INTEGRALES DOBLES
Andrés Felipe Parra Ceballos - 20182171975
Juan Edison Giraldo Zuluaga - 20182172723
Diego Alejandro Perdomo Montealegre - 20182171982
TEMAS
• Integrales múltiples
• Integrales dobles
• Integrales dobles rectangulares (Tipo l y ll)
• Integrales dobles circulares
Integrales múltiples
• Las integrales múltiples son un tipo de integral definida aplicada en
funciones de más de una variable, es decir de 𝑓 𝑥, 𝑦 o 𝑓(𝑥, 𝑦, 𝑧).
• Una integral de una función de una sola variable 𝑓(𝑥), se puede interpretar
como el área entre la gráfica de la función y en el eje x en ese intervalo. La
doble integral de una función de 2 variables se define como el volumen entre
la superficie definida por la función y el plano xy en ese intervalo.
Desarrollo de integrales múltiples
• Al desarrollar una integral triple, define una región del espacio xyz y el
resultado es un hipervolumen.
• La mejor manera de interpretar una integral múltiple es anidando signos de
integración, en el orden inverso al orden de ejecución, es decir, el de la
izquierda es el ultimo en ser resuelto.
. . .
𝐷
𝒇 𝒙1, 𝒙2, … , 𝒙 𝒏 𝒅𝒙1 𝒅𝒙2 … 𝒅𝒙 𝒏
Ejemplo de integrales múltiples
1. Calcular la siguiente integral doble 1
4
0
2
6𝑥2
𝑦 − 2𝑥 𝑑𝑥 𝑑𝑦
Separamos la integral interna en una resta de dos integrales e integramos
respecto a y
𝟏
𝟒
𝟎
𝟐
𝟔𝒙 𝟐 𝒚 𝒅𝒚 − 𝟎
𝟐
𝟐𝒙 𝒅𝒚 𝒅𝒙
Como integramos respecto a y entonces x es una constante y la sacamos de las
integrales
𝟏
𝟒
𝟔𝒙 𝟐
𝟎
𝟐
𝒚 𝒅𝒚 − 𝟐𝒙 𝟎
𝟐
𝒅𝒚 𝒅𝒙
Resolvemos las integrales y mencionamos los puntos en donde serán
evaluados
𝟏
𝟒
𝟔𝒙 𝟐(
𝒚 𝟐
𝟐 𝟎
𝟐
) − 𝟐𝒙(𝒚 𝟎
𝟐
) 𝒅𝒙
Reemplazamos los puntos en y y resolvemos las operaciones.
𝟏
𝟒
𝟔𝒙 𝟐
(
𝟐 𝟐
𝟐
−
𝟎 𝟐
𝟐
) − 𝟐𝒙(𝟐 − 𝟎) 𝒅𝒙
𝟏
𝟒
𝟔𝒙 𝟐
(𝟐) − 𝟐𝒙(𝟐) 𝒅𝒙
Terminamos de hacer operaciones y nos queda una integral de una sola variable.
