MIRIAM NEMIROVSKY. “Sobre el Lenguaje escrito”.


                                           EVALUACIÓN INICIAL:
 HIPÓTESIS DE LOS NIÑOS                    Partir de lo que saben sobre el texto escrito.
   SOBRE EL SISTEMA DE                     Conocer el nivel evolutivo: Prueba individual.
       ESCRITURA                           PERÍODO/ ETAPA/ FASE en la que se
                                           encuentra.
                                           INTERVENCIÓN DEL DOCENTE en función
                                           en la etapa en la que se encuentre.

   ¿CÓMO ORGANIZAR LA
      ENSEÑANZA DEL
    LENGUAJE ESCRITO?




                      ESTRUCTURA DE LA PLANIFICACIÓN

                                               PROPIEDADES DEL SISTEMA DE
      PROPIEDADES DEL TEXTO
                                                       ESCRITURA

  Autor/es.                                 Diferencia entre dibujo– escritura.
  Léxico, categorías gramaticales.          Cuantitativas/ Cualitativas.
  Personajes.                               Direccionalidad del sistema.
  Relación título- contenido… etc.          Separación entre letras… etc



                                        1º ELEGIMOS EL “TIPO DE TEXTO”. Criterios.
                                        P.e. “cuento”.

                                        2º SELECCIONAMOS LAS “PROPIEDADES DEL
 ¿CÓMO PLANIFICAR?
                                        TEXTO” : dependen del tipo de texto. P.e. “cuento”
     MOMENTOS
                                        (personajes, léxico, autor.. Etc).

                                        3º SELECCIONAMOS LAS PROPIEDADES DEL
                                        SISTEMA DEL ESCRITURA: Direccionalidad, prop.
                                        Cuantitativas/ cualitativas ..etc.
   PLANIFICACIÓN ANUAL




      1º TRIMESTRE                   2º TRIMESTRE                     3º TRIMESTRE
  PRESCRIPTIVO: RECETA          INFORMATIVO: NOTICIAS           LITERARIO: NARRACIÓN
DURANTE TODO EL CURSO
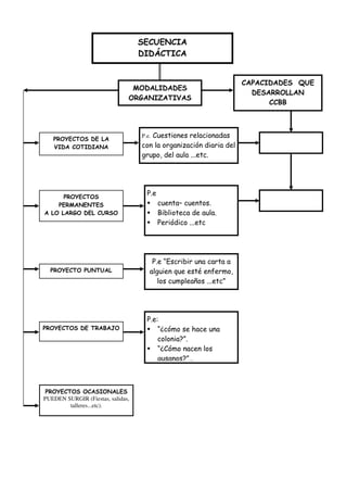
SECUENCIA
                                   DIDÁCTICA


                                                                    CAPACIDADES QUE
                                MODALIDADES
                                                                      DESARROLLAN
                               ORGANIZATIVAS
                                                                          CCBB




   PROYECTOS DE LA
                                      Cuestiones relacionadas
                                   P.e.
   VIDA COTIDIANA                  con la organización diaria del
                                   grupo, del aula ...etc.




      PROYECTOS
                                     P.e
    PERMANENTES                            cuenta– cuentos.
A LO LARGO DEL CURSO                       Biblioteca de aula.
                                           Periódico ...etc




                                       P.e “Escribir una carta a
  PROYECTO PUNTUAL                    alguien que esté enfermo,
                                         los cumpleaños ...etc”




                                     P.e:
PROYECTOS DE TRABAJO                     “¿cómo se hace una
                                         colonia?”.
                                         “¿Cómo nacen los
                                         gusanos?”…



 PROYECTOS OCASIONALES
PUEDEN SURGIR (Fiestas, salidas,
        talleres...etc).
SECUENCIA DIDÁCTICA




                 MODALIDAD ORGANIZATIVA




                                                           Cuento.
                                                           Recetas.
                  TIPO DE TEXTO                            Cartas.
                                                           Noticias.
                                                           …




   Acciones enlazadas entre sí con cierta armonía y progresivo nivel de
   complejidad, realizadas por los integrantes de un grupo escolar, a lo
   largo de un determinado tiempo, con la intención de resolver alguna o
   varias situaciones problemáticas. (ESTELA D¨ANGELO).




