Tarea 2_1B
Nombre: Ángel Leonardo Torres
Componente: Electronica de radiofrecuencia.
1. Diseñe un circuito resonante en paralelo, para una frecuencia F y un
factor Q dados. Tomando en cuenta que el circuito se encuentra
acoplado Rs=RL.
Frecuencia
(MHz)
Factor Q
de CR
Rs=Rl
(ohms)
Factor QL
100 35 500 50
Obtenemos el paralelo entre 𝑅𝑠 y 𝑅𝐿 para luego encontrar 𝑅𝑇 en función de
𝑅𝑃.
𝑅𝑇 = 𝑅𝑃𝐿||𝑅𝐿|| 𝑅𝑆
𝑅𝑆𝐿 =
𝑅𝑠 × 𝑅𝐿
𝑅𝑠 + 𝑅𝐿
=
500 × 500
500 + 500
= 250 Ω
𝑅𝑇 =
𝑅𝑆𝐿 × 𝑅𝑃𝐿
𝑅𝑆𝐿 + 𝑅𝑃𝐿
𝑅𝑇 =
250 × 𝑅𝑃𝐿
250 + 𝑅𝑃𝐿
Encontramos 𝑅𝑇 y 𝑅𝑃 en función de 𝑋𝑃. Tomando en cuenta que 𝑋𝐿 =𝑋𝑃
𝑄𝐿 =
𝑅𝑃
𝑋𝐿
𝑄𝐿 =
𝑅𝑃𝐿
𝑋𝐿
50 =
𝑅𝑃𝐿
𝑋𝐿
𝑅𝑃𝐿 = 50 𝑋𝐿
Reemplazamos:
𝑄𝐶𝑅 =
𝑅𝑇
𝑋𝐿
35 =
250 × 𝑅𝑃𝐿
250 + 𝑅𝑃𝐿
𝑋𝐿
35 𝑋𝐿 =
250 × 𝑅𝑃𝐿
250 + 𝑅𝑃𝐿
35 𝑋𝐿(250 + 𝑅𝑃𝐿) = 250 × 𝑅𝑃𝐿
8750 𝑋𝐿 + 35 𝑋𝐿 𝑅𝑃𝐿 = 250 × 𝑅𝑃𝐿
8750 𝑋𝐿 + 35 𝑋𝐿 ∙ 50𝑋𝐿 = 250 ∙ 50𝑋𝐿
8750 𝑋𝐿 + 1750𝑋𝐿
2
= 12500𝑋𝐿
𝑋𝐿 =
3750
1750
𝑋𝐿 =
3750
1750
𝑋𝐿 =
15
7
= 2.1429 Ω
𝑅𝑃𝐿 = 50 𝑋𝐿
𝑅𝑃𝐿 = 50 (2.1429)
𝑅𝑃𝐿 = 107.14 Ω
Calculamos L y C
𝐿 =
𝑋𝐿
𝜔
=
2.1429
2 ∙ 𝜋 ∙ 100 × 106
= 3.41 𝑛𝐻
𝐶 =
1
𝜔∙𝑋𝐿
=
1
2∙𝜋∙100×106∙2.1429
= 0.743 𝑛𝐹
RES
ID=R3
R=107.14 Ohm
ACVS
ID=V1
Mag=1 V
Ang=0 Deg
Offset=0 V
DCVal=0 V
IND
ID=L1
L=3.41 nH
RES
ID=R2
R=500 Ohm
RES
ID=R1
R=500 Ohm
CAP
ID=C1
C=0.743 nF
M_PROBE
ID=Vout
M_PROBE
ID=Vin
Fig. 1: Simulación del circuito resonante en paralelo en AWR. (Autor)
Fig. 2.: Amplitud del circuito resonante en paralelo en AWR. (Autor)
Fig. 3.: Fase del circuito resonante en paralelo en AWR. (Autor)
2. Diseñe un circuito resonante para la misma frecuencia y factor Q dados
en el ejercicio 1. Sin embargo; el circuito está desacoplado, por tanto, 𝑹𝑺
y son diferentes 𝑹𝑳 para acoplarlo use un circuito de acoplo tapped C.