𝟏
𝟒
𝟏𝟐𝒙 𝟐 − 𝟒𝒙 𝒅𝒙
Resolvemos integral sencilla
𝟏
𝟒
𝟏𝟐𝒙 𝟐 𝒅𝒙 − 𝟏
𝟒
𝟒𝒙 𝒅𝒙
𝟏𝟐 𝟏
𝟒
𝒙 𝟐
𝒅𝒙 − 𝟒 𝟏
𝟒
𝒙 𝒅𝒙
𝟏𝟐
𝒙 𝟑
𝟑 𝟏
𝟒
− 𝟒
𝒙 𝟐
𝟐 𝟏
𝟒
𝟏𝟐
𝟒 𝟑
𝟑
−
𝟏 𝟑
𝟑
− 𝟒
𝟒 𝟐
𝟐
−
𝟏 𝟑
𝟐
= > 𝟏𝟐
𝟔𝟒
𝟑
−
𝟏
𝟑
− 𝟒
𝟏𝟔
𝟐
−
𝟏
𝟐
𝟏𝟐 𝟐𝟏 − 𝟒𝟒
𝟏𝟓
𝟐
= > 𝟐𝟓𝟐 − 𝟑𝟎 = 𝟐𝟐𝟐
2. Calcular la siguiente integral triple 0
2
0
2+𝑦
0
1−3𝑧2
𝑑𝑥 𝑑𝑧 𝑑𝑦
Integramos de adentro para afuera, iniciando en este caso con dx
0
2
0
2+𝑦
𝑥 0
1−3𝑧2
𝑑𝑧 𝑑𝑦 =>
0
2
0
2+𝑦
1 − 3𝑧2 𝑑𝑧 𝑑𝑦
Integramos la siguiente variable que es dz
0
2
𝑧 − 𝑧3
0
2+𝑦
𝑑𝑦 =>
0
2
2 + 𝑦 − (2 + 𝑦)3 𝑑𝑦
Solucionamos el binomio al cubo
0
2
2 + 𝑦 − (2 + 𝑦)3 𝑑𝑦 =>
0
2
2 + 𝑦 − 8 − 12𝑦 − 6𝑦2 −𝑦3 𝑑𝑦
0
2
(−6 − 11𝑦 − 6𝑦2−𝑦3) 𝑑𝑦 => −6𝑦 −
11𝑦2
2
− 2𝑦3 −
𝑦4
4 0
2
Evaluamos el resultado
−6 2 −
11 2 2
2
− 2 2 3
−
2 4
4
=> −12 − 22 − 16 − 4 = −54
Integrales dobles
• La integral doble es integrar funciones de dos variables f(x,y) para lo cual se
emplearán las mismas técnicas que se utilizaron en la evaluación de las
integrales simples. Sin embargo, como se incluyen dos variables, se debe
integrar f(x,y) manteniendo una variable fija e integrando respecto a la otra
• La integral doble de f sobre la región R, está dada por el valor común de las
dos integrales iteradas
𝑅 𝑓(𝑥, 𝑦)𝑑𝐴 =
𝑐
𝑑
𝑎
𝑏
𝑓(𝑥, 𝑦) 𝑑𝑥 𝑑𝑦 =
𝑎
𝑏
𝑐
𝑑
𝑓(𝑥, 𝑦) 𝑑𝑦 𝑑𝑥
• Donde a, b, c, y d son los límites de integración de la región R
Ejemplo integral doble
• Para resolver una integral doble, se mantiene fija una variable y se integra
con respecto a la otra variable
• Calcular la integral doble de 𝟎
𝟏
𝒙
𝟏+𝒙
𝟐𝒙𝒚 𝒅𝒚 𝒅𝒙
• Primer paso integrar desde lo interno hasta lo externo
•
0
1
( 𝑥
1+𝑥
2𝑥𝑦 𝑑𝑦) 𝑑𝑥
• Integramos la segunda integral
•
𝟎
𝟏
𝟐𝒙
𝒚 𝟐
𝟐
𝟏+𝒙
𝒙
𝒅𝒙
• Simplificamos el término 2
•
0
1
𝑥𝑦2 1+𝑥
𝑥
𝑑𝑥
• Reemplazamos los límites de la segunda
integral
•
0
1
𝑥 1 + 𝑥 2 − 𝑥 𝑥 2 𝑑𝑥
• Aplicamos producto notable caso binomio
cuadrado perfecto (𝑎 + 𝑏)2
•
0
1
𝑥 1 + 2𝑥 + 𝑥2 − (𝑥)(𝑥) 𝑑𝑥
• Aplicamos ley distributiva
•
0
1
𝑥 + 2𝑥2 + 𝑥3 − 𝑥2 − 𝑥2 𝑑𝑥
• Nos queda una integral directa
•
0
1
𝑥 + 𝑥2 + 𝑥3 𝑑𝑥
• Aplicamos Teorema Fundamental del Calculo
•
𝑥2
2
+
𝑥3
3
+
𝑥4
4
] 1
0
• Reemplazamos los limites (1) y (0)
• (
1
2
+
1
3
+
1
4
) – (0) =
13
12
Integrales dobles rectangulares TIPO l
• Cuando la región de integración es un rectángulo
Q = [𝑎, 𝑏] ∗ [𝑐, 𝑑]
𝑄
𝑓(𝑥, 𝑦) 𝑑𝑥 𝑑𝑦
