SOLUCIÓN DE ECUACIONES
DIFERENCIALES LINEALES
MEDIANTE SERIES DE POTENCIAS
Serie de potencias
• Introducción y repaso de serie de potencias
• Serie de potencias de funciones elementales
• Serie de potencias en puntos ordinarios y en puntos
singulares
Teoría elemental de serie de potencias
• Una serie de potencias de 𝑥 − 𝑥0 es una suma de infinitos términos de la
forma
𝑛=0
∞
𝑎𝑛 𝑥 − 𝑥0
𝑛
= 𝑎0 + 𝑎1 𝑥 − 𝑥0 + 𝑎2 𝑥 − 𝑥0
2
+ ⋯ + 𝑎𝑛 𝑥 − 𝑥0
𝑛
+ ⋯
Si 𝑥0 = 0, se tiene una serie de potencias de 𝑥
𝑛=0
∞
𝑎𝑛𝑥𝑛
= 𝑎0 + 𝑎1𝑥 + 𝑎2𝑥2
+ ⋯ + 𝑎𝑛𝑥𝑛
+ ⋯
Es suficiente trabajar con serie de potencias en 𝑥, luego se generaliza para
𝑥 − 𝑥0 vía una traslación.
• La serie de potencias
𝑛=0
∞
𝑎𝑛𝑥𝑛
Se dice que es convergente si la suma es una función real 𝑓(𝑥) en algún
intervalo de la forma 𝑥 < 𝑅. En este se dice la función 𝑓 admite un desarrollo
en serie de potencias de 𝑥.
Serie de potencias de funciones elementales
Función Serie de potencias
𝑓 𝑥 = 𝑒𝑥
𝑛=0
∞
𝑥𝑛
𝑛!
= 1 + 𝑥 +
𝑥2
2
+
𝑥3
3!
+ ⋯
𝑓 𝑥 = cos 𝑥
𝑛=0
∞
−1 𝑛𝑥2𝑛
2𝑛 !
= 1 −
𝑥2
2!
+
𝑥4
4!
+ ⋯
𝑓 𝑥 = sin 𝑥
𝑛=0
∞
−1 𝑛
𝑥2𝑛+1
2𝑛 + 1 !
= 𝑥 −
𝑥3
3!
+
𝑥5
5!
+ ⋯
𝑓 𝑥 = cosh 𝑥
𝑛=0
∞
𝑥2𝑛
2𝑛 !
= 1 +
𝑥2
2!
+
𝑥4
4!
+ ⋯
𝑓 𝑥 = sinh 𝑥
𝑛=0
∞
𝑥2𝑛+1
2𝑛 + 1 !
= 1 +
𝑥3
3!
+
𝑥4
4!
+ ⋯
𝑓 𝑥 = ln(𝑥 + 1)
𝑛=0
∞
−1 𝑛+1
𝑥𝑛
𝑛
= 1 −
𝑥2
2
+
𝑥3
3
− ⋯
Serie de Taylor y de Maclaurin
• Serie de Taylor
La serie de Taylor centrada en 𝑥0 de la función 𝑓 es la serie de potencia
𝑛=0
∞
𝑓(𝑛)
(𝑥0)
𝑛!
𝑥 − 𝑥0
𝑛
= 𝑓 𝑥0 + 𝑓′
𝑥0 𝑥 − 𝑥0 +
𝑓′′
(𝑥0)
2!
𝑥 − 𝑥0
2
+ ⋯
La función 𝑓 es infinitamente diferenciable en 𝑥0.
• Serie de Maclaurin
La serie de Maclaurin se obtiene cuando 𝑥0 = 0
𝑛=0
∞
𝑓(𝑛)
(0)
𝑛!
𝑥𝑛
= 𝑓 0 + 𝑓′
0 𝑥 +
𝑓′′
(0)
2!
𝑥2
+
𝑓′′
′(0)
3!
𝑥3
+ ⋯
Derivada de series de potencia
• Si la representación en serie de potencias
𝑓 𝑥 =
𝑛=0
∞
𝑎𝑛𝑥𝑛 = 𝑎0 + 𝑎1𝑥 + 𝑎2𝑥2 + ⋯ + 𝑎𝑛𝑥𝑛 + ⋯
Converge en 𝑥 < 𝑅, entonces 𝑓 es diferenciable y
𝑓′ 𝑥
=
𝑛=1
∞
𝑛𝑎𝑛𝑥𝑛−1
= 𝑎1 + 2𝑎2𝑥 + 3𝑎3𝑥2
+ ⋯
𝑓′′ 𝑥 =
𝑛=2
∞
𝑛(𝑛 − 1)𝑎𝑛𝑥𝑛−2
𝑓′′′
𝑥 =
𝑛=3
∞
𝑛(𝑛 − 1)(𝑛 − 2)𝑎𝑛𝑥𝑛−3
⋮
Solución de EDOL usando series
Teorema. Sea la ecuación ordinaria lineal
𝑎𝑛 𝑥
𝑑𝑛𝑦
𝑑𝑥𝑛
+ 𝑎𝑛−1 𝑥
𝑑𝑛−1𝑦
𝑑𝑥𝑛−1
+ ⋯ + 𝑎1 𝑥
𝑑𝑦
𝑑𝑥
+ 𝑎0 𝑥 𝑦 = ℎ(𝑥)
Donde 𝑎𝑛 𝑥 , ⋯ , 𝑎𝑜 𝑥 , ℎ(𝑥) son analíticas en 𝑥 < 𝑅, entonces
la solución también es analítica en 𝑥 < 𝑅. Es decir,
𝑦 =
𝑛=0
∞
𝑎𝑛𝑥𝑛
Considere el problema de valor inicial
(*)
𝑃 𝑥 𝑦′′ + 𝑄 𝑥 𝑦′ + 𝑅 𝑥 𝑦 = 𝑆(𝑥)
𝑦 𝑥0 = 𝑦0
𝑦′ 𝑥0 = 𝑦1
¿ Qué es una solución del PVI dado?
donde 𝑃 𝑥 , 𝑄 𝑥 , 𝑅 𝑥 y 𝑆(𝑥) son funciones continua en un intervalo
abierto 𝐼 que contiene a 𝑥0.
𝑥0
. .
𝐼
Una solución de (*) es una función 𝑦 = 𝑦(𝑥) continua en el intervalo 𝐼
que satisface la ecuación diferencial y las condiciones iniciales
Las funciones continuas sobre un intervalo se pueden
representar en la forma de sumas de infinitos
términos las cuales son llamadas series. Sin embargo,
esta representación no siempre se puede hacer en
todo el intervalo 𝐼, sino en un intervalo, digamos 𝐽 ⊂
𝐼, el cual es llamado intervalo de convergencia de la
serie de manera que 𝑥0 es el centro de 𝐽.
Repaso de Series de Potencias
Recuerda de cálculo que una serie de potencias en (x – 𝑥0)
es una serie de la forma
