Escuela primaria “Ejército Mexicano”
Docente normalista Andrea Guadalupe Motel Armenta.
Adivina
Nombre: ____________________________________________________
Fecha: __________________________
Completa correctamente la tabla, describiendo si la oración es
adjetivo o adverbio.
Oración ¿Adverbio o adjetivo?
El coche rojo es de mi papá.
Esta computadora es mejor
que la otra.
Jamás he salido de
vacaciones a Las Vegas.
Puerta grande y naranja.
El perro de mi amigo es
parecido al mío.
Mi mejor amigo es chaparro y
gordito.
Me parece demasiado caro.
El bolso de mi abuela es negro
con flores blancas.
Escuela primaria “Ejército Mexicano”.
Docente normalista Andrea Guadalupe Motel Armenta.
ADVERBIOS
Ejemplos
de
adverbios
de lugar
Ejemplo
de
adverbios
de modo
Adverbios de
afirmación
Adverbios
de
negación
Adverbios de
duda
Adverbios
de
cantidad
abajo adrede bueno jamás acaso apenas
acá así claro nada posiblemente casi
ahí bajo ciertamente no probablemente cuanto
allá bien cierto nunca quizá bastante
allí claro efectivamente tampoco quizás demasiado
aquí cual evidentemente tal vez harta/o
alrededor como indudablemente más
arriba conforme Sí mucho
atrás deprisa muy
cerca despacio nada
debajo fuerte poco
delante igual tan
detrás mal
donde mejor
encima rápido
enfrente solo
lejos adrede
ADJETIVOS
La fruta deliciosa. El padre, la madre y sus hijos felices.
La perrita bonita. Los delincuentes malos.
La guerra silenciosa. El refrigerador vacío.
La paz duradera. La despensa llena de comida.
Los zapatos negros Tu coche ruidoso.
El pantalón sucio. Miguel guapo.
La ropa rosa. Pablo gordo.
El bebé es hermoso. El niño alto.
El bebé feliz. El caldo picoso.
La madre contenta con su bebé en los
brazos.
El guisado suculento.
Escuela primaria “Ejército mexicano”.
Docente normalista Andrea Guadalupe Motel Armenta.
La liebre y la tortuga
En el mundo de los animales vivía una liebre muy orgullosa y vanidosa,
que no cesaba de decir que ella era la más veloz y se burlaba de ello
ante la lentitud de la tortuga.
- ¡Eh, tortuga, no corras tanto que nunca vas a llegar a tu meta! Decía la
liebre riéndose de la tortuga.
Un día, a la tortuga se le ocurrió hacerle una inusual apuesta a la liebre:
- Estoy segura de poder ganarte una carrera.
- ¿A mí? Preguntó asombrada la liebre.
- Sí, sí, a ti, dijo la tortuga. Pongamos nuestras apuestas y veamos quién
gana la carrera.
La liebre, muy engreída, aceptó la apuesta.
Así que todos los animales se reunieron para presenciar la carrera. El
búho señaló los puntos de partida y de llegada, y sin más preámbulos
comenzó la carrera.
Astuta y muy confiada en sí misma, la liebre le dio ventaja a la tortuga y
se quedó haciendo burla de ella. Luego, empezó a correr velozmente y
sobrepasó a la tortuga que caminaba despacio, pero sin parar. Sólo se
detuvo a mitad del camino ante un prado verde y frondoso, donde se
dispuso a descansar antes de concluir la carrera. Allí se quedó dormida,
mientras la tortuga siguió caminando, paso tras paso, lentamente, pero
sin detenerse.
Cuando la liebre se despertó, vio con pavor que la tortuga se
encontraba a una corta distancia de la meta. En un sobresalto, salió
corriendo con todas sus fuerzas, pero ya era muy tarde: ¡la tortuga
había alcanzado la meta y ganado la carrera!
Ese día la liebre aprendió, en medio de una gran humillación, que no
hay que burlarse jamás de los demás. También aprendió que el exceso
de confianza es un obstáculo para alcanzar nuestros objetivos. Y que
nadie, absolutamente nadie, es mejor que nadie.
