Cuaderno de Actividades: Física II




   2) CAMPO ELÉCTRICO
      Y LEY DE GAUSS




Lic. Percy Víctor Cañote Fajardo     19
Cuaderno de Actividades: Física II


                                    r
2.1) Definición de campo eléctrico, E
          r
El vector E describe las propiedades eléctricas del espacio {medio}.



            r                                 q0       r
                                                       Fe
                                                                           r
                                                                           E
         r Fe                                      P                   P
         E=                                                 →
            q0
                                       q



Donde:


      q0 : Carga de prueba , q0 → +
                                     q0 → 0




Campo eléctrico: Discusión…

              “Las interacciones del campo no son instantáneas”
             “La carga q modifica el medio que la rodea (campo)”


                                                                r
                                                                E




Lic. Percy Víctor Cañote Fajardo                                           20
Cuaderno de Actividades: Física II


Ecuaciones de E
i) q


                    r r
             kqq0 ( r − r ′ )
                r r3                    r
rq             r − r′                kqr       r r            q       P
E ( rr ) =                          = r 3 , si r ′ ≡ 0                    r
                   q0                 r                  r
                                                                          E (qrr )
                                                         r′
                                                                  r
                                                                  r

En general :
             r r
r r kq ( r − r ′ )
Eq ( r ) = r r 3
           r − r′

ii) Distribuciones Discretas, DD

  qi


              qi                P

                                          r
                                          E (qrr )
                                               i



       r r
       ri = r '         r
                        r




                                    r r
r DD r    i =n r
                   r
E ( r ) = ∑ E qi ( r ) ≡ ∑ r r 3 i ( i)
                         i = n kq r − r


          i =1           i =1    r − ri




iii) Distribuciones continuas:
                    continuas:


   j) Volumétrica


Lic. Percy Víctor Cañote Fajardo                                                 21
Cuaderno de Actividades: Física II



                               r r
        rρ           k ρ dv′ ( r − r ′ )
        E ( rr ) = ∫      r r 3 , v : representa el volumen
                   ρ     r − r′

     jj) Superficial

                             r r
       rσ           kσ da′ ( r − r ′ )
       E ( rr ) = ∫     r r 3 , a o s : representa el área
                  σ     r − r′

     jjj) Lineal

                               r r
       rλ           k λ dl ′ ( r − r ′ )
       E ( rr ) = ∫      r r 3 , l : representa la longitud
                  λ     r − r′

“Las distribuciones de carga crean el campo”




Observaciones

        r
j)   u E ≡ N
                   C

        r
    r Fe
jj) E =    : definición operacional
        q0


       r       r        r
       Fe = q0 E ,     Fe : Fuerza " sentida " por q0 .
                       r
                       E : creado por cierta distribución de
jjj)
                            cargas en la posición de q0 .
       r
jv) El E       es usado intensivamente en las ecuaciones.




Lic. Percy Víctor Cañote Fajardo                               22
Cuaderno de Actividades: Física II




2.2) Lineas de fuerza, LF

                ρ( rr )                                 r         r r
                              P      rρ           k ρ ( r ) dv′ ( r − r ′ )
                                     E ( rr ) = ∫         r r3
                                                ρ         r − r′
     r
     r′
                                                   r
                                           ∀ρ , E se obtiene por definicion
                          r
                          r




    → LEY DE GAUSS: ρ de alta simetría .
                                         r
    → Útil sólo para ρ de alta simetría: E “fácil” de calcular.
    → LF / LF=simetría ρ .


Definición de lineas de fuerza
                                                      r     r
Son las trayectorias descritas por las q0 debido a la Fe ≡ qE    (   )   generada por
cierta ρ .
                                                            r
                                                            Fe
              r
          ρ ( r ')                           q0




                                                                              LF


“La forma de las LF esta ligada a cómo se distribuye la q”


Lic. Percy Víctor Cañote Fajardo                                                   23
Cuaderno de Actividades: Física II




LF para diversas distribuciones de carga

                                     i) ρ ≡ q




                        r
                        Fe


                q0                    ii)
                                                q




       q
                             g|q|
                             
ρ : q1 − q2                  g+-
                             g
                             d


Caso especial:

 q1 ≡ q2 ≡ q

q1 → +

q2 → −
d → " pequeña "





Lic. Percy Víctor Cañote Fajardo                    24
Cuaderno de Actividades: Física II



                                                  Dipolo eléctrico:
                                                  Modelo más simple para describir
                                                  sistemas cargados (cuando d se
                                                  aprox. a 0)




                       d

             q             -q



                                     iii) ρ ≡ λ

                               O
                  λ


                                                                     λ




iv) ρ ≡ σ

                           σ                                             σ




 O



v) ρ ≡ ρ 0 ∨ ρ ( r )


Lic. Percy Víctor Cañote Fajardo                                                25
Cuaderno de Actividades: Física II




                   Q = ∫ ρ dv
                                                             Q




Características
      r                                     q0       r
j)    E tg LF                                        E


jj)
      ρ+                              ρ−




jjj) No se cruzan

jv) Distribución de LF:

      k) Densidad LF: Relacionada a la intensidad.

      kk) Uniformidad LF: Relacionada a campos constantes.



