Diagnósticos, intervenciones
y resultados de Enfermería
en Atención Domiciliaria
2006
Publicación acreditada de interés profesional
para la Enfermera Comunitaria por la
Asociación de Enfermería Comunitaria (A.E.C.)
Redacción
Josep Adolf Guirao-Goris (coordinador)
Adela Alonso Gallegos
Pepa Soler Leyva
Mª José Dasí García
Grupo de Metodología de cuidados IMAD
Josep Adolf Guirao-Goris (2001 -2006)
Adela Alonso Gallegos (2001 -2006)
Pepa Soler Leyva (2001 -2006)
Mª José Dasí García (2001 -2006)
Elena Costa Ferrer (2001 -2005)
José Vicente Cardona (2001 -2005)
Mª Ángeles Perpiñá (2001 -2004)
Antonio Ruiz Hontangas (2001 -2002)
Edita: Generalitat Valenciana. Conselleria de Sanitat
© de la presente edición: Generalitat Valenciana, 2006.
© de los textos: los autores.
Coordinación: Josep Adolf Guirao-Goris.
Servici de protol·litzacio i integració assistencial. D.G. d’Assistència Sanitària.
Agència Valenciana de la Salut.
ISBN: 84-482-4513-X
Depósito legal: V-4964-2006
Imprime: Gráficas Marí Montañana. Santo Cáliz, 7. 46001 VALENCIA. Tel: 963 912 304*
Sugerencia de cita bibliográfica: Guirao-Goris JA, Alonso A, Soler J, Dasí MJ. Diagnósticos,
intervenciones y resultados de enfermería en Atención Domiciliaria. Valencia: Generalitat
Valenciana. Conselleria de Sanitat, 2006.
PRESENTACIÓN
El envejecimiento de la población, el aumento de las enfermedades
crónicas, así como el incremento del grado de dependencia, obliga a que
una parte de nuestros ciudadanos deba recibir la atención sanitaria en sus
propios domicilios. La evolución de estos factores demográficos, epide-
miológicos, sociales y sanitarios, que son significativamente responsables
del nivel de necesidades domiciliarias, van a seguir creciendo en la
Comunitat Valenciana y como consecuencia, la atención domiciliaria se va
a convertir en una prestación clave de nuestro sistema sanitario.
El sistema de salud tiene el reto de adaptarse a las nuevas circunstan-
cias y de desarrollar, en consecuencia, servicios que ofrezcan soporte y
cuidados a esta población específica. Por ello, la Conselleria de Sanidad
atendiendo a esta necesidad elaboró un Plan para la Mejora de la
Atención Domiciliaria en la Comunidad Valenciana que ha comenzado a
dar respuesta a las nuevas demandas sanitarias de la ciudadanía.
Fruto de este plan ha surgido un modelo integrado de atención domi-
ciliaria que sitúa en el centro del sistema a aquellas personas que deben
recibir atención en sus domicilios y a aquellas otras que deben atender-
las, y en el que enfermeras y enfermos son protagonistas de la atención
en el domicilio. La misión que las enfermeras tienen —cuidar a quienes
se encuentran en una situación de salud y enfermedad difíciles y poten-
ciar su autocuidado— se ha plasmado en los últimos años en el desem-
peño de una función importantísima dentro del sistema sanitario: ser el
interlocutor directo y el verdadero conocedor del sentir de la persona
enferma, ejerciendo un papel cada vez más activo y de mayor responsa-
bilidad en la estructura sanitaria. Todas aquellas personas que profesio-
nalmente se dedican a la enfermería en las instituciones sanitarias de la
Conselleria de Sanidad tienen encomendada la tarea de proporcionar a
los ciudadanos y ciudadanas de la Comunidad Valenciana unos cuidados
individualizados y de calidad. Con estos antecedentes es fácil entender
que desde este nuevo modelo valenciano de atención domiciliaria, los y
las profesionales de la enfermería pasen a coordinar en el domicilio de
los pacientes la intervención de los diferentes profesionales que partici-
pan en su cuidado.
Por otra parte, quienes asumimos la responsabilidad de gestionar los
servicios sanitarios, tenemos el deber de garantizar la equidad, la calidad
y la eficiencia de la asistencia sanitaria. Para lograrlo debemos poner al
alcance del personal de enfermería todas aquellas herramientas que per-
5
mitan contribuir eficazmente a la mejora de la calidad de los cuidados.
Sólo de esta forma es posible mejorar su formación; mejorar la atención y
la eficiencia del sistema y al mismo tiempo mejorar la satisfacción, el
bienestar y calidad de vida de nuestros ciudadanos. Y todo ello por una
razón que es a su vez objetivo y medio: queremos una sanidad científica-
mente avanzada, pero sobre todo una sanidad humanizada tanto para los
pacientes como para los profesionales.
Rafael Blasco Castany
Conseller de Sanitat
6
7
PRÓLOGO
El Plan para la Mejora de la Atención Domiciliaria (PMAD) 2004-2007
ha guiado el desarrollo de la Atención Domiciliaria y la mejora de la
misma, porque sabemos que la atención en el domicilio constituye un ser-
vicio muy valioso que permite mantener a la persona en su entorno habi-
tual durante el mayor tiempo posible, asegurándole una atención digna, y
evitando con frecuencia el ingreso hospitalario o reduciendo, en su caso,
los problemas derivados su institucionalización.
El PMAD 2004-2007 establece que en el núcleo del sistema debe estar
una enfermera, bien formada, que proporcione cuidados y un amplio ase-
soramiento en hábitos de vida, asistencia familiar y servicios de atención
domiciliaria. En este modelo integrado, las enfermeras son las mejores
catalizadoras de la acción sanitaria en la atención domiciliaria por dos
motivos fundamentales:
El primero, porque teniendo una tradicional actividad en los domicilios
y siendo en volumen el segundo grupo de profesionales que trabajan en
Atención Primaria (por detrás de médicos y pediatras), el Plan considera
que su potencial de cuidados y su presencia domiciliaria les coloca en una
posición privilegiada para la prestación de atención en el domicilio al
enfermo y a sus cuidadoras familiares.
En segundo lugar, la tradición cuidadora de las profesionales que tra-
bajan en atención especializada les otorga un papel clave para establecer
una eficaz continuidad de cuidados entre niveles asistenciales.
El modelo integrado de atención domiciliaria surgido del PMAD des-
arrolla dos nuevos perfiles de enfermería: la Enfermera de Gestión
Domiciliaria (EGD) situada en la comunidad y la Enfermera de
Continuidad Domiciliaria (ECD) situada en el hospital, estrechamente liga-
das a las Unidades de Hospital a Domicilio. Estas enfermeras tienen
como función primordial garantizar la continuidad informativa y asistencial
mediante la captación e identificación de pacientes complejos que pere-
grinan continuamente por los niveles asistenciales por la falta de coordi-
nación de las diferentes unidades y profesionales que intervienen en su
atención, así como, servir de vínculo e instrumento para la integración
asistencial.
La valoración de los pacientes que requieren atención domiciliaria obli-
ga a desarrollar por parte de los profesionales de enfermería una labor
compleja que suma conocimientos, destrezas y habilidades en el manejo
de instrumentos de reciente desarrollo como los diagnósticos NANDA, las
intervenciones NIC y los resultados NOC. El esfuerzo realizado por la
Agencia Valenciana de Salud para producir este documento se verá
recompensado finalmente en una mejora de los cuidados que nuestro sis-
tema de salud brinda a sus pacientes domiciliarios y sus cuidadoras fami-
liares.
Manuel Cervera Taulet Alfonso Bataller Vicent
Director Gerente de la Director General de
Agencia Valenciana de Salud Asistencia Sanitaria
8
INTRODUCCIÓN
En 2003 comenzó la Iniciativa para la Mejora de la Atención
Domiciliaria (IMAD) que dio como resultado el Plan de Mejora de la
Atención Domiciliaria (PMAD) 2004-2007.
Este Plan supuso un reto importante para los profesionales de enfer-
mería, ya que les asigna el protagonismo en la Atención Domiciliaria.
Dentro de sus líneas estratégicas y de acción se establece la necesaria
normalización de la valoración enfermera y el uso de las taxonomías
NNN.
El fruto inicial de aquel trabajo fue la publicación en 2004 de un manual
de “Metodología de cuidados de enfermería en Atención Domiciliaria”. En
ese manual se estandarizaban una estructura de valoración por patrones
funcionales de salud de Gordon, la selección de las etiquetas diagnósti-
cas NANDA, y las intervenciones NIC. Aquel manual fue utilizado por las
enfermeras de los centros de salud piloto de los Departamentos 5, 7 y 19,
durante dos años y fruto de esta experiencia se han aportado mejoras que
se incorporan en este nuevo manual. El esfuerzo normalizador ha conti-
nuado, y se ha incluido en esta edición la taxonomía NOC, seleccionan-
do aquellos resultados prioritarios desde el punto de vista de grupo meto-
dología de cuidados de la IMAD.
Para la redacción de este manual se ha realizado una búsqueda de
bibliografía relevante sobre diagnósticos, intervenciones y resultados de
enfermería en las bases de datos Medline, CINAHL y CUIDEN. Para ase-
gurar la mayor calidad posible este manual fue revisado externamente por
Esperanza Ferrer Ferrandis, profesora de fundamentos de enfermería y
directora de la Escuela de Enfermería La Fe. En el proceso de evaluación
han participado también la Sociedad Española de Hospitalización a
Domicilio y la Asociación de Enfermería Comunitaria habiendo esta con-
cedido a este manual el certificado de interés profesional para la enferme-
ra comunitaria.
La metodología de cuidados es un instrumento básico para desarrollar
la misión que la Conselleria de Sanitat atribuye a las enfermeras: poten-
ciar el autocuidado de la salud en individuos, familia y comunidad, en el
continuo salud-enfermedad y en todos los estadios de desarrollo y madu-
ración.
En muchos casos la aplicación de la metodología enfermera es la
forma de hacer explícito el conocimiento que tienen las enfermeras profe-
sionales expertas. Dicha metodología permite que la comunicación entre
9
nosotros y con los otros profesionales del equipo y con nuestros usuarios
paciente-cuidador principal o familia sea: directa, clara y eficaz.
Este manual que tienes en tus manos contiene algunos aspectos
prácticos para el manejo de la valoración del paciente y de su cuidador
principal. Cuenta con una valoración por patrones funcionales, diagnós-
ticos enfermeros NANDA, complicaciones potenciales del proceso clíni-
co (CPC), resultados NOC e intervenciones NIC; y un listado de interre-
laciones NANDA/CPC- NOC –NIC. La incorporación de estas herramien-
tas en el sistema de información ambulatoria Abucasis permitirá evaluar
la implementación de estos lenguajes en función de los indicadores de
seguimiento de la codificación de problemas incluídos en la propia apli-
cación.
No es nuestra intención dar “recetas”. Únicamente sugerimos princi-
pios generales de aplicación al que hay que sumar los años de experien-
cia que tenemos las enfermeras en la observación y el cuidado directo.
Este manual pretende ser útil para la aplicación práctica, sin perjuicio de
que posteriormente se consulte la literatura especializada sobre taxono-
mías y metodología de cuidados. Para ello, al final del documento presen-
tamos unas recomendaciones bibliográficas disponibles y recursos de
Internet útiles para las enfermeras comunitarias.
¿A quién interesa este manual?
Dirigimos este manual a las enfermeras que componen el Modelo
Integrado de Atención Domiciliaria de la Comunidad Valenciana: la enfer-
meras de atención primaria, de hospital a domicilio y las nuevas figuras
Enfermera de Gestión Domiciliaria que se localiza en el nivel comunitario
y la Enfermera de Continuidad Domiciliaria que se localiza en el hospital.
¿Qué ofrece?
Una síntesis sencilla y práctica para conseguir un mejor rendimiento
en la recogida de datos y en cómo analizarlos y priorizarlos para obtener
los diagnósticos enfermeros, complicaciones del proceso clínico, resulta-
dos e intervenciones relacionadas.
¿Qué le aporta a la enfermera?
Una visión rigurosa de de los datos necesarios que es preciso valorar
en los patrones funcionales de salud para que dicha valoración identifique
los problemas que por prevalencia o significación es necesario detectar
en atención domiciliaria, los resultados de enfermería a los mismos y posi-
bles pautas de intervención.
10
MANEJO Y USO DEL MANUAL
El manual se organiza en cuatro secciones:
I. Valoración por patrones, relaciones NANDA/CPC –NOC - NIC .
En una primera sección se describe una estructura de valoración por
patrones funcionales, con la inclusión de los diagnósticos enfermeros, o
complicaciones potenciales del proceso clínico incluidos en el manual y
las relaciones NOC, NIC.
II. Diagnósticos NANDA.
Los diagnósticos se encuentran organizados por patrones funcionales y
se puede consultar la relación en la página 15. De cada etiqueta diagnós-
tica enfermera se da la definición, información suplementaria que sigue
al símbolo sobre el uso de la etiqueta, mientras que tras el símbolo
se recomienda cómo no utilizar la etiqueta.
A continuación figuran las características definitorias o manifestaciones
del problema en los diagnósticos reales. En los factores etiológicos o
situaciones de riesgo más frecuentes se identifican con el símbolo a
aquellos factores en los que podemos intervenir las enfermeras para pre-
venir la aparición/ solucionar el problema. Con el símbolo se identifi-
can a aquellos factores de tipo estructural en que se han de tener en
cuenta pero sobre los que difícilmente podremos incidir.
Puede aparecer un siguiente apartado sobre “Recomendaciones para
la valoración específica” donde se sugiere la exploración de informa-
ción que nos lleva a la identificación del problema e instrumentos o
escalas disponibles que nos pueden ayudar en la valoración clínica.
Finalmente, existe una relación de NOC – NIC. Estas sugerencias de
relación NOC- NIC se han realizado basándose en la bibliografía exis-
tente y el conocimiento clínico del grupo. Estas relaciones no pueden
sustituir el profundo conocimiento clínico que tienen las enfermeras,
son únicamente una ayuda.
Desde aquí queremos estimular a las enfermeras que usen el listado de
relaciones NANDA – NOC - NIC e identifiquen nuevas relaciones y que
nos las hagan llegar para futuras versiones de este manual.
Si ante una etiqueta diagnóstica no se encuentra en la relación NNN
una etiqueta de resultado NOC o una intervención NIC idónea, se reco-
mienda que se consulte en la relación alfabética de resultados o inter-
vención para seleccionar lo más pertinente. Si no se encuentra ningu-
na etiqueta idónea se recomienda acudir a las últimas ediciones de la
11
Clasificación NOC y NIC referenciadas en las lecturas recomendadas
del apartado VI.
III. Complicaciones del proceso clínico
Las complicaciones del proceso clínico se encuentran organizadas por
patrones funcionales y se puede consultar la relación en la página 17. De
cada complicación se da la definición e información suplementaria que
sigue al símbolo sobre el uso de la misma, mientras que tras el sím-
bolo se recomienda cómo no utilizarla.
A continuación aparecen los criterios de identificación, las situaciones
de riesgo y las relaciones NOC - NIC sugeridas.
IV.Resultados NOC
En el apartado Selección de resultado se orienta cómo elegir un resul-
tado.
Los resultados se encuentran organizados por códigos y se puede con-
sultar el listado en la página 17. Si lo desea también puede buscar el
resultado por orden alfabético en el listado de la página 435.
Antes de cada etiqueta NOC se encuentra su código. Con posterioridad
aparece la definición, la escala de medida, los indicadores de resultado
precedidos de su código; y la descripción del indicador.
V. Intervenciones NIC
Las intervenciones se encuentran organizadas por códigos y se puede
consultar el listado en la página 20. Si lo desea también puede buscar la
intervención por orden alfabético en el listado de la página 439.
En cada intervención las actividades seleccionadas se clasificaron basán-
dose en el método propuesto por Ferrer Ferrandis1
. Las actividades se
clasificaron en:
– Actividades de cuidado: que incluyen desde actividades instrumentales
hasta actividades educativas, dirigidas tanto a modificar la salud de la per-
sona como a prevenir la aparición de problemas. Estas actividades se reco-
nocen en el manual por estar señalizado el código del siguiente .
– Actividades de valoración: que pretenden medir el estado de salud del
paciente. Estas actividades se reconocen en el manual por estar seña-
lizado el código del siguiente .
12
1. Ferrer Ferrandis, E. Taxonomía NIC: implicaciones en el proceso de cuidados. El Correo
AENTDE . 2003, 6(1):10-11
modo
modo
Actividades recomendadas asociadas al método: que son un conjunto de
actividades (inespecíficas) que nos orientan en el procedimiento que
debemos utilizar al realizar la acciones cuidativas, dado que la ejecución
de ese procedimiento confiere al proceso una práctica de excelencia.
Estas actividades se reconocen en el manual por estar señalizado el códi-
go del siguiente .
VI. Bibliografía
En este apartado se puede consultar la bibliografía utilizada para elaborar
este manual, así como bibliografía de lectura recomendada para profun-
dizar en el uso de la metodología de cuidados o las taxonomías.
13
modo
INDICE
I. Valoración por patrones funcionales de salud.
Patrón percepción y control de la salud............................................ 29
Patrón nutricional metabólico............................................................ 31
Patrón eliminación............................................................................. 34
Patrón actividad y ejercicio................................................................ 36
Patrón sueño y descanso.................................................................. 38
Patrón cognitivo perceptivo............................................................... 39
Patrón autopercepción y autoconcepto............................................. 41
Patrón rol y relaciones....................................................................... 42
Patrón sexualidad y reproducción..................................................... 45
Patrón adaptación y tolerancia al estrés........................................... 46
Patrón valores y creencias................................................................ 47
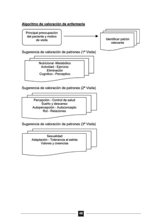
Algoritmo de valoración..................................................................... 48
II. Diagnósticos NANDA.
Patrón percepción y control de la salud
00126 Conocimientos deficientes (Especificar) ................................ 51
00078 Manejo ineficaz del régimen terapéutico ............................... 52
00079 Incumplimiento del tratamiento (especificar).......................... 54
00070 Conducta de salud deficiente................................................. 56
00082 Manejo eficaz del régimen terapéutico .................................. 57
00084 Conductas generadoras de la salud .................................... 59
00155 Riesgo caídas......................................................................... 60
00035 Riesgo de lesión..................................................................... 62
00039 Riesgo de aspiración.............................................................. 64
00004 Riesgo de infección................................................................ 65
00098 Deterioro del mantenimiento del hogar.................................. 66
00112 Incapacidad del adulto para mantener su desarrollo ............. 68
Patrón nutricional metabólico
00001 Desequilibrio nutricional: por exceso ..................................... 70
00002 Desequilibrio nutricional: por defecto..................................... 71
00045 Deterioro de la mucosa oral................................................... 73
00046 Deterioro de la integridad cutánea......................................... 75
00047 Riesgo de deterioro de la integridad cutánea ........................ 77
00043 Protección ineficaz ................................................................. 79
Patrón eliminación
00011 Estreñimiento.......................................................................... 80
00013 Diarrea.................................................................................... 82
00014 Incontinencia fecal.................................................................. 84
15
00017 Incontinencia urinaria de esfuerzo ......................................... 85
00020 Incontinencia urinaria funcional.............................................. 87
00021 Incontinencia urinaria total ..................................................... 88
00023 Retención urinaria .................................................................. 90
Patrón actividad y ejercicio
00031 Limpieza ineficaz de las vías aéreas .................................... 91
00085 Deterioro de la movilidad física.............................................. 92
00102 Déficit de autocuidado: Alimentación ..................................... 95
00108Déficit de autocuidado: Baño/Higiene. .................................... 96
00109 Déficit de autocuidado:acicalamiento..................................... 98
00110 Déficit de autocuidado: uso del wc......................................... 99
00040 Riesgo de síndrome de desuso ............................................ 101
00088 Deterioro de la deambulación ................................................ 102
00168 Sedentarismo ......................................................................... 103
00092 Intolerancia a la actividad ...................................................... 104
00093 Fatiga...................................................................................... 106
00097 Déficit de actividades recreativas........................................... 107
Patrón sueño y descanso
00095 Insomnio................................................................................. 108
Patrón cognitivo perceptivo
00051 Deterioro de la comunicación verbal...................................... 110
00122 Trastorno de la percepción(especificar)................................. 111
00131 Deterioro de la memoria......................................................... 112
00133 Dolor Crónico ......................................................................... 113
00132 Dolor Agudo............................................................................ 115
Patrón autopercepción y autoconcepto
00124 Desesperanza ........................................................................ 117
00125 Impotencia.............................................................................. 119
00118 Trastorno de la imagen corporal............................................. 120
00120 Baja autoestima situacional.................................................... 122
00146 Ansiedad................................................................................. 124
00148 Temor...................................................................................... 127
Patrón rol y relaciones
00053 Aislamiento social................................................................... 129
00056 Deterioro de la interacción social........................................... 131
00060 Interrupción de los proceso familiares ................................... 132
00061 Cansancio en el desempeño del rol de cuidador................... 134
00062 Riesgo de cansancio en el desempeño del rol de cuidador.. 137
00135 Duelo complicado................................................................... 140
00136 Duelo ...................................................................................... 142
00137 Aflicción crónica...................................................................... 144
16
Patrón sexualidad y reproducción
00065 Patrón sexual ineficaz ............................................................ 146
Patrón adaptación y tolerancia al estrés
00069 Afrontamiento ineficaz............................................................ 147
00074 Afrontamiento familiar comprometido..................................... 149
Patrón valores y creencias
00066 Sufrimiento espiritual.............................................................. 151
III. Complicaciones del proceso clínico
Patrón nutricional metabólico
Hipertermia ....................................................................................... 155
Deterioro de la deglución ................................................................. 156
Náuseas ............................................................................................ 158
Hipoxemia.......................................................................................... 159
Efectos adversos de la terapia medicamentosa ............................... 160
Patrón actividad y ejercicio
Atelectasias, Neumonía ................................................................... 161
Trombosis venosa profunda ............................................................. 162
Arritmia .............................................................................................. 163
Bajo gasto cardiaco........................................................................... 164
Hiperglucemia.................................................................................... 166
Hipoglucemia..................................................................................... 167
IV.Resultados NOC
Selección de resultados ................................................................... 171
0001 Resistencia .............................................................................. 177
0003 Descanso.................................................................................. 177
0004 Sueño ...................................................................................... 178
0005 Tolerancia a la actividad .......................................................... 178
0113 Envejecimiento físico................................................................ 179
0200 Ambular .................................................................................... 180
0201 Ambular: silla de ruedas........................................................... 180
0202 Equilibrio................................................................................... 181
0203 Posición corporal autoiniciada.................................................. 181
0204 Consecuencias de la inmovilidad: fisiológicas ......................... 182
0205 Consecuencias de la inmovilidad: psicocognitivas .................. 183
0208 Movilidad .................................................................................. 183
0300 Autocuidados: actividades de la vida diaria (AVD)................... 184
0301 Autocuidados: baño.................................................................. 185
0303 Autocuidados: comer................................................................ 186
0305 Autocuidados: higiene .............................................................. 186
17
0308 Autocuidados:higiene bucal...................................................... 187
0309 Autocuidados: medicación parenteral ...................................... 187
0310 Autocuidados: uso del inodoro................................................. 188
0313 Nivel de autocuidado................................................................ 189
0403 Estado respiratorio: ventilación ................................................ 190
0405 Perfusión tisular: cardiaca........................................................ 191
0407 Perfusión tisular: periférica....................................................... 192
0500 Continencia intestinal ............................................................... 192
0501 Eliminación intestinal................................................................ 193
0502 Continencia urinaria ................................................................. 194
0602 Hidratación ............................................................................... 195
0700 Reacción transfusional sanguínea ........................................... 196
0704 Autocontrol del asma................................................................ 197
0800 Termoregulación....................................................................... 198
0902 Comunicación........................................................................... 199
0906 Toma de decisiones.................................................................. 199
0908 Memoria.................................................................................... 200
1004 Estado nutricional..................................................................... 200
1008 Estado nutricional: ingestión alimentaria y de líquidos ............ 201
1009 Estado nutricional: ingestión de nutrientes .............................. 201
1012 Estado de deglución: fase oral................................................. 202
1100 Higiene bucal............................................................................ 203
1101 Integridad tisular: piel y membranas mucosas......................... 204
1102 Curación de herida: por primera intención ............................... 205
1103 Curación de herida: por segunda intención ............................. 206
1200 Imagen corporal ....................................................................... 207
1201 Esperanza ................................................................................ 207
1203 Severidad de la soledad........................................................... 208
1204 Equilibrio emocional ................................................................. 209
1206 Deseo de vivir........................................................................... 210
1300 Aceptación estado de salud ..................................................... 211
1302 Afrontamiento de problemas .................................................... 211
1304 Resolución de la aflicción......................................................... 212
1305 Modificación psicosocial: cambio de vida ................................ 212
1306 Dolor: respuesta psicológica adversa ...................................... 213
1307 Muerte digna ............................................................................ 214
1402 Autocontrol de la ansiedad....................................................... 215
1404 Autocontrol del miedo............................................................... 216
1409 Autocontrol de la depresión...................................................... 217
1501 Ejecución del rol....................................................................... 217
1503 Implicación social ..................................................................... 218
18
1504 Soporte social........................................................................... 218
1601 Conducta de cumplimiento....................................................... 219
1602 Conducta de fomento de salud ................................................ 219
1603 Conducta de búsqueda de la salud ......................................... 220
1604 Participación en actividades de ocio........................................ 220
1605 Control del dolor....................................................................... 221
1608 Control del síntoma .................................................................. 221
1609 Conducta terapéutica: enfermedad o lesión ............................ 222
1612 Control de peso........................................................................ 222
1613 Autogestión de los cuidados .................................................... 223
1700 Creencias sobre la salud.......................................................... 223
1802 Conocimiento: dieta.................................................................. 224
1803 Conocimiento: proceso de la enfermedad ............................... 225
1805 Conocimiento: conducta sanitaria ............................................ 226
1806 Conocimiento: recursos sanitarios ........................................... 227
1808 Conocimiento: medicación ....................................................... 228
1811 Conocimiento: actividad prescrita............................................. 229
1813 Conocimiento: régimen terapéutico.......................................... 229
1820 Conocimiento: control de la diabetes....................................... 230
1900 Conducta de vacunación.......................................................... 231
1902 Control del riesgo ..................................................................... 232
1909 Conducta de prevención de caídas ......................................... 233
1910 Ambiente seguro del hogar ...................................................... 234
1912 Caídas ...................................................................................... 234
1913 Severidad de la lesión física ................................................... 235
1914 Control del riesgo: salud cardiovascular .................................. 235
1915 Control del riesgo: deterioro auditivo ....................................... 236
1916 Control del riesgo: deterioro visual........................................... 236
1918 Prevención de la aspiración..................................................... 237
2000 Calidad de vida......................................................................... 237
2001 Salud espiritual......................................................................... 238
2002 Bienestar personal ................................................................... 238
2004 Forma física.............................................................................. 239
2007 Muerte confortable ................................................................... 240
2100 Nivel de comodidad.................................................................. 241
2101 Dolor: efectos nocivos.............................................................. 242
2102 Nivel de dolor ........................................................................... 243
2202 Preparación del cuidador familiar domiciliario.......................... 244
2203 Alteración del estilo de vida del cuidador familiar.................... 245
2204 Relación entre cuidador familiar y paciente............................. 245
2205 Rendimiento del cuidador familiar: cuidados directos.............. 246
19
2209 Factores estresantes del cuidador familiar .............................. 247
2210 Posible resistencia al cuidado familiar ..................................... 248
2300 Nivel de glucemia..................................................................... 249
2400 Función sensitiva: cutánea....................................................... 250
2401 Función sensitiva: auditiva ....................................................... 251
2404 Función sensitiva: visión .......................................................... 252
2506 Salud emocional del cuidador familiar ..................................... 253
2507 Salud física del cuidador familiar ............................................ 253
2600 Afrontamiento de los problemas de la familia .......................... 254
2601 Clima social de la familia.......................................................... 255
2602 Funcionamiento de la familia ................................................... 255
2605 Participación de la familia en la asistencia sanitaria profesional.. 256
2606 Estado de salud de la familia................................................... 257
2609 Apoyo familiar durante el tratamiento....................................... 258
V. Intervenciones NIC
0200 Fomento del ejercicio ............................................................... 261
0201 Fomentar el ejercicio: entrenamiento de extensión ................ 261
0202 Fomento de ejercicios: extensión ............................................ 262
0221 Terapia de ejercicios: deambulación ........................................ 263
0222 Terapia de ejercicios: equilibrio................................................ 264
0224 Terapia de ejercicios: movilidad articular ................................. 265
0226 Terapia de ejercicios: control muscular.................................... 266
0410 Cuidados de incontinencia intestinal........................................ 268
0412 Cuidados en la incontinencia intestinal: encopresis ................ 268
0420 Irrigación intestinal ................................................................... 269
0430 Manejo intestinal. ..................................................................... 270