Frecuencia
(MHz)
Factor Q
de CR
Rs
(ohms)
RL
(ohms)
Factor QL
100 35 50 100 50
Obtenemos el paralelo entre 𝑅𝑠 y 𝑅𝐿 para luego encontrar 𝑅𝑇 en función de
𝑅𝑃.
𝑅𝑇 = 𝑅𝑃𝐿||𝑅𝐿|| 𝑅𝑆
𝑅𝑆′𝐿 =
𝑅′𝑠 × 𝑅𝐿
𝑅′𝑠 + 𝑅𝐿
=
100 × 100
100 + 100
= 50 Ω
𝑅𝑇 =
𝑅𝑆′𝐿 × 𝑅𝑃𝐿
𝑅𝑆′𝐿 + 𝑅𝑃𝐿
𝑅𝑇 =
50 × 𝑅𝑃𝐿
50 + 𝑅𝑃𝐿
Encontramos 𝑅𝑇 y 𝑅𝑃 en función de 𝑋𝑃. Tomando en cuenta que 𝑋𝐿 =𝑋𝑃
𝑄𝐿 =
𝑅𝑃
𝑋𝐿
𝑄𝐿 =
𝑅𝑃𝐿
𝑋𝐿
50 =
𝑅𝑃𝐿
𝑋𝐿
𝑅𝑃𝐿 = 50 𝑋𝐿
Reemplazamos:
𝑄𝐶𝑅 =
𝑅𝑇
𝑋𝐿
35 =
50 × 𝑅𝑃𝐿
50 + 𝑅𝑃𝐿
𝑋𝐿
35 𝑋𝐿 =
50 × 𝑅𝑃𝐿
50 + 𝑅𝑃𝐿
35 𝑋𝐿(50 + 𝑅𝑃𝐿) = 50 × 𝑅𝑃𝐿
1750 𝑋𝐿 + 35 𝑋𝐿 𝑅𝑃𝐿 = 50 × 𝑅𝑃𝐿
1750 𝑋𝐿 + 35 𝑋𝐿 ∙ 50𝑋𝐿 = 50 ∙ 50𝑋𝐿
1750 𝑋𝐿 + 1750𝑋𝐿
2
= 2500𝑋𝐿
𝑅𝑠 ≠ 𝑅𝐿
𝑅′𝑠 = 𝑅𝐿=100 Ω
𝑋𝐿 =
750
1750
𝑋𝐿 =
750
1750
𝑋𝐿 =
3
7
= 0.428 Ω
𝑅𝑃𝐿 = 50 𝑋𝐿
𝑅𝑃𝐿 = 50 (0.428 )
𝑅𝑃𝐿 = 21.4 Ω
Calculamos L y C
𝐿 =
𝑋𝐿
𝜔
=
0.428
2 ∙ 𝜋 ∙ 100 × 106
= 0.681 𝑛𝐻
𝐶 =
1
𝜔∙𝑋𝐿
=
1
2∙𝜋∙100×106
(0.428)
= 3.718 𝑛𝐹
Despejamos
𝑪𝟏
𝑪𝟐
𝑅′𝑆 = RL =100 Ω
𝑅′𝑆 = 𝑅𝑆 (1 +
𝐶1
𝐶2
)
2
𝐶1
𝐶2
+ 1 = √
𝑅′𝑆
𝑅𝑆
𝐶1
𝐶2
= √
100
50
− 1
𝐶1
𝐶2
= √
100
50
− 1
𝐶1
𝐶2
= 0.41421
𝐶1 = 0.41421 𝐶2
Hallamos el valor de los 𝐶1𝑌 𝐶2
𝐶 =
𝐶1 × 𝐶2
𝐶1 + 𝐶2
3.718 𝑛𝐹 =
0.41421 𝐶2 × 𝐶2
0.41421 𝐶2 + 𝐶2
3.718 𝑛𝐹 =
0.41421 𝐶2
2
1.41421 𝐶2
3.718 𝑛𝐹 =
0.41421 𝐶2
1.41421
0.41421 𝐶2
1.41421
= 3.718 𝑛𝐹
0.41421 𝐶2 = 3.718 𝑛𝐹 (1.41421)
0.41421 𝐶2 = 5.258 𝑛𝐹
𝐶2 =
5.258 𝑛𝐹
0.41421
𝐶2 = 12.69 𝑛𝐹 𝐶1 = 5.26 𝑛𝐹
CAP
ID=C1
C=12.69 nF
CAP
ID=C2
C=5.26 nF
IND
ID=L1
L=0.681 nH
RES
ID=R3
R=100 Ohm
RES
ID=R2