¿? Prepare maquetas de LFs




2.3) Ley de Gauss

Lic. Percy Víctor Cañote Fajardo                                 26
Cuaderno de Actividades: Física II



Establece la proporcionalidad entre el flujo eléctrico a través de cierta superficie
cerrada, llamada gausiana y la carga eléctrica encerrada por dicha superficie.




                                     Johann Carl Friedrich
                                     Gauss,
                                     El príncipe de las
                                     matemáticas.




Definición del flujo eléctrico, φE
                                 r



                                                           r
Es la cantidad física escalar que informa acerca de cuanto E atraviesa la
superficie.

                                                      r r      r r
                      r
                      E                  φES ≡ φE ≡ ∫ E.ds ≡ ∫ E.da ,
                                                r

                                                    S        S
                                          r    r
                         r               ds = da : vector de area elemental
                        da
                   da
                                                 r
                                          r → da ≡ da
                             S=A         da     r
                                             → da ⊥ da




Lic. Percy Víctor Cañote Fajardo                                                 27
Cuaderno de Actividades: Física II


Ley de Gauss

                                                                  r r
                                                   φ   r
                                                       E ,SG
                                                               = Ñ .da α
                                                                 ∫E        qNE
                                                                SG


                                                             r r q
                          SG                              Ñ∫
                                                          SG
                                                             E.da ≡ NE
                                                                    ε0


                                                        qNE ≡    ∫ ρ dV
                                                                SG




                                         Para simplificar los cálculos ver que:
                                         r r r
                                         E ⋅ da ≡ E da cosθ




               r r        r r
1º θ ≡ 0 ∨ π → E ⋅ da ≡ ± E da

                                     {         }
    r         r r r           r
2º E ≡ cte → E ⋅ da ≡ E da E sale dela ∫

*SG, Superficie gaussiana {superficie. cerrada}




¿? Investigue por lo menos una biografía del Príncipe de las Matemáticas.


¿? Que otros flujos se usan en la Física.


¿? Será posible matematizar las LF




Lic. Percy Víctor Cañote Fajardo                                                 28
Cuaderno de Actividades: Física II




Ejemplo


            Z        λ

                                                  dl = dz
                                                  dq = λ dz
            r
            r′                                    r          Y
                                                  E
                         r
                         r
X




                                                      r
1º Por la definición de                               E

                        r r
rλ           k λ dl ′ ( r − r ′ )                            r ˆ
                                                             r = rj     ( r − r ′ ) ≡ ( rj − zkˆ ) → r − r ′ ≡
                                                                             r r         ˆ          r r
                                                                                                                 r 2 + z2
E ( rr ) = ∫      r r3
           λ     r − r′                                      r      ˆ
                                                             r ′ = zk



r r
Eλ ( r ) =
              ∞             ˆ    (
                                 ˆ
                    k λ dz rj − zk                    ) =E               ˆ
              ∫                                                   ˆ + Ez k
                                                                  j
                     {r                       }
                                                              y
                                          2 32
             −∞
                             2
                                 +z

              ∞
                                 dz
Ey = kλr ∫                                            = ¿?
              −∞    {r   2
                             +z        }
                                      2 32




                ∞
                                 zdz
Ez = − k λ ∫                                          → 0, por simetria
                    {r                    }
                                              32
              −∞
                         2
                             +z       2




Lic. Percy Víctor Cañote Fajardo                                                                                            29
Cuaderno de Actividades: Física II




2º λ → alta simetría → Gauss


                         λ                         λ

                                               r       r
                                   r
                                                            r
                                                           da   r
                                                                E
             H                             H
                                       r
                                       E



 O




                        SG=SCL+STS+STI




Lic. Percy Víctor Cañote Fajardo                                    30
Cuaderno de Actividades: Física II


  r r                                            qNE
ÑE ⋅ da ≡
∫
SG
                  ∫
                 SCL
                         +    ∫
                             STS
                                   +    ∫
                                       STI
                                             =
                                                 ε0
               6 8
                 7            678
                r r            r r
               da || E        da ⊥ E

                r             q          r
      =    ∫
          SCL
                E da + 0 + 0 = NE , SG : E = cte
                               ε0


        r        r               λH
      = E  ∫ da  = E { 2π rH } =
           SCL                   ε0

          r              λ
        → E =
                       2π rε 0

S1P22)
a) Localice en la figura los puntos donde el campo eléctrico es cero.
b) Trace un dibujo cualitativo que muestre las líneas de fuerza del campo
   resultante.
c) Haga un gráfico cualitativo de E vs. x, dónde E se evalúe en puntos del eje
   X.