0440 Entrenamiento del hábito intestinal.......................................... 270
0450 Manejo del estreñimiento / impactación................................... 271
0460 Manejo de la diarrea ................................................................ 271
0470 Disminución de la flatulencia.................................................... 272
0480 Cuidados de la ostomía ........................................................... 272
0560 Ejercicio del suelo pélvico........................................................ 273
0570 Entrenamiento de la vejiga urinaria ......................................... 274
0580 Sondaje vesical ........................................................................ 274
0582 Sondaje vesical: intermitente ................................................... 275
0590 Manejo de la eliminación urinaria............................................. 275
0600 Entrenamiento del hábito urinario ............................................ 276
0610 Cuidados de la incontinencia urinaria ...................................... 276
0612 Cuidados de la incontinencia urinaria: enuresis ...................... 277
0620 Cuidados de la retención urinaria ............................................ 277
20
0740 Cuidados del paciente: encamado........................................... 278
0762 Cuidados del paciente escayolado: mantenimiento................. 279
0840 Cambio de posición.................................................................. 279
0844 Cambio de posición: neurológico............................................. 280
0846 Cambio de posición: paciente en silla de ruedas .................... 281
0910 Inmovilización........................................................................... 281
0960 Transporte ................................................................................ 282
1030 Manejo de los trastornos de la alimentación ........................... 283
1050 Alimentación............................................................................. 283
1052 Alimentación por biberón.......................................................... 284
1056 Alimentación enteral por sonda................................................ 284
1080 Sondaje nasogástrico............................................................... 285
1100 Manejo de la nutrición .............................................................. 286
1120 Terapia nutricional .................................................................... 286
1200 Administración de nutrición parenteral total (NPT) .................. 287
1240 Ayuda para ganar peso............................................................ 288
1260 Manejo del peso....................................................................... 288
1280 Ayuda para disminuir de peso.................................................. 289
1320 Acupresión................................................................................ 290
1340 Estimulación cutánea ............................................................... 290
1380 Aplicación de calor y/o frío ....................................................... 291
1400 Manejo del dolor....................................................................... 292
1450 Manejo de las náuseas ............................................................ 293
1480 Masaje simple .......................................................................... 294
1540 Estimulación nerviosa eléctrica transcutánea (TENS)............. 295
1570 Manejo del vómito .................................................................... 295
1610 Baño ......................................................................................... 296
1641 Cuidados de los oídos: niño..................................................... 297
1642 Cuidados de los oídos: audición............................................. 297
1643 Cuidados de los oídos: lavado ótico ........................................ 298
1660 Cuidados de los pies................................................................ 298
1650 Cuidados de los ojos................................................................ 299
1680 Cuidados de las uñas............................................................... 299
1710 Mantenimiento de la salud bucal ............................................. 300
1720 Fomentar la salud bucal........................................................... 300
1730 Restablecimiento de la salud bucal ......................................... 301
1750 Cuidados perineales................................................................. 302
1780 Cuidados de una prótesis ........................................................ 302
1800 Ayuda al autocuidado............................................................... 302
1801 Ayuda en los autocuidados: baño/higiene................................ 303
1804 Ayuda con los auto cuidados: aseo ......................................... 303
21
1805 Ayuda con los autocuidados: AIVD.......................................... 304
1850 Mejorar el sueño....................................................................... 305
1860 Terapia de la deglución ............................................................ 306
1874 Cuidados de la sonda nasogástrica......................................... 306
1876 Cuidados de la sonda vesical .................................................. 307
2080 Manejo de líquidos/electrólitos................................................. 307
2120 Manejo de la hiperglucemia ..................................................... 308
2130 Manejo de la hipoglucemia ...................................................... 309
2300 Administración de medicación.................................................. 310
2308 Administración de medicación: ótica........................................ 311
2311 Administración de medicación: inhalación ............................... 311
2312 Administración de medicación: intradérmica (ID)..................... 312
2313 Administración de medicación: intramuscular (IM)................... 313
2316 Administración de medicación: tópica...................................... 313
2317 Administración de medicación: subcutánea (SC) .................... 314
2380 Manejo de la medicación ......................................................... 315
2400 Asistencia en la analgesia controlada por el paciente (PCA).. 316
2440 Mantenimiento de dispositivos de acceso venoso (DAV) ........ 316
2680 Manejo de las convulsiones..................................................... 317
2690 Precauciones contra las convulsiones..................................... 318
3140 Manejo de las vías aéreas ....................................................... 318
3160 Aspiración de las vías aéreas .................................................. 319
3210 Manejo del asma...................................................................... 319
3230 Fisioterapia respiratoria............................................................ 320
3250 Mejorando la tos....................................................................... 321
3320 Oxigenoterapia ......................................................................... 321
3350 Monitorización respiratoria, espirometría y pulsioximetría....... 322
3440 Cuidados del sitio de incisión................................................... 323
3480 Monitorización de las extremidades inferiores......................... 324
3500 Manejo de presiones................................................................ 325
3520 Cuidados de las ulceras por presión........................................ 326
3540 Prevención de las ulceras por presión..................................... 327
3590 Vigilancia de la piel .................................................................. 328
3620 Sutura....................................................................................... 328
3660 Cuidados de las heridas........................................................... 329
3662 Cuidados de las heridas: drenaje cerrado ............................... 330
3740 Tratamiento de la fiebre ........................................................... 331
3780 Tratamiento de la exposición al calor....................................... 331
3900 Regulación de la temperatura.................................................. 332
4020 Disminución de la hemorragia.................................................. 332
4028 Disminución de la hemorragia: heridas ................................... 333
22
4030 Administración de productos sanguíneos ................................ 333
4035 Muestra de sangre capilar........................................................ 334
4039 Electrocardiograma .................................................................. 335
4040 Cuidados cardiacos.................................................................. 336
4046 Cuidados cardíacos: rehabilitación .......................................... 336
4062 Cuidados circulatorios: insuficiencia arterial ........................... 337
4066 Cuidados circulatorios: insuficiencia venosa .......................... 338
4070 Precauciones circulatorias ...................................................... 338
4120 Manejo de líquidos .................................................................. 339
4130 Monitorización de líquidos ....................................................... 340
4145 Hidratación subcutánea............................................................ 340
4190 Punción intravenosa (IV).......................................................... 341
4200 Terapia intravenosa (IV) ........................................................... 342
4340 Entrenamiento de la asertividad............................................... 343
4356 Manejo de la conducta: sexual ............................................. 343
4360 Modificación de la conducta..................................................... 344
4380 Establecer límites..................................................................... 345
4400 Terapia musical ....................................................................... 345
4410 Establecimiento de objetivos comunes.................................... 346
4420 Acuerdo con el paciente........................................................... 346
4480 Facilitar la autoresponsabilidad................................................ 347
4490 Ayuda para dejar de fumar....................................................... 348
4500 Prevención del consumo de sustancias nocivas ..................... 348
4640 Ayuda para el control del enfado ............................................ 349
4700 Reestructuración cognitiva....................................................... 350
4720 Estimulación cognoscitiva ........................................................ 350
4760 Entrenamiento de la memoria.................................................. 351
4820 Orientación de la realidad ....................................................... 352
4920 Escucha activa ......................................................................... 352
4974 Fomento de la comunicación: déficit auditivo .......................... 353
4976 Mejorar la comunicación: déficit del habla............................... 354
4978 Mejorar la comunicación: déficit visual..................................... 354
5100 Potenciación de la socialización .............................................. 355
5210 Guía de anticipación................................................................. 355
5220 Potenciación de la imagen corporal......................................... 356
5230 Aumentar el afrontamiento ....................................................... 357
5240 Asesoramiento.......................................................................... 358
5244 Asesoramiento de lactancia .................................................... 358
5246 Asesoramiento nutricional........................................................ 359
5248 Asesoramiento sexual .............................................................. 360
5250 Apoyo en toma de decisiones ................................................. 361
23
5260 Cuidados en la agonía ............................................................. 361
5270 Apoyo emocional...................................................................... 362
5280 Facilitar el perdón..................................................................... 362
5290 Facilitar el duelo ....................................................................... 363
5300 Facilitar la expresión del sentimiento de culpa ........................ 364
5310 Dar esperanza.......................................................................... 364
5340 Presencia.................................................................................. 365
5360 Terapia de entretenimiento....................................................... 365
5370 Potenciación de roles .............................................................. 366
5380 Potenciación de la seguridad................................................... 367
5400 Potenciación de la autoestima ................................................. 367
5420 Apoyo espiritual........................................................................ 368
5426 Facilitación del crecimiento espiritual....................................... 368
5430 Grupo de apoyo........................................................................ 369
5440 Aumentar los sistemas de apoyo. ........................................... 370
5450 Terapia de grupo ...................................................................... 370
5470 Declarar la verdad al paciente ................................................. 371
5480 Clarificación de valores ............................................................ 372
5510 Realización de un programa de educación sanitaria............... 372
5562 Educación paterna: adolescentes ........................................... 373
5566 Educación paterna: crianza familiar de los niños .................... 374
5568 Educación paterna: niño (primeros años de vida) ................... 375
5602 Enseñanza: proceso de enfermedad ....................................... 376
5603 Enseñanza: cuidado de los pies .............................................. 377
5604 Enseñanza: grupo .................................................................... 378
5606 Enseñanza: individual .............................................................. 379
5612 Enseñanza: actividad / ejercicio prescrito ............................... 380
5614 Enseñanza: dieta prescrita....................................................... 381
5616 Enseñanza: medicamentos prescritos .................................... 382
5618 Enseñanza: procedimiento tratamiento.................................... 382
5622 Enseñanza: sexo seguro......................................................... 383
5624 Enseñanza: sexualidad ............................................................ 384
5626 Enseñanza: nutrición infantil(0-12 meses)............................... 385
5628 Enseñanza: seguridad infantil(0-12 meses) ............................ 386
5632 Enseñanza: seguridad niño pequeño y escolar....................... 388
5820 Disminución de la ansiedad ..................................................... 391
5880 Técnica para tranquilizar.......................................................... 391
5900 Distracción................................................................................ 392
6040 Terapia de relajación simple..................................................... 393
6160 Intervención en caso de crisis ................................................. 393
6200 Cuidados en la emergencia ..................................................... 394
24
6340 Prevención del suicidio............................................................. 395
6400 Apoyo en la protección contra abusos..................................... 396
6402 Apoyo en la protección contra abusos: niños ........................ 396
6403 Apoyo en la protección contra abusos: cónyuge ..................... 398
6404 Apoyo en la protección contra abusos: ancianos .................... 399
6410 Manejo de la alergia................................................................. 400
6412 Manejo de la anafilaxia ............................................................ 401
6450 Manejo de ideas ilusorias......................................................... 401
6460 Manejo de la demencia............................................................ 402
6482 Manejo ambiental: comodidad ................................................. 403
6486 Manejo ambiental: seguridad ................................................... 404
6490 Prevención de caídas............................................................... 404
6520 Chequeo sanitario .................................................................... 405
6522 Exploración de la mama........................................................... 406
6530 Manejo de la inmunización / vacunación ................................ 407
6550 Protección contra las infecciones............................................. 408
6680 Monitorización de los signos vitales......................................... 408
6820 Cuidados de bebés .................................................................. 409
6870 Supresión de la lactancia......................................................... 409
6900 Succión no nutritiva.................................................................. 410
7040 Apoyo al cuidador principal...................................................... 410
7050 Fomento del desarrollo: niños.................................................. 411
7052 Fomento del desarrollo: adolescentes ..................................... 412
7100 Estimulación de la integridad familiar....................................... 413
7110 Fomento implicación familiar.................................................... 414
7120 Movilización familiar ................................................................. 415
7140 Apoyo a la familia..................................................................... 415
7150 Terapia familiar ......................................................................... 416
7180 Asistencia en el mantenimiento del hogar ............................... 417
7200 Fomento de la normalización familiar ...................................... 417
7260 Cuidados intermitentes............................................................. 418
7280 Apoyo de hermanos ................................................................. 418
7320 Gestión de casos...................................................................... 419
7330 Intermediación cultural ............................................................. 421
7340 Planificación del alta................................................................. 421
7400 Guías del sistema sanitario...................................................... 422
7440 Facilitación de permisos........................................................... 423
7460 Protección de los derechos del paciente ................................. 424
7560 Facilitar las visitas .................................................................... 424
7680 Ayuda en la exploración........................................................... 425
7960 Intercambio de información de cuidados de salud .................. 426
25
8100 Derivación................................................................................. 426
8190 Seguimiento telefónico............................................................. 427
8300 Fomento de la paternidad en familias de alto riesgo............... 427
VI. Bibliografía ................................................................................... 429
Clasificación alfabética NOC............................................................. 435
Clasificación alfabética NIC............................................................... 439
Agradecimientos................................................................................ 447
26
VALORACIÓN POR PATRONES
FUNCIONALES DE SALUD
1
PATRÓN FUNCIONAL: PERCEPCIÓN Y CONTROL DE LA SALUD
1.1 Definición.
Describe el patrón de salud y bienestar percibido por el individuo y / o cui-
dador principal o familia y como maneja su salud.
• Incluye la percepción del individuo y / o cuidador principal o familia de
su estado de salud.
• Incluye la importancia que tiene para el individuo y / o cuidador princi-
pal o familia sobre las actividades que realiza en la actualidad en el cui-
dado de su salud y en la planificación futura.
• Incluye los comportamientos de cuidados de salud que tiene el indivi-
duo y / o cuidador principal o familia sobre su salud, medidas preventi-
vas, hábitos tóxicos, tratamiento y seguimiento de cuidados.
1.2. Descripción del objetivo de la valoración.
• Obtener datos acerca de las percepciones generales del individuo y/o
su cuidador, sobre el manejo general de su salud y las prácticas preven-
tivas.
• Identificar datos sobre los potenciales riesgos para la salud en las prác-
ticas del individuo y / o cuidador principal o familia como el no cumpli-
miento real o potencial de los planes de cuidados o tratamientos o la
valoración del hábito de alcohol (se utilizarán las tablas de equivalencia
en unidades) o tabaco.
• Identificar qué necesita saber el individuo y / o cuidador principal o fami-
lia en cada proceso para poder llevar a cabo sus autocuidados. Es fun-
damental para la aplicación de Educación para salud individual y grupal.
1.3. Examen físico-observación.
• Apariencia general de salud del usuario y/o del cuidador principal o de la
familia si procede. Esta puede ir observándose durante la entrevista
siendo muy importante el prestar atención al comportamiento del cuida-
dor y cuales van siendo sus impresiones. Prestar atención sobre quién
es mas influyente en las decisiones relativas a la salud (esta información
puede ser importante si fuera necesario mejorar las prácticas de salud).
• Los profesionales hemos de estar alerta al riesgo de sobrecarga del cui-
dador que en un momento determinado manifieste su incapacidad para
hacerse cargo de las demandas y necesidades del enfermo.
29
• Apariencia general del domicilio.
• Botiquín de medicamentos, alfombras, estufas y cualquier peligro o
barrera física.
• Detección del riesgo de caídas en el paciente:
• Escala Tinetti.
• Test Get Up & Go (Cronometrar cuánto tarda el paciente en levan-
tarse de una silla con apoyabrazos, caminar tres metros y volver a
sentarse en su silla acto seguido; Normal: menos de 10 segundos,
Patológico con alto riesgo de caídas: más de 20 segundos, en
ancianos frágiles: entre 10 y 20 segundos).
• Test unipodal (Mantener en bipedestación sobre un pie con la otra
pierna flexionada durante 30 segundos (máximo 5 intentos).
Alteración si a partir de los 60 años no se mantiene un mínimo de
5 segundos.
• En cuidadores mayores de 40 años actividades preventivas.
VALORACIÓN DEL PACIENTE / CUIDADOR
Percepción estado salud: Muy bueno, bueno, regular, malo, muy malo.
Confianza y satisfacción con la atención que recibe: Muy bueno, bueno,
regular, malo, muy malo.
Conocimiento de sus problemas salud / o de la persona cuidada:
Diagnóstico médico, Pronóstico.
Actitud sobre problemas de salud: Sobrevalorar, aceptar, indiferencia,
negación, rechazo.
Testamento vital:
Conocimiento de los cuidados que precisa.
Tratamiento medicamentoso prescrito.
Conocimiento adecuado del tto.
Aplicación adecuada del tto.
Automedicación.
Toma tto que aumente riesgo caídas: Psicofármacos:
Antecedentes de caídas. Cómo: Caminando, Sentado , Cama.
30
Nº de caídas último año:
Antecedentes de accidentes domésticos:
Nº de accidentes último año:
Ingresos Hospitalarios: Nº en el último año:
Vacunación:
Higiene personal: frecuencia: 1 vez /día, 1 vez /2 días, 1 vez /semana,
Otros
Vivienda: Higiene ( suciedad visible):
Existe dificultad para mantener de forma adecuada el hogar :
Barreras arquitectónicas:
Especificar: baño ducha alfombras otros obstáculos
Hábitos tóxicos:
Tabaco: Si No Nº cigarrillos /día: Nº años de consumo:
Ex fumador: Si No
Alcohol: Si No Nº gramos o unid/día :
Nº gramos o unidad/semana: Otras drogas: Si No
¿Cuáles? Vía de consumo: Edad inicio:
PATRÓN FUNCIONAL: NUTRICIONAL - METABÓLICO
2.1. Definición.
Describe los patrones de consumo de alimentos y líquidos con relación a
las necesidades metabólicas, los patrones de provisión restringida de
nutrientes (dietas).
• Incluye intolerancias alimentarías, así como hábitos, y costumbres en la
dieta (horas, tipos, cantidad de alimentos y líquidos, preferencias, uso
de suplementos).
• Incluye el estado de la piel y mucosas, pelo, uñas, dientes y la capaci-
dad general de cicatrización. Medidas de la temperatura corporal, altu-
ra y peso.
• Este patrón esta muy relacionado con el de ACTIVIDAD- EJERCICIO y
el de AUTOPERCEPCIÓN-AUTOCONCEPTO.
31
2.2. Descripción del objetivo de la valoración.
• Recoger datos acerca del patrón típico de consumo de comida y líquidos.
• Las referencias subjetivas del paciente y sus preferencias, los proble-
mas percibidos por él o por su cuidador, acciones que llevan a cabo
para resolver y los efectos percibidos de estas acciones.
• Detectar si ha habido cambios en el patrón habitual en los últimos tiem-
pos.
• Recoger datos acerca del control adecuado cuando existen restriccio-
nes a la ingesta (dietas).
• Valorar indicadores amplios de las necesidades metabólicas como el
estado de la piel, la cicatrización.
2.3. Examen físico-observación
• Efectuar el IMC (índice de masa corporal) en el primer contacto, para
valorar la situación de partida y tener una referencia si hay variaciones
en el futuro, en cuyo caso debe repetirse.
• Alimentación parenteral, intravenosa, especificarla y revisarla en cada
contacto.
• En cada visita o al menos una vez por semana en pacientes muy inmo-
vilizados, realizar examen físico de la piel (presencia de lesiones,
sequedad, cambio de color) y de las prominencias óseas, nos aportará
información acerca del riesgo o del aumento de deterioro de la integri-
dad cutánea.
• Debe revisarse en la primera visita el estado mucosas (color, lesiones),
de la dentadura (falta de piezas dentarias, dentadura postiza) indicaran
dificultades para la ingesta y masticación de los alimentos y tempera-
tura. También nos informarán de deterioro en las mucosas.
• Cuando se sospeche riesgo de aparición de úlceras por presión, se
sugiere la aplicación de la escala de Braden.
• Si existe sospecha de deterioro del patrón nutricional, se realizará la
Evaluación del Estado Nutricional (Mini Nutritional Assessment “MNA”).
• Control metabólico: glucemia.
VALORACIÓN DEL PACIENTE / CUIDADOR
Lugar donde come habitualmente: Casa, Institución.
32
Nº comidas / día:
Consumo nutrientes (Especificar raciones/día o raciones/semana):
Leche y derivados. Verduras y hortalizas. Arroz, pasta,cereales. Huevos.
Pan. Frutas. Aves/conejo. Carnes. Dulces y azúcares. Legumbres.
Pescados. Mariscos.
Preparación culinaria: Hervido, Frito, Asado.
Preferencias alimentarias:
A versiones alimentarias:
Ingesta líquidos:________________l /día.
Apetito: Mucho, Poco, Anorexia Si sospecha de malnutrición : hacer
NSI.
Tipo de dieta: Libre, Hipo / asódica, Diabética, Hipolipemiante, Otras:
Tipo de nutrición: Oral, Enteral SNG , Enteral catéter, Parenteral.
Suplemento alimenticio ¿Cuál / es?
Intolerancia alimentos:¿Cuál / es?
Dificultad para deglutir alimentos: En caso afirmativo: Sólidos, Líquidos
Dificultad para masticar.
Boca: Caries.Protesis. Ausencia piezas dentales.Boca seca:
Higiene bucal: Frecuencia cepillado de dientes: Después de cada comida,
2 veces día , 1 vez día, No cepillado.
Piel y mucosas:
Caliente. Cianótica. Fría. Húmeda. Flexible. Dura. Frágil. Ictérica. Pálida.
Rosada.Seca. Moteada.
Lesiones piel.
Tipo: Eritema, Flictena, Escara, Necrosis.
Localización: Sacro, Talones, Occipucio, Trocánter, Otros.
¿Existe riesgo UPP?: Braden
Parámetros antropométricos Peso, Talla, IMC: Relación cintura-cadera.
33
PATRÓN FUNCIONAL: ELIMINACIÓN
3.1. Definición.
• Describe los hábitos de eliminación intestinal, urinaria y cutánea así como
los cambios detectados (frecuencia, cantidad, características) y utilización
o no de medidas auxiliares (sondaje, absorbentes, colectores...).
• Incluye los cambios detectados (frecuencia, cantidad, característi-
cas).
• Incluye la utilización o no de medidas auxiliares (sondaje, absor-
bentes, colectores...) y el uso sistemático de laxantes.
• Si procede, se incluye el patrón de eliminación de residuos tanto
familiar (donde se ubican los desechos como indicadores de riesgo
para la aparición de roedores moscas y mosquitos, etc.) como
comunitario (eliminación de residuos, polución del aire)
3.2. Descripción del objetivo de la valoración.
Recoger datos acerca de la regularidad y el control de los patrones excre-
tores (intestino, vejiga, piel y deposiciones).
• Identificar los problemas percibidos por el cliente o por el cuidador, es
decir, las explicaciones subjetivas al problema.
• Identificar las acciones llevadas a cabo para remediar los problemas y
los efectos percibidos por esas acciones.
3.3. Examen físico-observación.
• Inspección exhaustiva de las diferentes muestras: examen del color, la
consistencia de las excretas, así como sus características.
• Observación e inspección de los drenajes, sondajes y/o ostomías.
• Identificar la presencia de olores.
• Observar en el domicilio la presencia de indicadores de riesgo para la
aparición de moscas o de roedores.
VALORACIÓN DEL PACIENTE / CUIDADOR
1.-URINARIA
Frecuencia:
Volumen (si sondaje):
34
Características: Normal, Coluria , Hematuria, Otros (especificar):
Nicturia, Emisión incontrolada de orina, Globo vesical,
Urgencia miccional.
Cuestionario para la clasificación clínica de incontinencia urinaria. IU-4:
1.¿Se le ha escapado la orina cuando hacía el esfuerzo físico de
cambiar de ropa?
2. ¿Se le han presentado bruscamente ganas de orinar?
3. ¿Se le ha escapado la orina porque no le daba tiempo de llegar
al baño?
4. Debido a los escapes de orina y al presentársele bruscamente
las ganas de orinar, ¿ha necesitado algún tipo de protección?
La pregunta 1 se relaciona con la incontinencia de esfuerzo.
La pregunta 2 y 3 con incontinencia de urgencia o funcional.
La pregunta 4 con la incontinencia mixta.
Medidas auxiliares: Absorbentes, Sondaje vesical, Colectores, Otros
Dificultad para la micción:
Percepción plenitud vesical:
Ostomía, Conoce cuidados ostomía, Habilidad para el autocuidado.
2.-INTESTINAL
Frecuencia.
Consistencia: Líquidas, Blandas, Duras.
Ayudas:
Emisión incontrolada de heces, Hemorroides.
Ostomía, Conoce cuidados ostomía , Habilidad para el autocuidado.
Impactación fecal. Absorbentes.
3.-SUDORACIÓN, EDEMA, ASCITIS
35
PATRÓN FUNCIONAL: ACTIVIDAD Y EJERCICIO
4.1. Definición.
• Describe el patrón de actividad, ejercicio, tiempo libre y ocio.
• Incluye la actividad física de la vida diaria como higiene, cocinar, com-
prar, comer, trabajar y mantenimiento del hogar.
• Incluye el tipo, la cantidad y la calidad del ejercicio teniendo en cuen-
ta la ocupación laboral, así como las actividades de ocio.
• Incluyen los factores que interfieren con el patrón deseado o espe-
rado por el individuo (déficit neuromuscular, diseña, riesgos cardio-
pulmonares).
4.2. Descripción del objetivo de la valoración.
• Valorar la actividad física y el ejercicio que precisa como medida de pre-
vención de riesgo cardiovascular.
• Evaluar la limitación de la capacidad funcional e instrumental de las acti-
vidades de la vida diaria (ABVD). La valoración de la actividad nos per-
mitirá identificar niveles de dependencia para planificar cuidados en la
atención domiciliaria.
• Obtener las descripciones subjetivas de estos componentes, los proble-
mas percibidos por el usuario o por el cuidador y las acciones llevadas
a cabo para resolver los problemas, así como los efectos percibidos de
dichas acciones.
• Identificar signos de ventilación ineficaz.
4.3. Examen físico-observación.
• La observación de la marcha, la postura, el tono muscular y las próte-
sis o dispositivos de ayuda empleados.
• Valoración del grado de movilidad de las articulaciones la fuerza en las
manos.
• La frecuencia cardiaca y el ritmo y la frecuencia respiratoria pueden
explicar las afirmaciones subjetivas del usuario/cuidador acerca de la
tolerancia ala actividad.
• Observar las limitaciones del usuario/cuidador para el autocuidado y el
mantenimiento del hogar relacionado con los deficits de la movilidad.
36
• Valorar la capacidad funcional de las (ABVD) para lo que se recomien-
da la utilización del Índice de Barthel 100).
La escala de Barthel permite valorar la capacidad para realizar las activi-
dades básicas de la vida diaria. Evalúa 10 actividades de la vida diaria:
Comer, lavarse, vestirse, arreglarse, deposiciones, micción, usar el retre-
te, trasladarse, deambular y subir y bajar escalones.
Se puntúa de 0 a 100 (90 para pacientes limitados a silla de ruedas). Las
puntuaciones no son la misma para cada actividad. La micción y deposi-
ción debe ser valorada respecto a la semana previa. La escala de Barthel
se pasará cuando se perciba que existe alguna limitación en las ABVD.
La escala de Lawton y Brody valora las actividades instrumentales de la
vida diaria.
VALORACIÓN DEL PACIENTE
Camina: Dificultad para caminar, Encamado.
Ocio:
Tipo de Respiración: Taquipnea, Bradipnea, Ortopnea, Disnea Esfuerzo
Disnea Reposo.
Presencia de secreciones: ¿Conoce técnicas de mejora eficaz de la res-
piración?
Expectoración: Dificultad para expectorar
Uso de inhaladores: ¿Conoce técnicas de aplicación? Uso Peack Flow (si
procede); FEM.
Actividades Vida Diaria Básicas e Instrumentales: Si procede realizar
Barthel y posteriormente Lawton (Si Barthel=100 ó si sólo falla en incon-
tinencia)
Oxigenoterapia, número de horas y medidas higiénicas.
VALORACIÓN DEL CUIDADOR
¿Ha afectado en sus hábitos de actividad-ejercicio y ocio el ser cuidador?
En caso afirmativo indique los cambios:
Ejercicio /Físico: Tipo, Frecuencia, Tiempo
37
Ocio:
Tiene alguna limitación física que impida aplicar los cuidados? :
Participa en alguna actividad lúdica y/o recreo NO SI:
Actividad laboral: Ligera, Moderada, Intensa.
PATRÓN FUNCIONAL: SUEÑO Y DESCANSO
5.1. Definición.
• Describe el patrón de sueño y descanso de un individuo.
• Incluye los patrones del sueño y los periodos de descanso-relax a
lo largo de las 24 horas del día.
• Incluye la percepción de la calidad y la cantidad de sueño y descan-
so y la percepción del nivel de energía.
• Incluye las ayudas para dormir como las medicaciones o la rutina
empleada a la hora de acostarse.
5.2. Descripción del objetivo de la valoración.
• Describir la efectividad del patrón desde la perspectiva del enfermo y del
cuidador.
• Analizar las explicaciones.
• Identificar las acciones llevadas a cabo y los efectos de las medidas
aplicadas en el caso de que se hubiera percibido un problema.
5.3. Examen físico-observación.
Si procede observar el patrón del sueño.
VALORACIÓN DEL PACIENTE /CUIDADOR
Cantidad horas sueño / noche: Cantidad horas sueño / día:
Cambio ritmo de sueño:
Problemas: Conciliar sueño, Pesadillas, Despertar temprano.
Medidas auxiliares: Escuchar radio, Medicación, Relajación, Otros
38
¿Se levanta descansado?:¿Ronca?
En el cuidador si existen problemas de sueño:
¿Considera que los problemas del sueño se deben a cuidar al paciente?
PATRÓN FUNCIONAL: COGNITIVO - PERCEPTIVO
6.1. Definición.
• Describe los patrones sensorio-perceptuales y cognitivos.
• Incluye la adecuación de los órganos de los sentidos, como la vista,
el oído, el gusto, el tacto o el olfato, y la compensación o prótesis
utilizada para hacer frente a los trastornos.
• Incluye las manifestaciones de percepción del dolor y como se trata
éste.
• Incluye la descripción de las habilidades cognitivas funcionales,
como el lenguaje, la memoria, el juicio y la toma de decisiones.
6.2 Descripción del objetivo de la valoración:
• Describir la adecuación del lenguaje, habilidades cognitivas y per-
cepción relativas a las actividades necesarias o deseadas.
• Identificar datos sobre las descripciones subjetivas, los problemas
percibidos por el cliente o por el cuidador.
• Identificar las compensaciones para el déficit y la efectividad de
los esfuerzos para compensarlos.