Escuela primaria “Ejército Mexicano”
Docente normalista Andrea Guadalupe Motel Armenta
Los tres cerditos y el lobo feroz
En el bosque vivían tres cerditos, que eran hermanos.
Su vida en el _________era muy tranquila y divertida,
paseaban a menudo, cantaba y jugaban sin parar.
Sin embargo, siempre les acechaba un peligro: el
feroz ____________.
Un día, el cerdito mayor les hizo una propuesta a sus hermanos. ¿Y si construimos una _______
donde podamos sentirnos seguros de las amenazas de ese lobo? Los hermanos estuvieron de
acuerdos y, ni cortos ni perezosos, se pusieron manos a la obra.
Cada uno construyó su propia casita. El más pequeño decidió hacerla de _____ ya que esta era
muy blanda y se podía sujetar con facilidad. De esa manera, no necesitaría esforzarse mucho,
podría terminar pronto e irse a jugar. El hermano mediano hizo su casa de ________ pues había
muchos troncos por los alrededores. Así terminaría en un santiamén y podría jugar.
A diferencia de sus hermanos, el cerdito mayor decidió construir su casa con__________. Era
consciente de que necesitaría mucho esfuerzo y que tendría que invertir más tiempo que sus
hermanos, pero, como recompensa, tendría una casa más fuerte y resistente.
Cuando las tres _________ estuvieron terminadas, los _________ cantaron felices pues ya no
tendrían que preocuparse nunca más por el lobo feroz. Sin embargo, al poco rato, apareció el
_______ y se dirigió directamente hacia los cerditos. Estos salieron ____________ hacia sus casas,
pensando que allí estarían a salvo. Grande era el miedo, pero mayor fue el orgullo cuando los
tres se sintieron seguros dentro de sus casas. Aunque esa alegría duró poco.
El lobo se dirigió a la casa del cerdito más pequeño. Después de gritar y batallar con la puerta
para poder entrar, sin conseguirlo, se apartó y comenzó a soplar sobre la casa. Sopló con todas
sus fuerzas hasta que la _________ de paja se vino abajo. El cerdito pequeño tuvo que salir
corriendo para protegerse en la casa de su hermano mediano.
El lobo lo persiguió hasta la otra casita, donde los cerditos cantaban ________ por haber
escapado. Una vez más, el lobo golpeó la puerta para intentar entrar. Al ver que no podía, se
alejó furioso y comenzó a soplar con todas sus fuerzas. La madera crujió y las paredes, que
parecían tan fuertes, cayeron como si fueran palillos. Los cerditos salieron disparados hacia la
casa de su ___________ mayor.
Con un hambre, el lobo persiguió a los cerditos hasta la casa de ladrillos. Los cerditos bailaban
de alegría hasta que escucharon al lobo intentando abrir la puerta, como había hecho antes.
En cierto punto, el lobo se alejó y comenzó a ______ sobre la casa. Sopló, una y otra vez, pero a
diferencia de las casitas anteriores, la casa de ladrillos era muy resistente y no consiguió
derribarla. Entonces vio la chimenea y se le ocurrió entrar por allí.
El ______ trepó por la chimenea y comenzó a descender, pero el cerdito mayor se percató y
echó leña al caldero, donde estaba haciendo una sopa. El lobo fue a parar al caldero de agua
caliente, salió disparado de un solo brinco y no paró hasta llegar al _____. Los cerditos jamás lo
volvieron a ver y vivieron felices por siempre.
Instrucción: Completa en las líneas, los personajes o lugares que hacen falta al
cuento.
Escuela primaria “Ejército Mexicano”
Docente normalista Andrea Guadalupe Motel Armenta.
CUENTO: La ranita Marianita
Era hace una vez una ranita muy feliz que vivía en una hoja amplia y
cómoda que a menudo compartía con sus amigos Paquito y Memo a los
cuales conocía desde hace mucho tiempo.
La ranita tenía por nombre Mariana, era educada y bondadosa por lo que
frecuentemente la invitaban a simpáticas fiestas en aquel lodoso pero
mágico pantano. Ella siempre aceptaba y llegaba acompañada de sus
dos fieles amigos porque muy en el fondo de su corazón sabía que sus
amigos nunca la dejarían.