Solución:

  Q               q-                   q+    E- P E+             S
                                                                        x
          d1      0          d0                   d          x



                                             k q+            k q−               2q         5q
                         E+ ≡ E− →                     ≡                    →        ≡
                                                 d2        { d0 + d }
                                                                        2
a) Para el punto S:                                                             d2       1   
                                                                                                  2

                                                                                          + d
                                                                                         2   
  1          
2  + d + d 2  ≡ 5d 2
  4          




Lic. Percy Víctor Cañote Fajardo                                                                  31
Cuaderno de Actividades: Física II


                                                       1
                                       2 ± 4 − 4 × 3×  − 
                1                                      2         2 + 10
3d 2 − 2d −       ≡ 0 → d1,2         ≡                      → d1 ≡        ≡ 0,9
                2                             2×3                     6
Igual en Q:




E+ ≡
             ( )
          k 2q
                        ≡ E− ≡
                                     k 5q( ) → 2d    2
                                                         ≡ 5d12 + 5d1 +
                                                                            5
                    2                               1
            1                          d12                                4
        d1 + 
            2

                                                               5
                                         −5 ± 25 − 4 × 3 ×
                5                                              4       −5 ± 10
3d12 + 5d1 +      ≡ 0 → d11,2 ≡                                    ≡           ≡ −0,3; −1,4
                4                               2×3                        6
                                                                       b)

                                     -          +          x




c) Para el punto S:
                                                 
r     k { +2q} ˆ k { −5q} ˆ                      
                                      2        5 ˆ       ˆ
ET ≡          2
                i+     2
                          i ≡ kq           2
                                              − 2  i ≡ ET i
          1        x            x − 1     x 
     x −                                    
          2                          2        

                        
                        
             2        5       1
ET ≡ kq           2
                     − 2  ← x > ,L hay que especificar para cada región
         x − 1     x        2
        
             2
                        
                         




Lic. Percy Víctor Cañote Fajardo                                                      32
Cuaderno de Actividades: Física II


                 E-
                       y                 ET




                                          E+




                                         0,9
                            0      0,5                      x

            E+                                     E+




S1P7) En la distribución mostrada ρ0 es
      constante y q0 es una carga puntual.
                                                                R0   ρ0         centro de la circunferencia
      Calcule la fuerza sobre q0 si d >> R0.                                          q0


                                                                     R0/2


                                                                            d

Solución:




            0          0’                      q
                                                        r
                R0/2            d
       R0
                 ρ0



Por superposición:



Lic. Percy Víctor Cañote Fajardo                                                              33
Cuaderno de Actividades: Física II




                        Q                Q’


                 0                            0’
                               +                          ≡        r
                                                    -ρ0

                 ρ0

r     r      r          kQ
                                 kQ '      
                                            ˆ
Eq0 ≡ EQq0 + EQ ' q0 ≡  2 +                i ;
                       
                        d   ( d − R0 / 2 ) 
                                            

                                     3
       4 3               4 R        Q
Q ≡ ρ 0 π R0 , Q ' ≡ − ρ0 π  0  ≡ −
       3                 3 2        8



                                   
                                   
r           4π 3  1         1      ˆ       ˆ
Eq0 ≡ k ρ 0    R0  2 −            2
                                     i ≡ Eq0 i
             3     d         R 
                        8 d − 0  
                  
                             2  


                      R0
Si d >> R0 →             << 1{despreciando los cuadrados}
                      d
                                               −2             −2
             1     1    R        R      R 
→              2
                 ≡ 2 1 − 0  → 1 − 0  = 1 + 0 
         R      d  2d        2d          d 
  d 2 1 − 0 
       2d 

Usando la aproximación del Binomio de Newton:


(1 − x) n ≈ 1 − nx cuando x << 1




Lic. Percy Víctor Cañote Fajardo                                   34
Cuaderno de Actividades: Física II


             4 π R0  ( 1 + R0 / d ) 
                  3
→ Eq0 = k ρ0      2 
                     1−              
              3 d          8
                    144   244    3

     4      R0  1  R0  
             3
Eq0 = π k ρ0 2 1 − 1 +  
     3      d  8      d 

             3
     1      R0    R 
Eq0 = π k ρ0 2 7 − 0 
     6      d      d 
¿? Encuentre este resultado usando la definición. Analice la expresión
integral.