𝑛=0
∞
𝑐𝑛 𝑥 − 𝑎 𝑛
= 𝑐0 + 𝑐1 𝑥 − 𝑎 + 𝑐2 𝑥 − 𝑎 2
+ ⋯
Se dice que es una serie de potencias centrada en a= 𝑥0.
La serie converge
si existe el siguiente límite de las sumas parciales:
Intervalo de convergencia Es el conjunto de números
reales x o intervalo para los que la serie converge.
lim
𝑁→∞
𝑆𝑁 𝑥 = lim
𝑁→∞
𝑛=0
𝑵
𝑎𝑛 𝑥 − 𝑎 𝑛
Radio de convergencia Si R es el radio de convergencia,
la serie de potencias :converge para |x–a| < R y
diverge para |x – a| > R. Si R = 0 la serie converge solo
para x = a. Y si la serie converge para todo x, entonces
escribimos R = ∞.
Convergencia absoluta Dentro de su intervalo de convergencia,
una serie de potencias converge absolutamente. Es decir, la
siguiente serie converge:
𝑛=0
∞
𝑐𝑛 𝑥 − 𝑎 𝑛
Prueba de convergencia (criterio del cociente) Suponiendo 𝑐𝑛
≠ 0 para todo n, y
lim
𝑛→∞
𝑐𝑛+1 𝑥−𝑎 𝑛+1
𝑐𝑛 𝑥−𝑎 𝑛 = 𝑥 − 𝑎 lim
𝑛→∞
𝑐𝑛+1
𝑐𝑛
=𝐿
Si L < 1, la serie converge absolutamente; si L > 1, la serie
diverge; y si L = 1, el criterio no es concluyente.
Se dice que un punto 𝑥0 es un punto ordinario o regular de
la ED si P(x) y Q(x) son analíticas en 𝑥0; es decir si admiten
desarrollos en serie de potencias alrededor de 𝑥0. Un punto
que no es un punto ordinario es un punto singular.
• Supongamos la ED lineal :𝑎2 𝑥 𝑦 ′′ + 𝑎1 𝑥 𝑦′ + 𝑎0 𝑥 𝑦 = 0
que podemos escribir como:
𝑦′′
+ 𝑃 𝑥 𝑦′
+ 𝑄 𝑥 𝑦 = 0
Definición
Si P(x) y Q(x) son cocientes de polinomios: P(x) = 𝑎1(x)/ 𝑎2(x), Q(x) = 𝑎0 (x)/ 𝑎2(x),
entonces x = 𝑥0 es un punto ordinario de nuestra ecuación simplemente si
𝑎2(𝑥0 ) ≠ 0.
Dado el problema de valor inicial
𝑃 𝑥 𝑦′′ + 𝑄 𝑥 𝑦′ + 𝑅 𝑥 𝑦 = 𝑆(𝑥)
𝑦 𝑥0 = 𝑦0
𝑦′ 𝑥0 = 𝑦1
a)Un número real 𝑐 es llamado un punto ordinario si 𝑃(𝑐) ≠ 0.
b) Un número real 𝑐 es llamado un punto singular si 𝑃 𝑐 = 0
donde 𝑃 𝑥 , 𝑄 𝑥 y 𝑅 𝑥 son polinomios que no tienen factores comunes.
TEOREMA 1 (Existencia de soluciones en series de potencias)
Si x = 𝑥0 es un punto ordinario o regular, siempre es posible
hallar dos soluciones linealmente independientes en forma de
series de potencias centradas en 𝑥0 :
𝑛=0
∞
𝑐𝑛 𝑥 − 𝑎 𝑛
= 𝑐0
Cada una de las dos soluciones linealmente independientes
en serie de potencias convergerá por lo menos dentro del
intervalo definido por |x–𝑥0 | < R, donde R es la distancia
desde 𝑥0 hasta el punto singular más próximo de la EDO.
Soluciones respecto a puntos ordinarios
Teorema 1 EXISTENCIA DE LAS SOLUCIONES EN FORMA DE SERIE
DE POTENCIAS
a) Si x = x0 es un punto ordinario de la ecuación diferencial anterior,
siempre se pueden determinar dos soluciones linealmente
independientes en forma de serie de potencias centradas en x0.
(*)
𝑃 𝑥 𝑦′′
+ 𝑄 𝑥 𝑦′
+ 𝑅 𝑥 𝑦 = 𝑆(𝑥)
𝑦 𝑥0 = 𝑦0
𝑦′
𝑥0 = 𝑦1
𝑦 = 𝑦 𝑥 =
𝑛=0
∞
𝑐𝑛 𝑥 − 𝑥0
𝑛
Teorema 1 EXISTENCIA DE LAS SOLUCIONES EN FORMA DE SERIE
DE POTENCIAS
(*)
𝑃 𝑥 𝑦′′
+ 𝑄 𝑥 𝑦′
+ 𝑅 𝑥 𝑦 = 𝑆(𝑥)
𝑦 𝑥0 = 𝑦0
𝑦′ 𝑥0 = 𝑦1
𝑦 = 𝑦 𝑥 =
𝑛=0
∞
𝑐𝑛 𝑥 − 𝑥0
𝑛
b) Tal representación en forma de serie ( se dice que la serie de potencias es
convergente) es válida el intervalo 𝐼𝐶 dado por
𝐼𝐶 = 𝑥 ∈ ℝ 𝑥 − 𝑥0 < 𝑅 = 𝑥0 − 𝑅; 𝑥0 + 𝑅
𝐼𝐶 es llamado el intervalo de convergencia de la serie de potencias.
