1. EL SENTIDO
             (1.1)
             Las respuestas de Betty                                                                                   DE LA VIDA:
             Pág. 17: ejercicios 1 y 2
                                                                                                                       PANORAMA
             (1.2)                                                                                                   DE RESPUESTAS
             Esquema general de las respuestas:
                                                             Tarea fundamental de la CULTURA


                                                         DAR RESPUESTA AL SENTIDO DE LA VIDA



                         La vida SÍ tiene sentido                                                         La vida NO tiene sentido



              ¿Necesitamos a Dios para darle sentido?                                          Sinsentido blando               Sinsentido absoluto



            SÍ                                             NO




     RELIGIONES                   HUMANISMOS                    OCULTISMO                      VIDAS VACÍAS                         SUICIDIO

* Respuestas a partir         * Respuestas a la luz         * Respuestas a partir         * Falta de ideales                 * Supresión total de la vida
  de la existencia de           de la sola razón              de la existencia de         * Fatalismos
  un ser superior               humana                        una fuerza o energía        * Suicidios blandos
  al que llaman Dios                                          universal                     (toxicomanías, anorexia, riesgos...)

Betty viñeta 1 (cat trad.)    Betty viñeta 2 (atea)         Betty viñeta 6 (energ univ)
Betty viñeta 4 (xtna soc)     Betty viñeta 5 (psicoan)      Betty viñeta 7 (cc. ocult)
2. LOS HUMANISMOS



                                                                                       Revolución Francesa
            (1ªA)
                                                                                                     1789
                                                                                               movimientos
                                  LOS HUMANISMOS                                                        de
                                                                                              emancipación
                                                                                                   secular



                           Marx
marxismos                                                               Nietzsche        fascismos
                                                                      [super-hombre]
                                                        Freud
                 Camus          Mounier             [psicoanálisis]
             [existencialismo     [personalismo                                                    Caída
             comprometido]          comunitario]                                                 del Muro

                                                                                                     1989
                                                        (1ªB)                                    “Fin de la
                                                                                                  Historia”
                   MOVIMIENTOS                               MATERIALISMOS                           según
                                                                                                 Fukuyam
                 DE MANCIPACIÓN                              POSTMODERNOS                                 a


                  alter-globalización              ><    globalización neoliberal
                                                                (triunfante)




esquemas
2.1. Ludwig Feuerbach
                                                                                                        (Alemania, 1804-1872)

* Dios: creación de poder                                                                                                    La esencia del
  irresistible de la imagina-                                                                                           cristianismo (1841)
  ción del hombre.
* Dios: doble imaginario y
  perfecto del hombre                                                                          “DIOS”
                                                                                           (espejismo)
                                             IMAGINACIÓN



                  HOMBRE                        ILUSIÓN                                                          INTERPELACIÓN
                                                                                                                 A LA RELIGIÓN:

                                                                                                                 “Fabricarme” un
                                               FANTASÍA                                                          Dios a la medida
* Dios: todos sus atributos                                                                                      de mis propios
                                                                                                                 deseos e intereses
       - infinitud                                                     * Dios: el espejo donde el
       - bondad                                                          hombre se refleja a sí
       - pefección...                                                    mismo,
pertenecen al hombre                                                             - sus atributos
                                                                                 - sus necesidades
(el hombre se ha engañado)                                                       - sus deseos


                    La religión es                                       El hombre religioso
 una proyección de la conciencia humana “fuera de sí”                     está ALIENADO


 El hombre ha de liberarse mediante la “Religión de la Humanidad” y la filantropía: homo hominis Deus
2.2. Karl Marx
                                                                                                                                (Alemania, 1818-1883)

realidad histórica          filosofía materialista         interpretar / transformar el mundo                                                    El Capital (1867)




        HOMBRE
          modifica
                             a) Fuerzas produtivas                               c) Lo “jurídico”
      NATURALEZA                  - medios de producción                               (el Estado)
                                  - fuerza del trabajo                                 instrumento de las clases dominan -
             mediante el                                                               tes para perpetuar su dominio
             TRABAJO         b) Relaciones de producción
                                                                        +
                                                                                 d) Lo “ideológico”                                      INTERPELACIÓN
                                   - propiedad privada                                                                                   A LA RELIGIÓN:
                                                                                       (cultura, arte, religión, política...)
                                   - división del trabajo                              las ideas sociales dominantes son
                                   - propietarios / asalariados                                                                          Resignarme a
                                                                                       las ideas de la clase dominante
                                                                                                                                         cómo está
                                                                                                                                         este mundo,
            en el                                                                                                                        en espera
     capitalismo                  ESTRUCTURA (económica)                            SUPERESTRUCTURA                                      de un
                                                                                                                                         mundo futuro
                                                         (determinismo económico)
                                                                                                                                         mejor.
                                                            SOCIEDAD (de clases)
     ALIENACIÓN
    del proletariado                                                 * materialismo histórico: lucha de clases
                                                                     * evolución histórica = revolución social
 - Vende su fuerza de
 trabajo en beneficio
                                                                     * materialismo dialéctico (tesis-antítesis-síntesis):
 de otro (el capitalista)
                                                                             Capitalismo                Proletariado
 - Su trabajo no le per -                                                                                    revolución
 tenece                             la RELIGIÓN                                    Comunismo
                              * como “opio del pueblo”
 - Sus ideas no son las              * al servicio                              fin de la historia:
 suyas, sino las de la         de la clase dominante                            “sociedad sin clases”
 clase dominante.
2.3. Sigmund Freud
                                                                                                                                              (Austria, 1856-1939)
“DIOS”
   creado por necesidad de
                                                                                                      2                                                              Introducción
                                                             Principio de REALIDAD
   “protección poderosa”                                                                                                                                   al psicoanálisis (1917)
                                                            conveniente - inconveniente
   ante los peligros de la vida                                                                 *   Consciencia
                                                                                                *   Adaptaciones a la realidad
                                                                                                    y a la convivencia social
                                                                                                *   Se forma durante la infancia
                                             3

