MANUAL DE LABORATORIO
      INEL-4077




              Preparado por:
       Cesar Augusto Aceros Moreno

             Corregido por:
       Michael A. Rodríguez Meyer




          Versión: Agosto 13 de 2007




      UNIVERSIDAD DE PUERTO RICO
  RECINTO UNIVERSITARIO DE MAYAGUEZ
DEPARTAMENTO DE INGENIERIA ELECTRICA Y
            COMPUTADORAS
                 2007
CONTENIDO
CARTA AL ESTUDIANTE

Practica 1: Elementos básicos para el trabajo de Laboratorio.
Practica 2: Serie y Paralelo de Resistencias.
Practica 3: Leyes de Kirchhoff y Superposición.
Practica 4: Diodo Semiconductor.
Practica 5: Aplicaciones del Diodo Semiconductor.
Practica 6: Reguladores de Voltaje.
Practica 7: Transistor 1.
Practica 8: Transistor 2.
Practica 9: Amplificador Operacional.
Practica 10: Circuitos de Lógica.
CARTA AL ESTUDIANTE

Apreciado Estudiante:

Desde que fui estudiante y ahora en mis anos de trabajo dedicados a la docencia, he
tenido la experiencia de que los estudiantes hemos tomado y toman los laboratorios como
algo accesorio y solo un requisito que cumplir. Esto es algo que creo ha sido fruto de
unos manuales de laboratorio áridos que buscan hacer prácticas complicadas que no
conectan la teoría con la práctica de una forma que el estudiante disfrute.

El propósito de este manual es tratar de corregir los errores que creo siempre han tenido
los manuales de laboratorio y que sea para ustedes una oportunidad de crecimiento
personal (este en ultimas debería ser el fin de la educación). Espero que sea una
experiencia de enriquecimiento para sus vidas. El camino del conocimiento es un camino
que solamente uno decide cuando arranca a recorrer y los maestros nos acompañan en los
primeros pasos, espero que este manual y las practicas con sus instructores sean una
motivación para que ustedes inicien ese camino y sigan adelante. La electrónica puede ser
apasionante y enamoradora aparte de ser una fuente de soluciones para muchos
problemas en sus vidas.

Las prácticas tendrán al final una serie de preguntas que el estudiante deberá responder de
manera personal para saber si ha alcanzado los propósitos para los cuales la práctica fue
diseñada. Las prácticas no deben ser vistas como entes separados, todas están
entrelazadas y se necesitan. Particularmente importantes son las practicas 1 a la 4 que son
la base para seguir adelante.

Por ultimo este manual no pretende ser una camisa de fuerza y como todo en la vida
siempre estará inconcluso y sus aportaciones son valiosas para el enriquecimiento del
mismo. Cualquier sugerencia será un placer incluirla. ( cesar.aceros@ece.uprm.edu )
PRACTICA 1
       ELEMENTOS BÁSICOS PARA EL TRABAJO DE LABORATORIO.

Elementos requeridos:

10 Resistencias de valores aleatorios.

Algunas cosas necesarias para la práctica:

¿Qué es la corriente eléctrica?

La corriente eléctrica es el flujo de electrones de un sitio a otro debido a una diferencia de
potencial o voltaje. La mejor analogía de un sistema eléctrico es un sistema hidráulico.
En la figura aparecen dos sistemas uno eléctrico y uno hidráulico que son equivalentes.
En el sistema hidráulico la bomba impulsa fluido por las tuberías, en el sistema eléctrico
la Fuente de Corriente tiene la misma función solo que impulsa electrones en el circuito.
La función de la resistencia en el sistema hidráulico es un estrechamiento que genera una
caída de presión, esto es análogo al voltaje que cae en la resistencia. La relación entre
corriente y voltaje están definidos por la ley de Ohm (V=IR, donde V es voltaje, I es
corriente y R es la resistencia).




El voltaje es análogo a la presión y la corriente es análoga al flujo de fluido en la tubería.

¿Qué pasa si la bomba de agua de la anterior figura varía continuamente de flujo, es
decir, va desde cero a un máximo de presión y después vuelve a un mínimo de presión y
así sucesivamente? ¿Qué crees que va a pasar con el flujo en la tubería? Lo que va a pasar
es que el flujo en la tubería va a estar variando continuamente. Esto es lo que en la
electricidad conocemos como AC (Corriente Alterna), porque continuamente está
variando el valor del voltaje en la línea. Un ejemplo de esto es la toma eléctrica de
nuestras casas. Las variaciones en el voltaje de las tomas son relativamente rápidas en
términos humanos (60 Hz, ó sea, 60 veces en un segundo).

La electricidad es muy hermosa y más fácil de lo que puedes pensar. Usa tu imaginación
para entenderla y veras que aprenderás algo que a juzgar de mucha gente es muy difícil.
Al terminar la practica usted como estudiante deberá:

   -   Identificar los valores de resistencias.
   -   Medir resistencias eléctricas con multimetro.
   -   Ser capaz de montar circuitos eléctricos en Breadboards.

Breadboard:

Un Breadboard es un dispositivo que permite el montaje de circuitos electrónicos.
Muchas veces varios dispositivos estarán conectados a un mismo punto, conocido como
un nodo. En el Breadboard, varios puntos pueden estar contenidos en un mismo nodo
dependiendo de su posición en dicho Breadboard. La destreza del estudiante para el
montaje de los circuitos será fundamental para las prácticas por venir. En las siguientes
figuras se muestra un Breadboard y los puntos que son comunes en el mismo.




Para entender como están conectados los nodos, la siguiente figura muestra las
conexiones internas del Breadboard.
Entendiendo Diagramas de Circuitos:

A medida que realicen las prácticas, notarán que se usan diagramas para representar la
estructura física de los circuitos. A continuación se presenta una lista de los diferentes
componentes eléctricos y sus representaciones correspondientes en los diagramas:


                         Resistencia                                Fuente de Voltaje DC



            Resistencia Variable o Potenciometro                            Diodo



                          Voltímetro                                         Nodo


                        Amperímetro                               Amplificador Operacional


                     Fuente de Corriente                                    Switch


                      Fuente de Voltaje                                   Transistor


                    Fuente de Voltaje AC                                Tranformador


                          Capacitor                                    Ground o Tierra



Códigos de Colores para resistencias:

Las resistencias (como seguramente ya lo han experimentado en las materias relacionadas
con Electricidad) son elementos fundamentales para la construcción de circuitos
eléctricos y sus valores se miden en Ohmios. Resistencias funcionan como barreras que
impiden el flujo de corriente. Los fabricantes de resistencias manejan una codificación
para especificar los valores de las resistencias, asignando colores a cada uno de los
números del 0 al 9 como se ve en la siguiente tabla. Las resistencias vienen de cuatro o
cinco bandas. Las de cinco bandas se llaman resistencias de precisión.
Número                    Color                  Número                 Color
  0         Negro                                  5        Verde
  1         Marrón                                 6        Azul
  2         Rojo                                   7        Violeta
  3         Anaranjado                             8        Gris
  4         Amarillo                               9        Blanco

Ahora que sabemos los colores, ¿qué hacemos con ellos? Bueno con los colores se puede
revisar una resistencia y se tendrá lo siguiente. Ver la siguiente figura:




Como se puede ver hay bandas de color. De las cuales las primeras 3 son el valor de la
resistencia y la cuarta es la tolerancia, en el caso de resistencias de cuatro bandas. En las
resistencias de cinco bandas, las primeras 4 son el valor de la resistencia y la quinta es la
tolerancia. Son de particular interés para el curso las 3 o 4 primeras porque gracias a ellas
podrán determinar el valor de una resistencia. La penúltima banda representa el valor de
ceros en el valor de la resistencia.

La siguiente tabla muestra el valor de la tolerancia basado en el color de la última banda.
Usualmente se puede identificar cual es la última banda por su ancho. La banda de
tolerancia tiende a ser mas ancha de las demás bandas. La tolerancia va al final del valor
de la resistencia encontrado de la forma: xxx Ω ± x %.

 Valor                    Color                   Valor                 Color
  1%        Marrón                                10%       Plateado
  2%        Rojo                                   5%       Dorado

Algunos Ejemplos:
            Colores                     Números         Valores               Valor
                                                      1 - 0 – 00 (2     1000 Ohms = 1 KΩ
   Marrón – Negro – Rojo - Rojo         1–0-2
                                                          ceros)               ± 2%
   Anaranjado – Anaranjado –                         3 – 3 – 000 (3      33000 Ohms = 33
                                        3–3-3
      Anaranjado - Dorado                                 ceros)             KΩ ± 5%
 Verde – Azul – Negro - Plateado        5–6-0       5 – 6 – (0 ceros)     56 Ohms ± 10%
 Azul – Gris – Marrón - Marrón          6–8–1       6 – 8 – (1 ceros)     680 Ohms ± 1%
Para las resistencias de cinco bandas el procedimiento es el mismo, por ejemplo ahora
una resistencia con los siguientes colores:

Marrón – Negro – Negro – Marrón - Plateado es en números 1 – 0 – 0 – 1 (1 ceros), lo
que equivale a 1000 Ohmios = 1 KΩ ± 10%.

Montaje de circuitos en Breadboard:

Los montajes de circuitos en breadboard, para el estudiante principiante son
normalmente un poco confusos. Me propongo dar a ustedes unos “tips” para que puedan
facilitar el paso de pasar del dibujo al breadboard.

Tip 1: USE EL BOARD SIN TEMOR. Un breadboard tiene suficiente espacio para los
circuitos de este curso. No tema usar una cantidad de espacio considerable en el mismo.
Los estudiantes tienden a armar los circuitos muy pegados los componentes, esto es una
causa común de fallas a la hora de probar el circuito.

Tip 2: TRATE DE ARMAR EL CIRCUITO COMO ESTA EN EL DIBUJO. Es una
buena forma de saber donde esta cada cosa. Esto facilitara a la hora de fallas encontrar un
componente.

Tip 3: NO TEMA USAR JUMPERS: Si aun no sabe lo que es un jumper. Un jumper es
un cable que une dos sitios en el breadboard. No tema usarlos son muy útiles en especial
para cumplir el “tip” 2 respecto a montar los circuitos como están dibujados.

Tip 4: LA PRACTICA HACE AL MAESTRO: No se quede parado mirando a su
compañero montar el circuito, involúcrese en el trabajo y aprenderá. Al principio
seguramente no le gustara como quedan los circuitos pero si usted es un auto-critico de su
trabajo vera que su destreza para montaje de circuitos ira mejorando.

Ahora que ya tienes los “tips” para montajes en el Breadboard, empecemos.


PROCEDIMIENTO:

     1. Lectura de Resistencias:

Tomen 10 resistencias, lean los valores en las mismas de acuerdo al código de colores y
posteriormente mide el valor con el multimetro.

                          Valor Leído                               Valor Medido
 1
 2
 3
 4
 5
6
  7
  8
  9
 10

      2. Mediciones de Corriente y Voltaje.

Tome 2 resistencias y colóquelas en el valor de R. Llene la siguiente tabla. Vs = 12
Voltios.




      Resistencia                V (Voltios)                       A (Amperios)




      3. Uso del Osciloscopio y del generador:

Usando un generador de funciones, monte el siguiente circuito. Ajuste el generador para:

Forma de onda: Senosoidal
Frecuencia   : 1 KHz
Vpp          :5V




Como es la señal en el osciloscopio, dibuje la forma de onda en la próxima grafica:
Ya terminamos, ahora deberá contestar las siguientes preguntas:

   1)   ¿Por qué crees que un Breadboard es útil para la electrónica?
   2)   ¿Por qué son útiles los “jumpers” en un circuito montado en Breadboard?
   3)   ¿Para qué se utilizan las resistencias?
   4)   ¿Qué significado tiene la tolerancia de una resistencia?
   5)   ¿Qué diferencia fundamental existe entre el generador AC y una fuente DC?

Mencione conclusiones de esta práctica.
PRACTICA 2
                     SERIE Y PARALELO DE RESISTENCIAS

Elementos requeridos:

2 Resistencias de 1 KΩ.
2 Resistencias de 2 KΩ.

Al terminar la practica usted como estudiante deberá:

   -   Distinguir entre un montaje de resistencias en serie y paralelo.
   -   Que la corriente es la misma para resistencias en serie.
   -   Que el voltaje es el mismo para resistencia en paralelo.

¿Qué son dispositivos en serie y paralelo?

Notarán que hay varias maneras de conectar dispositivos en un circuito. Dos términos son
principales en el momento de analizar y montar circuitos: nodos y mallas. Nodos son
puntos comunes en donde los terminales de dos o más dispositivos están localizados.
Mallas son secciones de un circuito completo donde todos los componentes estan en
serie. Por ejemplo, si tienes un cuadrado grande, ese cuadrado lo puedes dividir en varios
cuadrados pequeños internamente. El cuadrado grande es nuestro circuito y los cuadrados
pequeños que lo componen son las mallas. Se puede visualmente observar si dos
dispositivos están en serie o en paralelo mirando sus terminales. Si dos dispositivos
tienen un terminal compartiendo el mismo nodo, pero su otro terminal no, es posible que
los dispositivos estén en serie. Si dos dispositivos tienen un terminal compartiendo el
mismo nodo y su otro Terminal también esta compartiendo otro nodo con el otro
dispositivo, es posible que estén en paralelo.



                                     Nota que en este caso la resistencia 1 esta
                                     compartiendo un Terminal con la resistencia 2 en el
                                     nodo A. Sin embargo en otro Terminal de la
                                     resistencia 1 esta siendo compartida con Vx, no con
                                     la resistencia 2.
Nota que en este caso la resistencia 1 esta
                                        compartiendo un Terminal con la resistencia 2 en el
                                        nodo A y su otro Terminal también con la
                                        resistencia 2 en el nodo B. Otra nota es que hay dos
                                        mallas en este circuito. Una malla contiene Vx y la
                                        resistencia 1, mientras que el otro contiene la
                                        resistencia 1 y 2.

Resistencia Equivalente

En la primera práctica, aprendimos la Ley de Ohm y su importancia para los circuitos
eléctricos. Podemos obtener el voltaje total, o sea, el voltaje que se está supliendo al
circuito, multiplicando la corriente total que está pasando por el circuito completo por la
resistencia total del circuito. Para circuitos sencillos como los que estaban ilustrados
anteriormente, necesitamos saber como encontrar el valor resistivo total del circuito. La
forma de entender este concepto es imaginar que a los circuitos anteriores estuviéramos
substituyendo las dos resistencias por una sola con un valor equivalente para que el
circuito siga funcionando igual. Para resistencias en serie, la resistencia equivalente es
igual a la suma de los valores de cada resistencia individual. Para resistencias en paralelo,
la resistencia equivalente es igual al recíproco de la suma de todos los valores recíprocos
de las resistencias individuales. Esta técnica de buscar la resistencia equivalente de dos o
más resistencias será de gran ayuda al analizar circuitos.

Req (Serie) = Σ Ri = R1 + R2
Req (Paralelo) = (Σ (Ri)-1)-1 = ((1 / R1) + (1 / R2))-1

Midiendo Voltaje y Corriente en Serie o Paralelo

En un circuito, la corriente que pasa por el circuito es generada por el voltaje que se esta
supliendo al circuito. La corriente fluye por todo el circuito y pasa a través de cada
dispositivo. A medida que la corriente pasa por cada dispositivo, se puede medir un valor
de voltaje en cada dispositivo. Dado que la corriente entra y sale por un dispositivo,
siempre se mide la corriente en un nodo. Se coloca el amperímetro en el nodo de interés y
la corriente entra por un terminal del amperímetro y sale por el otro Terminal sin
molestar el flujo del circuito. Voltaje es medido en un dispositivo o varios. Se coloca el
voltímetro sobre el dispositivo o área de interés, donde un terminal del voltímetro toca el
comienzo del área de interés o el primer terminal del dispositivo y el otro Terminal del
voltímetro toca el final del área de interés o el segundo terminal del dispositivo.
Siguiendo este principio, se dice que se mide corriente en serie y el voltaje en paralelo.

Dado que la misma corriente esta pasando por todos los dispositivos de una misma malla
y estos dispositivos a su vez todos están en paralelo, el valor de corriente de dispositivos
en serie es igual. El voltaje se estará dividiendo entre los dispositivos, por lo tanto, el
voltaje de dispositivos en serie es distinto usualmente. Para circuitos en paralelo, lo
mencionado es inverso. El voltaje por dispositivos en paralelo es igual, pero la corriente
es distinta.

Divisores de Voltaje y Corriente

Hay momentos cuando queremos analizar la corriente o el voltaje que pasa por un punto
específico de un circuito con resistencias solamente sin medirlo directamente.
Dependiendo del arreglo del circuito, podemos calcular esto fácilmente usando un
concepto llamado divisores. Como sugiere el nombre, divisores asocian el
comportamiento de cómo se divide el voltaje o corriente de la fuente entre las resistencias
del circuito en forma matemática. Nota que para usar un divisor utiliza valores de
resistencias o resistividad, por lo tanto, se puede aplicar este concepto a componentes
como capacitares, pero solo trabajaremos con resistencias para efectos de esta
información.




La forma genérica para un divisor de voltaje es: VOUT = VIN · (R contenidos / R total). En el
circuito a la izquierda, supongamos que queremos Vy. Tuviéramos que hacer un divisor
de voltaje entre el punto B y C, donde VIN = Vx y R contenido = R3. Ya que todas las
resistencias están en serie, R total = R1 + R2 + R3. Para el circuito a la derecha, queremos
Vz, por lo tanto, R contenido ahora seria igual a R3 + R4 y R total = R1 + R2 + R3 + R4. Los
divisores de corriente siguen el mismo concepto, pero su forma genérica es de la forma:
IOUT = IIN · (R total / R contenidos).