R es la distancia de x0 al punto singular (real o complejo)
más próximo.
Teorema 2
Si 𝑦 = 𝑦(𝑥) es una solución del PVI (*) que es infinitamente derivable,
entonces
(*)
𝑃 𝑥 𝑦′′ + 𝑄 𝑥 𝑦′ + 𝑅 𝑥 𝑦 = 𝑆(𝑥)
𝑦 𝑥0 = 𝑦0
𝑦′ 𝑥0 = 𝑦1
Dado el problema de valor inicial
𝑦 = 𝑦 𝑥 =
𝑛=0
∞
𝑦(𝑛) 𝑥0
𝑛!
∙ 𝑥 − 𝑥0
𝑛
Ejemplo 1 Dado el problema de valor inicial
(*)
9𝑥2 − 3𝑥 − 10 𝑦′′ + 𝑥2 + 𝑥 𝑦′ + 2𝑥 − 1 𝑦 = 0
𝑦 1 = −2
𝑦′ 1 = 5
a) Determine la solución de (*) en serie de potencias alrededor de 𝑥0 = 1
hasta el cuarto término no nulo.
b) Determine el radio e intervalo de convergencia.
Solución
a) La solución de (*) en serie de potencias alrededor de 𝑥0 = 1 hasta el
cuarto término no nulo está dada por
𝑦 = 𝒚 𝟏 + 𝒚′
𝟏 𝑥 − 1 +
𝒚′′ 𝟏
𝟐!
𝑥 − 1 2
+
𝒚′′′ 𝟏
𝟑!
𝑥 − 1 3
… . . (∗∗
Por dato, 𝒚 𝟏 = −𝟐 e 𝒚′
𝟏 = 𝟓. Para calcular 𝑦′′
1 , reemplazamos 𝑥 = 1
en la ecuación diferencial de (*):
−4 𝑦′′
1 + 2𝑦′
1 + 𝑦 1 = 0 ⟹ 𝒚′′
𝟏 = 𝟐
9𝑥2
− 3𝑥 − 10 𝑦′′
+ 𝑥2
+ 𝑥 𝑦′
+ 2𝑥 − 1 𝑦 = 0
Ejemplo 1 Dado el problema de valor inicial
(*)
9𝑥2 − 3𝑥 − 10 𝑦′′ + 𝑥2 + 𝑥 𝑦′ + 2𝑥 − 1 𝑦 = 0
𝑦 1 = −2
𝑦′ 1 = 5
Ahora derivamos la EDO de (*) con respecto a 𝑥:
18𝑥 − 3 𝑦′′ + 9𝑥2 − 3𝑥 − 10 𝑦′′′ + 2𝑥 + 1 𝑦′ + 𝑥2 + 𝑥 𝑦′′ + 2𝑦 + 2𝑥 − 1 𝑦′ = 0
es decir,
9𝑥2
− 3𝑥 − 10 𝑦′′′
+ 𝑥2
+ 19𝑥 − 3 𝑦′′
+ 4𝑥 𝑦′
+ 2𝑦 = 0
Ejemplo 1 Dado el problema de valor inicial
(*)
9𝑥2 − 3𝑥 − 10 𝑦′′ + 𝑥2 + 𝑥 𝑦′ + 2𝑥 − 1 𝑦 = 0
𝑦 1 = −2
𝑦′
1 = 5
Al reemplazar 𝑥 = 1 en la última ecuación
−4𝑦′′′ 1 + 17𝑦′′ 1 + 4𝑦′ 1 + 2𝑦 1 = 0 ⟹ 𝒚′′′ 𝟏 =
𝟐𝟓
𝟐
Luego, la solución pedida es
𝑦 = −𝟐 + 𝟓 𝑥 − 1 +
𝟐
𝟐!
𝑥 − 1 2
+
𝟐𝟓
𝟐
𝟑!
𝑥 − 1 3
⟹
𝑦 = −𝟐 + 𝟓 𝑥 − 1 + 𝟏 𝑥 − 1 2
+
𝟐𝟓
𝟏𝟐
𝑥 − 1 3
Ejemplo 1 Dado el problema de valor inicial
(*)
9𝑥2 − 3𝑥 − 10 𝑦′′ + 𝑥2 + 𝑥 𝑦′ + 2𝑥 − 1 𝑦 = 0
𝑦 1 = −2
𝑦′
1 = 5
b) Para hallar el radio de convergencia:
9𝑥2 − 3𝑥 − 10 = 0 ⇒ 𝑥1 =
3 − 369
18
≈ −0.9005220706,
𝑥2 =
3+ 369
18
≈ 1.23385404
𝟏 𝒙𝟐
𝒙𝟏
Ejemplo 1 Dado el problema de valor inicial
(*)
9𝑥2 − 3𝑥 − 10 𝑦′′ + 𝑥2 + 𝑥 𝑦′ + 2𝑥 − 1 𝑦 = 0
𝑦 1 = −2
𝑦′
1 = 5
𝑥1 =
3− 369
18
≈ −0.9005220706, 𝑥2 =
3+ 369
18
≈ 1.23385404
𝟏 𝒙𝟐
𝒙𝟏
El radio y el intervalo de convergencia son
𝑟 = 𝑥2 − 1 =
369 − 15
18
≈ 0.067187373 ,
𝐼𝐶 =
36 − 369
18
;
369
18
= 0.932812627 ; 1.067187373
Ejemplo 2 Dado el problema de valor inicial
(*)
𝑥2 − 7𝑥 + 6 𝑦′′ + 2𝑥 − 1 𝑦′ + 𝑥 + 1 𝑦 = 𝑥2 + 4
𝑦 2 = 1
𝑦′ 2 = −1
a) Determine la solución de (*) en serie de potencias alrededor de 𝑥0 =2
hasta el cuarto término no nulo.
b) Determine el radio e intervalo de convergencia.
Solución
a) La solución de (*) en serie de potencias alrededor de 𝑥0 =2 hasta el
cuarto término no nulo está dada por
𝑦 = 𝒚 𝟐 + 𝒚′
𝟐 𝑥 − 2 +
𝒚′′ 𝟐
𝟐!
𝑥 − 2 2
+
𝒚′′′ 𝟐
𝟑!
𝑥 − 2 3
… . . (∗∗
Por dato, 𝒚 𝟐 = 1 e 𝒚′
𝟐 = −1. Para calcular 𝑦′′
2 , reemplazamos 𝑥 =2
en la ecuación diferencial de (*):
−4 𝑦′′
2 + 3𝑦′
2 + 3𝑦 2 = 8 ⟹ 𝒚′′
𝟐 = −𝟐
Ejemplo 2 Dado el problema de valor inicial
(*)
𝑥2 − 7𝑥 + 6 𝑦′′ + 2𝑥 − 1 𝑦′ + 𝑥 + 1 𝑦 = 𝑥2 + 4
𝑦 2 = 1
𝑦′ 2 = −1
Ahora derivamos la EDO de (*) con respecto a 𝑥:
𝑥2
− 7𝑥 + 6 𝑦′′′
+ 4𝑥 − 8 𝑦′′
+ 𝑥 + 3 𝑦′
+ 𝑦 = 2x
Al reemplazar 𝑥 = 1 en la última ecuación
−4𝑦′′′
2 + 0 𝑦′′
2 + 5𝑦′
2 + 𝑦 2 = 4 ⟹ 𝒚′′′
