Cuaderno de Actividades: Física II




1) CARGA Y MATERIA




Lic. Percy Víctor Cañote Fajardo     1
Cuaderno de Actividades: Física II




1) CARGA Y MATERIA
¿Qué es carga eléctrica?... Es una propiedad de la materia.

¿Qué es masa?... Es una propiedad de la materia.




                                                             +
Modelo de Partícula:                             q
                                                             -



1.1) CARGA ELECTRICA

Es la propiedad de la materia responsable de la interacción eléctrica (IE).

                                       q → IE



1.2) CARACTERISTICAS DE LA CARGA

i) Polarización

                                      + , q positiva
                              q
                                       - , q negativa


    q+ -----> protón
                                     Fenomenología
     q - ------>electrón



Lic. Percy Víctor Cañote Fajardo                                              2
Cuaderno de Actividades: Física II



     ¿? Quien clasifico la q de esta forma y por que

ii) Cuantización

  La propiedad carga es discreta.


  q + ≡ q − ≡ 1,6 × 10−19 C          , C : Coulomb




          Q                    m p + , m: entero, p+: q del protón

                      Q=
                               n e − , n : entero, e-:q del electrón

Observaciones:

j) Formas de electrizar los cuerpos:


   Q:    Frotación,
         Contacto,
         Inducción.
         Laser,
         RX,
         :
         etc




jj) Prueba experimental

    Experiencia de la “GOTA DE ACEITE” de Robert Millikan.


¿? Es considerado un fraude científico.




Lic. Percy Víctor Cañote Fajardo                                       3
Cuaderno de Actividades: Física II




iii) Conservación

       En todo proceso observado en la naturaleza la q se conserva.


j)


                                                                  ++       --

         Vidrio       Tela


jj)     γ → e+ + e−

jjj)     NaCl → Na + + Cl −

jv)     p → n + e+ +ν


1.3) FENOMENOLOGIA: Ley de Coulomb

                  Q

                                     q: Partícula de carga q




                                                       r r
                                                       F ≡ Fe




Lic. Percy Víctor Cañote Fajardo                                       4
Cuaderno de Actividades: Física II




* Matematización:

        r
        Fe α q1q2
        r 1 2
        Fe d
          α
        r     qq
        Fe = k 1 22                              ¿? Como se determina k
               d
        k : cte de Coulomb
               1
        k=         ≈ 9 × 109
             4πε 0
       ε 0 : permitividad electrica del vacio, informa acerca de las
             propiedades electricas del vacio.
       ε 0 ≈ 8.85 × 10−12



Generalizando:

             q1



                   r     r
                  ( r2 − r1 )      q2
       r
       r1                                                           r r
                                                r     r     kq1q2 ( r2 − r1 )
                                              − F12 = F21 =    r r3
                                        r                      r2 − r1
                                        F21
                        r
                        r2




Lic. Percy Víctor Cañote Fajardo                                                5
Cuaderno de Actividades: Física II


ADAPTACIÓN    DE   LA                     ECUACION          A          DIVERSAS
DISTRBUCIONES DE CARGA

K) D DISCRETAS, n q
                                                            r r
                                              r      kqqi ( r − ri )
                              qi
                                              Fe ,q = r r 3
                                                       r − ri
        q1

                                                                  r r
                                              r i=n r      kqqi ( r − ri )
                 r                   r        F = ∑ Fi = ∑ r r 3
   qn            ri                  Fe           i =1   i   r − ri
                          r
                          r




kk) D CONTINUAS, “n”→ ∞

                                carga        r
  l) D Volumétrica,      ρ=            = ρ ( r ')
                               volumen




Lic. Percy Víctor Cañote Fajardo                                              6
dq = ρ dV                     dV

Cuaderno de Actividades: Física II

              r                              q
              r'                                  r
                                                 dF

                           r
                           r




 r r
dF : Fe de dq sobre q
             r r
 r kqdq ( r − r ′ )
dF =     r r3
         r − r′
r r
F = Fe sobre q debido a ρ

                     r            r r
 r      r     kq ρ ( r ′ ) dv ' ( r − r ′ )
 F = ∫ dF = ∫          r r3
      ρ
            ρ         r − r′



