Universidad Politécnica de Guanajuato

Aplicación de simulación
Monte Carlo en un
sistema de Inventarios
Dinámico
Presenta: Saúl Nolasco Rodríguez
Objetivo del trabajo
“Demostrar cómo la técnica de simulación Monte Carlo en
computadora digital coadyuva a una toma de decisiones
adecuada en un sistema dinámico de inventarios”.
Metodología
Se propusieron valores para el punto de pedido y la cantidad
pedida con el propósito de observar la variación en el
comportamiento del sistema de inventario. En cada uno de las
simulaciones se realizaron corridas que comprenden diez años de
operación, es decir, 520 semanas simuladas, y se obtuvieron las
estadísticas correspondientes.
Resultados
En el momento de la entrevista, los dueños expresan que
su proveedor no les surte adecuadamente. Según su opinión,
la cantidad que se vende de juegos de amortiguadores para
este tipo de auto por semana.
Respecto al tiempo que transcurre entre la colocación
de un pedido y la entrega de la mercancía por parte del
proveedor, estiman que fluctúa entre dos y cinco semanas.
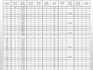
se puede observar una muestra de los resultados iníciales y
finales de la primera simulación en computadora, realizada con
datos recolectados según la apreciación subjetiva de los dueños,
del comportamiento del inventario semanal de juegos completos
de amortiguadores para autos Chevy durante diez años. Los
encabezados de las columnas por sí mismos muestran las
relaciones matemáticas y lógicas utilizadas en la simulación
Monte Carlo en hoja de cálculo Excel..
Información sustraída de registros
Información sustraída de registros
Con la información sustraída de los registros de la Refaccionaria
se procedió entonces a elaborar nuevos intervalos de números
aleatorios y realizar nuevas corridas de simulación de diez años
(520 semanas)
Con el fin de ver si se podía mejorar la situación se modificó la
cantidad pedida (Q) de juegos de amortiguadores
disminuyéndola a siete juegos, manteniendo sin variar el punto
de pedido (R =5) y el inventario inicial (II = 15). El resultado de
la simulación, también de 520 semanas.
Para continuar con ensayos se determinó reducir el punto de
pedido R a cuatro unidades, manteniendo la cantidad pedida Q en
siete juegos y el inventario a inicio de semana II en 15. También
de 520 semanas.
Metodo monte carlo

Metodo monte carlo

  • 1.
    Universidad Politécnica deGuanajuato Aplicación de simulación Monte Carlo en un sistema de Inventarios Dinámico Presenta: Saúl Nolasco Rodríguez
  • 2.
    Objetivo del trabajo “Demostrarcómo la técnica de simulación Monte Carlo en computadora digital coadyuva a una toma de decisiones adecuada en un sistema dinámico de inventarios”.
  • 3.
    Metodología Se propusieron valorespara el punto de pedido y la cantidad pedida con el propósito de observar la variación en el comportamiento del sistema de inventario. En cada uno de las simulaciones se realizaron corridas que comprenden diez años de operación, es decir, 520 semanas simuladas, y se obtuvieron las estadísticas correspondientes.
  • 4.
    Resultados En el momentode la entrevista, los dueños expresan que su proveedor no les surte adecuadamente. Según su opinión, la cantidad que se vende de juegos de amortiguadores para este tipo de auto por semana.
  • 5.
    Respecto al tiempoque transcurre entre la colocación de un pedido y la entrega de la mercancía por parte del proveedor, estiman que fluctúa entre dos y cinco semanas.
  • 8.
    se puede observaruna muestra de los resultados iníciales y finales de la primera simulación en computadora, realizada con datos recolectados según la apreciación subjetiva de los dueños, del comportamiento del inventario semanal de juegos completos de amortiguadores para autos Chevy durante diez años. Los encabezados de las columnas por sí mismos muestran las relaciones matemáticas y lógicas utilizadas en la simulación Monte Carlo en hoja de cálculo Excel..
  • 11.
  • 12.
  • 13.
    Con la informaciónsustraída de los registros de la Refaccionaria se procedió entonces a elaborar nuevos intervalos de números aleatorios y realizar nuevas corridas de simulación de diez años (520 semanas)
  • 14.
    Con el finde ver si se podía mejorar la situación se modificó la cantidad pedida (Q) de juegos de amortiguadores disminuyéndola a siete juegos, manteniendo sin variar el punto de pedido (R =5) y el inventario inicial (II = 15). El resultado de la simulación, también de 520 semanas.
  • 15.
    Para continuar conensayos se determinó reducir el punto de pedido R a cuatro unidades, manteniendo la cantidad pedida Q en siete juegos y el inventario a inicio de semana II en 15. También de 520 semanas.