PROCEDIMIENTO

1. Resistencias en Serie.
Monte el siguiente circuito:




Una forma de montar este circuito es la siguiente (OJO: No es la única):




Con una fuente V1=12 V. Para los valores de R1 y R2. Llene la siguiente tabla:

         R1     R2         VR1           VR2             IR1               IR2
         1K     1K
         1K     2K
         2K     1K
         2K     2K

2. Resistencias en Paralelo.

Monte el siguiente circuito:
Con una fuente V1=12 V. Para los valores de R1 y R2. Llene la siguiente tabla:

         R1     R2         VR1           VR2            IR1            IR2
         1K     1K
         1K     2K
         2K     1K
         2K     2K

3. Combinación de Resistencias en Serie y Paralelo:

Monte el siguiente circuito:




Con una fuente V1=12 V. Para los valores de R1, R2, R3 y R4 indicados. Llene la
siguiente tabla:

      R1      R2     R3   R4       VR1          VR2           IR1            IR2
      1K      1K     2K   2K
                                   VR3          VR4           IR3            IR4
Responda las siguientes preguntas:

   1) ¿Cómo es la corriente IR1 e IR2 en el circuito serie?
   2) ¿Cómo es el voltaje VR1 y VR2 en el circuito paralelo?
   3) ¿Qué pasa en el circuito de serie y paralelo con la corriente Is y las corrientes IR1,
      IR3 e IR4?

Diga sus conclusiones de esta práctica.
PRACTICA 3
                   LEYES DE KIRCHHOFF Y SUPERPOSICION.

Elementos requeridos:

4 Resistencias de 1 KΩ.
1 Resistencia de 10 KΩ.
1 Resistencia de 330 Ω.

Al terminar la practica usted como estudiante deberá:

   -   Entender las leyes de voltaje y corriente de Kirchhoff.
   -   Poder determinar la corriente o voltaje en cualquier punto de un circuito.
   -   Saber como determinar valores en circuitos con múltiples fuentes de voltaje.

La Ley de Voltajes de Kirchhoff (KVL)

En el siglo XIX, un físico alemán de nombre Gustav Kirchhoff aumenta nuestro
conocimiento fundamental sobre los circuitos eléctricos, espectroscopia y radiación.
Entre sus contribuciones, dos conceptos fueron de gran importancia para el análisis de
circuitos. Estos dos conceptos fueron nombrados las leyes de Kirchhoff en
reconocimiento al físico. La ley de voltaje es una ley de conservación del campo
electroestático de los circuitos y explica que la suma de voltajes alrededor de una malla
cerrada debe ser igual a cero.




Para el circuito ilustrado, la fuente de voltaje Vx suple un voltaje al circuito. Si medimos
las corrientes que pasan por las resistencias y usamos la ley de Ohm para determinar el
voltaje en cada resistencia, vamos a notar que la suma será igual a Vx. Este efecto
muestra la KVL porque solamente hay un voltaje suplida al circuito, mientras que las
otras muestran cuanto del voltaje suplido está en cada dispositivo. Podemos apreciar esto
en forma matemática como Vx = VR1 + VR2, o sea, Vx - VR1 - VR2 = 0.

La Ley de Corrientes de Kirchhoff (KCL)

La otra ley de Kirchhoff es una ley de conservación de carga y explica que suma de
corrientes en un circuito debe ser igual a cero. Esta ley aplicada a los nodos de un circuito
nos muestra que la suma de corrientes que entran a un nodo debe ser igual a la suma de
corrientes que salen del mismo nodo. Recuerda que la corriente en un circuito fluye por el
circuito como agua por un sistema de tubería, por lo tanto, si el sistema de tubería se
divide en un punto en tres tubos más pequeños, el agua continúa su camino por cada tubo
dividiéndose entre ellos. En la siguiente ilustración, podemos notar que la corriente
producida por la fuente fluye por la primera malla, pero cuando llega al nodo A, se divide
en dos corrientes que pasarán por la resistencia 1 y 2. Matemáticamente esto se muestra
como IVx = IR1 + IR2, o sea, IVx – IR1 – IR2 = 0.

Superposición

Si tuviéramos múltiples fuentes de voltaje en serie en una malla, el voltaje total suplido al
circuito seria la suma de los voltajes de cada fuente. Esto es así porque, como aprendimos
anteriormente en KVL, todos los voltajes suplidos en una malla cerrada sumados a los
voltajes medidos en los componentes de la malla serán igual a cero. Sin embargo, muchas
veces tenemos que analizar circuitos con dos o más fuentes de voltaje en mallas paralelas.
Hay varias técnicas para hacer esto como usar los teoremas de Thevenin y Norton, pero la
discutida a continuación se conoce como superposición.

La idea básica es analizar el circuito con una fuente a la vez, donde las demás fuentes se
sustituyen por un corto circuito (Short Circuit: un área de un circuito donde la malla esta
cerrada, pero no hay ningún dispositivo) o como si las fuentes suplieran 0 voltios. Luego
se simplifica el circuito usando los conceptos aprendidos de KVL, KCL y circuitos en
paralelo y en serie hasta llegar al punto de interés. Con uno de los valores necesarios, se
procede a hacer lo mismo para las demás fuentes hasta terminar el análisis. Lo siguiente
es un ejemplo:




R1 = 0.33k Ω, R2 = 1.00k Ω, R3 = 0.33k Ω, I3 (corriente por R3) = 3.00m A
Necesitamos Vx, Vy

   •   Si I3 es 3mA y R3 es 0.33kΩ, podemos determinar el voltaje por el dispositivo
       usando la ley de Ohm V = IR. V3 será entonces 1V.

   •   Por caída en voltaje por un dispositivo podemos concluir que el voltaje en punto
       A es 1V. Esto es debido a que el voltaje por R3 es la caída entre punto A menos
       punto B. Punto B esta en Ground, así que su voltaje es 0. Por lo tanto V3 = VA –
       VB, así que 1V = VA – 0. Esto termina VA = 1V.

   •   Si queremos 1V en el punto A, significa que la suma de lo que sale desde el punto
       de vista de las fuentes debe dar a 1V. Para nuestro caso vamos a imaginarnos que
       queremos 0.5V por cada malla del circuito. NOTA: Esta división fue arbitrario,
       pero la SUMA debe dar 1V.
•   Ahora aplicamos Superposición para encontrar los voltajes de las fuentes. Vamos
       a ver Vx. Imaginamos que la otra fuente está apagada. Esto nos produce el
       circuito:




   •   Nota que tenemos un circuito serie-paralelo. Sabes que el voltaje que queremos
       por R2 es 0.5V, pero R3 esta en paralelo con R2. Ya que voltajes en un circuito
       paralelo son iguales, el voltaje es igual para R2 y R3. Podemos simplificar nuestro
       circuito encontrando la resistencia equivalente R23:




   •   El voltaje por R23 debe ser 0.5V y su valor en ohmios es de 0.25k. Nota que
       tenemos un circuito en serie. Por divisores de voltajes podemos determinar Vx, ya
       que sabemos el voltaje por R23. Vx = 0.5 / (0.25 / 0.58).

   •   Ya sabemos Vx, ahora hacemos los mismos pasos para Vy. Obtendremos 3.33V.
       Con esto sabemos una de las combinaciones para obtener 3mA por el punto B.


PROCEDIMIENTO

1. Montaje del Circuito para Superposición:

Monte el siguiente circuito:
2. Análisis del Circuito:

Encuentre el valor de Vx para que la corriente pasando por R5 sea de 1.5 mA. Usa el
método de superposición discutido en la teoría. Anote los resultados de su análisis en la
tabla que sigue. Luego conecte las fuentes de voltaje como se muestra en la figura del
circuito utilizando el valor de voltaje de tu resultado. Mida las corrientes y voltajes en
cada resistencia y anote sus resultados en la tabla.

                    Componente Valor Calculado Valor Medido
                       Vx
                       R1
                       R2
                       R3
                       R4
                       R5
                       R6

Responda las siguientes preguntas:

   1)   Explica donde se cumple la ley de Kirchhoff de voltaje en el circuito anterior.
   2)   Explica donde se cumple la ley de Kirchhoff de corriente en el circuito anterior.
   3)   ¿Qué valor debe tener Vx para que R4 tuviera una corriente de 3.5 mA?
   4)   ¿Qué valor debe tener Vx para que R5 tuviera una corriente de 3.5 mA?

Diga sus conclusiones de esta práctica.
PRACTICA 4
                            DIODO SEMICONDUCTOR.

Elementos requeridos:

1 Diodo 1N4001.
1 resistencia de 560 Ω.
1 resistencia de 330 Ω.
1 LED.

Al terminar la practica usted como estudiante deberá:

   -   Entender el principio de un diodo semiconductor.
   -   Saber como es la característica de un diodo semiconductor.
   -   Conocer las regiones de operación de un diodo semiconductor.

¿Qué es un diodo?

Un diodo es un dispositivo electrónico que restringe el flujo direccional de cargas. La
idea básica es que un diodo puede bloquear el flujo de corriente en una dirección y
permitir el flujo en la otra dirección. Pueden visualizar un diodo como una válvula de
retención en un sistema de agua. La mayoría de los diodos usados hoy día son
semiconductores de unión p-n, o sea, unión de material tipo p (ánodo) y tipo n (cátodo).
Los diodos son manufacturados de silicio (Si) o germanio (Ge).

Modos de Operación

Un diodo puede dejar pasar corriente o bloquearlo dependiendo de la dirección en que
está entrando la corriente por sus materiales. La dirección de entrada indica el modo de
operación del diodo y denota su comportamiento en relación a la corriente. Cuando la
corriente entra por el ánodo o lado positivo, el diodo permite el flujo de corriente y se
dice que el diodo esta en el modo de polarización directa o “Foward Bias”. Cuando la
corriente entra por el cátodo o lado negativo, el diodo bloquea el flujo de corriente y se
dice que el diodo esta en el modo de polarización inversa o “Reverse Bias”. Con estos
dos modos de operación, se puede graficar la relación de I-V característica del diodo.
Observando la gráfica a continuación, podemos notar que cuando el diodo está en
polarización directa y con aproximadamente 0.6 a 0.7 V, permite el flujo continuo de
corriente.
Light Emitting Dioses (LEDs)

Existen variedades de diodos con operaciones distintas. Algunos ejemplos de tipos de
diodos son Schottky, Switching, Zener y Avalanche. Un tipo de diodo que se utilizará en
varias ocasiones en este manual es el diodo emisor de luz o LED. Este tipo de diodo
funciona como cualquier otro tipo de diodo con la excepción de que tiene un filamento
que se calienta cuando el diodo esta en polarización directa. Este filamento produce luz al
calentarse como una bombilla.


PROCEDIMIENTO

1. Curva característica de un diodo semiconductor: (Polarización Directa)

Monte el siguiente circuito:




Con el valor de R1 = 560 Ω y el diodo 1N4001. Llene la siguiente tabla:

     Vs              Id             Vd             Vs              Id             Vd
     0.5                                           15
      1                                            20
      2                                            25
      3                                            30
      4
      6
      8
     10
     12

2. Curva característica de un diodo semiconductor: (Polarización Inversa)

Monte el siguiente circuito:
Con el valor de R1 = 560 Ω y el diodo 1N4001. Llene la siguiente tabla:

     Vs              Id            Vd
     0.5
      4
      8
     12
     20
     25




3. Curva característica de un diodo semiconductor: (Polarización Directa)

Monte el siguiente circuito:




Con el valor de R1 = 330 Ω y colocando el LED en la posición del diodo. Llene la
siguiente tabla:

     Vs              Id            Vd             Vs             Id            Vd
     0.5                                          15
      1                                           20
      2                                           25
      3                                           30
4
      6
      8
     10
     12

4. Curva característica de un diodo semiconductor: (Polarización Inversa)

Monte el siguiente circuito:




Con el valor de R1 = 330 Ω y colocando el LED en la posición del diodo. Llene la
siguiente tabla:

     Vs              Id           Vd
     0.5
      4
      8
     12
     20
     25




DIBUJE LOS DATOS DE LAS 4 TABLAS EN EXCEL O EN PAPEL
MILIMETRADO.
Obtenga una regresión que genere una función que se aproxime a estos puntos.

Responda las siguientes preguntas:

   1) ¿Un diodo es un elemento bi-direccional?
   2) ¿Qué diferencias encuentra entre un diodo y una resistencia?
   3) ¿Cómo es el comportamiento del LED en polarización directa e inversa?

Diga sus conclusiones de esta práctica.
PRACTICA 5
                 APLICACIONES DEL DIODO SEMICONDUCTOR.

                                 ADVERTENCIA
 EN ESTE LABORATORIO SE VA A MANEJAR LINEA AC DE 120 VAC, QUE
                ES POTENCIALMENTE PELIGROSA.
 PRECAUCIONES ADICIONALES DEBEN SER TOMADAS PARA ASEGURAR
  LA SALUD DE LOS ESTUDIANTES Y EVITAR DANOS EN LOS EQUIPOS.

Elementos requeridos:

1 Transformador con tap central.
2 Diodos 1N4001/02/03 o 04
1 Resistencia de 220 Ohmios (1/2W)
1 Condensador de 100 uF (16 V)

Al terminar la practica usted como estudiante deberá:

   -   Conocer experimentalmente como funciona un rectificador.
   -   Saber la función del condensador de filtrado del rectificador.

Rectificadores

En los circuitos eléctricos, a veces solo tenemos corriente alterna (AC). La corriente AC
fluctúa entre un valor mínimo y máximo como una onda senosoidal. Sin embargo,
muchas veces necesitamos corriente directa (DC) la cual se mantiene en un valor
constante. Para este propósito se utilizan los rectificadores. Los rectificadores son
aplicaciones de los diodos semiconductores que convierten corriente AC a DC a través de
un proceso llamado rectificación. La idea básica de un rectificador es filtrar o eliminar la
parte negativa de cada ciclo de corriente, haciendo que la fluctuación se mantenga
cercana a un valor constante.

Rectificadores de Media Onda y Onda Completa

Los rectificadores se pueden construir de dos tipos: media onda y onda completa. En los
rectificadores de media onda o “Half Wave”, la parte negativa de la onda es eliminada y
en la salida solo se ve la parte positiva o mitad de la onda completa. En los rectificadores
de onda completa o “Full Wave”, la parte negativa se invierte al lado positivo de la onda.
Dado que ondas repiten cada ciclo, esto produce un efecto en la salida más cercana a un
valor constante. En ambos casos, la salida no es completamente constante, pero dado las
repeticiones de las ondas y rapidez de frecuencia, se parece mucho a un valor constante.

Filtros de Salida

Hay formas de aproximar la salida de los rectificadores a un valor constante más aun. Si
se añade un filtro en la salida del rectificador, se puede eliminar la pequeña caída de
corriente que ocurre cuando la onda baja al valor negativo del ciclo. Un filtro común es
añadir un capacitor, conocido como un capacitor de reserva, en la salida. Cuando la
corriente aumenta con cada onda positiva, el capacitor se va a cargar y cuando la
corriente disminuye a su valor negativo, el capacitor se descarga más lento que la
disminución de la corriente de la onda. Este efecto hace que la onda nunca toque el punto
de cero corriente. La salida todavía no es perfecta y produce una pequeña fluctuación
llamado rizado o “ripple”, pero logra que el valor de la salida este mas cerca de un valor
constante.




PROCEDIMIENTO

   1. Rectificador con Tap Central (Full-wave)

   Monte el siguiente circuito:




Los diodos son los 1N400X. La resistencia es la de 220 ohmios (cuidado la resistencia
puede calentarse). El TAP central del transformador debe estar en embobinados de 6 o 9
voltios. Dibuje la forma de onda de voltaje en la resistencia con el osciloscopio.
2. Quite D2, desconecta la resistencia del “tap” central y conecta la resistencia al
   transformador donde estaba D2. Vuelva a dibujar la señal en la resistencia.
Ahora agregue un condensador de 100 uF en paralelo con la resistencia como se muestra
en la figura.




Vuelva a dibujar la forma de onda del voltaje en la resistencia, que es la misma del
condensador porque están en paralelo.




Ahora con el multimetro mida el voltaje y la corriente sobre la resistencia de 220 Ω.

               VR (Voltios)                                  I R(Amperios)
Responda las siguientes preguntas:

   1) ¿Cuál es la diferencia entre un rectificador “Half-wave” y uno “Full-wave”?
   2) ¿Cuál es la función del condensador?
   3) ¿Cuál es la función de este circuito?

Diga sus conclusiones de esta práctica.
PRACTICA 6
                          REGULADORES DE VOLTAJE.

Elementos requeridos:

Todos los elementos de la practica 4.
1 Transformador con “tap” central.
2 Diodos 1N4001/02/03 o 04
1 Resistencia de 220 Ohmios (1/2W)
1 Condensador de 100 uF (16 V)

Adicionales:
1 Regulador de Voltaje LM7805C.
1 Resistencia de 56 Ohmios

                                ADVERTENCIA
 EN ESTE LABORATORIO SE VA A MANEJAR LINEA AC DE 120 VAC, QUE
                ES POTENCIALMENTE PELIGROSA.
 PRECAUCIONES ADICIONALES DEBEN SER TOMADAS PARA ASEGURAR
  LA SALUD DE LOS ESTUDIANTES Y EVITAR DANOS EN LOS EQUIPOS.


Al terminar la practica usted como estudiante deberá:

   -   Saber para que sirven los reguladores de Voltaje.

¿Qué son reguladores de voltaje?

Reguladores de voltaje son dispositivos eléctricos compuestos por varios otros
componentes internamente que están diseñados para mantener un nivel constante de
voltaje en su salida. La idea general es que el regulador de voltaje recibe un valor de
voltaje en su entrada e internamente la regula para que en la salida se reciba un voltaje
constante designado. El método que usa el regulador para regular el voltaje de entrada es
lo que denota el tipo de regulador que es. Algunos ejemplos de reguladores de voltajes
son lineales, switching y zener. El regulador lineal funciona internamente como una
resistencia variable que continuamente ajusta un sistema de divisor de voltaje para
mantener una salida especifica. El regulador switching usa transistores para funcionar
como un switch de prender y apagar para mantener el voltaje de salida. Los reguladores
zener utilizan la región de caída del diodo tener para mantener su salida constante.
Cuando una entrada mas alta que el valor constante del regulador es recibida, el regulador
de voltaje ajusta el voltaje y disipa calor. El regulador LM7805 usado en esta práctica es
un regulador lineal.


PROCEDIMIENTO
Monte el siguiente circuito con R=56 Ohmios:




Tome las siguientes medidas con D1 y D2 (R=56 Ohmios):

            Vin                           Vout             IR



Remueva D2 y tome las siguientes medidas:
          Vin                          Vout                IR




Responda las siguientes preguntas:

   1) ¿Qué diferencias encuentra entre el Vin y el Vout?
   2) ¿Cuál es la función del regulador de Voltaje?

