Integrales Indefinidas
Si conocemos la derivada parcial de f con respecto a y, se
podrá conocer la función que la generó?
xy
y
x
fy 4
)
,
( 
Integrar en y
Mantener x constante

 dy
y
x
f
y
x
f y )
,
(
)
,
(
Una primitiva de 2y es y2
La “constante” es función de x
dy
xy

 4
)
(
2
2
2
2
x
C
y
x
dy
y
x


 
Integrales definidas
Manteniendo una variable constante, se aplica el teorema
fundamental del cálculo al integrar en forma definida con
respecto a la otra variable.

x
dy
xy
2
1
4
Integrar en y, x es fija
El resultado es una función de x

2
2
2
1
y
x
x

2
2
1
2
)
2
(
2 x
x
x 
 x
x 2
8 3


Sustituimos y por los
límites de integración
Integrales definidas
Análogamente, podemos integrar en x manteniendo la otra
variable constante.
   
y
y
h
f
y
y
h
f
dx
y
x
f
y
h
y
h
x
),
(
),
(
)
,
(
1
2
)
(
)
(
2
1


 Con respecto a x
   
)
(
,
)
(
,
)
,
(
1
2
)
(
)
(
2
1
x
g
x
f
x
g
x
f
dy
y
x
f
x
g
x
g
y


 Con respecto a y
Integrales iteradas: La integral de una integral
Calcular
  dy
dx
y
x
y
y
  




 

2
0
2
2
2
2
2
10
∫
𝑦
2 𝑦
(10+2 𝑥
2
+2 𝑦
2
)𝑑𝑥=
[10 𝑥+
2
3
𝑥
3
+2 𝑦
2
𝑥
]2 𝑦
𝑦
Resolviendo la integral más interna
¿
[20 𝑦+
2
3
8 𝑦
3
+2 𝑦
2
2 𝑥
]
−
[10 𝑦 +
2
3
𝑦
3
+2 𝑦
2
𝑦
]
¿ 10 𝑦 +
20
3
𝑦
3
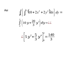
Asi
  





 

  dy
dx
y
x
y
y
2
0
2
2
2
2
2
10
∫
0
2
(10 𝑦+
20
3
𝑦
3
)𝑑𝑦=¿¿
¿
[5 𝑦2
+
5
3
𝑦4
]0
2
=
140
3
Integrales iteradas: La integral de una integral
Calcular
  dy
dx
y
x
I
y
y
  




 


2
0
2
2
2
2
2
10
2
0 
y
y
x
y 2


Región de
integración
    
 




Calcular   dy
dx
y
x
I
y
y
  




 


2
0
2
2
2
2
2
10
2
0 
x
x
y
x


2
Región I
2
0 
x
2
2

y
x
Región II
  








  dx
dy
y
x
I
x
x
2
0
2
2
2
2
2
10
  dx
dy
y
x
x
  







4
2
2
2
2
2
2
2
10
Integrales iteradas: La integral de una
integral
dx
dy
y
x
f
b
a
x
g
x
g
  




 )
(
)
(
2
1
)
,
(
Los limites interiores de integración pueden ser
variables con respecto a la variable exterior de
integración.
dy
dx
y
x
f
d
c
y
h
y
h
  




 )
(
)
(
2
1
)
,
(
Los limites exteriores de integración han de ser
constantes con respecto a las dos variables de
integración.
Área de una región en el plano
a b
Dx
g2
g1
b
x
a 

)
(
)
( 2
1 x
g
y
x
g 

Verticalmente simple
 dx
x
g
x
g
A
b
a
 
 )
(
)
( 1
2



)
(
)
(
1
2
2
1
)
(
)
(
x
g
x
g
dy
x
g
x
g
dx
dy
A
b
a
x
g
x
g


)
(
)
(
2
1
Área de una región en el plano
d
c
h1
h2
Dy
Horizontalmente simple
d
y
c 

