64/1613125130335,48May-26Según libro diario67/167672122663,48May-29Según libro diario68/17112000234663,48May-31Según libro diario69/1713125221538,48May-31Según libro diario70/172034219504,48Jun-03Según libro diario72/18187500407004,48Jun-05Según libro diario73/1831040375964,48Jun-10Según libro diario75/1835810,11411774,59Jun-15Según libro diario77/1915093,75396680,84Jun-20Según libro diario79/195000391680,84Jun-26Según libro diario80/1914560377120,84Jun-29Según libro diario83/2015093,75362027,09Jun-30Según libro diario84/20864362891,09Jul-10Según libro diario89/2110288352603,09Jul-11Según libro diario90/2220288332315,09Jul-15Según libro diario92/2215093,75317221,34Jul-20Según libro diario94/2222035,60295185,74Jul-25Según libro diario95/2222843318028,74Jul-31Según libro diario97/2315593,75302434,99Jul-31Según libro diario98/234037,18298397,81Ago-03Según libro diario100/2330000268397,81Ago-05Según libro diario101/2430615,90299013,70Ago-09Según libro diario102/2447963,80346977,50Ago-12Según libro diario103/2414871,36332106,14Ago-16Según libro diario104/2415593,75316512,39Ago-22Según libro diario105/247238309274,39Ago-26Según libro diario106/255660303614,39Ago-29Según libro diario107/2523535,36327149,75Ago-31Según libro diario108/2515593,75311556,00Ago-31Según libro diario109/251547,62310008,38Sep-05Según libro diario111/2611242,56298765,82Sep-10Según libro diario113/2617570,233316336,06Sep-15Según libro diario15593,75300742,31Sep-28Según libro diario121/27126367,202427109,51Sep-31Según libro diario122/2817932,81409176,70Sep-31Según libro diario123/282296,74406879,96Oct-01Según libro diario124/28300137,04707017,00Oct-05Según libro diario125/2846282660735,00Oct-09Según libro diario126/2984922,66745657,65Oct-16Según libro diario128/2917932,81727724,84Oct-18Según libro diario129/2986151,52813876,36Oct-20Según libro diario130/2927160786716,36Oct-24Según libro diario131/3024208,8762507,56Oct-25Según libro diario132/308894,48771402,04Oct-28Según libro diario133/3025912,04745490,00Oct-30Según libro diario134/3017932,81727557,19Oct-31Según libro diario135/3037124,83690432,37Nov-02Según libro diario136/3181648772080,37Nov-05Según libro diario137/3128274,4743805,97Nov-12Según libro diario138/3184788,76828594,73Nov-15Según libro diario140/3217.932,81810661,92Nov-17Según libro diario141/324.835,58815497,50Nov-22Según libro diario142/3225.603,30789894,20Nov-25Según libro diario143/3286.912,00876806,20Nov-28Según libro diario144/3226.342,40850463,80Nov-31Según libro diario145/33017.932,81832530,99Nov-31Según libro diario146/3318549,50813981,49Dic-03Según libro diario147/3384739,2898720,69Dic-06Según libro diario148/3426342,4872378,29Dic-11Según libro diario149/3482042,8954421,091Dic-16Según libro diario151/3419726,09934695,00Dic-19Según libro diario152/354668,47939363,47Dic-24Según libro diario153/3520960,8918402,67Dic-27Según libro diario154/35833281001730,67Dic-29Según libro diario155/3523284,8978445,871Dic-31Según libro diario156/3619726,09958719,781Dic-31Según libro diario157/3619234,5939485,28<br />Mobiliario:<br />Mobiliario(3)Fecha 2010DescripciónRefDebeHaberSaldoEne-01Según libro diario1/1150000150000<br />Vehículos:<br />Vehiculos(4)Fecha 2010DescripciónRefDebeHaberSaldoEne-01Según libro diario1/1540000540000<br />Maquinaria:<br />Maquinaria(5)Fecha 2010DescripciónRefDebeHaberSaldoEne-01Según libro diario1/11500015000<br />Edificio:<br />Edificio(6)Fecha 2010DescripciónRefDebe HaberSaldoEne-01Según libro diario1/1899000899000<br />Terreno:<br />Terreno(7)Fecha 2010DescripciónRefDebeHaberSaldoEne-01Según libro diario1/1650000650000Ago-03Según libro diario100/2365288715288<br />Artículos de Oficina:<br />Articulos de Oficina(8)Fecha 2010DescripciónRefDebeHaberSaldoEne-01Según libro diario1/134003400Mar-01Según libro diario32/823005700<br />Equipos de Computación:<br />Equipos de Computación(9)Fecha 2010DescripciónRefDebeHaberSaldoEne-01Según libro diario1/1525000525000<br />Capital Social:<br />Capital Social(10)Fecha 2010DescripciónRefDebeHaberSaldoEne-01Según libro diario1/129632002963200<br />Compras:<br />Compras(11)Fecha 2010DescripciónRefDebeHaberSaldoEne-02Según libro diario2/110.100,0010.100,00Ene-06Según libro diario4/25.900,0016.000,00Ene-10Según libro diario6/24.500,0020.500,00Ene-25Según libro diario14/46.000,0026.500,00Ene-27Según libro diario17/520.000,0046.500,00Feb-02Según libro diario21/620.200,0066.700,00Feb-04Según libro diario22/615.300,0082.000,00Mar-10Según libro diario35/910.296,0092.296,00Abr-04Según libro diario44/1111.500,00103.796,00Abr-17Según libro diario49/1246.000,00149.796,00May-12Según libro diario63/1611.000,00160.796,00Jun-05Según libro diario73/1829.500,00190.296,00Jul-01Según libro diario85/2040.288,00230.584,00Ago-12Según libro diario103/2413.278,00243.862,00Sep-05Según libro diario111/2610.238,00254.100,00Oct-20Según libro diario130/2925.000,00279.100,00Oct-24Según libro diario131/3022.000,00301.100,00Oct-28Según libro diario133/3023.500,00324.600,00Nov-05Según libro diario137/3125.500,00350.100,00Nov-22Según libro diario142/3223.220,00373.320,00Nov-28Según libro diario144/3324.000,00397.320,00Dic-06Según libro diario148/3424.000,00421.320,00Dic-24Según libro diario153/3519.000,00440.320,00Dic-29Según libro diario155/3521.000,00461.320,00Dic-31Según libro diario166/35461.320,000,00<br />Crédito Fiscal:<br />Credito Fiscal(12)Fecha 2010DescripciónRefDebeHaberSaldoEne-02Según libro diario2/11.212,001.212,00Ene-06Según libro diario4/2672,601.884,60Ene-10Según libro diario6/2540,002.424,60Ene-22Según libro diario11/33.780,006.204,60Ene-25Según libro diario15/4720,006.924,60Ene-27Según libro diario17/52.256,009.180,60Ene-31Según libro diario19/59.180,600,00Feb-02Según libro diario21/62.424,002.424,00Feb-04Según libro diario22/61.836,004.260,00Feb-31Según libro diario31/84.260,000,00Mar-01Según libro diario32/8276,00276,00Mar-10Según libro diario35/91.192,281.468,28Mar-31Según libro diario41/101.468,280,00Abr-04Según libro diario44/111.338,601.338,60Abr-17Según libro diario49/125.361,026.699,62Abr-31Según libro diario57/146.699,620,00May-08Según libro diario61/1521.000,0021.000,00May-12Según libro diario63/161.320,0022.320,00May-16Según libro diario65/16144,0022.464,00May-26Según libro diario67/16822,0023.286,00May-31Según libro diario70/1723.286,000,00Jun-05Según libro diario73/183.540,003.540,00Jun-13Según libro diario76/1924,003.564,00Jun-26Según libro diario80/191.560,005.124,00Jun-30Según libro diario84/205.124,000,00Jul-01Según libro diario85/204.721,914.721,91Jul-05Según libro diario87/21113,764.835,67Jul-08Según libro diario88/2186,764.922,43Jul-31Según libro diario98/234.922,430,00Ago-03Según libro diario100/237.834,567.834,56Ago-12Según libro diario103/241.593,369.427,92Ago-26Según libro diario106/25957,3610.385,28Ago-31Según libro diario109/2510.385,280,00Sep-05Según libro diario111/261.204,561.204,56Sep-12Según libro diario114/2615,661.220,22Sep-14Según libro diario115/26317,761.537,98Sep-31Según libro diario123/281.537,980,00Oct-05Según libro diario125/285.082,005.082,00Oct-20Según libro diario130/292.910,007.992,00Oct-24Según libro diario131/302.593,8010.585,80Oct-28Según libro diario133/302.776,2913.362,09Oct-31Según libro diario135/3013.362,090,00Nov-05Según libro diario137/313.029,403.029,40Nov-22Según libro diario142/322.743,215.772,61Nov-28Según libro diario144/332.822,408.595,01Nov-31Según libro diario146/338.595,010,00Dic-06Según libro diario148/342.822,402.822,40Dic-24Según libro diario153/352.245,805.068,20Dic-29Según libro diario155/352.494,807.563,00Dic-31Según libro diario157/367.563,000,00<br />Ventas:<br />Ventas(13)Fecha 2010DescripciónRefDebeHaberSaldoEne-05Según libro diario3/117.800,0017.800,00Ene-07Según libro diario5/27.700,0025.500,00Ene-15Según libro diario7/27.000,0032.500,00Ene-24Según libro diario14/415.000,0047.500,00Ene-26Según libro diario16/440.000,0087.500,00Feb-02Según libro diario20/542.800,00130.300,00Feb-12Según libro diario24/619.550,00149.850,00Mar-05Según libro diario34/817.000,00166.850,00Mar-22Según libro diario39/1033.777,00200.627,00Abr-01Según libro diario42/1019.000,00219.627,00Abr-02Según libro diario43/1117.000,00236.627,00Abr-10Según libro diario45/1123.550,00260.177,00Abr-17Según libro diario50/1271.000,00331.177,00Abr-29Según libro diario55/1428.000,00359.177,00May-01Según libro diario58/1455.000,00414.177,00May-10Según libro diario62/1556.000,00470.177,00May-29Según libro diario68/17100.000,00570.177,00Jun-02Según libro diario71/1720.000,00590.177,00Jun-08Según libro diario74/1815.500,00605.677,00Jul-02Según libro diario86/2169.088,00674.765,00Jul-12Según libro diario91/229.168,00683.933,00Ago-01Según libro diario99/2324.888,00708.821,00Ago-09Según libro diario102/2444.918,00753.739,00Ago-29Según libro diario107/2531.728,00785.467,00Sep-01Según libro diario110/2514.788,00800.255,00Sep-08Según libro diario111/2617.168,00817.423,00Oct-01Según libro diario124/28279.000,001.096.423,00Oct-09Según libro diario126/2978.000,001.174.423,00Oct-18Según libro diario129/2979.300,001.253.723,00Nov-02Según libro diario136/3175.000,001.328.723,00Nov-12Según libro diario138/3178.450,001.407.173,00Nov-25Según libro diario143/3280.000,001.487.173,00Dic-03Según libro diario147/3378.000,001.565.173,00Dic-11Según libro diario149/3475.000,001.640.173,00Dic-27Según