R=21.4 Ohm
ACVS
ID=V1
Mag=1 V
Ang=0 Deg
Offset=0 V
DCVal=0 V
RES
ID=R1
R=50 Ohm
M_PROBE
ID=Vout
M_PROBE
ID=Vin
Fig. 4: Simulación del circuito resonante con un acoplo Tapped C en AWR. (Autor)
Fig. 5: Amplitud del circuito resonante con un acoplo Tapped C en AWR. (Autor)
Fig. 6: Fase del circuito resonante con un acoplo Tapped C en AWR. (Autor)
3. Diseñe un circuito resonante, formado por dos circuitos resonantes
idénticos, acoplados mediante un inductor. Use la misma frecuencia y Q
del ejercicio 1. El circuito está desacoplado, por tanto, Rs y son diferentes
RL para acoplarlo use un circuito de acoplo tapped C.
Frecuencia
(MHz)
Factor Q
de CR
Rs
(ohms)
RL
(ohms)
Factor QL
100 35 50 100 50
𝑄𝑇 Q ( Total del circuito acoplado)
𝑄𝑇 = 0.707 𝑄𝐶𝑅 = 0.707(35) = 24.745
Despejamos 𝑅𝑃𝐿
𝑄𝐿 =
𝑅𝑃
𝑋𝐿
𝑄𝐿 =
𝑅𝑃𝐿
𝑋𝐿
50 =
𝑅𝑃𝐿
𝑋𝐿
𝑅𝑃𝐿 = 50 𝑋𝐿
Reemplazamos:
𝑄𝐶𝑅 =
𝑅𝑇𝐶𝑅
𝑋𝐿
𝑄𝐶𝑅1 =
𝑅𝑇𝐶𝑅1
𝑋𝐿
𝑅𝑇𝐶𝑅1 = 𝑅′𝑠||𝑅𝑃𝐿1
𝑅𝑇𝐶𝑅2 = 𝑅𝑃𝐿2||𝑅𝐿𝑃2
24.745 =
100 ∙ 𝑅𝑃𝐿1
100 + 𝑅𝑃𝐿1
𝑋𝐿
24.745 𝑋𝐿 =
100 ∙ 𝑅𝑃𝐿1
100 + 𝑅𝑃𝐿1
24.745 𝑋𝐿 (100 + 𝑅𝑃𝐿1) = 100 ∙ 𝑅𝑃𝐿1
2474.5 𝑋𝐿 + 24.745 𝑋𝐿 ∙ 𝑅𝑃𝐿1 = 100 ∙ 𝑅𝑃𝐿1
2474.5 𝑋𝐿 + 24.745 𝑋𝐿 ∙ 50 𝑋𝐿 = 100 ∙ 50 𝑋𝐿
2474.5 𝑋𝐿 + 1237.25 𝑋𝐿
2
= 5000 𝑋𝐿
𝑋𝐿 =
5000 − 2474.5
1237.25
𝑋𝐿 = 2.041
𝑄𝑇 Q ( Total del circuito acoplado)
𝑄𝐶𝑅 Q ( De un solo circuito resonante)
𝑄𝑇 = 0.707 𝑄𝐶𝑅
100 ∙ 𝑅𝑃𝐿1
100 + 𝑅𝑃𝐿1
Reemplazamos los datos obtenidos
𝑅𝑃𝐿 = 50 𝑋𝐿
𝑅𝑃𝐿 = 50 (2.041)