𝟐 = −𝟐
Luego, la solución pedida es
𝑦 = 1 + (−𝟏) 𝑥 − 2 +
−𝟐
𝟐!
𝑥 − 2 2 +
−𝟐
𝟑!
𝑥 − 2 3 ⟹
𝑦 = 𝟏 + −𝟏 𝑥 − 2 + −𝟏 𝑥 − 2 2
−
𝟏
𝟔
𝑥 − 2 3
b) Para hallar el radio de convergencia:
𝑥2 − 7𝑥 + 6 = 0 ⇒ 𝑥1 = 1, 𝑥2 = 6
2 𝒙𝟐
𝒙𝟏
El radio y el intervalo de convergencia son
𝑟 = 1 𝐼𝐶 = 1; 3
Usar series de potencias para resolver
ecuaciones diferenciales no homogéneas
• El estudiante debe adquirir la competencia de resolver EDOL no
homogéneas usando serie de potencias
Método de coeficientes indeterminados de series
Sea la ecuación de la forma
𝑎2 𝑥
𝑑2𝑦
𝑑𝑥
+ 𝑎1 𝑥
𝑑𝑦
𝑑𝑥
+ 𝑎0 𝑥 𝑦 = ℎ(𝑥)
Donde 𝑎2 𝑥 , 𝑎1 𝑥 , 𝑎0 𝑥 y ℎ(𝑥) son analíticas en un intervalo de la forma
𝑥 − 𝑥0 < 𝑅, la solución es de la forma
𝑦 =
𝑛=0
∞
𝑎𝑛 𝑥 − 𝑥0
𝑛 ≈ 𝑐1𝑦1 + 𝑐2𝑦2 + 𝑦𝑝
Haciendo el cambio 𝑧 = 𝑥 − 𝑥0 se puede considerar
𝑦 =
𝑛=0
∞
𝑎𝑛𝑧𝑛 =
𝑛=0
∞
𝑎𝑛𝑥𝑛
Ejemplo. Encuentre la solución del PVI 𝑦′′
+ 𝑥2
𝑦 = sin 𝑥 , 𝑦 0 = 0, 𝑦′
0 = 0
Usamos serie de potencias alrededor de 𝒙𝟎 = 𝟎
𝒚 =
𝒏=𝟎
∞
𝒂𝒏𝒙𝒏 , 𝒚′ =
𝒏=𝟏
∞
𝒏𝒂𝒏𝒙𝒏−𝟏 , 𝒚′′ =
𝒏=𝟐
∞
𝒏(𝒏 − 𝟏)𝒂𝒏𝒙𝒏−𝟐
Reemplazando en la ecuación se tiene
𝒚′′
+ 𝒙𝟐
𝒚 = 𝒔𝒊𝒏 𝒙
𝒏=𝟐
∞
𝒏(𝒏 − 𝟏)𝒂𝒏𝒙𝒏−𝟐 + 𝒙𝟐
𝒏=𝟎
∞
𝒂𝒏𝒙𝒏 = 𝐬𝐢𝐧 𝒙
𝒏=𝟐
∞
𝒏(𝒏 − 𝟏)𝒂𝒏𝒙𝒏−𝟐 +
𝒏=𝟎
∞
𝒂𝒏𝒙𝒏+𝟐 = 𝒔𝒊𝒏 𝒙
𝒏=𝟎
∞
(𝒏 + 𝟐)(𝒏 + 𝟏)𝒂𝒏+𝟐𝒙𝒏 +
𝒏=𝟐
∞
𝒂𝒏−𝟐𝒙𝒏 = 𝒔𝒊𝒏 𝒙
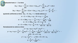
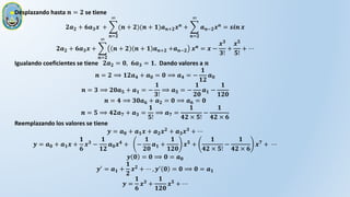
Desplazando hasta 𝒏 = 𝟐 se tiene
𝟐𝒂𝟐 + 𝟔𝒂𝟑𝒙 +
𝒏=𝟐
∞
(𝒏 + 𝟐)(𝒏 + 𝟏)𝒂𝒏+𝟐𝒙𝒏 +
𝒏=𝟐
∞
𝒂𝒏−𝟐𝒙𝒏 = 𝒔𝒊𝒏 𝒙
𝟐𝒂𝟐 + 𝟔𝒂𝟑𝒙 +
𝒏=𝟐
∞
𝒏 + 𝟐 𝒏 + 𝟏 𝒂𝒏+𝟐 +𝒂𝒏−𝟐 𝒙𝒏 = 𝒙 −
𝒙𝟑
𝟑!
+
𝒙𝟓
𝟓!
+ ⋯
Igualando coeficientes se tiene 𝟐𝒂𝟐 = 𝟎, 𝟔𝒂𝟑 = 𝟏. Dando valores a 𝒏
𝒏 = 𝟐 ⟹ 𝟏𝟐𝒂𝟒 + 𝒂𝟎 = 𝟎 ⟹ 𝒂𝟒 = −
𝟏
𝟏𝟐
𝒂𝟎
𝒏 = 𝟑 ⟹ 𝟐𝟎𝒂𝟓 + 𝒂𝟏 = −
𝟏
𝟑!
⟹ 𝒂𝟓 = −
𝟏
𝟐𝟎
𝒂𝟏 −
𝟏
𝟏𝟐𝟎
𝒏 = 𝟒 ⟹ 𝟑𝟎𝒂𝟔 + 𝒂𝟐 = 𝟎 ⟹ 𝒂𝟔 = 𝟎
𝒏 = 𝟓 ⟹ 𝟒𝟐𝒂𝟕 + 𝒂𝟑 =
𝟏
𝟓!
⟹ 𝒂𝟕 =
𝟏
𝟒𝟐 × 𝟓!
−
𝟏
𝟒𝟐 × 𝟔
Reemplazando los valores se tiene
𝒚 = 𝒂𝟎 + 𝒂𝟏𝒙 + 𝒂𝟐𝒙𝟐
+ 𝒂𝟑𝒙𝟑
+ ⋯
𝒚 = 𝒂𝟎 + 𝒂𝟏𝒙 +
𝟏
𝟔
𝒙𝟑
−
𝟏
𝟏𝟐
𝒂𝟎𝒙𝟒
+ −
𝟏
𝟐𝟎
𝒂𝟏 +
𝟏
𝟏𝟐𝟎
𝒙𝟓
+
𝟏
𝟒𝟐 × 𝟓!
−
𝟏
𝟒𝟐 × 𝟔
𝒙𝟕
+ ⋯
𝒚 𝟎 = 𝟎 ⟹ 𝟎 = 𝒂𝟎
𝒚′
= 𝒂𝟏 +
𝟏
𝟐
𝒙𝟐
+ ⋯ , 𝒚′
𝟎 = 𝟎 ⟹ 𝟎 = 𝒂𝟏
𝒚 =
𝟏
𝟔
𝒙𝟑 +
𝟏
𝟏𝟐𝟎
𝒙𝟓 + ⋯
HALLAR LA SOLUCIÓN GENERAL DE LAS
SIGUIENTES ECUACIONES
1. 𝑥2 − 1 𝑦′′ + 4𝑥𝑦′ + 2𝑦 = 0
2. 𝑥2 + 2 𝑦′′ + 4𝑥𝑦′ + 2𝑦 = 0
3. 𝑦′′ + 𝑥𝑦′ + 𝑦 = 0
4. 𝑥2 + 1 𝑦′′ + 6𝑥𝑦′ + 4𝑦 = 0
5. 𝑥2 − 3 𝑦′′ + 2𝑥𝑦′ = 0
6. 𝑥2 − 1 𝑦′′ − 6𝑥𝑦′ + 12𝑦 = 0
7. 𝑥2
+ 3 𝑦′′
− 7𝑥𝑦′
+ 16𝑦 = 0
8. 2 − 𝑥2 𝑦′′ − 𝑥𝑦′ + 16𝑦 = 0
9. 𝑥2
− 1 𝑦′′
+ 8𝑥𝑦′
+ 12𝑦 = 0
10. 3𝑦′′ + 𝑥𝑦′ − 4𝑦 = 0
RESOLVER LOS PVI
11. 𝑥2
+ 1 𝑦′′
+ 2𝑥𝑦′
− 2𝑦 = 0, 𝑦 0 = 0, 𝑦′
0 = 1
12. 𝑦′′ + 𝑥𝑦′ − 2𝑦 = 0, 𝑦 0 = 1, 𝑦′ 0 = 0
13. 𝑦′′ + 𝑥 − 1 𝑦′ + 𝑦 = 0, 𝑦 1 = 2, 𝑦′ 1 = 0
14. 2𝑥 − 𝑥2
𝑦′′
− 6(𝑥 − 1)𝑦′
− 4𝑦 = 0, 𝑦 1 = 0, 𝑦′
1 = 1
Resolver las EDO de segundo orden
15. 𝑦′′ + 𝑒−𝑥𝑦 = 0
16. (cos 𝑥)𝑦′′+𝑦 = 0
17. 𝑥𝑦′′
+ sin 𝑥 𝑦′
+ 𝑥𝑦 = 0
Soluciones respecto a puntos singulares
• Un punto singular x0 de una ecuación diferencial
lineal
se clasifica como regular o irregular. La clasificación
depende de las funciones P(x) y Q(x) en la forma
estándar
• Se dice que un punto singular x0 es un punto singular
regular de la ecuación diferencial si ambas funciones:
𝑝(𝑥) = (𝑥 − 𝑥0)𝑃(𝑥) 𝑦 𝑞(𝑥) = (𝑥 − 𝑥0)𝑄(𝑥) son analíticas en 𝑥0.
Un punto que no es regular es un punto singular
irregular de la ecuación.
0
0
1
2 