libro diario154/3577.500,001.717.673,00Dic-31Según libro diario169/381.717.673,000,00<br />Debito Fiscal:<br />Debito Fiscal(14)Fecha 2010DescripciónRefDebeHaberSaldoEne-05Según libro diario3/12.136,002.136,00Ene-07Según libro diario5/2889,353.025,35Ene-15Según libro diario7/2840,003.865,35Ene-24Según libro diario14/41.800,005.665,35Ene-26Según libro diario16/44.548,0010.213,35Ene-31Según libro diario19/510.213,350,00Feb-02Según libro diario20/55.136,005.136,00Feb-12Según libro diario24/62.282,197.418,19Feb-31Según libro diario31/87.418,190,00Mar-05Según libro diario34/82.004,302.004,30Mar-22Según libro diario39/104.053,246.057,54Mar-31Según libro diario41/106.057,540,00Abr-01Según libro diario42/102.188,802.188,80Abr-02Según libro diario43/111.927,804.116,60Abr-10Según libro diario45/112.826,006.942,60Abr-17Según libro diario50/128.413,5015.356,10Abr-29Según libro diario55/143.360,0018.716,10Abr-31Según libro diario57/1418.716,100,00May-01Según libro diario58/146.600,006.600,00May-10Según libro diario62/156.720,0013.320,00May-29Según libro diario68/1712.000,0025.320,00May-31Según libro diario70/1725.320,000,00Jun-02Según libro diario71/172.400,002.400,00Jun-08Según libro diario74/181.860,004.260,00Jun-30Según libro diario84/204.260,000,00Jul-02Según libro diario86/217.922,467.922,46Jul-12Según libro diario91/221.037,168.959,62Jul-31Según libro diario98/238.959,620,00Ago-01Según libro diario99/232.986,562.986,56Ago-09Según libro diario102/245.138,988.125,54Ago-29Según libro diario107/253.807,3611.932,90Ago-31Según libro diario109/2511.932,900,00Sep-01Según libro diario110/251.774,561.774,56Sep-08Según libro diario112/262.060,163.834,72Sep-31Según libro diario123/283.834,720,00Oct-01Según libro diario124/2832.157,5432.157,54Oct-09Según libro diario126/289.098,8641.256,40Oct-18Según libro diario129/299.230,5250.486,92Oct-31Según libro diario135/3050.486,920,00Nov-02Según libro diario136/318.748,008.748,00Nov-12Según libro diario138/319.084,5117.832,51Nov-25Según libro diario143/329.312,0027.144,51Nov-31Según libro diario146/3327.144,510,00Dic-03Según libro diario147/339.079,209.079,20Dic-11Según libro diario149/348.790,3017.869,50Dic-27Según libro diario154/358.928,0026.797,50Dic-31Según libro diario157/3626.797,500,00<br />Descuentos sobre Compras:<br />Descuentos sobre Compras(15)Fecha 2010DescripciónRefDebeHaberSaldoEne-06Según libro diario4/2295,00295,00Abr-04Según libro diario44/11345,00640,00Abr-17Según libro diario49/121.324,801.964,80Jul-01Según libro diario85/20938,712.903,51Oct-20Según libro diario130/29750,003.653,51Oct-24Según libro diario131/30385,004.038,51Oct-28Según libro diario133/30364,254.402,76Nov-05Según libro diario137/31255,004.657,76Nov-22Según libro diario142/32359,915.017,67Nov-28Según libro diario144/33480,005.497,67Dic-06Según libro diario148/34480,005.977,67Dic-24Según libro diario153/35285,006.262,67Dic-29Según libro diario155/36210,006.472,67Dic-31Según libro diario169/586.472,670,00<br />Rebajas sobre Ventas:<br />Descuentos sobre Compras(15)Fecha 2010DescripciónRefDebeHaberSaldoEne-06Según libro diario4/2295,00295,00Abr-04Según libro diario44/11345,00640,00Abr-17Según libro diario49/121.324,801.964,80Jul-01Según libro diario85/20938,712.903,51Oct-20Según libro diario130/29750,003.653,51Oct-24Según libro diario131/30385,004.038,51Oct-28Según libro diario133/30364,254.402,76Nov-05Según libro diario137/31255,004.657,76Nov-22Según libro diario142/32359,915.017,67Nov-28Según libro diario144/33480,005.497,67Dic-06Según libro diario148/34480,005.977,67Dic-24Según libro diario153/35285,006.262,67Dic-29Según libro diario155/36210,006.472,67Dic-31Según libro diario169/586.472,670,00<br />Cuentas por Pagar:<br />Cuentas por Pagar(17)Fecha 2010DescripciónRefDebeHaberSaldoEne-10Según libro diario6/250405040Feb-02Según libro diario21/62262427664Feb-20Según libro diario28/720361,67302,4Abr-17Según libro diario49/1250036,2257338,62Abr-25Según libro diario53/1331340,9925997,63Jul-01Según libro diario85/2044071,2070068,84Jul-10Según libro diario89/211028859780,84Jul-20Según libro diario94/2222035,6037745,24<br />Cuentas por Cobrar:<br />Cuentas por Cobrar(18)Fecha 2010DescripciónRefDebeHaberSaldoEne-15Según libro diario7/278407840Feb-02Según libro diario20/54793655776Feb-17Según libro diario27/733555,222220,8Abr-02Según libro diario43/1117992,840213,6Abr-10Según libro diario45/112637666589,6Abr-11Según libro diario46/1142150,3624439,24Abr-17Según libro diario50/1278526102965,24Abr-20Según libro diario51/1377223,9325741,31Jun-08Según libro diario74/181736043101,31Jun-27Según libro diario81/201041632685,31Jul-02Según libro diario86/2173942,95106628,26Jul-18Según libro diario93/2230288,0076340,26Sep-08Según libro diario112/2619228,1695568,42Sep-26Según libro diario119/2738227,3757341,05Dic-31Según libro diario163/392781,0454560,01<br />Sueldos y Salarios<br />Sueldos y Salarios(19)Fecha 2010DescripcionRefDebe HaberSaldoEne-15Según libro diario8/310.000,0010.000,00Ene-28Según libro diario18/510.000,0020.000,00Feb-15Según libro diario25/610.000,0030.000,00Feb-28Según libro diario30/712.500,0042.500,00Mar-15Según libro diario36/912.500,0055.000,00Mar-29Según libro diario40/1012.500,0067.500,00Abr-16Según libro diario48/1212.500,0080.000,00Abr-30Según libro diario56/1413.125,0093.125,00May-15Según libro diario64/1613.125,00106.250,00May-31Según libro diario70/1713.125,00119.375,00Jun-15Según libro diario77/1915.093,75134.468,75Jun-29Según libro diario85/2015.093,75149.562,50Jul-15Según libro diario92/2215.093,75164.656,25Jul-31Según libro diario97/2315.593,75180.250,00Ago-16Según libro diario104/2415.593,75195.843,75Ago-31Según libro diario108/2515.593,75211.437,50Sep-15Según libro diario116/2715.593,75227.031,25Sep-31Según libro diario122/2817.932,81244.964,06Oct-16Según libro diario128/2917.932,81262.896,87Oct-30Según libro diario134/3017.932,81280.829,68Nov-15Según libro diario140/3217.932,81298.762,49Nov-31Según libro diario145/3317.932,81316.695,30Dic-16Según libro diario151/3119.726,09336.421,39Dic-31Según libro diario156/3619.726,09356.147,48Dic-31Según libro diario160/383.890,00360.037,48Dic-31Según libro diario167/35360.037,480,00<br />Servicios Públicos:<br />Servicios Publicos(20)Fecha 2010DescripciónRefDebeHaber SaldoEne-20Según libro diario10/317501750Feb-25Según libro diario29/79252675Jun-28Según libro diario82/2057508425Sep-27Según libro diario120/27328811713Oct-15Según libro diario127/29350015213Nov-14Según libro diario139/31440019613Dic-15Según libro diario140/34400023613Dic-31Según libro diario167/35236130<br />Gasto Mantenimiento Vehículo<br />Gasto Mant. Vehiculo(21)Fecha 2010DescripciónRefDebeHaberSaldoEne-22Según libro diario11/33150031500Dic-31Según libro diario167/35315000<br />Honorarios Profesionales:<br />Honorarios Profesionales(22)Fecha 2010DescripciónRefDebeHaberSaldoEne-23Según libro diario12/3510510Abr-14Según libro diario47/1277778287Dic-31Según libro diario167/3582870<br />Rebajas sobre Compras:<br />Rebajas sobre Compras(23)Fecha 2010DescripciónRefDebeHaberSaldoEne-27Según libro diario17/512001200Mar-10Según libro diario35/9360,361560,36Jun-05Según libro diario73/1820003560,36Sep-05Según libro diario111/262003760,36Dic-31Según libro diario167/353760,360<br />Descuentos sobre Ventas:<br />Descuentos sobre Ventas(24)Fecha 2010DescripciónRefDebeHaberSaldoFeb-12Según libro diario24/6531,76531,76Mar-05Según libro diario34/8297,5829,26Abr-01Según libro diario42/107601589,26Abr-17Según libro diario50/12887,52476,76Jul-02Según libro diario86/213067,515544,27Ago-09Según libro diario102/242093,187637,45Oct-01Según libro diario124/2811020,518657,95Dic-31Según libro diario167/3518657,9460,00<br />Alquileres Pagados por Anticipado:<br />Alquileres Pagados por Anticipado(25)Fecha 2010DescripiónRefDebeHaberSaldoFeb-15Según libro diario26/74930049300Dic-31Según libro diario167/3543137,56162,5<br />Cuentas por cobrar Empleados:<br />Cuentas por Cobrar Empleados(26)Fecha 2010DescripciónRefDebeHaberSaldoMar-03Según libro diario33/865006500May-19Según libro diario56/1632503250Jun-20Según libro diario79/1950008250Jul-30Según libro diario96/2327885462Sep-20Según libro diario118/2954620<br />Gasto Mantenimiento Edificio:<br />Gasto Mantenimiento Edificio(27)Fecha 2010DescripciónRefDebeHaberSaldoMar-17Según libro diario37/91195011950Dic-31Según libro diario119500<br />Articulos de Limpieza:<br />Articulos deLimpieza(28)Fecha 2010DescripciónRefDebeHaberSaldoAbr-23Según libro diario..52/13355355Jun-13Según libro diario..76/19200555Jul-08Según libro diario..88/217231278Sep-12Según libro diario..114/267832061<br />Cuentas por Cobrar Accionistas:<br />Cuentas por Cobrar Accionistas(29)Fecha 2010DescripciónRefDebeHaber SaldoAbr-26Según libro diario54/131600016000Jun-19Según libro diario78/19400012000Jul-11Según libro diario90/222028832288Sep-18Según libro diario117/27322880<br />Inversiones Temporales:<br />Inversiones Temporales(30)FechaDescripciónRefDebeHaberSaldoMay-03Según libro diario..59/1585008500<br />Construcciones en Proceso:<br />Construcciones en Proceso(31)FechaDescripcion RefDebeHaberSaldoMay-08Según libro diario61/15175000175000<br />Efectos por Pagar:<br />Efectos por Pagar(32)FechaDescripcionRefDebeHaberSaldoMay-08Según libro diario61/15154000154000Ago-03Según libro diario100/2338522,56192522,56<br />Publicidad y Propaganda:<br />Publicidad y Propaganda(33)FechaDescripcion RefDebeHaberSaldoMay-16Según libro diario65/1612001200Sep-14Según libro diario115/2626483848<br />Herramientas de Trabajo:<br />Herramientas de Trabajo(34)FechaDescripcionRefDebeHaberSaldoMay-26Según libro diario67/1668506850Ago-26Según libro diario106/25797814828<br />Intereses Pagados por Anticipado:<br />Intereses Pagados por Anticipado(35)FechaDescripcionRefDeberHaberSaldoJun-03Según libro diario72/181050010500Dic-31Según libro diario167/3561254375<br />Comisiones Bancarias:<br />Comisiones Bancarios(36)Fecha DescripcionRefDebeHaberSaldoJun-03Según libro diario72/1820002000Dic-31Según libro diario167/3520000<br />Préstamo Bancario por Pagar:<br />Prestamo Bancario por Pagar(37)FechaDescripciónRefDebeHaberSaldoJun-03Según libro diario72/18200000200000<br />Gastos de Representación.