CUENTO: La ranita Marianita
Era hace una vez una ranita muy feliz que vivía en una hoja amplia y
cómoda que a menudo compartía con sus amigos Paquito y Memo a los
cuales conocía desde hace mucho tiempo.
La ranita tenía por nombre Mariana, era educada y bondadosa por lo que
frecuentemente la invitaban a simpáticas fiestas en aquel lodoso pero
mágico pantano. Ella siempre aceptaba y llegaba acompañada de sus
dos fieles amigos porque muy en el fondo de su corazón sabía que sus
amigos nunca la dejarían.
Escuela primaria “Ejército Mexicano”
Docente normalista Andrea Guadalupe Motel Armenta.
LA BELLA DURMIENTE
En un lugar muy lejano una reina tuvo una preciosa hija, a cuyo bautizo fueron invitadas todas las
hadas del reino, menos a la más malvada. Aun no siendo invitada, el hada malvada se presentó
y al pasar frente a la cuna de la pequeña la maldijo, diciéndole que a los 16 años se pincharía
con un huso (punta de una huerta) y moriría.
Esta maldición fue escuchada por otra hada buena que hizo un encantamiento para evitar la
terrible condena. Su encantamiento fue que, en lugar de morir, dormiría durante 100 años y tan
solo podría despertar con el beso de un joven príncipe.
Con los años, la niña se fue convirtiendo en la mujer más guapa del reino, y el rey ordenó quemar
todos los husos del reino para evitar que se pinchase. Al cumplir los 16, la niña fue a un lugar del
reino que todos pensaban que estaba deshabitado, y ahí encontró a una mujer hilando lana que
se ofreció a enseñarle a hacerlo.
En ese momento fue cuando la niña se pinchó y cayó al suelo. Ningún médico ni mago consiguió
despertarla.
El hada que evitó la muerte de la niña contó a sus padres lo ocurrido, y con otro encantamiento
hizo que todos los miembros del reino durmiesen también por esos cien años. Todo el reino quedó
en silencio durante ese tiempo, y la vegetación comenzó a envolverlo de forma que era
imposible entrar en él.
Una vez transcurridos los 100 años, un príncipe que perseguía a un jabalí llegó hasta el lugar. El
jabalí entró en los arbustos y el príncipe empezó a abrirse camino hasta que encontró el castillo
viendo a todos sus habitantes en el suelo. Al principio pensó que todos habían muerto, pero se
tranquilizó al darse cuenta de que tan sólo estaban dormidos.
Aun así, no consiguió despertarlos, y buscando al final encontró a la princesa. Al verla se enamoró
al momento. Cogió su mano y la besó delicadamente. En ese mismo instante la princesa despertó
y murmuró:
¡Por fin has llegado!
La princesa se levantó y ofreció su mano al príncipe, momento en el que todo el castillo comenzó
a despertar sorprendidos y fueron a ver a la princesa.
Unos días después, se celebró la boda en el reino y todos fueron felices para siempre.
Escuela primaria “Ejército Mexicano”
Docente normalista Andrea Guadalupe Motel Armenta.
Nombre:__________________________________ Fecha:______________________
c
Plasma las características los personajes, escenarios o acciones que se presentan en las
imágenes.
Escuela primaria “Ejército Mexicano”
Docente normalista Andrea Guadalupe Motel Armenta.
Agua igual a fracciones.
Nombre: ____________________________________________________
Fecha: __________________________
Constesta las preguntas correctamente usando fracciones,
basandote en la actividad presentada en el pizarron.
1- La cafetera electrica que se muestra tiene una capacidad
de mayor que 1 litro.
¿Cuántos litros mas
puede contener?
_________________
2- ¿Cuántos decilitros de agua caben en la taza?
____________________
Escuela primaria “Ejército Mexicano”
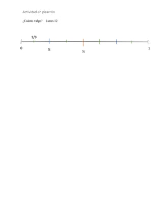
Docente normalista Andrea Guadalupe Motel Armenta.
¿Cuánto vale?
Nombre: ____________________________________________________
Fecha: __________________________
Actividad en pizarrón
¿Cuánto valgo? Lunes 12
0 1
½
¼
1/8
Escuela primaria “Ejército Mexicano”
Docente normalista Andrea Guadalupe Motel Armenta.