     * Interiorización cultural y moral
     * Censuras sobre las conductas                                    YO
     * Se forma desde la infancia
                                                                                                      1
     (complejo de Edipo (1) e
     interiorización del padre autoritario)                                                           *   Inconsciente                                 INTERPELACIONES
                                                                                                      *   Instintos sexuales (eros)                    A LA RELIGIÓN:
                                                            SUPE                                          y agresivos (tánatos)
muerte - (culpa) -                                                           ELLO                     *   Es innato al ser humano
                                                             R
- sacralización del padre                                                                                                                              Infantilismo:
                                                             EGO                                                                                       Refugiarme en la idea
                                                                                                                                                       de un “Dios protector”
                                                                                                                                                       que me resuelva las
                                  Principio de MORALIDAD
                                            bueno - malo            ><               Principio de PLACER
                                                                                   satisfacción - insatisfacción
                                                                                                                                                       dificultades de la vida


                                                                                                                                                       Neurosis religiosa:
                                                                                                                                                       Necesidad de castigos
                                                                                                                                                       y de un “Dios autorita-
                                                           EQUILIBRIO PSÍQUICO:                                                                        rio” y represor de los
                     Si prevalece                                                                          Si prevalece                                deseos humanos
                     demasiado:
                                                           control de las pulsiones...
                                                                                                           demasiado:
                                                     ... reprimidas en la vida conciente:
                        NEUROSIS                           - complejos de Edipto y de Electra
                        OBSESIVA                                                                             PSICOPATÍA
                                                           - pan-sexualismo
                                                           - violencia desatada

                                                     ... y liberadas en el   sueño                                 estudio de los traumas psíquicos
                                                                                                                           PSICOANÁLISIS
(1) Historia de Edipo, Layo, Yocasta y la
Esfinge
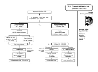
2.4. Friedrich Nietzsche
                                                                                                                                     (Alemania, 1844-1900)

                                                          Experiencia de la vida
                                                                                                                                                                Más allá
                                                                                                                                                del bien y del mal (1886)


                                                  EL HOMBRE FRENTE A UNA
                                               EXISTENCIA DOLOROSA



               ACEPTACIÓN                                          vs.                           RESENTIMIENTO
                      Sí a la vida                                                                      Odio a lo real

                                                                                                                                              INTERPELACIÓN
                  reconoce                                                                            imagina                                 A LA RELIGIÓN:
            Mundo real y verdadero                                                                 Mundo suprarreal
                                                                                              (metafísica, religión y moral)                  Crear seres
                                                                                                                                              apocados
                                                                                                                                              y temerosos,
 Muerte de Dios                      Eterno retorno                                                                                           carentes de
(el hombre sin Dios                                                                                                                           vitalidad
     y sin moral)                    (no hay finalidad)


                SUPERHOMBRE                                                                      MORAL DE DÉBILES

                                                                                 Sócrates                                       Jesús
                                            “dios” del              “dios” del
                  DIONISOS                  vino y de los          Sol y de la
                                                                                        APOLO                       EL CRUCIFICADO
                                            placeres                   poesía
                La vida instintiva                                                   La vida racional                   La humildad
              La voluntad de poder                                                       El orden                    El arrepentimiento
                    El placer                                                          Los ideales                       La pobreza


        “moral intraterrena” y nihilismo                                           “moral metafísica”              “moral de esclavos”
2.5. Albert Camus
                                                                                                                 (Argelia francesa, 1913-1960)
                                             Experiencia de la vida (II GM)
                                               y absurdo de la existencia
                                                                                                                               El hombre rebelde (1951)

   (“¿existe alternativa              ¿QUÉ SENTIDO TIENE UN MUNDO MARCADO
       al suicidio?”)                         POR EL SUFRIMIENTO?

  el hombre absurdo,
consciente de la completa
   inutilidad de su vida                               La respuesta religiosa es inútil     “¿Por qué un Dios bueno
                                                                                              permite tal injusticia?”
                                                          ( negación existencialista
    el mito de Sísifo                                        de la trascendencia )
                                                                                            pero:                             INTERPELACIÓN
                                                                                                                              A LA RELIGIÓN:
       pero:                                                                                "La presencia de un Dios
       el hombre tiene capacidad de elegir                                                  capaz de dar sentido a la         No saber
                                                                                            vida es muchas veces              responder,
                                                                                            preferible a la posibilidad       con sentido,
                                                                                            de poder comportarse              al problema del
                                                              EXISTENCIALISM
                                                                                            mal impunemente”                  sufrimiento
               ÚNICA POSIBILIDAD:                              O HUMANISTA
                                                                                                                              en el mundo
            intentar evitar el sufrimiento                           y
           comprometiéndonos con los                           COMPROMETID
         humillados y denunciando al poder                          O
                       injusto


         el hombre rebelde (la Resistencia)



                        la Peste                                                            “Para este compromiso,
               (la decisión del Dr. Rieux)                                                   Dios no es necesario”
                                                Rieux (a la pregunta de si cree en Dios):
                                                “No, pero eso ¿qué importa?
                                                Yo vivo en la noche y hago por ver claro”
2.6. Emmanuel Mounier
                                                                                                                       (Francia, 1905-1950)

                                                                                                                                  Manifiesto al servicio del
                                                                                                                                     Personalismo (1936)