𝑅𝑃𝐿 = 102.05 Ω
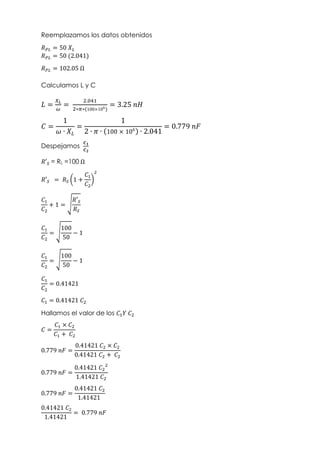
Calculamos L y C
𝐿 =
𝑋𝐿
𝜔
=
2.041
2∗𝜋∗(100×106
)
= 3.25 𝑛𝐻
𝐶 =
1
𝜔 ∙ 𝑋𝐿
=
1
2 ∙ 𝜋 ∙ (100 × 106
) ∙ 2.041
= 0.779 𝑛𝐹
Despejamos
𝑪𝟏
𝑪𝟐
𝑅′𝑆 = RL =100 Ω
𝑅′𝑆 = 𝑅𝑆 (1 +
𝐶1
𝐶2
)
2
𝐶1
𝐶2
+ 1 = √
𝑅′𝑆
𝑅𝑆
𝐶1
𝐶2
= √
100
50
− 1
𝐶1
𝐶2
= √
100
50
− 1
𝐶1
𝐶2
= 0.41421
𝐶1 = 0.41421 𝐶2
Hallamos el valor de los 𝐶1𝑌 𝐶2
𝐶 =
𝐶1 × 𝐶2
𝐶1 + 𝐶2
0.779 𝑛𝐹 =
0.41421 𝐶2 × 𝐶2
0.41421 𝐶2 + 𝐶2
0.779 𝑛𝐹 =
0.41421 𝐶2
2
1.41421 𝐶2
0.779 𝑛𝐹 =
0.41421 𝐶2
1.41421
0.41421 𝐶2
1.41421
= 0.779 𝑛𝐹
0.41421 𝐶2 = 0.779 𝑛𝐹 (1.41421)
0.41421 𝐶2 = 1.1017 𝑛𝐹
𝐶2 =
1.1017 𝑛𝐹
0.41421
𝐶2 = 2.66 𝑛𝐹
𝐶1 = 0.41421 (2.66 𝑛𝐹)
𝐶1 = 1.1018 𝑛𝐹
Hallaremos el valor 𝐿12
𝑳𝟏𝟐 = 𝑸𝑪𝑹(𝑳)
𝐿12 = 24.745(3.25 𝑛𝐻)
𝐿12 = 80.42 𝑛𝐻
CAP
ID=C3
C=0.779 nF
IND
ID=L2
L=3.25 nH
RES
ID=R4
R=100 Ohm
IND
ID=L3
L=80.42 nH
ACVS
ID=V1
Mag=1 V
Ang=0 Deg
Offset=0 V
DCVal=0 V
RES
ID=R1
R=50 Ohm
RES
ID=R2
R=102.05 Ohm
IND
ID=L1
L=3.25 nH
RES
ID=R3
R=102.05 Ohm
CAP
ID=C1
C=2.66 nF
CAP
ID=C2
C=1.1018 nF
M_PROBE
ID=Vin
M_PROBE
ID=Vout
Fig. 7: Simulación del circuito resonante acoplado mediante un inductor con un circuito de acoplo Tapped C en AWR. (Autor)
REFERENCIAS
[1] NI AWR Design Environment (14.0). (2018). [Software de Ordenador]. National
Instruments. https://www.awr.com/
[2] Briceño. E (2022) Emisores y Receptores [Diapositiva Power Point]. Disponible En
Cavas UTPL.