)
(
)
( 2
1 y
h
x
y
h 

 dy
y
h
y
h
A
d
c
 
 )
(
)
( 1
2



)
(
)
(
1
2
2
1
)
(
)
(
y
h
y
h
dx
y
h
y
h
dy
dx
A
d
c
y
h
y
h


)
(
)
(
2
1
Integral doble y volumen de sólidos
Sea f una función continua definida en una región R del
plano xy tal que: 0
)
,
( 
y
x
f
)
,
( y
x
f
z  Superficie por encima del plano xy
 
d
y
c
b
x
a
y
x
R 



 ;
/
)
,
(
Consideremos primero una región rectangular:
Partición de la Región R:
x
y
d
c
a b

Norma de la
partición

Partición de la Región R
x
y
d
c
a b
Xi-1 Xi
Yj-1
Yj
i
A
 Área del i-ésimo
rectángulo
i
i
i y
x
A 


 *
Volumen del i-ésimo prisma
i
i
i A
y
x
f 
)
,
(
Volumen aproximado



p
i
i
i
i A
y
x
f
1
)
,
( Suma de Riemann
Al tomar particiones mas finas se logran
aproximaciones más precisas para el volumen.
Volumen exacto
i
i
p
i
i A
y
x
f 
 



)
,
(
lim
Volumen
1
0
ij
n
j
m
i
A
y
x
f j
i

 
 



)
,
(
lim
Volumen *
1
*
1
0
Volumen sobre una región cualquiera
Sea f una función continua definida en una región R del
plano xy tal que: 0
)
,
( 
y
x
f
)
,
( y
x
f
z  Superficie por encima del plano xy
 
d
y
c
b
x
a
y
x
T 



 ;
/
)
,
(
Consideremos un rectángulo :
que contiene a R.
Partición de la Región R:
x
y
d
c
a b

)
,
( y
x
f
0









R
T
y
x
si
R
y
x
si
y
x
f
y
x
F
)
,
(
0
)
,
(
)
,
(
)
,
(
Partición de la Región R:
x
y
d
c
a b

i
i
n
i
i A
y
x
F 
 



)
,
(
lim
Volumen
1
0
i
i
n
i
i A
y
x
f 
 



)
,
(
lim
Volumen
1
0
Definición de Integral Doble
Si f está definida en una región cerrada y acotada R del
plano xy, la integral doble de f sobre R viene dada por:


 




n
i
i
i
i
R A
y
x
f
A
d
y
x
f
1
0
)
,
(
)
,
( lim
Siempre que exista este limite. Si el limite existe, se dice
que f es integrable sobre R.
Definición de Integral Doble
Si f está definida en una región cerrada y acotada R del
plano xy, la integral doble de f sobre R viene dada por:
Siempre que exista este limite. Si el limite existe, se dice
que f es integrable sobre R.
ij
n
j
m
i
R
A
y
x
f
dA
y
x
f j
i

 

 



)
,
(
lim
)
,
( *
1
*
1
0
  ij
n
j
m
i
R
A
y
x
f
dA
y
x
f j
i

 

 




)
,
(
lim
)
,
( *
1
*
1
0
,
0
)
,
( 2
1
Volumen de una Región Sólida


R
dA
y
x
f
V )
,
(
Si f es integrable sobre una región plana R y 0
)
,
( 
y
x
f
para todo (x, y) en R, el volumen de la región sólida
acotada inferiormente por R y superiormente por la grafica
de f se define como:
Propiedades de las integrales dobles
Sean f y g continuas en una región cerrada y acotada R
del plano, y sea c una constante.
1
 

R R
dA
y
x
f
c
dA
y
x
cf )
,
(
)
,
(
2
  
  