Región roja equivale a Q
𝑎
𝑏
(
𝑐
𝑑
𝑓(𝑥, 𝑦) 𝑑𝑦 ) 𝑑𝑥 =
𝑐
𝑑
(
𝑎
𝑏
𝑓(𝑥, 𝑦) 𝑑𝑥 ) 𝑑𝑦
Se puede resolver de las dos formas
El resultado siempre es un número real
Ejemplo
•
0
1
0
2
𝑥𝑦 𝑑𝑦 𝑑𝑥
•
0
1
𝑥
𝑦2
2
] 2
0
𝑑𝑥
•
0
1
𝑥 (2 − 0) 𝑑𝑥
•
0
1
2𝑥 𝑑𝑥
• 2
𝑥2
2
• 𝑥2] 1
0
• 1
Integrales dobles rectangulares TIPO ll
• Q = {(x,y | a≤ 𝑥 ≤ 𝑏, h(x)≤ 𝑦 ≤ 𝑔(𝑥)} donde A y B son constante
G(x), h(x) es una función variable
𝑄
𝑓(𝑥, 𝑦)𝑑𝑥𝑑𝑦 =
𝑎
𝑏
ℎ(𝑥)
𝑔(𝑥)
𝑓(𝑥, 𝑦) 𝑑𝑦 𝑑𝑥
• Para resolver
• Primero se evalúa la integral común y corriente
• La variable y, se calcula la integral con respecto a
la variable y
• Luego se reemplaza ese valor obtenido y en h(x) y
g(x)
• El resultado de esta función en x
• Ese resultado se integra con respecto x
• Sería un número real
Integrales dobles circulares
• Son integrales dobles las cuales se van a evaluar en regiones circulares o
regiones comprendidas entre dos círculos ejemplo:
• Si nos pidiera hallar la integral doble del circulo sombreado en marron entonces se
procedería a hallar los limites de integración los cuales, como se logra observar en la
figura los cuales van de −𝑎 ≤ 𝑥 ≤ 𝑎 logrando hallar los limites de la integración y
formulándolos en la integración nos quedaría algo así:
Nos encontramos con una integral la cual no resulta tan sencilla para poderse integrar, para
poder facilitar el trabajo podemos recurrir a una región polar reduciendo la dificultad del
calculo de la ecuación.
Para esto se tiene que tener en cuenta que la región circular se obtiene al hacer rotar un
segmento de la recta en torno al origen de sistema.
Para poder realizar la conversión a coordenadas polares debemos recordar:
𝑟2
= 𝑥2
+ 𝑦2
; 𝑥 = 𝑟. 𝑐𝑜𝑠𝜃; 𝑦 = 𝑟. 𝑠𝑒𝑛𝜃
• Realizando sustituciones quedaría una ecuación así
•
0
𝑎
0
2𝜋
𝑓(𝑟. 𝑐𝑜𝑠𝜃, 𝑟. 𝑠𝑒𝑛𝜃) 𝑑𝐴
• Entonces tomando pequeños diferenciales los cuales se aproximan a una región
rectangular nos quedaría la siguiente integral:
Por lo tanto para poder encontrar una
integral en coordenadas polares se
debe:
Expresar la región en el sistema polar,
y determinar los limites de la
integración.
Sustituir en la función integrando las
coordenadas polares por su
equivalente en coordenadas polares.
Remplazar el diferencial de área por su
equivalencia en coordenadas polares.