Fig. 8: Amplitud de un circuito resonante acoplado mediante un inductor con un circuito de acoplo Tapped C en AWR.
(Autor)

Circuitos resonantes

  • 1.
    Tarea 2_1B Nombre: ÁngelLeonardo Torres Componente: Electronica de radiofrecuencia. 1. Diseñe un circuito resonante en paralelo, para una frecuencia F y un factor Q dados. Tomando en cuenta que el circuito se encuentra acoplado Rs=RL. Frecuencia (MHz) Factor Q de CR Rs=Rl (ohms) Factor QL 100 35 500 50 Obtenemos el paralelo entre 𝑅𝑠 y 𝑅𝐿 para luego encontrar 𝑅𝑇 en función de 𝑅𝑃. 𝑅𝑇 = 𝑅𝑃𝐿||𝑅𝐿|| 𝑅𝑆 𝑅𝑆𝐿 = 𝑅𝑠 × 𝑅𝐿 𝑅𝑠 + 𝑅𝐿 = 500 × 500 500 + 500 = 250 Ω 𝑅𝑇 = 𝑅𝑆𝐿 × 𝑅𝑃𝐿 𝑅𝑆𝐿 + 𝑅𝑃𝐿 𝑅𝑇 = 250 × 𝑅𝑃𝐿 250 + 𝑅𝑃𝐿 Encontramos 𝑅𝑇 y 𝑅𝑃 en función de 𝑋𝑃. Tomando en cuenta que 𝑋𝐿 =𝑋𝑃 𝑄𝐿 = 𝑅𝑃 𝑋𝐿 𝑄𝐿 = 𝑅𝑃𝐿 𝑋𝐿 50 = 𝑅𝑃𝐿 𝑋𝐿 𝑅𝑃𝐿 = 50 𝑋𝐿 Reemplazamos: 𝑄𝐶𝑅 = 𝑅𝑇 𝑋𝐿 35 = 250 × 𝑅𝑃𝐿 250 + 𝑅𝑃𝐿 𝑋𝐿 35 𝑋𝐿 = 250 × 𝑅𝑃𝐿 250 + 𝑅𝑃𝐿 35 𝑋𝐿(250 + 𝑅𝑃𝐿) = 250 × 𝑅𝑃𝐿
  • 2.
    8750 𝑋𝐿 +35 𝑋𝐿 𝑅𝑃𝐿 = 250 × 𝑅𝑃𝐿 8750 𝑋𝐿 + 35 𝑋𝐿 ∙ 50𝑋𝐿 = 250 ∙ 50𝑋𝐿 8750 𝑋𝐿 + 1750𝑋𝐿 2 = 12500𝑋𝐿 𝑋𝐿 = 3750 1750 𝑋𝐿 = 3750 1750 𝑋𝐿 = 15 7 = 2.1429 Ω 𝑅𝑃𝐿 = 50 𝑋𝐿 𝑅𝑃𝐿 = 50 (2.1429) 𝑅𝑃𝐿 = 107.14 Ω Calculamos L y C 𝐿 = 𝑋𝐿 𝜔 = 2.1429 2 ∙ 𝜋 ∙ 100 × 106 = 3.41 𝑛𝐻 𝐶 = 1 𝜔∙𝑋𝐿 = 1 2∙𝜋∙100×106∙2.1429 = 0.743 𝑛𝐹 RES ID=R3 R=107.14 Ohm ACVS ID=V1 Mag=1 V Ang=0 Deg Offset=0 V DCVal=0 V IND ID=L1 L=3.41 nH RES ID=R2 R=500 Ohm RES ID=R1 R=500 Ohm CAP ID=C1 C=0.743 nF M_PROBE ID=Vout M_PROBE ID=Vin Fig. 1: Simulación del circuito resonante en paralelo en AWR. (Autor)
  • 3.