R
R R
dA
y
x
g
dA
y
x
f
dA
y
x
g
y
x
f )
,
(
)
,
(
)
,
(
)
,
(
3
 
R
dA
y
x
f ,
0
)
,
( si 0
)
,
( 
y
x
f
Propiedades de las integrales dobles
4
 

R R
dA
y
x
g
dA
y
x
f ,
)
,
(
)
,
(
5

  

2
1
)
,
(
)
,
(
)
,
(
R
R R
dA
y
x
f
dA
y
x
f
dA
y
x
f
si
)
,
(
)
,
( y
x
g
y
x
f 
Donde R es la
unión de dos
regiones R1 y
R2 que no
solapan entre
sí.
R1 R2

Teoria Sobre Integrales Dobles (1ra Parte). Powerpoint

  • 1.
    Integrales Indefinidas Si conocemosla derivada parcial de f con respecto a y, se podrá conocer la función que la generó? xy y x fy 4 ) , (  Integrar en y Mantener x constante   dy y x f y x f y ) , ( ) , ( Una primitiva de 2y es y2 La “constante” es función de x dy xy   4 ) ( 2 2 2 2 x C y x dy y x    
  • 2.
    Integrales definidas Manteniendo unavariable constante, se aplica el teorema fundamental del cálculo al integrar en forma definida con respecto a la otra variable.  x dy xy 2 1 4 Integrar en y, x es fija El resultado es una función de x  2 2 2 1 y x x  2 2 1 2 ) 2 ( 2 x x x   x x 2 8 3   Sustituimos y por los límites de integración
  • 3.
    Integrales definidas Análogamente, podemosintegrar en x manteniendo la otra variable constante.     y y h f y y h f dx y x f y h y h x ), ( ), ( ) , ( 1 2 ) ( ) ( 2 1    Con respecto a x     ) ( , ) ( , ) , ( 1 2 ) ( ) ( 2 1 x g x f x g x f dy y x f x g x g y    Con respecto a y
  • 4.
    Integrales iteradas: Laintegral de una integral Calcular   dy dx y x y y           2 0 2 2 2 2 2 10 ∫ 𝑦 2 𝑦 (10+2 𝑥 2 +2 𝑦 2 )𝑑𝑥= [10 𝑥+ 2 3 𝑥 3 +2 𝑦 2 𝑥 ]2 𝑦 𝑦 Resolviendo la integral más interna ¿ [20 𝑦+ 2 3 8 𝑦 3 +2 𝑦 2 2 𝑥 ] − [10 𝑦 + 2 3 𝑦 3 +2 𝑦 2 𝑦 ] ¿ 10 𝑦 + 20 3 𝑦 3
  • 5.
    Asi             dy dx y x y y 2 0 2 2 2 2 2 10 ∫ 0 2 (10 𝑦+ 20 3 𝑦 3 )𝑑𝑦=¿¿ ¿ [5 𝑦2 + 5 3 𝑦4 ]0 2 = 140 3
  • 6.
    Integrales iteradas: Laintegral de una integral Calcular   dy dx y x I y y            2 0 2 2 2 2 2 10 2 0  y y x y 2   Región de integración           
  • 7.
    Calcular  dy dx y x I y y            2 0 2 2 2 2 2 10 2 0  x x y x   2 Región I 2 0  x 2 2  y x Región II              dx dy y x I x x 2 0 2 2 2 2 2 10   dx dy y x x           4 2 2 2 2 2 2 2 10
  • 8.
    Integrales iteradas: Laintegral de una integral dx dy y x f b a x g x g         ) ( ) ( 2 1 ) , ( Los limites interiores de integración pueden ser variables con respecto a la variable exterior de integración. dy dx y x f d c y h y h         ) ( ) ( 2 1 ) , ( Los limites exteriores de integración han de ser constantes con respecto a las dos variables de integración.
  • 9.
    Área de unaregión en el plano a b Dx g2 g1 b x a   ) ( ) ( 2 1 x g y x g   Verticalmente simple  dx x g x g A b a    ) ( ) ( 1 2    ) ( ) ( 1 2 2 1 ) ( ) ( x g x g dy x g x g dx dy A b a x g x g   ) ( ) ( 2 1
  • 10.
    Área de unaregión en el plano d c h1 h2 Dy Horizontalmente simple d y c   ) ( ) ( 2 1 y h x y h    dy y h y h A d c    ) ( ) ( 1 2    ) ( ) ( 1 2 2 1 ) ( ) ( y h y h dx y h y h dy dx A d c y h y h   ) ( ) ( 2 1