Evaluar la integral resultante.
Ejemplo
• Dibujamos la región comprendida entre los círculos dados.
Al tratar de evaluar la integral en
coordenadas rectangulares esta se
tiene que dividir en dos cuyos
limites de integración son:
0 ≤ 2
4 − 𝑥2 ≤ 𝑦 ≤ 25 − 𝑥2
2 ≤ 𝑥 ≤ 5
0 ≤ 𝑦 ≤ 25 − 𝑥2
Los limites de integración en
coordenadas polares son:
2 ≤ 𝑟 ≤ 5; 0 ≤ 𝜃 ≤
𝜋
2
• Realizando los cambios en la integral se
obtiene que:
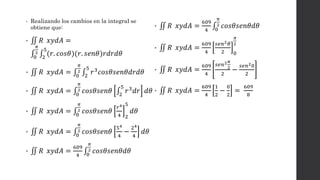
• 𝑅 𝑥𝑦𝑑𝐴 =
0
𝜋
2
2
5
(𝑟. 𝑐𝑜𝑠𝜃)(𝑟. 𝑠𝑒𝑛𝜃)𝑟𝑑𝑟𝑑𝜃
• 𝑅 𝑥𝑦𝑑𝐴 = 0
𝜋
2
2
5
𝑟3 𝑐𝑜𝑠𝜃𝑠𝑒𝑛𝜃𝑑𝑟𝑑𝜃
• 𝑅 𝑥𝑦𝑑𝐴 = 0
𝜋
2 𝑐𝑜𝑠𝜃𝑠𝑒𝑛𝜃 2
5
𝑟3 𝑑𝑟 𝑑𝜃
• 𝑅 𝑥𝑦𝑑𝐴 = 0
𝜋
2 𝑐𝑜𝑠𝜃𝑠𝑒𝑛𝜃
𝑟4
4 2
5
𝑑𝜃
• 𝑅 𝑥𝑦𝑑𝐴 = 0
𝜋
2 𝑐𝑜𝑠𝜃𝑠𝑒𝑛𝜃
54
4
−
24
4
𝑑𝜃
• 𝑅 𝑥𝑦𝑑𝐴 =
609
4 0
𝜋
2 𝑐𝑜𝑠𝜃𝑠𝑒𝑛𝜃𝑑𝜃
• 𝑅 𝑥𝑦𝑑𝐴 =
609
4 0
𝜋
2 𝑐𝑜𝑠𝜃𝑠𝑒𝑛𝜃𝑑𝜃
• 𝑅 𝑥𝑦𝑑𝐴 =
609
4
𝑠𝑒𝑛2 𝜃
2 0
𝜋
2
• 𝑅 𝑥𝑦𝑑𝐴 =
609
4
𝑠𝑒𝑛2 𝜋
2
2
−
𝑠𝑒𝑛20
2
• 𝑅 𝑥𝑦𝑑𝐴 =
609
4
1
2
−
0
2
=
609
8
BIBLIOGRAFIA
• http://www.mate.unlp.edu.ar/practicas/114_6_13052015231314.pdf
• https://slideplayer.es/slide/5653636/
• https://matematica.laguia2000.com/general/integrales-dobles
• https://www.dspace.espol.edu.ec/bitstream/123456789/7287/5/5-
Integraci%C3%B3n%20M%C3%BAltiple.pdf
• https://es.slideshare.net/fernandocb3/integrales-dobles-49625392
• https://es.slideshare.net/fernandocb3/integrales-dobles-49625392
• https://es.khanacademy.org/math/multivariable-calculus/integrating-multivariable-
functions/double-integrals-a/a/double-integrals-in-polar-coordinates
• http://sgpwe.izt.uam.mx/files/users/uami/ceciliahd/cvvi/CoordenadasPolaresCilindricasEsfer
icasThomas.pdf
• https://sites.google.com/site/pesqueriagrupocal/5-calculo-de-varias-variables/integrales-
dobles-en-coordenadas-polares

Integrales multiples

  • 1.