Fracción igual a entero.
Nombre: ____________________________________________________
Fecha: ______________________________
Suma y reparte las fracciones para llegar al entero, ejemplo:
sacaremos la fracción de ½, resultado:
Escribe cuanto representan los círculos, anotando números
enteros y fracciones. Ejemplo:
= 1
½ + ½ = 1.
2
1
8
2
3
4
1
5
= =
= =
+
+ +
+
+
Escuela primaria “Ejército Mexicano”
Docente normalista Andrea Guadalupe Motel Armenta.
Galletas de pedro.
Nombre: ____________________________________________________
Fecha: ______________________________
Lee y contesta correctamente el siguiente problema:
Pedro tiene 1 pastel, y su mama le dice que coma 1/8 de pastel.
Durante 7 días.
¿Cuántas rebanadas de pastel se come al día? (escribe la
respuesta en fracción)
__________________________________________________
¿Cuántas rebanadas se cómo en los siete días? (escribe la
respuesta en fracción)
_________________________________________________
¿Cuántas rebanadas lleva consumidas en el día 4?
________________________________________
¿Sobran rebanadas de pastel? _________ ¿Cuántas?
_________________________________
Escuela primaria “Ejército Mexicano”
Docente normalista Andrea Guadalupe Motel Armenta.
Las fracciones.
Nombre: ____________________________________________________
Fecha: ______________________________
Coloca los signos que representan mayor que (>), menor que (<)
o igual (=), dependiendo de la fracción que se muestran.
7
8
4
4
3
8
6
8
1
8
1
4
4
8
1
2
3
4
1
2
1
6
4
6
5
8
2
4
2
8
1
4
Escuela primaria “Ejército Mexicano”
Docente normalista Andrea Guadalupe Motel Armenta.
Panel de equivalencias.
Panel de equivalencias.
Escuela primaria “Ejército Mexicano”
Docente normalista Andrea Guadalupe Motel Armenta.
Suma y reparte.
Nombre: ____________________________________________________
Fecha: __________________________
Suma y después reparte dependiendo al resultado de la suma de las
fracciones.
1
8
1 1
+ + =
8 8
2
7
2 2
7 7
+ + =
1 1 1 1
6 6 6 6
1 1 1 1
10 10 10 10
=
=
+ + +
+ + +

Ilovepdf merged (1)

  • 1.
    Escuela primaria “EjércitoMexicano” Docente normalista Andrea Guadalupe Motel Armenta. Adivina Nombre: ____________________________________________________ Fecha: __________________________ Completa correctamente la tabla, describiendo si la oración es adjetivo o adverbio. Oración ¿Adverbio o adjetivo? El coche rojo es de mi papá. Esta computadora es mejor que la otra. Jamás he salido de vacaciones a Las Vegas. Puerta grande y naranja. El perro de mi amigo es parecido al mío. Mi mejor amigo es chaparro y gordito. Me parece demasiado caro. El bolso de mi abuela es negro con flores blancas.
  • 2.
    Escuela primaria “EjércitoMexicano”. Docente normalista Andrea Guadalupe Motel Armenta. ADVERBIOS Ejemplos de adverbios de lugar Ejemplo de adverbios de modo Adverbios de afirmación Adverbios de negación Adverbios de duda Adverbios de cantidad abajo adrede bueno jamás acaso apenas acá así claro nada posiblemente casi ahí bajo ciertamente no probablemente cuanto allá bien cierto nunca quizá bastante allí claro efectivamente tampoco quizás demasiado aquí cual evidentemente tal vez harta/o alrededor como indudablemente más arriba conforme Sí mucho atrás deprisa muy cerca despacio nada debajo fuerte poco delante igual tan detrás mal donde mejor encima rápido enfrente solo lejos adrede ADJETIVOS La fruta deliciosa. El padre, la madre y sus hijos felices. La perrita bonita. Los delincuentes malos. La guerra silenciosa. El refrigerador vacío. La paz duradera. La despensa llena de comida. Los zapatos negros Tu coche ruidoso. El pantalón sucio. Miguel guapo. La ropa rosa. Pablo gordo. El bebé es hermoso. El niño alto. El bebé feliz. El caldo picoso. La madre contenta con su bebé en los brazos. El guisado suculento.