Ahora, usando

  r      r                           r    1          3
                                                    R0    R ˆ
  F ≡ q0 E                           Fq0 = π q0 k ρ0 2 7 − 0  i
                                          6         d      d 

S1P19) Un anillo fino aislante de radio R tiene una carga con densidad lineal
       λ(φ)= λ0 cosφ, donde λ0 es una constante positiva y φ el ángulo
       azimutal, ¿Cuál es el modulo del vector campo eléctrico?
                    Z                             a) En el centro del anillo
                   P                              b) En su eje a una distancia
              z≡d                                    d de su centro. Analice la
                                                     expresión obtenida para
                                                     d >> R.
                                λ
                                                                            r r
                   0                       y        r          k λ (φ )dl ( r − r ')
                       φ   R                   a)   E ( 0) ≡ ∫       r r 3
                                                             λ       r −r'
  x                        dq
                                               r r r
                                               r ≡ 0, r ' ≡ R cos φ i + Rsenφ ˆ
                                                                    ˆ         j
    r
→ ( r − r ') ≡ − R cos φ i − Rsenφ ˆ
                         ˆ         j
r r 3
r − r 1 ≡ R 3 ; dl ≡ Rdφ




Lic. Percy Víctor Cañote Fajardo                                                       35
Cuaderno de Actividades: Física II


r          −k λ0  2π  2
                                   ˆ 1
                                                   
E λ ( 0) ≡        ∫0  { cos φ dφ i + sen 2φ dφ ˆ  
                                                 j
            R                     2{           
                                                   
                     1
                       ( 1 + cos 2φ )
                     2
r          −k λ0π ˆ   r         kλ π
E λ ( 0) ≡        i → E λ ( 0) ≡ 0
             R                   R

     r    ˆ r
b)   r ≡ zk , r ' ≡ R cos φ i + Rsenφ ˆ
                            ˆ         j
    r r
→ ( r − r ' ) ≡ − R cos φ i − Rsenφ ˆ + zk
                          ˆ         j    ˆ

r r 3
               {                }
                                    3/ 2
r − r ' ≡ R2 + z 2                         ; dq ≡ λ R dφ

  r                     −k λ0 R 2   2π  2
                                                                            
→ Eλ ( z ) ≡                                       ˆ 1 sen 2     z         ˆ 
                              3/ 2  ∫0  {
                                          cos φ dφ i + { φ dφ ˆ − cos φ dφ k  
                                                              j
                                                                            
                   {   R +z
                        2   2
                                     }
                                    
                                                     2          R{          
rλ       − k λ0π R 2 ˆ     rλ        k λ0π R 2
E ( z) ≡               i → E ( z) ≡                ,
           {               }                         {      }
                  3/ 2                        3/ 2
         R +z
          2     2
                                    R +z
                                      2    2




        rλ     k λ0 R 2π
 lim E ( z ) ≡
 z >> R           z3



S1P47) Determine el campo eléctrico de un disco de radio R con densidad
       superficial de carga uniforme, sobre puntos en el eje axial del disco.

Solución:

                       z                                   A)   Usando      coordenadas
                            r
                            r                                    polares               (≡
                                                                 coordenadas
          σ                                                      cilíndricas en el plano)
                           rr                   y
                           r'                                       y

           x
Lic. Percy Víctor Cañote Fajardo                                                       36
Cuaderno de Actividades: Física II



     da=(rdθ)dr
                                    dr
                  dθ        r
                                            x
                       θ




                  r r
r r         kdq ( r − r ') r
E ( r ) ≡ ∫ r r 3 ≡ kσ I
          σ   r −r'

dq = σ da = σ ( rdθ dr )
r
r ≡ ( 0,0, z )
r
r ' ≡ ( r cosθ , rsenθ ,0 )

r     k ( σ rdθ dr ) ( −r cosθ , − rsenθ , z )
I ≡∫
                                (                        )
    s                        3/ 2
                    r2 + z2


   R 2π
≡ ∫ ∫
         ( −r cosθ , −rsenθ , z ) rdθ dr 
                                         
   0 0
                                (        
                                                         )
                           3/ 2
                  r2 + z2
                                        
    2π                                              2π
∫0
         cosθ dθ       =0
                                                ∫
                                                0
                                                         senθ dθ   =0   (por evaluarse en sus periodos)



r   2π R               rzdrdθ                   ˆ
I ≡∫ ∫                                          k
                  (r                 )
          0   0                          3/ 2
                       2
                           + z2




Lic. Percy Víctor Cañote Fajardo                                                                      37
Cuaderno de Actividades: Física II


                                            
   ≡
      { ∫ dθ } ∫ (
          0
           2π           R

                        0
                                   zrdr
                                r2 + z2    )
                                        3/ 2
                                             k
                                             
                                               ˆ
                                            

                                             
                      rdr
   ≡ ( 2π ) z ∫
                 R
                                              kˆ
     
                    (                )        
                0                        3/ 2
                   r2 + z2
                                             

r                   z
                         z                         ˆ
                                                    
E ( z ) ≡ kσ ( 2π )  −                             k
                    z
                       R2 + z 2                    
                                                    