<br />Gastos de Representacion(38)FechaDescripcionRefDebeHaberSaldoJun-26Según libro diario80/191300013000Dic-31Según libro diario167/35130000<br />Gasto Artículos Varios:<br />Gastos Articulos Varios(39)FechaDescripcionRefDebeHaberSaldoJul-05Según libro diario87/21948948Dic-31Según libro diario167/359480<br />Comisiones sobre Ventas:<br />Comisiones sobre Ventas(40)FechaDescripcionRefDebeHaberSaldoAgo-22Según libro diario105/2472387238Dic-31Según libro diario167/3572380<br />Almacenaje sobre Compras<br />Almacenaje sobre Compras(41)FechaDescripcionRefDebeHaberSaldoOct-05Según libro diario125/2875007500Dic-31Según libro diario167/3575000<br />Seguros sobre Compras:<br />Seguros sobre Compras(42)FechaDescripcionRefDebeHaberSaldoOct-05Según libro diario125/281300013000Dic-31Según libro diario167/35130000<br />Fletes sobre Compras:<br />Fletes sobre Compras(43)FechaDescripcionRefDebeHaberSaldoOct-05Según libro diario125/282070020700Dic-31Según libro diario167/35207000<br />Acarreos sobre Compras:<br />Acarreos sobre Compras(44)FechaDescripcionRefDebeHaberSaldoOct-05Según libro diario125/2811501150Dic-31Según libro diario167/3511500<br />Alquileres Gastos:<br />Alquileres Gasto (45)FechaDescripcionRefDebeHaberSaldoDic-31Según libro diario158/3443137,543137,5Dic-31Según libro diario167/3543137,50<br />Intereses gastos:<br />Intereses Gastos(46)FechaDescripcionRefDebe HaberSaldoDic-31Según libro diario61256125Dic-31Según libro diario61250<br />Sueldos y Salarios por Pagar:<br />Sueldos y Salarios por Pagar (47)FechaDescripcionRefDebeHaberSaldoDic-31Según libro diario38903890<br />Prestaciones Sociales Gasto:<br />Prestamos Sociales Gasto(48)FechaDescripcionRefDebeHaberSaldoDic-31Según libro diario59357,9159357,91Dic-31Según libro diario59357,910<br />Prestaciones Sociales por Pagar:<br />Prestamos Sociales por Pagar(49)FechaDescripcionRefDebeHaberSaldoDic-31Según libro diario59357,9159357,91<br />Artículos de Oficina Gastos:<br />Articulos Oficina Gasto(50)FechaDescripcionRefDebeHaberSaldoDic-31Según libro diario11401140Dic-31Según libro diario11400<br />Artículos Varios:<br />Articulos Varios (51)FechaDescripcionRefDebeHaberSaldoDic-31Según libro diario11401140<br />Provisión para cuentas Incobrables:<br />Provision para cuentas incobrables (52)FechaDescripcionRefDebeHaberSaldoDic-31Según libro diario2781,042781,04<br />Depreciación gasto Edificio:<br />Depre. Gasto Edificio(58)FechaDescripcionRefDebeHaberSaldoDic-31Según libro diario1528315283Dic31Según libro diario152830<br />Depreciación Acumulado Edificio:<br />Depreciacion Acumulada Edificio (54)FechaDescripcionRefDebeHaberSaldoDic-31Según libro diario1528315283<br />Depreciación gasto Mobiliario:<br />Depreciacion Gasto Mobiliario (55)FechaDescripcionRefDebeHaberSaldoDic-31Según libro diario90009000Dic-31Según libro diario90000<br />Depreciación gasto Maquinaria:<br />Depreciacion Gasto Maquinaria(56)FechaDescripcionRefDebeHaberSaldoDic-31Según libro diario900900Dic-31Según libro diario9000<br />Depreciación gasto Vehículo:<br />Depreciacion Gasto Vehiculo (57)FechaDescripcionRefDebeHaberSaldoDic-31Según libro diario3240032400Dic-31Según libro diario324000<br />Depreciación gasto Art. De Oficina:<br />Depreciacion Gasto Articulos de Oficina (58)FechaDescripcionRefDebeHaberSaldoDic-31Según libro diario342342Dic-31Según libro diario3420<br />Depreciación gasto Equipos de Computación:<br />Depreciacion Gasto Equipo de Computacion (59)FechaDescripcionRefDebeHaberSaldoDic-31Según libro diario3150031500Dic-31Según libro diario315000<br />Depreciación gasto Herramientas de Trabajo:<br />Depreciacion Herramientas de trabajo (60)FechaDescripcionRefDebeHaberSaldoDic-31Según libro diario889,68889,68Dic-31Según libro diario889,680<br />Depreciación gasto Art. De Limpieza:<br />Depre. Gasto Art. de Limp.(61)FechaDescripcionRef DebeHaberSaldoDic-31Según libro diario123,66123,66Dic-31Según libro diario123,660<br />Depreciación acumulada Mobiliario:<br />Depreciacion Acumulada Mobiliario(62)FechaDescripcionRefDebeHaberSaldoDic-31Según libro diario90009000<br />Depreciación acumulada Maquinaria:<br />Depre. Acum. Maquinaria(63)FechaDescripcionRefDebeHaberSaldoDic-31Según libro diario900900<br />Depreciación acumulada Vehículo:<br />Depreciacion Acumulada Vehiculo (64)FechaDescripcionRef DebeHaberSaldoDic-31Según libro diario3240032400<br />Depreciación acumulada Art. De Oficina:<br />Depreciacion Acumulada Articulos de Oficina(65)FechaDescripcionRef DebeHaberSaldoDic-31Según libro diario342342<br />Depreciación acumulada Equipos de Computación:<br />Depreciaciom Acumulado Equipo de Computacion (66)FechaDescripcionRef DebeHaberSaldoDic-31Según libro diario3150031500<br />Depreciación acumulada Herramientas Trabajo<br />Depreciacion Acumulada Herramientas Trabajo (67)FechaDescripcionRef DebeHaberSaldoDic-31Según libro diario889,68889,68<br />Depreciación acumulada Artículos de Limpieza:<br />Depreciacion Acumulada Articulos de Limpieza (68)FechaDescripcionRef DebeHaberSaldoDic-31Según libro diario123,66123,66<br />Costo de Ventas:<br />Costo de Ventas(69)FechaDescripcionRefDebeHaberSaldoDic-31Según libro diario124.380,97124380,97Dic-31Según libro diario658772,23783153,20Dic-31Según libro diario783153,200<br />Ganancias y Perdidas:<br />Ganancias y Perdidas(70)FechaDescripcionRefDebeHaberSaldoDic-31Según libro diario783153,20783153,20Dic-31Según libro diario1676177,85893024,65<br />Inventario Final de Mercancía:<br />Inventario Final de Mercancia(71)FechaDescripcionRefDebeHaberSaldoDic-31Según libro diario369056369056<br />Inventario Inicial de Mercancía:<br />Inventario Inicial de Mercancia(72)FechaDescripcionRefDebeHaberSaldoDic-31Según libro diario00<br />Balances de Comprobación<br />Enero:<br />Auto Repuestos M.A.C c.a01/01/2010 al 31-01-2010CodigoCuentaDebe Haber1Caja183632Banco145983,253Mobiliario1500004Vehiculo5400005Maquinaria150006Edificio8990007Terreno6500008Articulos de Oficina34009Equipos de Computacion52500010Capital Social296320011Compras 4650012Credito Fiscal013Ventas8750014Debito Fiscal015Descuentos sobre Comopras29516Rebaja sobre Ventas2388,7517Cuentas por pagar504018Cuentas por cobrar784019Sueldos y Salarios2000020Servicios Publicos175021Gastos Mantenimiento Vehiculo3150022Honorarios Profesionales51023Rebajas sobre Compras1200SUMAS IGUALES30572353057235<br />Febrero:<br />Auto Repuestos M.A.C c.a01-02-2010 al 31-02-2010CodigoCuentaDebeHaber1Caja45504,982Banco60316,113Mobiliario1500004Vehiculos5400005Maquinaria150006Edificio8990007Terreno6500008Articulos de Oficina34009Equipos de Computacion52500010Capital Social296320011Compras8200012Credito Fiscal013Ventas14985014Debito Fiscal015Descuentos sobre Compras29516Rebajas sobre Ventas2388,7517Cuentas por pagar7302,418Cuentas por cobrar22220,819Sueldos y Salarios4250020Servicios Publicos267521Gasto Mantenimiento Vehiculo3150022Honorarios Profesionales51023Rebajas sobre Compras120024Descuentos sobre Ventas531,7625Alquileres Pagados por Ant.49300SUMAS IGUALES3121847,43121847,4<br />Marzo:<br />AutoRepuestos M.A.C c.a01-03-2010 al 31-03-2010CodigoCuenta Debe Haber1Caja51341,272Banco49273,683Mobiliario150000,004Vehiculos540000,005Maquinaria15000,006Edificio899000,007Terreno650000,008Articulos de Oficina5700,009Equipos de Computacion525000,0010Capital Social296320011Compras92296,0012Credito Fiscal0,0013Ventas20062714Debito Fiscal 015Descuento sobre Compras29516Rebaja sobre Ventas2388,7517Cuentas por Pagar 7302,418Cuentas por Cobrar22220,8019Sueldos y Salarios67500,0020Servicios Publicos2675,0021Gastos Mant. Vehiculo31500,0022Honorarios Profesionales 510,0023Rebaja sobre Compras1560,3624Descuento sobre Ventas829,2625Alquileres Pagados Por Ant.49300,0026Cuentas por Cobrar Empleados6500,0027Gastos Mant. Edificio11950,00SUMAS IGUALES3172984,763172984,76<br />Abril:<br />Auto Repuestos M.A.C c.a01-04-2010 al 31-04-2010CodigoCuentaDebe Haber1Caja113615,832Banco52554,153Mobiliario1500004Vehiculo5400005Maquinaria150006Edificio8990007Terreno6500008Articulos de Oficina57009Equipos de Computación52500010Capital Social296320011Compras14979612Credito Fiscal013Ventas35917714Debito Fiscal015Descuentos sobre Compras1964,816Rebajas sobre Ventas3323,7517Cuentas por pagar25997,6318Cuentas por Cobrar25741,3119Sueldos y Salarios9312520Servicios Publicos267521Gasto Mant. Vehiculo3150022Honorarios Profesionales828723Rebajas sobre Compras1560,3624Descuentos