• Identificar la capacidad de autocuidados ya que las alteraciones
de este patrón van a presentar en el usuario y cuidador principal
dificultades en la aptitud para la realización de ellos.
6.3. Examen físico-observación.
• Durante el examen, se observan las capacidades cognitivas y sen-
soriales. La capacidad del lenguaje, memoria, resolución de proble-
mas y toma de decisiones en relación al entorno en la que encontra-
mos a nuestro enfermo/cuidador. Así como la visión, audición, tacto,
olfato y gusto. No olvide el valorar las prótesis como las gafas o el
audífono.
• Evaluar la percepción de los problemas por parte del paciente, las razo-
39
nes de ellos, las acciones llevadas a cabo y la eficacia percibida de los
resultados obtenidos.
• Valorar la existencia de comportamientos compensatorios del paciente
que puedan estar enmascarando disfunciones básicas debidas al razo-
namiento alterado, el déficit de la memoria y el déficit de conocimiento
relacionados con la práctica de salud. La seguridad de nuestro pacien-
te/cuidador pueden ponerse en peligro.
• Para valorar si existe deterioro cognitivo se recomienda la realización
del Test de Pfiffer.
• También es recomendable la realización del Test del Informador (TIN
corto) al cuidador principal ante sospecha de deterioro cognitivo del
paciente.
• Para medir la intensidad y características del dolor, es de gran utilidad
la escala visual analógica (EVA). Fundamental en el seguimiento de la
AD destacando entre el perfil de población domiciliaria el paciente ter-
minal.
VALORACIÓN DEL PACIENTE
1.- PERCEPCIÓN SENSORIAL
Orientación temporo-espacial
Nivel de conciencia: Alerta, Afasia receptiva, Mal historiador, Confuso,
Irresponsable.
Visión: Alteración, Utiliza gafas, revisión:
Audición : Alteración, Vértigo, Utiliza Prótesis,revisión :
Test susurro (si procede):
Presencia tapón cerumen:
2. CAPACIDAD COGNITIVA
Lenguaje: Normal, Titubeante, Confuso, Afasia expresiva
Capacidad leer, Capacidad escribir,Capacidad comunicarse
¿Tiene dificultad con el aprendizaje?
¿Tiene capacidad para tomar decisiones sobre su salud?
40
Deterioro cognitivo: Test Pfeiffer si procede; en caso de puntuación entre
3 y 4 realizar Mini-mental.
¿Dolor? Características: Agudo , Crónico, Intermitente, Otros.
Intensidad, Localización, Tiempo de evolución.
PATRÓN FUNCIONAL: AUTOPERCEPCIÓN - AUTOCONCEPTO
7.1. Definición
• Describe el concepto que tiene de sí mismo el individuo, cómo se per-
cibe y cómo cree que le perciben los demás.
• Incluye las actitudes hacia uno mismo, la percepción de las capaci-
dades (cognitivas, afectivas o físicas).
• Incluye las modificaciones de autoimagen y autoestima que se pue-
den presentar ante un proceso de enfermedad.
• Incluye el patrón emocional general.
• Incluye el patrón de la postura corporal y del movimiento, contacto
visual y patrones de voz y de conversación.
7.2. Descripción del objetivo de la valoración.
• Identificar los cambios, las pérdidas y las amenazas; factores comunes
que pueden influir de forma negativa en el autoconcepto. Las autoeva-
luaciones negativas producen malestar personal y también pueden
influir en los otros.
• Obtener la confianza del paciente/cuidador pues las personas tienden a
no mostrar sentimientos personales a no ser que se haya establecido
un ambiente de empatía y de no enjuiciamiento.
7.3. Examen físico-observación.
• Todas las categorías diagnósticas comprendidas en este patrón descri-
ben sentimientos subjetivos del paciente y/o del cuidador por lo que
necesitaremos prestar una especial atención a la verbalización de estos
sentimientos para realizar el diagnóstico correcto.
• Será importante observar la postura corporal y el movimiento, el contac-
to ocular y los patrones de voz y conversación.
• No deben pasarse por alto datos de identidad confusa, imagen corporal
41
alterada, baja autoestima, sentimientos de impotencia, depresión situacio-
nal y miedo.
• El temor y la ansiedad comparten muchas características definitorias,
debe hacerse una distinción entre estas dos condiciones.
Cuando se sospeche alteraciones en el estado de ánimo, o ansiedad se rea-
lizará una valoración con la Escala de Goldberg se debe aplicar en pacien-
tes con manifestaciones psicopatológicas, a pacientes con síntomas somá-
ticos inespecíficos como cefaleas, mareos, dolor torácico, pacientes pluri-
consultores, pacientes con enfermedades crónicas invalidantes, pacientes
con factores de riesgos (desempleo, duelo, cuidado del enfermo terminal...).
Esta escala, en caso de resultar negativa se pasará cada dos años y si es
positiva se realizará la derivación al medico de familia o Unidad de Salud
Mental.
VALORACIÓN DEL PACIENTE / CUIDADOR
Aceptación del estado de salud.
¿Cómo se describe a sí mismo? autoevaluación positiva, autoevaluación
negativa
Ha habido cambios en sus sentimientos hacia: ¿Sí mismo? ¿Su cuerpo?
¿Se siente a gusto consigo mismo?
Si se sospecha ansiedad, realizar Subescala de Ansiedad de Goldberg.
En el caso del cuidador además:
¿Tiene dificultad para cuidar de su imagen corporal desde que cuida?
¿Como se siente consigo mismo al ser cuidador?
Muy bien, Bien , Regular , Mal, Muy mal
Observaciones:
PATRÓN FUNCIONAL: ROL Y RELACIONES
8.1. Definición
Describe el patrón de compromisos de rol y de relaciones, la necesidad
humana de los demás y la influencia de las relaciones en el desarrollo per-
sonal y de los grupos.
42
• Contempla el papel que desempeña el paciente/cuidador, en sus rela-
ciones y compromisos sociales, familiares y laborales.
• Incluye la percepción que tiene la persona, de los roles más importan-
tes y las responsabilidades en su situación actual.
• Están incluidas tanto la satisfacción, como las alteraciones en la fami-
lia, trabajo o relaciones sociales y las responsabilidades relacionadas
con estos roles.
• Este patrón está muy relacionado con el de TOLERANCIA AL ESTRÉS
8. 2. Descripción del objetivo de la valoración.
• Obtener datos sobre el patrón del paciente/cuidador en los roles fami-
liares y sociales.
• Identificar la percepción del paciente/cuidador (las satisfacciones o insa-
tisfacciones) derivadas de sus relaciones o de la falta de ellas.
• Deben considerarse los riesgos, o los problemas percibidos por el clien-
te, si existen, la causa, las acciones llevadas a cabo y los efectos de
dichas acciones.
8. 3. Examen físico-observación
• En este patrón es importante tener presente la identificación y filiación
tanto del paciente como la del cuidador para su inclusión en la cobertu-
ra del programa de AD. Identificar el diagrama familiar.
• Si se sospecha de riesgo familiar, se recomienda el uso de la Escala
Apgar familiar para profundizar en la valoración.
• Es necesario conocer los sistemas de apoyo del individuo ante determi-
nadas situaciones (hermanos, amigos, padres..).
• Si se sospecha aislamiento o deterioro en las relaciones sociales se
recomienda el uso de la escala de Gijón para profundizar en la valora-
ción.
• Si se sospecha de riesgo de cansancio en el rol de cuidador se reco-
mienda el uso de la Escala de valoración de la sobrecarga de Zarit.
• Escuchar atentamente, repreguntar y valorar las percepciones del clien-
te en cuanto a roles / relaciones familiares, sociales, laborales.
• Si el paciente muestra que percibe problemas, escuchar y valorar las
razones y las acciones que se han llevado a cabo para remediarlo, si no
se ha afrontado el problema, identificar los motivos.
43
• Las pérdidas, los cambios o las situaciones de temor son los principa-
les problemas que subyacen en este patrón, explorar esta área y estar
atento a la comunicación no verbal.
• Observar hechos que confirmen la falta de apoyo (familiar/social) e
identificar las dificultades (culturales) de la familia para pedir ayuda y
apoyo.
VALORACIÓN DEL PACIENTE / CUIDADOR
Convivencia: solo, ¿Con quién vive?:
Recibe visitas:
Relaciones sociales: Satisfactorias, Indiferentes, Insatisfactorias, No pro-
cede.
Relaciones familiares: Satisfactorias, Indiferentes, Insatisfactorias, No
procede.
Relaciones laborales: Satisfactorias, Indiferentes, Insatisfactorias, No pro-
cede.
¿Comparte con alguien los problemas?¿Con quién?:
¿Se siente solo con frecuencia? ¿La situación actual ha supuesto un
cambio o problema en sus relaciones familiares o sociales?
¿Ha sufrido pérdidas en los últimos 6-12 meses ? En caso afirmativo,
cómo se siente...
Riesgo familiar: Apgar Familiar (si procede).
Escala Gijón (si procede).
En el caso de cuidador además
Índice de Zarit .Características de la relación con el paciente:
Conducta demandante del paciente.
Dificultad para comunicarse con el paciente.
Conducta violenta o agresiva del paciente.
Rechazo al cuidador.
Conducta sexual inadecuada.
44
PATRÓN FUNCIONAL: SEXUALIDAD Y REPRODUCCIÓN
9.1. Definición:
• Describe los patrones de satisfacción o insatisfacción de la sexualidad;
describe el patrón reproductivo.
• Incluye la satisfacción percibida o las alteraciones en la sexualidad
o en las relaciones sexuales.
• Incluye el estado reproductor en las mujeres, premenopausia o pos-
menopausia y los problemas percibidos.
9.2. Descripción del objetivo de la valoración.
• Describir la percepción de problemas reales o potenciales. Si existen
problemas se ha de preguntar al paciente/cuidador acerca de los facto-
res contribuyentes, las acciones llevadas a cabo y el efecto percibido de
estas acciones.
9.3. Examen físico-observación.
• La valoración de la expresión de la sexualidad de un paciente o del cui-
dador principal se focalizará en la satisfacción o insatisfacción percibi-
das.
• Si se perciben problemas y el paciente/cuidador desean expresarlos,
recogeremos las explicaciones en torno al problema, los datos históri-
cos de actuaciones llevadas a cabo y la opinión del paciente/cliente
sobre la efectividad de dichas acciones.
• Es importante el tener en cuenta los problemas de expresión de la
sexualidad a cualquier edad.
VALORACIÓN DEL PACIENTE / CUIDADOR
(Inicie la valoración con la pregunta ¿Ha habido algún cambio en su
sexualidad que le preocupe?. Y si existe alguna preocupación valore de
forma focalizada)
¿Relaciones sexuales? ¿Satisfactorias? Cómo se siente:
¿Sangrado Postmenopausia?
45
PATRÓN FUNCIONAL: ADAPTACIÓN Y TOLERANCIA AL ESTRÉS
10.1. Definición.
• Describe el patrón general de respuestas de adaptación de un individuo
ante determinados acontecimientos, enfermedades, tratamientos o situa-
ciones.
• Incluye la reserva o capacidad para resistir los cambios en la propia
integridad, formas de tratar el estrés, sistemas de apoyo familiar o de
otro tipo y la habilidad percibida para controlar y dirigir situaciones
(relajación, ejercicio físico, grupos de autoayuda, medicación....).
10.2. Descripción del objetivo de la valoración.
• Describir la tolerancia al estrés y el patrón de adaptación del paciente/cui-
dador.
• Identificación de las situaciones que provocan estrés y los mecanismos de
afrontamiento y control del mismo, que utiliza el individuo: negación, evi-
tación, búsqueda de información, esfuerzos activos y planificación de acti-
vidades, introducción de cambios, supresión emocional o represión o la
contraria que sería pedir apoyo emocional, actividades de control, dar
sentido a la enfermedad, búsqueda y obtención de apoyo social, acepta-
ción de la enfermedad, entre otros.
• Identificar los cambios en la efectividad del patrón de adaptación, que pue-
den darse si se prevé una amenaza a la integridad, superior al control
(capacidad de adaptación personal). Como cuando una persona ante
determinados acontecimientos: enfermedades, tratamientos o ante la reso-
lución de problemas vitales, muestran un deterioro de sus comportamien-
tos de adaptación y de sus habilidades para la resolución de los mismos.
• Para cuantificar la ansiedad del paciente y/o cuidador principal en la aten-
ción domiciliaria se puede utilizar el Test de EADG-Subescala de
Ansiedad-de Goldberg.
10. 3. Examen físico-observación
• No corresponde en este patrón realizar examen físico.
• ¿Por qué hacer énfasis en las percepciones del individuo sobre lo que
está ocurriendo?. Como dice Selye. “No es lo que te ocurre, sino la forma
en que te lo tomas (lo que ocurre)”. Los conocimientos o experiencias que
tienen nuestros paciente/cuidador determinan sus reacciones. La realidad
“es” aquello que el cliente cree. Esto explica la importancia de los datos
46
subjetivos. La intervención enfermera comienza con la “forma” en la que
el paciente/cuidador “ve” la situación.
VALORACIÓN DEL PACIENTE /CUIDADOR
¿Cambios y/o crisis en los últimos años? ¿Cuál?
¿Habilidades para afrontar estrés o problemas?¿Cuál?
Apoyo al que recurre: Familia Amistades Profesionales
Grupos ayuda mutua (GAM) Otros (Especificar):
¿Se siente apenado? Si No Especificar:
PATRÓN FUNCIONAL: VALORES Y CREENCIAS
11.1. Definición.
• Describe el sistema de valores y creencias (incluyendo las espirituales)
que guía al individuo en sus decisiones.
• Incluye la valoración de creencias que influyen en la salud y que facilitan o
entorpecen la adopción de hábitos saludables, adherencia a tratamientos.
• Incluye lo que es percibido como importante en la vida del paciente/cuida-
dor y cualquier percepción de conflicto en los valores, creencias o expec-
tativas relativas a la salud.
• Incluye opiniones acerca de lo que es correcto, desde el punto de vista
personal.
11.2 Descripción del objetivo de la valoración.
• Valorar este patrón cuando se sospeche discordancia entre las creencias
y las necesidades de salud.
VALORACIÓN DEL PACIENTE / CUIDADOR
¿Tiene algún conflicto o problema familiar, social..., con sus creencias?
¿Tiene dificultades para desarrollar sus creencias?
¿Existe algún conflicto entre tratamientos propuestos y creencias:?
Asuntos pendientes:
47
48
DIAGNÓSTICOS NANDA2
00126 CONOCIMIENTOS DEFICIENTES (ESPECIFICAR)
Definición. Carencia o deficiencia de información cognitiva relacionada
con un tema específico.
Es recomendable usar esta etiqueta cuando el problema en sí es
el desconocimiento sobre los cuidados o el manejo de la salud y la
prevención de riesgos. Para elaborar un diagnóstico enfermero a par-
tir de esta etiqueta no es necesario la identificación de un factor etio-
lógico.
No es recomendable usar esta etiqueta cuando el desconocimien-
to sea el factor etiológico de otro problema.
CARACTERÍSTICAS DEFINITORIAS
• Verbalización del problema.
• Seguimiento inexacto de las instrucciones.
• Realización inadecuada de las pruebas.
RECOMENDACIONES PARA LA VALORACIÓN ESPECÍFICA
• Manifestaciones del problema ya sea verbalmente o por la observación
de deficiencias para el manejo de la situación por desconocimiento.
• Observar la deficiencia en el seguimiento del tratamiento, la presencia
de conductas inadecuadas con el régimen terapéutico o con la realiza-
ción de algunas técnicas o pruebas, así como en el cumplimiento de los
autocuidados, o el manejo de la situación de salud.
Relaciones sugeridas
NOC
1811 Conocimiento: actividad prescrita.
1805 Conocimiento: conducta sanitaria
1820 Conocimiento: control de la diabetes.
1802 Conocimiento: dieta.
0704 Autocontrol del asma.
2609 Apoyo familiar durante el tratamiento.
1813 Conocimiento: régimen terapéutico.
51
PERCEPCION
DESALUD
PACIENTE CUIDADOR
NIC
1100 Manejo de la nutrición.
5602 Enseñanza: proceso de enfermedad.
5614 Enseñanza: dieta prescrita.
5612 Enseñanza: actividad/ ejercicio prescrito.
5616 Enseñanza: medicamentos prescritos.
5618 Enseñanza: procedimiento /tratamiento.
6520 Chequeo sanitario.
7140 Apoyo a la familia.
5240 Asesoramiento.
5480 Clarificación de valores.
5604 Enseñanza: grupo.
00078 Manejo ineficaz del régimen terapéutico.
00078 MANEJO INEFICAZ DEL RÉGIMEN TERAPÉUTICO
Definición. Patrón de regulación e integración en la vida diaria de un pro-
grama de tratamiento de la enfermedad y de sus secuelas que resulta
insatisfactorias para alcanzar objetivos específicos de salud.
Es recomendable usar esta etiqueta diagnóstica cuando la perso-
na conociendo el régimen terapéutico tiene dificultad para integrarlo
en sus hábitos de vida y cumplir eficazmente el mismo. Si la persona
conoce el régimen terapéutico valoraremos si existe un rechazo al
plan y una respuesta de incumplimiento del tratamiento.
CARACTERÍSTICAS DEFINITORIAS
• Elecciones de la vida diaria ineficaces para cumplir los objetivos de
un tratamiento o programa de prevención.
• Verbalización de no haber emprendido las acciones para reducir los
factores de riesgo mas frecuentes de progresión de la enfermedad
y de sus secuelas.
• Verbalización del deseo de manejar el tratamiento de la enferme-
dad y la prevención de las secuelas.
• Verbalización de la dificultad con la regulación o integración de uno
52
PACIENTE CUIDADOR
PERCEPCION
DESALUD
o más de los regímenes prescritos para el tratamiento de la enfer-
medad y sus efectos o la prevención de complicaciones.
• Verbalización de no haber realizado las acciones necesarias para
incluir el régimen de tratamiento en los hábitos diarios.
FACTORES ETIOLÓGICOS
• Percepción de barreras, susceptibilidad, beneficios o apreciación sub-
jetiva de gravedad.
• Déficit de soporte social.
• Falta de confianza en el régimen.
• Conocimientos deficientes.
• Conflicto de decisiones.
• Complejidad del régimen terapéutico o inadecuación del número y tipo
de claves para la acción.
RECOMENDACIONES PARA LA VALORACIÓN ESPECÍFICA
• Valorar la capacidad de comprensión del plan terapéutico, capacidad
para establecer metas a corto plazo y el apoyo familiar y o del cuidador.
Valorar las percepciones subjetivas de complejidad del plan, barreras o
manejo de ayudas para el cumplimiento.
Valorar respuestas de los patrones:
Percepción y manejo de la salud: relacionadas con los diagnóstico enfer-
mero Incumplimiento del tratamiento, Incapacidad del adulto para mante-
ner su desarrollo, Conducta deficiente de salud.
Valores / creencias: relacionadas con el diagnóstico enfermero Conflicto
de decisiones.
Relaciones sugeridas
NOC
1700 Creencias sobre la salud.
2609 Apoyo familiar durante el tratamiento.
1601 Conducta de cumplimiento.
1609 Conducta terapéutica: enfermedad o lesión.
1813 Conocimiento: régimen terapéutico.
1803 Conocimiento: proceso de la enfermedad.
53
PERCEPCION
DESALUD
NIC
4360 Modificación de la conducta.
4420 Acuerdo con el paciente.
5602 Enseñanza: proceso enfermedad.
5614 Enseñanza: dieta prescrita.
5612 Enseñanza: actividad /ejercicio prescrito.
5616 Enseñanza: medicamentos prescritos.
6520 Chequeo sanitario.
5270 Apoyo emocional.
8190 Seguimiento telefónico.
5604 Enseñanza: grupo.
7330 Intermediación cultural.
00079 INCUMPLIMIENTO DEL TRATAMIENTO (ESPECIFICAR)
Definición. Conducta de una persona o de un cuidador que no coinciden
con un plan terapéutico o de promoción de la salud acordada entre la per-
sona (o la familia, o la comunidad) y un profesional del cuidado de la
salud. Cuando se ha acordado un plan, ya sea terapéutico o de promo-
ción de la salud, la persona o el cuidador pueden respetarlo total o par-
cialmente o no cumplirlo en absoluto, lo que puede conducir a resultados
clínicos eficaces, parcialmente eficaces o ineficaces.
Es recomendable utilizar esta etiqueta únicamente en aquellas
situaciones en las que ha existido un pacto previo entre la persona
y el profesional de la salud respecto al cumplimiento del tratamien-
to y, posteriormente, no se ha cumplido en su totalidad o de forma
eficaz20
. El incumplimiento es un derecho del usuario que se debe
respetar. Si se da una respuesta de incumplimiento como elección
de la persona, es necesario asegurarse que el usuario conoce los
riesgos que corre al no adherirse al plan terapéutico. En este último
caso el incumplimiento debería registrarse como incumplimiento por
rechazo.
CARACTERÍSTICAS DEFINITORIAS
• Conducta indicativa de incumplimiento del tratamiento (por obser-
54
PACIENTE CUIDADOR
PERCEPCION
DESALUD
vación directa o por afirmaciones del paciente o de otras personas
significativas).
• Evidencia de desarrollo de complicaciones.
• Evidencia de exacerbación de los síntomas.
• No asistencia a las visitas concertadas.
• Falta de progresos.
• Pruebas objetivas (p. Ejem. Medidas fisiológicas, detección de mar-
cadores fisiológicos).
FACTORES ETIOLÓGICOS
Plan de cuidados: duración, personas significativas, coste, intensidad o
complejidad.
Factores individuales: habilidades, ideas sobre la salud, sistema de valo-
res, motivaciones.
Redes de soporte: implicación o ausencia de red de apoyo, creencias de
la persona de apoyo, valoración social del plan.
Sistemas de salud: satisfacción con los cuidados, credibilidad del provee-
dor, continuidad y seguimiento regular del proveedor de cuidados.
RECOMENDACIONES PARA LA VALORACIÓN ESPECÍFICA
Valorar respuestas de los patrones:
Percepción y manejo de la salud: relacionadas con los diagnóstico enfer-
meros Manejo ineficaz del régimen terapéutico, Conducta deficiente de
salud, Incapacidad del adulto para mantener su desarrollo.
Valores / creencias: relacionadas con el diagnóstico enfermero Conflicto
de decisiones.
Relaciones sugeridas
NOC
1601 Conducta de cumplimiento.
2609 Apoyo familiar durante el tratamiento.
1609 Conducta terapeútica: enfermedad o lesión.
1608 Control del síntoma.
2205 Rendimiento del cuidador familiar: atención directa.
55
PERCEPCION
DESALUD
1300 Aceptación: estado de salud.
1813 Conocimiento: régimen terapéutico.
1700 Creencias sobre la salud.
NIC
6520 Chequeo sanitario.
7400 Guías del sistema sanitario.
4420 Acuerdo con el paciente .
5250 Apoyo en la toma de decisiones.
5440 Aumentar sistemas de apoyo.
2380 Manejo de la medicación.
5480 Clarificación de valores.
00070 CONDUCTA DEFICIENTE DE SALUD
Definición. Incapacidad para modificar el estilo de vida de forma cohe-
rente con un cambio en la situación de salud.
Esta etiqueta diagnóstica fue modificada en 2006, anteriormente
se denominaba Deterioro de la adaptación. Es recomendable utilizar
esta etiqueta cuando no se han producido modificaciones en el estilo
de vida, por tanto va mas allá del cumplimiento terapéutico de un plan
de cuidados y supone la incapacidad para modificar hábitos de vida.
Mientras el manejo ineficaz del régimen terapéutico se utilizaría para
enfermedades de carácter agudo o en los estadios iniciales del mane-
jo de la enfermedad crónica, la conducta deficiente de salud supone
la ausencia de cambio del estilo de vida y la incapacidad para tomar
medidas preventivas que agraven la situación de salud o una enfer-
medad crónica instaurada y de larga evolución temporal.
CARACTERÍSTICAS DEFINITORIAS
• Minimiza los cambios en el estado de salud.
• Fallo en la toma de actividades preventivas.
FACTORES ETIOLÓGICOS
Baja autoeficacia.
56
PACIENTE CUIDADOR
PERCEPCION
DESALUD
Actitud negativa hacia los cuidados de salud.
Factores estresantes múltiples.
Apoyo social inadecuado.
Estado socioeconómico bajo.
Comprensión inadecuada.
RECOMENDACIONES PARA LA VALORACIÓN ESPECÍFICA
Valorar respuestas de los patrones:
Percepción y manejo de la salud: relacionadas con el diagnóstico enfer-
mero Manejo ineficaz del régimen terapéutico, Incapacidad del adulto
para mantener su desarrollo.
Valores / creencias: relacionadas con el diagnóstico enfermero Conflicto
de decisiones.
Relaciones sugeridas
NOC
1305 Modificación psicosocial: cambio de vida.
1601 Conducta de cumplimiento.
NIC
6520 Chequeo sanitario.
5230 Aumentar el afrontamiento.
4410 Establecimiento de objetivos comunes.
00082 MANEJO EFICAZ DEL RÉGIMEN TERAPÉUTICO.
Definición. El patrón de regulación e integración en la vida diaria de una
persona para el tratamiento de la enfermedad y de sus secuelas es satis-
factorio para alcanzar objetivos específicos de salud.
Es recomendable usar esta etiqueta cuando tras un proceso de
información y educación sanitaria la persona tiene conocimientos y
habilidades suficientes para manejar el plan terapéutico.
No se recomienda utilizar esta etiqueta cuando existan conocimien-
57
PACIENTE PERCEPCION
DESALUD
tos deficientes importantes o el cumplimiento terapéutico tenga carác-
ter inestable.
CARACTERÍSTICAS DEFINITORIAS
• Elección de actividades de la vida diaria apropiadas para alcanzar
los objetivos del tratamiento o del programa de prevención.
• Mantenimiento de los síntomas de enfermedad dentro de los límites
esperados.
• Expresión verbal del deseo de manejar el tratamiento de la enfer-
medad y la prevención de secuelas, de intentar reducir los factores
causales o las actuaciones de riesgo más frecuentes.
• Expresión verbal del intento de reducir los factores de riesgo más
frecuentes de progresión de la enfermedad y de sus secuelas.
RECOMENDACIONES PARA LA VALORACIÓN ESPECÍFICA
• Grado de conocimiento de sus problemas de salud y de los cuidados
que precisa. Correcta elección de las actividades de la vida diaria para
alcanzar los objetivos de prevención o del programa de cuidados y tra-
tamiento.
Valorar respuestas coincidentes en otros diagnósticos:
Conductas generadoras de salud.
Relaciones sugeridas
NOC
0704 Autocontrol del asma.
2609 Apoyo familiar durante el tratamiento.
1601 Conducta de cumplimiento.
1602 Conducta de fomento de salud.
1813 Conocimiento:regimen terapeútico.
1608 Control del síntoma.
1811 Conocimiento: actividad prescrita.
1802 Conocimiento: dieta.
1808 Conocimiento: medicación.
1803 Conocimiento: proceso de la enfermedad.
0309 Autocuidados: medicación parenteral.
58
PERCEPCION
DESALUD
NIC
6520 Chequeo sanitario.
5210 Guía de anticipación.
7400 Guías del sistema sanitario.
4420 Acuerdo con el paciente.
4410 Establecimiento de objetivos comunes.
5480 Clarificación de valores.
00084 CONDUCTA GENERADORA DE SALUD (Especificar)
Definición. Búsqueda activa (en una persona con una salud estable) de
formas de modificar los hábitos sanitario personales o el entorno para
alcanzar un nivel más alto de salud.
Es recomendable utilizar esta etiqueta cuando la persona busca
activamente un mayor nivel de salud. Algunos autores recomiendan
usar esta etiqueta en situaciones de promoción de salud y cuando no
existe instaurada una enfermedad crónica. Según la NANDA la salud
se considera estable cuando se han instaurado medidas de preven-
ción de la enfermedad apropiadas para la edad; la persona informa de
que goza de una buena o excelente salud, y los signos de la enferme-
dad, si los hay, están controlados.
No es recomendable su uso para el manejo del régimen terapéuti-
co o enfermedades crónicas.
CARACTERÍSTICAS DEFINITORIAS
• Expresión u observación de deseos de buscar un nivel más alto de
bienestar.
• Expresión u observación de deseos de un mayor control sobre las
prácticas de salud.
• Expresión de preocupación sobre la repercusión de las condiciones
ambientales actuales sobre el estado de salud.
• Expresión u observación de falta de familiaridad con los recursos de
salud de la comunidad.
• Demostración u observación de falta de conocimientos sobre con-
ductas promotoras de salud.
59
PACIENTE CUIDADOR
PERCEPCION
DESALUD
RECOMENDACIONES PARA LA VALORACIÓN ESPECÍFICA
Conocimiento de los programas preventivos y recursos comunitarios para
el control y manejo de la salud.
Valorar respuestas coincidentes en otros diagnósticos:
Manejo eficaz del régimen terapéutico.
Relaciones sugeridas
NOC
1305 Modificación psicosocial: cambio de vida.
1603 Conducta de búsqueda de la salud.
1902 Control del riesgo.
1914 Control del riesgo: salud cardiovascular.
0704 Autocontrol del asma.
NIC
6520 Chequeo sanitario.
6522 Exploración de las mamas.
5250 Apoyo en la toma de decisiones.
0200 Fomento del ejercicio.
1100 Manejo de la nutrición.
1720 Fomentar la salud bucal.
6530 Manejo de la inmunización.
5400 Potenciación de la autoestima.
5604 Enseñanza: grupo.
00155. RIESGO CAÍDAS
Definición. Aumento de la susceptibilidad a las caídas que pueden cau-
sar daño físico.