                                 carga          r
ll) D Superficial:       σ=               = σ ( r ′)
                               superficie

                                      r           rr
                         r      kqσ ( r′ ) ds ' ( r-r′ )
                         F = ∫σ        rr 3
                                       r-r′

                                 carga        r
lll) D. Lineal:           λ=            = λ ( r′)
                               longitud

                                      r            rr
                         r      kqλ ( r ′ ) dl ' ( r-r′ )
                         F = ∫λ        rr 3
                                       r-r′



Lic. Percy Víctor Cañote Fajardo                            7
Cuaderno de Actividades: Física II




Aplicaciones:

S11P12) Dos cargas eléctricas iguales a q están separadas una distancia 2a,
determine:
a) La fuerza eléctrica sobre una carga Q colocada en un punto de la mediatriz
   del segmento que las une.
b) Calcule el valor máximo de esta fuerza.


Solución:
Solución:




            1

                                                                          r r
                                   Q                        r     kq1q2 ( r2 − r1 )
                                                  θ         F21 =    r r3
             x                                                       r2 − r1



        q
         2


    r     r
a ) Fe1 ≡ Fe 2 ≡ F
r                            kQq
              ˆ
Fe = 2 F cosθ i , donde : F = 2
                              d
                                                      x
                                   cosθ =
                                                  x2 + a2
Con lo que :

r          kQq          x
Fe = 2            ×                           ˆ
                                              i
         {x + a }       {            }
            2  2                         12
                    x2 + a2


Lic. Percy Víctor Cañote Fajardo                                                8
Cuaderno de Actividades: Física II




b) x ≡ ? →extremar
                 
d      x         
    2        3 2 
                    ≡ f ( x ) →0
       (
dx  x + a 2      
                     )
        a
→x ≡ ±      ...?
         2


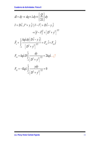
S11P21) Una carga Q se distribuye uniformemente a lo largo de una varilla de
longitud 2L, que va desde y=-L hasta y=+L,(ver figura) se coloca la carga q en
el eje x, en x=D,

a)   ¿Qué dirección tiene la fuerza sobre q, si q y Q tiene el mismo signo?
b)   ¿Cuál es la carga sobre un segmento de la varilla de longitud dy?
c)   ¿Cuál es el vector fuerza sobre la carga q debido a la carga en dy?
d)   Deduzca una integral que describa la fuera total en la dirección x.
e)   Calcule dicha integral.


Solución:
Solución:




                              Y

                          L Q

                                          r
                                      q   Fe
                          0       r                     X
                                  r
                                           r
                                          dFe
                      -L




Lic. Percy Víctor Cañote Fajardo                                              9
Cuaderno de Actividades: Física II




                                                  ¿?
                                                Simetría



                                     ¿? Desarrolle los conceptos de
                                                simetría




Lic. Percy Víctor Cañote Fajardo                           10
Cuaderno de Actividades: Física II


                             Q
dl = dy → dq ≡ λ dy ≡   dy
                              2L 
r          r             r r
r = D iˆ , r ' = y ˆ : ( r − r ′ ) = D iˆ − y ˆ
                   j                          j
                           r r3
                                                           {             }
                                                                             32
                     → r − r′ = D2 + y 2

r      L
                        (
            kqλ dy D iˆ − y ˆ
                            j                       )=F
Fe =   ∫                                                        iˆ + Fey ˆ
                                                                         j
              {D                   }
                                       32                  ex
       −L
                    2
                            + y2
                L
                                   dy
Fex = kqλ D ∫                                            = 2kqλ ...¿?
                     {D                     }
                                                    32
                −L
                              2
                                  +y    2


                 L
                                   ydy
Fey = − Kqλ ∫                                            =0
                        {D                      }
                                                    32
                −L
                              2
                                   +y       2




Lic. Percy Víctor Cañote Fajardo                                                  11
Cuaderno de Actividades: Física II

S11P46) Dos masas m de cobre cargadas con q C se cuelgan de hilos en un
       punto P, luego se observa que ellos se separan una distancia x. Si el p
                                                                    1/ 3
                                                         lq 2 
           θ es pequeño, demostrar que:               x≡                 .
                                                         2πε 0 mg 