                 PERSONA...                            PERSONALISMO COMUNITARIO

                                                     Necesidad de transformación social y
· ENCARNACIÓN         (dimensión descendente)        liberación del ser humano,
                      compromiso con el mundo        ...pero la nueva sociedad ha de estar
                                                     al servicio de la persona.                          Marxismo
                      (dimensión horizontal)         Importancia de los valores de libertad,
· COMUNIÓN            desprendimiento de sí mismo
                                                     acción e individualidad,
                      y donación a los otros                                                                                    INTERPELACIÓN
                                                     ...pero también importan la esperanza
                                                                                                                                A LA RELIGIÓN:
                                                     y la trascendencia.                             Existencialismo
· VOCACIÓN            (dimensión transcendente)
                      apertura más allá de lo dado                                                                              Utilizar,
                                                                         ...EN COMUNIDAD                                        en nombre
                                                                                                                                de Dios,
                                                                                                                                a la persona
                                                         “Personalismo”           no es      “Individualismo”                   como
                                                                                                                                instrumento
                                                          integración                               dispersió
Sólo el hombre como persona puede trascender en
su existencia, descubriendo el sentido de su vida.
                                                          comunicació
                                                          n
                                                                                   vs.            separación
                                                                                                            n
                                                                                                                                Vivir la fe
                                                          compromiso
                                                          donación                                   evasión
                                                                                                    egoísmo                     sin compromiso
La persona es libertad y es original en el mundo.                                                                               alguno

La persona es un ser espiritual e independiente.
                                                           COMUNIDAD                             MASA
Nada ni nadie puede utilizar a la persona              (sociedad con rostro)              (sociedad sin rostro)
como instrumento. La persona es un absoluto.
                                                            acentúa a la persona:      la economía capitalista
Sólo quien vive la verdadera comunicación               responsabilidad, iniciativa,   sustituye a la persona
                                                             creatividad y libertad    por la ganancia
con los demás, puede creer de verdad en
Dios.                                                  (“civilización personalista”)   (“desorden establecido”)
20. La concentración mediática (muchos medios en poder
                                                                      de pocos dueños)
VIÑETAS:
                                                                      21. La tendencia (eso sí, diversificada) a la


1. Francis Fukuyama (1989): la tesis del "final de la histora" y
                                                                      telebasura
                                                                      22. "Las palabras tienen dueño": los vocablos                  3: LA VIDA SIN
                                                                      usurpados
la "muerte de las ideologías"                                         23. Velocidad, ruido, iconicidad, fragmentación e
                                                                      hipersatura- ción en los canales informativos
                                                                                                                                     SENTIDO EN LA
2. Pensamiento único, pensamiento de centro (la muerte de las
ide- ologías y de la diferenciación izquierda-derecha). Tras el
descrédito de la "izquierda", el acercamiento entre "derecha" y
                                                                      24. Información y comunicación                                 POSMODERNIDAD
"segunda" vía.                                                        25. TV: la Galaxia McLuhan ("el medio es el mensaje"):
3. Pensamiento único, pensamiento                                     1.300 millones de televisores. En Francia, 3 horas diarias
débil                                                                 de tele. Buscamos información en un soporte estructurado
4. Pensamiento único                                                  para distra- er ("la información precisa esfuerzo").           PROYECCIÓN DE
5. Homogeneización y colonización cultural. Erosión de la
diversidad cultural.
                                                                            Bomba, dinero y éter                Enrique Falcón
                                                                                                                                   VIÑETAS DE EL ROTO
6. "Consume o muere"

7. Estilo de vida, maneras de "vivir"                                                   La vida
8. Invisibilización de la realidad: los
"desaparecidos"
                                                                                    sin sentido
9. Invisibilización de la realidad: los "desaparecidos" (8 millones
de personas malviven en España por debajo del umbral de la                                en la
pobreza)                                                                                                                           Archivo en PDF (600 ks)
10. El "orden del día": ¿de qué hablamos?, ¿sobre qué nos
hacen hablar?
                                                                                Postmodernidad                                     a proyectar
11. La "fábrica del consenso" (Noam Chomski): la determinación
del "orden del día"                                                                                                                (necesarios: ordenador y cañón)
12. Información / Desinformación

13. Pacificación social: narcotización y codeinización
                                                                                                                                   25 viñetas de El Roto
14. "Es el tiempo del miedo" (Galeano): los media como aparatos                                                                    (“Éter”)
de intimidación (y aislamiento)

15. Un tiempo para cerrar los ojos

16. Y un tiempo para el miedo
                                                                                                                                   Los alumnos/as
                                                                                                                                   habrán de ir copiando
17. "Es el tiempo del miedo" (Galeano): la                                                                            55
incertidumbre. "Generación X", de Douglas Coupland
                                                                                                                                   las frases superiores
                                                                                                                elroto@inicia.es   como rasgos de los valores
18. "Es el tiempo del miedo" (Galeano): terror, seguridad y
libertades civiles (la biovigilancia)
                                                                                                                                   de la “Globalización neoliberal
                                                                                                   pág 1
                                                                                                                                   postmoderna”
19. Los media, ¿el cuarto poder? (¿y al servicio de qué?)
Bomba, dinero y éter             Enrique Falcón




            La vida
        sin sentido
              en la
    Postmodernidad




                                       55

                                 elroto@inicia.es




                       pág 148
Bomba, dinero y éter                                     Enrique Falcón




El control imperial opera mediante tres
medios globales y absolutos: la bomba,
el dinero y el ÉTER.