Es recomendable usar la etiqueta cuando se identifiquen factores
de riesgo que se puedan paliar o existan medidas de tipo ambiental
que puedan reducir el mismo. Se trata de una etiqueta diagnóstica
más específica que el Riesgo de lesión.
60
PACIENTE
PERCEPCION
DESALUD
FACTORES DE RIESGO
Fisiológicos. Dependiendo del tipo y del grado: trastornos visuales o
auditivos, deterioro neurológico, del equilibrio, la movilidad física, la fuer-
za de las extremidades inferiores o problemas en los pies.
Cognitivos. Alteraciones leves del estado mental.
Ambientales. Falta de medidas de seguridad en el baño o en la casa
en general, iluminación inadecuada por exceso o por defecto.
Condiciones climatológicas adversas. Antecedentes de caídas en el últi-
mo año; uso de sillas de ruedas, prótesis o dispositivos de ayuda para la
ambulación, vivir solo.
Fisiológicos. Enfermedad aguda o crónica, estados postoperatorios;
dependiendo del tipo y del grado: trastornos visuales o auditivos, deterio-
ro neurológico, trastorno del equilibrio, la movilidad física, la fuerza de las
extremidades inferiores o problemas en los pies.
Cognitivos. Alteración severa del estado mental.
Medicamentosos. Consumo excesivo de alcohol o efectos secunda-
rios de una amplia gama de medicamentos.(sedantes, vasodilatadores,
antihipertensivos, diuréticos, psicofármacos, hipoglucemiantes, fenotiaci-
nas).
RECOMENDACIONES PARA LA VALORACIÓN ESPECÍFICA
• Tinetti: para valorar la marcha y el equilibrio.
• Test Get Up & Go (Cronometrar cuánto tarda el paciente en levantarse
de una silla con apoyabrazos, caminar tres metros y volver a sentarse
en su silla acto seguido; Normal: menos de 10 segundos, Patológico
con alto riesgo de caídas: más de 20 segundos, en ancianos frágiles:
entre 10 y 20 segundos.)
• Test unipodal (Mantener en bipedestación sobre un pie con la otra pier-
na flexionada durante 30 segundos (máximo 5 intentos). Alteración si a
partir de los 60 años no se mantiene un mínimo de 5 segundos.
Valorar respuestas coincidentes en otros diagnósticos:
Riesgo de lesión.
Relaciones sugeridas
NOC
1909 Conducta de prevención de caídas.
61
PERCEPCION
DESALUD
1910 Ambiente seguro del hogar.
0202 Equilibrio.
0113 Envejecimiento físico.
0208 Movilidad.
2401 Función sensitiva: visión.
1912 Caídas.
NIC
6490 Prevención de caídas.
5486 Manejo ambiental: seguridad.
0222 Terapia de ejercicio: equilibrio.
5616 Enseñanza: medicamentos prescritos.
00035 RIESGO DE LESIÓN
Definición. Riesgo de lesión como consecuencia de la interacción de
condiciones ambientales con los recursos adaptativos y defensivos de la
persona
Es recomendable usar esta etiqueta si el riesgo de lesión es de
múltiples tipos. Es de uso útil para sustituir a varios tipos de riesgo de
lesión presentes en el enfermo que harían poco manejable el plan de
cuidados. Es interesante realizar un diagnóstico diferencial con el
diagnóstico protección ineficaz. Se aconseja usar la etiqueta riesgo de
lesión cuando no existan problemas reales asociados.
No es recomendable usarlo en los casos en que no es posible ate-
nuar o modificar los factores de riesgo o el paciente o cuidador ya han
puesto todos los medios posibles para su prevención.
FACTORES DE RIESGO
Externos
Químicos (contaminantes ambientales, tóxicos, fármacos, drogas,
alcohol, cafeína, nicotina, cosméticos, conservantes).
Nutrientes (vitaminas, tipos de alimentos).
Población y proveedores (factores cognitivos, agentes nosocomiales).
62
PACIENTE CUIDADOR
PERCEPCION
DESALUD
Biológicos (nivel de inmunización de la comunidad, microorganis-
mos).
Físicos (diseño, estructura y disposición de la comunidad, edificios
o equipo).
Sistema de transporte de las personas y de las mercancías.
Internos
Desnutrición.
Psicológicos (desorientación afectiva).
Perfil sanguíneo anormal (leucocitosis/leucopenia; alteración de los
factores de coagulación; trombocitopenia; disminución de la hemoglo-
bina).
Disfunción inmune/autoinmune.
Físicos (solución de continuidad de la piel; alteración de la movili-
dad).
Alteración de la función bioquímica, reguladora o efectora; trastor-
nos hematológicos o inmunitarios; etapa de desarrollo; desnutrición,
transtornos o alteraciones físicas o psicológicas dependiendo del tipo
o grado.
RECOMENDACIONES PARA LA VALORACIÓN ESPECÍFICA
Valorar respuestas de los patrones:
Percepción y manejo de la salud: relacionadas con los diagnósticos enfer-
meros: Riesgo de caídas, Incapacidad del adulto para mantener su des-
arrollo.
Nutricional / metabólico: relacionadas con los diagnósticos enfermeros:
Protección ineficaz, Deterioro de la integridad cutánea y Desequilibrio
nutricional: defecto.
Actividad / ejercicio: relacionadas con los diagnósticos enfermeros:
Deterioro de la movilidad física y Deterioro de la deambulación.
Cognitivo / perceptivo: relacionadas con los diagnósticos enfermeros:
Dolor, Trastorno de la percepción sensorial, Deterioro de la memoria.
Relaciones sugeridas
NOC
1910 Ambiente seguro del hogar.
63
PERCEPCION
DESALUD
1909 Conducta de prevención de caídas.
1902 Control del riesgo.
1915 Control del riesgo: deterioro auditivo.
1916 Control del riego: deterioro visual.
1608 Control del síntoma.
1912 Caídas.
1913 Severidad de la lesión física.
2404 Función sensitiva: visión.
2401 Función sensitiva: audición.
2400 Función sensitiva: cutánea.
NIC
5486 Manejo ambiental: seguridad .
3500 Manejo de presiones.
2690 Precauciones contra las convulsiones.
6490 Prevención de caídas.
6340 Prevención del suicidio.
00039 RIESGO DE ASPIRACIÓN
Definición: Riesgo de que penetren en el árbol traqueo bronquial las
secreciones gastrointestinales, orofaríngeas, o sólidas o líquidas.
Es recomendable su uso en los que se puedan intervenir en los
factores ambientales modificables o cuando los cuidado preventivos
permitan prevenir el riesgo.
FACTORES DE RIESGO
Dependiendo del tipo y grado: incompetencia del esfínter esofági-
co inferior; retraso en el vaciado gástrico, disminución de la motilidad
gastrointestinal, depresión de los reflejos nauseoso y tusígeno o
reducción del nivel de conciencia.
Dependiendo del tipo y grado: reducción del nivel de conciencia,
incompetencia del esfínter esofágico inferior; disminución de la motili-
dad gastrointestinal, depresión de los reflejos nauseoso y tusígeno o
64
PACIENTE
PERCEPCION
DESALUD
retraso en el vaciado gástrico; presencia de sondas o tubos en el trac-
to respiratorio o gastroduodenal; efecto de ciertos medicamentos;
situaciones que impiden la elevación de la parte superior del cuerpo;
aumento de la presión intragástrica; aumento del volumen gástrico
residual; deterioro de la deglución; cirugía o traumatismo facial, oral o
del cuello.
Factores identificados de alto riesgo:
Vómito.
Convulsiones.
Incapacidad para cambiar de posición.
Ingesta de fármacos: metoclopramida.
Relaciones sugeridas
NOC
1918 Prevención de la aspiración.
0403 Estado respiratorio: ventilación.
NIC
0840 Cambio de posición.
00004 RIESGO DE INFECCIÓN
Definición: Aumento del riesgo de ser invadido por microorganismos
patógenos.
Es recomendable su uso en los que se puedan intervenir en los
factores ambientales modificables o cuando los cuidado preventivos
permitan prevenir el riesgo.
FACTORES DE RIESGO
Insuficiencia de conocimientos para evitar la exposición a los agen-
tes patógenos.
Traumatismo. Destrucción tisular y aumento de la exposición
ambiental. Agentes farmacológicos (inmunosupresores).
Desnutrición. Inmunidad adquirida inadecuada. Alteración de las
defensas primarias. Enfermedades crónicas.
65
PACIENTE
PERCEPCION
DESALUD
Relaciones sugeridas
NOC
6550 Protección contra las infecciones
NIC
0305 Autocuidados: higiene.
1902 Control del riesgo.
1900 Conducta de vacunación.
00098 DETERIORO DEL MANTENIMIENTO DEL HOGAR
Definición. Incapacidad para mantener independientemente un entorno
inmediato seguro y promotor del desarrollo.
Es recomendable usar esta etiqueta cuando la dificultad obedece
a factores modificables.
CARACTERÍSTICAS DEFINITORIAS
• Subjetivas:
• Los miembros de la casa expresan dificultad para mantenerla con-
fortable.
• Los miembros de la casa solicitan ayuda para su mantenimiento.
• Los miembros de la casa refieren obligaciones externas o crisis
económicas.
• Objetivas:
• Entorno desordenado.
• Falta de equipo de cocina, ropa de vestir o ropa de cama o los que
hay están sucios.
• Acumulo de suciedad, residuos, alimentarios o desechos higiénicos.
• Olores ofensivos.
• Temperatura domestica inadecuada.
• Excesivo trabajo de los miembros de la familia. Ejem. Exhaustos,
ansiosos.)
• Presencia de parásitos o roedores.
66
PACIENTE CUIDADOR
PERCEPCION
DESALUD
• Repetidas alteraciones higiénicas, infestaciones o infestaciones.
• Falta del equipo o las ayudas necesarias.
FACTORES ETIOLÓGICOS
Falta de organización o planificación de las tareas familiares insu-
ficiente.
Recursos económicos insuficientes o desconocimiento de los recur-
sos de ayuda comunitarios.
Sistema de soporte inadecuado.
Deterioro cognitivo.
Enfermedad o lesión de la persona o un miembro de la familia.
RECOMENDACIONES PARA LA VALORACIÓN ESPECÍFICA
Escalas para la valoración complementaria:
Valoración sociofamiliar de Gijón, Apgar familiar, Apoyo social funcional de
DUKE
Valorar respuestas de los patrones:
Percepción y manejo de la salud: Incapacidad del adulto para mantener
su desarrollo.
Eliminación: el patrón de eliminación de residuos tanto familiar (donde se
ubican los desechos como indicadores de riesgo para la aparición de roe-
dores moscas y mosquitos, etc.) como comunitario (eliminación de resi-
duos, polución del aire).
Actividad / ejercicio: Fatiga. Intolerancia a la actividad. Riesgo de intole-
rancia a la actividad. Deterioro de la movilidad física.
Rol y relaciones: Riesgo o Cansancio en el rol de cuidador
Relaciones sugeridas
NOC
1504 Soporte social.
1501 Ejecución del rol.
2602 Funcionamiento de la familia.
1910 Ambiente seguro del hogar.
0113 Envejecimiento físico.
67
PERCEPCION
DESALUD
2506 Salud emocional del cuidador familiar.
2609 Apoyo familiar durante el tratamiento.
2507 Salud física del cuidador familiar.
0313 Nivel de autocuidado.
NIC
8100 Derivación.
7180 Asistencia en el mantenimiento del hogar.
5440 Aumentar los sistemas de apoyo.
6486 Manejo ambiental: seguridad.
7400 Guías del sistema sanitario.
000101 INCAPACIDAD DEL ADULTO PARA MANTENER
SU DESARROLLO
Definición. Deterioro funcional progresivo de naturaleza física y cogniti-
va. Notable disminución de la capacidad de la persona para vivir con una
enfermedad multisistémica, afrontar los problemas subsiguientes y mane-
jar sus propios cuidados.
Esta etiqueta tiene las características de un síndrome. Es una res-
puesta que identifica una situación en la que el adulto fracasa en la
organización y desarrollo de sus cuidados para mantenerse de forma
independiente. Se suele asociar a enfermedades que afectan al
patrón de actividad o al patrón cognitivo.
CARACTERÍSTICAS DEFINITORIAS
• Anorexia: no come cuando se le ofrecen alimentos; dice que no
tiene apetito y que no quiere comer.
• Aporte nutricional inadecuado: ingesta menor que los requerimien-
tos corporales.
• Consumir pocos o ningún alimento en la mayoría de las ingestas.
• Pérdida de peso: involuntaria del 5% en un mes, o del 10% en seis
meses.
• Declinación física: evidencia de fatiga, deshidratación, incontinen-
cia intestinal o vesical.
68
PACIENTE CUIDADOR
PERCEPCION
DESALUD
• Exacerbación de problemas de salud crónicos(neumonías o infec-
ciones urinarias).
• Declinación cognitiva. Dificultad para responder adecuadamente a
los estímulos ambientales; dificultad para razonar, tomar decisiones
o emitir juicios; disminución de la percepción.
• Disminución de las habilidades sociales: reducción perceptible de la
conducta anterior habitual de intentar establecer o participar en las
relaciones cooperativas.
• Déficit de autocuidado y dificultad para realizar tareas sencillas de
autocuidado.
• Descuido del entorno doméstico.
FACTORES ETIOLÓGICOS
Depresión, Apatía o Fatiga.
RECOMENDACIONES PARA LA VALORACIÓN ESPECÍFICA
Escalas para la valoración complementaria:
Valoración mediante la Escala de Valoración de Autonomía para el
Autocuidado. Valoración sociofamiliar de Gijón, Apgar familiar, Apoyo
social funcional de DUKE.
Valorar respuestas de los patrones:
Percepción y manejo de la salud: Manejo ineficaz del régimen terapéuti-
co.
Nutricional metabólico: Desequilibrio nutricional por defecto.
Actividad / ejercicio: Fatiga. Intolerancia a la actividad. Riesgo de intole-
rancia a la actividad. Deterioro de la movilidad física.
Rol y relaciones: Riesgo o Cansancio en el rol de cuidador
Relaciones sugeridas
NOC
0313 Nivel de autocuidado.
1300 Aceptación: estado de salud.
1009 Estado nutricional: ingestión de nutrientes.
1612 Control de peso.
69
PERCEPCION
DESALUD
0300 Autocuidados: actividades de la vida diaria.
1504 Soporte social.
2602 Funcionamiento de la familia.
0113 Envejecimiento físico.
2609 Apoyo familiar durante el tratamiento.
2507 Salud física del cuidador familiar.
NIC
1800 Ayuda al autocuidado.
7040 Apoyo al cuidador familiar.
5310 Dar esperanza.
1801 Ayudas en los autocuidados: baño/higiene.
7110 Fomentar la implicación familiar.
7120 Movilización familiar.
00001 DESEQUILIBRIO NUTRICIONAL: POR EXCESO
Definición. Aporte de nutrientes que excede las necesidades metabólicas.
Es recomendable usar esta etiqueta cuando los factores son exó-
genos y están relacionados con la conducta del paciente.
No es recomendable usar esta etiqueta cuando los factores etioló-
gicos tienen carácter endógeno u hormonal.
CARACTERÍSTICAS DEFINITORIAS
• Pliegue cutáneo del tríceps superior a 15 mm. en los varones o a
25mm en las mujeres.
• Peso corporal superior en un 10% o más al ideal según la talla,
sexo, edad y constitución corporal.
• Nivel de actividad sedentario.
• Patrones alimentarios inadecuados.
• Comer en respuesta a claves externas (como la hora).
• Comer en respuesta a claves internas (como la ansiedad) distintas
al hambre.
70
PACIENTE CUIDADOR
NUTRICIONAL
• Emparejar la comida con otras actividades
• Concentrar la toma de alimentos al final del día
FACTORES ETIOLÓGICOS
Aporte excesivos en relación con las necesidades metabólicas.
RECOMENDACIONES PARA LA VALORACIÓN ESPECÍFICA
Patrones de ejercicio o alimentarios inadecuados: Registros de alimentos
consumidos durante una semana. Descripción de la ingesta cualitativa y
cuantitativa del día anterior. Horarios, si come solo o acompañado.
Trabajo físico que desempeña, ejercicio físico. Significado que da a la
comida. Motivación que tiene para comer. Sentimientos antes y después
de la comida.
Valorar respuestas de los patrones:
Autopercepción - Autoconcepto: Autoestima baja situacional, Ansiedad,
cambios en los sentimientos.
Adaptación y tolerancia al estrés: Afrontamiento ineficaz, Conducta defi-
ciente de la salud.
Relaciones sugeridas
NOC
1612 Control de peso.
1802 Conocimiento: dieta.
1009 Estado nutricional: ingestión de nutrientes.
NIC
1100 Manejo de la nutrición.
1260 Manejo del peso.
0200 Fomento del ejercicio.
5606 Enseñanza: individual.
00002 DESEQUILIBRIO NUTRICIONAL: POR DEFECTO
Definición. Ingesta de nutrientes insuficiente para satisfacer las necesi-
71
PACIENTE CUIDADOR
NUTRICIONAL
dades metabólicas de una persona provocando una pérdida de peso
corporal por debajo del adecuado para su edad, sexo y constitución cor-
poral.
Se aconseja utilizar esta etiqueta cuando no existan parámetros
bioquímicos que determinen la existencia de desnutrición, y los facto-
res que lo provocan entra dentro de la esfera competencial de la
enfermera.
Se desaconseja su uso cuando exista desnutrición grave que no
pueda ser solucionada con la ingesta oral.
CARACTERÍSTICAS DEFINITORIAS
• Peso corporal inferior en un 20% o más al peso ideal.
• Informe de ingesta inferior a las cantidades diarias recomendadas.
• Palidez de las conjuntivas y mucosas.
• Debilidad de los músculos requeridos para la masticación o la deglu-
ción.
• Inflamación o ulceración de la cavidad bucal.
• Saciedad inmediatamente después de ingerir alimentos.
• Informe o evidencia de falta de alimentos.
• Informes de alteración del sentido del gusto.
• Incapacidad subjetiva para ingerir alimentos.
FACTORES ETIOLÓGICOS
Incapacidad para ingerir los nutrientes debido a factores biológicos o psi-
cológicos, dependiendo del tipo y grado.
Valorar con Escalas
Puede ayudar a la detección la realización de la evaluación del estado
nutricional (Mini Nutritional Assessment).
Valorar respuestas de los patrones:
Percepción y manejo de la salud: Incapacidad del adulto para mantener
su desarrollo.
Autopercepción - Autoconcepto: Autoestima baja situacional, Ansiedad,
cambios en los sentimientos.
72
NUTRICIONAL
Relaciones sugeridas
NOC
1612 Control de peso.
1802 Conocimiento: dieta.
1009 Estado nutricional: ingestión de nutrientes.
NIC
1030 Manejo de los trastornos de la alimentación.
5246 Asesoramiento nutricional.
1240 Ayuda para ganar peso.
1100 Manejo de la nutrición.
1260 Manejo del peso.
4120 Manejo de líquidos.
1080 Sondaje naso gástrico.
1874 Cuidados de la sonda nasogástrica.
1056 Alimentación enteral por sonda.
00045 DETERIORO DE LA MUCOSA ORAL
Definición. Alteración de los labios y tejidos blandos de la cavidad oral.
Es recomendable utilizar esta etiqueta cuando sea posible recupe-
rar la integridad de los labios o la mucosa oral modificando la conduc-
ta de la persona o del cuidador20
.
Cuando sea necesaria un abordaje en colaboración con otros pro-
fesionales, porque el deterioro es secundario a una patología o tera-
pia es preferible utilizar esta etiqueta como una complicación del pro-
ceso clínico.
CARACTERÍSTICAS DEFINITORIAS
• Drenaje purulento o exudado.
• Recesión gingival, bolsillos de más de 4mm.
• Agrandamiento de las amígdalas superior a lo adecuado.
• Lengua blanda, atrófica, sensible, geográfica, saburral.
73
PACIENTE
NUTRICIONAL
• Mucosa denudada.
• Presencia de agentes patógenos.
• Dificultad para el habla.
• Informes de mal sabor.
• Palidez de las encías o de la mucosa.
• Dolor o malestar oral.
• Xerostomía (boca seca)
FACTORES ETIOLÓGICOS
Dificultad para deglutir los alimentos, para masticar o hablar.
Mal aliento, sequedad bucal, lengua saburral.
Respiración oral.
Higiene oral ineficaz.
Deshidratación dependiendo del tipo y grado.
Desnutrición, déficit de vitaminas.
Efectos secundarios a la quimioterapia, radioterapia o fármacos.
Infección o patología bucal.
Desnutrición, déficit de vitaminas o deshidratación dependiendo del
tipo y del grado.
Pérdida del tejido óseo, cartilaginoso o conjuntivo relacionado con
el envejecimiento.
Relaciones sugeridas
NOC
0308 Autocuidados: higiene bucal.
1100 Higiene bucal.
1101 Integridad tisular: piel y mucosas.
NIC
1730 Restablecimiento de la salud bucal.
1720 Fomentar la salud bucal.
1710 Mantenimiento de la salud bucal.
74
NUTRICIONAL
00046 DETERIORO DE LA INTEGRIDAD CUTÁNEA
Definición. Alteración de la epidermis, dermis o ambas.
Un tipo de deterioro de la integridad cutánea es la úlcera por pre-
sión (UPP). En esos casos se recomienda, en consonancia con
Gordon, utilizar la etiqueta UPP especificando el grado de la misma.
CARACTERÍSTICAS DEFINITORIAS.
• Invasión de las estructuras corporales.
• Destrucción de las capas de la piel (dermis).
• Alteración de la superficie de la piel (epidermis).
FACTORES ETIOLÓGICOS
Factores internos: Alteración del estado nutricional o de hidratación
dependiendo del tipo y grado.
Factores externos: Humedad, presión; factores mecánicos, inmo-
vilización.
Factores internos: Alteración de la circulación o del estado meta-
bólico, prominencias óseas, déficit inmunológico, factores de desarro-
llo, transtornos del estado nutricional o de hidratación dependiendo
del tipo y del grado, alteraciones de la circulación y del turgor.
Factores externos: Hipertermia o hipotermia, sustancias químicas,
radiación, extremos de edad, medicamentos.
Valorar respuestas coincidentes en otros diagnósticos:
Riesgo de deterioro de la integridad cutánea.
En UPP identificar estadio2
:
Estadio I
• Alteración observable en la piel integra, relacionada con la pre-
sión, que se manifiesta por un eritema cutáneo que no palidece
75
PACIENTE
2. Grupo Nacional para el Estudio y Asesoramiento en Ulceras por Presión y Heridas Crónicas
(GNEAUPP). Clasificación-Estadiaje de las Úlceras por Presión. Logroño. 2003
NUTRICIONAL
al presionar; en pieles oscuras, puede presentar tonos rojos,
azules o morados. En comparación con un área (adyacente u
opuesta) del cuerpo no sometida a presión, puede incluir cam-
bios en uno o más de los siguientes aspectos:
– Temperatura de la piel (caliente o fría)
– Consistencia del tejido (edema, induración)
– Y/o sensaciones (dolor, escozor)
Estadio II
• Pérdida parcial del grosor de la piel que afecta a la epidermis,
dermis o ambas.
• Ulcera superficial que tiene aspecto de abrasión, ampolla o crá-
ter superficial.
Estadio III
• Pérdida total del grosor de la piel que implica lesión o necrosis
del tejido subcutáneo, que puede extenderse hacia abajo pero
no por la fascia subyacente.
Estadio IV
• Pérdida total del grosor de la piel con destrucción extensa,
necrosis del tejido o lesión en músculo, hueso o estructuras de
sostén (tendón, cápsula articular, etc.).
• En este estadio como en el III, pueden presentarse lesiones con
cavernas, tunelizaciones trayectos sinuosos.
Escala
La escala Braden resultará útil para profundizar en la valoración del ries-
go.
Relaciones sugeridas
NOC
0204 Consecuencias de la inmovilidad: fisiológicas.
0305 Autocuidados: higiene.
1102 Curación de herida: por primera intención.
1103 Curación de herida: por segunda intención.
1004 Estado nutricional.
76
NUTRICIONAL
1009 Estado nutricional: ingestión de nutrientes.
0407 Perfusión tisular: periférica.
NIC
3660 Cuidado de las heridas.
3440 Cuidado del sitio de incisión.
3520 Cuidado de úlceras por presión.
0740 Cuidados del paciente encamado.
3540 Prevención de úlceras por presión.
1660 Cuidados de los pies.
4020 Disminución de la hemorragia.
1100 Manejo de la nutrición.
00047 RIESGO DE DETERIORO DE LA INTEGRIDAD CUTÁNEA
Definición. Riesgo de que la piel se vea negativamente afectada.
Un tipo de riesgo de deterioro de la integridad cutánea es el riesgo
de úlcera por presión (UPP). En esos caso se recomienda considera-
mos en consonancia con Gordon que es conveniente utilizar la etique-
ta Riesgo de UPP. Es recomendable utilizar esta etiqueta cuando los
factores de riesgo sean modificables o controlables mediante el plan
de cuidados.
FACTORES DE RIESGO:
Externos
Humedad.
Factores mecánicos ( p. Ej., fuerzas de cizallamiento, presión, suje-
ciones).
Inmovilización física.
Hipertermia o hipotermia.
Sustancias químicas, radiación, medicamentos.
Edad.
77
PACIENTE
NUTRICIONAL
Internos
Alteración del estado nutricional.
Alteraciones del turgor (cambios de elasticidad).
Alteración del estado metabólico.
Prominencias óseas.
Déficit inmunológico.
Alteración de la sensibilidad, de la pigmentación, de la circulación,
en el estado de los líquidos.
Psicogenéticos.
RECOMENDACIONES PARA LA VALORACIÓN ESPECÍFICA
Valorar con escala
La escala Braden resultará útil para profundizar en la valoración.
Relaciones sugeridas
NOC
0204 Consecuencias de la inmovilidad: fisiológicas.
1902 Control de riesgo.
0113 Envejecimiento físico.
1004 Estado nutricional.
1101 Integridad tisular: piel y membranas mucosas.
0407 Perfusión tisular: periférica.
1009 Estado nutricional: ingestión de nutrientes.
NIC
3540 Prevención de las úlceras por presión.
3500 Manejo de las presiones.
3590 Vigilancia de la piel.
2316 Administración medicación: tópica.
4070 Precauciones circulatorias.
1660 Cuidados de los pies.
0202 Fomento del ejercicio: entrenamiento de extensión.
0410 Cuidados incontinencia intestinal.
78
NUTRICIONAL
1100 Manejo de nutrición.
1680 Cuidado de las uñas.
0740 Cuidado paciente encamado.
00043 PROTECCIÓN INEFICAZ
Definición: Disminución de la capacidad para autoprotegerse de amena-
zas internas y externas, como enfermedades o lesiones.
Esta etiqueta es considerada como un síndrome que agrupa a
varias etiquetas diagnósticas bajo un único epígrafe para planificar el
cuidado cuando existan varias variables.
CARACTERÍSTICAS DEFINITORIAS
• Respuestas desadaptadas al estrés. Alteración de la coagula-
ción. Alteración neurosensorial. Deterioro de la cicatrización.
Deficiencia inmunitaria. Disnea. Agitación. Insomnio. Debilidad.
Úlceras por presión. Inmovilidad. Sudación. Escalofríos. Prurito.
Fatiga. Desorientación. Tos. Anorexia.
FACTORES ETIOLÓGICOS
Nutrición inadecuada dependiendo de la causa y grado.
Edad extrema, alcoholismo, efectos secundarios de tratamientos o
medicamentos, enfermedades como cáncer, trastornos inmunitarios o
hematológicos.
Valorar respuestas de los patrones:
Percepción y manejo de la salud: Incapacidad del adulto para mantener
su desarrollo.
Nutricional metabólico: Deterioro de la integridad cutánea, Riesgo de
deterioro de la integridad cutánea, Deterioro de la mucosa oral, Deterioro
de la integridad tisular, Riesgo de infección.
Relaciones sugeridas
NOC
1900 Conducta de vacunación.
2501 Protección del abuso.
0001 Resistencia.
79
PACIENTE
NUTRICIONAL
NIC
6540 Control de infecciones.
6550 Protección contra las infecciones.
6654 Vigilancia: seguridad.
6610 Identificación de riesgos.
4010 Precauciones con hemorragias.
2240 Manejo de la quimioterapia.
0840 Cambio de posición.
3660 Cuidados de las heridas.
6460 Manejo de la demencia.
3500 Manejo de presiones.
1100 Manejo de la nutrición.
3540 Prevención de las úlceras por presión.
00011 ESTREÑIMIENTO
Definición. Reducción de la frecuencia normal de evacuación intestinal,
acompañada de eliminación defectuosa o incompleta de heces excesiva-
mente duras / secas.
Se aconseja utilizar esta etiqueta cuando se pueda mejorar la eva-
cuación intestinal modificando los hábitos higiénico-dietéticos.
Se desaconseja utilizar esta etiqueta cuando se trate de un estre-
ñimiento que esté provocado exclusivamente por problemas fisiopato-
lógicos como estenosis intestinal, trastornos del peristaltismo o efec-
tos secundarios medicamentosos como los opiáceos20
.
CARACTERÍSTICAS DEFINITORIAS
• Cambios en el patrón intestinal. Incapacidad para eliminar las heces.
• Eliminación de heces duras, secas y formadas. Presencia de heces
de consistencia pastosa en el recto. Masa rectal palpable.
Rezumamiento de heces liquidas.
• Disminución del volumen de las heces.