¿? Encuentre este resultado usando la definición con un elemento de área
   cartesiano. Analice la expresión integral.
¿? Qué ocurre si R → ∞

R→∞
r                  z ˆ  kσ ( 2π ) k
                        
                                     ˆ
E ( z ) ≡ kσ ( 2π ) k ≡ 
                   z    − kσ ( 2π ) k
                        
                                      ˆ

 r                       1               σ
 E ( z ) ≡ k ( 2π ) σ ≡       ( 2π ) σ ≡                :   El   E   de   un   plano!
                        4πε 0             2ε 0
    (verifíquelo usando LG)


B) Usando anillos de λ=σdr


                    z
                            r
                            r
          σ
                        rr                     y
                        r'

          x




Lic. Percy Víctor Cañote Fajardo                                                    38
Cuaderno de Actividades: Física II

     r    ˆ r
b)   r ≡ zk , r ' ≡ r cos φ i + rsenφ ˆ
                            ˆ         j
    r r
→ ( r − r ') ≡ −r cos φ i − rsenφ ˆ + zk
                        ˆ         j    ˆ

r r 3
              {              }
                                 3/ 2
r − r ' ≡ r2 + z2                       ; dq ≡ λ rdφ

   r                    kσ rdr      2π 
                                                                            
→ dE λ ( z ) ≡                                        ˆ − rsenφ dφ ˆ + zdφ k  
                                                                           ˆ 
                              3/ 2  ∫0  124
                                         −r cos φ dφ i {          j
                   {   r +z
                        2   2
                                    }
                                    
                                   
                                          4 3                                
                                                                             
                                       R
 rλ        kσ (2π ) zrdr ˆ    rσ         kσ (2π ) zrdr ˆ
dE ( z ) ≡                k → E ( z) ≡ ∫               k
             {           }                             {   }
                     3/ 2                       2 3/ 2
            r +z
             2    2
                                       0 r + z
                                           2




r                   z
                         z   ˆ
                              
E ( z ) ≡ kσ ( 2π )  −       k
                    
                     z R +z 
                         2  2
                              




Lic. Percy Víctor Cañote Fajardo                                               39