sobre Ventas2476,7625Alquileres pagados por Ant.4930026Cuentas por Cobrar Empleados650027Gasto Mant. Edificio1195028Articulos de Limpieza35529Cuentas por Cobrar Accionistas16000SUMAS IGUALES3351899,793351899,79<br />Mayo:<br />Auto Repuestos M.A.C c.a01-05-2010 al 31-05-2010CodigoDescripciónDebeHaber1Caja86115,502Banco219504,483Mobiliario1500004Vehiculo5400005Maquinaria150006Edificio8990007Terreno6500008Articulos de Oficina57009Equipos de Computación52500010Capital Social296320011Compras16079612Credito Fiscal013Ventas57017714Debito Fiscal015Descuentos sobre Compras1964,816Rebajas sobre Ventas3323,7517Cuentas por pagar25997,6318Cuentas por cobrar25741,3119Sueldos y Salarios11937520Servicios Publicos267521Gasto Mant. Vehiculo3150022Honorarios Profesionales828723Rebajas sobre Compras 1560,3624Descuentos sobre Ventas2476,7625Alquileres pagados por Ant.4930026Cuentas por cobrar Empleados325027Gasto Mant. Edificio1195028Articulos de Limpieza35529Cuentas por Cobrar Accionista1600030Inversiones Temporales850031Construcciones en Proceso17500032Efectos por Pagar15400033Publicidad y Propaganda120034Herramientas de Trabajo6850SUMAS IGUALES3716899,793716899,79<br />Junio:<br />Auto Repuestos M.A.C c.a01-06-2010 al 30-06-2010CodigoCuentaDebeHaber1Caja81147,382Banco362891,093Mobiliario1500004Vehiculo 5400005Maquinaria150006Edificio8990007Terreno6500008Articulos de Oficina57009Equipos de Computación52500010Capital Social296320011Compras19029612Credito Fiscal013Ventas60567714Debito Fiscal015Descuentos sobre Compras1964,816Rebajas sobre Ventas3323,7517Cuentas por Pagar25997,63418Cuentas por Cobrar 32685,3119Sueldos y Salarios149562,520Servicios Publicos842521Gasto Mant. Vehiculo3150022Honorarios Profesionales828723Rebajas sobre Compras3560,3624Descuentos sobre Ventas2476,7625Alquileres pagados por Ant.4930026Cuentas por cobrar empleados825027Gasto Mant. Edificio1195028Articulos de Limpieza55529Cuentas por cobrar accionistas1200030Inversiones Temporales850031Construcciones en Proceso17500032Efectos por Pagar15400033Publicidad y Propaganda120034Herramientas de Trabajo685035Intereses Pagados por Ant.1050036Comisiones Bancarias200037Prestamos Bancarios por Pagar20000038Gastos de Representación13000SUMAS IGUALES3954399,793954399,79<br />Julio:<br />Auto Repuestos M.A.C c.a01-07-2010 al 31-07-2010CodigoCuentaDebeHaber1Caja99189,022Banco 298397,813Mobiliario1500004Vehiculo5400005Maquinaria150006Edificio8990007Terreno6500008Articulos de Oficina57009Equipos de Computación52500010Capital Social296320011Compras23058412Credito Fiscal0,0013Ventas68393314Debito Fiscal0,0015Descuentos sobre Compras2903,5116Rebajas sobre Ventas3848,7517Cuentas por Pagar37745,2418Cuentas por Cobrar76340,2619Sueldos y Salarios 18025020Servicios Publicos842521Gasto Mant. Vehiculo 3150022Honorarios Profesionales828723Rebajas sobre Compras3560,3624Descuentos sobre Ventas5544,2725Alquileres pagados por Ant.4930026Cuentas por Cobrar Empleados546227Gasto Mant. Edificio1195028Articulos de Limpieza127829Cuentas por cobrar Accionistas3228830Inversiones Temporales850031Construcciones en Proceso17500032Efectos por Pagar15400033Publicidad y Propaganda120034Herramientas de Trabajo685035Intereses pagados por Ant.1050036Comisiones Bancarias200037Prestamos Ban. Por Pagar20000038Gastos de Representacion1300039Gastos Articulos Varios948SUMAS IGUALES4045342,114045342,11<br />Agosto:<br />Auto Repuestos M.A.C c.a01-08-2010 al 31-08-2010CodigoCuentaDebeHaber1Caja100572,332Banco 310008,383Mobiliario1500004Vehiculo5400005Maquinaria150006Edificio8990007Terreno7152888Articulos de Oficina57009Equipos de Computación52500010Capital Social296320011Compras24386212Credito Fiscal0,0013Ventas78546714Debito Fiscal015Descuentos sobre Compras2903,5116Rebajas sobre Ventas3848,7517Cuentas por Pagar37745,2418Cuentas por Cobrar76340,2619Sueldos y Salarios 211437,520Servicios Publicos842521Gasto Mant. Vehiculo 3150022Honorarios Profesionales828723Rebajas sobre Compras3560,3624Descuentos sobre Ventas7637,44625Alquileres pagados por Ant.4930026Cuentas por Cobrar Empleados546227Gasto Mant. Edificio1195028Articulos de Limpieza127829Cuentas por cobrar Accionistas3228830Inversiones Temporales850031Construcciones en Proceso17500032Efectos por Pagar192522,5633Publicidad y Propaganda120034Herramientas de Trabajo1482835Intereses pagados por Ant.1050036Comisiones Bancarias200037Prestamos Ban. Por Pagar20000038Gastos de Representacion1300039Gastos Articulos Varios94840Comisiones sobre Ventas7238SUMAS IGUALES4185398,674185398,67<br />Septiembre:<br />Auto Repuestos M.A.C c.a01-09-2010 al 31-09-2010CodigoCuentaDebeHaber1Caja42122,40062Banco 406879,9573Mobiliario1500004Vehiculo5400005Maquinaria150006Edificio8990007Terreno7152888Articulos de Oficina57009Equipos de Computación52500010Capital Social296320011Compras25410012Credito Fiscal013Ventas81742314Debito Fiscal015Descuentos sobre Compras2903,510416Rebajas sobre Ventas3848,7517Cuentas por Pagar37745,236218Cuentas por Cobrar57341,053219Sueldos y Salarios 244964,0620Servicios Publicos1171321Gasto Mant. Vehiculo 3150022Honorarios Profesionales828723Rebajas sobre Compras3760,3624Descuentos sobre Ventas7637,44625Alquileres pagados por Ant.4930026Cuentas por Cobrar Empleados027Gasto Mant. Edificio1195028Articulos de Limpieza206129Cuentas por cobrar Accionistas030Inversiones Temporales850031Construcciones en Proceso17500032Efectos por Pagar192522,5633Publicidad y Propaganda384834Herramientas de Trabajo1482835Intereses pagados por Ant.1050036Comisiones Bancarias200037Prestamos Ban. Por Pagar20000038Gastos de Representacion1300039Gastos Articulos Varios94840Comisiones sobre Ventas7238SUMAS IGUALES4217554,674217554,67<br />Octubre:<br />Auto Repuestos M.A.C c.a01-10-2010 al 31-10-2010CodigoCuentaDebeHaber1Caja28577,922Banco 690432,373Mobiliario150000,004Vehiculo540000,005Maquinaria15000,006Edificio899000,007Terreno715288,008Articulos de Oficina5700,009Equipos de Computación525000,0010Capital Social2963200,0011Compras324600,0012Credito Fiscal0,0013Ventas1253723,0014Debito Fiscal0,0015Descuentos sobre Compras4402,7616Rebajas sobre Ventas8403,9517Cuentas por Pagar37745,2418Cuentas por Cobrar57341,0519Sueldos y Salarios 280829,6820Servicios Publicos15213,0021Gasto Mant. Vehiculo 31500,0022Honorarios Profesionales8287,0023Rebajas sobre Compras3760,3624Descuentos sobre Ventas18657,9525Alquileres pagados por Ant.49300,0026Cuentas por Cobrar Empleados0,0027Gasto Mant. Edificio11950,0028Articulos de Limpieza2061,0029Cuentas por cobrar Accionistas0,0030Inversiones Temporales8500,0031Construcciones en Proceso175000,0032Efectos por Pagar192522,5633Publicidad y Propaganda3848,0034Herramientas de Trabajo14828,0035Intereses pagados por Ant.10500,0036Comisiones Bancarias2000,0037Prestamos Ban. Por Pagar200000,0038Gastos de Representacion13000,0039Gastos Articulos Varios948,0040Comisiones sobre Ventas7238,0041Almacenaje sobre Compras7500,0042Seguros sobre Compras13000,0043Fletes sobre Compras20700,0044Acarreos sobre Compras1150,00SUMAS IGUALES4655353,924655353,92<br />Noviembre:<br />Auto Repuestos M.A.C c.a01-11-2010 al 31-11-2010Codigo CuentaDebeHaber1Caja19.342,342Banco 813.981,493Mobiliario150.000,004Vehiculo540.000,005Maquinaria15.000,006Edificio899.000,007Terreno715.288,008Articulos de Oficina5.700,009Equipos de Computación525.000,0010Capital Social2.963.200,0011Compras397.320,0012Credito Fiscal0,0013Ventas1.487.173,0014Debito Fiscal0,0015Descuentos sobre Compras5.497,6716Rebajas sobre Ventas15.649,7017Cuentas por Pagar37.745,2418Cuentas por Cobrar57.341,0519Sueldos y Salarios 316.695,3020Servicios Publicos19.613,0021Gasto Mant. Vehiculo 31.500,0022Honorarios Profesionales8.287,0023Rebajas sobre Compras3.760,3624Descuentos sobre Ventas18.657,9525Alquileres pagados por Ant.49.300,0026Cuentas por Cobrar Empleados0,0027Gasto Mant. Edificio11.950,0028Articulos de Limpieza2.061,0029Cuentas por cobrar Accionistas0,0030Inversiones Temporales8.500,0031Construcciones en Proceso175.000,0032Efectos por Pagar192.522,5633Publicidad y Propaganda3.848,0034Herramientas de Trabajo14.828,0035Intereses pagados por Ant.10.500,0036Comisiones Bancarias2.000,0037Prestamos Ban. Por Pagar200.000,0038Gastos de Representacion13.000,0039Gastos Articulos Varios948,0040Comisiones sobre Ventas7.238,0041Almacenaje sobre Compras7.500,0042Seguros sobre Compras13.000,0043Fletes sobre Compras20.700,0044Acarreos sobre Compras1.150,00SUMAS IGUALES4.889.898,834.889.898,83<br />Diciembre:<br />Auto Repuestos M.A.C c.a01-12-2010 al 31-12-2010CodigoCuentaDebeHaber1Caja10673,872Banco 939485,283Mobiliario1500004Vehiculo5400005Maquinaria150006Edificio8990007Terreno7152888Articulos de Oficina57009Equipos de Computación52500010Capital Social296320011Compras46132012Credito Fiscal013Ventas171767314Debito Fiscal015Descuentos sobre Compras6472,6716Rebajas sobre Ventas22837,217Cuentas por Pagar37745,2418Cuentas por Cobrar57341,0519Sueldos y Salarios 356147,4820Servicios Publicos2361321Gasto Mant. Vehiculo 3150022Honorarios Profesionales828723Rebajas sobre Compras3760,3624Descuentos sobre Ventas18657,9525Alquileres pagados por Ant.4930026Cuentas por Cobrar Empleados027Gasto Mant. Edificio1195028Articulos de Limpieza206129Cuentas por cobrar Accionistas030Inversiones Temporales850031Construcciones en Proceso17500032Efectos por