  • 11.
    Integral doble yvolumen de sólidos Sea f una función continua definida en una región R del plano xy tal que: 0 ) , (  y x f ) , ( y x f z  Superficie por encima del plano xy   d y c b x a y x R      ; / ) , ( Consideremos primero una región rectangular:
  • 12.
    Partición de laRegión R: x y d c a b  Norma de la partición 
  • 13.
    Partición de laRegión R x y d c a b Xi-1 Xi Yj-1 Yj i A  Área del i-ésimo rectángulo i i i y x A     *
  • 14.
    Volumen del i-ésimoprisma i i i A y x f  ) , (
  • 15.
  • 16.
    Al tomar particionesmas finas se logran aproximaciones más precisas para el volumen. Volumen exacto i i p i i A y x f       ) , ( lim Volumen 1 0 ij n j m i A y x f j i         ) , ( lim Volumen * 1 * 1 0
  • 22.
    Volumen sobre unaregión cualquiera Sea f una función continua definida en una región R del plano xy tal que: 0 ) , (  y x f ) , ( y x f z  Superficie por encima del plano xy   d y c b x a y x T      ; / ) , ( Consideremos un rectángulo : que contiene a R.
  • 23.
    Partición de laRegión R: x y d c a b  ) , ( y x f 0          R T y x si R y x si y x f y x F ) , ( 0 ) , ( ) , ( ) , (
  • 24.
    Partición de laRegión R: x y d c a b  i i n i i A y x F       ) , ( lim Volumen 1 0 i i n i i A y x f       ) , ( lim Volumen 1 0
  • 25.
    Definición de IntegralDoble Si f está definida en una región cerrada y acotada R del plano xy, la integral doble de f sobre R viene dada por:         n i i i i R A y x f A d y x f 1 0 ) , ( ) , ( lim Siempre que exista este limite. Si el limite existe, se dice que f es integrable sobre R.
  • 26.
    Definición de IntegralDoble Si f está definida en una región cerrada y acotada R del plano xy, la integral doble de f sobre R viene dada por: Siempre que exista este limite. Si el limite existe, se dice que f es integrable sobre R. ij n j m i R A y x f dA y x f j i          ) , ( lim ) , ( * 1 * 1 0   ij n j m i R A y x f dA y x f j i           ) , ( lim ) , ( * 1 * 1 0 , 0 ) , ( 2 1
  • 27.
    Volumen de unaRegión Sólida   R dA y x f V ) , ( Si f es integrable sobre una región plana R y 0 ) , (  y x f para todo (x, y) en R, el volumen de la región sólida acotada inferiormente por R y superiormente por la grafica de f se define como:
  • 28.
    Propiedades de lasintegrales dobles Sean f y g continuas en una región cerrada y acotada R del plano, y sea c una constante. 1    R R dA y x f c dA y x cf ) , ( ) , ( 2         R R R dA y x g dA y x f dA y x g y x f ) , ( ) , ( ) , ( ) , ( 3   R dA y x f , 0 ) , ( si 0 ) , (  y x f
  • 29.
    Propiedades de lasintegrales dobles 4    R R dA y x g dA y x f , ) , ( ) , ( 5      2 1 ) , ( ) , ( ) , ( R R R dA y x f dA y x f dA y x f si ) , ( ) , ( y x g y x f  Donde R es la unión de dos regiones R1 y R2 que no solapan entre sí. R1 R2