Diga sus conclusiones de esta práctica.
LM78XX Series Voltage Regulators
                                                                                                                           May 2000




  LM78XX
  Series Voltage Regulators
  General Description                                                put, although this does improve transient response. Input by-
                                                                     passing is needed only if the regulator is located far from the
  The LM78XX series of three terminal regulators is available        filter capacitor of the power supply.
  with several fixed output voltages making them useful in a
                                                                     For output voltage other than 5V, 12V and 15V the LM117
  wide range of applications. One of these is local on card
                                                                     series provides an output voltage range from 1.2V to 57V.
  regulation, eliminating the distribution problems associated
  with single point regulation. The voltages available allow
  these regulators to be used in logic systems, instrumenta-         Features
  tion, HiFi, and other solid state electronic equipment. Al-        n   Output current in excess of 1A
  though designed primarily as fixed voltage regulators these        n   Internal thermal overload protection
  devices can be used with external components to obtain ad-         n   No external components required
  justable voltages and currents.
                                                                     n   Output transistor safe area protection
  The LM78XX series is available in an aluminum TO-3 pack-           n   Internal short circuit current limit
  age which will allow over 1.0A load current if adequate heat
                                                                     n   Available in the aluminum TO-3 package
  sinking is provided. Current limiting is included to limit the
  peak output current to a safe value. Safe area protection for
  the output transistor is provided to limit internal power dissi-   Voltage Range
  pation. If internal power dissipation becomes too high for the
                                                                     LM7805C              5V
  heat sinking provided, the thermal shutdown circuit takes
  over preventing the IC from overheating.                           LM7812C            12V
  Considerable effort was expanded to make the LM78XX se-            LM7815C            15V
  ries of regulators easy to use and minimize the number of
  external components. It is not necessary to bypass the out-


  Connection Diagrams

                       Metal Can Package                                                   Plastic Package
                            TO-3 (K)                                                          TO-220 (T)
                           Aluminum




                                                                                                                  DS007746-3
                                      DS007746-2
                                                                                           Top View
                        Bottom View                                                 Order Number LM7805CT,
                  Order Number LM7805CK,                                             LM7812CT or LM7815CT
                  LM7812CK or LM7815CK                                            See NS Package Number T03B
               See NS Package Number KC02A




© 2000 National Semiconductor Corporation    DS007746                                                                 www.national.com
PRACTICA 7
                                    TRANSISTOR 1

Elementos requeridos:
1 Transistor 2N3904 (NPN)
1 Transistor 2N3906 (PNP)
1 Resistencia de 100 K
1 Resistencia de 1K

Al terminar la practica usted como estudiante deberá:

   -   Saber como reconocer físicamente un transistor
   -   Determinar con un multimetro los terminales de un transistor.
   -   Diferenciar los transistores NPN y PNP.
   -   Saber como se polariza un transistor.

¿Qué es un transistor?

Transistores son dispositivos semiconductores usados comúnmente como amplificadores
o switches eléctricamente controlados. Los transistores han sido uno de los componentes
claves en la electrónica moderna gracias a su flexibilidad, confiabilidad y bajo costo.
Miles de transistores son utilizados en circuitos integrados que componen la mayoría de
los equipos digitales y electrónicos hoy día. Reemplazaron los tubos de vacío en el siglo
XX por su pequeño tamaño, bajo costo, habilidad para controlar corrientes altas, alta
eficiencia, largo periodo de vida, bajo disipación de potencia, entre otras características.
Internamente los transistores están compuestos por material tipo p y n como los diodos.
Se puede casi visualizar un transistor como dos diodos unidos de cierta forma.

Tipos de Transistores

Existen varios tipos de transistores dependiendo de sus materiales y configuración
interna. Los más comunes son los transistores de unión bipolar (“bipolar junction”) o BJT
y los transistores de efecto de campo (“field effect”) o FET. Los BJT son usados para
amplificar y switching y su nombre es derivado de su funcionamiento interno que utiliza
el movimiento de electrones y huecos. Tienen tres terminales denotados colector (C),
base (B) y emisor (E), donde cada terminal esta conectado a uno de los materiales que
componen el BJT. La relación de las corrientes y voltajes que pasan por estos terminales
dicta sus regiones de operación y sus relaciones matemáticas para análisis de circuitos.
Los BJT tienen tres tipos de configuraciones internas: NPN, PNP y Heterojunction
Bipolar. Los NPN tienen dos capas de material tipo N y una de tipo P entre medio. Estos
BJT son los mas comúnmente utilizados, ya que el movimiento de electrones es mucho
mas rápido que el movimiento de huecos y esto permite controlar mayores valores de
corriente y produce mayor rapidez de operación. Los PNP tienen dos capas de material
tipo P y una de tipo N entre medio. Estos BJT funcionan con el movimiento de huecos.
Los últimos BJT están compuestos por materiales semiconductores distintos al material N
y P. Son útiles por su habilidad de controlar frecuencias bien altas hasta varios cientos de
GHz.




Los FET utilizan el campo eléctrico para controlar la conductividad de los canales
semiconductores. Pueden ser construidos de una variedad de materiales, pero el más
común es el silicio. Los FET tienen tres terminales de importancia para su
funcionamiento y análisis, la cual son: gate (G), drain (D) y source (S). Hay varios tipos
de FET, por ejemplo: MOSFET, JFET, CMOS, MESFET, entre otros. Vienen de dos
variedades: canal P y canal N. Dado que en este manual no se utilizan los FET, no
entraremos en detalle sobre sus ecuaciones o funcionamiento interno.




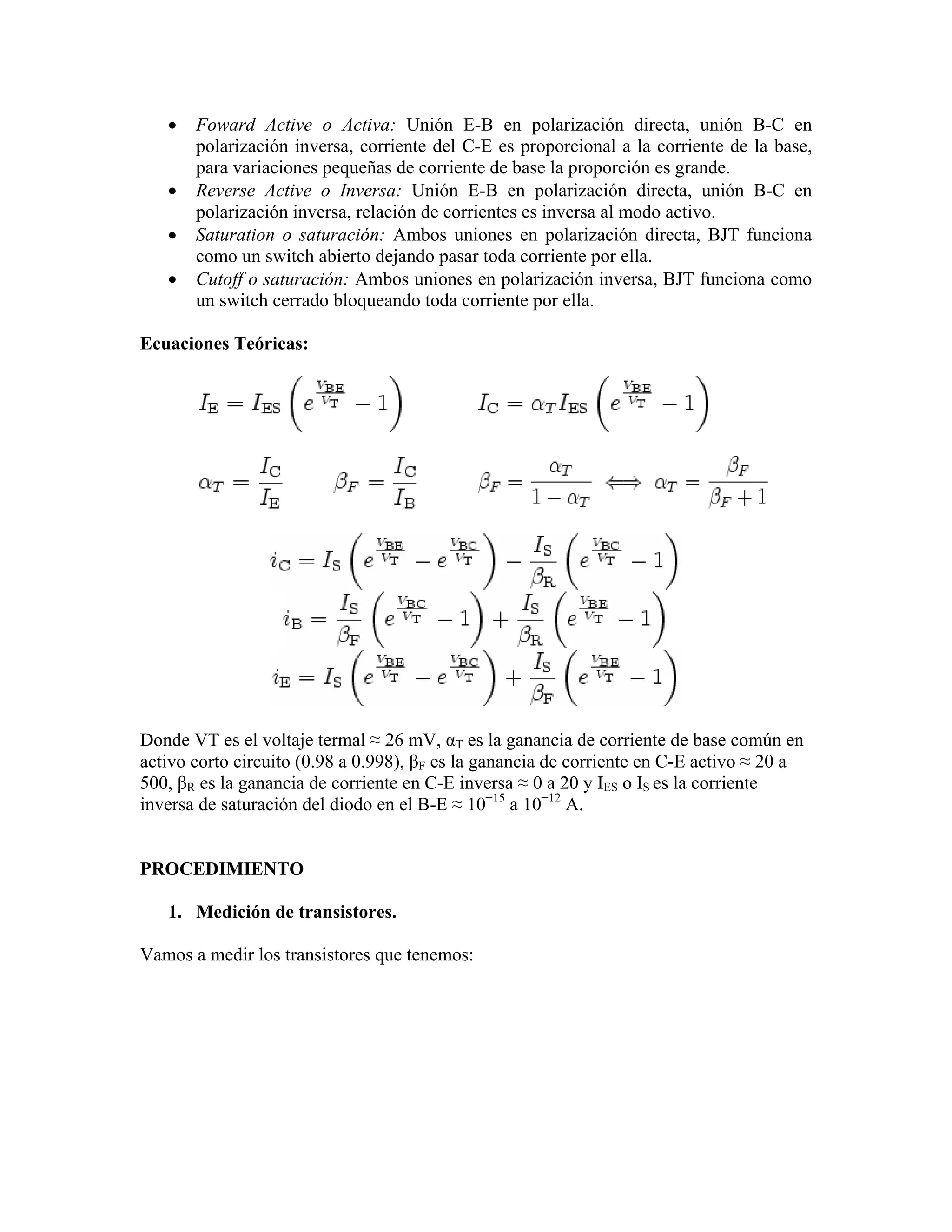
Regiones de Operación

Los transistores bipolares tienen cuatro regiones de operación principales, parecido a los
diodos. En cada región, la corriente es controlado de forma distinta y las uniones o
“diodos” internos están en un modo distinto.
•   Foward Active o Activa: Unión E-B en polarización directa, unión B-C en
       polarización inversa, corriente del C-E es proporcional a la corriente de la base,
       para variaciones pequeñas de corriente de base la proporción es grande.
   •   Reverse Active o Inversa: Unión E-B en polarización directa, unión B-C en
       polarización inversa, relación de corrientes es inversa al modo activo.
   •   Saturation o saturación: Ambos uniones en polarización directa, BJT funciona
       como un switch abierto dejando pasar toda corriente por ella.
   •   Cutoff o saturación: Ambos uniones en polarización inversa, BJT funciona como
       un switch cerrado bloqueando toda corriente por ella.

Ecuaciones Teóricas:




Donde VT es el voltaje termal ≈ 26 mV, αT es la ganancia de corriente de base común en
activo corto circuito (0.98 a 0.998), βF es la ganancia de corriente en C-E activo ≈ 20 a
500, βR es la ganancia de corriente en C-E inversa ≈ 0 a 20 y IES o IS es la corriente
inversa de saturación del diodo en el B-E ≈ 10−15 a 10−12 A.


PROCEDIMIENTO

   1. Medición de transistores.

Vamos a medir los transistores que tenemos:
Con ayuda de los “datasheets” del transistor NPN, revise cuales son los terminales. Llene
la siguiente tabla con los valores del multímetro:

       Punta ROJA                     Punta NEGRA              Voltaje en el Multimetro
          Base                           Emisor
          Base                           Colector
         Colector                        Emisor
         Emisor                          Colector
         Emisor                           Base
         Colector                         Base

Repita el procedimiento pero ahora para el otro transistor (el PNP):




       Punta ROJA                     Punta NEGRA              Voltaje en el Multimetro
          Base                           Emisor
          Base                           Colector
         Colector                        Emisor
         Emisor                          Colector
         Emisor                           Base
         Colector                         Base


   2. Polarización de transistores.

Monte el siguiente circuito, con los siguientes valores:
RB=100 K
RC=1K
Vcc=15 V
VBB variable.

Ahora llene la siguiente tabla (No olvide que los valores de corriente se calculan, lo
mismo que el valor de hFE):




VBB         VBE    VCE      IC = (VCC-VCE) / RB          IB = (VBB-VBE) / RC      hFE=IC/IB
 1
 2
 3
 4
 5
 6
 7
 8
 9
10

Grafique en EXCEL o en papel milimetrado (IC vs VCE) e (IC vs IB):

       Ic                      Ic

                                      IB
                  VCE


Responda las siguientes preguntas:

   -    ¿Cuál es la diferencia de un transistor PNP y NPN?
   -    ¿Qué significa el hFE?
   -    ¿Un transistor es un elemento que amplifica corriente o voltaje? Justifique su
        respuesta.

Diga sus conclusiones de esta práctica.
2N3904 / MMBT3904 / PZT3904
                  2N3904                                               MMBT3904                                                    PZT3904

                                                                              C                                                       C



                                                                                                          E                                                      E
                                                                                                                                                         C
          C                           TO-92                                                                                                          B
              B                                                        SOT-23                  B
                  E                                                                                                               SOT-223
                                                                        Mark: 1A




         NPN General Purpose Amplifier
         This device is designed as a general purpose amplifier and switch.
         The useful dynamic range extends to 100 mA as a switch and to
         100 MHz as an amplifier.


         Absolute Maximum Ratings*                                              TA = 25°C unless otherwise noted


     Symbol                                                   Parameter                                                          Value                   Units
    VCEO                  Collector-Emitter Voltage                                                                                 40                       V
    VCBO                  Collector-Base Voltage                                                                                    60                       V
    VEBO                  Emitter-Base Voltage                                                                                      6.0                      V
    IC                    Collector Current - Continuous                                                                            200                    mA
    TJ, Tstg              Operating and Storage Junction Temperature Range                                                    -55 to +150                  °C
         *These ratings are limiting values above which the serviceability of any semiconductor device may be impaired.
         NOTES:
         1) These ratings are based on a maximum junction temperature of 150 degrees C.
         2) These are steady state limits. The factory should be consulted on applications involving pulsed or low duty cycle operations.




         Thermal Characteristics                                      TA = 25°C unless otherwise noted


     Symbol                                 Characteristic                                                                Max                                    Units
                                                                                                 2N3904              *MMBT3904              **PZT3904
   PD                    Total Device Dissipation                                                  625                  350                    1,000              mW
                             Derate above 25°C                                                     5.0                  2.8                     8.0              mW/°C
   RθJC                  Thermal Resistance, Junction to Case                                     83.3                                                           °C/W
   RθJA                  Thermal Resistance, Junction to Ambient                                    200                    357                 125               °C/W

         *Device mounted on FR-4 PCB 1.6" X 1.6" X 0.06."
         **Device mounted on FR-4 PCB 36 mm X 18 mm X 1.5 mm; mounting pad for the collector lead min. 6 cm2.




 2001 Fairchild Semiconductor Corporation                                                                                                    2N3904/MMBT3904/PZT3904, Rev A
2N3904 / MMBT3904 / PZT3904
                                                                                         NPN General Purpose Amplifier
                                                                                                                  (continued)


     Electrical Characteristics                             TA = 25°C unless otherwise noted


 Symbol                             Parameter                              Test Conditions          Min    Max      Units


OFF CHARACTERISTICS
 V(BR)CEO            Collector-Emitter Breakdown                     IC = 1.0 mA, IB = 0             40                V
                     Voltage
 V(BR)CBO            Collector-Base Breakdown Voltage                IC = 10 µA, IE = 0              60                V
 V(BR)EBO            Emitter-Base Breakdown Voltage                  IE = 10 µA, IC = 0              6.0               V
 IBL                 Base Cutoff Current                             VCE = 30 V, VEB = 3V                  50         nA
 ICEX                Collector Cutoff Current                        VCE = 30 V, VEB = 3V                  50         nA


ON CHARACTERISTICS*
hFE                 DC Current Gain                                  IC = 0.1 mA, VCE = 1.0 V        40
                                                                     IC = 1.0 mA, VCE = 1.0 V        70
                                                                     IC = 10 mA, VCE = 1.0 V        100    300
                                                                     IC = 50 mA, VCE = 1.0 V         60
                                                                     IC = 100 mA, VCE = 1.0 V        30
VCE(sat)            Collector-Emitter Saturation Voltage             IC = 10 mA, IB = 1.0 mA                0.2        V
                                                                     IC = 50 mA, IB = 5.0 mA                0.3        V
VBE(sat)            Base-Emitter Saturation Voltage                  IC = 10 mA, IB = 1.0 mA        0.65   0.85        V
                                                                     IC = 50 mA, IB = 5.0 mA               0.95        V


SMALL SIGNAL CHARACTERISTICS
fT                   Current Gain - Bandwidth Product                IC = 10 mA, VCE = 20 V,         300             MHz
                                                                     f = 100 MHz
Cobo                 Output Capacitance                              VCB = 5.0 V, IE = 0,                  4.0        pF
                                                                     f = 1.0 MHz
Cibo                 Input Capacitance                               VEB = 0.5 V, IC = 0,                  8.0        pF
                                                                     f = 1.0 MHz
NF                   Noise Figure                                    IC = 100 µA, VCE = 5.0 V,             5.0        dB
                                                                     RS =1.0kΩ,f=10 Hz to 15.7kHz


SWITCHING CHARACTERISTICS
td                  Delay Time                                      VCC = 3.0 V, VBE = 0.5 V,              35         ns
tr                  Rise Time                                       IC = 10 mA, IB1 = 1.0 mA               35         ns
ts                  Storage Time                                    VCC = 3.0 V, IC = 10mA                 200        ns
tf                  Fall Time                                       IB1 = IB2 = 1.0 mA                     50         ns

     *Pulse Test: Pulse Width ≤ 300 µs, Duty Cycle ≤ 2.0%


     Spice Model
     NPN (Is=6.734f Xti=3 Eg=1.11 Vaf=74.03 Bf=416.4 Ne=1.259 Ise=6.734 Ikf=66.78m Xtb=1.5 Br=.7371 Nc=2
     Isc=0 Ikr=0 Rc=1 Cjc=3.638p Mjc=.3085 Vjc=.75 Fc=.5 Cje=4.493p Mje=.2593 Vje=.75 Tr=239.5n Tf=301.2p
     Itf=.4 Vtf=4 Xtf=2 Rb=10)
2N3906 / MMBT3906 / PZT3906
                 2N3906                                              MMBT3906                                                    PZT3906

                                                                             C                                                       C



                                                                                                         E                                                        E
                                                                                                                                                         C
         C                           TO-92                                                                                                          B
             B                                                                                B
                 E                                                      SOT-23                                                   SOT-223
                                                                         Mark: 2A




         PNP General Purpose Amplifier
         This device is designed for general purpose amplifier and switching
         applications at collector currents of 10 µA to 100 mA.