 y
x
a
y
x
a
y
x
a )
(
´
)
(
´´
)
(
.
)
(
´
)
(
´´ 0


 y
x
Q
y
x
P
y
Soluciones respecto a puntos singulares…
•Teorema de Frobenius:
Si x=x0 es un punto singular de la ecuación diferencial,
entonces por lo menos existe una solución de la forma:
•
donde el número r es una constante por determinar. La
serie converge por lo menos en algún intervalo 0<x-x0<R.
0
0
1
2 

 y
x
a
y
x
a
y
x
a )
(
´
)
(
´´
)
(












0
0
0
n
r
n
o
n
n
n
o
n
r
x
x
C
x
x
C
x
x
y )
(
)
(
)
(
Soluciones respecto a puntos singulares…
• En el teorema de Frobenius, las palabras por lo menos
significa que no garantiza la posibilidad de hallar dos
soluciones en serie del tipo indicado.
• El método de Frobenius es similar al método de coeficientes
indeterminados de series en la que se sustituye
en la ecuación diferencial dada y se determinan los coeficientes
desconocidos cn mediante una relación de recurrencia. Sin
embargo, se tiene una tarea más en este procedimiento: antes
de determinar los coeficientes, se debe encontrar el exponente
desconocido r. Si se encuentra que r es un número que no es un
entero negativo, entonces la solución de la correspondiente no
es una serie de potencias.






0
n
r
n
o
n x
x
C
y )
(
Ejemplo 1
• Resuelva la ED 3𝑥𝑦´´ + 𝑦´ − 𝑦 = 0
Debido a que 𝑥 = 0 es un punto singular de la ecuación
diferencial, se intenta encontrar una solución de la forma:
Con ella:





0
n
r
n
n x
C
y
















0
2
0
1
1
n
r
n
n
n
r
n
n x
C
r
n
r
n
y
x
C
r
n
y )
)(
(
´´
)
(
´ y
Ejemplo 1...
...
y
:
que
significa
que
lo
,
,
,
,
k
C
C
r
k
r
k
C
r
r
x
C
C
r
k
r
k
x
C
r
r
x
x
C
x
C
r
k
r
k
x
C
r
r
x
x
C
x
C
r
n
r
n
x
C
r
r
x
x
C
x
C
r
n
r
n
x
C
x
C
r
n
x
C
r
n
r
n
x
C
x
C
r
n
x
C
r
n
r
n
x
C
x
C
r
n
x
C
r
n
r
n
x
y
y
xy
k
k
k
n
k
k
r
k
k
k
k
k
k
r
n
n
n
n
n
n
r
n
r
n
n
n
r
n
n
n
r
n
n
n
r
n
n
n
r
n
n
n
r
n
n
n
r
n
n
n
r
n
n
n
r
n
n
n
r
n
n
n
r
n
n
3
2
1
0
0
1
3
3
1
0
2
3
0
1
3
3
1
2
3
1
3
3
1
2
3
2
3
3
2
3
2
3
3
3
3
3
1
3
1
3
3
1
0
0
1
1
1
0
0
0
1
1
0
0
1
1
1
0
0
0
1
0
0
1
0
1
0
0
1
0
1
0
0
1
0
2




















































































































































)
)(
(
)
(
]
]
)
)(
[(
)
(
[
]
)
)(
(
)
(
[
]
)
)(
(
)
(
[
)
)(
(
)
(
)
)(
(
)
(
)
)(
(
)
(
)
)(
(
´
´´
Ejemplo 1...
, ...
,
,
,
k
k
k
C
C
r
, ...
,
,
,
k
k
k
C
C
r
r
r
r
r
k
r
k
C
C
r
r
r
r
r
C
k
k
k
k
k
k
3
2
1
0
1
3
1
0
3
2
1
0
1
5
3
3
2
0
2
3
1
3
3
1
0
3
2
0
2
3
1
1
1
1
1
2
1
0

























:
diferentes
a
recurrenci
de
ecuaciones
dos
obtienen
se
ecuación
la
satisfacen
que
de
valores
dos
los
en
sustituye
se
Cuando
y
:
son
ecuación
la
satisfacen
que
de
valores
dos
Los
:
tener
debe
se
entonces
0,
haciendo
nada
gana
se
no
que
a
Debido
)
)(
(
,
)
)(
(
,
/
)
(
)
)(
(
/
)
(
Ejemplo 1...
, ...
,
,
,
k
k
k
C
C
r
, ...
,
,
,
k
k
k
C
C
r
r
r
r
r
k
r
k
C
C
r
r
r
r
r
C
k
k
k
k
k
k
3
2
1
0
1
3
1
0
3
2
1
0
1
5
3
3
2
0
2
3
1
3
3
1
0
3
2
0
2
3
1
1
1
1
1
2
1
0

























:
diferentes
a
recurrenci
de
ecuaciones
dos
obtienen
se
ecuación
la
satisfacen
que
de
valores
dos
los
en
sustituye
se
Cuando
y
:
son
ecuación
la
satisfacen
que
de
valores
dos
Los
:
tener
debe
se
entonces
0,
haciendo
nada
gana
se
no
que
a
Debido
)
)(
(
,
)
)(
(
,
/
)
(
)
)(
(
/
)
(
Ejemplo 1...
)
(
*
*
)
)(
)(
!
*
(
)
)(
)(
)(
!
*
(
)
)(
(
)
)(
)(
!
*
(
)
)(
(
)
)(
!
*
(
)
)(
(
)
)(
(
)
)(
(
2
3
11
8
5
14
11
8
5
4
4
14
11
8
5
3
3
11
8
5
2
2
8
1
5
1
5
3
0
0
3
4
0
2
3
0
1
2
0
1
1













n
n
C
C
C
C
C
C
C
C
C
C
C
C
C
k
k
C
C
Con:
n
k
k


)
(
*
*
)
)(
)(
!
*
(
)
)(
)(
)(
!
*
(
)
)(
(
)
)(
)(
!
*
(
)
)(
(
)
)(
!
*
(
)
)(
(
)
)(
(
)
)(
(
2
3
7
4
1
10
7
4
1
4
10
4
7
4
1
3
7
3
4
1
2
4
2
1
1
1
3
1
0
0
3
4
0
2
3
0
1
2
0
1
1













n
n
C
C
C
C
C
C
C
C
C
C
C
C
C
k
k
C
C
Con:
n
k
k


Ejemplo 1…
• Aquí se encuentra algo que no sucedió cuando se obtuvieron
soluciones respecto a un punto ordinario; se tiene lo que parecen ser
dos conjuntos de coeficientes diferentes, pero cada conjunto contiene
al mismo múltiplo C0. Si se omite este término, las soluciones en serie
son:

























n
n
n
n
x
n
n
x
x
y
x
n
n
x
x
y
1
0
2
1
3
2
1
2
3
7
4
1
1
1
2
3
11
8
5
1
1
)
(
*
*
*
*
)
!*
(
)
(
)
(
*
*
*
*
)
!*
(
)
( /