    Fig. 2.: Amplituddel circuito resonante en paralelo en AWR. (Autor) Fig. 3.: Fase del circuito resonante en paralelo en AWR. (Autor)
  • 4.
    2. Diseñe uncircuito resonante para la misma frecuencia y factor Q dados en el ejercicio 1. Sin embargo; el circuito está desacoplado, por tanto, 𝑹𝑺 y son diferentes 𝑹𝑳 para acoplarlo use un circuito de acoplo tapped C. Frecuencia (MHz) Factor Q de CR Rs (ohms) RL (ohms) Factor QL 100 35 50 100 50 Obtenemos el paralelo entre 𝑅𝑠 y 𝑅𝐿 para luego encontrar 𝑅𝑇 en función de 𝑅𝑃. 𝑅𝑇 = 𝑅𝑃𝐿||𝑅𝐿|| 𝑅𝑆 𝑅𝑆′𝐿 = 𝑅′𝑠 × 𝑅𝐿 𝑅′𝑠 + 𝑅𝐿 = 100 × 100 100 + 100 = 50 Ω 𝑅𝑇 = 𝑅𝑆′𝐿 × 𝑅𝑃𝐿 𝑅𝑆′𝐿 + 𝑅𝑃𝐿 𝑅𝑇 = 50 × 𝑅𝑃𝐿 50 + 𝑅𝑃𝐿 Encontramos 𝑅𝑇 y 𝑅𝑃 en función de 𝑋𝑃. Tomando en cuenta que 𝑋𝐿 =𝑋𝑃 𝑄𝐿 = 𝑅𝑃 𝑋𝐿 𝑄𝐿 = 𝑅𝑃𝐿 𝑋𝐿 50 = 𝑅𝑃𝐿 𝑋𝐿 𝑅𝑃𝐿 = 50 𝑋𝐿 Reemplazamos: 𝑄𝐶𝑅 = 𝑅𝑇 𝑋𝐿 35 = 50 × 𝑅𝑃𝐿 50 + 𝑅𝑃𝐿 𝑋𝐿 35 𝑋𝐿 = 50 × 𝑅𝑃𝐿 50 + 𝑅𝑃𝐿 35 𝑋𝐿(50 + 𝑅𝑃𝐿) = 50 × 𝑅𝑃𝐿 1750 𝑋𝐿 + 35 𝑋𝐿 𝑅𝑃𝐿 = 50 × 𝑅𝑃𝐿 1750 𝑋𝐿 + 35 𝑋𝐿 ∙ 50𝑋𝐿 = 50 ∙ 50𝑋𝐿 1750 𝑋𝐿 + 1750𝑋𝐿 2 = 2500𝑋𝐿 𝑅𝑠 ≠ 𝑅𝐿 𝑅′𝑠 = 𝑅𝐿=100 Ω
  • 5.
    𝑋𝐿 = 750 1750 𝑋𝐿 = 750 1750 𝑋𝐿= 3 7 = 0.428 Ω 𝑅𝑃𝐿 = 50 𝑋𝐿 𝑅𝑃𝐿 = 50 (0.428 ) 𝑅𝑃𝐿 = 21.4 Ω Calculamos L y C 𝐿 = 𝑋𝐿 𝜔 = 0.428 2 ∙ 𝜋 ∙ 100 × 106 = 0.681 𝑛𝐻 𝐶 = 1 𝜔∙𝑋𝐿 = 1 2∙𝜋∙100×106 (0.428) = 3.718 𝑛𝐹 Despejamos 𝑪𝟏 𝑪𝟐 𝑅′𝑆 = RL =100 Ω 𝑅′𝑆 = 𝑅𝑆 (1 + 𝐶1 𝐶2 ) 2 𝐶1 𝐶2 + 1 = √ 𝑅′𝑆 𝑅𝑆 𝐶1 𝐶2 = √ 100 50 − 1 𝐶1 𝐶2 = √ 100 50 − 1 𝐶1 𝐶2 = 0.41421 𝐶1 = 0.41421 𝐶2 Hallamos el valor de los 𝐶1𝑌 𝐶2 𝐶 = 𝐶1 × 𝐶2 𝐶1 + 𝐶2 3.718 𝑛𝐹 = 0.41421 𝐶2 × 𝐶2 0.41421 𝐶2 + 𝐶2
  • 6.