Cap2 campo electrico y ley de gauss

  • 1.
    Cuaderno de Actividades:Física II 2) CAMPO ELÉCTRICO Y LEY DE GAUSS Lic. Percy Víctor Cañote Fajardo 19
  • 2.
    Cuaderno de Actividades:Física II r 2.1) Definición de campo eléctrico, E r El vector E describe las propiedades eléctricas del espacio {medio}. r q0 r Fe r E r Fe P P E= → q0 q Donde: q0 : Carga de prueba , q0 → + q0 → 0 Campo eléctrico: Discusión… “Las interacciones del campo no son instantáneas” “La carga q modifica el medio que la rodea (campo)” r E Lic. Percy Víctor Cañote Fajardo 20
  • 3.
    Cuaderno de Actividades:Física II Ecuaciones de E i) q r r kqq0 ( r − r ′ ) r r3 r rq r − r′ kqr r r q P E ( rr ) = = r 3 , si r ′ ≡ 0 r q0 r r E (qrr ) r′ r r En general : r r r r kq ( r − r ′ ) Eq ( r ) = r r 3 r − r′ ii) Distribuciones Discretas, DD qi qi P r E (qrr ) i r r ri = r ' r r r r r DD r i =n r r E ( r ) = ∑ E qi ( r ) ≡ ∑ r r 3 i ( i) i = n kq r − r i =1 i =1 r − ri iii) Distribuciones continuas: continuas: j) Volumétrica Lic. Percy Víctor Cañote Fajardo 21
  • 4.
    Cuaderno de Actividades:Física II r r rρ k ρ dv′ ( r − r ′ ) E ( rr ) = ∫ r r 3 , v : representa el volumen ρ r − r′ jj) Superficial r r rσ kσ da′ ( r − r ′ ) E ( rr ) = ∫ r r 3 , a o s : representa el área σ r − r′ jjj) Lineal r r rλ k λ dl ′ ( r − r ′ ) E ( rr ) = ∫ r r 3 , l : representa la longitud λ r − r′ “Las distribuciones de carga crean el campo” Observaciones r j) u E ≡ N   C r r Fe jj) E = : definición operacional q0 r r r Fe = q0 E , Fe : Fuerza " sentida " por q0 . r E : creado por cierta distribución de jjj) cargas en la posición de q0 . r jv) El E es usado intensivamente en las ecuaciones. Lic. Percy Víctor Cañote Fajardo 22
  • 5.
    Cuaderno de Actividades:Física II 2.2) Lineas de fuerza, LF ρ( rr ) r r r P rρ k ρ ( r ) dv′ ( r − r ′ ) E ( rr ) = ∫ r r3 ρ r − r′ r r′ r ∀ρ , E se obtiene por definicion r r → LEY DE GAUSS: ρ de alta simetría . r → Útil sólo para ρ de alta simetría: E “fácil” de calcular. → LF / LF=simetría ρ . Definición de lineas de fuerza r r Son las trayectorias descritas por las q0 debido a la Fe ≡ qE ( ) generada por cierta ρ . r Fe r ρ ( r ') q0 LF “La forma de las LF esta ligada a cómo se distribuye la q” Lic. Percy Víctor Cañote Fajardo 23
  • 6.
    Cuaderno de Actividades:Física II LF para diversas distribuciones de carga i) ρ ≡ q r Fe q0 ii) q q g|q|  ρ : q1 − q2 g+- g d Caso especial:  q1 ≡ q2 ≡ q  q1 → +  q2 → − d → " pequeña "  Lic. Percy Víctor Cañote Fajardo 24
  • 7.
    Cuaderno de Actividades:Física II Dipolo eléctrico: Modelo más simple para describir sistemas cargados (cuando d se aprox. a 0) d q -q iii) ρ ≡ λ O λ λ iv) ρ ≡ σ σ σ O v) ρ ≡ ρ 0 ∨ ρ ( r ) Lic. Percy Víctor Cañote Fajardo 25
  • 8.
    Cuaderno de Actividades:Física II Q = ∫ ρ dv Q Características r q0 r j) E tg LF E jj) ρ+ ρ− jjj) No se cruzan jv) Distribución de LF: k) Densidad LF: Relacionada a la intensidad. kk) Uniformidad LF: Relacionada a campos constantes. ¿? Prepare maquetas de LFs 2.3) Ley de Gauss Lic. Percy Víctor Cañote Fajardo 26
  • 9.
    Cuaderno de Actividades:Física II Establece la proporcionalidad entre el flujo eléctrico a través de cierta superficie cerrada, llamada gausiana y la carga eléctrica encerrada por dicha superficie. Johann Carl Friedrich Gauss, El príncipe de las matemáticas. Definición del flujo eléctrico, φE r r Es la cantidad física escalar que informa acerca de cuanto E atraviesa la superficie. r r r r r E φES ≡ φE ≡ ∫ E.ds ≡ ∫ E.da , r S S r r r ds = da : vector de area elemental da da r r → da ≡ da S=A da  r  → da ⊥ da Lic. Percy Víctor Cañote Fajardo 27