Ejemplo 1…
• Es evidente que ninguna de estas soluciones es múltiplo de
la otra y por lo tanto 𝑦1 𝑦 𝑦2 son linealmente independientes,
así por el principio de superposición 𝑦 = 𝑐1𝑦1 + 𝑐2𝑦2 , así, la
solución general de la ecuación diferencial es:

















 





n
n
n
n
x
n
n
x
c
x
n
n
x
c
y
1
0
2
1
3
2
1
2
3
7
4
1
1
1
2
3
11
8
5
1
1
)
(
*
*
*
*
)
!*
(
)
(
*
*
*
*
)
!*
(
/


Ecuación indicial
• En la ecuación diferencial anterior, el término: r(3r-2) de
denomina “ecuación indicial” y r=2/3 y r=0 se llaman
“raíces indiciales” o exponentes de la singularidad x=0.
Tres casos posibles
• Al utilizar el método de Frobenuis para resolver la
ecuación diferencial de segundo orden
se distinguen tres casos que corresponden a la naturaleza
de las raíces indiciales r1 y r2.
• r1 y r2 son reales y la diferencia r1 - r2 no es un entero positivo.
• r1 y r2 son reales y la diferencia r1 - r2 es un entero positivo.
• r1 y r2 son reales e iguales.
0
0
1
2 

 y
x
a
y
x
a
y
x
a )
(
´
)
(
´´
)
(
CASO I
• Si r1 y r2 son reales y la diferencia r1 - r2 no es un entero
positivo.
• En este caso existen dos soluciones linealmente
independientes de la ecuación
de la forma:
0
0
1
2 

 y
x
a
y
x
a
y
x
a )
(
´
)
(
´´
)
(
0
0
0
0
2
0
0
1
2
1













b
x
b
x
y
c
x
c
x
y
r
n
n
n
r
n
n
n
)
(
)
(
CASO II
• Si r1 y r2 son reales y la diferencia r1 - r2 es un
entero positivo.
En este caso existen dos soluciones linealmente
independientes de la ecuación
de la forma:
• Donde C es una constante que podría ser cero.
0
0
1
2 

 y
x
a
y
x
a
y
x
a )
(
´
)
(
´´
)
(
0
0
0
0
1
2
0
0
1
2
1














b
x
b
x
x
Cy
x
y
c
x
c
x
y
r
n
n
n
r
n
n
n
ln
)
(
)
(
)
(
CASO III
• Si r1 y r2 son reales e iguales.
En este caso existen dos soluciones linealmente
independientes de la ecuación
de la forma:
0
0
1
2 

 y
x
a
y
x
a
y
x
a )
(
´
)
(
´´
)
(
r
n
n
n
r
n
n
n
x
b
x
x
y
x
y
c
x
c
x
y













1
1
2
0
0
1 0
ln
)
(
)
(
)
(
Ejemplo 2
• Encontrar la solución general de la ecuación:
2𝑥𝑦´´ − 𝑦´ + 2𝑦 = 0
Partiendo de la sustitución de
• en la ecuación diferencial, tenemos:





0
n
r
n
n x
C
y
















0
2
0
1
1
n
r
n
n
n
r
n
n x
C
r
n
r
n
y
x
C
r
n
y )
)(
(
´´
)
(
´ y
0
2
3
0
0
3
2
0
1
2
0
2
1
2
0
2
1
2
0
2
1
2
2
1
2
2
2
2
1
0
2
0
0
0
1
1
0
0
1
0
1
0
0
0
0
1
0
1
0
0
1
0
2










































































































r
r
entonces
C
Como
r
r
C
rC
C
r
r
x
C
x
C
r
k
x
C
r
k
r
k
x
C
x
C
r
n
x
C
r
n
r
n
x
C
x
C
r
n
x
C
r
n
r
n
x
C
x
C
r
n
x
C
r
n
r
n
x
y
y
xy
indicial
Ecuación
k
r
k
k
r
k
k
k
r
k
k
k
n
k
n
r
n
n
n
k
n
r
n
n
n
k
n
r
n
n
n
r
n
n
n
r
n
n
n
r
n
n
n
r
n
n
n
r
n
n
n
r
n
n
,
:
)
(
]
)
(
[
)
(
)
)(
(
)
(
)
)(
(
)
(
)
)(
(
)
(
)
)(
(
´
´´



 



 








 


 




 



 

:
índices
los
igualar
para
sumatorias
primeras
dos
las
de
término
un
Tomando
:
ecuación
la
de
lados
ambos
x
por
ndo
Multiplica
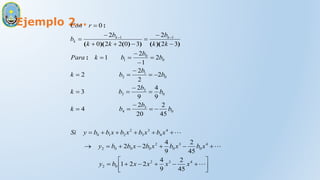
Ejemplo 2…
Como las raíces no difieren en un entero (Caso I) la
soluciones deben ser de la forma:
La ecuación de recurrencia para k=1,2,3,… es:
0
0
0
0
2
0
0
1
2
1













b
x
b
x
y
c
x
c
x
y
r
n
n
n
r
n
n
n
)
(
)
(
)
)(
( 3
2
2
2 1




 
r
k
r
k
C
C k
k
Ejemplo 2…


























































4
3
2
0
1
4
0
3
0
2
0
0
0
1
4
4
3
3
2
2
1
0
0
3
4
0
2
3
0
1
2
0
1
1
1
1
10395
2
945
2
35
2
5
2
1
10395
2
945
2
35
2
5
2
10395
2
44
2
4
945
2
27
2
3
35
2
14
2
2
5
2
1
3
2
2
2
2
3
2
3
2
3
2
2
2
3
2
2
3
x
x
x
x
C
y
x
C
x
C
x
C
x
C
C
y
x
C
x
C
x
C
x
C
C
y
Si
C
C
C
k
C
C
C
k
C
C
C
k
C
C
k
Para
k
k
C
k
k
C
k
k
C
C
r
Con
k
k
k
k
:
)
)(
(
)
)(
(
)
)(
(
:
Ejemplo 2…


























































4
3
2
0
2
4
0
3
0
2
0
0
0
2
4
4
3
3
2
2
1
0
0
3
4
0
2
3
0
1
2
0
0
1
1
1
45
2
9
4
2
2
1
45
2
9
4
2
2
45
2
20
2
4
9
4
9
2
3
2
2
2
2
2
1
2
1
3
2
2
3
0
2
2
0
2
0
x
x
x
x
b
y
x
b
x
b
x
b
x
b
b
y
x
b
x
b
x
b
x
b
b
y
Si
b
b
b
k
b
b
b
k
b
b
b
k
b
b
b
k
Para
k
k
b
k
k
b
b
r
Con
k
k
k
:
)
)(
(
)
)
(
)(
(
:
Ejemplo 2…
.
:
,
indicada
te
inicialmen
forma
la
a
e
correspond
que
x
x
x
x
b
x
x
x
x
C
y
y
y
y
es
l
diferencia
ecuación
la
de
solución
la
ello
Con



