         Absolute Maximum Ratings*                                               TA = 25°C unless otherwise noted


     Symbol                                                  Parameter                                                           Value                  Units
    VCEO                 Collector-Emitter Voltage                                                                                  40                       V
    VCBO                 Collector-Base Voltage                                                                                     40                       V
    VEBO                 Emitter-Base Voltage                                                                                       5.0                      V
    IC                   Collector Current - Continuous                                                                            200                     mA
    TJ, Tstg             Operating and Storage Junction Temperature Range                                                     -55 to +150                    °C

         *These ratings are limiting values above which the serviceability of any semiconductor device may be impaired.
         NOTES:
         1) These ratings are based on a maximum junction temperature of 150 degrees C.
         2) These are steady state limits. The factory should be consulted on applications involving pulsed or low duty cycle operations.
         3) All voltages (V) and currents (A) are negative polarity for PNP transistors.




      Thermal Characteristics                                       TA = 25°C unless otherwise noted


     Symbol                                Characteristic                                                                Max                                     Units
                                                                                                  2N3906            *MMBT3906               **PZT3906
   PD                   Total Device Dissipation                                                    625                350                     1,000           mW
                            Derate above 25°C                                                       5.0                2.8                      8.0           mW/°C
   RθJC                 Thermal Resistance, Junction to Case                                       83.3                                                       °C/W
   RθJA                 Thermal Resistance, Junction to Ambient                                    200                     357                125                 °C/W

       *Device mounted on FR-4 PCB 1.6" X 1.6" X 0.06."
       **Device mounted on FR-4 PCB 36 mm X 18 mm X 1.5 mm; mounting pad for the collector lead min. 6 cm2.




 2001 Fairchild Semiconductor Corporation                                                                                                    2N3906/MMBT3906/PZT3906, Rev A
2N3906 / MMBT3906 / PZT3906
                                                                                                   PNP General Purpose Amplifier
                                                                                                                            (continued)


      Electrical Characteristics                                     TA = 25°C unless otherwise noted


 Symbol                                Parameter                                      Test Conditions         Min    Max      Units


OFF CHARACTERISTICS
V(BR)CEO               Collector-Emitter Breakdown Voltage*                    IC = 1.0 mA, IB = 0             40                V
V(BR)CBO               Collector-Base Breakdown Voltage                        IC = 10 µA, IE = 0              40                V
V(BR)EBO               Emitter-Base Breakdown Voltage                          IE = 10 µA, IC = 0              5.0               V
IBL                    Base Cutoff Current                                     VCE = 30 V, VBE = 3.0 V                50        nA
ICEX                   Collector Cutoff Current                                VCE = 30 V, VBE = 3.0 V                50        nA



ON CHARACTERISTICS
hFE                    DC Current Gain *                                       IC = 0.1 mA, VCE = 1.0 V        60
                                                                               IC = 1.0 mA, VCE = 1.0 V        80
                                                                               IC = 10 mA, VCE = 1.0 V        100    300
                                                                               IC = 50 mA, VCE = 1.0 V         60
                                                                               IC = 100 mA, VCE = 1.0 V        30
VCE(sat)               Collector-Emitter Saturation Voltage                    IC = 10 mA, IB = 1.0 mA               0.25        V
                                                                               IC = 50 mA, IB = 5.0 mA                0.4        V
VBE(sat)               Base-Emitter Saturation Voltage                         IC = 10 mA, IB = 1.0 mA        0.65   0.85        V
                                                                               IC = 50 mA, IB = 5.0 mA               0.95        V


SMALL SIGNAL CHARACTERISTICS
fT                     Current Gain - Bandwidth Product                       IC = 10 mA, VCE = 20 V,         250              MHz
                                                                              f = 100 MHz
Cobo                   Output Capacitance                                     VCB = 5.0 V, IE = 0,                   4.5       pF
                                                                              f = 100 kHz
Cibo                   Input Capacitance                                      VEB = 0.5 V, IC = 0,                   10.0      pF
                                                                              f = 100 kHz
NF                     Noise Figure                                           IC = 100 µA, VCE = 5.0 V,              4.0       dB
                                                                              RS =1.0kΩ,f=10 Hz to 15.7 kHz


SWITCHING CHARACTERISTICS
td                     Delay Time                                             VCC = 3.0 V, VBE = 0.5 V,               35        ns
tr                     Rise Time                                              IC = 10 mA, IB1 = 1.0 mA                35        ns
ts                     Storage Time                                           VCC = 3.0 V, IC = 10mA                 225        ns
tf                     Fall Time                                              IB1 = IB2 = 1.0 mA                      75        ns

     *Pulse Test: Pulse Width ≤ 300 µs, Duty Cycle ≤ 2.0%
     NOTE: All voltages (V) and currents (A) are negative polarity for PNP transistors.




      Spice Model
      PNP (Is=1.41f Xti=3 Eg=1.11 Vaf=18.7 Bf=180.7 Ne=1.5 Ise=0 Ikf=80m Xtb=1.5 Br=4.977 Nc=2 Isc=0 Ikr=0
      Rc=2.5 Cjc=9.728p Mjc=.5776 Vjc=.75 Fc=.5 Cje=8.063p Mje=.3677 Vje=.75 Tr=33.42n Tf=179.3p Itf=.4 Vtf=4
      Xtf=6 Rb=10)
PRACTICA 8
                                     TRANSISTOR 2

Elementos requeridos:
1 Transistor 2N3904
3 Resistencias de 10 K
1 Resistencia de 100
1 Resistencia de 47 K
1 Resistencia de 6.8 K
1 Resistencia de 2.2 K
2 Condensadores de 1 uF.
1 Condensador de 100 uF.

Al terminar la práctica usted como estudiante deberá:

   -   Saber que los transistores permiten construir amplificadores de señales.
   -   Conocer un amplificador Emisor Común.

Emisor Común:

El emisor común o “common emitter” es una topología básica de los BJT que se utiliza
comúnmente como un amplificador de voltajes pequeñas. El nodo del emisor del
transistor es conectado a tierra, el nodo de la base recibe la señal de entrada y el nodo del
colector se utiliza como la salida. El término “común” proviene de la relación
mencionada de los nodos. En este caso, el emisor al estar conectado a tierra es un nodo
común para el funcionamiento del transistor. Existen otras topologías basadas en este
mismo principio como el colector común (“common collector”) y base común (“common
base”). La equivalente del emisor común en los FET se llama el source común o
“common source”.

Características de Señal Pequeña:

   •   Ganancia de voltaje:


   •   Ganancia de corriente:



   •   Resistencia de entrada:

   •   Resistencia de salida:
Donde gm es la transconductancia en siemens dado por:                    ,    es la
corriente de colector, VT es el voltaje termal ≈ 26 mV,               la cual es la
ganancia de corriente a frecuencias bajas (también conocido como hFE) y
                           .


PROCEDIMIENTO

   1. Amplificador a transistores.

Monte el siguiente amplificador:




   2. Polarización

Para el amplificador de la figura anterior mida los siguientes valores de polarización (con
el multímetro).

             Punto de medida                                     Valor
                   VB

                    VE

                    VC


Calcule el valor de re = 26mV/IC
re = ______________

Calcule el valor de hFE= IC/IB?

hFE=______________

   3. Parte AC

Con el osciloscopio determine la ganancia del amplificador?

Av1 = Vo/Vin = ___________________

Ahora quite el condensador de 100 uF y mida la ganancia.

Av2 = Vo/Vin = ___________________


Responda las siguientes preguntas:

   -   ¿A qué se debe la diferencia entre los dos valores de ganancia (Av1 y Av2)?
   -   ¿Cómo es la fase entre Vin y Vo para este amplificador?

Diga sus conclusiones de esta práctica.
PRACTICA 9
                         AMPLIFICADOR OPERACIONAL.

Elementos requeridos:

1 Amplificador Operacional LM741.
1 Resistencia de 1K
2 Resistencias de 10 K
1 Resistencias de 5 K
1 Resistencia de 330 Ohmios

¿Qué son los amplificadores operacionales?

Los amplificadores operacionales, o OP-AMP, son amplificadores de voltaje de alta
ganancia con entradas diferenciales y usualmente una salida. Normalmente la salida de
los OP-AMP son controlados por un lazo de retroalimentación negativa que determina
casi en totalidad el voltaje de salida para cierta entrada. El término de entradas
diferenciales de voltaje proviene de la idea que uno de las entradas del OP-AMP es
inverso (V-), mientras el otro no es inverso (V+). Idealmente el OP-AMP amplifica solo la
diferencia de voltaje entre las dos entradas. El término de retroalimentación proviene de
la idea que la salida del OP-AMP tiene un cable que conecta parte de esta salida a una de
las entradas. En la retroalimentación negativa, la salida esta conectada a la entrada
inversa. En retroalimentación positiva, la salida esta conectada a la entrada no inversa. Si
la salida no esta conectada a ninguna de las entradas, se conoce como que el OP-AMP
esta trabajando en lazo abierto o “open loop”. La ganancia de salida en estos casos se
puede determinar por la relación de sus entradas y la ganancia del lazo abierto:



Los OP-AMP reciben dos entradas denotadas V+ y V_ y deben ser polarizadas por unos
valores especificados de fuente negativa y positiva denotados VS+ y VS_.

Tipos de OP-AMP y Aplicaciones

Los OP-AMP se usan para una variedad de aplicaciones eléctricas. Algunos ejemplos
son: comparadores de voltaje, rectificadores de precisión, convertidores digital a análogo,
osciladores, filtros, diferenciadores, integradores y pre-amplificadores de audio y video.
Los OP-AMP también son utilizados en una variedad de aplicaciones de circuitos
lineales, donde las entradas son comparadas de alguna forma y la salida muestra el
resultado. Lo siguiente son algunos ejemplos:

   •   No Inversores: Amplifican un voltaje de entrada.
   •   Inversores: Invierten y amplifican un voltaje de entrada.
   •   Diferencias: Muestra en la salida la diferencia o resta de las dos entradas.
   •   Diferenciales: Muestra en la salida la diferencia o resta entre las dos entradas
       después de ser multiplicadas por una cierta constante.
•   Sumadores: Muestra en la salida la suma de varias entradas de voltaje.
   •   Integradores: Muestra en la salida la integración de una señal de entrada a través
       del tiempo.
   •   Comparadores: Muestra en la salida el valor de uno de las entradas al OP-AMP
       de fuente (VS) dependiendo de cual entrada era más alta. Si V1 > V2, la salida es
       VS+. Si V1 < V2, la salida es VS_.


PROCEDIMIENTO

   1. Amplificador Inversor:

Monte el siguiente amplificador con el Operacional LM741.




Calcule la ganancia del amplificador:

Av = Vo/Vin = ________________________

   2. Amplificador NO Inversor:

Monte el siguiente amplificador con el Operacional LM741.
Calcule la ganancia del amplificador:

Av = Vo/Vin = ________________________

   3. Comparador:

Monte el siguiente circuito




Con los valores de R1 y R2 de la tabla. Anote primero el valor del Voltaje de Referencia.
Luego empiece a variar Vin desde 0 voltios y encuentre el valor en el que los LED
intercambian encendido. Ese valor de voltaje apúntelo en la tabla.

  R1        R2                   VREF                       Vin (Cambio de LED)
 10K       10K
 10K        5K
 5K        10K


Responda las siguientes preguntas:

   -   ¿Tiene ventajas el uso de amplificadores operacionales sobre el uso de
       transistores?
   -   De las 3 aplicaciones, ¿cuál es no lineal? Justifique su respuesta.
   -   ¿Qué usos vislumbra para el circuito 3?

Diga sus conclusiones de esta práctica.
LM741 Operational Amplifier
                                                                                                                            August 2000




  LM741
  Operational Amplifier
  General Description                                                       output, no latch-up when the common mode range is ex-
                                                                            ceeded, as well as freedom from oscillations.
  The LM741 series are general purpose operational amplifi-
                                                                            The LM741C is identical to the LM741/LM741A except that
  ers which feature improved performance over industry stan-
                                                                            the LM741C has their performance guaranteed over a 0˚C to
  dards like the LM709. They are direct, plug-in replacements
                                                                            +70˚C temperature range, instead of −55˚C to +125˚C.
  for the 709C, LM201, MC1439 and 748 in most applications.
  The amplifiers offer many features which make their appli-
  cation nearly foolproof: overload protection on the input and
                                                                            Features

  Connection Diagrams
                        Metal Can Package                                                    Dual-In-Line or S.O. Package




                                                     00934102                                                               00934103

  Note 1: LM741H is available per JM38510/10101                                  Order Number LM741J, LM741J/883, LM741CN
        Order Number LM741H, LM741H/883 (Note 1),                                See NS Package Number J08A, M08A or N08E
                LM741AH/883 or LM741CH
              See NS Package Number H08C
                          Ceramic Flatpak




                                                           00934106
                  Order Number LM741W/883
                See NS Package Number W10A


  Typical Application
                                                                Offset Nulling Circuit




                                                                                  00934107




© 2004 National Semiconductor Corporation         DS009341                                                                  www.national.com
LM741
           Absolute Maximum Ratings (Note 2)
           If Military/Aerospace specified devices are required,
           please contact the National Semiconductor Sales Office/
           Distributors for availability and specifications.
           (Note 7)

                                                                       LM741A                       LM741                   LM741C
                           Supply Voltage                                ± 22V                       ± 22V                   ± 18V
                           Power Dissipation (Note 3)                  500 mW                      500 mW                   500 mW
                           Differential Input Voltage                    ± 30V                       ± 30V                   ± 30V
                           Input Voltage (Note 4)                        ± 15V                       ± 15V                   ± 15V
                           Output Short Circuit Duration              Continuous               Continuous               Continuous
                           Operating Temperature Range              −55˚C to +125˚C          −55˚C to +125˚C           0˚C to +70˚C
                           Storage Temperature Range                −65˚C to +150˚C          −65˚C to +150˚C          −65˚C to +150˚C
                           Junction Temperature                         150˚C                       150˚C                   100˚C
                           Soldering Information
                             N-Package (10 seconds)                     260˚C                       260˚C                   260˚C
                             J- or H-Package (10 seconds)               300˚C                       300˚C                   300˚C
                             M-Package
                               Vapor Phase (60 seconds)                 215˚C                       215˚C                   215˚C
                               Infrared (15 seconds)                    215˚C                       215˚C                   215˚C
                           See AN-450 “Surface Mounting Methods and Their Effect on Product Reliability” for other methods of
                           soldering
                           surface mount devices.
                           ESD Tolerance (Note 8)                        400V                        400V                    400V

           Electrical Characteristics (Note 5)
                   Parameter                        Conditions                      LM741A                    LM741                 LM741C         Units
                                                                          Min        Typ     Max       Min     Typ    Max    Min     Typ     Max
         Input Offset Voltage               TA = 25˚C
                                            RS ≤ 10 kΩ                                                         1.0    5.0            2.0     6.0    mV
                                            RS ≤ 50Ω                                 0.8      3.0                                                   mV
                                            TAMIN ≤ TA ≤ TAMAX
                                            RS ≤ 50Ω                                          4.0                                                   mV
                                            RS ≤ 10 kΩ                                                                6.0                    7.5    mV
         Average Input Offset                                                                 15                                                   µV/˚C
         Voltage Drift
         Input Offset Voltage               TA = 25˚C, VS = ± 20V         ± 10                                 ± 15                  ± 15           mV
         Adjustment Range
         Input Offset Current               TA = 25˚C                                3.0      30               20     200             20     200    nA
                                            TAMIN ≤ TA ≤ TAMAX                                70               85     500                    300    nA
         Average Input Offset                                                                 0.5                                                  nA/˚C
         Current Drift
         Input Bias Current                 TA = 25˚C                                30       80               80     500             80     500    nA
                                            TAMIN ≤ TA ≤ TAMAX                               0.210                    1.5                    0.8    µA
         Input Resistance                   TA = 25˚C, VS = ± 20V          1.0       6.0               0.3     2.0            0.3    2.0           MΩ
                                            TAMIN ≤ TA ≤ TAMAX,            0.5                                                                     MΩ
                                            VS = ± 20V
         Input Voltage Range                TA = 25˚C                                                                        ± 12    ± 13           V
                                            TAMIN ≤ TA ≤ TAMAX                                         ± 12    ± 13                                 V




        www.national.com                                                        2
LM741
 Electrical Characteristics (Note 5)                               (Continued)
          Parameter                            Conditions                             LM741A                  LM741                    LM741C            Units
                                                                           Min         Typ     Max     Min     Typ     Max      Min     Typ     Max
Large Signal Voltage Gain            TA = 25˚C, RL ≥ 2 kΩ
                                     VS = ± 20V, VO = ± 15V                 50                                                                           V/mV
                                     VS = ± 15V, VO = ± 10V                                             50      200              20     200              V/mV
                                     TAMIN ≤ TA ≤ TAMAX,
                                     RL ≥ 2 kΩ,
                                     VS = ± 20V, VO = ± 15V                 32                                                                           V/mV
                                     VS = ± 15V, VO = ± 10V                                             25                       15                      V/mV
                                     VS = ± 5V, VO = ± 2V                   10                                                                           V/mV
Output Voltage Swing                 VS = ± 20V
                                     RL ≥ 10 kΩ                            ± 16                                                                             V
                                     RL ≥ 2 kΩ                             ± 15                                                                             V
                                     VS = ± 15V
                                     RL ≥ 10 kΩ                                                        ± 12    ± 14             ± 12    ± 14                V
                                     RL ≥ 2 kΩ                                                         ± 10    ± 13             ± 10    ± 13                V
Output Short Circuit                 TA = 25˚C                              10         25      35               25                       25                mA
Current                              TAMIN ≤ TA ≤ TAMAX                     10                 40                                                          mA
Common-Mode                          TAMIN ≤ TA ≤ TAMAX
Rejection Ratio                      RS ≤ 10 kΩ, VCM = ± 12V                                            70      90               70      90                dB
                                     RS ≤ 50Ω, VCM = ± 12V                  80         95                                                                  dB
Supply Voltage Rejection             TAMIN ≤ TA ≤ TAMAX,
Ratio                                VS = ± 20V to VS = ± 5V
                                     RS ≤ 50Ω                               86         96                                                                  dB
                                     RS ≤ 10 kΩ                                                         77      96               77      96                dB
Transient Response                   TA = 25˚C, Unity Gain
  Rise Time                                                                            0.25    0.8              0.3                      0.3               µs
  Overshoot                                                                            6.0     20                5                        5                %
Bandwidth (Note 6)                   TA = 25˚C                            0.437        1.5                                                                MHz
Slew Rate                            TA = 25˚C, Unity Gain                  0.3        0.7                      0.5                      0.5              V/µs
Supply Current                       TA = 25˚C                                                                  1.7     2.8              1.7     2.8       mA
Power Consumption                    TA = 25˚C
                                     VS = ± 20V                                        80      150                                                        mW
                                     VS = ± 15V                                                                 50       85              50      85       mW
  LM741A                             VS = ± 20V
                                     TA = TAMIN                                                165                                                        mW
                                     TA = TAMAX                                                135                                                        mW
  LM741                              VS = ± 15V
                                     TA = TAMIN                                                                 60      100                               mW
                                     TA = TAMAX                                                                 45       75                               mW

  Note 2: “Absolute Maximum Ratings” indicate limits beyond which damage to the device may occur. Operating Ratings indicate conditions for which the device is
  functional, but do not guarantee specific performance limits.