• Sensación de plenitud o presión rectal.
80
PACIENTE CUIDADOR
ELIMINACIÓN
• Dolor durante la defecación. Dolor abdominal.
• Anorexia. Náuseas o vómitos. Indigestión. Cefaleas.
• Cambios en los ruidos abdominales (borborigmos). Sonidos abdo-
minales hiper o hipoactivos. Matidez abdominal.
• Sangre roja brillante en las heces.
• Distensión abdominal. Aumento de la presión abdominal. Sensibilidad
abdominal con o sin resistencia muscular palpable. Masa abdominal
palpable.
• Heces negras o alquitranadas.
• Flatulencia severa.
• Fatiga generalizada.
• Presentaciones atípicas en adultos ancianos (pe: cambios del esta-
do mental, incontinencia urinaria, caídas inexplicables, aumento de
la temperatura corporal).
FACTORES ETIOLÓGICOS
Factores funcionales: Hace caso omiso de la necesidad de defe-
car, ha sufrido cambios recientes en el entorno, sus hábitos de elimi-
nación son irregulares, su actividad física es escasa, carece de intimi-
dad, carece de tiempo, tiene debilidad de la musculatura abdominal.
Psicológicos: estrés emocional.
Farmacológicos: Abusos de laxantes.
Mecánicos: Obesidad.
Fisiológicos: Mala higiene oral, deshidratación, cuando es posi-
ble la rehidratación oral, malos hábitos alimentarios con deficiencia en
fibra y líquidos o cambios en el patrón de los alimentos ingeridos, dis-
minución de la motilidad del tracto gastrointestinal dependiendo de la
causa.
Psicológicos: Depresión, confusión mental.
Farmacológicos: Efecto secundario de determinados medicamentos.
Mecánicos: Desequilibrio electrolítico, obstrucción posquirúrgica,
hemorroides, deterioro neurológico, estenosis rectal o anal, rectocele,
absceso o úlcera rectal, embarazo, fisura rectal o anal, tumores,
megacolon, prolapso rectal, agrandamiento prostático.
81
ELIMINACIÓN
Fisiológicos: Dentición inadecuada, disminución de la motilidad
del tracto gatrointestinal dependiendo de la causa, deshidratación
cuando no es posible la rehidratación oral.
Valorar respuestas de los patrones:
Percepción/Control de la salud: Medicación (supositorios, enemas, abuso
de laxantes) estilos de vida.
Nutrional/metabólico: Patrón de los alimentos y líquidos ingeridos.
Actividad/ejercicio: Inmovilidad, reposo forzado, encamamiento prolongado.
Autopercepción: Depresión.
Tolerancia al estrés: Cambio de residencia, estrés emocional.
Relaciones sugeridas
NOC
0501 Eliminación intestinal.
0602 Hidratación.
1009 Estado nutricional: ingestión de nutrientes.
NIC
0450 Manejo del estreñimiento/impactación.
0440 Entrenamiento del hábito intestinal.
0430 Manejo intestinal.
2380 Manejo de la medicación.
1100 Manejo de la nutrición.
0200 Fomento del ejercicio.
0420 Irrigación intestinal.
04120 Manejo de los líquidos.
00013 DIARREA
Definición. Eliminación de heces líquidas no formadas.
Es recomendable usar esta etiqueta únicamente en los casos en
los que se pueda mejorar la evacuación intestinal modificando los
hábitos higiénico- dietéticos20
.
82
PACIENTE
ELIMINACIÓN
CARACTERÍSTICAS DEFINITORIAS
• Sonidos intestinales hiperactivos.
• Eliminación por lo menos de tres deposiciones líquidas por día.
• Urgencia.
• Calambres.
• Dolor abdominal.
FACTORES ETIOLÓGICOS
Factores psicológicos. Aumento del estrés o la ansiedad.
Situacionales. Abuso del alcohol. Dependencia de laxantes.
Alimentación por sonda cuando se deba a una mala técnica de admi-
nistración: cambios de dieta o de agua.
Fisiológicos: Inflamación, malabsorción, infecciones, irritación, pa-
rásitos intestinales.
Situacionales. Irradiación, toxinas, alimentación por sonda cuando
esté motivada por problemas con formula, efectos adversos de los
medicamentos, sustancias contaminantes.
Valorar respuestas coincidentes en otros diagnósticos:
Incontinencia fecal.
Valorar respuestas de los patrones:
Percepción / manejo de la salud: Abuso del alcohol, dependencia de
laxantes, efectos adversos de medicación.
Nutricional / metabólico: Técnica incorrecta en la administración de la ali-
mentación por sonda, cambios en la dieta.
Adaptación / tolerancia al estrés: Ansiedad.
Relaciones sugeridas
NOC
1609 Conductas terapéuticas: enfermedad o lesión.
0501 Eliminación intestinal.
0602 Hidratación.
83
ELIMINACIÓN
NIC
0460 Manejo de la diarrea.
1260 Manejo del peso.
1100 Manejo de la nutrición.
2080 Manejo de líquidos.
00014 INCONTINENCIA FECAL
Definición. Cambio en el hábito de eliminación fecal normal caracteriza-
do por la emisión involuntaria de heces.
Se aconseja utilizar esta etiqueta cuando en adultos persista en el
tiempo.
CARACTERÍSTICAS DEFINITORIAS
• Goteo constante de heces blandas.
• Olor fecal.
• Incapacidad para retrasar la defecación.
• Urgencia.
• Manchas fecales en la ropa o en la ropa de la cama.
• Falta de respuesta a la urgencia de defecar.
• Piel perianal enrojecida.
• Informes de incapacidad para notar la sensación de repleción rectal.
• Informes de reconocimiento de la sensación de repleción rectal pero
de incapacidad para eliminar heces formadas.
• Incapacidad para reconocer la urgencia de defecar.
FACTORES ETIOLÓGICOS
Vaciado intestinal incompleto, impactación fecal, malos hábitos die-
téticos, barreras o dificultades en el entorno, aumento del estrés, pér-
dida general en el tono muscular, incapacidad total o parcial para usar
el inodoro, abusos de laxantes.
Anomalías o pérdida del control del esfínter rectal, lesiones colo-
84
PACIENTE
ELIMINACIÓN
rrectales o de los nervios motores superiores o inferiores, presión
abdominal o intestinal anormalmente alta, deterioro de la cognición,
diarrea crónica, alteración de la capacidad de almacenar las heces,
efectos secundarios de ciertos medicamentos, inmovilidad.
Valorar respuestas coincidentes en otros diagnósticos:
Diarrea.
Valorar respuestas de los patrones:
Percepción y manejo de la salud: Incapacidad del adulto para mantener
su desarrollo. Barreras o dificultades en el entorno, abuso de laxantes.
Nutricional / metabólico: Malos hábitos dietéticos.
Actividad / ejercicio: Déficit de autocuidado: Uso WC. Pérdida general en
el tono muscular.
Adaptación / tolerancia al estrés: Aumento del estrés. Ansiedad.
Relaciones sugeridas
NOC
0500 Continencia intestinal.
0310 Autocuidados: uso del inodoro.
0501 Eliminación intestinal.
NIC
0410 Cuidados de incontinencia intestinal.
0440 Entrenamiento intestinal.
1100 Manejo de la nutrición.
1750 Cuidados perianales.
0200 Fomento del ejercicio.
1804 Ayuda con los autocuidados: aseo.
00017 INCONTINENCIA URINARIA DE ESFUERZO
Definición. Pérdida de orina inferior a 50 ml al aumentar la presión abdo-
minal.
85
PACIENTE
ELIMINACIÓN
Se aconseja utilizar esta etiqueta cuando se pueden modificar los
hábitos de la persona o los factores externos que provocan los episo-
dios de emisión involuntaria de orina o favorecen su persistencia20
.
Se desaconseja utilizarla cuando los hábitos de la persona y de
su entorno sean los adecuados pero persista la incontinencia20
.
CARACTERÍSTICAS DEFINITORIAS
• Goteo de orina la aumentar la presión abdominal.
• Frecuencia urinaria.
• Urgencia urinaria
FACTORES ETIOLÓGICOS
Debilidad de los músculos pélvicos y los soportes estructurales.
Sobredistensión entre micciones. Drenaje vesical incompleto.
Cambios degenerativos en los músculos pélvicos y soportes es-
tructurales asociados con el envejecimiento.
Aumento de la presión abdominal.
Valorar respuestas coincidentes en otros diagnósticos:
Déficit del autocuidado: uso del WC.
Valorar respuestas de los patrones:
Percepción / manejo de la salud: Barreras ambientales. Incapacidad del
adulto para mantener su desarrollo.
Cognitivo / perceptivo: Deterioro de la visión, deterioro cognitivo.
Relaciones sugeridas
NOC
0502 Continencia urinaria.
1608 Control del síntoma.
0310 Autocuidados: uso del inodoro.
NIC
0610 Cuidados de la incontinencia urinaria.
0560 Ejercicios del suelo pélvico.
86
ELIMINACIÓN
0600 Entrenamiento del hábito urinario.
0590 Manejo de la eliminación urinaria.
1804 Ayuda con los autocuidados: aseo.
1750 Cuidados perineales.
2080 Manejo de líquidos.
00020 INCONTINENCIA URINARIA FUNCIONAL
Definición. Incapacidad de una persona, normalmente continente, de
poder llegar al inodoro a tiempo para evitar la pérdida involuntaria de orina.
Se aconseja utilizar esta etiqueta cuando se pueden modificar los
hábitos de la persona o los factores externos que provocan los episo-
dios de emisión involuntaria de orina o favorecen su persistencia20
.
Se desaconseja utilizarla cuando los hábitos de la persona y de su
entorno sean los adecuados pero persista la incontinencia20
.
CARACTERÍSTICAS DEFINITORIAS
• Incontinencia que puede presentarse sólo temprano por la mañana.
• Percepción de la necesidad de miccionar.
• Capacidad para vaciar completamente la vejiga.
• El tiempo requerido para llegar hasta el inodoro excede el tiempo
que pasa entre la sensación de urgencia y la micción incontrolada.
• Pérdida de orina antes de llegar al inodoro.
FACTORES ETIOLÓGICOS
Barreras ambientales, factores psicológicos, deterioro de la visión,
deterioro cognitivo o debilidad de las estructuras pélvicas de soporte,
limitaciones neuromusculares, dependiendo del tipo y grado.
Deterioro de la visión, deterioro cognitivo o debilidad de las estruc-
turas pélvicas de soporte, limitaciones neuromusculares, dependien-
do del tipo y grado.
Valorar respuestas coincidentes en otros diagnósticos:
Déficit del autocuidado: uso del WC.
Incontinencia urinaria total.
87
PACIENTE
ELIMINACIÓN
Valorar respuestas de los patrones:
Percepción / manejo de la salud: Barreras ambientales. Incapacidad del
adulto para mantener su desarrollo.
Cognitivo / perceptivo: Deterioro de la visión, deterioro cognitivo.
Relaciones sugeridas
NOC
0502 Continencia urinaria.
1608 Control del síntoma.
0310 Autocuidados: uso del inodoro.
NIC
0610 Cuidados de la incontinencia urinaria.
0560 Ejercicios del suelo pélvico.
0600 Entrenamiento del hábito urinario.
0590 Manejo de la eliminación urinaria.
1804 Ayuda con los autocuidados: aseo.
1750 Cuidados perineales.
2080 Manejo de líquidos.
00021 INCONTINENCIA URINARIA TOTAL
Definición. Pérdida de orina continua e imprevisible.
Habitualmente este tipo de incontinencia requiere un tratamien-
to paliativo como la utilización de absorbentes o colectores urina-
rios.
Se desaconseja utilizarla cuando los hábitos de la persona y de su
entorno sean los adecuados pero persista la incontinencia. Se deben
evitar razonamiento automáticos que identifiquen la presencia de esta
etiqueta diagnóstica porque exista instaurado un sondaje vesical
como resultado del proceso clínico del paciente. En este caso los cui-
dados de enfermería por la presencia del sondaje, surgen del proce-
so clínico y no de un diagnóstico enfermero.
88
PACIENTE
ELIMINACIÓN
CARACTERÍSTICAS DEFINITORIAS
• Falta de conciencia de la incontinencia.
• Flujo continuo de orina que se produce a intervalos imprevisibles sin
distensión o falta de inhibición de las contracciones o espasmos
vesicales.
• Incontinencia refractaria al tratamiento.
• Nicturia.
• Falta de conciencia del llenado vesical.
FACTORES ETIOLÓGICOS
Neuropatías que impiden la transmisión del reflejo indicador de
repleción vesical; Traumatismo o enfermedad que afecta a los nervios
de la médula espinal, Anomalía anatómica, Contracción independien-
te del reflejo detrusor debida a cirugía, Disfunción neurológica que
desencadena la micción en momentos imprevisibles .
Valorar respuestas coincidentes en otros diagnósticos:
Déficit del autocuidado: uso del WC.
Incontinencia urinaria funcional.
Relaciones sugeridas
NOC
1205 Autoestima.
0502 Continencia urinaria.
1608 Control del síntoma.
0305 Autocuidados: higiene.
0310 Autocuidados: uso del inodoro.
NIC
0620 Cuidados de la incontinencia urinaria.
0580 Sondaje vesical.
0590 Manejo de la eliminación urinaria.
1750 Cuidados perineales.
1804 Ayuda con los autocuidados: aseo.
89
ELIMINACIÓN
00023 RETENCIÓN URINARIA
Definición. Vaciado incompleto de la vejiga.
Es recomendable utilizar esta etiqueta en los casos urgentes que
requieren el vaciado de la vejiga urinaria. La persistencia del proble-
ma requiere que el problema sea abordado como una complicación
del proceso clínico.
CARACTERÍSTICAS DEFINITORIAS
• Incontinencia por rebosamiento.
• Distensión vesical.
• Micciones frecuentes de poca cantidad o ausencia de diuresis.
• Sensación de repleción vesical.
• Goteo.
• Orina residual.
• Disuria.
FACTORES ETIOLÓGICOS
Obstrucción, alta presión causada por debilidad del detrusor,
Inhibición del arco reflejo, Esfínter potente.
Relaciones sugeridas
NOC
0502 Continencia urinaria.
NIC
0620 Cuidados de la retención urinaria.
1876 Cuidados del sondaje vesical.
0580 Sondaje vesical.
0590 Manejo de eliminación urinaria.
1750 Cuidados perianales.
0221 Terapia de ejercicios: deambulación.
90
PACIENTE
ELIMINACIÓN
00031 LIMPIEZA INEFICAZ DE LAS VÍAS AÉREAS
Definición. Incapacidad para eliminar las secreciones u obstrucción del
tracto respiratorio para mantener las vías aéreas permeables.
Es recomendable usar esta etiqueta cuando los factores que la
condicionan están relacionados con los conocimientos y la habilidad
para toser eficazmente.
Se desaconseja en los que los factores etiológiocos recaen fue-
ran de la esfera competencial de la enfermera. En estas situaciones
se abordaría como una complicación del proceso clínico.
CARACTERÍSTICAS DEFINITORIAS
• Disnea.
• Ausencia o inefectividad de la tos.
• Esputos.
• Cianosis.
• Disminución de los sonidos respiratorios.
• Ortopnea.
• Dificultad para vocalizar.
• Sonidos respiratorios adventicios (sibilancias, estertores, crepitan-
cias, roncus).
• Cambios en la frecuencia y ritmo respiratorio.
• Agitación.
FACTORES ETIOLÓGICOS
Desconocimiento de técnicas de mejora eficaz de la respiración.
Baja habilidad para toser eficazmente.
Factores ambientales: Fumador activo o pasivo, irritación por el
humo.
Obstrucción de las vías aéreas: Espasmo de las vías o presen-
cia de un cuerpo extraño, retención de las secreciones, exceso de
mucosidad o secreciones bronquiales.
Fisiológicos: Disfunción neuromuscular, hiperplasia de las pare-
91
PACIENTE
ACTIVIDAD-
EJERCICIO
des bronquiales, enfermedad pulmonar obstructiva crónica, infección,
asma, vías aéreas alérgicas.
Valorar respuestas de los patrones:
Percepción y manejo de la salud: relacionadas con el diagnóstico enfer-
mero Conducta deficiente de salud.
Relaciones sugeridas
NOC
1918 Prevención de la aspiración.
0403 Estado respiratorio: ventilación.
0208 Movilidad.
NIC
3140 Monitorización respiratoria.
4490 Ayuda para dejar de fumar.
5270 Apoyo emocional.
3140 Manejo de las vías aéreas.
3250 Mejorando la tos.
3160 Aspiración de las vías aéreas.
3320 Oxigenoterapia.
00085 DETERIORO DE LA MOVILIDAD FÍSICA
Definición. Limitación del movimiento independiente, intencionado, del
cuerpo o de una o más extremidades.
Es recomendable usar esta etiqueta si existe posibilidad de mejo-
rar la movilidad o evitar un deterioro mayor mediante nuestra actua-
ción. En caso de deterioros importantes es conveniente realizar una
interconsulta al fisioterapeuta o profesional competente.
CARACTERÍSTICAS DEFINITORIAS
• Inestabilidad postural durante la ejecución de las actividades habi-
tuales de la vida diaria.
92
PACIENTE
ACTIVIDAD-
EJERCICIO
• Limitación de la habilidad para las habilidades motoras groseras.
• Limitación de la habilidad para las habilidades motoras finas.
• Movimientos descoordinados o espasmódicos.
• Limitación de la amplitud de movimientos.
• Dificultad para girarse en la cama.
• Disminución del tiempo de reacción.
• Falta de aliento inducida por el movimiento.
• Cambios en la marcha (pe: disminución de la marcha, velocidad,
dificultad para iniciar el paso, pasos cortos, andar arrastrando los
pies, balanceo postural lateral exagerado).
• Ocuparse en sustituciones del movimiento (pe: atención creciente a
otras actividades, conducta de control, centrar la atención en la
actividad previa a la enfermedad o discapacidad).
• Temblor inducido por el movimiento.
FACTORES ETIOLÓGICOS
Malestar o dolor, falta de conocimiento sobre los beneficios de la
actividad física, ideas culturales sobre el grado de actividad adecuado
para la edad, sedentarismo o resistencia a iniciar el movimiento, des-
uso o mala forma física, índice de masa corporal por encima del per-
centil 75 para la edad, intolerancia a la actividad o disminución de la
fuerza, resistencia, control o masa muscular, rigidez o contracturas
articulares.
Depresión o ansiedad, deterioro cognitivo, sensoperceptivo, neuro-
muscular o músculoesquelético, dependiendo del tipo y grado.
Falta de apoyo físico o social.
Desnutrición selectiva o generalizada, dependiendo del tipo o grado.
Efectos secundarios de medicamentos, prescripción de restricción
de movimientos, limitación de la resistencia cardiovascular, pérdida de
la integridad en la estructura ósea.
RECOMENDACIONES PARA LA VALORACIÓN ESPECÍFICA
Valorar el nivel funcional según la siguiente clasificación:
0 : Totalmente autónomo
93
ACTIVIDAD-
EJERCICIO
1: Requiere el uso de un equipo o un dispositivo.
2: Requiere otra persona paraa ayuda, supervisión o enseñanza.
3: Requiere ayuda de otra persona y de un equipo o dispositivo.
4: Dependiente, no participa en la actividad.
Valorar respuestas de los patrones:
Percepción y manejo de la salud: relacionadas con el diagnóstico enfer-
mero Riesgo de caídas.
Actividad y ejercicio: relacionadas con los déficit de autocuidado.
Cognitivo / perceptivo: Deterioro cognitivo, dolor.
Autopercepción/autoconcepto: Depresión o ansiedad.
Relaciones sugeridas
NOC
1811 Conocimiento: actividad prescrita.
0200 Ambular.
0201 Deambulación: silla de ruedas.
0202 Equilibrio.
2100 Nivel de movilidad.
0203 Posición corporal autoiniciada.
NIC
0221 Terapia de ejercicios: deambulación.
0224 Terapia de ejercicios: movilidad articular.
0201 Fomentar el ejercicio: entrenamiento de extensión.
0740 Cuidados del paciente encamado.
0200 Fomento del ejercicio.
1780 Cuidado de una prótesis.
4066 Cuidados circulatorios: insuficiencia venosa.
0910 Inmovilización.
4062 Cuidados circulatorios: insuficiencia arterial.
1400 Manejo del dolor.
94
ACTIVIDAD-
EJERCICIO
00102 DÉFICIT DE AUTOCUIDADO: ALIMENTACIÓN
Definición. Deterioro de la habilidad para realizar o completar las activi-
dades de alimentación.
Es recomendable su detección si existe un déficit no compensado,
o el manejo del déficit que realiza la familia es inestable o ineficaz y
se puede mejorar.
Es recomendable no usar esta etiqueta en los casos en que se
encuentra compensado por la familia o el cuidador.
CARACTERÍSTICAS DEFINITORIAS
• Incapacidad para:
• Llevar los alimentos a la boca. Masticar. Masticar la comida.Deglutir
alimentos.
• Preparar alimentos para su ingestión. Abrir los recipientes. Manejar
los utensilios. Usar dispositivos de ayuda. Coger los alimentos con
los utensilios. Coger la taza o el vaso.
• Completar una comida.
• Ingerir alimentos suficientes. Ingerir los alimentos de forma social-
mente aceptable.
FACTORES ETIOLÓGICOS
La persona experimenta:
Debilidad, cansancio, malestar, ansiedad severa o disminución de la moti-
vación, dependiendo del tipo y grado.
Dolor o deterioro neuromuscular, musculoesquelético, perceptual o cogni-
tivo, dependiendo del tipo y grado.
Barreras ambientales.
RECOMENDACIONES PARA LA VALORACIÓN ESPECÍFICA
Valorar el nivel funcional según la clasificación del deterioro de la movili-
dad física (página 93):
95
PACIENTE
ACTIVIDAD-
EJERCICIO
Valorar respuestas de los patrones:
Percepción y manejo de la salud: Incapacidad del adulto para mantener
su desarrollo.
Cognitivo / perceptivo: Deterioro cognitivo, dolor.
Autopercepción/autoconcepto: Depresión o ansiedad.
Relaciones sugeridas
NOC
1613 Autogestión de los cuidados.
0300 Autocuidados: actividades de la vida diaria (AVD).
0303 Autocuidados: comer.
1008 Estado nutricional: ingestión alimentaria y de líquidos.
NIC
1050 Alimentación.
1100 Manejo de la nutrición.
1710 Mantenimiento de la salud bucal.
4420 Acuerdo con el paciente.
00108 DÉFICIT DE AUTOCUIDADO: BAÑO/HIGIENE.
Definición. Deterioro de la habilidad de la persona para realizar o com-
pletar por si misma las actividades de baño/higiene.
Es recomendable su detección si existe un déficit no compensado,
o el manejo del déficit que realiza la familia es inestable o ineficaz y
se puede mejorar.
Es recomendable no usar esta etiqueta en los casos en que se
encuentra compensado por la familia o el cuidador.
CARACTERÍSTICAS DEFINITORIAS
• Incapacidad para:
• Lavar total o parcialmente el cuerpo.
• Obtener agua o llegar hasta una fuente.
• Regular la apertura flujo del agua del baño.
96
PACIENTE
ACTIVIDAD-
EJERCICIO
FACTORES ETIOLÓGICOS
Disminución de la motivación, debilidad, cansancio, ansiedad severa, difi-
cultad para percibir una parte corporal o la relación espacial.
Dependiendo del tipo y grado: dolor, malestar deterioro neuromuscular
deterioro musculoesquelético.
Barreras ambientales.
RECOMENDACIONES PARA LA VALORACIÓN ESPECÍFICA
Valorar el nivel funcional según la clasificación del deterioro de la movili-
dad física (página 93):
Valorar respuestas de los patrones:
Percepción y manejo de la salud: Incapacidad del adulto para mantener
su desarrollo.
Cognitivo / perceptivo: Deterioro cognitivo, dolor.
Autopercepción/autoconcepto: Depresión o ansiedad.
Relaciones sugeridas
NOC
1613 Autogestión de los cuidados.
0300 Autocuidados: actividades de la vida diaria (AVD).
0301 Autocuidados: baño.
0305 Autocuidados: higiene.
NIC
1801 Ayuda en los autocuidados: baño/ higiene.
1610 Baño.
1680 Cuidados de las uñas.
1660 Cuidados de los pies.
1750 Cuidados perineales.
1710 Mantenimiento de la salud bucal.
97
ACTIVIDAD-
EJERCICIO
00109 DÉFICIT DE AUTOCUIDADO: VESTIDO / ACICALAMIENTO.
Definición. Deterioro de la capacidad de la persona para realizar o com-
pletar por sí misma las actividades de vestido y arreglo personal.
Es recomendable su detección si existe un déficit no compensado,
o el manejo del déficit que realiza la familia es inestable o ineficaz y
se puede mejorar.
Es recomendable no usar esta etiqueta en los casos en que se
encuentra compensado por la familia o el cuidador.
CARACTERÍSTICAS DEFINITORIAS
• Deterioro de la capacidad para:
• Ponerse y quitarse las prendas de ropa necesarias. Abrocharse la
ropa. Obtener o reemplazar los artículos de vestir.
• Incapacidad para:
• Para ponerse la ropa en la parte superior o inferior del cuerpo.
Quitarse la ropa.
• Usar cremalleras.
• Coger la ropa. Elegir la ropa. Mantener el aspecto aun nivel satis-
factorio.
• Ponerse los calcetines. Ponerse los zapatos.
• Usar dispositivos de ayuda.
FACTORES ETIOLÓGICOS
Disminución de la motivación, debilidad, cansancio, ansiedad severa.
Dependiendo del tipo y grado: dolor, malestar, deterioro neuromuscular,
deterioro musculoesquelético de la movilidad o de la capacidad para el
traslado.
Barreras ambientales.
RECOMENDACIONES PARA LA VALORACIÓN ESPECÍFICA
Valorar el nivel funcional según la clasificación del deterioro de la movili-
dad física (página 93):
98
PACIENTE
ACTIVIDAD-
EJERCICIO
Valorar respuestas de los patrones:
Percepción y manejo de la salud: Incapacidad del adulto para mantener
su desarrollo.
Cognitivo / perceptivo: Deterioro cognitivo, dolor.
Autopercepción/autoconcepto: Depresión o ansiedad.
Relaciones sugeridas
NOC
0300 Autocuidados: actividades de la vida diaria (AVD)
NIC
1680 Cuidados de las uñas.
0200 Fomentar el ejercicio.
3590 Vigilancia de la piel.
5220 Potenciar la imagen corporal.
00110 DÉFICIT DE AUTOCUIDADO: USO WC
Definición. Deterioro de la capacidad de la persona para realizar o com-
pletar por sí misma las actividades de uso del orinal o WC.
Es recomendable su detección si existe un déficit no compensado,
o el manejo del déficit que realiza la familia es inestable o ineficaz y
se puede mejorar.
Es recomendable no usar esta etiqueta en los casos en que se
encuentra compensado por la familia o el cuidador.
CARACTERÍSTICAS DEFINITORIAS
• Incapacidad para:
• Llegar hasta el WC o el orinal.
• Sentarse o levantarse de WC o del orinal.
• Manipular la ropa para la evacuación.
• Realizar la higiene adecuada tras la evacuación.
• Limpiar el WC o el orinal después del uso.
99
PACIENTE
ACTIVIDAD-
EJERCICIO
FACTORES ETIOLÓGICOS
Disminución de la motivación, debilidad, cansancio, ansiedad severa.
Dependiendo del tipo y grado: dolor, malestar, deterioro neuromuscular, dete-
rioro musculoesquelético de la movilidad o de la capacidad para el traslado.
Barreras ambientales.
RECOMENDACIONES PARA LA VALORACIÓN ESPECÍFICA
Valorar el nivel funcional según la clasificación del deterioro de la movili-
dad física (página 93):
Valorar respuestas de los patrones:
Percepción y manejo de la salud: Incapacidad del adulto para mantener
su desarrollo.
Cognitivo / perceptivo: Deterioro cognitivo, dolor.
Autopercepción/autoconcepto: Depresión o ansiedad.
Relaciones sugeridas
NOC
0300 Autocuidados: actividades de la vida diaria (AVD).
0305 Autocuidados: higiene.
0310 Autocuidados: uso del inodoro.
NIC
1804 Ayuda con los autocuidados: aseo.
6480 Manejo ambiental.
0410 Cuidados de incontinencia intestinal.
1100 Manejo de la nutrición.
0590 Manejo de la eliminación urinaria.
4120 Manejo de líquidos.
0430 Manejo intestinal.
1610 Baño.
0480 Cuidados de la ostomia.
0200 Fomento del ejercicio.
0450 Manejo del estreñimiento / impactación.
3590 Vigilancia de la piel.
100
ACTIVIDAD-
EJERCICIO
00040 RIESGO DE SÍNDROME DE DESUSO
Definición Riesgo de deterioro de los sistemas corporales a consecuen-
cia de la inactividad musculoesquelética prescrita.
Se trata de un diagnóstico que se asocia a los pacientes encama-
dos. Las complicaciones de la movilidad pueden incluir úlceras por
presión, estreñimiento, estasis de las secreciones pulmonares, trom-
bosis, infección del tracto urinario o retención de orina, disminución de
la resistencia o fuerza, hipotensión ortostática, reducción de la movili-
dad articular, desorientación, alteración de la imagen corporal e impo-
tencia.
FACTORES DE RIESGO
Dolor grave.
Inmovilización mecánica.
Alteración del nivel de la conciencia.
Inmovilización prescrita.
Parálisis.
RECOMENDACIONES PARA LA VALORACIÓN ESPECÍFICA
Valorar respuestas de los patrones
Percepción/Control de la salud: Incapacidad del adulto para mantener su
desarrollo. Riesgo de caídas.