 4
3
2
0
4
3
2
0
2
1
45
2
9
4
2
2
1
10395
2
945
2
35
2
5
2
1
Ejemplo 3
• Encontrar la solución general de la ecuación:
𝑥3𝑦´´ − 𝑥2(1 + 𝑥)𝑦´ + 𝑥𝑦 = 0
• Partiendo de la sustitución de
en la ecuación diferencial, tenemos:





0
n
r
n
n x
C
y
















0
2
0
1
1
n
r
n
n
n
r
n
n x
C
r
n
r
n
y
x
C
r
n
y )
)(
(
´´
)
(
´ y
Ejemplo 3…
iguales.
reales
raíces
dos
Obtenemos
:
0
n
para
que
tenemos
x,
las
en
exponente
menor
de
sumatorias
las
Tomando
1
0
1
1
2
0
0
1
2
0
1
0
1
1
1
2
1
2
2
0
2
0
0
0
0
0
1
0 0
2
1
0
1
0
0
1
3
2
0
2
3
2
3







































 



































r
r
r
r
r
r
entonces
C
Como
r
r
C
C
rC
C
r
r
x
C
x
C
r
n
x
C
r
n
x
C
r
n
r
n
x
C
x
x
C
r
n
x
x
x
C
r
n
r
n
x
xy
y
x
x
y
x
indicial
Ecuación
n
r
n
n
n n
r
n
n
r
n
n
n
r
n
n
n
r
n
n
n
r
n
n
n
r
n
n
)
(
:
)
(
]
)
(
)
(
)
(
)
)(
(
)
(
)
(
)
)(
(
´
)
(
´´



 



 

Ejemplo 3…
Como las raíces son reales e iguales (Caso III) la soluciones
deben ser de la forma:
La ecuación de recurrencia con r=1 para los valores de
k=2,3,4,… es:
1
2
1

 

k
C
C k
k
r
n
n
n
r
n
n
n
x
b
x
x
y
x
y
c
x
c
x
y













1
1
2
0
0
1 0
ln
)
(
)
(
)
(
Ejemplo 3…



























































0
1
0
1
0
1
0
0
0
5
4
3
2
0
5
0
4
0
3
0
2
0
0
0
4
4
3
3
2
2
1
0
0
4
5
0
3
4
0
2
3
0
1
2
0
1
2
1
0
0
5
4
3
2
1
120
24
6
2
1
120
5
6
24
4
5
6
3
4
2
2
3
1
2
1
m
m
x
x
m
m
k
k
m
x
C
y
o
xe
C
y
e
C
m
x
C
x
x
x
x
x
C
y
x
C
x
C
x
C
x
C
x
C
C
y
x
C
x
C
x
C
x
C
C
y
Si
C
C
C
k
C
C
C
k
C
C
C
k
C
C
C
k
C
C
k
Para
k
C
C
y
C
C
Con
!
!
!
!
!
!
:



Ejemplo 3…
• Para encontrar y2, utilizaremos:
Con:
dx
y
e
x
y
y
Pdx




2
1
1
2 )
(
1
1
1
1
3
2
1 









x
x
x
x
x
x
x
P
y
xe
y x )
(
)
(
)
(
Ejemplo 3…
 




























































1
1
5
4
3
2
1
5
4
3
2
1
1
4
3
2
1
5
4
3
2
1
1
2
2
1
2
2
1
2
1
2
1
1
1
1
2
1
120
5
24
4
6
3
2
2
120
5
24
4
6
3
2
2
120
24
6
2
1
1
4
3
2
1
1
m
m
m
x
x
x
x
x
x
x
x
x
x
x
dx
x
m
m
x
xe
x
y
x
x
x
x
x
xe
x
y
x
x
x
x
x
y
x
y
dx
x
x
x
x
x
y
Dividiendo
dx
x
x
x
x
x
y
dx
xe
y
dx
e
x
xe
y
dx
e
x
e
y
dx
xe
e
y
dx
y
e
y
y
!
)
(
)
(
ln
)
*
*
*
*
(
ln
)
*
*
*
*
(
ln
)
(
:
!
!
!
ln
ln




.
indicada
te
inicialmen
forma
la
a
e
correspond
que
Ejemplo 4
• Encontrar la solución general de la ecuación:
𝑦´´ + 2𝑦´ + 𝑥𝑦 = 0
• Partiendo de la sustitución de
en la ecuación diferencial, tenemos:





0
n
r
n
n x
C
y
















0
2
0
1
1
n
r
n
n
n
r
n
n x
C
r
n
r
n
y
x
C
r
n
y )
)(
(
´´
)
(
´ y
Ejemplo 4…
entero.
número
un
en
difieren
que
reales
raíces
dos
Obtenemos
:
0
n
para
que
tenemos
x,
las
en
exponente
menor
de
sumatorias
las
Tomando
1
0
0
1
1
2
0
0
1
0
2
1
0
2
1
2
1
2
2
1
2
2
0
0
0
0
0
1
0
1
0
1
0
0
1
0
2































































r
r
r
r
r
entonces
C
Como
r
r
C
rC
C
r
r
x
C
x
C
r
n
x
C
r
n
r
n
x
C
x
x
C
r
n
x
C
r
n
r
n
x
xy
y
xy
indicial
Ecuación
n
r
n
n
n
r
n
n
n
r
n
n
n
r
n
n
n
r
n
n
n
r
n
n
)
(
:
)
(
(
)
(
)
(
)
)(
(
)
(
)
)(
(
´
´´


 


 

Ejemplo 4…
Como las raíces son reales y la diferencia
es un entero (Caso II) la soluciones
deben ser de la forma:
La ecuación de recurrencia para r=0 y los
valores de k=2,3,4,… es:
ya que para k=0 obtenemos la ecuación
indicial y para k=1 C1=0.
)
( 1
2


 
k
k
C
C k
k
0
0
0
0
1
2
0
0
1
2
1














b
x
b
x
x
Cy
x
y
c
x
c
x
y
r
n
n
n
r
n
n
n
ln
)
(
)
(
)
(
Ejemplo 4…
x
Senx
C
y
x
x
x
x
Senx
Entonces
x
x
x
x
Senx
Como
x
C
x
C
x
C
C
x
C
x
C
x
C
x
C
C
y
Si
C
C
C
k
C
C
k
C
C
C
k
C
C
k
C
C
k
Para
k
k
C
C
y
C
con
r
Para k
k
k
0
1
6
4
2
7
5
3
6
0
4
0
2
0
0
4
4
3
3
2
2
1
0
0
4
6
3
5
0
2
4
1
3
0
2
2
7
5
3
1
7
5
3
7
5
3
5040
5
6
0
4
5
120
20
4
0
12
3
6
2
1
0
0













































 




!
!
!
:
!
!
!
!
!
!
:
)
(
Ejemplo 4…
Cosx
b
x
x
y
Cosx
b
x
x
x
b
x
b
x
b
x
b
x
b
b
y
Si
b
b
b
k
b
b
k
b
b
b
k
b
b
k
b
b
k
Para
k
k
b
b
y
b
b
con
r
Para k
k
0
1
2
0
6
4
2
0
4
4
3
3
2
2
1
0
0
4
6
3
5
0
2
4
1
3
0
2
2
1
0
0
6
4
2
1
720
30
6
0
120
5
24
12
4
0
6
3
2
2
1
0
0
1











































ln
)
!
!
!
(
:
)
(
,
,


Ejemplo 4…
.
:
,
indicada
te
inicialmen
forma
la
a
e
correspond
forma
esta
x
Cosx
b
x
Senx
C
y
y
y
y
es
l
diferencia
ecuación
la
de
solución
la
ello
Con
0
0
2
1