Pagar192522,5633Publicidad y Propaganda384834Herramientas de Trabajo1482835Intereses pagados por Ant.1050036Comisiones Bancarias200037Prestamos Ban. Por Pagar20000038Gastos de Representacion1300039Gastos Articulos Varios94840Comisiones sobre Ventas723841Almacenaje sobre Compras750042Seguros sobre Compras1300043Fletes sobre Compras2070044Acarreos sobre Compras1150SUMAS IGUALES5121373,835121373,83<br />Balance de Comprobación Ajustado al 31-12-2010<br />Auto Repuestos M.A.C c.aBalance de Comprobación Ajustado01-12-2010 al 31-12-2010CodigoDescripciónDebeHaber1Caja10673,872Banco 939485,283Mobiliario150000,004Vehiculo540000,005Maquinaria15000,006Edificio899000,007Terreno715288,008Articulos de Oficina5700,009Equipos de Computación525000,0010Capital Social2963200,0011Compras461320,0012Credito Fiscal0,0013Ventas1717673,0014Debito Fiscal0,0015Descuentos sobre Compras6472,6716Rebajas sobre Ventas22837,2017Cuentas por Pagar37745,2418Cuentas por Cobrar54560,0119Sueldos y Salarios 360037,4820Servicios Publicos23613,0021Gasto Mant. Vehiculo 31500,0022Honorarios Profesionales8287,0023Rebajas sobre Compras3760,3624Descuentos sobre Ventas18657,9525Alquileres pagados por Ant.6162,5026Cuentas por Cobrar Empleados0,0027Gasto Mant. Edificio11950,0028Articulos de Limpieza2061,0029Cuentas por cobrar Accionistas0,0030Inversiones Temporales8500,0031Construcciones en Proceso175000,0032Efectos por Pagar192522,5633Publicidad y Propaganda3848,0034Herramientas de Trabajo14828,0035Intereses pagados por Ant.4375,0036Comisiones Bancarias2000,0037Prestamos Ban. Por Pagar200000,0038Gastos de Representacion13000,0039Gastos Articulos Varios948,0040Comisiones sobre Ventas7238,0041Almacenaje sobre Compras7500,0042Seguros sobre Compras13000,0043Fletes sobre Compras20700,0044Acarreos sobre Compras1150,0045Alquileres gastos43137,5046Intereses gastos6125,0047Sueldos y Salarios por pagar3890,0048Prestaciones sociales gasto59357,9149Presta. Sociales por pagar59357,9150Articulos de Oficina gastos1140,0051Articulos gastos 1140,0052Provision para cuentas incob.2781,0453Depreciación gasto edificio15283,0054Depreciacion acum. Edif 15283,0055Depreciación gasto mobiliario9000,0056Depreciación gasto maquinaria 900,0057Depreciación gasto vehiculo 32400,0058Depre. gasto art. De Oficina342,0059Depre. gasto Equi. de compu31500,0060Depre. Gasto Herra. De trabajo889,6861Depre. Gasto Art. De Limp.123,6662Depre. Acum. Mobiliario 9000,0063Depre. Acum. Maquinaria900,0064Depre. Acum. Vehiculo32400,0065Depre. Acum. Art. De Ofic.342,0066Depre. Acum. Equip de Compu31500,0067Depre. Acum. Herram. Trabajo889,6868Depre. Acum Art de Limpieza123,66Sumas Iguales5276200,085276200,08<br />Índices Financieros de Solvencia.<br />I Trimestre:<br />Auto Repuestos M.A.C c.aIndicios Financieros de SolvenciaI Trimestre al 31-03-2010Activo CirculanteActivo Circulante DisponibleBanco49273,68Caja51341,27Total Activo Circulante Disp.100614,95Activo Circulante ExigibleCuentas por Cobrar22220,80Total Activo Exigible22220,80Activo Circulante RealizableActivo Circulante Pre- PagadoAlquileres Pagados por Ant.49300,00Total Activo Cir. Pre- Pagado49300,00TOTAL ACTIVO CIRCULANTE172135,75Pasivo CirculanteCuentas por Pagar7302,40Total Pasivo Circulante7302,40R.C= AC/PC >2R.C=172135,757302,4023,57P.A= (A.C.D+ A.C.E)-A.C.RP.CP.A122835,757302,4016,82P.S.A= A.C.D>0,75PCP.S.A=100614,957302,4013,78I.C.T= A.C-P.CI.C.T=164833,35<br />II Trimestre:<br />Auto Repuestos M.A.C c.aIndices Financieros de SolvenciaII Trimestre al 30-06-2010Activo CirculanteActivo Circulante DisponibleCaja81147,38Banco 362891,09Inversiones Temporales8500Total Activo Circulante Disp.452538,47Activo Circulante ExigibleCuentas por Cobrar32685,31Cuentas por Cobrar Empleados8250Cuentas por Cobrar Accionistas12000Total Act. Circulante Exigible52935,31Activo Circulante RealizableActivo Circulante Pre- PagadoAlquileres Pagados por Ant.49300Intereses Pagados por Ant.10500Total Act. Cir. Pre-Pagado59800TOTAL ACTIVO CIRCULANTE565273,78Pasivo CirculanteCuentas por Pagar25997,63Efectos por Pagar154000Prestamos Bancarios por Pagar200000Total Pasivo Circulante379997,63R.C= AC/PC >2R.C=565273,78379997,631,49P.A= (A.C.D+ A.C.E)-A.C.RP.CP.A505473,78379997,631,33P.S.A= A.C.D>0,75PCP.S.A=452538,47379997,631,19I.C.T= A.C-P.CI.C.T=185276,15<br />III Trimestre:<br />Auto Repuestos M.A.C c.aIndices Financieros de SolvenciaIII Trimestre al 31-09-2010Activo CirculanteActivo Circulante DisponibleCaja42122,40Banco 406879,96Inversiones Temporales8500Total Activo Circulante Disp.457502,36Activo Circulante ExigibleCuentas por Cobrar57341,05Total Act. Circulante Exigible57341,05Activo Circulante RealizableActivo Circulante Pre- PagadoAlquileres Pagados por Ant.49300Intereses Pagados por Ant.10500Total Act. Cir. Pre-Pagado59800TOTAL ACTIVO CIRCULANTE574643,41Pasivo CirculanteCuentas por Pagar37745,24Efectos por Pagar192522,56Prestamos Bancarios por Pagar200000Total Pasivo Circulante430267,80R.C= AC/PC >2R.C=574643,41430267,801,34P.A= (A.C.D+ A.C.E)-A.C.RP.CP.A514843,41430267,801,20P.S.A= A.C.D>0,75PCP.S.A=457502,36430267,801,06I.C.T= A.C-P.CI.C.T=144375,614<br />IV Trimestre:<br />Auto Repuestos M.A.C c.aIndices Financieros de SolvenciaIV Trimestre al 31-12-2010Activo CirculanteActivo Circulante DisponibleCaja10673,87Banco 939485,28Inversiones Temporales8500Total Activo Circulante Disp.958659,15Activo Circulante ExigibleCuentas por Cobrar57341,05Total Act. Circulante Exigible57341,05Activo Circulante RealizableActivo Circulante Pre- PagadoAlquileres Pagados por Ant.49300Intereses Pagados por Ant.10500Total Act. Cir. Pre-Pagado59800TOTAL ACTIVO CIRCULANTE1075800,20Pasivo CirculanteCuentas por Pagar37745,24Efectos por Pagar192522,56Prestamos Bancarios por Pagar200000Total Pasivo Circulante430267,80R.C= AC/PC >2R.C=1075800,2430267,802,50P.A= (A.C.D+ A.C.E)-A.C.RP.CP.A1016000,2430267,802,36P.S.A= A.C.D>0,75PCP.S.A=958659,15430267,802,23I.C.T= A.C-P.CI.C.T=645532,40<br />Resumen de los Índices Financieros de Solvencia:<br />Auto Repuestos M.A.C c.aResumen Índices Financieros de Solvenciaal 31-12-2010DescripciónIIIIIIIVActivo Circulante disponible100614,95452538,47457502,36958659,15Activo Circulante exigible22220,8052935,3157341,0557341,05Activo Circulante RealizableActivo Circulante Pre- Pagado49300,0059800,0059800,0059800,00Total Activo Circulante172135,75565273,78574643,411075800,20Pasivo Circulante7302,40379997,63430267,80430267,80R.C23,571,491,342,50P.A16,821,331,202,36P.S.A13,781,191,062,23I.T.C164833,35185276,15144375,61645532,40<br />Hoja de Trabajo.<br />Auto Repuestos M.A.C c.aHoja de Trabajo Al 31-12-2010clasificaciondescripcionbalance de comprobacionajustesB.C ajustadocosto de ventasganacias y perdidasbalance generaldebehaberdebehaberdebehaberdebehaberdebehaberdebehaberBGCaja10.673,8710.673,8710.673,87BGBanco 939.485,28939.485,28939.485,28BGMobiliario150.000,00150.000,00150.000,00BGVehiculo540.000,00540.000,00540.000,00BGMaquinaria15.000,0015.000,0015.000,00BGEdificio899.000,00899.000,00899.000,00BGTerreno715.288,00715.288,00715.288,00BGArticulos de Oficina5.700,001.140,004.560,004.560,00BGEquipos de Computación525.000,00525.000,00525.000,00BGCapital Social2.963.200,002.963.200,002.963.200,00CVCompras461.320,00461.320,00461.320,00CVCredito Fiscal0,000,000,00GYPVentas1.717.673,001.717.673,001.717.673,00GYPDebito Fiscal0,000,000,00CVDescuentos sobre Compras6.472,676.472,676.472,67GYPRebajas sobre Ventas22.837,2022.837,2022.837,20BGCuentas por Pagar37.745,2437.745,2437.745,24BGCuentas por Cobrar57.341,052.781,0454.560,0154.560,01GYPSueldos y Salarios 356.147,483.890,00360.037,48360.037,48GYPServicios Publicos23.613,0023.613,0023.613,00GYPGasto Mant. Vehiculo 31.500,0031.500,0031.500,00GYPHonorarios Profesionales8.287,008.287,008.287,00CVRebajas sobre Compras3.760,363.760,363.760,36GYPDescuentos sobre Ventas18.657,9518.657,9518.657,95BGAlquileres pagados por Ant.49.300,0043.137,506.162,506.162,50BGCuentas por Cobrar Empleados0,000,000,00GYPGasto Mant. Edificio11.950,0011.950,0011.950,00BGArticulos de Limpieza2.061,002.061,002.061,00BGCuentas por cobrar Accionistas0,000,000,00BGInversiones Temporales8.500,008.500,008.500,00BGConstrucciones en Proceso175.000,00175.000,00175.000,00BGEfectos por Pagar192.522,56192.522,56192.522,56BGPublicidad y Propaganda3.848,003.848,003.848,00BGHerramientas de Trabajo14.828,0014.828,0014.828,00BGIntereses pagados por Ant.10.500,006.125,004.375,004.375,00GYPComisiones Bancarias2.000,002.000,002.000,00BGPrestamos Ban. Por Pagar200.000,00200.000,00200.000,00GYPGastos de Representacion13.000,0013.000,0013.000,00GYPGastos Articulos Varios948,00948,00948,00GYPComisiones sobre Ventas7.238,007.238,007.238,00CVAlmacenaje sobre Compras7.500,007.500,007.500,00CVSeguros sobre Compras13.000,0013.000,0013.000,00CVFletes sobre Compras20.700,0020.700,0020.700,00CVAcarreos sobre Compras1.150,001.150,001.150,00SUMAS IGUALES5.121.373,835.121.373,83GYPAlquileres gastos43.137,5043.137,5043.137,50GYPIntereses gastos6.125,006.125,006.125,00BGSueldos y Salarios por pagar3.890,003.890,003.890,00GYPPrestaciones sociales gasto59.357,9159.357,9159.357,91BGPresta. Sociales por pagar59.357,9159.357,9159.357,91GYPArticulos de Oficina gastos1.140,001.140,001.140,00BGProvision para cuentas incob.2.781,042.781,042.781,04GYPDepreciación gasto edificio15.283,0015.283,0015.283,00BGDepreciacion acum. Edif 15.283,0015.283,0015.283,00GYPDepreciación gasto mobiliario9.000,009.000,009.000,00GYPDepreciación gasto maquinaria 900,00900,00900,00GYPDepreciación gasto vehiculo 32.400,0032.400,0032.400,00GYPDepre. gasto art. De Oficina342,00342,00342,00GYPDepre. gasto Equi. de compu31.500,0031.500,0031.500,00GYPDepre. Gasto Herra. De trabajo889,68889,68889,68GYPDepre. Gasto Art. De Limp.123,66123,66123,66BGDepre. Acum. Mobiliario 9.000,009.000,009.000,00BGDepre. Acum. Maquinaria900,00900,00900,00BGDepre. Acum. Vehiculo32.400,0032.400,0032.400,00BGDepre. Acum. Art. De Ofic.342,00342,00342,00BGDepre. Acum. Equi. Comp.31.500,0031.500,0031.500,00BGDepre. Acum. Herram. Trabajo889,68889,68889,68BGDepre. Acum Art. Limpieza123,66123,66123,66Sumas iguales206.869,79206.869,795.275.060,085.275.060,08503.670,0010.233,03inventario final de mercancia369.056,00369.056,00costo de ventas124.380,97124.380,97sumas iguales503.670,00503.670,00824.648,351.717.673,00UTILIDAD DEL EJERCICIO893.024,65893.024,65SUMAS IGUALES1.717.673,001.717.673,004.440.178,704.440.178,70<br />Balance General.