                                                                                  3                                                             www.national.com
PRACTICA 10
                               CIRCUITOS DE LOGICA.

Elementos requeridos:

2 Two Bit Adders 7482.
5 Resistencias de 330 Ohmios

¿Qué son compuertas lógicas?

Compuertas lógicas en electrónica son componentes compuestos utilizados para realizar
una operación lógica y devolver una salida lógica. Salidas y entradas lógicas toman la
forma de un cero (“high” de voltaje) o uno (“low” de voltaje) lógico. La idea básica es
que se puede utilizar varias compuertas básicas para hacer una o varias ecuaciones
lógicas que pueden evaluar dicha o dichas funciones en base a ciertas entradas. Esta
lógica se usa en circuitos integrados para llevar a cabo decisiones de control. Las
compuertas básicas son AND, OR, NOT, XOR, XNOR, NAND y NOR. Con estas
compuertas se puede hacer una variedad de ecuaciones lógicas y aplicaciones lógicas.

Tablas de la Verdad y Compuertas

Un concepto muy importante en el momento de evaluar ecuaciones y compuertas lógicas
son las tablas de la verdad o “truth tables”. Estas tablas representan todas las posibles
entradas, cálculos formulados basándose en las entradas y resultados. La forma de hacer
una tabla de la verdad es sencilla. Se escribe una letra por cada variable lógica o “bit” de
entrada. Luego se evalúa cada compuerta basándose en las entradas. Al final se combinan
las compuertas en cada ecuación y se llega a un resultado final.
Aplicaciones de los Circuitos Lógicos:

Hay una variedad de diferentes aplicaciones que se pueden hacer con las compuertas y
ecuaciones lógicas. Un componente que se puede producir con compuertas lógicas es el
sumador o “adder”. La idea básica de este componente es sumar dos números binarios y
regresar en la salida el resultado binario. Por ejemplo, si los números entrados fueran
0101 (01 o 1 y 01 o 1), el resultado seria 10 (1 + 1 = 2). Existen dos tipos de sumadores:
las completas y las medias (“Full” o “Half”). Las medias suman dos números binarios y
regresan un resultado con un número llamado el “carry”. Este valor “carry” es un “bit”
binario adicional en el caso de que se suma el valor máximo que puede retener el
sumador. En binario, un número de un solo “bit” sumado a otro número de un solo “bit”
puede producir un número de un “bit” o dos. Los sumadores completos son iguales, pero
aceptan también un “carry” de entrada. La ventaja de esto es que se puede obtener un
sumador de más dígitos conectando varios sumadores pequeños en cascada por sus
valores de “carry”.


PROCEDIMIENTO

   1. Tablas de la Verdad y Ecuaciones Lógicas:

Observa el siguiente circuito lógico y trata de construir la tabla de la verdad completa
para el circuito. No se olvide que cada compuerta y combinación de compuertas debe ser
una columna separada en la tabla:
2. Full Adder de 4 bits:

Monte un Full Adder de 4 bits utilizando los dos Full Adders de 2 bits. Recuerda que el
primer “carry in” va a tierra. Conecte cada resistencia de 330 Ω a cada “sum” de los
Adders y al último “carry out”, luego las resistencias van a tierra. Utilice un voltaje de 3V
para simular un 1 lógico.

Llene la siguiente tabla con sus resultados:

Entradas (A11, A12, B11, B12,    Salidas Calculadas (S11,       Salidas Medidas (S11, S12,
    A21, A22, B21, B22)              S12, S21, S22, C22)               S21, S22, C22)
     Ej. 00 00 00 00                   Ej. 00 00 0                     Ej. 00 00 0
      01 01 00 10
      10 00 10 00
      10 00 01 01
      00 01 00 01
      00 10 10 00

Configuración de Terminales del 7482:




Responda las siguientes preguntas:

   -   ¿Cuál es la diferencia entre un Half Adder y un Full Adder?
   -   ¿Qué otras aplicaciones se pueden hacer con las compuertas lógicas?

Diga sus conclusiones de esta práctica.