  • 3.
    Escuela primaria “Ejércitomexicano”. Docente normalista Andrea Guadalupe Motel Armenta. La liebre y la tortuga En el mundo de los animales vivía una liebre muy orgullosa y vanidosa, que no cesaba de decir que ella era la más veloz y se burlaba de ello ante la lentitud de la tortuga. - ¡Eh, tortuga, no corras tanto que nunca vas a llegar a tu meta! Decía la liebre riéndose de la tortuga. Un día, a la tortuga se le ocurrió hacerle una inusual apuesta a la liebre: - Estoy segura de poder ganarte una carrera. - ¿A mí? Preguntó asombrada la liebre. - Sí, sí, a ti, dijo la tortuga. Pongamos nuestras apuestas y veamos quién gana la carrera. La liebre, muy engreída, aceptó la apuesta. Así que todos los animales se reunieron para presenciar la carrera. El búho señaló los puntos de partida y de llegada, y sin más preámbulos comenzó la carrera. Astuta y muy confiada en sí misma, la liebre le dio ventaja a la tortuga y se quedó haciendo burla de ella. Luego, empezó a correr velozmente y sobrepasó a la tortuga que caminaba despacio, pero sin parar. Sólo se detuvo a mitad del camino ante un prado verde y frondoso, donde se dispuso a descansar antes de concluir la carrera. Allí se quedó dormida, mientras la tortuga siguió caminando, paso tras paso, lentamente, pero sin detenerse. Cuando la liebre se despertó, vio con pavor que la tortuga se encontraba a una corta distancia de la meta. En un sobresalto, salió corriendo con todas sus fuerzas, pero ya era muy tarde: ¡la tortuga había alcanzado la meta y ganado la carrera! Ese día la liebre aprendió, en medio de una gran humillación, que no hay que burlarse jamás de los demás. También aprendió que el exceso de confianza es un obstáculo para alcanzar nuestros objetivos. Y que nadie, absolutamente nadie, es mejor que nadie.
  • 4.
    Escuela primaria “EjércitoMexicano” Docente normalista Andrea Guadalupe Motel Armenta Los tres cerditos y el lobo feroz En el bosque vivían tres cerditos, que eran hermanos. Su vida en el _________era muy tranquila y divertida, paseaban a menudo, cantaba y jugaban sin parar. Sin embargo, siempre les acechaba un peligro: el feroz ____________. Un día, el cerdito mayor les hizo una propuesta a sus hermanos. ¿Y si construimos una _______ donde podamos sentirnos seguros de las amenazas de ese lobo? Los hermanos estuvieron de acuerdos y, ni cortos ni perezosos, se pusieron manos a la obra. Cada uno construyó su propia casita. El más pequeño decidió hacerla de _____ ya que esta era muy blanda y se podía sujetar con facilidad. De esa manera, no necesitaría esforzarse mucho, podría terminar pronto e irse a jugar. El hermano mediano hizo su casa de ________ pues había muchos troncos por los alrededores. Así terminaría en un santiamén y podría jugar. A diferencia de sus hermanos, el cerdito mayor decidió construir su casa con__________. Era consciente de que necesitaría mucho esfuerzo y que tendría que invertir más tiempo que sus hermanos, pero, como recompensa, tendría una casa más fuerte y resistente. Cuando las tres _________ estuvieron terminadas, los _________ cantaron felices pues ya no tendrían que preocuparse nunca más por el lobo feroz. Sin embargo, al poco rato, apareció el _______ y se dirigió directamente hacia los cerditos. Estos salieron ____________ hacia sus casas, pensando que allí estarían a salvo. Grande era el miedo, pero mayor fue el orgullo cuando los tres se sintieron seguros dentro de sus casas. Aunque esa alegría duró poco. El lobo se dirigió a la casa del cerdito más pequeño. Después de gritar y batallar con la puerta para poder entrar, sin conseguirlo, se apartó y comenzó a soplar sobre la casa. Sopló con todas sus fuerzas hasta que la _________ de paja se vino abajo. El cerdito pequeño tuvo que salir corriendo para protegerse en la casa de su hermano mediano. El lobo lo persiguió hasta la otra casita, donde los cerditos cantaban ________ por haber escapado. Una vez más, el lobo golpeó la puerta para intentar entrar. Al ver que no podía, se alejó furioso y comenzó a soplar con todas sus fuerzas. La madera crujió y las paredes, que parecían tan fuertes, cayeron como si fueran palillos. Los cerditos salieron disparados hacia la casa de su ___________ mayor. Con