    INTEGRALES DOBLES Andrés FelipeParra Ceballos - 20182171975 Juan Edison Giraldo Zuluaga - 20182172723 Diego Alejandro Perdomo Montealegre - 20182171982
  • 2.
    TEMAS • Integrales múltiples •Integrales dobles • Integrales dobles rectangulares (Tipo l y ll) • Integrales dobles circulares
  • 3.
    Integrales múltiples • Lasintegrales múltiples son un tipo de integral definida aplicada en funciones de más de una variable, es decir de 𝑓 𝑥, 𝑦 o 𝑓(𝑥, 𝑦, 𝑧). • Una integral de una función de una sola variable 𝑓(𝑥), se puede interpretar como el área entre la gráfica de la función y en el eje x en ese intervalo. La doble integral de una función de 2 variables se define como el volumen entre la superficie definida por la función y el plano xy en ese intervalo.
  • 4.
    Desarrollo de integralesmúltiples • Al desarrollar una integral triple, define una región del espacio xyz y el resultado es un hipervolumen. • La mejor manera de interpretar una integral múltiple es anidando signos de integración, en el orden inverso al orden de ejecución, es decir, el de la izquierda es el ultimo en ser resuelto. . . . 𝐷 𝒇 𝒙1, 𝒙2, … , 𝒙 𝒏 𝒅𝒙1 𝒅𝒙2 … 𝒅𝒙 𝒏
  • 5.
    Ejemplo de integralesmúltiples 1. Calcular la siguiente integral doble 1 4 0 2 6𝑥2 𝑦 − 2𝑥 𝑑𝑥 𝑑𝑦 Separamos la integral interna en una resta de dos integrales e integramos respecto a y 𝟏 𝟒 𝟎 𝟐 𝟔𝒙 𝟐 𝒚 𝒅𝒚 − 𝟎 𝟐 𝟐𝒙 𝒅𝒚 𝒅𝒙 Como integramos respecto a y entonces x es una constante y la sacamos de las integrales 𝟏 𝟒 𝟔𝒙 𝟐 𝟎 𝟐 𝒚 𝒅𝒚 − 𝟐𝒙 𝟎 𝟐 𝒅𝒚 𝒅𝒙 Resolvemos las integrales y mencionamos los puntos en donde serán evaluados 𝟏 𝟒 𝟔𝒙 𝟐( 𝒚 𝟐 𝟐 𝟎 𝟐 ) − 𝟐𝒙(𝒚 𝟎 𝟐 ) 𝒅𝒙
  • 6.
    Reemplazamos los puntosen y y resolvemos las operaciones. 𝟏 𝟒 𝟔𝒙 𝟐 ( 𝟐 𝟐 𝟐 − 𝟎 𝟐 𝟐 ) − 𝟐𝒙(𝟐 − 𝟎) 𝒅𝒙 𝟏 𝟒 𝟔𝒙 𝟐 (𝟐) − 𝟐𝒙(𝟐) 𝒅𝒙 Terminamos de hacer operaciones y nos queda una integral de una sola variable. 𝟏 𝟒 𝟏𝟐𝒙 𝟐 − 𝟒𝒙 𝒅𝒙 Resolvemos integral sencilla 𝟏 𝟒 𝟏𝟐𝒙 𝟐 𝒅𝒙 − 𝟏 𝟒 𝟒𝒙 𝒅𝒙 𝟏𝟐 𝟏 𝟒 𝒙 𝟐 𝒅𝒙 − 𝟒 𝟏 𝟒 𝒙 𝒅𝒙 𝟏𝟐 𝒙 𝟑 𝟑 𝟏 𝟒 − 𝟒 𝒙 𝟐 𝟐 𝟏 𝟒 𝟏𝟐 𝟒 𝟑 𝟑 − 𝟏 𝟑 𝟑 − 𝟒 𝟒 𝟐 𝟐 − 𝟏 𝟑 𝟐 = > 𝟏𝟐 𝟔𝟒 𝟑 − 𝟏 𝟑 − 𝟒 𝟏𝟔 𝟐 − 𝟏 𝟐 𝟏𝟐 𝟐𝟏 − 𝟒𝟒 𝟏𝟓 𝟐 = > 𝟐𝟓𝟐 − 𝟑𝟎 = 𝟐𝟐𝟐
  • 7.