Manual Inel4077

  • 1.
    MANUAL DE LABORATORIO INEL-4077 Preparado por: Cesar Augusto Aceros Moreno Corregido por: Michael A. Rodríguez Meyer Versión: Agosto 13 de 2007 UNIVERSIDAD DE PUERTO RICO RECINTO UNIVERSITARIO DE MAYAGUEZ DEPARTAMENTO DE INGENIERIA ELECTRICA Y COMPUTADORAS 2007
  • 2.
    CONTENIDO CARTA AL ESTUDIANTE Practica1: Elementos básicos para el trabajo de Laboratorio. Practica 2: Serie y Paralelo de Resistencias. Practica 3: Leyes de Kirchhoff y Superposición. Practica 4: Diodo Semiconductor. Practica 5: Aplicaciones del Diodo Semiconductor. Practica 6: Reguladores de Voltaje. Practica 7: Transistor 1. Practica 8: Transistor 2. Practica 9: Amplificador Operacional. Practica 10: Circuitos de Lógica.
  • 3.
    CARTA AL ESTUDIANTE ApreciadoEstudiante: Desde que fui estudiante y ahora en mis anos de trabajo dedicados a la docencia, he tenido la experiencia de que los estudiantes hemos tomado y toman los laboratorios como algo accesorio y solo un requisito que cumplir. Esto es algo que creo ha sido fruto de unos manuales de laboratorio áridos que buscan hacer prácticas complicadas que no conectan la teoría con la práctica de una forma que el estudiante disfrute. El propósito de este manual es tratar de corregir los errores que creo siempre han tenido los manuales de laboratorio y que sea para ustedes una oportunidad de crecimiento personal (este en ultimas debería ser el fin de la educación). Espero que sea una experiencia de enriquecimiento para sus vidas. El camino del conocimiento es un camino que solamente uno decide cuando arranca a recorrer y los maestros nos acompañan en los primeros pasos, espero que este manual y las practicas con sus instructores sean una motivación para que ustedes inicien ese camino y sigan adelante. La electrónica puede ser apasionante y enamoradora aparte de ser una fuente de soluciones para muchos problemas en sus vidas. Las prácticas tendrán al final una serie de preguntas que el estudiante deberá responder de manera personal para saber si ha alcanzado los propósitos para los cuales la práctica fue diseñada. Las prácticas no deben ser vistas como entes separados, todas están entrelazadas y se necesitan. Particularmente importantes son las practicas 1 a la 4 que son la base para seguir adelante. Por ultimo este manual no pretende ser una camisa de fuerza y como todo en la vida siempre estará inconcluso y sus aportaciones son valiosas para el enriquecimiento del mismo. Cualquier sugerencia será un placer incluirla. ( cesar.aceros@ece.uprm.edu )
  • 4.
    PRACTICA 1 ELEMENTOS BÁSICOS PARA EL TRABAJO DE LABORATORIO. Elementos requeridos: 10 Resistencias de valores aleatorios. Algunas cosas necesarias para la práctica: ¿Qué es la corriente eléctrica? La corriente eléctrica es el flujo de electrones de un sitio a otro debido a una diferencia de potencial o voltaje. La mejor analogía de un sistema eléctrico es un sistema hidráulico. En la figura aparecen dos sistemas uno eléctrico y uno hidráulico que son equivalentes. En el sistema hidráulico la bomba impulsa fluido por las tuberías, en el sistema eléctrico la Fuente de Corriente tiene la misma función solo que impulsa electrones en el circuito. La función de la resistencia en el sistema hidráulico es un estrechamiento que genera una caída de presión, esto es análogo al voltaje que cae en la resistencia. La relación entre corriente y voltaje están definidos por la ley de Ohm (V=IR, donde V es voltaje, I es corriente y R es la resistencia). El voltaje es análogo a la presión y la corriente es análoga al flujo de fluido en la tubería. ¿Qué pasa si la bomba de agua de la anterior figura varía continuamente de flujo, es decir, va desde cero a un máximo de presión y después vuelve a un mínimo de presión y así sucesivamente? ¿Qué crees que va a pasar con el flujo en la tubería? Lo que va a pasar es que el flujo en la tubería va a estar variando continuamente. Esto es lo que en la electricidad conocemos como AC (Corriente Alterna), porque continuamente está variando el valor del voltaje en la línea. Un ejemplo de esto es la toma eléctrica de nuestras casas. Las variaciones en el voltaje de las tomas son relativamente rápidas en términos humanos (60 Hz, ó sea, 60 veces en un segundo). La electricidad es muy hermosa y más fácil de lo que puedes pensar. Usa tu imaginación para entenderla y veras que aprenderás algo que a juzgar de mucha gente es muy difícil.
  • 5.
    Al terminar lapractica usted como estudiante deberá: - Identificar los valores de resistencias. - Medir resistencias eléctricas con multimetro. - Ser capaz de montar circuitos eléctricos en Breadboards. Breadboard: Un Breadboard es un dispositivo que permite el montaje de circuitos electrónicos. Muchas veces varios dispositivos estarán conectados a un mismo punto, conocido como un nodo. En el Breadboard, varios puntos pueden estar contenidos en un mismo nodo dependiendo de su posición en dicho Breadboard. La destreza del estudiante para el montaje de los circuitos será fundamental para las prácticas por venir. En las siguientes figuras se muestra un Breadboard y los puntos que son comunes en el mismo. Para entender como están conectados los nodos, la siguiente figura muestra las conexiones internas del Breadboard.
  • 6.
    Entendiendo Diagramas deCircuitos: A medida que realicen las prácticas, notarán que se usan diagramas para representar la estructura física de los circuitos. A continuación se presenta una lista de los diferentes componentes eléctricos y sus representaciones correspondientes en los diagramas: Resistencia Fuente de Voltaje DC Resistencia Variable o Potenciometro Diodo Voltímetro Nodo Amperímetro Amplificador Operacional Fuente de Corriente Switch Fuente de Voltaje Transistor Fuente de Voltaje AC Tranformador Capacitor Ground o Tierra Códigos de Colores para resistencias: Las resistencias (como seguramente ya lo han experimentado en las materias relacionadas con Electricidad) son elementos fundamentales para la construcción de circuitos eléctricos y sus valores se miden en Ohmios. Resistencias funcionan como barreras que impiden el flujo de corriente. Los fabricantes de resistencias manejan una codificación para especificar los valores de las resistencias, asignando colores a cada uno de los números del 0 al 9 como se ve en la siguiente tabla. Las resistencias vienen de cuatro o cinco bandas. Las de cinco bandas se llaman resistencias de precisión.
  • 7.
    Número Color Número Color 0 Negro 5 Verde 1 Marrón 6 Azul 2 Rojo 7 Violeta 3 Anaranjado 8 Gris 4 Amarillo 9 Blanco Ahora que sabemos los colores, ¿qué hacemos con ellos? Bueno con los colores se puede revisar una resistencia y se tendrá lo siguiente. Ver la siguiente figura: Como se puede ver hay bandas de color. De las cuales las primeras 3 son el valor de la resistencia y la cuarta es la tolerancia, en el caso de resistencias de cuatro bandas. En las resistencias de cinco bandas, las primeras 4 son el valor de la resistencia y la quinta es la tolerancia. Son de particular interés para el curso las 3 o 4 primeras porque gracias a ellas podrán determinar el valor de una resistencia. La penúltima banda representa el valor de ceros en el valor de la resistencia. La siguiente tabla muestra el valor de la tolerancia basado en el color de la última banda. Usualmente se puede identificar cual es la última banda por su ancho. La banda de tolerancia tiende a ser mas ancha de las demás bandas. La tolerancia va al final del valor de la resistencia encontrado de la forma: xxx Ω ± x %. Valor Color Valor Color 1% Marrón 10% Plateado 2% Rojo 5% Dorado Algunos Ejemplos: Colores Números Valores Valor 1 - 0 – 00 (2 1000 Ohms = 1 KΩ Marrón – Negro – Rojo - Rojo 1–0-2 ceros) ± 2% Anaranjado – Anaranjado – 3 – 3 – 000 (3 33000 Ohms = 33 3–3-3 Anaranjado - Dorado ceros) KΩ ± 5% Verde – Azul – Negro - Plateado 5–6-0 5 – 6 – (0 ceros) 56 Ohms ± 10% Azul – Gris – Marrón - Marrón 6–8–1 6 – 8 – (1 ceros) 680 Ohms ± 1%
  • 8.
    Para las resistenciasde cinco bandas el procedimiento es el mismo, por ejemplo ahora una resistencia con los siguientes colores: Marrón – Negro – Negro – Marrón - Plateado es en números 1 – 0 – 0 – 1 (1 ceros), lo que equivale a 1000 Ohmios = 1 KΩ ± 10%. Montaje de circuitos en Breadboard: Los montajes de circuitos en breadboard, para el estudiante principiante son normalmente un poco confusos. Me propongo dar a ustedes unos “tips” para que puedan facilitar el paso de pasar del dibujo al breadboard. Tip 1: USE EL BOARD SIN TEMOR. Un breadboard tiene suficiente espacio para los circuitos de este curso. No tema usar una cantidad de espacio considerable en el mismo. Los estudiantes tienden a armar los circuitos muy pegados los componentes, esto es una causa común de fallas a la hora de probar el circuito. Tip 2: TRATE DE ARMAR EL CIRCUITO COMO ESTA EN EL DIBUJO. Es una buena forma de saber donde esta cada cosa. Esto facilitara a la hora de fallas encontrar un componente. Tip 3: NO TEMA USAR JUMPERS: Si aun no sabe lo que es un jumper. Un jumper es un cable que une dos sitios en el breadboard. No tema usarlos son muy útiles en especial para cumplir el “tip” 2 respecto a montar los circuitos como están dibujados. Tip 4: LA PRACTICA HACE AL MAESTRO: No se quede parado mirando a su compañero montar el circuito, involúcrese en el trabajo y aprenderá. Al principio seguramente no le gustara como quedan los circuitos pero si usted es un auto-critico de su trabajo vera que su destreza para montaje de circuitos ira mejorando. Ahora que ya tienes los “tips” para montajes en el Breadboard, empecemos. PROCEDIMIENTO: 1. Lectura de Resistencias: Tomen 10 resistencias, lean los valores en las mismas de acuerdo al código de colores y posteriormente mide el valor con el multimetro. Valor Leído Valor Medido 1 2 3 4 5
  • 9.
    6 7 8 9 10 2. Mediciones de Corriente y Voltaje. Tome 2 resistencias y colóquelas en el valor de R. Llene la siguiente tabla. Vs = 12 Voltios. Resistencia V (Voltios) A (Amperios) 3. Uso del Osciloscopio y del generador: Usando un generador de funciones, monte el siguiente circuito. Ajuste el generador para: Forma de onda: Senosoidal Frecuencia : 1 KHz Vpp :5V Como es la señal en el osciloscopio, dibuje la forma de onda en la próxima grafica:
  • 10.
    Ya terminamos, ahoradeberá contestar las siguientes preguntas: 1) ¿Por qué crees que un Breadboard es útil para la electrónica? 2) ¿Por qué son útiles los “jumpers” en un circuito montado en Breadboard? 3) ¿Para qué se utilizan las resistencias? 4) ¿Qué significado tiene la tolerancia de una resistencia? 5) ¿Qué diferencia fundamental existe entre el generador AC y una fuente DC? Mencione conclusiones de esta práctica.
  • 11.
    PRACTICA 2 SERIE Y PARALELO DE RESISTENCIAS Elementos requeridos: 2 Resistencias de 1 KΩ. 2 Resistencias de 2 KΩ. Al terminar la practica usted como estudiante deberá: - Distinguir entre un montaje de resistencias en serie y paralelo. - Que la corriente es la misma para resistencias en serie. - Que el voltaje es el mismo para resistencia en paralelo. ¿Qué son dispositivos en serie y paralelo? Notarán que hay varias maneras de conectar dispositivos en un circuito. Dos términos son principales en el momento de analizar y montar circuitos: nodos y mallas. Nodos son puntos comunes en donde los terminales de dos o más dispositivos están localizados. Mallas son secciones de un circuito completo donde todos los componentes estan en serie. Por ejemplo, si tienes un cuadrado grande, ese cuadrado lo puedes dividir en varios cuadrados pequeños internamente. El cuadrado grande es nuestro circuito y los cuadrados pequeños que lo componen son las mallas. Se puede visualmente observar si dos dispositivos están en serie o en paralelo mirando sus terminales. Si dos dispositivos tienen un terminal compartiendo el mismo nodo, pero su otro terminal no, es posible que los dispositivos estén en serie. Si dos dispositivos tienen un terminal compartiendo el mismo nodo y su otro Terminal también esta compartiendo otro nodo con el otro dispositivo, es posible que estén en paralelo. Nota que en este caso la resistencia 1 esta compartiendo un Terminal con la resistencia 2 en el nodo A. Sin embargo en otro Terminal de la resistencia 1 esta siendo compartida con Vx, no con la resistencia 2.
  • 12.
    Nota que eneste caso la resistencia 1 esta compartiendo un Terminal con la resistencia 2 en el nodo A y su otro Terminal también con la resistencia 2 en el nodo B. Otra nota es que hay dos mallas en este circuito. Una malla contiene Vx y la resistencia 1, mientras que el otro contiene la resistencia 1 y 2. Resistencia Equivalente En la primera práctica, aprendimos la Ley de Ohm y su importancia para los circuitos eléctricos. Podemos obtener el voltaje total, o sea, el voltaje que se está supliendo al circuito, multiplicando la corriente total que está pasando por el circuito completo por la resistencia total del circuito. Para circuitos sencillos como los que estaban ilustrados anteriormente, necesitamos saber como encontrar el valor resistivo total del circuito. La forma de entender este concepto es imaginar que a los circuitos anteriores estuviéramos substituyendo las dos resistencias por una sola con un valor equivalente para que el circuito siga funcionando igual. Para resistencias en serie, la resistencia equivalente es igual a la suma de los valores de cada resistencia individual. Para resistencias en paralelo, la resistencia equivalente es igual al recíproco de la suma de todos los valores recíprocos de las resistencias individuales. Esta técnica de buscar la resistencia equivalente de dos o más resistencias será de gran ayuda al analizar circuitos. Req (Serie) = Σ Ri = R1 + R2 Req (Paralelo) = (Σ (Ri)-1)-1 = ((1 / R1) + (1 / R2))-1 Midiendo Voltaje y Corriente en Serie o Paralelo En un circuito, la corriente que pasa por el circuito es generada por el voltaje que se esta supliendo al circuito. La corriente fluye por todo el circuito y pasa a través de cada dispositivo. A medida que la corriente pasa por cada dispositivo, se puede medir un valor de voltaje en cada dispositivo. Dado que la corriente entra y sale por un dispositivo, siempre se mide la corriente en un nodo. Se coloca el amperímetro en el nodo de interés y la corriente entra por un terminal del amperímetro y sale por el otro Terminal sin molestar el flujo del circuito. Voltaje es medido en un dispositivo o varios. Se coloca el voltímetro sobre el dispositivo o área de interés, donde un terminal del voltímetro toca el comienzo del área de interés o el primer terminal del dispositivo y el otro Terminal del voltímetro toca el final del área de interés o el segundo terminal del dispositivo. Siguiendo este principio, se dice que se mide corriente en serie y el voltaje en paralelo. Dado que la misma corriente esta pasando por todos los dispositivos de una misma malla y estos dispositivos a su vez todos están en paralelo, el valor de corriente de dispositivos en serie es igual. El voltaje se estará dividiendo entre los dispositivos, por lo tanto, el voltaje de dispositivos en serie es distinto usualmente. Para circuitos en paralelo, lo
  • 13.
    mencionado es inverso.El voltaje por dispositivos en paralelo es igual, pero la corriente es distinta. Divisores de Voltaje y Corriente Hay momentos cuando queremos analizar la corriente o el voltaje que pasa por un punto específico de un circuito con resistencias solamente sin medirlo directamente. Dependiendo del arreglo del circuito, podemos calcular esto fácilmente usando un concepto llamado divisores. Como sugiere el nombre, divisores asocian el comportamiento de cómo se divide el voltaje o corriente de la fuente entre las resistencias del circuito en forma matemática. Nota que para usar un divisor utiliza valores de resistencias o resistividad, por lo tanto, se puede aplicar este concepto a componentes como capacitares, pero solo trabajaremos con resistencias para efectos de esta información. La forma genérica para un divisor de voltaje es: VOUT = VIN · (R contenidos / R total). En el circuito a la izquierda, supongamos que queremos Vy. Tuviéramos que hacer un divisor de voltaje entre el punto B y C, donde VIN = Vx y R contenido = R3. Ya que todas las resistencias están en serie, R total = R1 + R2 + R3. Para el circuito a la derecha, queremos Vz, por lo tanto, R contenido ahora seria igual a R3 + R4 y R total = R1 + R2 + R3 + R4. Los divisores de corriente siguen el mismo concepto, pero su forma genérica es de la forma: IOUT = IIN · (R total / R contenidos). PROCEDIMIENTO 1. Resistencias en Serie.
  • 14.
    Monte el siguientecircuito: Una forma de montar este circuito es la siguiente (OJO: No es la única): Con una fuente V1=12 V. Para los valores de R1 y R2. Llene la siguiente tabla: R1 R2 VR1 VR2 IR1 IR2 1K 1K 1K 2K 2K 1K 2K 2K 2. Resistencias en Paralelo. Monte el siguiente circuito:
  • 15.
    Con una fuenteV1=12 V. Para los valores de R1 y R2. Llene la siguiente tabla: R1 R2 VR1 VR2 IR1 IR2 1K 1K 1K 2K 2K 1K 2K 2K 3. Combinación de Resistencias en Serie y Paralelo: Monte el siguiente circuito: Con una fuente V1=12 V. Para los valores de R1, R2, R3 y R4 indicados. Llene la siguiente tabla: R1 R2 R3 R4 VR1 VR2 IR1 IR2 1K 1K 2K 2K VR3 VR4 IR3 IR4
  • 16.
    Responda las siguientespreguntas: 1) ¿Cómo es la corriente IR1 e IR2 en el circuito serie? 2) ¿Cómo es el voltaje VR1 y VR2 en el circuito paralelo? 3) ¿Qué pasa en el circuito de serie y paralelo con la corriente Is y las corrientes IR1, IR3 e IR4? Diga sus conclusiones de esta práctica.
  • 17.
    PRACTICA 3 LEYES DE KIRCHHOFF Y SUPERPOSICION. Elementos requeridos: 4 Resistencias de 1 KΩ. 1 Resistencia de 10 KΩ. 1 Resistencia de 330 Ω. Al terminar la practica usted como estudiante deberá: - Entender las leyes de voltaje y corriente de Kirchhoff. - Poder determinar la corriente o voltaje en cualquier punto de un circuito. - Saber como determinar valores en circuitos con múltiples fuentes de voltaje. La Ley de Voltajes de Kirchhoff (KVL) En el siglo XIX, un físico alemán de nombre Gustav Kirchhoff aumenta nuestro conocimiento fundamental sobre los circuitos eléctricos, espectroscopia y radiación. Entre sus contribuciones, dos conceptos fueron de gran importancia para el análisis de circuitos. Estos dos conceptos fueron nombrados las leyes de Kirchhoff en reconocimiento al físico. La ley de voltaje es una ley de conservación del campo electroestático de los circuitos y explica que la suma de voltajes alrededor de una malla cerrada debe ser igual a cero. Para el circuito ilustrado, la fuente de voltaje Vx suple un voltaje al circuito. Si medimos las corrientes que pasan por las resistencias y usamos la ley de Ohm para determinar el voltaje en cada resistencia, vamos a notar que la suma será igual a Vx. Este efecto muestra la KVL porque solamente hay un voltaje suplida al circuito, mientras que las otras muestran cuanto del voltaje suplido está en cada dispositivo. Podemos apreciar esto en forma matemática como Vx = VR1 + VR2, o sea, Vx - VR1 - VR2 = 0. La Ley de Corrientes de Kirchhoff (KCL) La otra ley de Kirchhoff es una ley de conservación de carga y explica que suma de corrientes en un circuito debe ser igual a cero. Esta ley aplicada a los nodos de un circuito nos muestra que la suma de corrientes que entran a un nodo debe ser igual a la suma de corrientes que salen del mismo nodo. Recuerda que la corriente en un circuito fluye por el circuito como agua por un sistema de tubería, por lo tanto, si el sistema de tubería se divide en un punto en tres tubos más pequeños, el agua continúa su camino por cada tubo
  • 18.