un hambre, el lobo persiguió a los cerditos hasta la casa de ladrillos. Los cerditos bailaban de alegría hasta que escucharon al lobo intentando abrir la puerta, como había hecho antes. En cierto punto, el lobo se alejó y comenzó a ______ sobre la casa. Sopló, una y otra vez, pero a diferencia de las casitas anteriores, la casa de ladrillos era muy resistente y no consiguió derribarla. Entonces vio la chimenea y se le ocurrió entrar por allí. El ______ trepó por la chimenea y comenzó a descender, pero el cerdito mayor se percató y echó leña al caldero, donde estaba haciendo una sopa. El lobo fue a parar al caldero de agua caliente, salió disparado de un solo brinco y no paró hasta llegar al _____. Los cerditos jamás lo volvieron a ver y vivieron felices por siempre. Instrucción: Completa en las líneas, los personajes o lugares que hacen falta al cuento.
  • 5.
    Escuela primaria “EjércitoMexicano” Docente normalista Andrea Guadalupe Motel Armenta. CUENTO: La ranita Marianita Era hace una vez una ranita muy feliz que vivía en una hoja amplia y cómoda que a menudo compartía con sus amigos Paquito y Memo a los cuales conocía desde hace mucho tiempo. La ranita tenía por nombre Mariana, era educada y bondadosa por lo que frecuentemente la invitaban a simpáticas fiestas en aquel lodoso pero mágico pantano. Ella siempre aceptaba y llegaba acompañada de sus dos fieles amigos porque muy en el fondo de su corazón sabía que sus amigos nunca la dejarían. CUENTO: La ranita Marianita Era hace una vez una ranita muy feliz que vivía en una hoja amplia y cómoda que a menudo compartía con sus amigos Paquito y Memo a los cuales conocía desde hace mucho tiempo. La ranita tenía por nombre Mariana, era educada y bondadosa por lo que frecuentemente la invitaban a simpáticas fiestas en aquel lodoso pero mágico pantano. Ella siempre aceptaba y llegaba acompañada de sus dos fieles amigos porque muy en el fondo de su corazón sabía que sus amigos nunca la dejarían.
  • 6.
    Escuela primaria “EjércitoMexicano” Docente normalista Andrea Guadalupe Motel Armenta. LA BELLA DURMIENTE En un lugar muy lejano una reina tuvo una preciosa hija, a cuyo bautizo fueron invitadas todas las hadas del reino, menos a la más malvada. Aun no siendo invitada, el hada malvada se presentó y al pasar frente a la cuna de la pequeña la maldijo, diciéndole que a los 16 años se pincharía con un huso (punta de una huerta) y moriría. Esta maldición fue escuchada por otra hada buena que hizo un encantamiento para evitar la terrible condena. Su encantamiento fue que, en lugar de morir, dormiría durante 100 años y tan solo podría despertar con el beso de un joven príncipe. Con los años, la niña se fue convirtiendo en la mujer más guapa del reino, y el rey ordenó quemar todos los husos del reino para evitar que se pinchase. Al cumplir los 16, la niña fue a un lugar del reino que todos pensaban que estaba deshabitado, y ahí encontró a una mujer hilando lana que se ofreció a enseñarle a hacerlo. En ese momento fue cuando la niña se pinchó y cayó al suelo. Ningún médico ni mago consiguió despertarla. El hada que evitó la muerte de la niña contó a sus padres lo ocurrido, y con otro encantamiento hizo que todos los miembros del reino durmiesen también por esos cien años. Todo el reino quedó en silencio durante ese tiempo, y la vegetación comenzó a envolverlo de forma que era imposible entrar en él. Una vez transcurridos los 100 años, un príncipe que perseguía a un jabalí llegó hasta el lugar. El jabalí entró en los arbustos y el príncipe empezó a abrirse camino hasta que encontró el castillo viendo a todos sus habitantes en el suelo. Al principio pensó que todos habían muerto, pero se tranquilizó al darse cuenta de que tan sólo estaban dormidos. Aun así, no consiguió despertarlos, y buscando al final encontró a la princesa. Al verla se enamoró al momento. Cogió su mano y la besó delicadamente. En ese mismo instante la princesa despertó y murmuró: ¡Por fin has llegado! La princesa se levantó y ofreció su mano al príncipe, momento en el que todo el castillo comenzó a despertar sorprendidos y fueron a ver a la princesa. Unos días después, se celebró la boda en el reino y todos fueron felices para siempre.