SOLUCION:
                                                  P



                                                      θ     l

                                      q                         q


                                                      x/2

                                                  x


Para probar x debemos partir del equilibrio de q,


       r
       T
           θ                          w       θ   T


                           Fe
                                                  Fe

                w


           kqq
      Fe    x 2 →θ ∼ pequeño → tgθ ∼ θ
tgθ ≡    ≡
      w    mg
                                                                               1/ 3
        kq  2
              =
                    ( x / 2)   ≡
                                   x         q2
                                                   ≡
                                                     x3      lq 2 
                                                        → x≡
→θ ≅                                  →                                
       x 2 mg          l           2l     4 πε 0 mg 2 l
                                          2
                                                             2πε 0 mg 




Lic. Percy Víctor Cañote Fajardo                                                      12

Cap1 carga y materia

  • 1.
    Cuaderno de Actividades:Física II 1) CARGA Y MATERIA Lic. Percy Víctor Cañote Fajardo 1
  • 2.
    Cuaderno de Actividades:Física II 1) CARGA Y MATERIA ¿Qué es carga eléctrica?... Es una propiedad de la materia. ¿Qué es masa?... Es una propiedad de la materia. + Modelo de Partícula: q - 1.1) CARGA ELECTRICA Es la propiedad de la materia responsable de la interacción eléctrica (IE). q → IE 1.2) CARACTERISTICAS DE LA CARGA i) Polarización + , q positiva q - , q negativa q+ -----> protón Fenomenología q - ------>electrón Lic. Percy Víctor Cañote Fajardo 2
  • 3.
    Cuaderno de Actividades:Física II ¿? Quien clasifico la q de esta forma y por que ii) Cuantización La propiedad carga es discreta. q + ≡ q − ≡ 1,6 × 10−19 C , C : Coulomb Q m p + , m: entero, p+: q del protón Q= n e − , n : entero, e-:q del electrón Observaciones: j) Formas de electrizar los cuerpos: Q: Frotación, Contacto, Inducción. Laser, RX, : etc jj) Prueba experimental Experiencia de la “GOTA DE ACEITE” de Robert Millikan. ¿? Es considerado un fraude científico. Lic. Percy Víctor Cañote Fajardo 3
  • 4.
    Cuaderno de Actividades:Física II iii) Conservación En todo proceso observado en la naturaleza la q se conserva. j) ++ -- Vidrio Tela jj) γ → e+ + e− jjj) NaCl → Na + + Cl − jv) p → n + e+ +ν 1.3) FENOMENOLOGIA: Ley de Coulomb Q q: Partícula de carga q r r F ≡ Fe Lic. Percy Víctor Cañote Fajardo 4
  • 5.
    Cuaderno de Actividades:Física II * Matematización: r Fe α q1q2 r 1 2 Fe d α r qq Fe = k 1 22 ¿? Como se determina k d k : cte de Coulomb 1 k= ≈ 9 × 109 4πε 0 ε 0 : permitividad electrica del vacio, informa acerca de las propiedades electricas del vacio. ε 0 ≈ 8.85 × 10−12 Generalizando: q1 r r ( r2 − r1 ) q2 r r1 r r r r kq1q2 ( r2 − r1 ) − F12 = F21 = r r3 r r2 − r1 F21 r r2 Lic. Percy Víctor Cañote Fajardo 5