  • 10.
    Cuaderno de Actividades:Física II Ley de Gauss r r φ r E ,SG = Ñ .da α ∫E qNE SG r r q SG Ñ∫ SG E.da ≡ NE ε0 qNE ≡ ∫ ρ dV SG Para simplificar los cálculos ver que: r r r E ⋅ da ≡ E da cosθ r r r r 1º θ ≡ 0 ∨ π → E ⋅ da ≡ ± E da { } r r r r r 2º E ≡ cte → E ⋅ da ≡ E da E sale dela ∫ *SG, Superficie gaussiana {superficie. cerrada} ¿? Investigue por lo menos una biografía del Príncipe de las Matemáticas. ¿? Que otros flujos se usan en la Física. ¿? Será posible matematizar las LF Lic. Percy Víctor Cañote Fajardo 28
  • 11.
    Cuaderno de Actividades:Física II Ejemplo Z λ dl = dz dq = λ dz r r′ r Y E r r X r 1º Por la definición de E r r rλ k λ dl ′ ( r − r ′ ) r ˆ r = rj ( r − r ′ ) ≡ ( rj − zkˆ ) → r − r ′ ≡ r r ˆ r r r 2 + z2 E ( rr ) = ∫ r r3 λ r − r′ r ˆ r ′ = zk r r Eλ ( r ) = ∞ ˆ ( ˆ k λ dz rj − zk ) =E ˆ ∫ ˆ + Ez k j {r } y 2 32 −∞ 2 +z ∞ dz Ey = kλr ∫ = ¿? −∞ {r 2 +z } 2 32 ∞ zdz Ez = − k λ ∫ → 0, por simetria {r } 32 −∞ 2 +z 2 Lic. Percy Víctor Cañote Fajardo 29
  • 12.
    Cuaderno de Actividades:Física II 2º λ → alta simetría → Gauss λ λ r r r r da r E H H r E O SG=SCL+STS+STI Lic. Percy Víctor Cañote Fajardo 30
  • 13.
    Cuaderno de Actividades:Física II r r qNE ÑE ⋅ da ≡ ∫ SG ∫ SCL + ∫ STS + ∫ STI = ε0 6 8 7 678 r r r r da || E da ⊥ E r q r = ∫ SCL E da + 0 + 0 = NE , SG : E = cte ε0 r  r λH = E  ∫ da  = E { 2π rH } =  SCL  ε0 r λ → E = 2π rε 0 S1P22) a) Localice en la figura los puntos donde el campo eléctrico es cero. b) Trace un dibujo cualitativo que muestre las líneas de fuerza del campo resultante. c) Haga un gráfico cualitativo de E vs. x, dónde E se evalúe en puntos del eje X. Solución: Q q- q+ E- P E+ S x d1 0 d0 d x k q+ k q− 2q 5q E+ ≡ E− → ≡ → ≡ d2 { d0 + d } 2 a) Para el punto S: d2 1  2  + d 2  1  2  + d + d 2  ≡ 5d 2 4  Lic. Percy Víctor Cañote Fajardo 31
  • 14.
    Cuaderno de Actividades:Física II  1 2 ± 4 − 4 × 3×  −  1  2 2 + 10 3d 2 − 2d − ≡ 0 → d1,2 ≡ → d1 ≡ ≡ 0,9 2 2×3 6 Igual en Q: E+ ≡ ( ) k 2q ≡ E− ≡ k 5q( ) → 2d 2 ≡ 5d12 + 5d1 + 5 2 1  1 d12 4 d1 +   2 5 −5 ± 25 − 4 × 3 × 5 4 −5 ± 10 3d12 + 5d1 + ≡ 0 → d11,2 ≡ ≡ ≡ −0,3; −1,4 4 2×3 6 b) - + x c) Para el punto S:   r k { +2q} ˆ k { −5q} ˆ    2 5 ˆ ˆ ET ≡ 2 i+ 2 i ≡ kq  2 − 2  i ≡ ET i  1 x  x − 1  x  x −      2  2       2 5 1 ET ≡ kq  2 − 2  ← x > ,L hay que especificar para cada región  x − 1  x  2   2    Lic. Percy Víctor Cañote Fajardo 32
  • 15.
    Cuaderno de Actividades:Física II E- y ET E+ 0,9 0 0,5 x E+ E+ S1P7) En la distribución mostrada ρ0 es constante y q0 es una carga puntual. R0 ρ0 centro de la circunferencia Calcule la fuerza sobre q0 si d >> R0. q0 R0/2 d Solución: 0 0’ q r R0/2 d R0 ρ0 Por superposición: Lic. Percy Víctor Cañote Fajardo 33
  • 16.
    Cuaderno de Actividades:Física II Q Q’ 0 0’ + ≡ r -ρ0 ρ0 r r r  kQ  kQ '  ˆ Eq0 ≡ EQq0 + EQ ' q0 ≡  2 + i ;   d ( d − R0 / 2 )   3 4 3 4 R  Q Q ≡ ρ 0 π R0 , Q ' ≡ − ρ0 π  0  ≡ − 3 3 2 8     r 4π 3  1 1 ˆ ˆ Eq0 ≡ k ρ 0 R0  2 − 2 i ≡ Eq0 i 3  d  R  8 d − 0      2   R0 Si d >> R0 → << 1{despreciando los cuadrados} d −2 −2 1 1  R   R   R  → 2 ≡ 2 1 − 0  → 1 − 0  = 1 + 0   R  d  2d   2d   d  d 2 1 − 0   2d  Usando la aproximación del Binomio de Newton: (1 − x) n ≈ 1 − nx cuando x << 1 Lic. Percy Víctor Cañote Fajardo 34