    2. Calcular lasiguiente integral triple 0 2 0 2+𝑦 0 1−3𝑧2 𝑑𝑥 𝑑𝑧 𝑑𝑦 Integramos de adentro para afuera, iniciando en este caso con dx 0 2 0 2+𝑦 𝑥 0 1−3𝑧2 𝑑𝑧 𝑑𝑦 => 0 2 0 2+𝑦 1 − 3𝑧2 𝑑𝑧 𝑑𝑦 Integramos la siguiente variable que es dz 0 2 𝑧 − 𝑧3 0 2+𝑦 𝑑𝑦 => 0 2 2 + 𝑦 − (2 + 𝑦)3 𝑑𝑦 Solucionamos el binomio al cubo 0 2 2 + 𝑦 − (2 + 𝑦)3 𝑑𝑦 => 0 2 2 + 𝑦 − 8 − 12𝑦 − 6𝑦2 −𝑦3 𝑑𝑦 0 2 (−6 − 11𝑦 − 6𝑦2−𝑦3) 𝑑𝑦 => −6𝑦 − 11𝑦2 2 − 2𝑦3 − 𝑦4 4 0 2 Evaluamos el resultado −6 2 − 11 2 2 2 − 2 2 3 − 2 4 4 => −12 − 22 − 16 − 4 = −54
  • 8.
    Integrales dobles • Laintegral doble es integrar funciones de dos variables f(x,y) para lo cual se emplearán las mismas técnicas que se utilizaron en la evaluación de las integrales simples. Sin embargo, como se incluyen dos variables, se debe integrar f(x,y) manteniendo una variable fija e integrando respecto a la otra • La integral doble de f sobre la región R, está dada por el valor común de las dos integrales iteradas 𝑅 𝑓(𝑥, 𝑦)𝑑𝐴 = 𝑐 𝑑 𝑎 𝑏 𝑓(𝑥, 𝑦) 𝑑𝑥 𝑑𝑦 = 𝑎 𝑏 𝑐 𝑑 𝑓(𝑥, 𝑦) 𝑑𝑦 𝑑𝑥 • Donde a, b, c, y d son los límites de integración de la región R
  • 9.
    Ejemplo integral doble •Para resolver una integral doble, se mantiene fija una variable y se integra con respecto a la otra variable • Calcular la integral doble de 𝟎 𝟏 𝒙 𝟏+𝒙 𝟐𝒙𝒚 𝒅𝒚 𝒅𝒙 • Primer paso integrar desde lo interno hasta lo externo • 0 1 ( 𝑥 1+𝑥 2𝑥𝑦 𝑑𝑦) 𝑑𝑥 • Integramos la segunda integral • 𝟎 𝟏 𝟐𝒙 𝒚 𝟐 𝟐 𝟏+𝒙 𝒙 𝒅𝒙
  • 10.
    • Simplificamos eltérmino 2 • 0 1 𝑥𝑦2 1+𝑥 𝑥 𝑑𝑥 • Reemplazamos los límites de la segunda integral • 0 1 𝑥 1 + 𝑥 2 − 𝑥 𝑥 2 𝑑𝑥 • Aplicamos producto notable caso binomio cuadrado perfecto (𝑎 + 𝑏)2 • 0 1 𝑥 1 + 2𝑥 + 𝑥2 − (𝑥)(𝑥) 𝑑𝑥 • Aplicamos ley distributiva • 0 1 𝑥 + 2𝑥2 + 𝑥3 − 𝑥2 − 𝑥2 𝑑𝑥 • Nos queda una integral directa • 0 1 𝑥 + 𝑥2 + 𝑥3 𝑑𝑥 • Aplicamos Teorema Fundamental del Calculo • 𝑥2 2 + 𝑥3 3 + 𝑥4 4 ] 1 0 • Reemplazamos los limites (1) y (0) • ( 1 2 + 1 3 + 1 4 ) – (0) = 13 12
  • 11.