Usar series de potencias para resolver ecuaciones
diferenciales no homogéneas
• El estudiante debe adquirir la competencia de resolver EDOL no
homogéneas usando serie de potencias
Método de coeficientes indeterminados de series
Sea la ecuación de la forma
𝑎2 𝑥
𝑑2𝑦
𝑑𝑥
+ 𝑎1 𝑥
𝑑𝑦
𝑑𝑥
+ 𝑎0 𝑥 𝑦 = ℎ(𝑥)
Donde 𝑎2 𝑥 , 𝑎1 𝑥 , 𝑎0 𝑥 y ℎ(𝑥) son analíticas en un intervalo de la
forma 𝑥 − 𝑥0 < 𝑅, la solución es de la forma
𝑦 =
𝑛=0
∞
𝑎𝑛 𝑥 − 𝑥0
𝑛 ≈ 𝑐1𝑦1 + 𝑐2𝑦2 + 𝑦𝑝
Haciendo el cambio 𝑧 = 𝑥 − 𝑥0 se puede considerar
𝑦 =
𝑛=0
∞
𝑎𝑛𝑧𝑛 =
𝑛=0
∞
𝑎𝑛𝑥𝑛
Ejemplo. Encuentre la solución del PVI 𝑦′′ + 𝑥2𝑦 = sin 𝑥 , 𝑦 0 = 0, 𝑦′ 0 = 0
Usamos serie de potencias alrededor de 𝒙𝟎 = 𝟎
𝒚 =
𝒏=𝟎
∞
𝒂𝒏𝒙𝒏 , 𝒚′ =
𝒏=𝟏
∞
𝒏𝒂𝒏𝒙𝒏−𝟏 , 𝒚′′ =
𝒏=𝟐
∞
𝒏(𝒏 − 𝟏)𝒂𝒏𝒙𝒏−𝟐
Reemplazando en la ecuación se tiene
𝒚′′
+ 𝒙𝟐
𝒚 = 𝒔𝒊𝒏 𝒙
𝒏=𝟐
∞
𝒏(𝒏 − 𝟏)𝒂𝒏𝒙𝒏−𝟐 + 𝒙𝟐
𝒏=𝟎
∞
𝒂𝒏𝒙𝒏 = 𝐬𝐢𝐧 𝒙
𝒏=𝟐
∞
𝒏(𝒏 − 𝟏)𝒂𝒏𝒙𝒏−𝟐
+
𝒏=𝟎
∞
𝒂𝒏𝒙𝒏+𝟐
= 𝒔𝒊𝒏 𝒙
𝒏=𝟎
∞
(𝒏 + 𝟐)(𝒏 + 𝟏)𝒂𝒏+𝟐𝒙𝒏 +
𝒏=𝟐
∞
𝒂𝒏−𝟐𝒙𝒏 = 𝒔𝒊𝒏 𝒙
Desplazando hasta 𝒏 = 𝟐 se tiene
𝟐𝒂𝟐 + 𝟔𝒂𝟑𝒙 +
𝒏=𝟐
∞
(𝒏 + 𝟐)(𝒏 + 𝟏)𝒂𝒏+𝟐𝒙𝒏 +
𝒏=𝟐
∞
𝒂𝒏−𝟐𝒙𝒏 = 𝒔𝒊𝒏 𝒙
𝟐𝒂𝟐 + 𝟔𝒂𝟑𝒙 +
𝒏=𝟐
∞
𝒏 + 𝟐 𝒏 + 𝟏 𝒂𝒏+𝟐 +𝒂𝒏−𝟐 𝒙𝒏 = 𝒙 −
𝒙𝟑
𝟑!
+
𝒙𝟓
𝟓!
+ ⋯
Igualando coeficientes se tiene 𝟐𝒂𝟐 = 𝟎, 𝟔𝒂𝟑 = 𝟏. Dando valores a 𝒏
𝒏 = 𝟐 ⟹ 𝟏𝟐𝒂𝟒 + 𝒂𝟎 = 𝟎 ⟹ 𝒂𝟒 = −
𝟏
𝟏𝟐
𝒂𝟎
𝒏 = 𝟑 ⟹ 𝟐𝟎𝒂𝟓 + 𝒂𝟏 = −
𝟏
𝟑!
⟹ 𝒂𝟓 = −
𝟏
𝟐𝟎
𝒂𝟏 −
𝟏
𝟏𝟐𝟎
𝒏 = 𝟒 ⟹ 𝟑𝟎𝒂𝟔 + 𝒂𝟐 = 𝟎 ⟹ 𝒂𝟔 = 𝟎
𝒏 = 𝟓 ⟹ 𝟒𝟐𝒂𝟕 + 𝒂𝟑 =
𝟏
𝟓!
⟹ 𝒂𝟕 =
𝟏
𝟒𝟐 × 𝟓!
−
𝟏
𝟒𝟐 × 𝟔
Reemplazando los valores se tiene
𝒚 = 𝒂𝟎 + 𝒂𝟏𝒙 + 𝒂𝟐𝒙𝟐
+ 𝒂𝟑𝒙𝟑
+ ⋯
𝒚 = 𝒂𝟎 + 𝒂𝟏𝒙 +
𝟏
𝟔
𝒙𝟑
−
𝟏
𝟏𝟐
𝒂𝟎𝒙𝟒
+ −
𝟏
𝟐𝟎
𝒂𝟏 +
𝟏
𝟏𝟐𝟎
𝒙𝟓
+
𝟏
𝟒𝟐 × 𝟓!
−
𝟏
𝟒𝟐 × 𝟔
𝒙𝟕
+ ⋯
𝒚 𝟎 = 𝟎 ⟹ 𝟎 = 𝒂𝟎
𝒚′
= 𝒂𝟏 +
𝟏
𝟐
𝒙𝟐
+ ⋯ , 𝒚′
𝟎 = 𝟎 ⟹ 𝟎 = 𝒂𝟏
𝒚 =
𝟏
𝟔
𝒙𝟑 +
𝟏
𝟏𝟐𝟎
𝒙𝟓 + ⋯

serie de potencias 04-07-23.pptx

Notas del editor

  • #51 Notas para el moderador: ¿Cuál es su propósito al compartir esta reflexión? ¿Es el final de un proyecto o unidad? ¿Está compartiendo esta reflexión como realización de un objetivo de aprendizaje que estableció para si mismo? ¿Es el final de un curso? Indique el propósito de su reflexión o incluso el propósito de la experiencia de aprendizaje o el objetivo de aprendizaje. Sea claro y específico al indicar su propósito.
  • #89 Notas para el moderador: ¿Cuál es su propósito al compartir esta reflexión? ¿Es el final de un proyecto o unidad? ¿Está compartiendo esta reflexión como realización de un objetivo de aprendizaje que estableció para si mismo? ¿Es el final de un curso? Indique el propósito de su reflexión o incluso el propósito de la experiencia de aprendizaje o el objetivo de aprendizaje. Sea claro y específico al indicar su propósito.