Eliminación: Estreñimiento, Incontinencia urinaria o fecal.
Autopercepción/Autoconcepto: Deterioro cognitivo, Depresión, soledad,
ansiedad, temor.
Cognitivo / perceptivo: Dolor.
Relaciones sugeridas
NOC
0204 Consecuencias de la inmovilidad: fisiológicas.
101
PACIENTE
ACTIVIDAD-
EJERCICIO
1902 Control de riesgo.
0208 Movilidad.
0203 Posición corporal autoiniciada.
2400 Función sensitiva:cutánea.
NIC
0221 Terapia de ejercicios: deambulación.
0224 Terapia de ejercicios: movilidad articular.
0200 Fomento del ejercicio.
0202 Fomento del ejercicio: entrenamiento de extensión.
3540 Prevención de las úlceras por presión.
3500 Manejo de las presiones.
DETERIORO DE LA DEAMBULACIÓN
Definición Limitación del movimiento a pie en el entorno.
Utilizar si no existen más factores para el riesgo de caídas.
Es recomendable no usar esta etiqueta en los casos en que exis-
ten varios factores de riesgo asociados para el Riesgo de caídas.
CARACTERÍSTICAS DEFINITORIAS
• Deterioro de la habilidad para:
• Subir escaleras.
• Caminar las distancias requeridas.
• Caminar sobre un plano inclinado ascendente o descendente.
• Caminar sobre superficies desiguales.
• Sortear obstáculos.
RECOMENDACIONES PARA LA VALORACIÓN ESPECÍFICA
Escalas
Tinetti: para valorar la marcha y el equilibrio.
Valorar respuestas de los patrones
Percepción/Control de la salud: Riesgo de caídas.
102
PACIENTE CUIDADOR
ACTIVIDAD-
EJERCICIO
Relaciones sugeridas
NOC
1909 Conducta de seguridad: prevención de caídas.
0200 Ambular.
0202 Equilibrio.
2100 Nivel de movilidad.
NIC
0221 Terapia de ejercicio: ambulación.
00168 SEDENTARISMO
Definición Informes sobre hábitos de vida que se caracterizan por un
bajo nivel de actividad física.
Utilizar cuando no existe deterioro funcional que impida la realiza-
ción de actividad física.
Es recomendable no usar esta etiqueta en los casos en que exis-
te deterioro de la movilidad, física.
CARACTERÍSTICAS DEFINITORIAS
• Elección de una rutina diaria de bajo contenido en actividad física.
• Verbaliza preferencias de actividades de bajo contenido en actividad
física.
• Muestra falta de forma física.
FACTORES ETIOLÓGICOS
Desconocimiento de los beneficios que para la salud conlleva la
realización de ejercicio físico.
Falta de entrenamiento en la realización de ejercicio físico.
Carencia de recursos (tiempo, dinero, compañero, destreza).
Carencia de motivación.
Carencia de interés.
103
CUIDADOR
ACTIVIDAD-
EJERCICIO
RECOMENDACIONES PARA LA VALORACIÓN ESPECÍFICA
Valorar la presencias de barreras y la autoeficacia para la realización de
la actividad física, tales como el apoyo social. Tiempo para el cuidado
persona y de salud en el cuidador.
Relaciones sugeridas
NOC
1815 Conocimiento: actividad prescrita.
1805 Conocimiento: conducta sanitaria.
2004 Forma física.
0005 Tolerancia a la actividad.
NIC
0200 Fomento del ejercicio.
5612 Enseñanza: actividad/ ejercicio prescrito.
00092 INTOLERANCIA A LA ACTIVIDAD
Definición. Insuficiente energía fisiológica o psicológica para tolerar o
completar las actividades diarias requeridas o deseadas.
Se aconseja usar esta etiqueta cuando se trate de una situación
temporal en una persona que habitualmente se siente descansada
tras el reposo y es capaz de llevar a cabo las actividades diarias sin
un esfuerzo excesivo y el riesgo tenga su origen en conductas inapro-
piadas de la persona que puedan ser modificadas, o en factores sobre
los que sea posible incidir eliminándolos, reduciéndolos o modifican-
do sus efectos20
.
Se desaconseja utilizarla cuando la persona haga todo lo que está
a su mano para reducir el riesgo, aunque éste persista20
.
CARACTERÍSTICAS DEFINITORIAS
• Informes verbales de fatiga o debilidad.
• Frecuencia cardiaca o presión arterial anormales en respuesta a la
actividad.
• Malestar o disnea de esfuerzo.
104
CUIDADOR
ACTIVIDAD-
EJERCICIO
• Cambios electrocardiográficos indicadores de arritmias o isquemias
• Informes verbales de fatiga o debilidad.
• Frecuencia cardiaca o presión arterial anormales en respuesta a la
actividad.
• Malestar o disnea de esfuerzo.
• Cambios electrocardiográficos indicadores de arritmias o isquemias
• Informes verbales de fatiga o debilidad.
• Frecuencia cardiaca o presión arterial anormales en respuesta a la
actividad.
• Malestar o disnea de esfuerzo.
• Cambios electrocardiográficos indicadores de arritmias o isquemias
FACTORES ETIOLÓGICOS
Reposo en cama, inmovilidad, debilidad generalizada, sedenta-
rismo.
Desequilibrio entre aportes y demandas de oxigeno.
Valorar respuestas coincidentes en otros diagnósticos:
Fatiga.
Relaciones sugeridas
NOC
0205 Consecuencias de la inmovilidad: fisiológicas.
0002 Conservación de la energía.
0704 Autocontrol del asma.
2004 Forma física.
0005 Tolerancia a la actividad.
NIC
5612 Enseñanza: actividad / ejercicio prescrito.
0202 Fomento del ejercicio: entrenamiento de extensión.
0200 Fomento del ejercicio.
6482 Manejo ambiental: comodidad.
105
ACTIVIDAD-
EJERCICIO
00093 FATIGA
Definición: Nombra una situación en que la persona tiene una sensación
prolongada de agotamiento profundo que no se alivia con el descanso y
que se manifiesta en una reducción de su capacidad habitual para el
esfuerzo físico y mental.
Se aconseja usar esta etiqueta cuando se trate de una situación
temporal en una persona que previamente se sentía descansada tras
el reposo y podía llevar a cabo las actividades diarias sin un esfuerzo
excesivo20
.
CARACTERÍSTICAS DEFINITORIAS
• Verbalización de más tiempo de descanso o más energía.
• No recuperar completamente la energía, cansancio que no desapa-
rece tras el descanso.
• Incapacidad para mantener el ritmo de vida o las actividades habi-
tuales o necesitar más tiempo para llevarlas a cabo.
• Dificultad para concentrarse.
• Falta de interés en el entorno.
• Introspección.
• Somnolencia.
• Disminución de la libido.
• Sensación de culpabilidad por no cumplir con sus responsabilida-
des.
• Aumento de las quejas físicas.
FACTORES ETIOLÓGICOS
Factores psicológicos: Aumento del estrés o la ansiedad, estilo
de vida aburrido.
Factores ambientales: Alteración del grado de humedad, luces,
ruido o temperatura por exceso o defecto.
Factores situacionales: Acontecimientos vitales negativos, tipo de
trabajo.
106
CUIDADOR
ACTIVIDAD-
EJERCICIO
Factores fisiológicos: Falta de sueño suficiente, mal estar físico,
aumento del ejercicio físico, desnutrición dependiendo del tipo y
grado.
Factores psicológicos: Depresión.
Factores fisiológicos: Anemia, enfermedad, desnutrición.
RECOMENDACIONES PARA LA VALORACIÓN ESPECÍFICA
Valorar respuestas de los patrones
Actividad – ejercicio: Intolerancia a la actividad.
Autopercepción: Depresión, ansiedad, impotencia, desesperanza.
Afrontamiento/Tolerancia al estrés: Deterioro de la adaptación.
Rol/Relaciones: Duelo.
Relaciones sugeridas
NOC
0001 Resistencia.
0005 Tolerancia a la actividad.
NIC
5440 Aumentar los sistemas de apoyo.
6040 Terapia de relajación simple.
1850 Mejorar el sueño.
0180 Manejo de energía.
1480 Masaje simple.
0200 Fomento del ejercicio.
1100 Manejo de la nutrición.
00097 DÉFICIT DE ACTIVIDADES RECREATIVAS
Definición. Disminución de la estimulación del interés o de la participa-
ción en actividades recreativas o de ocio.
Es recomendable usar esta etiqueta en los caso en que la perso-
107
CUIDADOR
ACTIVIDAD-
EJERCICIO
na ha abandonado hábitos recreativos recuperables en su situación
actual.
CARACTERÍSTICAS DEFINITORIAS
• Los pasatiempos habituales no pueden realizarse.
• Afirmaciones de la persona de que se aburre, o que desea tener
algo que hacer que leer, etc.
FACTORES ETIÓLOGICOS
Entorno desprovisto de actividades recreativas.
Prolongados tratamientos, inmovilidad, etc.
Relaciones sugeridas
NOC
1604 Participación en actividades de ocio.
NIC
4480 Facilitar la autorresponsabilidad.
5360 Terapia de entretenimiento.
0200 Fomento del ejercicio.
5430 Grupo de apoyo.
00095. IMSONIO
Definición Una interrupción sostenida en la cantidad y la calidad del
sueño que afecta a la capacidad para funcionar.
En 2006 cambia de denominación. Anteriormente denominado
como Deterioro del patrón del sueño. Algunos autores20
aconsejan
usar esta etiqueta únicamente cuando el trastorno es de reciente
instauración, y aun en casos se recomienda extremar la prudencia,
ya que, en muchas ocasiones, el insomnio es sólo una manifesta-
ción de otro problema más general (dolor, ansiedad, temor, etc.)
que debe ser identificado y tratado siempre que sea posible.
Se desaconseja utilizarla cuando se trate de alteraciones crónicas
o que deben ser diagnosticadas y tratadas por un especialista en tras-
torno del sueño20
.
108
PACIENTE CUIDADOR
SUEÑO-DESCANSO
CARACTERÍSTICAS DEFINITORIAS
• El paciente informa de:
• Dificultad para quedarse dormido o mantenerse dormido.
• Despertarse demasiado pronto.
• Sueño no reparador.
• Trastornos del sueño que afectan al funcionamiento diurno.
• Insatisfacción con el sueño actual.
• Dificultad de concentración.
• Falta de energía.
• Cambios de ánimo.
• Disminución de la calidad de vida.
• Aumento de accidentes.
• Disminución del estado de salud.
• Se observa falta de energía o en las emociones.
• Incremento del absentismo escolar o laboral.
FACTORES ETIOLÓGICOS
Ingesta de estimulantes, alcohol.
Estrés (pensamientos repetitivos antes del sueño).
Higiene del sueño inadecuada.
Patrón de actividad (cantidad, horarios).
Factores ambientales (Temperatura, humedad, ruido, olores o ilu-
minación inadecuados que dificultan el sueño, falta de intimidad, falta
de familiaridad con la habitación, estimulación excesiva, sujeciones
físicas).
Miedo, ansiedad, duelo.
Depresión, medicación.
RECOMENDACIONES PARA LA VALORACIÓN ESPECÍFICA
Valorar respuestas de los patrones
Percepción/Control de la salud: Ambiente físico del domicilio, presencia
de cuidador, medicación prescrita, automedicación.
109
SUEÑO-DESCANSO
Eliminación: Incontinencia urinaria o fecal.
Actividad / ejercicio: Tipo y grado de actividad.
Autopercepción/Autoconcepto: Depresión, soledad, ansiedad, temor.
Cognitivo / perceptivo: Dolor.
Relaciones sugeridas
NOC
1305 Modificación psicosocial: cambio de vida.
2002 Bienestar personal.
0003 Descanso.
1203 Soledad.
NIC
1850 Mejorar el sueño.
6482 Manejo ambiental: comodidad.
6040 Terapia de relajación simple.
5820 Disminución de la ansiedad.
0200 Fomento del ejercicio.
1400 Manejo del dolor.
00051 DETERIORO DE LA COMUNICACIÓN VERBAL
Definición. Disminución, retraso o carencia de la capacidad para recibir,
procesar, transmitir y usar un sistema de símbolos.
CARACTERÍSTICAS DEFINITORIAS
• Negativa voluntaria a hablar.
• Desorientación en las tres esferas: tiempo espacio y personas.
• No hablar o no poder hablar. Hablar con dificultad. Hablar de forma
inapropiada.
• Dificultad para expresar los pensamientos verbalmente.
• Tartamudeo. Pronunciación poco clara. Disnea.
110
CUIDADOR
COGNITIVO-
PERCEPTIVO
FACTORES ETIOLÓGICOS
Disminución de la circulación cerebral. Diferencias culturales. Barreras
psicológicas. Barreras físicas. Defectos anatómicos. Tumor cerebral.
Barreras ambientales. Falta de personas significativas. Falta de informa-
ción. Alteración de la autoestima, o autoconcepto. Alteraciones del SNC.
Condiciones emocionales.
Relaciones sugeridas
NOC
0902 Comunicación.
NIC
4974 Mejorar la comunicación: déficit auditivo.
4976 Mejorar la comunicación: déficit del habla.
4978 Mejorar la comunicación: déficit visual.
00122 TRASTORNO DE LA PERCEPCIÓN (especificar: visual, auditi-
va, cinestésica, gustativa, táctil, olfatoria)
Definición. Cambio en la cantidad o en el patrón de los estímulos que
percibe acompañado por un respuesta disminuida, exagerada, distorsio-
nada o deteriorada de los mismos.
CARACTERÍSTICAS DEFINITORIAS
• Falta de concetración. Distorsiones auditivas. Cambios en las res-
puestas usuales a los estímulos. Agitación. Cambio informado o
medido de la sensibilida acústica. Irritabilidad. Desorientación en
el tiempo, en el espacio o en las personas. Cambios en las habili-
dades para la solución de problemas. Cambio en el patrón de con-
ducta.
FACTORES ETIOLÓGICOS
Excesivos estímulos ambientales. Estrés psicológico. Falta de estímulos
ambientales. Alteración de la recepción., transmisión o integración sen-
sorial.
111
PACIENTE
COGNITIVO-
PERCEPTIVO
Relaciones sugeridas
NOC
0902 Comunicación.
0205 Consecuencias de la inmovilidad: psicocognitivas.
NIC
4974 Mejorar la comunicación: déficit auditivo.
4978 Mejorar la comunicación: déficit visual.
00131 DETERIORO DE LA MEMORIA
Definición. Incapacidad para recordar o recuperar parcelas de informa-
ción o habilidades conductuales.
Se aconseja usar esta etiqueta cuando sea posible controlar, redu-
cir o eliminar los factores que generan el deterioro o ayudar a mante-
ner o potenciar las capacidades que todavía tiene la persona20
.
Se desaconseja utilizar en deterioro cognitivos importantes.
CARACTERÍSTICAS DEFINITORIAS
• Incapacidad para recordar información sobre los hechos.
• Incapacidad para recordar acontecimientos recientes o pasados.
• Incapacidad para aprender o retener nuevas habilidades o informa-
ción.
• Incapacidad para recordar si ya se ha realizado una conducta.
• Información u observación de experiencias de olvidos.
• Incapacidad para realizar una habilidad previamente aprendida.
• Olvida realizar una conducta en el momento programado para ello.
FACTORES ETIOLÓGICOS
Dificultad para el aprendizaje, capacidad para leer o escribir, capa-
cidad para la toma de decisiones.
Cambios ambientales excesivos.
Hipoxia aguda o crónica, anemia, disminución del gasto cardíaco,
desequilibrio de líquidos y electrolitos, trastorno neurológico.
112
PACIENTE
COGNITIVO-
PERCEPTIVO
RECOMENDACIONES PARA LA VALORACIÓN ESPECÍFICA
Valorar respuestas de los patrones
Percepción y manejo de la salud: Incapacidad del adulto para mantener
su desarrollo.
Escala
Para valorar si existe deterioro cognitivo se recomienda la realización del
test de PFEIFFER.
Se sugiere también la utilización del TIN corto (Test del informador), para
aumentar la sensibilidad del test de PFEIFFER al no estar influido por la
edad y el nivel cultural, tener mayor sensibilidad en la detección del dete-
rioro cognitivo leve y no precisar de mucho tiempo añadido.
Relaciones sugeridas
NOC
0908 Memoria.
NIC
4760 Entrenamiento de la memoria.
5820 Disminución de la ansiedad.
6460 Manejo de la demencia.
4820 Orientación de la realidad.
7140 Apoyo a la familia.
5270 Apoyo emocional.
00133 DOLOR CRÓNICO
Definición: Experiencia sensitiva y emocional desagradable ocasionada
por una lesión tisular real o potencial o descrita en tales términos; inicio
súbito o lento de cualquier intensidad de leve a severa con un final antici-
pado o previsible y una duración.
Se aconseja usar esta etiqueta en cualquier momento en que la
persona experimenta dolor y sea posible reducir la intensidad percibi-
da o a aumentar la eficacia del tratamiento medico mediante técnicas
no invasivas, con independencia de que simultáneamente el dolor
este siendo tratado con fármacos o técnicas invasivas20
.
113
PACIENTE CUIDADOR
COGNITIVO-
PERCEPTIVO
Se desaconseja utilizar este diagnostico cuando la persona o el
cuidador ya están aplicando todas las medidas posibles y el dolor per-
siste, o cuando no desean probar el uso de técnicas no invasivas20
.
CARACTERÍSTICAS DEFINITORIAS
• Cambios ponderales.
• Informes verbales o codificados u observación de evidencias de
conducta de protección o de defensa, máscara facial, irritabilidad,
centrar la atención en sí mismo, agitación, depresión.
• Atrofia de los grupos musculares atrofiados.
• Cambios en el patrón del sueño.
• Fatiga.
• Temor a nuevas lesiones.
• Reducción de la intreracción con los demás.
• Alteración de la capacidad para seguir con las actividades previas.
• Respuestas mediadas por el sistema nervioso simpático (tempera-
tura, frío, cambios en la posición corporal, hipersensibilidad).
• Anorexia.
FACTORES ETIOLÓGICOS
Incapacidad física o psicosocial crónica.
RECOMENDACIONES PARA LA VALORACIÓN ESPECÍFICA
Escala
Se utiliza la Escala Visual Analógica (EVA).
Valorar respuestas coincidentes en otros diagnósticos:
Dolor agudo.
Relaciones sugeridas
NOC
1605 Control del dolor.
1306 Dolor: respuesta psicológica adversa.
2102 Nivel de dolor.
1206 Deseo de vivir.
114
COGNITIVO-
PERCEPTIVO
NIC
2400 Asistencia en la analgesia controlada por el paciente (PCA).
1400 Manejo del dolor.
2317 Administración de medicación.
1380 Aplicación de calor o frío.
2380 Manejo de la medicación.
5900 Distracción.
4920 Escucha activa.
0202 Fomento de ejercicios: extensión.
6040 Terapia de relajación simple.
00132. DOLOR AGUDO.
Definición: Experiencia sensitiva y emocional desagradable ocasionada
por una lesión tisular real o potencial o descrita en tales términos; inicio
súbito o lento de cualquier intensidad de leve a severa con una finalidad
anticipada o previsible y una duración menor de 6 meses.
Se aconseja usar esta etiqueta en cualquier momento en que la
persona experimente dolor y sea posible reducir la intensidad percibi-
da deseaste o aumentar la eficacia del tratamiento medico mediante
técnicas no invasivas, con independencia de que simultáneamente el
dolor este siendo tratado con fármacos o técnicas invasivas20
.
Se desaconseja usar esta etiqueta en los casos de dolor agudo
directa y unívocamente relacionados con una lesión tisular (p. Ejem.
el post operatorio inmediato) cuando constituye un problema que
debe ser tratado en colaboración20
.
CARACTERÍSTICAS DEFINITORIAS
• Informe verbal o codificado.
• Observación de evidencias.
• Posición antiálgica para evitar el dolor.
• Gestos de protección.
• Conducta de defensa.
115
PACIENTE CUIDADOR
COGNITIVO-
PERCEPTIVO
• Mascara facial.
• Trastornos del sueño (ojos apagados, mirada abatida, movimientos
fijos o escasos, muecas).
• Centrar la atención en sí mismo.
• Estrechamiento del foco de atención (alteración de la percepción
del tiempo, deterioro de los procesos de pensamiento, reducción de
la interacción con las personas y con el entorno).
• Conductas de distracción (caminar de un lado a otro, búsqueda de
otras personas o actividades, actividades repetitivas).
• Alteración del tono muscular (de laxitud a rigidez).
• Respuestas autónomas (diaforesis, cambios de la presión, arterial,
respiración, y pulso, dilatación pupilar).
• Conducta expresiva (agitación, gemidos, llanto, vigilancia, irritabili-
dad, suspiros).
• Cambios en el apetito y en la ingesta.
FACTORES ETIOLÓGICOS
Agentes lesivos (biológicos, químicos, físicos, psicológicos)
RECOMENDACIONES PARA LA VALORACIÓN ESPECÍFICA
Características del dolor; calidad, intensidad, inicio, duración y ritmo.
Escalas
Se utiliza la Escala Visual Analógica (EVA).
Valorar respuestas coincidentes en otros diagnósticos:
Dolor crónico.
Relaciones sugeridas
NOC
1605 Control de dolor.
2101 Dolor: efectos nocivos.
2100 Nivel de comodidad.
2102 Nivel de dolor.
1608 Control del síntoma.
116
COGNITIVO-
PERCEPTIVO
NIC
2400 Asistencia en la analgesia controlada por el paciente (PCA).
1400 Manejo del dolor.
5820 Disminución de la ansiedad.
1610 Baño.
5310 Dar esperanza.
5900 Distracción.
4920 Escucha activa.
1850 Mejorar el sueño.
0200 Fomento del ejercicio.
00124 DESESPERANZA
Definición. Estado subjetivo en que la persona percibe pocas o ninguna
alternativa o elecciones personales y es incapaz de movilizar su energía
en su propio provecho.
Se aconseja utilizar esta etiqueta cuando la percepción de la per-
sona no sea realista y haya alternativas u opciones posibles que ella
no percibe20
.
Se desaconseja utilizarla en situaciones terminales o irreparables
cuando, realmente, ninguna otra elección o alternativa posible, en
cuyo caso se recomienda centrar los cuidados en fomentar la acepta-
ción de la situación20
.
CARACTERÍSTICAS DEFINITORIAS
• Pasividad, disminución de la verbalización.
• Disminución de las emociones.
• Claves verbales (Contenido desesperanzado, “no puedo”, suspiros).
• Falta de iniciativa.
• Disminución de la respuesta a los estímulos.
• Volverse hacia el lado contrario de la persona que habla.
• Cerrar los ojos.
• Encogerse de hombros en respuesta a la persona que le habla.
117
PACIENTE
AUTOPERCEPCIÓN
• Disminución del apetito.
• Aumento o disminución del sueño.
• Falta de implicación en sus cuidados o aceptación pasiva.
FACTORES ETIOLÓGICOS
Abandono.
Prolongada restricción que crea aislamiento.
Estrés de larga duración, declive o deterioro del estado fisiológico.
Pérdida de la fe en los valores transcendentales.
RECOMENDACIONES PARA LA VALORACIÓN ESPECÍFICA
Valorar respuestas coincidentes en otros diagnósticos:
Ansiedad, Baja autoestima crónica, Baja autoestima situacional,
Impotencia, Aflicción crónica, Temor.
Valorar respuestas de los patrones:
Valores/Creencias: Sufrimiento espiritual.
Relaciones sugeridas
NOC
1300 Aceptación: estado de salud.
0204 Consecuencias de la inmovilidad: fissiológicas.
1201 Esperanza.
1304 Resolución de la aflicción.
NIC
5310 Dar esperanza.
5270 Apoyo emocional.
5250 Apoyo en toma de decisiones.
5440 Aumentar sistemas de apoyo.
5290 Facilitar el duelo.
5430 Grupo de apoyo.
4700 Reestructuración cognitiva.
118
AUTOPERCEPCIÓN
00125 IMPOTENCIA
Definición. Percepción de que las propias acciones no variarán significa-
tivamente el resultado; percepción de falta de control sobre la situación
actual o un acontecimiento inmediato.
CARACTERÍSTICAS DEFINITORIAS
• Bajas
Expresiones de incertidumbre sobre los niveles fluctuantes de energía.
Pasividad.
• Moderadas
• Falta de participación en los cuidados o toma de decisiones cuan-
do se da la oportunidad de hacerlo. Resentimiento, cólera, culpa.
Rechazo a manifestar los verdaderos sentimientos. Pasividad.
Dependencia de otros que puede resultar en irritabilidad.
Expresiones de insatisfacción y frustración por la incapacidad para
realizar las tareas o actividades previas. Expresiones de duda res-
pecto al desempeño del rol. Falta de control de los progresos. Falta
de defensa de las prácticas de autocuidado cuando son cuestiona-
das. Incapacidad para buscar información respecto a sus cuidados.
• Graves
• Expresiones verbales de carencia de control: sobres su autoacuida-
do, influencia sobre la situación o influencia sobre el resultado.
• Apatía. Depresión por el deterioro físico que ocurre a pesar de
seguir el tratamiento.
FACTORES ETIOLÓGICOS
Entorno de cuidados de la salud. Tratamiento relacionado con su
enfermedad. Interacción personal. Estilo de vida desesperanzado.
RECOMENDACIONES PARA LA VALORACIÓN ESPECÍFICA
Valorar respuestas coincidentes en otros diagnósticos:
Ansiedad, Baja autoestima crónica, Baja autoestima situacional,
Deseperanza, Aflicción crónica, Temor.
119
PACIENTE
AUTOPERCEPCIÓN
Relaciones sugeridas
NOC
1300 Aceptación: estado de salud.
1205 Autoestima.
1700 Creencias sobre la salud.
NIC
5310 Dar esperanza.
5270 Apoyo emocional.
5250 Apoyo en toma de decisiones.
5440 Aumentar sistemas de apoyo.
5290 Facilitar el duelo.
5430 Grupo de apoyo.
4700 Reestructuración cognitiva.
00118 TRASTORNO DE LA IMAGEN CORPORAL
Definición. Confusión en la percepción del yo físico.
Se aconseja utilizar esta etiqueta siempre que la persona tras una
enfermedad, traumatismo o lesión que ha modificado su aspecto o
función corporal, necesite reajustar la imagen mental que tiene de sí
misma.20
Se desaconseja utilizarla cuando los problemas de ajuste de la ima-
gen mental se deban a trastornos psicopatológicos.20
CARACTERÍSTICAS DEFINITORIAS
• Expresión de sentimientos que reflejan una alteración de la visión del
propio cuerpo en cuanto a su aspecto, estructura o función.
• Expresión de percepciones que reflejan una alteración de la visión del
propio cuerpo en cuanto a su aspecto, estructura o función.
• Respuesta no verbal a cambios reales o percibidos en la estructura o
funcionamiento.
• Conductas de excitación, control o reconocimiento del propio cuerpo.
120
PACIENTE
AUTOPERCEPCIÓN
• Objetivas.
• Pérdida de una parte corporal.
• Traumatismo de la parte no funcionante.
• No tocar una parte funcional.
• Ocultamiento o exposición excesiva (intencionada o no) de una
parte corporal.
• Cambio en la implicación social.
• Cambio en la capacidad para estimar la relación espacial del cuer-
po en el entorno.
• No mirar esa parte corporal.
• Cambio real en la estructura o funcionamiento.
• Ampliación de los límites del cuerpo para incorporar objetivos del
entorno.
• Subjetivas.
• Rechazo a verificar un cambio real.
• Preocupación con el cambio o pérdida.
• Personalización de la parte o pérdida dándole un nombre.
• Despersonalización de la parte o pérdida mediante pronombres
impersonales.
• Sentimientos negativos sobre el cuerpo (Ejem., sentimientos de
desesperación, desesperanza, impotencia).
• Expresión de cambios en el estilo de vida.
• Centrar la atención en las capacidades, funciones o aspecto ante-
rior.
• Miedo al rechazo o a la reacción de los otros.
• Destacar las capacidades restantes.
• Exagerar los logros.
FACTORES ETIOLÓGICOS
Falta de adaptación a cambios: Psicosociales, biofisiológicos, cog-
nitivos o perceptuales, cambios de desarrollo, traumatismo o lesión,
cirugía, tratamiento de la enfermedad.
121
AUTOPERCEPCIÓN
RECOMENDACIONES PARA LA VALORACIÓN ESPECÍFICA
Debe tenerse en cuenta que la imagen corporal es uno de los cuatro com-
ponentes que configuran la percepción de uno mismo (imagen corporal,
desempeño del rol, identidad personal y autoestima). La alteración o cam-
bio en cualquiera de los cuatro repercute necesariamente en los restan-
tes. Esto implica que, al valorar uno de los componentes de la autoper-
cepción, se deben tener en cuenta los otros tres. Por otra parte, la impor-
tancia que la sociedad actual confiere al cuerpo hace que la autoimagen
sea un aspecto muy importante de la autopercepción.20
Valorar respuestas de los patrones:
Rol/Relación: Duelo anticipado, Duelo disfuncional.
Relaciones sugeridas
NOC
1305 Modificación psicosocial: cambio de vida.
1205 Autoestima.
1200 Imagen corporal.
1503 Implicación social.
NIC
5220 Potenciación de la imagen corporal.
5270 Apoyo emocional.
5240 Asesoramiento.
5480 Clarificación de los valores.
5430 Grupo de apoyo.
1260 Manejo del peso.
5250 Apoyo en toma de decisiones.
0200 Fomento del ejercicio.
4700 Reestructuración cognitiva.
00120 BAJA AUTOESTIMA SITUACIONAL
Definición. Situación en que la persona, ante una situación específica,
responde con una autoevaluación negativa.