    Integrales dobles rectangularesTIPO l • Cuando la región de integración es un rectángulo Q = [𝑎, 𝑏] ∗ [𝑐, 𝑑] 𝑄 𝑓(𝑥, 𝑦) 𝑑𝑥 𝑑𝑦 Región roja equivale a Q 𝑎 𝑏 ( 𝑐 𝑑 𝑓(𝑥, 𝑦) 𝑑𝑦 ) 𝑑𝑥 = 𝑐 𝑑 ( 𝑎 𝑏 𝑓(𝑥, 𝑦) 𝑑𝑥 ) 𝑑𝑦 Se puede resolver de las dos formas El resultado siempre es un número real
  • 12.
    Ejemplo • 0 1 0 2 𝑥𝑦 𝑑𝑦 𝑑𝑥 • 0 1 𝑥 𝑦2 2 ]2 0 𝑑𝑥 • 0 1 𝑥 (2 − 0) 𝑑𝑥 • 0 1 2𝑥 𝑑𝑥 • 2 𝑥2 2 • 𝑥2] 1 0 • 1
  • 13.
    Integrales dobles rectangularesTIPO ll • Q = {(x,y | a≤ 𝑥 ≤ 𝑏, h(x)≤ 𝑦 ≤ 𝑔(𝑥)} donde A y B son constante G(x), h(x) es una función variable 𝑄 𝑓(𝑥, 𝑦)𝑑𝑥𝑑𝑦 = 𝑎 𝑏 ℎ(𝑥) 𝑔(𝑥) 𝑓(𝑥, 𝑦) 𝑑𝑦 𝑑𝑥 • Para resolver • Primero se evalúa la integral común y corriente • La variable y, se calcula la integral con respecto a la variable y • Luego se reemplaza ese valor obtenido y en h(x) y g(x) • El resultado de esta función en x • Ese resultado se integra con respecto x • Sería un número real
  • 14.
    Integrales dobles circulares •Son integrales dobles las cuales se van a evaluar en regiones circulares o regiones comprendidas entre dos círculos ejemplo:
  • 15.
    • Si nospidiera hallar la integral doble del circulo sombreado en marron entonces se procedería a hallar los limites de integración los cuales, como se logra observar en la figura los cuales van de −𝑎 ≤ 𝑥 ≤ 𝑎 logrando hallar los limites de la integración y formulándolos en la integración nos quedaría algo así: Nos encontramos con una integral la cual no resulta tan sencilla para poderse integrar, para poder facilitar el trabajo podemos recurrir a una región polar reduciendo la dificultad del calculo de la ecuación. Para esto se tiene que tener en cuenta que la región circular se obtiene al hacer rotar un segmento de la recta en torno al origen de sistema. Para poder realizar la conversión a coordenadas polares debemos recordar: 𝑟2 = 𝑥2 + 𝑦2 ; 𝑥 = 𝑟. 𝑐𝑜𝑠𝜃; 𝑦 = 𝑟. 𝑠𝑒𝑛𝜃
  • 16.
    • Realizando sustitucionesquedaría una ecuación así • 0 𝑎 0 2𝜋 𝑓(𝑟. 𝑐𝑜𝑠𝜃, 𝑟. 𝑠𝑒𝑛𝜃) 𝑑𝐴 • Entonces tomando pequeños diferenciales los cuales se aproximan a una región rectangular nos quedaría la siguiente integral: Por lo tanto para poder encontrar una integral en coordenadas polares se debe: Expresar la región en el sistema polar, y determinar los limites de la integración. Sustituir en la función integrando las coordenadas polares por su equivalente en coordenadas polares. Remplazar el diferencial de área por su equivalencia en coordenadas polares. Evaluar la integral resultante.