    3.718 𝑛𝐹 = 0.41421𝐶2 2 1.41421 𝐶2 3.718 𝑛𝐹 = 0.41421 𝐶2 1.41421 0.41421 𝐶2 1.41421 = 3.718 𝑛𝐹 0.41421 𝐶2 = 3.718 𝑛𝐹 (1.41421) 0.41421 𝐶2 = 5.258 𝑛𝐹 𝐶2 = 5.258 𝑛𝐹 0.41421 𝐶2 = 12.69 𝑛𝐹 𝐶1 = 5.26 𝑛𝐹 CAP ID=C1 C=12.69 nF CAP ID=C2 C=5.26 nF IND ID=L1 L=0.681 nH RES ID=R3 R=100 Ohm RES ID=R2 R=21.4 Ohm ACVS ID=V1 Mag=1 V Ang=0 Deg Offset=0 V DCVal=0 V RES ID=R1 R=50 Ohm M_PROBE ID=Vout M_PROBE ID=Vin Fig. 4: Simulación del circuito resonante con un acoplo Tapped C en AWR. (Autor)
  • 7.
    Fig. 5: Amplituddel circuito resonante con un acoplo Tapped C en AWR. (Autor) Fig. 6: Fase del circuito resonante con un acoplo Tapped C en AWR. (Autor)
  • 8.
    3. Diseñe uncircuito resonante, formado por dos circuitos resonantes idénticos, acoplados mediante un inductor. Use la misma frecuencia y Q del ejercicio 1. El circuito está desacoplado, por tanto, Rs y son diferentes RL para acoplarlo use un circuito de acoplo tapped C. Frecuencia (MHz) Factor Q de CR Rs (ohms) RL (ohms) Factor QL 100 35 50 100 50 𝑄𝑇 Q ( Total del circuito acoplado) 𝑄𝑇 = 0.707 𝑄𝐶𝑅 = 0.707(35) = 24.745 Despejamos 𝑅𝑃𝐿 𝑄𝐿 = 𝑅𝑃 𝑋𝐿 𝑄𝐿 = 𝑅𝑃𝐿 𝑋𝐿 50 = 𝑅𝑃𝐿 𝑋𝐿 𝑅𝑃𝐿 = 50 𝑋𝐿 Reemplazamos: 𝑄𝐶𝑅 = 𝑅𝑇𝐶𝑅 𝑋𝐿 𝑄𝐶𝑅1 = 𝑅𝑇𝐶𝑅1 𝑋𝐿 𝑅𝑇𝐶𝑅1 = 𝑅′𝑠||𝑅𝑃𝐿1 𝑅𝑇𝐶𝑅2 = 𝑅𝑃𝐿2||𝑅𝐿𝑃2 24.745 = 100 ∙ 𝑅𝑃𝐿1 100 + 𝑅𝑃𝐿1 𝑋𝐿 24.745 𝑋𝐿 = 100 ∙ 𝑅𝑃𝐿1 100 + 𝑅𝑃𝐿1 24.745 𝑋𝐿 (100 + 𝑅𝑃𝐿1) = 100 ∙ 𝑅𝑃𝐿1 2474.5 𝑋𝐿 + 24.745 𝑋𝐿 ∙ 𝑅𝑃𝐿1 = 100 ∙ 𝑅𝑃𝐿1 2474.5 𝑋𝐿 + 24.745 𝑋𝐿 ∙ 50 𝑋𝐿 = 100 ∙ 50 𝑋𝐿 2474.5 𝑋𝐿 + 1237.25 𝑋𝐿 2 = 5000 𝑋𝐿 𝑋𝐿 = 5000 − 2474.5 1237.25 𝑋𝐿 = 2.041 𝑄𝑇 Q ( Total del circuito acoplado) 𝑄𝐶𝑅 Q ( De un solo circuito resonante) 𝑄𝑇 = 0.707 𝑄𝐶𝑅 100 ∙ 𝑅𝑃𝐿1 100 + 𝑅𝑃𝐿1
  • 9.