       Fases en una secuencia didáctica: PRESENTACIÓN,
COMPRENSIÓN, PRÁCTICA Y TRANSFERENCIA.
       Facilita las programaciones continuas y más homogéneas.
Escritura de “NOMBRES”
                (Comunes , propios).
                “LISTAS”
ENUMERATIVOS    “PROGRAMAS Y CARTELES.”
                Guías y agendas personales.
                Nombres en “Murales
                Temáticos”.
                Fecha.




                Textos narrativos.
                Textos poéticos: “Poemas y
  LITERARIOS    canciones”, “pareados”, “dichos
                y refranes”, “adivinanzas,
                engaños y trabalenguas”.
                Juegos con la lengua escrita:
                Juego del ahorcado,
                crucigramas..etc.




                Receta de cocina.
PRESCRIPTIVOS   Instrucciones de trabajo manual.
                Instrucciones para el manejo de
                (materiales, biblioteca, juegos...).




                Noticias.
                Anuncios y “propagandas.
INFORMATIVOS    Correspondencias”.
                Avisos.
                Invitaciones.




                Descripciones e informes.
 EXPOSITIVOS    Definiciones.
                Reseñas.
                Dossier
Según la intención:
ANÁLISIS Y REFLEXIÓN SOBRE LA LENGUA:
CONTENIDOS CURRICULARES:




7. introducción a la literatura: aspectos estilísticos, figuras literarias y
géneros en relación con los textos leídos en la escuela (cuentos, poemas,
teatro, cómic…).

DESARROLLO DE LOS CONTENIDOS:
Enseñar gramática, significativamente.
En el estudio de la gramática, algunas ideas a tener en cuenta:
La gramática en los textos
Al abordar tareas de escritura y lectura de textos, se trata de incorporar
al comentario y preparación, junto a los aspectos de contenido y
características del texto, los aspectos formales, gramaticales. Estos
aspectos gramaticales, relacionados con el sentido del texto, se refieren a
tres grandes campos: la ADECUACIÓN a la situación comunicativa, la
COHERENCIA del contenido y la COHESIÓN gramatical.



OTRA TIPOLOGÍA TEXTUAL SEGÚN LOS USOS: (Ed. Teide).

   USO PRÁCTICO (Listados, normas o pautas, Notas, rótulos y registros).

   USO LINGÜÍSTICO (Código alfabético, gramática, ortografía y
   grafismo).

   USO CIENTÍFICO (Expositivo, informativo, instructivos,
   argumentativo y reportajes).

   USO LITERARIO (Narración, adivinanzas,-frases hechas; descripción,
   cómic y cancione