<br />Empresa Auto Repuestos M.A.C c.aBalance Generalal 31-12-2010DescripciónIIIIIIIVActivoActivo CirculanteCaja10673,87Banco 939485,28Cuentas por cobrar54560,01Menos la prov. Cuentas Inc.2781,0451778,97Inversiones Temporales8500,00Alquileres Pag. Por Ant.6162,50Intereses Pag. Por Ant.4375,00Total Activo Circulante1020975,62ACTIVO FIJOTangiblesTerreno715288,00Mobiliario150000,00Menos Dep. acum Mobiliario9000,00141000,00Maquinaria15000,00Menos Dep. acum Maquinaria900,0014100,00Vehiculo540000,00Menos Dep. acum Vehiculo32400,00507600,00Edificio899000,00Menos Dep. acum Edificio15283,00883717,00Articulos de Oficina4560,00Menos Dep. acum Art. Oficina342,004218,00Equipos de Computación525000,00Menos Dep. acum Equip Comp31500,00493500,00Herramientas de Trabajo14828,00Menos Dep. acum Herr. Trabajo889,6813938,32Articulos de Limpieza2061,00Menos Dep. acum Art de Lim.123,661937,34Total Activo tangible2775298,66Total Activo Fijo2775298,66Otros ActivosConstrucciones en Proceso175000,00Total otros activos175000,00 Total Activo3971274,28PASIVO Y CAPITALPASIVOCuentas por Pagar37745,24Efectos por Pagar192522,56Prestamos Ban. Por Pagar200000,00Sueldos y Salarios por pagar3890,00Total pasivo circulante434157,80Pasivo a largo plazoPresta. Sociales por pagar59357,91Total pasivo a largo plazo59357,91Total pasivo493515,71CapitalCapital Social2963200,00Utilidad del Ejercicio 893024,65Total Capital3856224,65 Total pasivo y capital378466,08<br />Ganancias y Perdidas.<br />Empresa Auto Repuestos M.A.C c.aEstado de Ganancias y PerdidasDescripciónIIIIIIIVVentas1717673MenosRebajas sobre Ventas22837,2Descuentos sobre Ventas18657,9541495,15Total Ventas Netas1676177,85Costo de VentasInventario Inicial de Merc.0Compras461320Masfletes sobre compras20700acarreos sobre compras1150almacenaje sobre compras7500Seguros sobre compras13000Sub- total503670menosrebajas sobre compras3760,36descuentos sobre compras6472,6710233,03total compras netas493436,97Total mercancia disponible493436,97menos Inventario final de Mercancia369056Total costo de Ventas124380,97Utilidad Bruta de las Ventas1551796,88Gastos de OperaciónGastos de VentasComisiones sobre Ventas7238Total gastos de Ventas 7238Gastos de AdministracionSueldos y Salarios360037,48Servicios Publicos23613Alquileres gastos43137,5Honorarios profesionales8287Gasto Mant. Vehiculo11.950,00Gasto Mant. Edificio31500Depreciación gasto mobiliario9000Depreciación gasto maquinaria 900Depreciación gasto vehiculo 32400Depre. gasto art. De Oficina342Depre. gasto Equi. de compu31500Depre. Gasto Herra. De trabajo889,68Depre. Gasto Art. De Limp.123,66Depre. Gasto Edificio15283articulos de oficina gastos1140Prestaciones sociales gasto59357,91Gastos articulos varios948gastos de representacion13000comisiones bancarias2000Total gasto de Administracion 645409,23 Total gastos de Operación652647,23Utilidad en Operación899149,65Ingresos y egresos extraordinariosOtros egresosIntereses gastos6125total ingresos y egresos6125Utilidad del Ejercicio893024,65<br />CONCLUSIONES<br />Al finalizar la elaboración del proyecto se puede concluir lo siguiente:<br />Para llevar el proceso contable de una empresa es indispensable, el uso del libro diario y el libro mayor, ya que por medio de estos se registran todas las operaciones contables diarias, desde la primera realizada en el año hasta la última que se registró. <br />Al realizar la contabilidad de la empresa, el ejercicio contable tuvo un normal curso de las cuentas, en las cuales los saldos siempre fueron positivos.<br />Durante los cuatro trimestres las cuentas con mayor movimiento financiero fueron: caja, banco, compra, venta, débito y crédito fiscal, así como sueldos y salarios.<br />Al finalizar las cuentas de depreciaciones gastos y depreciación acumulada aplicada sólo en los activos fijos mostraron movimientos considerables.<br />Para el cierre del año contable se realizó la hoja de trabajo con ajustes que arrojó la utilidad o pérdida de la empresa, a través de los estados financieros, costo de ventas y ganancias y pérdidas.<br />La elaboración de este proyecto permitió a las investigadoras consolidar sus conocimientos sobre contabilidad y programación, ejes fundamentales en el área de Procesamiento de Datos.<br />RepÚblica Bolivariana de Venezuela<br />Ministerio del Poder Popular para la Educación<br />U.E Colegio Santa Teresita del Niño Jesús<br />San Cristóbal- Táchira<br />Importancia de la Contabilidad, la Programación y un Sistema Contable en la empresa. Aportes del proyecto al Colegio Santa Teresita del Niño Jesús.<br />Méndez Gómez, Mariela Alejandra<br />C.I 25498402<br />Arellano Chacón, Carla Stephanie<br />C.I 24147506<br />Salcedo Zerpa, Anna Lucía.<br />C.I. 23095550<br />San Cristóbal, Junio 2011<br />La Contabilidad, es la ciencia social que se encarga de estudiar, medir y analizar el patrimonio de las empresas, con el fin de servir en la toma de decisiones y control, presentando la información previamente registrada, de manera sistemática y útil para las distintas partes interesadas. Posee además una técnica que produce sistemáticamente y estructuradamente información cuantitativa y valiosa, expresada en unidades monetarias acerca de las transacciones que efectúan las entidades económicas y de ciertos eventos económicos identificables y cuantificables que la afectan, con la finalidad de facilitarla a los diversos públicos interesados.<br />También, se puede definir como el sistema que mide la actividad en los negocios y procesa dicha medición en informes y estados financieros para comunicar resultados y hallazgos a los encargados de tomar las decisiones.<br />Otros conceptos confieren a la contabilidad como una parte de la economía, y que en el ámbito de la empresa su principal labor es ayudar al área de administración. El producto final de la contabilidad son todos los estados contables o estados financieros, que son los que resumen la situación económica y financiera de la empresa. Esta información resulta útil para gestores, reguladores y otros tipos de interesados como los accionistas, acreedores o propietarios.<br />La contabilidad es importante, ya que tiene como propósito dar una serie de informes u objetivos más específicos, obtener en cualquier momento información ordenada y sistemática sobre el movimiento económico y financiero del negocio, establecer en términos monetarios, la información histórica o predictiva, la cantidad de los bienes, deudas y el patrimonio que dispone la empresa, registrar en forma clara y precisa, todas las operaciones de ingresos y egresos, proporcionar en cualquier momento una imagen clara de la situación financiera del negocio u empresa, prevenir con anticipo las probabilidades futuras de la empresa, determinar las utilidades o pérdidas de ejercicio que se obtienen al final del ciclo económico, suministrar oportunamente información en términos de unidades monetarias, referidas a la situación de las cuentas que hayan tenido movimiento hasta la fecha de emisión, entre otros.<br />De igual manera, la programación es el proceso de diseñar, escribir, probar, depurar y mantener el código fuente de programas computacionales. El código fuente es escrito en un lenguaje de programación. El propósito de la programación es crear programas que exhiban un comportamiento deseado. <br />El proceso de escribir código requiere frecuentemente conocimientos en varias áreas distintas, además del dominio del lenguaje a utilizar, algoritmos especializados y lógica formal. Programar, no involucra necesariamente otras tareas tales como el análisis y diseño de la aplicación (pero sí, el diseño del código), aunque si suelen estar fusionadas en el desarrollo de pequeñas aplicaciones.<br />También, en una empresa debe haber un sistema contable que permita tener un control sobre los movimientos financieros y operacionales de la misma, ya que este sistema permite a través de los libros contables realizar registros diarios de todos los movimientos que se ejecutan en una empresa, para así obtener información clara en caso de que se quiera obtener información veraz en determinado momento de la factibilidad del sistema contable.