          —Toni Negri y Michael Hardt:
            Empire (Cambridge, 2000)




                « […] Cultura, entretenimiento y sumisión.-

                     Una de las consecuencias más importantes del
                proceso de mercantilización de la cultura es la fusión
                de cultura y entretenimiento. Los consumidores de la
                industria cultural buscan escapar al aburrimiento,
                pero ni quieren ni son capaces de invertir el esfuer -
                zo y la seriedad que serían necesarios para realizar
                nuevas experiencias que les interesasen más que
                de manera sólo fugaz. Todo cuanto se resiste contra
                lo fácil, superficial y conformista tiende a ser neutra -
                lizado. Como señalan Horkheimer y Adorno, "diver -
                tirse significa estar de acuerdo [...,] que no hay que
                pensar, que hay que olvidar el dolor, incluso allí
                donde se muestra. En su base está la impotencia".
                Esta crítica no se dirige contra el esparcimiento, sino
                contra su sabotaje en la animación impuesta, en la
                que más que diversión lo que tiene lugar es una
                reproducción y confirmación de las formas de vida
                dominantes. La industria de la cultura ofrece la
                misma cotidianidad como paraíso; por eso fomenta
                la resignación que en ella se quiere olvidar. […] »

                                    [C. de E. Cristianisme i Justícia:
                                     Algunas reflexiones 1999-2000;
                            cuadernos Cristianisme i Justícia nº 105]




                                pág 149
Bomba, dinero y éter                                      Enrique Falcón




                       Francis Fukuyama (1989):

    la tesis del "final de la histora" y la "muerte de las ideologías"




                                                                  56

elroto@inicia.es




                                     Reactivar
                                 nuestra esperanza

                               (con brazalete de luto,
                                       eso sí)

                              ...Cuidado con el juego
                           que le hacemos al fatalismo...




                                 pág 150
Bomba, dinero y éter                                    Enrique Falcón




             Pensamiento único, pensamiento de centro
                     (la muerte de las ideologías
              y de la diferenciación izquierda-derecha).

                 Tras el descrédito de la "izquierda",
          el acercamiento entre "derecha" y "segunda" vía.




                                                               57

elroto@inicia.es




                                   Reconstruir
                         las utopías de la emancipación

                                Desenmascarar
                            supuestos “apoliticismos”




                               pág 151
Bomba, dinero y éter                                       Enrique Falcón




                   Pensamiento único, pensamiento débil




                                                                58




elroto@inicia.es




                               Restaurar las diferencias

                               Restaurar la complejidad
                                    de las cosas


                               ...Formarnos, aprender...




                                  pág 152
Bomba, dinero y éter                                          Enrique Falcón




                            Pensamiento único




                                                                     59

elroto@inicia.es



                                       ...Ejercer
                              nuestro derecho al delirio...

                       “¿Qué tal si empezamos a ejercer el jamás
                            proclamado derecho de soñar?
                          ¿Qué tal si deliramos, por un ratito?
                                Vamos a clavar los ojos
                                 más allá de la infamia,
                           para adivinar otro mundo posible”
                                   (Eduardo Galeano)




                                 pág 153
Bomba, dinero y éter                                    Enrique Falcón




               Homogeneización y colonización cultural.

                   Erosión de la diversidad cultural.




                                                               60

elroto@inicia.es




                                     Promover

                           el encuentro con lo diferente


                                      Valorar

                         las aportaciones de cada cultura




                                pág 154
Bomba, dinero y éter                                    Enrique Falcón




                   “Consume o muere”




                                                    61

elroto@inicia.es

                       Estilo de vida, maneras de “vivir”




                                                               62

                                                       elroto@inicia.es


                               pág 155
Bomba, dinero y éter                                      Enrique Falcón




                       Invisibilización de la realidad:

                            los "desaparecidos"




   63

elroto@inicia.es




                                  Pisar los escenarios
                                      de lo invisible
                                y las cunetas del mundo


                                       La práctica
                              (esperanzada y responsable)
                                 del voluntariado social




                                   pág 156
Bomba, dinero y éter                                      Enrique Falcón




                       Invisibilización de la realidad:

                            los "desaparecidos"

            (8 millones de personas malviven en España
                por debajo del umbral de la pobreza)




   64

elroto@inicia.es




                                      Descentrarse

                                       Salir afuera
                                    y “ponerse a tiro”


                                         (vivir
                                        "contra
                                los puentes levadizos")




                                  pág 157
Bomba, dinero y éter                                  Enrique Falcón




                            El "orden del día":

                           ¿de qué hablamos?
                       ¿sobre qué nos hacen hablar?




                                                             65

elroto@inicia.es



                                       Romper
                                    los consensos

                                       Discrepar


                                  Por una educación
                                         crítica
                                     y liberadora




                                 pág 158
Bomba, dinero y éter                                  Enrique Falcón



       La "fábrica del consenso" (Noam Chomski):
           la determinación del "orden del día"




                                                   66

elroto@inicia.es

                       Información / Desinformación




                                                             67

                                                    elroto@inicia.es


                            pág 159
Bomba, dinero y éter                                     Enrique Falcón




                            Pacificación social:
                       narcotización y codeinización




   68

elroto@inicia.es




                                     Organizarse



                           “Que nada de lo que nos afecte
                          se haga sin nuestra participación”

                                (Foro Social Mundial)




                                  pág 160
Bomba, dinero y éter                                     Enrique Falcón




                   "Es el tiempo del miedo" (Galeano):

      los media como aparatos de intimidación (y aislamiento)




                                                                69

elroto@inicia.es




                                  ¿Cómo se vence,
                                   personalmente,
                                     al miedo?


                                Fortalezas personales,
                               debilidades compartidas
                                    y apoyo mutuo




                                 pág 161
Bomba, dinero y éter                                        Enrique Falcón



             ...un tiempo para cerrar los ojos...