    dividiéndose entre ellos.En la siguiente ilustración, podemos notar que la corriente producida por la fuente fluye por la primera malla, pero cuando llega al nodo A, se divide en dos corrientes que pasarán por la resistencia 1 y 2. Matemáticamente esto se muestra como IVx = IR1 + IR2, o sea, IVx – IR1 – IR2 = 0. Superposición Si tuviéramos múltiples fuentes de voltaje en serie en una malla, el voltaje total suplido al circuito seria la suma de los voltajes de cada fuente. Esto es así porque, como aprendimos anteriormente en KVL, todos los voltajes suplidos en una malla cerrada sumados a los voltajes medidos en los componentes de la malla serán igual a cero. Sin embargo, muchas veces tenemos que analizar circuitos con dos o más fuentes de voltaje en mallas paralelas. Hay varias técnicas para hacer esto como usar los teoremas de Thevenin y Norton, pero la discutida a continuación se conoce como superposición. La idea básica es analizar el circuito con una fuente a la vez, donde las demás fuentes se sustituyen por un corto circuito (Short Circuit: un área de un circuito donde la malla esta cerrada, pero no hay ningún dispositivo) o como si las fuentes suplieran 0 voltios. Luego se simplifica el circuito usando los conceptos aprendidos de KVL, KCL y circuitos en paralelo y en serie hasta llegar al punto de interés. Con uno de los valores necesarios, se procede a hacer lo mismo para las demás fuentes hasta terminar el análisis. Lo siguiente es un ejemplo: R1 = 0.33k Ω, R2 = 1.00k Ω, R3 = 0.33k Ω, I3 (corriente por R3) = 3.00m A Necesitamos Vx, Vy • Si I3 es 3mA y R3 es 0.33kΩ, podemos determinar el voltaje por el dispositivo usando la ley de Ohm V = IR. V3 será entonces 1V. • Por caída en voltaje por un dispositivo podemos concluir que el voltaje en punto A es 1V. Esto es debido a que el voltaje por R3 es la caída entre punto A menos punto B. Punto B esta en Ground, así que su voltaje es 0. Por lo tanto V3 = VA – VB, así que 1V = VA – 0. Esto termina VA = 1V. • Si queremos 1V en el punto A, significa que la suma de lo que sale desde el punto de vista de las fuentes debe dar a 1V. Para nuestro caso vamos a imaginarnos que queremos 0.5V por cada malla del circuito. NOTA: Esta división fue arbitrario, pero la SUMA debe dar 1V.
  • 19.
    Ahora aplicamos Superposición para encontrar los voltajes de las fuentes. Vamos a ver Vx. Imaginamos que la otra fuente está apagada. Esto nos produce el circuito: • Nota que tenemos un circuito serie-paralelo. Sabes que el voltaje que queremos por R2 es 0.5V, pero R3 esta en paralelo con R2. Ya que voltajes en un circuito paralelo son iguales, el voltaje es igual para R2 y R3. Podemos simplificar nuestro circuito encontrando la resistencia equivalente R23: • El voltaje por R23 debe ser 0.5V y su valor en ohmios es de 0.25k. Nota que tenemos un circuito en serie. Por divisores de voltajes podemos determinar Vx, ya que sabemos el voltaje por R23. Vx = 0.5 / (0.25 / 0.58). • Ya sabemos Vx, ahora hacemos los mismos pasos para Vy. Obtendremos 3.33V. Con esto sabemos una de las combinaciones para obtener 3mA por el punto B. PROCEDIMIENTO 1. Montaje del Circuito para Superposición: Monte el siguiente circuito:
  • 20.
    2. Análisis delCircuito: Encuentre el valor de Vx para que la corriente pasando por R5 sea de 1.5 mA. Usa el método de superposición discutido en la teoría. Anote los resultados de su análisis en la tabla que sigue. Luego conecte las fuentes de voltaje como se muestra en la figura del circuito utilizando el valor de voltaje de tu resultado. Mida las corrientes y voltajes en cada resistencia y anote sus resultados en la tabla. Componente Valor Calculado Valor Medido Vx R1 R2 R3 R4 R5 R6 Responda las siguientes preguntas: 1) Explica donde se cumple la ley de Kirchhoff de voltaje en el circuito anterior. 2) Explica donde se cumple la ley de Kirchhoff de corriente en el circuito anterior. 3) ¿Qué valor debe tener Vx para que R4 tuviera una corriente de 3.5 mA? 4) ¿Qué valor debe tener Vx para que R5 tuviera una corriente de 3.5 mA? Diga sus conclusiones de esta práctica.
  • 21.
    PRACTICA 4 DIODO SEMICONDUCTOR. Elementos requeridos: 1 Diodo 1N4001. 1 resistencia de 560 Ω. 1 resistencia de 330 Ω. 1 LED. Al terminar la practica usted como estudiante deberá: - Entender el principio de un diodo semiconductor. - Saber como es la característica de un diodo semiconductor. - Conocer las regiones de operación de un diodo semiconductor. ¿Qué es un diodo? Un diodo es un dispositivo electrónico que restringe el flujo direccional de cargas. La idea básica es que un diodo puede bloquear el flujo de corriente en una dirección y permitir el flujo en la otra dirección. Pueden visualizar un diodo como una válvula de retención en un sistema de agua. La mayoría de los diodos usados hoy día son semiconductores de unión p-n, o sea, unión de material tipo p (ánodo) y tipo n (cátodo). Los diodos son manufacturados de silicio (Si) o germanio (Ge). Modos de Operación Un diodo puede dejar pasar corriente o bloquearlo dependiendo de la dirección en que está entrando la corriente por sus materiales. La dirección de entrada indica el modo de operación del diodo y denota su comportamiento en relación a la corriente. Cuando la corriente entra por el ánodo o lado positivo, el diodo permite el flujo de corriente y se dice que el diodo esta en el modo de polarización directa o “Foward Bias”. Cuando la corriente entra por el cátodo o lado negativo, el diodo bloquea el flujo de corriente y se dice que el diodo esta en el modo de polarización inversa o “Reverse Bias”. Con estos dos modos de operación, se puede graficar la relación de I-V característica del diodo. Observando la gráfica a continuación, podemos notar que cuando el diodo está en polarización directa y con aproximadamente 0.6 a 0.7 V, permite el flujo continuo de corriente.
  • 22.
    Light Emitting Dioses(LEDs) Existen variedades de diodos con operaciones distintas. Algunos ejemplos de tipos de diodos son Schottky, Switching, Zener y Avalanche. Un tipo de diodo que se utilizará en varias ocasiones en este manual es el diodo emisor de luz o LED. Este tipo de diodo funciona como cualquier otro tipo de diodo con la excepción de que tiene un filamento que se calienta cuando el diodo esta en polarización directa. Este filamento produce luz al calentarse como una bombilla. PROCEDIMIENTO 1. Curva característica de un diodo semiconductor: (Polarización Directa) Monte el siguiente circuito: Con el valor de R1 = 560 Ω y el diodo 1N4001. Llene la siguiente tabla: Vs Id Vd Vs Id Vd 0.5 15 1 20 2 25 3 30 4 6 8 10 12 2. Curva característica de un diodo semiconductor: (Polarización Inversa) Monte el siguiente circuito:
  • 23.
    Con el valorde R1 = 560 Ω y el diodo 1N4001. Llene la siguiente tabla: Vs Id Vd 0.5 4 8 12 20 25 3. Curva característica de un diodo semiconductor: (Polarización Directa) Monte el siguiente circuito: Con el valor de R1 = 330 Ω y colocando el LED en la posición del diodo. Llene la siguiente tabla: Vs Id Vd Vs Id Vd 0.5 15 1 20 2 25 3 30
  • 24.
    4 6 8 10 12 4. Curva característica de un diodo semiconductor: (Polarización Inversa) Monte el siguiente circuito: Con el valor de R1 = 330 Ω y colocando el LED en la posición del diodo. Llene la siguiente tabla: Vs Id Vd 0.5 4 8 12 20 25 DIBUJE LOS DATOS DE LAS 4 TABLAS EN EXCEL O EN PAPEL MILIMETRADO. Obtenga una regresión que genere una función que se aproxime a estos puntos. Responda las siguientes preguntas: 1) ¿Un diodo es un elemento bi-direccional? 2) ¿Qué diferencias encuentra entre un diodo y una resistencia? 3) ¿Cómo es el comportamiento del LED en polarización directa e inversa? Diga sus conclusiones de esta práctica.
  • 25.
    PRACTICA 5 APLICACIONES DEL DIODO SEMICONDUCTOR. ADVERTENCIA EN ESTE LABORATORIO SE VA A MANEJAR LINEA AC DE 120 VAC, QUE ES POTENCIALMENTE PELIGROSA. PRECAUCIONES ADICIONALES DEBEN SER TOMADAS PARA ASEGURAR LA SALUD DE LOS ESTUDIANTES Y EVITAR DANOS EN LOS EQUIPOS. Elementos requeridos: 1 Transformador con tap central. 2 Diodos 1N4001/02/03 o 04 1 Resistencia de 220 Ohmios (1/2W) 1 Condensador de 100 uF (16 V) Al terminar la practica usted como estudiante deberá: - Conocer experimentalmente como funciona un rectificador. - Saber la función del condensador de filtrado del rectificador. Rectificadores En los circuitos eléctricos, a veces solo tenemos corriente alterna (AC). La corriente AC fluctúa entre un valor mínimo y máximo como una onda senosoidal. Sin embargo, muchas veces necesitamos corriente directa (DC) la cual se mantiene en un valor constante. Para este propósito se utilizan los rectificadores. Los rectificadores son aplicaciones de los diodos semiconductores que convierten corriente AC a DC a través de un proceso llamado rectificación. La idea básica de un rectificador es filtrar o eliminar la parte negativa de cada ciclo de corriente, haciendo que la fluctuación se mantenga cercana a un valor constante. Rectificadores de Media Onda y Onda Completa Los rectificadores se pueden construir de dos tipos: media onda y onda completa. En los rectificadores de media onda o “Half Wave”, la parte negativa de la onda es eliminada y en la salida solo se ve la parte positiva o mitad de la onda completa. En los rectificadores de onda completa o “Full Wave”, la parte negativa se invierte al lado positivo de la onda. Dado que ondas repiten cada ciclo, esto produce un efecto en la salida más cercana a un valor constante. En ambos casos, la salida no es completamente constante, pero dado las repeticiones de las ondas y rapidez de frecuencia, se parece mucho a un valor constante. Filtros de Salida Hay formas de aproximar la salida de los rectificadores a un valor constante más aun. Si se añade un filtro en la salida del rectificador, se puede eliminar la pequeña caída de
  • 26.
    corriente que ocurrecuando la onda baja al valor negativo del ciclo. Un filtro común es añadir un capacitor, conocido como un capacitor de reserva, en la salida. Cuando la corriente aumenta con cada onda positiva, el capacitor se va a cargar y cuando la corriente disminuye a su valor negativo, el capacitor se descarga más lento que la disminución de la corriente de la onda. Este efecto hace que la onda nunca toque el punto de cero corriente. La salida todavía no es perfecta y produce una pequeña fluctuación llamado rizado o “ripple”, pero logra que el valor de la salida este mas cerca de un valor constante. PROCEDIMIENTO 1. Rectificador con Tap Central (Full-wave) Monte el siguiente circuito: Los diodos son los 1N400X. La resistencia es la de 220 ohmios (cuidado la resistencia puede calentarse). El TAP central del transformador debe estar en embobinados de 6 o 9 voltios. Dibuje la forma de onda de voltaje en la resistencia con el osciloscopio.
  • 27.
    2. Quite D2,desconecta la resistencia del “tap” central y conecta la resistencia al transformador donde estaba D2. Vuelva a dibujar la señal en la resistencia.
  • 28.
    Ahora agregue uncondensador de 100 uF en paralelo con la resistencia como se muestra en la figura. Vuelva a dibujar la forma de onda del voltaje en la resistencia, que es la misma del condensador porque están en paralelo. Ahora con el multimetro mida el voltaje y la corriente sobre la resistencia de 220 Ω. VR (Voltios) I R(Amperios)
  • 29.
    Responda las siguientespreguntas: 1) ¿Cuál es la diferencia entre un rectificador “Half-wave” y uno “Full-wave”? 2) ¿Cuál es la función del condensador? 3) ¿Cuál es la función de este circuito? Diga sus conclusiones de esta práctica.
  • 30.
    PRACTICA 6 REGULADORES DE VOLTAJE. Elementos requeridos: Todos los elementos de la practica 4. 1 Transformador con “tap” central. 2 Diodos 1N4001/02/03 o 04 1 Resistencia de 220 Ohmios (1/2W) 1 Condensador de 100 uF (16 V) Adicionales: 1 Regulador de Voltaje LM7805C. 1 Resistencia de 56 Ohmios ADVERTENCIA EN ESTE LABORATORIO SE VA A MANEJAR LINEA AC DE 120 VAC, QUE ES POTENCIALMENTE PELIGROSA. PRECAUCIONES ADICIONALES DEBEN SER TOMADAS PARA ASEGURAR LA SALUD DE LOS ESTUDIANTES Y EVITAR DANOS EN LOS EQUIPOS. Al terminar la practica usted como estudiante deberá: - Saber para que sirven los reguladores de Voltaje. ¿Qué son reguladores de voltaje? Reguladores de voltaje son dispositivos eléctricos compuestos por varios otros componentes internamente que están diseñados para mantener un nivel constante de voltaje en su salida. La idea general es que el regulador de voltaje recibe un valor de voltaje en su entrada e internamente la regula para que en la salida se reciba un voltaje constante designado. El método que usa el regulador para regular el voltaje de entrada es lo que denota el tipo de regulador que es. Algunos ejemplos de reguladores de voltajes son lineales, switching y zener. El regulador lineal funciona internamente como una resistencia variable que continuamente ajusta un sistema de divisor de voltaje para mantener una salida especifica. El regulador switching usa transistores para funcionar como un switch de prender y apagar para mantener el voltaje de salida. Los reguladores zener utilizan la región de caída del diodo tener para mantener su salida constante. Cuando una entrada mas alta que el valor constante del regulador es recibida, el regulador de voltaje ajusta el voltaje y disipa calor. El regulador LM7805 usado en esta práctica es un regulador lineal. PROCEDIMIENTO
  • 31.
    Monte el siguientecircuito con R=56 Ohmios: Tome las siguientes medidas con D1 y D2 (R=56 Ohmios): Vin Vout IR Remueva D2 y tome las siguientes medidas: Vin Vout IR Responda las siguientes preguntas: 1) ¿Qué diferencias encuentra entre el Vin y el Vout? 2) ¿Cuál es la función del regulador de Voltaje? Diga sus conclusiones de esta práctica.
  • 32.
    LM78XX Series VoltageRegulators May 2000 LM78XX Series Voltage Regulators General Description put, although this does improve transient response. Input by- passing is needed only if the regulator is located far from the The LM78XX series of three terminal regulators is available filter capacitor of the power supply. with several fixed output voltages making them useful in a For output voltage other than 5V, 12V and 15V the LM117 wide range of applications. One of these is local on card series provides an output voltage range from 1.2V to 57V. regulation, eliminating the distribution problems associated with single point regulation. The voltages available allow these regulators to be used in logic systems, instrumenta- Features tion, HiFi, and other solid state electronic equipment. Al- n Output current in excess of 1A though designed primarily as fixed voltage regulators these n Internal thermal overload protection devices can be used with external components to obtain ad- n No external components required justable voltages and currents. n Output transistor safe area protection The LM78XX series is available in an aluminum TO-3 pack- n Internal short circuit current limit age which will allow over 1.0A load current if adequate heat n Available in the aluminum TO-3 package sinking is provided. Current limiting is included to limit the peak output current to a safe value. Safe area protection for the output transistor is provided to limit internal power dissi- Voltage Range pation. If internal power dissipation becomes too high for the LM7805C 5V heat sinking provided, the thermal shutdown circuit takes over preventing the IC from overheating. LM7812C 12V Considerable effort was expanded to make the LM78XX se- LM7815C 15V ries of regulators easy to use and minimize the number of external components. It is not necessary to bypass the out- Connection Diagrams Metal Can Package Plastic Package TO-3 (K) TO-220 (T) Aluminum DS007746-3 DS007746-2 Top View Bottom View Order Number LM7805CT, Order Number LM7805CK, LM7812CT or LM7815CT LM7812CK or LM7815CK See NS Package Number T03B See NS Package Number KC02A © 2000 National Semiconductor Corporation DS007746 www.national.com
  • 33.
    PRACTICA 7 TRANSISTOR 1 Elementos requeridos: 1 Transistor 2N3904 (NPN) 1 Transistor 2N3906 (PNP) 1 Resistencia de 100 K 1 Resistencia de 1K Al terminar la practica usted como estudiante deberá: - Saber como reconocer físicamente un transistor - Determinar con un multimetro los terminales de un transistor. - Diferenciar los transistores NPN y PNP. - Saber como se polariza un transistor. ¿Qué es un transistor? Transistores son dispositivos semiconductores usados comúnmente como amplificadores o switches eléctricamente controlados. Los transistores han sido uno de los componentes claves en la electrónica moderna gracias a su flexibilidad, confiabilidad y bajo costo. Miles de transistores son utilizados en circuitos integrados que componen la mayoría de los equipos digitales y electrónicos hoy día. Reemplazaron los tubos de vacío en el siglo XX por su pequeño tamaño, bajo costo, habilidad para controlar corrientes altas, alta eficiencia, largo periodo de vida, bajo disipación de potencia, entre otras características. Internamente los transistores están compuestos por material tipo p y n como los diodos. Se puede casi visualizar un transistor como dos diodos unidos de cierta forma. Tipos de Transistores Existen varios tipos de transistores dependiendo de sus materiales y configuración interna. Los más comunes son los transistores de unión bipolar (“bipolar junction”) o BJT y los transistores de efecto de campo (“field effect”) o FET. Los BJT son usados para amplificar y switching y su nombre es derivado de su funcionamiento interno que utiliza el movimiento de electrones y huecos. Tienen tres terminales denotados colector (C), base (B) y emisor (E), donde cada terminal esta conectado a uno de los materiales que componen el BJT. La relación de las corrientes y voltajes que pasan por estos terminales dicta sus regiones de operación y sus relaciones matemáticas para análisis de circuitos. Los BJT tienen tres tipos de configuraciones internas: NPN, PNP y Heterojunction Bipolar. Los NPN tienen dos capas de material tipo N y una de tipo P entre medio. Estos BJT son los mas comúnmente utilizados, ya que el movimiento de electrones es mucho mas rápido que el movimiento de huecos y esto permite controlar mayores valores de corriente y produce mayor rapidez de operación. Los PNP tienen dos capas de material tipo P y una de tipo N entre medio. Estos BJT funcionan con el movimiento de huecos. Los últimos BJT están compuestos por materiales semiconductores distintos al material N
  • 34.
    y P. Sonútiles por su habilidad de controlar frecuencias bien altas hasta varios cientos de GHz. Los FET utilizan el campo eléctrico para controlar la conductividad de los canales semiconductores. Pueden ser construidos de una variedad de materiales, pero el más común es el silicio. Los FET tienen tres terminales de importancia para su funcionamiento y análisis, la cual son: gate (G), drain (D) y source (S). Hay varios tipos de FET, por ejemplo: MOSFET, JFET, CMOS, MESFET, entre otros. Vienen de dos variedades: canal P y canal N. Dado que en este manual no se utilizan los FET, no entraremos en detalle sobre sus ecuaciones o funcionamiento interno. Regiones de Operación Los transistores bipolares tienen cuatro regiones de operación principales, parecido a los diodos. En cada región, la corriente es controlado de forma distinta y las uniones o “diodos” internos están en un modo distinto.
  • 35.
    Foward Active o Activa: Unión E-B en polarización directa, unión B-C en polarización inversa, corriente del C-E es proporcional a la corriente de la base, para variaciones pequeñas de corriente de base la proporción es grande. • Reverse Active o Inversa: Unión E-B en polarización directa, unión B-C en polarización inversa, relación de corrientes es inversa al modo activo. • Saturation o saturación: Ambos uniones en polarización directa, BJT funciona como un switch abierto dejando pasar toda corriente por ella. • Cutoff o saturación: Ambos uniones en polarización inversa, BJT funciona como un switch cerrado bloqueando toda corriente por ella. Ecuaciones Teóricas: Donde VT es el voltaje termal ≈ 26 mV, αT es la ganancia de corriente de base común en activo corto circuito (0.98 a 0.998), βF es la ganancia de corriente en C-E activo ≈ 20 a 500, βR es la ganancia de corriente en C-E inversa ≈ 0 a 20 y IES o IS es la corriente inversa de saturación del diodo en el B-E ≈ 10−15 a 10−12 A. PROCEDIMIENTO 1. Medición de transistores. Vamos a medir los transistores que tenemos:
  • 36.
    Con ayuda delos “datasheets” del transistor NPN, revise cuales son los terminales. Llene la siguiente tabla con los valores del multímetro: Punta ROJA Punta NEGRA Voltaje en el Multimetro Base Emisor Base Colector Colector Emisor Emisor Colector Emisor Base Colector Base Repita el procedimiento pero ahora para el otro transistor (el PNP): Punta ROJA Punta NEGRA Voltaje en el Multimetro Base Emisor Base Colector Colector Emisor Emisor Colector Emisor Base Colector Base 2. Polarización de transistores. Monte el siguiente circuito, con los siguientes valores: RB=100 K RC=1K
  • 37.
    Vcc=15 V VBB variable. Ahorallene la siguiente tabla (No olvide que los valores de corriente se calculan, lo mismo que el valor de hFE): VBB VBE VCE IC = (VCC-VCE) / RB IB = (VBB-VBE) / RC hFE=IC/IB 1 2 3 4 5 6 7 8 9 10 Grafique en EXCEL o en papel milimetrado (IC vs VCE) e (IC vs IB): Ic Ic IB VCE Responda las siguientes preguntas: - ¿Cuál es la diferencia de un transistor PNP y NPN? - ¿Qué significa el hFE? - ¿Un transistor es un elemento que amplifica corriente o voltaje? Justifique su respuesta. Diga sus conclusiones de esta práctica.