<br />Asimismo, la programación es fundamental para el desarrollo de las empresas ya que ayuda a crear programas en los cuales se facilita el control de los bienes monetarios sin la necesidad de transcribir al computador los procesos numéricos manualmente, creando así una serie de programas que solo piden los datos iniciales para que a través de los códigos y formulas, se efectúen todas las operaciones; arrojando solamente los resultados.<br />Para concluir, se puede indicar que el trabajo realizado aporta al Colegio Santa Teresita del Niño Jesús en el aspecto teórico ya que se consultaron varias fuentes especializadas, analizaron e interpretaron enfoques y estudios de diversos planteamientos, con lo cual se acrecentaron los conocimientos y se dio basamento a la investigacion. Es así, que este estudio podrá servir de antecedente a futuros trabajos que se realicen en el plantel. <br />Igualmente, el trabajo en el plano de la práctica pedagógica se centra en la creación de una empresa y de su respectivo proceso contable, de acuerdo con los datos suministrados por los profesores de las áreas de Contabilidad y Programación, especialistas en la materia. Esto beneficia a docentes y estudiantes <br />de la institución pues podrán darse cuenta de la importancia que tiene elaborar el sistema contable de una empresa, base fundamental de los egresados en las promociones de Procesamiento de Datos. <br />INFOGRAFÍA.<br />http://es.wikipedia.org<br />http://www.winnernet.org<br />RECOMENDACIONES<br />Se recomienda a la empresa Auto Repuestos “M.A.C” C.A, tener más agilidad a la hora de poner en práctica los procesos contables.<br />119<br />Infografía.<br />http://www.ucauca.edu.co/~gcuellar<br />http://fccea.unicauca.edu.co/old/procesamiento.htm<br />http://es.wikipedia.org/wiki/Informática<br />http://es.wikipedia.org/wiki/Contabilidad<br />120<br />121<br />Regitsro de Informaciòn Fiscal:<br />DOCUMENTOS NEGOCIABLES:Los documentos mercantiles negociables sustituyen al dinero en efectivo; en consecuencia son negociables. Estos son: Letras de Cambio, Pagarés y Cheques<br />Letra de cambio: Es el instrumento negociable que constituye una orden escrita en virtud de la cual una persona manda a pagar a otra, a la orden de un tercero, la cantidad de dinero que exprese. . Sus características son: 1.- Es una orden de pago. 2.- En su emisión intervienen tres personas (librador, librado y beneficiario) 3.- Debe llevar la firma del suscriptor. 4.- Cantidad en número. Pagare: Es un documento de crédito en virtud del cual una persona promete formalmente pagar una deuda en determinada fecha posterior. Sus características son: 1.- Es una promesa de pago. 2.- Intervienen dos personas en su emisión (suscriptor y beneficiario) 3.- Debe de levar la firma del suscriptor. <br />Cheque: Documento escrito a través del cual se ordena un instituto de crédito donde se tenga una cierta cantidad de dinero. Sus características son: 1.- Es un orden de pago. 2.- Posee un número que lo identifica. 3.- Cantidad en número. DOCUMENTOS NO NEGOCIABLES:Son todos aquellos documentos que sirven de base para los registros en los libros de contabilidad y a la vez probar desde el punto de vista legal la realización de una operación mercantil. Estos son: Recibo: Documento en el cual quien firma, reconoce haber recibido la cantidad que en el mismo se expresa por concepto de dinero u otra cosa. Sus características son: 1.- Lugar, día, mes año en el que se emite el recibo. 2.- Nombre completo de la persona a favor de quien se extiende. 3.- Cantidad de dinero en letra o mencionar el objeto que se entrega. 4.- Indicación del concepto por el cual se extiende el recibo. 5.- Cantidad en números. 6.- Firma de quien emite el recibo. Factura: Es la nota que el vendedor entrega al comprador , en el que se detallan las mercancías compradas. Sus características son: 1.- Nombre y domicilio del comprador y el vendedor. 2.- Lugar, día, mes y año en el que se realiza la operación. 3.- Condiciones de pago. 4.- Mencionar los descuentos si los hay 5.- Instrucciones relacionadas con las cantidades, descripción y precios de las mercancías. 6.- Firma del comprador.<br />CIUDADANO:<br />REGISTRADORA MERCANTIL. TERCERA DE LA CIRCUNSCRIPCIÓN JUDICIAL DEL ESTADO TÁCHIRA.<br />SU DESPACHO.-<br />Yo, CARLA LUCIA MENDEZ SALCEDO, Venezolana, mayor de edad, soltero, titular de la cedula de identidad Nro. V-20.300.200, de este domicilio y civilmente hábil, ante el Despacho y a su muy digno cargo ocurro para exponer: <br /> Debidamente autorizado por los accionistas de la Sociedad Mercantil denominada AUTO REPUESTOS M.A.C, C.A. y en mi carácter de Directora Única de la misma, presento a usted el Acta Constitutiva Estatutos de dicha Compañía, a los fines de su inscripción, fijación y publicación de conformidad con la Ley. Igualmente acompaño a fin de que sean agregados al Expediente Social, los respectivos recaudos que acreditan el pago de la totalidad del Capital Social: depósito bancario, Aceptación del Comisario y Titulo Fondo Negro de CARLA LUCIA MENDEZ SALCEDO.<br />Ruego a usted, darle el curso legal a esta participación y expedirme copia certificada de está, así como también de esta Acta Constitutiva producida, con su correspondiente nota de inscripción, a fin de dar cumplimiento a las anteriores formalidades de publicación.<br />Es justicia en San Cristóbal a la fecha de su presentación <br />CAPITULO I:<br />NOMBRE, DOMICILIO, DURACION Y OBJETO.<br />CLAUSULA PRIMERA: La Compañía se denominara “AUTO REPUESTOS M.A.C C.A.” domiciliada en la Guayana, centro comercial “Paseo la Villa”, Local No. A1-27, en la ciudad de San Cristóbal, Estado Táchira, República Bolivariana de Venezuela, y conformando su oficina, sucursal o agencias en cualquier lugar del país y del extranjero, previa aprobación de la Asamblea de Accionistas. CLAUSULA SEGUNDA: La duración de la Compañía es de veinte (20) años contados a partir de la fecha de su constitución, plazo que podrá ser prorrogado o disminuido, a juicio de la Asamblea de Accionistas. CLAUSULA TERCERA: La Compañía tendrá por objeto la importación, exportación, compra, venta distribución y comercialización tanto al mayor como al detal de productos automotores. Así mismo celebrar toda clase de acto necesario para la administración, desarrollo y ejecución de proyectos relacionados con todo tipo de repuestos automotrices como promociones, campañas, eventos, seminarios, convenciones y talleres, la compra y venta de repuestos automotrices ya sea con clientes regionales, nacionales e internacionales; la publicación de avisos, vallas, pancartas; letreros representaciones de marcas comerciales y de espectáculos o festivales nacionales e internacionales; además de todo lo relacionado directa o indirectamente con el área de servicios automotores y el ejercicio de toda clase de arreglos automotrices de formas legales y que puedan resultar de interés de la compañía, estén comprendidas en la enumeración que antecede.<br />CAPITULO II:<br />CAPUTAL ACCIONES Y ACCIONISTAS<br />CLAUSULA CUARTA: El Capital de la Compañía es de UN MILLON DE BOLIVARES FUERTES (Bs.F 1000000,oo), Dividido en CIEN (100,oo) Acciones con un valor nominal de Diez Mil Bolívares fuertes (Bs.F 10000,oo) cada una, el Capital ha sido suscrito así: El Accionista CARLA LUCIA MENDEZ SALCEDO suscribe SESENTA (60) acciones, para un total de SEICIENTOS MIL BOLIVARES FUERTES (Bs.F 600000,oo) y el accionista ANNA VALERIA GARCIA MENDEZ, suscribe CUARENTA (40) acciones para un total de CUATROCIENTOS MIL BOLIVARES FUERTES (Bs.F 400000,oo). CLAUSULA QUINTA: El Capital ha sido suscrito y pagado en conjunto de la siguiente manera: Un veinte por ciento (20%), es decir la cantidad de DOCIENTOS MIL BOLIVARES FUERTES (Bs.F 200000,oo), en efectivo tal como sea evidencia de depósito bancario. El saldo restante será pagado como lo decida la Asamblea. CLAUSULA SEXTA: Cada Acción da derecho a un voto en las Asambleas y no admite división con respecto a la Compañía, la cual no reconocerá más que un propietario para cada una de ellas Todas las Acciones son de igual valor, confieren iguales derechos e imponen iguales obligaciones a cada uno de sus suscriptores. CLAUSULA SEPTIMA: La propiedad de las Acciones se prueba a través de la presente acta y con las correspondientes inscripciones en el Libro de Accionistas y la sesión o traspaso de las mismas sea acredita mediante acta que se inscribirá en el libro mencionado, firmada por el cedente, el sesionarlo y los representantes de la Compañía. CLASULA OCTAVA: Los Accionistas se conceden recíprocamente un derecho preferente en la relación a la enajenación de Acciones. El cedente hará oferta a los demás Accionistas por medio de un escrito dirigido a la Asamblea General de Accionistas la que en atención al derecho presente que tienen los accionistas para adquirirlas, convocara a un Asamblea Extraordinaria para el Octavo (8vo) día siguiente, por lo menos aquel en que recibió dicha comunicación, siendo en esa oportunidad en la que los Accionistas harán uso de tal derecho y si renuncian a él queda en libertad el oferente para ofrecerlas a terceras personas. CLAUSULA NOVENA: La adquisición de acciones de la Compañía implica plena adhesión a la presente acta constitutiva y sus modificaciones así como las decisiones tomadas en las Asambleas y dentro de sus atribuciones<br />CAPITULO III.