    Reemplazamos los datosobtenidos 𝑅𝑃𝐿 = 50 𝑋𝐿 𝑅𝑃𝐿 = 50 (2.041) 𝑅𝑃𝐿 = 102.05 Ω Calculamos L y C 𝐿 = 𝑋𝐿 𝜔 = 2.041 2∗𝜋∗(100×106 ) = 3.25 𝑛𝐻 𝐶 = 1 𝜔 ∙ 𝑋𝐿 = 1 2 ∙ 𝜋 ∙ (100 × 106 ) ∙ 2.041 = 0.779 𝑛𝐹 Despejamos 𝑪𝟏 𝑪𝟐 𝑅′𝑆 = RL =100 Ω 𝑅′𝑆 = 𝑅𝑆 (1 + 𝐶1 𝐶2 ) 2 𝐶1 𝐶2 + 1 = √ 𝑅′𝑆 𝑅𝑆 𝐶1 𝐶2 = √ 100 50 − 1 𝐶1 𝐶2 = √ 100 50 − 1 𝐶1 𝐶2 = 0.41421 𝐶1 = 0.41421 𝐶2 Hallamos el valor de los 𝐶1𝑌 𝐶2 𝐶 = 𝐶1 × 𝐶2 𝐶1 + 𝐶2 0.779 𝑛𝐹 = 0.41421 𝐶2 × 𝐶2 0.41421 𝐶2 + 𝐶2 0.779 𝑛𝐹 = 0.41421 𝐶2 2 1.41421 𝐶2 0.779 𝑛𝐹 = 0.41421 𝐶2 1.41421 0.41421 𝐶2 1.41421 = 0.779 𝑛𝐹
  • 10.
    0.41421 𝐶2 =0.779 𝑛𝐹 (1.41421) 0.41421 𝐶2 = 1.1017 𝑛𝐹 𝐶2 = 1.1017 𝑛𝐹 0.41421 𝐶2 = 2.66 𝑛𝐹 𝐶1 = 0.41421 (2.66 𝑛𝐹) 𝐶1 = 1.1018 𝑛𝐹 Hallaremos el valor 𝐿12 𝑳𝟏𝟐 = 𝑸𝑪𝑹(𝑳) 𝐿12 = 24.745(3.25 𝑛𝐻) 𝐿12 = 80.42 𝑛𝐻 CAP ID=C3 C=0.779 nF IND ID=L2 L=3.25 nH RES ID=R4 R=100 Ohm IND ID=L3 L=80.42 nH ACVS ID=V1 Mag=1 V Ang=0 Deg Offset=0 V DCVal=0 V RES ID=R1 R=50 Ohm RES ID=R2 R=102.05 Ohm IND ID=L1 L=3.25 nH RES ID=R3 R=102.05 Ohm CAP ID=C1 C=2.66 nF CAP ID=C2 C=1.1018 nF M_PROBE ID=Vin M_PROBE ID=Vout Fig. 7: Simulación del circuito resonante acoplado mediante un inductor con un circuito de acoplo Tapped C en AWR. (Autor)
  • 11.
    REFERENCIAS [1] NI AWRDesign Environment (14.0). (2018). [Software de Ordenador]. National Instruments. https://www.awr.com/ [2] Briceño. E (2022) Emisores y Receptores [Diapositiva Power Point]. Disponible En Cavas UTPL. Fig. 8: Amplitud de un circuito resonante acoplado mediante un inductor con un circuito de acoplo Tapped C en AWR. (Autor)