  • 17.
    Ejemplo • Dibujamos laregión comprendida entre los círculos dados. Al tratar de evaluar la integral en coordenadas rectangulares esta se tiene que dividir en dos cuyos limites de integración son: 0 ≤ 2 4 − 𝑥2 ≤ 𝑦 ≤ 25 − 𝑥2 2 ≤ 𝑥 ≤ 5 0 ≤ 𝑦 ≤ 25 − 𝑥2 Los limites de integración en coordenadas polares son: 2 ≤ 𝑟 ≤ 5; 0 ≤ 𝜃 ≤ 𝜋 2
  • 18.
    • Realizando loscambios en la integral se obtiene que: • 𝑅 𝑥𝑦𝑑𝐴 = 0 𝜋 2 2 5 (𝑟. 𝑐𝑜𝑠𝜃)(𝑟. 𝑠𝑒𝑛𝜃)𝑟𝑑𝑟𝑑𝜃 • 𝑅 𝑥𝑦𝑑𝐴 = 0 𝜋 2 2 5 𝑟3 𝑐𝑜𝑠𝜃𝑠𝑒𝑛𝜃𝑑𝑟𝑑𝜃 • 𝑅 𝑥𝑦𝑑𝐴 = 0 𝜋 2 𝑐𝑜𝑠𝜃𝑠𝑒𝑛𝜃 2 5 𝑟3 𝑑𝑟 𝑑𝜃 • 𝑅 𝑥𝑦𝑑𝐴 = 0 𝜋 2 𝑐𝑜𝑠𝜃𝑠𝑒𝑛𝜃 𝑟4 4 2 5 𝑑𝜃 • 𝑅 𝑥𝑦𝑑𝐴 = 0 𝜋 2 𝑐𝑜𝑠𝜃𝑠𝑒𝑛𝜃 54 4 − 24 4 𝑑𝜃 • 𝑅 𝑥𝑦𝑑𝐴 = 609 4 0 𝜋 2 𝑐𝑜𝑠𝜃𝑠𝑒𝑛𝜃𝑑𝜃 • 𝑅 𝑥𝑦𝑑𝐴 = 609 4 0 𝜋 2 𝑐𝑜𝑠𝜃𝑠𝑒𝑛𝜃𝑑𝜃 • 𝑅 𝑥𝑦𝑑𝐴 = 609 4 𝑠𝑒𝑛2 𝜃 2 0 𝜋 2 • 𝑅 𝑥𝑦𝑑𝐴 = 609 4 𝑠𝑒𝑛2 𝜋 2 2 − 𝑠𝑒𝑛20 2 • 𝑅 𝑥𝑦𝑑𝐴 = 609 4 1 2 − 0 2 = 609 8
  • 19.
    BIBLIOGRAFIA • http://www.mate.unlp.edu.ar/practicas/114_6_13052015231314.pdf • https://slideplayer.es/slide/5653636/ •https://matematica.laguia2000.com/general/integrales-dobles • https://www.dspace.espol.edu.ec/bitstream/123456789/7287/5/5- Integraci%C3%B3n%20M%C3%BAltiple.pdf • https://es.slideshare.net/fernandocb3/integrales-dobles-49625392 • https://es.slideshare.net/fernandocb3/integrales-dobles-49625392 • https://es.khanacademy.org/math/multivariable-calculus/integrating-multivariable- functions/double-integrals-a/a/double-integrals-in-polar-coordinates • http://sgpwe.izt.uam.mx/files/users/uami/ceciliahd/cvvi/CoordenadasPolaresCilindricasEsfer icasThomas.pdf • https://sites.google.com/site/pesqueriagrupocal/5-calculo-de-varias-variables/integrales- dobles-en-coordenadas-polares