  • 7.
    Escuela primaria “EjércitoMexicano” Docente normalista Andrea Guadalupe Motel Armenta. Nombre:__________________________________ Fecha:______________________ c Plasma las características los personajes, escenarios o acciones que se presentan en las imágenes.
  • 8.
    Escuela primaria “EjércitoMexicano” Docente normalista Andrea Guadalupe Motel Armenta. Agua igual a fracciones. Nombre: ____________________________________________________ Fecha: __________________________ Constesta las preguntas correctamente usando fracciones, basandote en la actividad presentada en el pizarron. 1- La cafetera electrica que se muestra tiene una capacidad de mayor que 1 litro. ¿Cuántos litros mas puede contener? _________________ 2- ¿Cuántos decilitros de agua caben en la taza? ____________________
  • 9.
    Escuela primaria “EjércitoMexicano” Docente normalista Andrea Guadalupe Motel Armenta. ¿Cuánto vale? Nombre: ____________________________________________________ Fecha: __________________________
  • 10.
    Actividad en pizarrón ¿Cuántovalgo? Lunes 12 0 1 ½ ¼ 1/8
  • 11.
    Escuela primaria “EjércitoMexicano” Docente normalista Andrea Guadalupe Motel Armenta. Fracción igual a entero. Nombre: ____________________________________________________ Fecha: ______________________________ Suma y reparte las fracciones para llegar al entero, ejemplo: sacaremos la fracción de ½, resultado: Escribe cuanto representan los círculos, anotando números enteros y fracciones. Ejemplo: = 1 ½ + ½ = 1. 2 1 8 2 3 4 1 5 = = = = + + + + +
  • 12.
    Escuela primaria “EjércitoMexicano” Docente normalista Andrea Guadalupe Motel Armenta. Galletas de pedro. Nombre: ____________________________________________________ Fecha: ______________________________ Lee y contesta correctamente el siguiente problema: Pedro tiene 1 pastel, y su mama le dice que coma 1/8 de pastel. Durante 7 días. ¿Cuántas rebanadas de pastel se come al día? (escribe la respuesta en fracción) __________________________________________________ ¿Cuántas rebanadas se cómo en los siete días? (escribe la respuesta en fracción) _________________________________________________ ¿Cuántas rebanadas lleva consumidas en el día 4? ________________________________________ ¿Sobran rebanadas de pastel? _________ ¿Cuántas? _________________________________
  • 14.
    Escuela primaria “EjércitoMexicano” Docente normalista Andrea Guadalupe Motel Armenta. Las fracciones. Nombre: ____________________________________________________ Fecha: ______________________________ Coloca los signos que representan mayor que (>), menor que (<) o igual (=), dependiendo de la fracción que se muestran. 7 8 4 4 3 8 6 8 1 8 1 4 4 8 1 2 3 4 1 2 1 6 4 6 5 8 2 4 2 8 1 4
  • 15.
    Escuela primaria “EjércitoMexicano” Docente normalista Andrea Guadalupe Motel Armenta. Panel de equivalencias. Panel de equivalencias.
  • 16.
    Escuela primaria “EjércitoMexicano” Docente normalista Andrea Guadalupe Motel Armenta. Suma y reparte. Nombre: ____________________________________________________ Fecha: __________________________ Suma y después reparte dependiendo al resultado de la suma de las fracciones. 1 8 1 1 + + = 8 8 2 7 2 2 7 7 + + = 1 1 1 1 6 6 6 6 1 1 1 1 10 10 10 10 = = + + + + + +