                                                      70

elroto@inicia.es


                          ...y un tiempo para el miedo...




               71

                                                        elroto@inicia.es


                                 pág 162
Bomba, dinero y éter                                      Enrique Falcón




                    "Es el tiempo del miedo" (Galeano):

                             la incertidumbre

                   "Generación X", de Douglas Coupland




   72

elroto@inicia.es




                                 Frente a la incógnita
                                   del futuro (X)…

                                  …los movimientos
                               "por otro mundo posible"




                                  pág 163
Bomba, dinero y éter                                        Enrique Falcón




                   "Es el tiempo del miedo" (Galeano):

                   terror, seguridad y libertades civiles
                             (la biovigilancia)




   73

elroto@inicia.es




                                        Denunciar
                                 la falsa alternativa de:

                                    "más seguridad"

                                      a cambio de
                                    “menos libertad”




                                  pág 164
Bomba, dinero y éter                                     Enrique Falcón




                       Los media, ¿el cuarto poder?

                         (¿y al servicio de qué?)




   74

elroto@inicia.es




                                      ¿Existe
                                 una TV alternativa?

                                Por una alfabetización
                                     audiovisual


                              La pluralidad de las redes
                               (“No odies los medios:
                             conviértete en uno de ellos”)



                                 pág 165
Bomba, dinero y éter                                    Enrique Falcón



               La concentración mediática
        (muchos medios en poder de pocos dueños)




   75

elroto@inicia.es

                       La tendencia (eso sí, diversificada)
                                a la telebasura




                                                                76

                                                        elroto@inicia.es


                                pág 166
Bomba, dinero y éter                                  Enrique Falcón




                       "Las palabras tienen dueño":

                         los vocablos usurpados




   77

elroto@inicia.es




                                       Resistir
                                   con el lenguaje

                                 ¿Cómo hablamos?




                                 pág 167
Bomba, dinero y éter                                   Enrique Falcón




                      Velocidad, ruido, iconicidad,
                   fragmentación e hipersaturación

                       en los canales informativos




                                                              78

elroto@inicia.es




                                 Por una resistencia
                                   "de la lentitud"




                                 pág 168
Bomba, dinero y éter                                   Enrique Falcón




                       Información y comunicación




                                                              79

elroto@inicia.es




                                  Encontrarnos,

                                   "en-cararnos"

                                     (ampliar
                               las "zonas liberadas"
                                 para el encuentro
                                     con otros)




                                pág 169
Bomba, dinero y éter                                Enrique Falcón




         TV: la Galaxia McLuhan ("el medio es el mensaje")
                   1.300 millones de televisores.
                 En Francia, 3 horas diarias de tele.

  Buscamos información en un soporte estructurado para distraer
               ("la información precisa esfuerzo").