122
PACIENTE CUIDADOR
AUTOPERCEPCIÓN
Se aconseja utilizar esta etiqueta en situaciones en que la perso-
na tenía previamente una autoestima positiva y, en respuesta a una
alteración de la salud o un proceso vital, presenta manifestaciones de
pérdida de la misma.20
Se desaconseja utilizarla cuando la pérdida de la autoestima sea
repetitiva o de larga evolución.20
CARACTERÍSTICAS DEFINITORIAS
• Informes verbales de que la situación actual desafía su valía personal.
• Verbalizaciones autonegativas.
• Conducta indecisa, no asertiva.
• Evaluación de sí mismo como incapaz de afrontar la situación o los
acontecimientos.
• Expresiones de e inutilidad.
FACTORES ETIOLÓGICOS
Cambios en el desarrollo, alteración de la imagen corporal, deterio-
ro funcional, pérdida, cambios de rol, falta de reconocimiento o recom-
pensas, conductas inconsistente con los valores, creencias erróneas,
pensamientos ilógicos, irracionales o distorsiornados.
RECOMENDACIONES PARA LA VALORACIÓN ESPECÍFICA
Revisar la presencia de expresiones verbales de autonegación, de ver-
güenza o de culpa.
La génesis de la baja autoestima se sitúa en pensamientos irracionales.
Para la identificación de dichos pensamientos se suele utilizar una técnica
de terapia cognitiva, la de las tres columnas, que permiten analizar el pro-
ceso por el cual una persona ha llegado a desarrollar los sentimientos nega-
tivos. La primera columna registra la situación objetiva; en la segunda, el
paciente escribe los pensamientos negativos/irracionales que se le ocurrie-
ron; la tercera columna registra los sentimientos negativos y las conductas
disfuncionales que resultaron de ellos. Otra técnica consiste en solicitar a la
persona que se describa física y personalmente para identificar pensamien-
tos irracionales, negativos o distorsionados(pensamiento polarizado, gene-
ralización exagerada, magnificación y personalización), que permitirán iden-
tificarlos y trabajar sobre ellos mediante el filtro de los mismos con varios
criterios (intensidad emocional que produce el pensamiento, utilidad de pen-
samiento, objetividad, y formalidad).
123
AUTOPERCEPCIÓN
Cambios en los hábitos de vida cotidiana: alimentación, higiene, arreglo
personal, sexualidad, etc.
Dependiendo del tipo y grado: cambios en el desarrollo o el rol social, alte-
ración de la imagen corporal o deterioro funcional.
Escala
Autoestima de Rosemberg.
Relaciones sugeridas
NOC
Escala de Autoestima de Rosemberg.
1205 Autoestima.
2502 Recuperación de abuso: emocional.
1302 Superación de problemas.
NIC
5400 Potenciación de la autoestima.
5220 Potenciación de la imagen corporal.
5270 Apoyo emocional.
5240 Asesoramiento.
5440 Aumentar los sistemas de apoyo.
4700 Reestructuración cognitiva
00146 ANSIEDAD
Definición. Vaga sensación de malestar o amenaza acompañada de una
respuesta del sistema nervioso autónomo y cuyo origen con frecuencia es
desconocido para el individuo; sentimiento de aprensión causada por la
anticipación de un peligro. Es una señal de alerta que advierte de un peli-
gro inminente y permite al individuo tomar medidas para afrontarlo.
Se aconseja utilizar esta etiqueta cuando la persona sufre una
ansiedad severa, es decir, el tercer nivel de los cuatro que clásica-
mente se han descrito: leve, moderada, severa y pánico. Hay que
establecer una distinción básica entre esta etiqueta y la de Temor,
en la ansiedad se desconoce el origen de la sensación o éste es
124
PACIENTE CUIDADOR
AUTOPERCEPCIÓN
inespecífico, mientras que en el Temor la persona identifica clara-
mente la fuente de la amenaza. Ambas se producen como respues-
ta a una sensación de peligro y sus manifestaciones son simila-
res.20
Se desaconseja utilizarla en los dos primeros niveles de la clasifi-
cación (ansiedad leve o moderada), que no requieren intervención
alguna porque son convenientes para el desarrollo y originan conduc-
tas positivas para la persona, así como en el cuarto nivel o pánico
que, al tratarse de una crisis aguda, requiere tratamiento en colabora-
ción con otro profesional.20
CARACTERÍSTICAS DEFINITORIAS
• Conductuales.
• Disminución de la productividad. Control y vigilancia. Mal contacto
ocular. Agitación. Lanzar miradas alrededor.
• Movimientos extraños (Ejem., arrastrar los pies, movimientos de la
mano/brazo). Expresión de preocupaciones debidas a cambios en
acontecimientos vitales. Insomnio. Inquietud.
• Afectivas.
• Arrepentimiento. Irritabilidad. Angustia. Sobresalto. Nerviosismo.
Sobreexcitación. Desesperanza dolorosa y creciente.
Desconcierto. Incertidumbre. Preocupación creciente. Atención
centrada en el yo. Sentimientos de inadecuación. Temor. Distres.
Aprensión. Inquietud.
• Fisiológicas.
• Voz temblorosa. Estremecimiento/temblor de manos.
Inestabilidad. Aumento de la respiración (simpático). Urgencia uri-
naria (parasimpático). Aumento del pulso (simpático). Dilatación
pupilar (simpático). Aumento de los reflejos (simpático). Dolor
abdominal (parasimpático). Trastornos del sueño (parasimpático).
Hormigueo en las extremidades (parasimpático) Excitación car-
diovascular (simpático). Aumento de la transpiración. Tensión
facial. Anorexia (simpático). Palpitaciones (simpático). Diarrea
(parasimpático). Dificultad para iniciar el chorro de orina (parasim-
pático). Fatiga (parasimpático). Sequedad bucal (simpático).
Debilidad (simpático). Disminución del pulso(parasimpático).
Enrojecimiento facial (simpático). Vasoconstricción superficial
(simpático). Espasmos musculares (simpático). Disminución de la
125
AUTOPERCEPCIÓN
presión arterial (parasimpático). Desmayo (parasimpático).
Náuseas (parasimpático). Frecuencia urinaria (parasimpático).
Dificultad respiratoria (simpático). Aumento de la presión arterial
(simpático).
• Cognitivas
• Bloqueo del pensamiento. Confusión. Preocupación. Olvido. Ru-
miación. Deterioro de la atención. Disminución del campo per-
ceptual. Miedo de consecuencias inespecíficas. Tendencia a cul-
par a otros. Dificultad para la concentración. Disminución de la
habilidad para: solucionar problemas, aprender. Conciencia de
los síntomas fisiológicos.
FACTORES ETIOLÓGICOS
Asociación familiar o herencia; amenaza de cambio o cambio en el
estado económico; exposición a toxinas; amenaza de muerte; drogadic-
ción.
La persona percibe una amenaza de cambio en el rol o en las funcio-
nes que debe llevar a cabo para desempeñarlo, en su salud, sus rela-
ciones, su autoconcepto o en el entorno; vive un conflicto inconsciente
sobre los valores y objetivos prioritarios de la vida; atraviesa una crisis
personal o situacional o sufre un alto grado de estrés.
RECOMENDACIONES PARA LA VALORACIÓN ESPECÍFICA
La ansiedad no tiene un eje específico. La persona puede expresar
sentimientos de terror, amenaza o peligro pero no puede identificar la
razón específica de esos sentimientos. Uno de los primeros pasos será
el ayudar a nuestro paciente/cuidador a identificar el eje.
En la génesis de la ansiedad se sitúan en muchas ocasiones pensa-
mientos irracionales. Para la identificación de dichos pensamientos se
suele utilizar una técnica de terapia cognitiva, la de las tres columnas,
que permiten analizar el proceso por el cual una persona ha llegado a
desarrollar ansiedad. La primera columna registra la situación objetiva;
en la segunda, el paciente escribe los pensamientos negativos/irracio-
nales que se le ocurrieron; la tercera columna registra los sentimientos
negativos y las conductas disfuncionales que resultaron de ellos.
Identificar pensamientos irracionales o distorsionados (pensamiento
polarizado, generalización exagerada, magnificación y personalización)
es un paso primordial para la intervención en la que se analizan
mediante varios criterios los pensamientos (intensidad emocional que
126
AUTOPERCEPCIÓN
produce el pensamiento, utilidad de pensamiento, objetividad, y formali-
dad).
Escala
Goldberg.
Valorar respuestas coincidentes en otros diagnósticos:
Desesperanza, Impotencia, Temor.
Relaciones sugeridas
NOC
1402 Autocontrol de la ansiedad.
NIC
5820 Disminución de la ansiedad.
8190 Seguimiento telefónico.
5340 Presencia.
5240 Asesoramiento.
5430 Grupo de apoyo.
6040 Terapia de relajación simple.
4700 Reestructuración cognitiva.
00148 TEMOR
Definición. Respuesta a la percepción como una amenaza que se reco-
noce e identifica conscientemente como un peligro.
Se aconseja usar la etiqueta cuando la persona puede identificar
claramente la amenaza o la fuente del temor que experimenta y que
debe especificarse en la formulación a fin de facilitar la planificación
de la actuación, por ejemplo, Temor a... la quimioterapia.
Se desaconseja utilizarla en las crisis de terror o pánico, que
requieren un tratamiento en colaboración y cuando la persona desco-
noce la fuente de la sensación o ésta es inespecífica, en cuyo caso
estaría más indicada la etiqueta de Ansiedad.
127
PACIENTE CUIDADOR
AUTOPERCEPCIÓN
CARACTERÍSTICAS DEFINITORIAS
• Informes de:
• Aprensión. Aumento de la tensión. Reducción de la seguridad en
uno mismo. Excitación. Sentirse asustado. Inquietud. Pavor.
Alarma. Terror. Pánico.
• Cognitivas
• Identifica el objeto del miedo. Los estímulos se interpretan como
una amenaza. Disminución de la productividad, el aprendizaje, la
capacidad para solucionar problemas.
• Conductuales
• Aumento del estado de alerta. Conductas de evitación o de ataque.
Irreflexión. Estrechamiento del foco de atención en el origen del temor.
• Fisiológicas
• Aumento del pulso. Anorexia. Náuseas. Vómitos. Diarrea. Tirantez
muscular. Fatiga. Aumento de la frecuencia respiratoria y falta de
aliento. Palidez. Aumento de la transpiración. Aumento de la pre-
sión arterial sistólica. Dilatación pupilar. Sequedad bucal.
FACTORES ETIOLÓGICOS
Origen innato o natural. Respuesta aprendida. Separción del sistema de
soporte en una situación potencialmente estresante. Falta de familiaridad
con ala experiencia o experiencias ambientales. Barreras idiomáticas.
Deteriroro sensorial. Estímulos fóbicos.
RECOMENDACIONES PARA LA VALORACIÓN ESPECÍFICA
En la génesis del miedo/ansiedad se sitúan en muchas ocasiones pensa-
mientos irracionales. Para la identificación de dichos pensamientos se
suele utilizar una técnica de terapia cognitiva, la de las tres columnas, que
permiten analizar el proceso por el cual una persona ha llegado a desarro-
llar el miedo. La primera columna registra la situación objetiva; en la
segunda, el paciente escribe los pensamientos negativos/irracionales que
se le ocurrieron; la tercera columna registra los sentimientos negativos y
las conductas disfuncionales que resultaron de ellos.
Identificar pensamientos irracionales o distorsionados (pensamiento pola-
rizado, generalización exagerada, magnificación y personalización) es un
paso primordial para la intervención en la que se analizan mediante varios
criterios los pensamientos (intensidad emocional que produce el pensa-
miento, utilidad de pensamiento, objetividad, y formalidad)
128
AUTOPERCEPCIÓN
Valorar respuestas coincidentes en otros diagnósticos:
Ansiedad, Desesperanza, Impotencia.
Escalas relacionadas
Subescala de Ansiedad de Goldberg.
Valorar respuestas de los patrones:
Afrontamiento/Tolerancia al estrés: Afrontamiento ineficaz.
Relaciones sugeridas
NOC
1404 Autocontrol del miedo.
NIC
5230 Aumentar el afrontamiento.
5820 Disminución de la ansiedad.
5270 Apoyo emocional.
5250 Apoyo toma decisiones.
5340 Presencia.
5602 Enseñanza: proceso enfermedad.
4700 Reestructuración cognitiva.
00053 AISLAMIENTO SOCIAL
Definición. Soledad experimentada por el individuo y percibida como
negativa o amenazadora e impuesta por otros.
Se aconseja utilizar esta etiqueta únicamente cuando la persona
desee aumentar sus contactos sociales, aunque será necesario valo-
rar con detenimiento en cada caso el grado de alteración física o men-
tal o de rechazo social. También valorar las posibilidades reales de
incidir en la conducta o el entorno de la persona para mejorar su inte-
gración social20
Se desaconseja utilizarla cuando la soledad de una persona sea
algo elegido y decidido por ella. Entonces debe hacerse una valora-
129
PACIENTE CUIDADOR
ROL-RELACIONES
ción detallada para determinar si se trata de una respuesta adaptada
(que no requiere intervención profesional) o si por el contrario se
podría formular otro diagnóstico.20
CARACTERÍSTICAS DEFINITORIAS
• Objetivas:
• Falta de personas significativas de soporte (familiares, amigos,
gru-po).
• Proyección de hostilidad en la voz, en la conducta.
• Retraimiento. Mutismo.
• Conducta inaceptable por el grupo culturalmente dominante. Búsqueda
de soledad o pertenencia a una subcultura.
• Acciones repetitivas, carentes de significado.
• Preocupación por los propios pensamientos.
• Falta de conducta ocular.
• Intereses inadecuados o inmaduros para la edad o la etapa de des-
arrollo.
• Evidencia de dificultades físicas o mentales o de alteración del bien-
estar.
• Embotamiento emocional.
• Subjetivas:
• Expresión de sentimientos de soledad impuestos por otros.
• Expresión de sentimientos de rechazo.
• Intereses inadecuados o inmaduros para la edad o etapa de desarro-
llo.
• Falta de un propósito significativo en la vida o inadecuación del
existente.
• Incapacidad para satisfacer las expectativas de los demás.
• Expresión de valores aceptables en su subcultura pero inacepta-
bles para el grupo culturalmente dominante.
• Sentimientos de ser distinto a los demás.
• Inseguridad en público.
130
ROL-RELACIONES
FACTORES ETIOLÓGICOS
Alteración del estado mental. Incapacidad para establecer relaciones per-
sonales satisfactorias. Valores no aceptados socialmente. Recursos per-
sonales inadecuados. Intereses inmaduros. Alteraciones en el aspecto
físico. Alteración del bienestar.
RECOMENDACIONES PARA LA VALORACIÓN ESPECÍFICA
Escalas
Escala de valoración sociofamiliar de Gijon; Cuestionario de apoyo social
funcional de DUKE.
Valorar respuestas coincidentes en otros diagnósticos:
Deterioro de la interacción social.
Relaciones sugeridas
NOC
2601 Clima social de la familia.
1503 Implicación social.
1203 Soledad.
NIC
5220 Potenciar la socialización.
5270 Apoyo emocional.
5240 Asesoramiento.
5440 Aumentar sistemas de apoyo.
7200 Fomento de la normalización familiar.
5400 Potenciación de la autoestima.
5430 Grupo de apoyo.
5290 Facilitar el duelo.
0056 DETERIORO DE LA INTERACCIÓN SOCIAL
Definición. Intercambio social inefectivo o cualitativamente insuficiente o
excesivo.
131
PACIENTE CUIDADOR
ROL-RELACIONES
Se aconseja utilizar esta etiqueta cuando se valore que está alte-
rado el equilibrio entre la soledad y la interacción social, aunque la
persona no sea consciente de ello.
Se desaconseja utilizarla cuando tenga su origen en factores socia-
les, culturales, religiosos o situaciones no modificables.
CARACTERÍSTICAS DEFINITORIAS
• Verbalización u observación de incapacidad para recibir o transmitir una
sensación satisfactoria de pertenencia, cariño, interés, o historia com-
partida.
• Verbalización u observación de malestar en las situaciones sociales.
• Observación de empleo de conductas de interacción social ineficaces.
• Interacción disfuncional con los compañeros, familia o amigos.
• Informes familiares de cambio del estilo o patrón de interacción.
FACTORES ETIOLÓGICOS
Déficit de conocimientos o habilidades sobre el modo de fomentar la reci-
procidad. Aislamiento terapéutico. Disonancia sociocultural, limitación de
la movilidad física. Barrearas ambientales. Barreras de comunicación.
Alteración de los procesos de pensamiento. Ausencia de compañeros o
personas significativas. Trastornos del autoconcepto.
Relaciones sugeridas
NOC
1503 Implicación social.
NIC
5220 Potenciación de la socialización.
5430 Grupo de apoyo.
5440 Aumentar los sistemas de apoyo.
00060 INTERRUPCIÓN DE LOS PROCESOS FAMILIARES
Definición. Cambio en las relaciones o en el funcionamiento familiar
Se aconseja usar esta etiqueta cuando en una familia previamen-
132
PACIENTE CUIDADOR
ROL-RELACIONES
te funcional ante un factor externo se produce un cambio en la sisté-
mica familiar que repercute de forma negativa en todos o algunos de
los componentes de la unidad familiar.
Se desaconseja utilizarla en familias disfuncionales.
CARACTERÍSTICAS DEFINITORIAS
• Cambios en:
• Las alianzas de poder.
• Las tareas asignadas.
• La efectividad en la realización de las tareas asignadas.
• El soporte mutuo.
• La disponibilidad para las respuestas efectivas y la intimidad.
• Los patrones y rituales.
• La participación en la solución de problemas.
• La participación en la toma de decisiones.
• Los patrones de comunicación.
• La disponibilidad para el apoyo emocional.
• La satisfacción con la familia.
• Las conductas de reducción del estrés.
• Las expresiones de conflicto con los recursos comunitarios o aisla-
miento de éstos.
• En las quejas somáticas.
• En la expresión de conflictos dentro de la familia.
FACTORES ETIOLÓGICOS
Cambios de poder de los miembros de la familia. Cambio de los roles
familiares. Cambios en el estado de salud de un miembro de la familia.
Cambios de transición o desarrollo. Situaciones de transición o crisis.
Interacción formal o informal con la comunidad. Modificación del estado
social de la familia o de las finazas familiares.
Valorar con Escalas
Se recomienda realizar el test de Apgar familiar.
133
ROL-RELACIONES
Relaciones sugeridas
NOC
1305 Modificación psicosocial: cambio de vida.
2606 Estado de salud de la familia.
2602 Funcionamiento de la familia.
2600 Afrontamiento de los problemas de la familia.
NIC
7140 Apoyo a la familia.
5440 Aumentar los sistemas de apoyo.
7100 Estimulación de la integridad familiar.
7200 Fomento de la normalización familiar.
7150 Terapia familiar.
7180 Asistencia en el mantenimiento del hogar.
7040 Apoyo al cuidador principal.
00061 CANSANCIO EN EL DESEMPEÑO DEL ROL DE CUIDADOR
Definición: Dificultad para desempeñar el papel de cuidador de la fami-
lia.
Se aconseja utilizar esta etiqueta cuando el cuidador desea seguir
desempeñando ese papel, pero le resulta difícil hacerlo en ese
momento porque le faltan habilidades o porque está abrumado por la
situación.20
Se desaconseja utilizarla cuando el cuidador no desea seguir des-
empeñando ese papel y busca activamente la manera de que sea otra
persona o una institución quien asuma la responsabilidad del cuidado.
Tal situación puede ser una conducta totalmente adaptada que no
requiere, por tanto, de ningún diagnostico.20
CARACTERÍSTICAS DEFINITORIAS
• Actividades del cuidador:
• Dificultad para completar o llevar a cabo las tareas requeridas.
134
CUIDADOR
ROL-RELACIONES
Preocupación por los cuidados habituales. Inquietud ante el futuro
respecto a la salud de la persona cuidada y la habilidad del cuida-
dor para atenderla. Inquietud sobre el receptor de los cuidados si el
cuidador se pone enfermo o muere. Cambio disfuncional en las
actividades del cuidador. Inquietud sobre la posible institucionaliza-
ción del receptor de los cuidados.
• Estado de salud física del cuidador.
• Trastornos gastrointestinales (p.ejem., dolores gástricos leves, vómi-
tos, diarrea, úlcera péptica recurrente). Cambios pondérales.
Erupciones. Hipertensión. Enfermedad cardiovascular. Diabetes.
Fatiga. Cefaleas.
• Estado de salud Emocional del cuidador.
• Afrontamiento individual deteriorado. Sentimientos de depresión.
Trastornos del sueño. Cólera. Estrés. Somatización. Nerviosismo
creciente. Labilidad emocional creciente. Impaciencia. Falta de
tiempo para las necesidades personales. Frustración.
• Socioeconómica:
• No participación en la vida social. Cambio en las actividades de tiem-
po libre. Baja productividad laboral. Rechazo de promociones profe-
sionales.
• Relaciones cuidador-receptor de los cuidados.
• Duelo o incertidumbre sobre el cambio de relaciones con el recep-
tor de los cuidados.
• Dificultad para ver como afecta la enfermedad al receptor de los cui-
dados.
• Procesos familiares Cuidador-receptor de los cuidados:
• Conflicto familiar.
• Preocupación por los miembros de la familia.
FACTORES ETIOLÓGICOS
Recursos. El cuidador no ha alcanzado un grado suficiente de des-
arrollo, carece de recursos recreativos o que le permitan tener un descan-
so de los cuidados, le falta apoyo de otras personas significativas, care-
ce de la información o equipo adecuado para proporcionar cuidados.
Roles relaciones. Expectativas irreales del receptor de los cuida-
dos sobre el cuidador; cambio en las relaciones entre ambos.
135
ROL-RELACIONES
Sociales. Alejamiento de la familia, amigos y compañeros de tra-
bajo; falta de actividades recreativas.
Del cuidador. Cambios continuos de las actividades; problemas
psicológicos o cognitivos (dependiendo del tipo y grado); expectativas
irreales sobre sí mismo o incapacidad para estar a la altura de sus
propias expectativas o las de las demás; afrontamiento inefectivo,
incertidumbre sobre la situación de cuidados, excesivo numero de
actividades o responsabilidad de los mismos las 24 horas del día.
Situacionales. Inexperiencia con los cuidados; malos tratos o vio-
lencia familiar (dependiendo del tipo y grado; aislamiento de la familia
o del cuidador; conflicto de roles del cuidador, complejidad o cantidad
de las tareas de cuidados.
Fisiológicos. Incertidumbre sobre el curso de la enfermedad, adic-
ción o codependencia del receptor de los cuidados.
Recursos. Deficiencias en el transporte, los recursos económicos
o los servicios comunitarios.
Roles y relaciones. Antecedentes de disfunción familiar o de afron-
tamiento familiar marginal.
Individuales. Inestabilidad de la salud del receptor de los cuida-
dos; problemas conductuales; problemas psicológicos o cognitivos del
receptor de los cuidados; enfermedad crónica.
Del cuidador. Adicción o codependencia.
Situacionales. Entorno físico inadecuado para brindar cuidados.
Fisiológicos. Enfermedad grave o salud inestable del receptor de
los cuidados; un miembro de la familia requiere importantes cuidados
en el domicilio, sus necesidades o su grado de dependencia son cada
vez mayores; deterioro de la salud del cuidador.
Valorar respuestas coincidentes en otros diagnósticos:
Interrupción de los procesos familiares; Riesgo de cansancio en el des-
empeño del rol de cuidador.
Valorar con Escalas
Test de Zarit, Índice de Esfuerzo del cuidador.
136
ROL-RELACIONES
Relaciones sugeridas
NOC
2203 Alteración del estilo de vida del cuidador familiar.
2210 Posible resistencia al cuidado familiar.
2205 Rendimiento del cuidador familiar: atención directa.
2506 Salud emocional del cuidador familiar.
2507 Salud física del cuidador familiar.
2202 Preparación del cuidador familiar domiciliario.
2204 Relación entre cuidador familiar y paciente.
1504 Soporte social.
1602 Conducta de fomento de salud.
NIC
7040 Apoyo al cuidador principal.
5440 Aumentar los sistemas de apoyo.
7180 Asistencia en el mantenimiento del hogar.
8300 Fomento de la paternidad en familias de alto riesgo.
5566 Educación paterna: crianza familiar de los niños.
5370 Potenciación de roles.
7120 Movilización familiar.
00062 RIESGO DE CANSANCIO EN EL DESEMPEÑO DEL ROL DE
CUIDADOR
Definición: El cuidador es vulnerable a la percepción de dificultad para
desempeñar su rol de cuidador de la familia.
Se aconseja utilizar esta etiqueta cuando el cuidador desea seguir
desempeñando ese papel, pero le resulta difícil hacerlo en ese
momento porque le faltan habilidades o porque está abrumado por la
situación.20
Se desaconseja utilizarla cuando el cuidador no desea seguir des-
empeñando ese papel y busca activamente la manera de que sea otra
persona o una institución quien asuma la responsabilidad del cuidado.
Tal situación puede ser una conducta totalmente adaptada que no
requiere, por tanto, de ningún diagnostico.20
137
CUIDADOR
ROL-RELACIONES
FACTORES DE RIESGO.
• Adicción o codependencia.
• El receptor de los cuidados muestra un comportamiento desviado, abe-
rrante.
• Aislamiento de la familia o del cuidador.
• Falta de descanso y distracción del cuidador.
• Falta de experiencia en brindar cuidados.
• Enfermedad grave del receptor de los cuidados.
• Nacimiento prematuro o defecto congénito.
• Alta de un miembro de la familia con importantes necesidades de cui-
dados en el domicilio.
• Deterioro de la salud del cuidador.
• Curso imprevisible de la enfermedad o inestabilidad de la salud del
receptor de los cuidados.
• El cuidador es una mujer.
• El cuidador no esta preparado desde la perspectiva de su desarrollo
para asumir ese papel (pe: un adulto joven que tiene que atender a un
familiar mayor).
• Retraso en el desarrollo o retraso mental de la persona que brinda los
cuidados o de la persona que los recibe.
• Problemas psicológicos o cognitivos del receptor de los cuidados.
• Situación marginal de la familia o disfunción familiar previa al inicio de
la situación en que se requieren cuidados.
• Patrones de afrontamiento marginales del cuidador.
• Historia anterior de malas relaciones entre la persona que brinda los cui-
dados y la que los recibe.
• El cuidador es el cónyuge.
• Presencia de agentes estresantes situacionales que normalmente afec-
tan a las familias (pe: una perdida significativa, desastres o crisis, vul-
nerabilidad económicas, acontecimientos, vitales importantes).
• Prolongación de los cuidados, entorno físico inadecuado para prestar
los cuidados (pe: acondicionamiento domestico, transportes, servicios
comunitarios, equipo).
138
ROL-RELACIONES
• Cuidados numerosos o complejos.
• Inexperiencia del cuidador.
• El cuidador desempeña roles que entran en competencia
RECOMENDACIONES PARA LA VALORACIÓN ESPECÍFICA
Observar la presencia de todos o algunos de los factores que se han enu-
merado, bien en el paciente y/o el cuidador principal., teniendo en cuenta
sobre los que no podremos intervenir.
• La persona cuidada sufre retraso mental, problemas psicológicos o
cognitivos, enfermedad grave, de larga duración o de curso impre-
visible o requiere muchos y complejos cuidados, el cuidador es una
mujer, carece de experiencia o no ha alcanzado el nivel de desarro-
llo requerido para desempeñar ese papel, sufre un retraso mental o
tiene un estilo de afrontamiento marginal; nacimiento prematuro o
con defecto congénito, situación marginal de la familia o disfunción
familiar previa; antecedentes de malas relaciones entre el cuidador
y la persona cuidada; estrés situacional, desastres o crisis, vulne-
rabilidad económica; adicción o codependencia; acontecimientos
vitales importantes; inadecuación del entorno físico.
Valorar respuestas coincidentes en otros diagnósticos:
Interrupción de los procesos familiares. Manejo inefectivo del régimen
terapéutico familiar. Cansancio en el desempeño del rol de cuidador
Valorar con Escalas
Test de Zarit,Índice del Esfuerzo del cuidador.
Relaciones sugeridas
NOC
2203 Alteración del estilo de vida del cuidador familiar.
1805 Conocimiento: conducta sanitaria.
1806 Conocimiento: recursos sanitarios.
0003 Descanso.
2208 Factores estresantes del cuidador familiar.
2202 Preparación del cuidador familiar domiciliario.
2204 Relación entre cuidador familiar y paciente.
139
ROL-RELACIONES
2506 Salud emocional del cuidador familiar.
2507 Salud física del cuidador familiar.
2600 Afrontamiento de los problemas de la familia.
1602 Conducta de fomento de salud.
NIC
5440 Aumentar los sistemas de apoyo.
7040 Apoyo al cuidador principal.
7180 Asistencia en el mantenimiento del hogar.
7100 Estimulación de la integridad familiar.
7260 Cuidados intermitentes.
5430 Grupo de apoyo.
7120 Movilización familiar.
00135 DUELO COMPLICADO
Definición. Desorden que ocurre tras la muerte de una persona significa-
tiva ,en que experiencia estresante que la acompaña impide seguir las
expectativas normativas y que se manifiesta en un deterioro funcional.
En 2006 la etiqueta diagnóstica fue modificada. Anteriormente se
denominaba duelo disfuncional. En la literatura este término fue ini-
cialmente denominado como duelo traumático, pero recientemente se
tiende a denominar duelo complicado. Se recomienda la utilización de
esta etiqueta cuando el duelo no se ha elaborado de forma eficaz y se
mantiene por falta de recursos personales o relacionales.