  • 6.
    Cuaderno de Actividades:Física II ADAPTACIÓN DE LA ECUACION A DIVERSAS DISTRBUCIONES DE CARGA K) D DISCRETAS, n q r r r kqqi ( r − ri ) qi Fe ,q = r r 3 r − ri q1 r r r i=n r kqqi ( r − ri ) r r F = ∑ Fi = ∑ r r 3 qn ri Fe i =1 i r − ri r r kk) D CONTINUAS, “n”→ ∞ carga r l) D Volumétrica, ρ= = ρ ( r ') volumen Lic. Percy Víctor Cañote Fajardo 6
  • 7.
    dq = ρdV dV Cuaderno de Actividades: Física II r q r' r dF r r r r dF : Fe de dq sobre q r r r kqdq ( r − r ′ ) dF = r r3 r − r′ r r F = Fe sobre q debido a ρ r r r r r kq ρ ( r ′ ) dv ' ( r − r ′ ) F = ∫ dF = ∫ r r3 ρ ρ r − r′ carga r ll) D Superficial: σ= = σ ( r ′) superficie r rr r kqσ ( r′ ) ds ' ( r-r′ ) F = ∫σ rr 3 r-r′ carga r lll) D. Lineal: λ= = λ ( r′) longitud r rr r kqλ ( r ′ ) dl ' ( r-r′ ) F = ∫λ rr 3 r-r′ Lic. Percy Víctor Cañote Fajardo 7
  • 8.
    Cuaderno de Actividades:Física II Aplicaciones: S11P12) Dos cargas eléctricas iguales a q están separadas una distancia 2a, determine: a) La fuerza eléctrica sobre una carga Q colocada en un punto de la mediatriz del segmento que las une. b) Calcule el valor máximo de esta fuerza. Solución: Solución: 1 r r Q r kq1q2 ( r2 − r1 ) θ F21 = r r3 x r2 − r1 q 2 r r a ) Fe1 ≡ Fe 2 ≡ F r kQq ˆ Fe = 2 F cosθ i , donde : F = 2 d x cosθ = x2 + a2 Con lo que : r kQq x Fe = 2 × ˆ i {x + a } { } 2 2 12 x2 + a2 Lic. Percy Víctor Cañote Fajardo 8
  • 9.
    Cuaderno de Actividades:Física II b) x ≡ ? →extremar   d  x   2 3 2  ≡ f ( x ) →0  ( dx  x + a 2   ) a →x ≡ ± ...? 2 S11P21) Una carga Q se distribuye uniformemente a lo largo de una varilla de longitud 2L, que va desde y=-L hasta y=+L,(ver figura) se coloca la carga q en el eje x, en x=D, a) ¿Qué dirección tiene la fuerza sobre q, si q y Q tiene el mismo signo? b) ¿Cuál es la carga sobre un segmento de la varilla de longitud dy? c) ¿Cuál es el vector fuerza sobre la carga q debido a la carga en dy? d) Deduzca una integral que describa la fuera total en la dirección x. e) Calcule dicha integral. Solución: Solución: Y L Q r q Fe 0 r X r r dFe -L Lic. Percy Víctor Cañote Fajardo 9
  • 10.
    Cuaderno de Actividades:Física II ¿? Simetría ¿? Desarrolle los conceptos de simetría Lic. Percy Víctor Cañote Fajardo 10
  • 11.
    Cuaderno de Actividades:Física II Q dl = dy → dq ≡ λ dy ≡   dy  2L  r r r r r = D iˆ , r ' = y ˆ : ( r − r ′ ) = D iˆ − y ˆ j j r r3 { } 32 → r − r′ = D2 + y 2 r L ( kqλ dy D iˆ − y ˆ j )=F Fe = ∫ iˆ + Fey ˆ j {D } 32 ex −L 2 + y2 L dy Fex = kqλ D ∫ = 2kqλ ...¿? {D } 32 −L 2 +y 2 L ydy Fey = − Kqλ ∫ =0 {D } 32 −L 2 +y 2 Lic. Percy Víctor Cañote Fajardo 11
  • 12.
    Cuaderno de Actividades:Física II S11P46) Dos masas m de cobre cargadas con q C se cuelgan de hilos en un punto P, luego se observa que ellos se separan una distancia x. Si el p 1/ 3  lq 2  θ es pequeño, demostrar que: x≡  .  2πε 0 mg  SOLUCION: P θ l q q x/2 x Para probar x debemos partir del equilibrio de q, r T θ w θ T Fe Fe w kqq Fe x 2 →θ ∼ pequeño → tgθ ∼ θ tgθ ≡ ≡ w mg 1/ 3 kq 2 = ( x / 2) ≡ x q2 ≡ x3  lq 2  → x≡ →θ ≅ →  x 2 mg l 2l 4 πε 0 mg 2 l 2  2πε 0 mg  Lic. Percy Víctor Cañote Fajardo 12