  • 17.
    Cuaderno de Actividades:Física II 4 π R0  ( 1 + R0 / d )  3 → Eq0 = k ρ0 2  1−  3 d  8 144 244  3 4 R0  1  R0   3 Eq0 = π k ρ0 2 1 − 1 +   3 d  8 d  3 1 R0  R  Eq0 = π k ρ0 2 7 − 0  6 d  d  ¿? Encuentre este resultado usando la definición. Analice la expresión integral. Ahora, usando r r r 1 3 R0  R ˆ F ≡ q0 E Fq0 = π q0 k ρ0 2 7 − 0  i 6 d  d  S1P19) Un anillo fino aislante de radio R tiene una carga con densidad lineal λ(φ)= λ0 cosφ, donde λ0 es una constante positiva y φ el ángulo azimutal, ¿Cuál es el modulo del vector campo eléctrico? Z a) En el centro del anillo P b) En su eje a una distancia z≡d d de su centro. Analice la expresión obtenida para d >> R. λ r r 0 y r k λ (φ )dl ( r − r ') φ R a) E ( 0) ≡ ∫ r r 3 λ r −r' x dq r r r r ≡ 0, r ' ≡ R cos φ i + Rsenφ ˆ ˆ j r → ( r − r ') ≡ − R cos φ i − Rsenφ ˆ ˆ j r r 3 r − r 1 ≡ R 3 ; dl ≡ Rdφ Lic. Percy Víctor Cañote Fajardo 35
  • 18.
    Cuaderno de Actividades:Física II r −k λ0  2π  2  ˆ 1  E λ ( 0) ≡  ∫0  { cos φ dφ i + sen 2φ dφ ˆ   j R    2{   1 ( 1 + cos 2φ ) 2 r −k λ0π ˆ r kλ π E λ ( 0) ≡ i → E λ ( 0) ≡ 0 R R r ˆ r b) r ≡ zk , r ' ≡ R cos φ i + Rsenφ ˆ ˆ j r r → ( r − r ' ) ≡ − R cos φ i − Rsenφ ˆ + zk ˆ j ˆ r r 3 { } 3/ 2 r − r ' ≡ R2 + z 2 ; dq ≡ λ R dφ r −k λ0 R 2  2π  2   → Eλ ( z ) ≡ ˆ 1 sen 2 z ˆ  3/ 2  ∫0  { cos φ dφ i + { φ dφ ˆ − cos φ dφ k   j   { R +z 2 2 }    2 R{  rλ − k λ0π R 2 ˆ rλ k λ0π R 2 E ( z) ≡ i → E ( z) ≡ , { } { } 3/ 2 3/ 2 R +z 2 2 R +z 2 2 rλ k λ0 R 2π lim E ( z ) ≡ z >> R z3 S1P47) Determine el campo eléctrico de un disco de radio R con densidad superficial de carga uniforme, sobre puntos en el eje axial del disco. Solución: z A) Usando coordenadas r r polares (≡ coordenadas σ cilíndricas en el plano) rr y r' y x Lic. Percy Víctor Cañote Fajardo 36
  • 19.
    Cuaderno de Actividades:Física II da=(rdθ)dr dr dθ r x θ r r r r kdq ( r − r ') r E ( r ) ≡ ∫ r r 3 ≡ kσ I σ r −r' dq = σ da = σ ( rdθ dr ) r r ≡ ( 0,0, z ) r r ' ≡ ( r cosθ , rsenθ ,0 ) r k ( σ rdθ dr ) ( −r cosθ , − rsenθ , z ) I ≡∫ ( ) s 3/ 2 r2 + z2  R 2π ≡ ∫ ∫ ( −r cosθ , −rsenθ , z ) rdθ dr    0 0 (  ) 3/ 2 r2 + z2   2π 2π ∫0 cosθ dθ =0 ∫ 0 senθ dθ =0 (por evaluarse en sus periodos) r 2π R rzdrdθ ˆ I ≡∫ ∫ k (r ) 0 0 3/ 2 2 + z2 Lic. Percy Víctor Cañote Fajardo 37
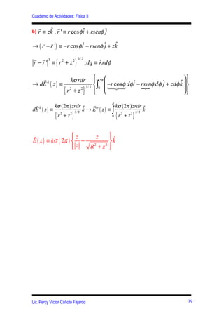
  • 20.
    Cuaderno de Actividades:Física II   ≡  { ∫ dθ } ∫ ( 0 2π R 0 zrdr r2 + z2 ) 3/ 2 k  ˆ     rdr ≡ ( 2π ) z ∫ R kˆ  ( )  0 3/ 2 r2 + z2   r z  z ˆ  E ( z ) ≡ kσ ( 2π )  − k z  R2 + z 2   ¿? Encuentre este resultado usando la definición con un elemento de área cartesiano. Analice la expresión integral. ¿? Qué ocurre si R → ∞ R→∞ r z ˆ  kσ ( 2π ) k  ˆ E ( z ) ≡ kσ ( 2π ) k ≡  z − kσ ( 2π ) k  ˆ r 1 σ E ( z ) ≡ k ( 2π ) σ ≡ ( 2π ) σ ≡  : El E de un plano! 4πε 0  2ε 0 (verifíquelo usando LG) B) Usando anillos de λ=σdr z r r σ rr y r' x Lic. Percy Víctor Cañote Fajardo 38
  • 21.
    Cuaderno de Actividades:Física II r ˆ r b) r ≡ zk , r ' ≡ r cos φ i + rsenφ ˆ ˆ j r r → ( r − r ') ≡ −r cos φ i − rsenφ ˆ + zk ˆ j ˆ r r 3 { } 3/ 2 r − r ' ≡ r2 + z2 ; dq ≡ λ rdφ r kσ rdr  2π    → dE λ ( z ) ≡ ˆ − rsenφ dφ ˆ + zdφ k   ˆ  3/ 2  ∫0  124  −r cos φ dφ i { j { r +z 2 2 }    4 3   R rλ kσ (2π ) zrdr ˆ rσ kσ (2π ) zrdr ˆ dE ( z ) ≡ k → E ( z) ≡ ∫ k { } { } 3/ 2 2 3/ 2 r +z 2 2 0 r + z 2 r z  z ˆ  E ( z ) ≡ kσ ( 2π )  − k   z R +z  2 2  Lic. Percy Víctor Cañote Fajardo 39