   80

elroto@inicia.es




                                 Esforzarnos
                                por enterarnos


                                        Leer




                              pág 170

Sentido humanismos-posmodernIdad

  • 1.
    1. EL SENTIDO (1.1) Las respuestas de Betty DE LA VIDA: Pág. 17: ejercicios 1 y 2 PANORAMA (1.2) DE RESPUESTAS Esquema general de las respuestas: Tarea fundamental de la CULTURA DAR RESPUESTA AL SENTIDO DE LA VIDA La vida SÍ tiene sentido La vida NO tiene sentido ¿Necesitamos a Dios para darle sentido? Sinsentido blando Sinsentido absoluto SÍ NO RELIGIONES HUMANISMOS OCULTISMO VIDAS VACÍAS SUICIDIO * Respuestas a partir * Respuestas a la luz * Respuestas a partir * Falta de ideales * Supresión total de la vida de la existencia de de la sola razón de la existencia de * Fatalismos un ser superior humana una fuerza o energía * Suicidios blandos al que llaman Dios universal (toxicomanías, anorexia, riesgos...) Betty viñeta 1 (cat trad.) Betty viñeta 2 (atea) Betty viñeta 6 (energ univ) Betty viñeta 4 (xtna soc) Betty viñeta 5 (psicoan) Betty viñeta 7 (cc. ocult)
  • 2.
    2. LOS HUMANISMOS Revolución Francesa (1ªA) 1789 movimientos LOS HUMANISMOS de emancipación secular Marx marxismos Nietzsche fascismos [super-hombre] Freud Camus Mounier [psicoanálisis] [existencialismo [personalismo Caída comprometido] comunitario] del Muro 1989 (1ªB) “Fin de la Historia” MOVIMIENTOS MATERIALISMOS según Fukuyam DE MANCIPACIÓN POSTMODERNOS a alter-globalización >< globalización neoliberal (triunfante) esquemas
  • 3.
    2.1. Ludwig Feuerbach (Alemania, 1804-1872) * Dios: creación de poder La esencia del irresistible de la imagina- cristianismo (1841) ción del hombre. * Dios: doble imaginario y perfecto del hombre “DIOS” (espejismo) IMAGINACIÓN HOMBRE ILUSIÓN INTERPELACIÓN A LA RELIGIÓN: “Fabricarme” un FANTASÍA Dios a la medida * Dios: todos sus atributos de mis propios deseos e intereses - infinitud * Dios: el espejo donde el - bondad hombre se refleja a sí - pefección... mismo, pertenecen al hombre - sus atributos - sus necesidades (el hombre se ha engañado) - sus deseos La religión es El hombre religioso una proyección de la conciencia humana “fuera de sí” está ALIENADO El hombre ha de liberarse mediante la “Religión de la Humanidad” y la filantropía: homo hominis Deus
  • 4.
    2.2. Karl Marx (Alemania, 1818-1883) realidad histórica filosofía materialista interpretar / transformar el mundo El Capital (1867) HOMBRE modifica a) Fuerzas produtivas c) Lo “jurídico” NATURALEZA - medios de producción (el Estado) - fuerza del trabajo instrumento de las clases dominan - mediante el tes para perpetuar su dominio TRABAJO b) Relaciones de producción + d) Lo “ideológico” INTERPELACIÓN - propiedad privada A LA RELIGIÓN: (cultura, arte, religión, política...) - división del trabajo las ideas sociales dominantes son - propietarios / asalariados Resignarme a las ideas de la clase dominante cómo está este mundo, en el en espera capitalismo ESTRUCTURA (económica) SUPERESTRUCTURA de un mundo futuro (determinismo económico) mejor. SOCIEDAD (de clases) ALIENACIÓN del proletariado * materialismo histórico: lucha de clases * evolución histórica = revolución social - Vende su fuerza de trabajo en beneficio * materialismo dialéctico (tesis-antítesis-síntesis): de otro (el capitalista) Capitalismo Proletariado - Su trabajo no le per - revolución tenece la RELIGIÓN Comunismo * como “opio del pueblo” - Sus ideas no son las * al servicio fin de la historia: suyas, sino las de la de la clase dominante “sociedad sin clases” clase dominante.
  • 5.
    2.3. Sigmund Freud (Austria, 1856-1939) “DIOS” creado por necesidad de 2 Introducción Principio de REALIDAD “protección poderosa” al psicoanálisis (1917) conveniente - inconveniente ante los peligros de la vida * Consciencia * Adaptaciones a la realidad y a la convivencia social * Se forma durante la infancia 3 * Interiorización cultural y moral * Censuras sobre las conductas YO * Se forma desde la infancia 1 (complejo de Edipo (1) e interiorización del padre autoritario) * Inconsciente INTERPELACIONES * Instintos sexuales (eros) A LA RELIGIÓN: SUPE y agresivos (tánatos) muerte - (culpa) - ELLO * Es innato al ser humano R - sacralización del padre Infantilismo: EGO Refugiarme en la idea de un “Dios protector” que me resuelva las Principio de MORALIDAD bueno - malo >< Principio de PLACER satisfacción - insatisfacción dificultades de la vida Neurosis religiosa: Necesidad de castigos y de un “Dios autorita- EQUILIBRIO PSÍQUICO: rio” y represor de los Si prevalece Si prevalece deseos humanos demasiado: control de las pulsiones... demasiado: ... reprimidas en la vida conciente: NEUROSIS - complejos de Edipto y de Electra OBSESIVA PSICOPATÍA - pan-sexualismo - violencia desatada ... y liberadas en el sueño estudio de los traumas psíquicos PSICOANÁLISIS (1) Historia de Edipo, Layo, Yocasta y la Esfinge
  • 6.
    2.4. Friedrich Nietzsche (Alemania, 1844-1900) Experiencia de la vida Más allá del bien y del mal (1886) EL HOMBRE FRENTE A UNA EXISTENCIA DOLOROSA ACEPTACIÓN vs. RESENTIMIENTO Sí a la vida Odio a lo real INTERPELACIÓN reconoce imagina A LA RELIGIÓN: Mundo real y verdadero Mundo suprarreal (metafísica, religión y moral) Crear seres apocados y temerosos, Muerte de Dios Eterno retorno carentes de (el hombre sin Dios vitalidad y sin moral) (no hay finalidad) SUPERHOMBRE MORAL DE DÉBILES Sócrates Jesús “dios” del “dios” del DIONISOS vino y de los Sol y de la APOLO EL CRUCIFICADO placeres poesía La vida instintiva La vida racional La humildad La voluntad de poder El orden El arrepentimiento El placer Los ideales La pobreza “moral intraterrena” y nihilismo “moral metafísica” “moral de esclavos”