Estructura de la_planificación

  • 1.
    MIRIAM NEMIROVSKY. “Sobreel Lenguaje escrito”. EVALUACIÓN INICIAL: HIPÓTESIS DE LOS NIÑOS Partir de lo que saben sobre el texto escrito. SOBRE EL SISTEMA DE Conocer el nivel evolutivo: Prueba individual. ESCRITURA PERÍODO/ ETAPA/ FASE en la que se encuentra. INTERVENCIÓN DEL DOCENTE en función en la etapa en la que se encuentre. ¿CÓMO ORGANIZAR LA ENSEÑANZA DEL LENGUAJE ESCRITO? ESTRUCTURA DE LA PLANIFICACIÓN PROPIEDADES DEL SISTEMA DE PROPIEDADES DEL TEXTO ESCRITURA Autor/es. Diferencia entre dibujo– escritura. Léxico, categorías gramaticales. Cuantitativas/ Cualitativas. Personajes. Direccionalidad del sistema. Relación título- contenido… etc. Separación entre letras… etc 1º ELEGIMOS EL “TIPO DE TEXTO”. Criterios. P.e. “cuento”. 2º SELECCIONAMOS LAS “PROPIEDADES DEL ¿CÓMO PLANIFICAR? TEXTO” : dependen del tipo de texto. P.e. “cuento” MOMENTOS (personajes, léxico, autor.. Etc). 3º SELECCIONAMOS LAS PROPIEDADES DEL SISTEMA DEL ESCRITURA: Direccionalidad, prop. Cuantitativas/ cualitativas ..etc. PLANIFICACIÓN ANUAL 1º TRIMESTRE 2º TRIMESTRE 3º TRIMESTRE PRESCRIPTIVO: RECETA INFORMATIVO: NOTICIAS LITERARIO: NARRACIÓN DURANTE TODO EL CURSO
  • 3.
    SECUENCIA DIDÁCTICA CAPACIDADES QUE MODALIDADES DESARROLLAN ORGANIZATIVAS CCBB PROYECTOS DE LA Cuestiones relacionadas P.e. VIDA COTIDIANA con la organización diaria del grupo, del aula ...etc. PROYECTOS P.e PERMANENTES cuenta– cuentos. A LO LARGO DEL CURSO Biblioteca de aula. Periódico ...etc P.e “Escribir una carta a PROYECTO PUNTUAL alguien que esté enfermo, los cumpleaños ...etc” P.e: PROYECTOS DE TRABAJO “¿cómo se hace una colonia?”. “¿Cómo nacen los gusanos?”… PROYECTOS OCASIONALES PUEDEN SURGIR (Fiestas, salidas, talleres...etc).
  • 4.
    SECUENCIA DIDÁCTICA MODALIDAD ORGANIZATIVA Cuento. Recetas. TIPO DE TEXTO Cartas. Noticias. … Acciones enlazadas entre sí con cierta armonía y progresivo nivel de complejidad, realizadas por los integrantes de un grupo escolar, a lo largo de un determinado tiempo, con la intención de resolver alguna o varias situaciones problemáticas. (ESTELA D¨ANGELO). Fases en una secuencia didáctica: PRESENTACIÓN, COMPRENSIÓN, PRÁCTICA Y TRANSFERENCIA. Facilita las programaciones continuas y más homogéneas.
  • 5.
    Escritura de “NOMBRES” (Comunes , propios). “LISTAS” ENUMERATIVOS “PROGRAMAS Y CARTELES.” Guías y agendas personales. Nombres en “Murales Temáticos”. Fecha. Textos narrativos. Textos poéticos: “Poemas y LITERARIOS canciones”, “pareados”, “dichos y refranes”, “adivinanzas, engaños y trabalenguas”. Juegos con la lengua escrita: Juego del ahorcado, crucigramas..etc. Receta de cocina. PRESCRIPTIVOS Instrucciones de trabajo manual. Instrucciones para el manejo de (materiales, biblioteca, juegos...). Noticias. Anuncios y “propagandas. INFORMATIVOS Correspondencias”. Avisos. Invitaciones. Descripciones e informes. EXPOSITIVOS Definiciones. Reseñas. Dossier
  • 6.
  • 9.
    ANÁLISIS Y REFLEXIÓNSOBRE LA LENGUA: CONTENIDOS CURRICULARES: 7. introducción a la literatura: aspectos estilísticos, figuras literarias y géneros en relación con los textos leídos en la escuela (cuentos, poemas, teatro, cómic…). DESARROLLO DE LOS CONTENIDOS: Enseñar gramática, significativamente. En el estudio de la gramática, algunas ideas a tener en cuenta:
  • 10.
    La gramática enlos textos Al abordar tareas de escritura y lectura de textos, se trata de incorporar al comentario y preparación, junto a los aspectos de contenido y características del texto, los aspectos formales, gramaticales. Estos aspectos gramaticales, relacionados con el sentido del texto, se refieren a tres grandes campos: la ADECUACIÓN a la situación comunicativa, la COHERENCIA del contenido y la COHESIÓN gramatical. OTRA TIPOLOGÍA TEXTUAL SEGÚN LOS USOS: (Ed. Teide). USO PRÁCTICO (Listados, normas o pautas, Notas, rótulos y registros). USO LINGÜÍSTICO (Código alfabético, gramática, ortografía y grafismo). USO CIENTÍFICO (Expositivo, informativo, instructivos, argumentativo y reportajes). USO LITERARIO (Narración, adivinanzas,-frases hechas; descripción, cómic y cancione