  • 38.
    2N3904 / MMBT3904/ PZT3904 2N3904 MMBT3904 PZT3904 C C E E C C TO-92 B B SOT-23 B E SOT-223 Mark: 1A NPN General Purpose Amplifier This device is designed as a general purpose amplifier and switch. The useful dynamic range extends to 100 mA as a switch and to 100 MHz as an amplifier. Absolute Maximum Ratings* TA = 25°C unless otherwise noted Symbol Parameter Value Units VCEO Collector-Emitter Voltage 40 V VCBO Collector-Base Voltage 60 V VEBO Emitter-Base Voltage 6.0 V IC Collector Current - Continuous 200 mA TJ, Tstg Operating and Storage Junction Temperature Range -55 to +150 °C *These ratings are limiting values above which the serviceability of any semiconductor device may be impaired. NOTES: 1) These ratings are based on a maximum junction temperature of 150 degrees C. 2) These are steady state limits. The factory should be consulted on applications involving pulsed or low duty cycle operations. Thermal Characteristics TA = 25°C unless otherwise noted Symbol Characteristic Max Units 2N3904 *MMBT3904 **PZT3904 PD Total Device Dissipation 625 350 1,000 mW Derate above 25°C 5.0 2.8 8.0 mW/°C RθJC Thermal Resistance, Junction to Case 83.3 °C/W RθJA Thermal Resistance, Junction to Ambient 200 357 125 °C/W *Device mounted on FR-4 PCB 1.6" X 1.6" X 0.06." **Device mounted on FR-4 PCB 36 mm X 18 mm X 1.5 mm; mounting pad for the collector lead min. 6 cm2.  2001 Fairchild Semiconductor Corporation 2N3904/MMBT3904/PZT3904, Rev A
  • 39.
    2N3904 / MMBT3904/ PZT3904 NPN General Purpose Amplifier (continued) Electrical Characteristics TA = 25°C unless otherwise noted Symbol Parameter Test Conditions Min Max Units OFF CHARACTERISTICS V(BR)CEO Collector-Emitter Breakdown IC = 1.0 mA, IB = 0 40 V Voltage V(BR)CBO Collector-Base Breakdown Voltage IC = 10 µA, IE = 0 60 V V(BR)EBO Emitter-Base Breakdown Voltage IE = 10 µA, IC = 0 6.0 V IBL Base Cutoff Current VCE = 30 V, VEB = 3V 50 nA ICEX Collector Cutoff Current VCE = 30 V, VEB = 3V 50 nA ON CHARACTERISTICS* hFE DC Current Gain IC = 0.1 mA, VCE = 1.0 V 40 IC = 1.0 mA, VCE = 1.0 V 70 IC = 10 mA, VCE = 1.0 V 100 300 IC = 50 mA, VCE = 1.0 V 60 IC = 100 mA, VCE = 1.0 V 30 VCE(sat) Collector-Emitter Saturation Voltage IC = 10 mA, IB = 1.0 mA 0.2 V IC = 50 mA, IB = 5.0 mA 0.3 V VBE(sat) Base-Emitter Saturation Voltage IC = 10 mA, IB = 1.0 mA 0.65 0.85 V IC = 50 mA, IB = 5.0 mA 0.95 V SMALL SIGNAL CHARACTERISTICS fT Current Gain - Bandwidth Product IC = 10 mA, VCE = 20 V, 300 MHz f = 100 MHz Cobo Output Capacitance VCB = 5.0 V, IE = 0, 4.0 pF f = 1.0 MHz Cibo Input Capacitance VEB = 0.5 V, IC = 0, 8.0 pF f = 1.0 MHz NF Noise Figure IC = 100 µA, VCE = 5.0 V, 5.0 dB RS =1.0kΩ,f=10 Hz to 15.7kHz SWITCHING CHARACTERISTICS td Delay Time VCC = 3.0 V, VBE = 0.5 V, 35 ns tr Rise Time IC = 10 mA, IB1 = 1.0 mA 35 ns ts Storage Time VCC = 3.0 V, IC = 10mA 200 ns tf Fall Time IB1 = IB2 = 1.0 mA 50 ns *Pulse Test: Pulse Width ≤ 300 µs, Duty Cycle ≤ 2.0% Spice Model NPN (Is=6.734f Xti=3 Eg=1.11 Vaf=74.03 Bf=416.4 Ne=1.259 Ise=6.734 Ikf=66.78m Xtb=1.5 Br=.7371 Nc=2 Isc=0 Ikr=0 Rc=1 Cjc=3.638p Mjc=.3085 Vjc=.75 Fc=.5 Cje=4.493p Mje=.2593 Vje=.75 Tr=239.5n Tf=301.2p Itf=.4 Vtf=4 Xtf=2 Rb=10)
  • 40.
    2N3906 / MMBT3906/ PZT3906 2N3906 MMBT3906 PZT3906 C C E E C C TO-92 B B B E SOT-23 SOT-223 Mark: 2A PNP General Purpose Amplifier This device is designed for general purpose amplifier and switching applications at collector currents of 10 µA to 100 mA. Absolute Maximum Ratings* TA = 25°C unless otherwise noted Symbol Parameter Value Units VCEO Collector-Emitter Voltage 40 V VCBO Collector-Base Voltage 40 V VEBO Emitter-Base Voltage 5.0 V IC Collector Current - Continuous 200 mA TJ, Tstg Operating and Storage Junction Temperature Range -55 to +150 °C *These ratings are limiting values above which the serviceability of any semiconductor device may be impaired. NOTES: 1) These ratings are based on a maximum junction temperature of 150 degrees C. 2) These are steady state limits. The factory should be consulted on applications involving pulsed or low duty cycle operations. 3) All voltages (V) and currents (A) are negative polarity for PNP transistors. Thermal Characteristics TA = 25°C unless otherwise noted Symbol Characteristic Max Units 2N3906 *MMBT3906 **PZT3906 PD Total Device Dissipation 625 350 1,000 mW Derate above 25°C 5.0 2.8 8.0 mW/°C RθJC Thermal Resistance, Junction to Case 83.3 °C/W RθJA Thermal Resistance, Junction to Ambient 200 357 125 °C/W *Device mounted on FR-4 PCB 1.6" X 1.6" X 0.06." **Device mounted on FR-4 PCB 36 mm X 18 mm X 1.5 mm; mounting pad for the collector lead min. 6 cm2.  2001 Fairchild Semiconductor Corporation 2N3906/MMBT3906/PZT3906, Rev A
  • 41.
    2N3906 / MMBT3906/ PZT3906 PNP General Purpose Amplifier (continued) Electrical Characteristics TA = 25°C unless otherwise noted Symbol Parameter Test Conditions Min Max Units OFF CHARACTERISTICS V(BR)CEO Collector-Emitter Breakdown Voltage* IC = 1.0 mA, IB = 0 40 V V(BR)CBO Collector-Base Breakdown Voltage IC = 10 µA, IE = 0 40 V V(BR)EBO Emitter-Base Breakdown Voltage IE = 10 µA, IC = 0 5.0 V IBL Base Cutoff Current VCE = 30 V, VBE = 3.0 V 50 nA ICEX Collector Cutoff Current VCE = 30 V, VBE = 3.0 V 50 nA ON CHARACTERISTICS hFE DC Current Gain * IC = 0.1 mA, VCE = 1.0 V 60 IC = 1.0 mA, VCE = 1.0 V 80 IC = 10 mA, VCE = 1.0 V 100 300 IC = 50 mA, VCE = 1.0 V 60 IC = 100 mA, VCE = 1.0 V 30 VCE(sat) Collector-Emitter Saturation Voltage IC = 10 mA, IB = 1.0 mA 0.25 V IC = 50 mA, IB = 5.0 mA 0.4 V VBE(sat) Base-Emitter Saturation Voltage IC = 10 mA, IB = 1.0 mA 0.65 0.85 V IC = 50 mA, IB = 5.0 mA 0.95 V SMALL SIGNAL CHARACTERISTICS fT Current Gain - Bandwidth Product IC = 10 mA, VCE = 20 V, 250 MHz f = 100 MHz Cobo Output Capacitance VCB = 5.0 V, IE = 0, 4.5 pF f = 100 kHz Cibo Input Capacitance VEB = 0.5 V, IC = 0, 10.0 pF f = 100 kHz NF Noise Figure IC = 100 µA, VCE = 5.0 V, 4.0 dB RS =1.0kΩ,f=10 Hz to 15.7 kHz SWITCHING CHARACTERISTICS td Delay Time VCC = 3.0 V, VBE = 0.5 V, 35 ns tr Rise Time IC = 10 mA, IB1 = 1.0 mA 35 ns ts Storage Time VCC = 3.0 V, IC = 10mA 225 ns tf Fall Time IB1 = IB2 = 1.0 mA 75 ns *Pulse Test: Pulse Width ≤ 300 µs, Duty Cycle ≤ 2.0% NOTE: All voltages (V) and currents (A) are negative polarity for PNP transistors. Spice Model PNP (Is=1.41f Xti=3 Eg=1.11 Vaf=18.7 Bf=180.7 Ne=1.5 Ise=0 Ikf=80m Xtb=1.5 Br=4.977 Nc=2 Isc=0 Ikr=0 Rc=2.5 Cjc=9.728p Mjc=.5776 Vjc=.75 Fc=.5 Cje=8.063p Mje=.3677 Vje=.75 Tr=33.42n Tf=179.3p Itf=.4 Vtf=4 Xtf=6 Rb=10)
  • 42.
    PRACTICA 8 TRANSISTOR 2 Elementos requeridos: 1 Transistor 2N3904 3 Resistencias de 10 K 1 Resistencia de 100 1 Resistencia de 47 K 1 Resistencia de 6.8 K 1 Resistencia de 2.2 K 2 Condensadores de 1 uF. 1 Condensador de 100 uF. Al terminar la práctica usted como estudiante deberá: - Saber que los transistores permiten construir amplificadores de señales. - Conocer un amplificador Emisor Común. Emisor Común: El emisor común o “common emitter” es una topología básica de los BJT que se utiliza comúnmente como un amplificador de voltajes pequeñas. El nodo del emisor del transistor es conectado a tierra, el nodo de la base recibe la señal de entrada y el nodo del colector se utiliza como la salida. El término “común” proviene de la relación mencionada de los nodos. En este caso, el emisor al estar conectado a tierra es un nodo común para el funcionamiento del transistor. Existen otras topologías basadas en este mismo principio como el colector común (“common collector”) y base común (“common base”). La equivalente del emisor común en los FET se llama el source común o “common source”. Características de Señal Pequeña: • Ganancia de voltaje: • Ganancia de corriente: • Resistencia de entrada: • Resistencia de salida:
  • 43.
    Donde gm esla transconductancia en siemens dado por: , es la corriente de colector, VT es el voltaje termal ≈ 26 mV, la cual es la ganancia de corriente a frecuencias bajas (también conocido como hFE) y . PROCEDIMIENTO 1. Amplificador a transistores. Monte el siguiente amplificador: 2. Polarización Para el amplificador de la figura anterior mida los siguientes valores de polarización (con el multímetro). Punto de medida Valor VB VE VC Calcule el valor de re = 26mV/IC
  • 44.
    re = ______________ Calculeel valor de hFE= IC/IB? hFE=______________ 3. Parte AC Con el osciloscopio determine la ganancia del amplificador? Av1 = Vo/Vin = ___________________ Ahora quite el condensador de 100 uF y mida la ganancia. Av2 = Vo/Vin = ___________________ Responda las siguientes preguntas: - ¿A qué se debe la diferencia entre los dos valores de ganancia (Av1 y Av2)? - ¿Cómo es la fase entre Vin y Vo para este amplificador? Diga sus conclusiones de esta práctica.
  • 45.
    PRACTICA 9 AMPLIFICADOR OPERACIONAL. Elementos requeridos: 1 Amplificador Operacional LM741. 1 Resistencia de 1K 2 Resistencias de 10 K 1 Resistencias de 5 K 1 Resistencia de 330 Ohmios ¿Qué son los amplificadores operacionales? Los amplificadores operacionales, o OP-AMP, son amplificadores de voltaje de alta ganancia con entradas diferenciales y usualmente una salida. Normalmente la salida de los OP-AMP son controlados por un lazo de retroalimentación negativa que determina casi en totalidad el voltaje de salida para cierta entrada. El término de entradas diferenciales de voltaje proviene de la idea que uno de las entradas del OP-AMP es inverso (V-), mientras el otro no es inverso (V+). Idealmente el OP-AMP amplifica solo la diferencia de voltaje entre las dos entradas. El término de retroalimentación proviene de la idea que la salida del OP-AMP tiene un cable que conecta parte de esta salida a una de las entradas. En la retroalimentación negativa, la salida esta conectada a la entrada inversa. En retroalimentación positiva, la salida esta conectada a la entrada no inversa. Si la salida no esta conectada a ninguna de las entradas, se conoce como que el OP-AMP esta trabajando en lazo abierto o “open loop”. La ganancia de salida en estos casos se puede determinar por la relación de sus entradas y la ganancia del lazo abierto: Los OP-AMP reciben dos entradas denotadas V+ y V_ y deben ser polarizadas por unos valores especificados de fuente negativa y positiva denotados VS+ y VS_. Tipos de OP-AMP y Aplicaciones Los OP-AMP se usan para una variedad de aplicaciones eléctricas. Algunos ejemplos son: comparadores de voltaje, rectificadores de precisión, convertidores digital a análogo, osciladores, filtros, diferenciadores, integradores y pre-amplificadores de audio y video. Los OP-AMP también son utilizados en una variedad de aplicaciones de circuitos lineales, donde las entradas son comparadas de alguna forma y la salida muestra el resultado. Lo siguiente son algunos ejemplos: • No Inversores: Amplifican un voltaje de entrada. • Inversores: Invierten y amplifican un voltaje de entrada. • Diferencias: Muestra en la salida la diferencia o resta de las dos entradas. • Diferenciales: Muestra en la salida la diferencia o resta entre las dos entradas después de ser multiplicadas por una cierta constante.
  • 46.
    Sumadores: Muestra en la salida la suma de varias entradas de voltaje. • Integradores: Muestra en la salida la integración de una señal de entrada a través del tiempo. • Comparadores: Muestra en la salida el valor de uno de las entradas al OP-AMP de fuente (VS) dependiendo de cual entrada era más alta. Si V1 > V2, la salida es VS+. Si V1 < V2, la salida es VS_. PROCEDIMIENTO 1. Amplificador Inversor: Monte el siguiente amplificador con el Operacional LM741. Calcule la ganancia del amplificador: Av = Vo/Vin = ________________________ 2. Amplificador NO Inversor: Monte el siguiente amplificador con el Operacional LM741.
  • 47.
    Calcule la gananciadel amplificador: Av = Vo/Vin = ________________________ 3. Comparador: Monte el siguiente circuito Con los valores de R1 y R2 de la tabla. Anote primero el valor del Voltaje de Referencia. Luego empiece a variar Vin desde 0 voltios y encuentre el valor en el que los LED intercambian encendido. Ese valor de voltaje apúntelo en la tabla. R1 R2 VREF Vin (Cambio de LED) 10K 10K 10K 5K 5K 10K Responda las siguientes preguntas: - ¿Tiene ventajas el uso de amplificadores operacionales sobre el uso de transistores? - De las 3 aplicaciones, ¿cuál es no lineal? Justifique su respuesta. - ¿Qué usos vislumbra para el circuito 3? Diga sus conclusiones de esta práctica.
  • 48.
    LM741 Operational Amplifier August 2000 LM741 Operational Amplifier General Description output, no latch-up when the common mode range is ex- ceeded, as well as freedom from oscillations. The LM741 series are general purpose operational amplifi- The LM741C is identical to the LM741/LM741A except that ers which feature improved performance over industry stan- the LM741C has their performance guaranteed over a 0˚C to dards like the LM709. They are direct, plug-in replacements +70˚C temperature range, instead of −55˚C to +125˚C. for the 709C, LM201, MC1439 and 748 in most applications. The amplifiers offer many features which make their appli- cation nearly foolproof: overload protection on the input and Features Connection Diagrams Metal Can Package Dual-In-Line or S.O. Package 00934102 00934103 Note 1: LM741H is available per JM38510/10101 Order Number LM741J, LM741J/883, LM741CN Order Number LM741H, LM741H/883 (Note 1), See NS Package Number J08A, M08A or N08E LM741AH/883 or LM741CH See NS Package Number H08C Ceramic Flatpak 00934106 Order Number LM741W/883 See NS Package Number W10A Typical Application Offset Nulling Circuit 00934107 © 2004 National Semiconductor Corporation DS009341 www.national.com
  • 49.
    LM741 Absolute Maximum Ratings (Note 2) If Military/Aerospace specified devices are required, please contact the National Semiconductor Sales Office/ Distributors for availability and specifications. (Note 7) LM741A LM741 LM741C Supply Voltage ± 22V ± 22V ± 18V Power Dissipation (Note 3) 500 mW 500 mW 500 mW Differential Input Voltage ± 30V ± 30V ± 30V Input Voltage (Note 4) ± 15V ± 15V ± 15V Output Short Circuit Duration Continuous Continuous Continuous Operating Temperature Range −55˚C to +125˚C −55˚C to +125˚C 0˚C to +70˚C Storage Temperature Range −65˚C to +150˚C −65˚C to +150˚C −65˚C to +150˚C Junction Temperature 150˚C 150˚C 100˚C Soldering Information N-Package (10 seconds) 260˚C 260˚C 260˚C J- or H-Package (10 seconds) 300˚C 300˚C 300˚C M-Package Vapor Phase (60 seconds) 215˚C 215˚C 215˚C Infrared (15 seconds) 215˚C 215˚C 215˚C See AN-450 “Surface Mounting Methods and Their Effect on Product Reliability” for other methods of soldering surface mount devices. ESD Tolerance (Note 8) 400V 400V 400V Electrical Characteristics (Note 5) Parameter Conditions LM741A LM741 LM741C Units Min Typ Max Min Typ Max Min Typ Max Input Offset Voltage TA = 25˚C RS ≤ 10 kΩ 1.0 5.0 2.0 6.0 mV RS ≤ 50Ω 0.8 3.0 mV TAMIN ≤ TA ≤ TAMAX RS ≤ 50Ω 4.0 mV RS ≤ 10 kΩ 6.0 7.5 mV Average Input Offset 15 µV/˚C Voltage Drift Input Offset Voltage TA = 25˚C, VS = ± 20V ± 10 ± 15 ± 15 mV Adjustment Range Input Offset Current TA = 25˚C 3.0 30 20 200 20 200 nA TAMIN ≤ TA ≤ TAMAX 70 85 500 300 nA Average Input Offset 0.5 nA/˚C Current Drift Input Bias Current TA = 25˚C 30 80 80 500 80 500 nA TAMIN ≤ TA ≤ TAMAX 0.210 1.5 0.8 µA Input Resistance TA = 25˚C, VS = ± 20V 1.0 6.0 0.3 2.0 0.3 2.0 MΩ TAMIN ≤ TA ≤ TAMAX, 0.5 MΩ VS = ± 20V Input Voltage Range TA = 25˚C ± 12 ± 13 V TAMIN ≤ TA ≤ TAMAX ± 12 ± 13 V www.national.com 2
  • 50.
    LM741 Electrical Characteristics(Note 5) (Continued) Parameter Conditions LM741A LM741 LM741C Units Min Typ Max Min Typ Max Min Typ Max Large Signal Voltage Gain TA = 25˚C, RL ≥ 2 kΩ VS = ± 20V, VO = ± 15V 50 V/mV VS = ± 15V, VO = ± 10V 50 200 20 200 V/mV TAMIN ≤ TA ≤ TAMAX, RL ≥ 2 kΩ, VS = ± 20V, VO = ± 15V 32 V/mV VS = ± 15V, VO = ± 10V 25 15 V/mV VS = ± 5V, VO = ± 2V 10 V/mV Output Voltage Swing VS = ± 20V RL ≥ 10 kΩ ± 16 V RL ≥ 2 kΩ ± 15 V VS = ± 15V RL ≥ 10 kΩ ± 12 ± 14 ± 12 ± 14 V RL ≥ 2 kΩ ± 10 ± 13 ± 10 ± 13 V Output Short Circuit TA = 25˚C 10 25 35 25 25 mA Current TAMIN ≤ TA ≤ TAMAX 10 40 mA Common-Mode TAMIN ≤ TA ≤ TAMAX Rejection Ratio RS ≤ 10 kΩ, VCM = ± 12V 70 90 70 90 dB RS ≤ 50Ω, VCM = ± 12V 80 95 dB Supply Voltage Rejection TAMIN ≤ TA ≤ TAMAX, Ratio VS = ± 20V to VS = ± 5V RS ≤ 50Ω 86 96 dB RS ≤ 10 kΩ 77 96 77 96 dB Transient Response TA = 25˚C, Unity Gain Rise Time 0.25 0.8 0.3 0.3 µs Overshoot 6.0 20 5 5 % Bandwidth (Note 6) TA = 25˚C 0.437 1.5 MHz Slew Rate TA = 25˚C, Unity Gain 0.3 0.7 0.5 0.5 V/µs Supply Current TA = 25˚C 1.7 2.8 1.7 2.8 mA Power Consumption TA = 25˚C VS = ± 20V 80 150 mW VS = ± 15V 50 85 50 85 mW LM741A VS = ± 20V TA = TAMIN 165 mW TA = TAMAX 135 mW LM741 VS = ± 15V TA = TAMIN 60 100 mW TA = TAMAX 45 75 mW Note 2: “Absolute Maximum Ratings” indicate limits beyond which damage to the device may occur. Operating Ratings indicate conditions for which the device is functional, but do not guarantee specific performance limits. 3 www.national.com
  • 51.
    PRACTICA 10 CIRCUITOS DE LOGICA. Elementos requeridos: 2 Two Bit Adders 7482. 5 Resistencias de 330 Ohmios ¿Qué son compuertas lógicas? Compuertas lógicas en electrónica son componentes compuestos utilizados para realizar una operación lógica y devolver una salida lógica. Salidas y entradas lógicas toman la forma de un cero (“high” de voltaje) o uno (“low” de voltaje) lógico. La idea básica es que se puede utilizar varias compuertas básicas para hacer una o varias ecuaciones lógicas que pueden evaluar dicha o dichas funciones en base a ciertas entradas. Esta lógica se usa en circuitos integrados para llevar a cabo decisiones de control. Las compuertas básicas son AND, OR, NOT, XOR, XNOR, NAND y NOR. Con estas compuertas se puede hacer una variedad de ecuaciones lógicas y aplicaciones lógicas. Tablas de la Verdad y Compuertas Un concepto muy importante en el momento de evaluar ecuaciones y compuertas lógicas son las tablas de la verdad o “truth tables”. Estas tablas representan todas las posibles entradas, cálculos formulados basándose en las entradas y resultados. La forma de hacer una tabla de la verdad es sencilla. Se escribe una letra por cada variable lógica o “bit” de entrada. Luego se evalúa cada compuerta basándose en las entradas. Al final se combinan las compuertas en cada ecuación y se llega a un resultado final.
  • 52.
    Aplicaciones de losCircuitos Lógicos: Hay una variedad de diferentes aplicaciones que se pueden hacer con las compuertas y ecuaciones lógicas. Un componente que se puede producir con compuertas lógicas es el sumador o “adder”. La idea básica de este componente es sumar dos números binarios y regresar en la salida el resultado binario. Por ejemplo, si los números entrados fueran 0101 (01 o 1 y 01 o 1), el resultado seria 10 (1 + 1 = 2). Existen dos tipos de sumadores: las completas y las medias (“Full” o “Half”). Las medias suman dos números binarios y regresan un resultado con un número llamado el “carry”. Este valor “carry” es un “bit” binario adicional en el caso de que se suma el valor máximo que puede retener el sumador. En binario, un número de un solo “bit” sumado a otro número de un solo “bit” puede producir un número de un “bit” o dos. Los sumadores completos son iguales, pero aceptan también un “carry” de entrada. La ventaja de esto es que se puede obtener un sumador de más dígitos conectando varios sumadores pequeños en cascada por sus valores de “carry”. PROCEDIMIENTO 1. Tablas de la Verdad y Ecuaciones Lógicas: Observa el siguiente circuito lógico y trata de construir la tabla de la verdad completa para el circuito. No se olvide que cada compuerta y combinación de compuertas debe ser una columna separada en la tabla:
  • 53.
    2. Full Adderde 4 bits: Monte un Full Adder de 4 bits utilizando los dos Full Adders de 2 bits. Recuerda que el primer “carry in” va a tierra. Conecte cada resistencia de 330 Ω a cada “sum” de los Adders y al último “carry out”, luego las resistencias van a tierra. Utilice un voltaje de 3V para simular un 1 lógico. Llene la siguiente tabla con sus resultados: Entradas (A11, A12, B11, B12, Salidas Calculadas (S11, Salidas Medidas (S11, S12, A21, A22, B21, B22) S12, S21, S22, C22) S21, S22, C22) Ej. 00 00 00 00 Ej. 00 00 0 Ej. 00 00 0 01 01 00 10 10 00 10 00 10 00 01 01 00 01 00 01 00 10 10 00 Configuración de Terminales del 7482: Responda las siguientes preguntas: - ¿Cuál es la diferencia entre un Half Adder y un Full Adder? - ¿Qué otras aplicaciones se pueden hacer con las compuertas lógicas? Diga sus conclusiones de esta práctica.