  • 7.
    2.5. Albert Camus (Argelia francesa, 1913-1960) Experiencia de la vida (II GM) y absurdo de la existencia El hombre rebelde (1951) (“¿existe alternativa ¿QUÉ SENTIDO TIENE UN MUNDO MARCADO al suicidio?”) POR EL SUFRIMIENTO? el hombre absurdo, consciente de la completa inutilidad de su vida La respuesta religiosa es inútil “¿Por qué un Dios bueno permite tal injusticia?” ( negación existencialista el mito de Sísifo de la trascendencia ) pero: INTERPELACIÓN A LA RELIGIÓN: pero: "La presencia de un Dios el hombre tiene capacidad de elegir capaz de dar sentido a la No saber vida es muchas veces responder, preferible a la posibilidad con sentido, de poder comportarse al problema del EXISTENCIALISM mal impunemente” sufrimiento ÚNICA POSIBILIDAD: O HUMANISTA en el mundo intentar evitar el sufrimiento y comprometiéndonos con los COMPROMETID humillados y denunciando al poder O injusto el hombre rebelde (la Resistencia) la Peste “Para este compromiso, (la decisión del Dr. Rieux) Dios no es necesario” Rieux (a la pregunta de si cree en Dios): “No, pero eso ¿qué importa? Yo vivo en la noche y hago por ver claro”
  • 8.
    2.6. Emmanuel Mounier (Francia, 1905-1950) Manifiesto al servicio del Personalismo (1936) PERSONA... PERSONALISMO COMUNITARIO Necesidad de transformación social y · ENCARNACIÓN (dimensión descendente) liberación del ser humano, compromiso con el mundo ...pero la nueva sociedad ha de estar al servicio de la persona. Marxismo (dimensión horizontal) Importancia de los valores de libertad, · COMUNIÓN desprendimiento de sí mismo acción e individualidad, y donación a los otros INTERPELACIÓN ...pero también importan la esperanza A LA RELIGIÓN: y la trascendencia. Existencialismo · VOCACIÓN (dimensión transcendente) apertura más allá de lo dado Utilizar, ...EN COMUNIDAD en nombre de Dios, a la persona “Personalismo” no es “Individualismo” como instrumento integración dispersió Sólo el hombre como persona puede trascender en su existencia, descubriendo el sentido de su vida. comunicació n vs. separación n Vivir la fe compromiso donación evasión egoísmo sin compromiso La persona es libertad y es original en el mundo. alguno La persona es un ser espiritual e independiente. COMUNIDAD MASA Nada ni nadie puede utilizar a la persona (sociedad con rostro) (sociedad sin rostro) como instrumento. La persona es un absoluto. acentúa a la persona: la economía capitalista Sólo quien vive la verdadera comunicación responsabilidad, iniciativa, sustituye a la persona creatividad y libertad por la ganancia con los demás, puede creer de verdad en Dios. (“civilización personalista”) (“desorden establecido”)
  • 9.
    20. La concentraciónmediática (muchos medios en poder de pocos dueños) VIÑETAS: 21. La tendencia (eso sí, diversificada) a la 1. Francis Fukuyama (1989): la tesis del "final de la histora" y telebasura 22. "Las palabras tienen dueño": los vocablos 3: LA VIDA SIN usurpados la "muerte de las ideologías" 23. Velocidad, ruido, iconicidad, fragmentación e hipersatura- ción en los canales informativos SENTIDO EN LA 2. Pensamiento único, pensamiento de centro (la muerte de las ide- ologías y de la diferenciación izquierda-derecha). Tras el descrédito de la "izquierda", el acercamiento entre "derecha" y 24. Información y comunicación POSMODERNIDAD "segunda" vía. 25. TV: la Galaxia McLuhan ("el medio es el mensaje"): 3. Pensamiento único, pensamiento 1.300 millones de televisores. En Francia, 3 horas diarias débil de tele. Buscamos información en un soporte estructurado 4. Pensamiento único para distra- er ("la información precisa esfuerzo"). PROYECCIÓN DE 5. Homogeneización y colonización cultural. Erosión de la diversidad cultural. Bomba, dinero y éter Enrique Falcón VIÑETAS DE EL ROTO 6. "Consume o muere" 7. Estilo de vida, maneras de "vivir" La vida 8. Invisibilización de la realidad: los "desaparecidos" sin sentido 9. Invisibilización de la realidad: los "desaparecidos" (8 millones de personas malviven en España por debajo del umbral de la en la pobreza) Archivo en PDF (600 ks) 10. El "orden del día": ¿de qué hablamos?, ¿sobre qué nos hacen hablar? Postmodernidad a proyectar 11. La "fábrica del consenso" (Noam Chomski): la determinación del "orden del día" (necesarios: ordenador y cañón) 12. Información / Desinformación 13. Pacificación social: narcotización y codeinización 25 viñetas de El Roto 14. "Es el tiempo del miedo" (Galeano): los media como aparatos (“Éter”) de intimidación (y aislamiento) 15. Un tiempo para cerrar los ojos 16. Y un tiempo para el miedo Los alumnos/as habrán de ir copiando 17. "Es el tiempo del miedo" (Galeano): la 55 incertidumbre. "Generación X", de Douglas Coupland las frases superiores elroto@inicia.es como rasgos de los valores 18. "Es el tiempo del miedo" (Galeano): terror, seguridad y libertades civiles (la biovigilancia) de la “Globalización neoliberal pág 1 postmoderna” 19. Los media, ¿el cuarto poder? (¿y al servicio de qué?)
  • 10.
    Bomba, dinero yéter Enrique Falcón La vida sin sentido en la Postmodernidad 55 elroto@inicia.es pág 148
  • 11.