<br />DE LAS ASAMBLEAS.<br />CLAUSULA DECIMA: La Asamblea General de Accionistas legalmente constituida, representada la máxima autoridad de la Compañía y sus decisiones deberán ser atacadas por todos los accionistas, estén o no de acuerdo con ellas y hayan asistido o no a sus reuniones siempre en que:<br />Nosotras: MARIELA MENDEZ, CARLA ARELLANO Y ANNA SALCEDO venezolanas, mayores de edad, solteras las tres, domiciliadas en San Cristóbal, Estado Táchira, Titulares de la cedula de identidad Nros. V-25.498.402, V-24.147.506, 23.095.550 respectivamente, la primera periodista, la segunda Contadora y la tercera Abogada, civilmente Hábiles; por medio del presente documento declaramos: Que hemos venido a constituir, como en efecto constituimos, una Compañía Anónima la cual se regirá por las disposiciones contenidas en las cláusulas que a continuación se expresan, redactadas con suficiente amplitud para que sirvan a la vez de Acta Constitutiva y Estatutos Sociales de la Compañía. <br />CAPITULO IV:<br />DE LA ADMINISTRACION<br />CLAUSULA DECIMA CUARTA: La Compañía sera administrada por un Director Unico quien sera Accionista o no, durara diez (10) años en el ejercicio de sus funciones y podran ser reelegidos.<br />CAPITULO V:<br />DEL COMISARIO<br />CLAUSULA DÉCIMA SEPTIMA: La Compañía tendrá un COMISIARIO de libre elección remoción por la Asamblea de Accionistas el cual durará cinco (05) años en el ejercicio de sus funciones y podrá ser reelegido. Tendrá las facultades señaladas en el Código de Comercio.<br />CAPITULO VI:<br />DEL AÑO ECONÓMICO, BALANCE, CUENTAS, FONDOS, UTILIDADES<br />Termina el treinta y uno (31) de Diciembre de cada año. Salvo el primer ejercicio que comenzara en la fecha de su formal constitución por ante la Oficina de Registro Mercantil de la Circunscripción Judicial del estado Táchira y culminara el treinta y uno (31) de diciembre del mismo año. Al final de cada ejercicio se cortaran las cuentas y se participara el Balance general Inventario para determinar el estado de la Compañía. Si hubiere utilidades liquidas, se deducirá un Cinco por ciento (5%) para formar el Fondo de Reserva legal exigido por el Código de Comercio, hasta alcanzar el diez por ciento (10%) del Capital Social, el monto restante se abonará a la cuenta de utilidades por distribuir para ser repartido en forma de dividendos proporcionalmente a su respectivos aportes al Capital de la Empresa, cuando así lo disponga la Asamblea de Accionistas. CLAUSULA DECIMA NOVENA: Acordada la disolución de la Compañía por expiración del término o por decisión de una Asamblea de Accionistas convocada al efecto, podrá a su juicio, nombrar uno o más liquidadores, quienes tendrán las facultades que les otorgue la misma Asamblea de Accionistas y las previstas en el artículo 350 del Código de Comercio. Una vez hecha la liquidación total pagados los pasivos, el remanente será distribuido proporcionalmente entre los accionistas de la Compañía. CLAUSULA VIGESIMA: En todo lo no previsto en estos Estatutos la Compañía se regirá por las disposiciones legales pertinentes.<br />CAPITULO VII:<br />DISPOSICIONES TRANSITORIAS:<br />PRIMERA: Se designa como DIRECTORA ÚNICA al ciudadana CARLA LUCIA MENDEZ SALCEDO y se nombra como COMISARIO, a la ciudadana ANNA VALERIA GARCIA MENDEZ, Licenciada en Contaduría Pública, inscrita en el Colegio de Contadores Públicos bajo el Número 28282, titular de la cédula de identidad No. V-15208035. SEGUNDA: Se autoriza suficientemente a la Directora Única ciudadana CARLA LUCIA SALCEDO MENDEZ ya identificado, para que trámite la presentación, inscripción, registro y publicación de la presente Acta Constitutiva Estatutaria. <br />SE EXPIDE LA PRESENTE COPIA CERTIFICADA PARA FINES DE PUBLICACION EN LA PRENSA. CERTIFICO QUE ESTA COPIA FOTOSTATICA HA SIDO HECHA EN ESTA OFICINA POR PABLO EDUARDO BOTERO CON CEDULA DE IDENTIDAD V-15156158, PERSONA CAPAZ AUTORIZADA POR MI PARA HACERLA Y QUIEN JUNTO CONMIGO SUSCRIBE LA PRESENTE CERTIFICACION Y CADA UNA DE SUS PAGINAS SAN CRISTOBAL ( ) ( ) DEL AÑO DOS MIL ( ) <br />Las mismas exista el quórum es decir que se encuentre presente un número de Accionistas que Representen el Sesenta porciento (60%) del capital social. CLAUSULA DECIMA PRIMERA: Las Asambleas serán convocadas y presididas por la administradora de la Compañía y se reunirán previa convocatoria, publicada por la prensa, con cinco (05) dias de anticipación por lo menos a la fecha en que deba celebrarse dicha Asamblea de conformidad con el Articulo 277 del Codigo de Comercio. La convocatoria se indicara el objeto, dia, lugar y hora de reunion. Cualquier deliberacion sobre puntos no expresados en la convocatoria sera nula, sin embargo podran efectuarse prescindiendo de la convocatoria previa, siempre que se encuentren presentes o representados de manera Autenticada todos los Accionistas y acuerden constituirse en Asamblea, pudiendo someter a consideracion los puntos que se creyeren convenientes y resolver sobre los mismos. El mismo procedimiento se utilizara en las convocatorias de las Asambleas Generales Extraordinarias, las cuales se reuniran cada vez que sea de interes para la compañía o cuando lo exija un numero de Accionistas que represente por lo menos el Veinte por Ciento (20%) del Capital social. CLAUSULA DECIMA SEGUNDA: La Asamblea Ordinaria de Accionistas debera reunirse todos los añoos dentro de los primero Noventa (90) dias siguientes al termino del ejercicio economico, fecha que determinara el Director unico y su objeto sera señalado en el Articulo 275 del Codigo de Comercio. CLAUSULA DECIMA TERCERA: Las Asambleas tanto Ordinarias como Extraordinarias se consideraran validamente constituidas cuando concurra a ellas un numero de accionistas que represente por lo menos el Sesenta por ciento (60%) del capital social. En caso de falta de siguiente, con necesidad de nueva convocatoria se instalara con cualquiera que sea el numero concurrentes a ella. Las resoluciones de las Asambleas tanto Ordinarias como Extraordinarias se tomaran por mayoria calificada del Setenta y cinco por ciento (75%) del capital social representado en la Asamblea <br />25021<br />REPUBLICA BOLIVARIANA DE VENEZUELA<br />MINISTERIO DEL INTERIOR Y JUSTICIA <br />REGISTRO MERCANTIL TERCERO<br />DE LA CIRCUNSCRIPCION JUDICIAL DEL ESTADO TACHIRA<br />REGISTRADORA MERCANTIL TERCERO DE LA CINCUNSCRIPCION <br />JUDICIAL DEL ESTADO TACHIRA<br />C E R T I F I C A D A <br />25021<br />Que el asiento de registro de Comercio transcrito a continuación.<br />Cuyo original está escrito en el Tomo: 12-A.. Número: 18 así como<br />LA PARTICIPACION. NOTA Y DOCUMENTO que se copian de seguida son traslado<br />Fiel y exacto de sus originales. Los cuales son del tenor siguiente <br />ESTE FOLIO PERTENECE A:<br />AUTO REPUESTOS M.A.C C.A<br />Respectivo, por lo que los administradores continuarán en el desempeño de sus funciones.<br />CLAUSULA DECIMA QUINTA: Conforme al artículo 244 del Código de Comercio los administradores depositarán en caja Social una (1) acción, para garantizar todos los actos de su gestión administrativa o su equivalente en dinero efectivo los no socios. CLAUSULA DECIMA SEXTA: El Director Único ejercerá la representación y dirección de la Compañía sin más limitación que las impuestas por los estatutos sociales, la Asamblea General de Accionistas y las leyes sobre la materia así mismo podrá el Director único, dentro de sus atribuciones el Director único tendrá las siguientes: 1.-Convocar y presidir las Asambleas de Accionistas. 2.- Rendir cuentas a la Asamblea General Ordinaria o Extraordinaria sobre las actividades y negocios de la Compañía. 3.- Ejercer la administración y dirección de la Compañía en todas las operaciones inherentes a la realización de su objeto social. 4.- Nombrar y remover los empleados de la Compañoa fijándoles sus remuneraciones. 5.- Aprovar los presupuestos de la Compañía y requerir el Capital de trabajo a la personas naturales o jurídicas pertinentes incluidas las solicitudes de crédito a instituciones financieras otorgando las fianzas y garantías necesarias para lograr el objeto social de la Compañía. 6.- Movilizar, abrir y cerrar cuentas en institutos bancarios o Financieros, autorizando la firma para la movilizacion de los mismos personas de su confianza. 7.- Celebrar contratos y obligar a la compañía en los negocios que constituyen su objeto. 8.- Intentas, contestar demandas, cinvenir, desistir, cimprometer en árbitros, hacer postura en remate, recibir cantidades de dinero y disponer del derecho en litigio, anunciar recursos constituir, otorgar, sustituir y revocar poderes judiciales en Abogados de su confianza fijándole sus facultades deberes y remuneraciones. 9.- Emitir, endosar, aceptar cheques, pagares y cualquiera otros documentos cambiarios. 10.- Vender, enajenar, comprar, grabar, arrendar, o realizar contratos o negocio jurídico con los bienes muebles o inmuebles de la Compañía. 11.- designar y autorizar las personas que puedan emitir. Avalar y aceptar letras de cambio, cheques, pagares, titulos valores, créditos de cualquier otro efecto de comercio en nombre de la Compañía así como para abrir movilizar o cerrar cuentas bancarias en Institutos Financieros Nacionales y Extranjeras.<br />