    Bomba, dinero yéter Enrique Falcón El control imperial opera mediante tres medios globales y absolutos: la bomba, el dinero y el ÉTER. —Toni Negri y Michael Hardt: Empire (Cambridge, 2000) « […] Cultura, entretenimiento y sumisión.- Una de las consecuencias más importantes del proceso de mercantilización de la cultura es la fusión de cultura y entretenimiento. Los consumidores de la industria cultural buscan escapar al aburrimiento, pero ni quieren ni son capaces de invertir el esfuer - zo y la seriedad que serían necesarios para realizar nuevas experiencias que les interesasen más que de manera sólo fugaz. Todo cuanto se resiste contra lo fácil, superficial y conformista tiende a ser neutra - lizado. Como señalan Horkheimer y Adorno, "diver - tirse significa estar de acuerdo [...,] que no hay que pensar, que hay que olvidar el dolor, incluso allí donde se muestra. En su base está la impotencia". Esta crítica no se dirige contra el esparcimiento, sino contra su sabotaje en la animación impuesta, en la que más que diversión lo que tiene lugar es una reproducción y confirmación de las formas de vida dominantes. La industria de la cultura ofrece la misma cotidianidad como paraíso; por eso fomenta la resignación que en ella se quiere olvidar. […] » [C. de E. Cristianisme i Justícia: Algunas reflexiones 1999-2000; cuadernos Cristianisme i Justícia nº 105] pág 149
  • 12.
    Bomba, dinero yéter Enrique Falcón Francis Fukuyama (1989): la tesis del "final de la histora" y la "muerte de las ideologías" 56 elroto@inicia.es Reactivar nuestra esperanza (con brazalete de luto, eso sí) ...Cuidado con el juego que le hacemos al fatalismo... pág 150
  • 13.
    Bomba, dinero yéter Enrique Falcón Pensamiento único, pensamiento de centro (la muerte de las ideologías y de la diferenciación izquierda-derecha). Tras el descrédito de la "izquierda", el acercamiento entre "derecha" y "segunda" vía. 57 elroto@inicia.es Reconstruir las utopías de la emancipación Desenmascarar supuestos “apoliticismos” pág 151
  • 14.
    Bomba, dinero yéter Enrique Falcón Pensamiento único, pensamiento débil 58 elroto@inicia.es Restaurar las diferencias Restaurar la complejidad de las cosas ...Formarnos, aprender... pág 152
  • 15.
    Bomba, dinero yéter Enrique Falcón Pensamiento único 59 elroto@inicia.es ...Ejercer nuestro derecho al delirio... “¿Qué tal si empezamos a ejercer el jamás proclamado derecho de soñar? ¿Qué tal si deliramos, por un ratito? Vamos a clavar los ojos más allá de la infamia, para adivinar otro mundo posible” (Eduardo Galeano) pág 153
  • 16.
    Bomba, dinero yéter Enrique Falcón Homogeneización y colonización cultural. Erosión de la diversidad cultural. 60 elroto@inicia.es Promover el encuentro con lo diferente Valorar las aportaciones de cada cultura pág 154
  • 17.
    Bomba, dinero yéter Enrique Falcón “Consume o muere” 61 elroto@inicia.es Estilo de vida, maneras de “vivir” 62 elroto@inicia.es pág 155
  • 18.
    Bomba, dinero yéter Enrique Falcón Invisibilización de la realidad: los "desaparecidos" 63 elroto@inicia.es Pisar los escenarios de lo invisible y las cunetas del mundo La práctica (esperanzada y responsable) del voluntariado social pág 156
  • 19.
    Bomba, dinero yéter Enrique Falcón Invisibilización de la realidad: los "desaparecidos" (8 millones de personas malviven en España por debajo del umbral de la pobreza) 64 elroto@inicia.es Descentrarse Salir afuera y “ponerse a tiro” (vivir "contra los puentes levadizos") pág 157
  • 20.
    Bomba, dinero yéter Enrique Falcón El "orden del día": ¿de qué hablamos? ¿sobre qué nos hacen hablar? 65 elroto@inicia.es Romper los consensos Discrepar Por una educación crítica y liberadora pág 158
  • 21.
    Bomba, dinero yéter Enrique Falcón La "fábrica del consenso" (Noam Chomski): la determinación del "orden del día" 66 elroto@inicia.es Información / Desinformación 67 elroto@inicia.es pág 159
  • 22.
    Bomba, dinero yéter Enrique Falcón Pacificación social: narcotización y codeinización 68 elroto@inicia.es Organizarse “Que nada de lo que nos afecte se haga sin nuestra participación” (Foro Social Mundial) pág 160
  • 23.
    Bomba, dinero yéter Enrique Falcón "Es el tiempo del miedo" (Galeano): los media como aparatos de intimidación (y aislamiento) 69 elroto@inicia.es ¿Cómo se vence, personalmente, al miedo? Fortalezas personales, debilidades compartidas y apoyo mutuo pág 161
  • 24.
    Bomba, dinero yéter Enrique Falcón ...un tiempo para cerrar los ojos... 70 elroto@inicia.es ...y un tiempo para el miedo... 71 elroto@inicia.es pág 162
  • 25.
    Bomba, dinero yéter Enrique Falcón "Es el tiempo del miedo" (Galeano): la incertidumbre "Generación X", de Douglas Coupland 72 elroto@inicia.es Frente a la incógnita del futuro (X)… …los movimientos "por otro mundo posible" pág 163
  • 26.
    Bomba, dinero yéter Enrique Falcón "Es el tiempo del miedo" (Galeano): terror, seguridad y libertades civiles (la biovigilancia) 73 elroto@inicia.es Denunciar la falsa alternativa de: "más seguridad" a cambio de “menos libertad” pág 164
  • 27.
    Bomba, dinero yéter Enrique Falcón Los media, ¿el cuarto poder? (¿y al servicio de qué?) 74 elroto@inicia.es ¿Existe una TV alternativa? Por una alfabetización audiovisual La pluralidad de las redes (“No odies los medios: conviértete en uno de ellos”) pág 165
  • 28.
    Bomba, dinero yéter Enrique Falcón La concentración mediática (muchos medios en poder de pocos dueños) 75 elroto@inicia.es La tendencia (eso sí, diversificada) a la telebasura 76 elroto@inicia.es pág 166
  • 29.
    Bomba, dinero yéter Enrique Falcón "Las palabras tienen dueño": los vocablos usurpados 77 elroto@inicia.es Resistir con el lenguaje ¿Cómo hablamos? pág 167
  • 30.
    Bomba, dinero yéter Enrique Falcón Velocidad, ruido, iconicidad, fragmentación e hipersaturación en los canales informativos 78 elroto@inicia.es Por una resistencia "de la lentitud" pág 168
  • 31.
    Bomba, dinero yéter Enrique Falcón Información y comunicación 79 elroto@inicia.es Encontrarnos, "en-cararnos" (ampliar las "zonas liberadas" para el encuentro con otros) pág 169
  • 32.
    Bomba, dinero yéter Enrique Falcón TV: la Galaxia McLuhan ("el medio es el mensaje") 1.300 millones de televisores. En Francia, 3 horas diarias de tele. Buscamos información en un soporte estructurado para distraer ("la información precisa esfuerzo"). 80 elroto@inicia.es Esforzarnos por enterarnos Leer pág 170