No es recomendable su uso en duelos patológicos de duración cró-
nica con alteraciones de la conducta y que requieren terapia psiquiá-
trica.
CARACTERÍSTICAS DEFINITORIAS
• Separación estresante.
• Estrés traumático.
• Preocupación con los pensamientos del fallecido.
• Verbaliza sentirse paralizado o aturdido.
140
PACIENTE CUIDADOR
ROL-RELACIONES
• Se expresa verbalmente se sintiendo aturdido.
• Búsqueda del fallecido.
• Expresa verbalmente sentimientos angustiosos sobre los difuntos, de
incredulidad, desconfianza, cólera, separación de otros, recuerdos dolo-
rosos.
• Angustia emocional persistente.
• Reflexión.
• Expresa verbalmente persistente.
• Fatiga, Disminución del bienestar.
• Verbaliza ansiedad.
• Bajos niveles de intimidad.
FACTORES ETIOLÓGICOS
Muerte de persona significativa. Muerte repentina de una persona signifi-
cativa. Inestabilidad emocional. Falta de apoyo social.
RECOMENDACIONES PARA LA VALORACIÓN ESPECÍFICA
Valorar respuestas coincidentes en otros diagnósticos:
Duelo. Aflicción crónica. Afrontamiento ineficaz. Sufrimiento espiritual.
Relaciones sugeridas
NOC
1305 Modificación psicosocial: cambio de vida.
1409 Autocontrol de la depresión.
1204 Equilibrio emocional.
1208 Nivel de depresión.
0004 Sueño.
NIC
5290 Facilitar el duelo.
7140 Apoyo a la familia.
5240 Asesoramiento.
4640 Ayuda para el control del enfado.
141
ROL-RELACIONES
5820 Disminución de la ansiedad.
4920 Escucha activa.
6160 Intervención en caso de crisis.
5340 Presencia.
5430 Grupo de apoyo.
5440 Aumentar los sistemas de apoyo.
5310 Dar esperanza.
00136 DUELO
Definición. Proceso complejo normal que incluye respuestas emociona-
les, físicas, espirituales, sociales e intelectuales por parte de individuos,
familias o comunidades, incorporando la pérdida en sus vidas diarias.
En 2006 la etiqueta diagnóstica fue modificada. Anteriormente se
denominaba duelo anticipado.
CARACTERÍSTICAS DEFINITORIAS
• Comportamiento de pánico.
• Crecimiento personal.
• Culpa.
• Cólera.
• Desinterés.
• Sufrimiento.
• Alteración del sueño.
• Alteraciones en el nivel de actividad.
• Atribución de significado a la pérdida.
• Alteraciones de la función inmune y neuroendocrina.
• Experiencias de alivio.
• Mantenimiento de la conexión con el difunto.
• Estrés psicológico.
FACTORES ETIOLÓGICOS
Anticipación a al perdida de una persona significativa. Muerte de una per-
142
PACIENTE CUIDADOR
ROL-RELACIONES
sona significativa. Pérdida anticipada de un objeto significativo (personas,
posesiones, trabajo, posición, hogar, valores, partes y procesos corporales)
RECOMENDACIONES PARA LA VALORACIÓN ESPECÍFICA
La persona manifiesta los sentimientos asociados a las distintas etapas
del proceso de duelo: negación, cólera, pacto, depresión y aceptación o
resolución del duelo; alteración de los hábitos alimentarios o de sueño;
trastornos de la líbido, del nivel de actividad, de los patrones de la comu-
nicación; dificultad para asumir roles nuevos o diferentes.
Valorar respuestas coincidentes en otros diagnósticos:
Aflicción crónica. Afrontamiento ineficaz. Sufrimiento espiritual. Ansiedad
ante la muerte.
Valorar respuestas de los patrones:
Nutricional-metabólico.
Sueño-descanso.
Autopercepción-autoconcepto.
Relaciones sugeridas
NOC
1305 Modificación psicosocial: cambio de vida.
1409 Autocontrol de la depresión.
1204 Equilibrio emocional.
1208 Nivel de depresión.
0004 Sueño.
NIC
5290 Facilitar el duelo.
7140 Apoyo a la familia.
5270 Apoyo emocional.
5260 Cuidados en la agonía.
4920 Escucha activa.
5340 Presencia.
5420 Apoyo espiritual.
5430 Grupo de apoyo.
143
ROL-RELACIONES
00137 AFLICCIÓN CRÓNICA.
Definición. La persona (familiar, cuidador o individuo) que sufre una pér-
dida continua o una enfermedad o discapacidad crónica presenta de
forma repetida un sentimiento abrumador de tristeza o pena que puede ir
en aumento.
Se aconseja utilizar esta etiqueta con precaución ya que puede
indicar un problema psicológico o afectivo que requiera tratamiento
por parte de un profesional de salud mental. Será pues, necesario
identificar los factores relacionados susceptibles de provocar está
respuesta, sobre los que vamos a incidir para guiar el plan de cui-
dados.
Esta etiqueta es un diagnóstico diferente al de Duelo. El Duelo está
limitado en el tiempo y termina con la adaptación a la pérdida. La
Aflicción crónica tendrá intensidad variable, pero persistirá mientras
la persona (enfermo o persona con discapacidad o familiar/cuida-
dor) viva20
.
Se desaconseja utilizarla cuando el sentimiento de tristeza se dé
en el contexto del proceso de duelo, en cuyo caso forma parte de éste
y no debe ser tratado como un problema aislado.
CARACTERÍSTICAS DEFINITORIAS
• Expresión de sentimientos periódicos recurrentes de tristeza.
• Sentimientos de intensidad variable, periódicos, que pueden progre-
sar e intensificarse con el tiempo y pueden interferir con la habilidad
de la persona para alcanzar su nivel máximo de bienestar personal y
social.
• Expresión de uno o varios de los sentimientos siguientes: cólera, sentir-
se incomprendido, confusión, depresión, desencanto, vacío, temor, frus-
tración, culpa o autoinculpación, desesperación, desesperanza, sole-
dad, baja autoestima, pérdida recurrente, sentirse abrumado.
FACTORES ETIOLÓGICOS
Muerte de un ser querido.
La persona experimenta una enfermedad o discapacidad física o mental
crónica (retraso mental, esclerosis múltiple, prematuridad, espina bífida u
144
PACIENTE CUIDADOR
ROL-RELACIONES
otros defectos de nacimientos, enfermedad mental crónica, infertilidad,
cáncer, enfermedad de Parkinson).
La persona experimenta uno o más acontecimientos desencadenantes
(crisis en el manejo de la enfermedad, crisis relacionadas con edades de
desarrollo y oportunidades perdidas o hitos que obligan a a establecer
comparaciones con las normas de desarrollo sociales o personales).
Necesidad interminable de cuidados como constante recordatorio de la
pérdida.
Valorar con Escalas
Se recomienda pasar la Escala de Goldberg para establecer posible pre-
sencia de Depresión.
Valorar respuestas coincidentes en otros diagnósticos:
Duelo, Duelo complicado, Temor.
Relaciones sugeridas
NOC
1300 Aceptación estado de salud.
1201 Esperanza.
1304 Resolución de la aflicción.
2000 Calidad de vida.
1203 Soledad.
NIC
5310 Dar esperanza.
5290 Facilitar el duelo.
5270 Apoyo emocional.
5240 Asesoramiento.
4640 Ayuda en el control del enfado.
5260 Cuidados en la agonía.
5280 Facilitar el perdón.
1850 Mejorar el sueño.
0200 Fomento del ejercicio.
145
ROL-RELACIONES
00065 PATRÓN SEXUAL INEFICAZ
Definición: Expresión de preocupación respecto a la propia sexualidad.
Se aconseja usar esta etiqueta cuando la persona, que previamen-
te tenía una sexualidad satisfactoria, a raíz de una crisis exprese insa-
tisfacción o preocupación por el futuro20
. En casos de alteración signi-
ficativa se debe derivar al sexólogo.
CARACTERÍSTICAS DEFINITORIAS
• Manifestaciones de dificultad, limitaciones o cambios en los comporta-
mientos o actividad sexual.
FACTORES ETIOLÓGICOS
Falta de persona significativa. Conflicto en la orientación sexual o varia-
ción de las preferencias. Miedo al embarazo o ETS. Deterioro de las rela-
ciones con la persona significativa. Falta de modelos del rol o ineficacia
de los existentes. Déficit de conocimientos o habilidades sobre respues-
tas alternativas a transiciones relacionadas con la salud, alteración de l
estructura o en funciones corporales, enfermedad o tratamiento médico.
Falta de intimidad.
RECOMENDACIONES PARA LA VALORACIÓN ESPECÍFICA
Inicie la valoración con la pregunta ¿Ha habido algún cambio en su sexua-
lidad que le preocupe? y si existe alguna preocupación valore de forma
focalizada. Es importante la valoración de la sexualidad en pacientes que
con frecuencia ven alteradas esta función por intervenciones (sonda vesi-
cal), tratamiento médico (pacientes hipertensos), o el proceso patológi-
co (diabetes).
Relaciones sugeridas
NOC
1207 Identidad sexual: aceptación.
1200 Imagen corporal.
2505 Recuperación del abuso: sexual.
2500 Cese del abuso.
146
PACIENTE CUIDADOR
SEXUALIDAD
NIC
5248 Asesoramiento sexual.
5622 Enseñanza: sexo seguro.
5220 Potenciación de la imagen corporal.
5624 Enseñanza: sexualidad.
5230 Aumentar el afrontamiento.
5430 Grupo de apoyo.
4356 Manejo de conducta: sexual.
5400 Potenciar autoestima.
00069 AFRONTAMIENTO INEFICAZ
Definición: Incapacidad para llevar a cabo una apreciación válida de los
agentes estresantes para elegir adecuadamente las respuestas habitua-
les o para usar los recursos disponibles.
Se aconseja utilizar esta etiqueta cuando se trate de una persona
con un patrón previo de afrontamiento eficaz que en un momento
determinado, es incapaz de adaptarse a las exigencias de una situa-
ción nueva, sea esta negativa o positiva.20
Se desaconseja utilizarla cuando habitualmente los mecanismos
de afrontamiento de la persona resulten ineficaces, en cuyo caso
requiere ser diagnosticado por un especialista en salud mental.20
CARACTERÍSTICAS DEFINITORIAS
• Falta de conductas orientadas al logro de objetivos o a la resolución de
los problemas incluyendo incapacidad para tratar la dificultad para orga-
nizar la información.
• Trastornos del sueño.
• Abuso de agentes químicos.
• Reducción en el uso de apoyo social.
• Empleo de formas de afrontamiento que impiden una conducta adapta-
tiva.
• Mala concentración.
147
PACIENTE
ADAPTACIÓN
• Solución inadecuada de los problemas.
• Expresiones de incapacidad para afrontar la situación o para pedir
ayuda.
• Incapacidad para satisfacer las expectativas del rol.
• Alta tasa de enfermedad.
• Cambio en los patrones de comunicación habituales.
• Fatiga.
• Asunción de riesgos.
FACTORES ETIOLÓGICOS
Diferencias de género en las estrategias de afrontamiento. Falta de con-
fianza en la capacidad para afrontar la situación. Incertidumbre.
Inadecuación del apoyo social. Percepción de un nivel inadecuado de
control. Inadecuación de los recursos disponibles. Alto grado de amena-
za. Crisis situacionales o de maduración. Trastorno en los patrones de
liberación de la tensión. Falta de oportunidades para prepararse para los
agentes estresantes. Incapacidad para conservar las energías adaptati-
vas. Trastorno en el patrón de apreciación de las amenazas.
RECOMENDACIONES PARA LA VALORACIÓN ESPECÍFICA
En la génesis del Afrontamiento ineficaz se sitúan en muchas ocasiones
pensamientos irracionales. Para la identificación de dichos pensamientos
se suele utilizar una técnica de terapia cognitiva, la de las tres columnas,
que permiten analizar el proceso por el cual una persona ha llegado a
desarrollar los sentimientos negativos. La primera columna registra la
situación objetiva; en la segunda, el paciente escribe los pensamientos
negativos/irracionales que se le ocurrieron; la tercera columna registra los
sentimientos negativos y las conductas disfuncionales que resultaron de
ellos. Mediante esta técnica de valoración se identifican las estrategias
adaptativas seguidas, y se pueden con posterioridad elaborar nuevas
estrategias adaptativas más eficaces.
Relaciones sugeridas
NOC
2209 Factores estresantes del cuidados familiar.
1302 Superación de problemas.
0906 Toma de decisiones.
148
ADAPTACIÓN
NIC
5250 Apoyo en toma de decisiones.
5230 Aumentar el afrontamiento.
5270 Apoyo emocional.
5440 Aumentar los sistemas de apoyo..
4640 Ayuda para el control del enfado.
6160 Intervención en caso de crisis.
4380 Establecer límites.
4410 Establecimiento de objetivos comunes.
4480 Facilitar autorresponsabilidad.
5400 Potenciación autoestima.
00074 AFRONTAMIENTO FAMILIAR COMPROMETIDO
Definición: La persona que habitualmente brinda el soporte principal (un
miembro de la familia o un amigo intimo) proporciona en este caso un
apoyo, consuelo, ayuda o estímulo insuficiente o inefectivo (o hay el peli-
gro de que ello suceda) que puede ser necesario para que el cliente
maneje o domine las tareas adaptativas relacionadas con su situación de
salud.
Se aconseja utilizar esta etiqueta cuando el cuidador sea una per-
sona de la familia o una persona allegada, aunque no exista consan-
guinidad.20
Se desaconseja utilizarla cuando la personal cuidadora sea remu-
nerada.
CARACTERÍSTICAS DEFINITORIAS
• Objetivas
• La persona de referencia intenta poner en práctica comportamien-
tos de ayuda o soporte con resultados poco satisfactorios.
• La persona de referencia muestra una conducta desproporcionada
(por exceso o por defecto) en relación con las capacidades o nece-
sidad de autonomía del cliente.
• La persona de referencia se retrae o establece una comunicación
149
CUIDADOR
ADAPTACIÓN
personal limitada o temporal con el cliente en el momento de nece-
sidad.
• Subjetivas
• El cliente expresa o confirma una queja o preocupación sobre la
respuesta de la persona o personas de referencia a su problema de
salud.
• La persona de referencia describe o confirma una comprensión o
conocimiento inadecuado que interfiere con las conductas efectivas
de ayuda y soporte.
• La reacción de la persona de referencia demuestra preocupación
(p. ej., temor, duelo anticipado, culpa, ansiedad) ante la enferme-
dad o incapacidad o cualquier otra crisis situacional o de desarrollo
del cliente.
FACTORES ETIOLÓGICOS
La persona de referencia está temporalmente preocupada e intenta
manejar sus conflictos emocionales y sufrimiento personal, por lo que es
incapaz de percibir o actuar de forma eficaz con respecto a las necesida-
des del paciente.
Desorganización familiar y cambio temporal de roles.
Prolongación de la enfermedad o progresión de la incapacidad que agota
la capacidad de apoyo de las personas de referencia. La persona de refe-
rencia sufre otra crisis situacional o de desarrollo. La persona de referen-
cia tiene información o compresión inadecuada o incorrecta. El paciente
muestra poco apoyo a la persona de referencia.
RECOMENDACIONES PARA LA VALORACIÓN ESPECÍFICA
Escalas
Se recomienda realizar el TEST APGAR FAMILIAR.
Valorar respuestas coincidentes en otros diagnósticos:
Cansancio en el rol de cuidador, Riesgo de cansancio en el rol de cuidador.
Relaciones sugeridas
NOC
2605 Participación de la familia en la asistencia sanitaria profesional.
2600 Afrontamiento de los problemas de la familia.
150
ADAPTACIÓN
NIC
7140 Apoyo a la familia.
7150 Terapia familiar.
7040 Apoyo al cuidador principal.
7110 Fomento de la implicación familiar.
5240 Asesoramiento.
5230 Aumentar el afrontamiento.
5420 Apoyo espiritual.
7200 Fomento de la normalización familiar.
4640 Ayuda para el control del enfado.
6160 Intervención en caso de crisis.
4410 Establecimiento de objetivos comunes.
5370 Potenciación de roles.
7120 Movilización familiar.
00066 SUFRIMIENTO ESPIRITUAL
Definición: Situación en que la persona sufre un trastorno del principio
vital que la impregna totalmente e integra y transciende su naturaleza bio-
lógica, psicológica y social.
Se aconseja usar esta etiqueta siempre que haya un sufrimiento
espiritual vinculado al sistema de valores y creencias de la persona,
sin limitarlo a las ideas de carácter religioso20
.
Se desaconseja utilizarla cuando, sea cual sea la situación, la per-
sona la haya aceptado y no le plantee dudas ni contradicciones con
sus creencias y valores o, caso de haberlas tenido, las haya resuelto
de manera que le permita vivir con paz espiritual20
.
CARACTERÍSTICAS DEFINITORIAS
• Expresiones de preocupación sobre el significado de la vida, la muerte
o el sistema de valores.
• Preguntas sobre el significado del sufrimiento.
• Verbalización de conflictos internos sobre las creencias.
151
PACIENTE
VALORES-CREENCIAS
• Cuestiones sobre el significado de la propia existencia.
• Incapacidad para participar en las practicas religiosas habituales.
• Búsqueda de ayuda espiritual.
• Preguntas sobre las implicaciones morales o éticas del régimen tera-
péutico.
• Desplazamiento de la cólera hacia los representantes religiosos.
• Descripción de pesadillas o trastornos del sueño.
• Alteraciones del comportamiento o del humor manifestado por cólera,
llanto, retraimiento, preocupación, ansiedad, hostilidad, apatía, etcétera.
• Humor negro (inapropiado en una situación grave).
• Verbalización de preocupación respecto a las relaciones con la deidad.
• Cólera hacia Dios.
FACTORES ETIOLÓGICOS
Alto grado de ansiedad o estrés físico o psicológico; baja autoestima;
malas relaciones con los demás; pérdida real o potencial, terminal o no;
incapacidad para perdonar.
Enfermedad mental o física; drogadicción.
Expresiones de preocupación por las relaciones con un ser superior; cóle-
ra hacia Dios.
Relaciones sugeridas
NOC
2001 Salud espiritual.
2000 Calidad de vida.
1201 Esperanza.
1303 Muerte digna.
NIC
5420 Apoyo espiritual.
5260 Cuidados en la agonía.
5310 Dar esperanza.
5820 Disminución de la ansiedad.
152
VALORES-CREENCIAS
COMPLICACIONES DEL
PROCESO CLÍNICO
3
Definición CPC: La persona experimenta un aumento de la temperatura
corporal por encima del límite considerado normal en la zona corporal en
la que se mide.
Aunque la NANDA lo identifica como un diagnóstico enfermero en la
mayoría de las ocasiones es una complicación del proceso clínico.
No es recomendable utilizar esta etiqueta como diagnóstico enferme-
ro.
CRITERIOS DE IDENTIFICACIÓN
• Aumento de la temperatura corporal por encima del límite normal.
• Piel enrojecida.
• Calor al tacto.
• Aumento de la frecuencia respiratoria.
• Taquicardia.
• Crisis convulsiva.
• Aumento de la temperatura corporal por encima del límite superior
de la normalidad (oral, 37.5 Cº; rectal, 38.1 Cº; axilar, 37 Cº); puede
acompañarse de piel enrojecida y caliente al tacto, y aumento de la
frecuencia cardiaca y respiratoria.
• Crisis convulsivas.
SITUACIONES DE RIESGO
• Aumento de la tasa metabólica.
• Deshidratación.
• Medicamentos.
• Enfermedad o traumatismo.
Relaciones sugeridas
NOC
0700 Control de la reacción transfusional sanguínea.
155
PACIENTE
CPC 00007 Hipertermia
0802 Estado de los signos vitales.
0602 Hidratación.
0800 Termorregulación.
NIC
3780 Tratamiento de la exposición al calor.
3900 Regulación de la temperatura.
6680 Monitorizar los signos vitales.
1610 Baño.
4120 Manejo de líquidos.
8100 Derivación.
Definición. Funcionamiento anormal del mecanismo de deglución asocia-
do con déficit de la estructura o función oral, faríngea o esofágica.
Aunque la NANDA lo considera un diagnóstico enfermero. En nuestro
ámbito es recomendable utilizar esta etiqueta como una complicación del
proceso clínico. Por tanto no es necesario identificar ningún factor etioló-
gico.
No es recomendable utilizar esta etiqueta como diagnóstico enfer-
mero.
CRITERIOS DE IDENTIFICACIÓN
Deterioro de la fase faríngea:
• Alteración de las posiciones de la cabeza.
• Elevación faríngea inadecuada.
• Rechazo de los alimentos.
• Fiebre inexplicable.
• Retraso en la deglución.
• Infecciones pulmonares recurrentes.
156
PACIENTE
CPC 00103 Deterioro de la deglución
• Voz gorgogeante.
• Reflujo nasal.
• Atragantamiento, tos o náuseas.
• Degluciones múltiples.
• Anomalía en la fase faríngea evidenciada por el estudio de la deglu-
ción.
Deterioro de la fase esofágica
• Ardor de estómago o dolor epigástrico.
• Aliento con olor ácido.
• Irritabilidad inexplicada a las horas de las comidas.
• Presencia de vómitos en la almohada.
• Deglución o rumiación repetitiva.
• Regurgitación del contenido gástrico o eructos húmedo.
• Tos nocturna o al despertarse.
• Observación de evidencias de dificultad en la deglución.
• Hiperextensión de la cabeza, arqueamiento durante o después de
las comidas.
• Anomalía en la fase esofágica demostrada por estudio de la deglu-
ción.
• Rechazo de los alimentos o limitación del volumen.
• Quejas de tener “algo atascado”.
• Hematemesis.
• Vómitos.
Relaciones sugeridas
NOC
1010 Estado de deglución.
1012 Estado de deglución: fase oral.
1008 Estado nutricional: ingestión alimentaria y de líquidos.
1009 Estado nutricional: ingestión de nutrientes.
0303 Autocuidados: comer.
157
NIC
1860 Terapia de deglución.
1050 Alimentación.
1056 Alimentación enteral por sonda.
1100 Manejo de la nutrición.
8100 Derivación
Definición. Sensación desagradable, como oleadas, que la persona sien-
te en la parte posterior de la garganta, en el epigastrio o en el abdomen y
que puede preceder al vómito o no.
Aunque la NANDA lo considera un diagnóstico enfermero. En nuestro
ámbito es recomendable utilizar esta etiqueta como una complicación del
proceso clínico.
No es recomendable utilizar esta etiqueta como diagnóstico enfer-
mero.
CRITERIOS DE IDENTIFICACIÓN
• Normalmente precede al vómito, pero puede ser experimentado tras
este o en su ausencia.
• Se acompaña de palidez, piel fría y sudorosa, aumento de la sali-
vación, taquicardia, estasis gástrico y diarrea.
• Se acompaña de movimientos de deglución de los músculos esque-
léticos.
Relaciones sugeridas
NOC
1808 Conocimiento: medicación.
1608 Control del síntoma.
NIC
1450 Manejo de las náuseas.
158
PACIENTE
CPC 00134 Náuseas
1570 Manejo del vómito.
1860 Terapia de la deglución.
8100 Derivación.
Definición. Describe un riesgo elevado o la situación experimentada por
una persona que se caracteriza por una insuficiente saturación del oxíge-
no plasmático originado por una hipoventilación alveolar, cambios en la
via aérea o desequilibrio en la ventilación - perfusión.
Frecuencia de aparición en Hospital a Domicilio (HAD): 52.9 %3
.
CRITERIOS DE IDENTIFICACIÓN
• pH < 7.35; PACO2> 48 mm Hg.
• Incremento del pulso o pulso irregular.
• Somnolencia, confusión, irritabilidad.
• Dismunición de la excerción de orina.
• Palidez, piel fría o cianótica.
SITUACIONES DE RIESGO
• EPOC.
• Neumonía.
• Atelecatasias.
• Edema pulmonar.
• Crisis asmática severa.
Relaciones sugeridas
NOC
0403 Estado respiratorio: ventilación.
159
PACIENTE
CPC Hipoxemia
3. Informe plan de pilotaje IMAD – Hospital a Domicilio. Valencia: Conselleria de Sanitat, 2005.
0740 Autocontrol del asma.
1608 Control del síntoma.
NIC
3320 Oxigenoterapia.
3140 Manejo de las vías aéreas.
8100 Derivación.
Definición. Describe un riesgo elevado o la situación experimentada por
una persona que se caracteriza por efectos secundarios o reacciones
adversas relacionados con la terapia medicamentosa.
Frecuencia de aparición en Hospital a Domicilio (HAD): 46.1 %4
. Valorar
si existe el diagnóstico enfermero conocimientos deficientes sobre la
medicación prescrita.
SITUACIÓN DE RIESGO
• Pacientes con terapia medicamentosa prolongada.
• Historia de hipersensibilidad o recciones adversas.
• Polifarmacia.
• Inestabilidad mental.
• Insuficencia hepática o renal.
Relaciones sugeridas
NOC
1808 Conocimientos: medicación.
NIC
5616 Enseñanza: medicamentos prescritos.
8100 Derivación.
160
PACIENTE
CPC Efectos adversos de la terapia medicamentosa
4. Informe plan de pilotaje IMAD – Hospital a Domicilio. Valencia: Conselleria de Sanitat, 2005.
Definición. Describe la situación experimentada por una persona que se
caracteriza por deterioro de la función respiratoria originado por un colap-
so alveolar, que puede finalizar en neumonía.
Frecuencia de aparición en Hospital a Domicilio (HAD): 44.4 %3
.
CRITERIOS DE IDENTIFICACIÓN
• Aumento de la frecuencia respiratoria.
• Fiebre.
• Tos productiva.
• Disminución o ausencia de ruidos pulmonares.
• Dolor torácico pleural.
• Taquicardia.
• Disnea marcada.
• Cianosis.
• Letargo.
SITUACIÓN DE RIESGO
• Edema pulmonar.
• Postoperatorio de cirugía abdominal o torácica.
• Inmovilización.
• Disminución de la conciencia.
• Alimentación nasogástrica.
• EPOC
• Debilidad.
• Producción disminuida de surfactante.
• Obstrucción aérea.
161
PACIENTE
CPC Atelectasias, Neumonía
Relaciones sugeridas
NOC
0403 Estado respiratorio: ventilación.
0204 Consecuencias de la inmovilidad: fisiológicas.
0740 Autocontrol del asma.
1608 Control del síntoma.
NIC
3350 Monitorización respiratoria, espirometría y pulsioximetría.
3320 Oxigenoterapia.
3140 Manejo de las vías aéreas.
8100 Derivación.
Definición. Describe la situación experimentada por una persona que se
caracteriza por la formación de trombos venosos originado por la estasis
sanguínea, lesión en la pared vascular, o alteración de la coagulación.
Frecuencia de aparición en Hospital a Domicilio (HAD): 44.%3
.
CRITERIOS DE IDENTIFICACIÓN
• Ausencia o disminución de los pulsos periféricos.
• Enrojecimiento, frialdad, calentamiento o cianosis inusual de la
zona.
• Repentino dolor torácico, disnea, taquipnea.
• Signo positivo de Homans (La dorsiflexión del pie causa dolor por
insuficiente circulación).
• Dolor en la zona.
SITUACIÓN DE RIESGO
• Inmovilidad mayor a 72 horas.
• Fracturas.
• Irritación química venosa.
162
PACIENTE
CPC Trombosis Venosa Profunda
• Historial de insuficiencia venosa. Venas varicosas.
• Obesidad.
• Cirugía mayor a 30 minutos.
• Cáncer.
• Fallo cardíaco.
• Edad superior a 40 años.
Relaciones NIC –NOC sugeridas
NOC
2102 Nivel de dolor.
0407 Perfusión tisular: periférica.
1608 Control del síntoma.
NIC
4066 Cuidados circulatorios: insuficiencia venosa.
8100 Derivación.
Definición. Describe el riesgo o la situación experimentada por una per-
sona que se caracteriza por un cuadro de trastorno del sistema de con-
ducción cardíaco, con alteraciones en la frecuencia cardiaca, el ritmo del
corazón, o ambos.
Frecuencia de aparición en Hospital a Domicilio (HAD): 28.3.%3
.
CRITERIOS DE IDENTIFICACIÓN
• Alteración de la frecuencia y ritmo cardíaco.
• Palpitaciones, dolor torácico, síncope, fatiga.
• Disminución de la SaO2.
• Alteraciones en el ECG.
• Hipotensión.
163
PACIENTE
CPC Arritmia
SITUACIÓN DE RIESGO
• Infarto de miocardio.
• Insuficiencia Cardiaca Congestiva.
• Estados de hipo e hiperfunción endocrina.
• Hipertensión intracraneal.
• Desequilibrio electrolítico.
• Cardiopatía aterosclerótica.
• Efectos medicamentos adeverso.
• EPOC.
• Miocardiopatía, valvulopatía.
• Anemia.
• Postoperatorio de cirugía cardiaca.
Relaciones NIC –NOC sugeridas
NOC
0405 Perfusión tisular: cardiaca.
0407 Perfusión tisular: periférica.
1608 Control del síntoma.
NIC
4040 Cuidados cardíacos.
4130 Monitorización de líquidos.
8100 Derivación.
CPC
Definición. Describe el riesgo o la situación experimentada por una per-
sona que se caracteriza por un cuadro de aporte sanguíneo insuficiente,
para cubrir las necesidades titulares, originado por un bombeo insuficien-
te de sangre por parte del corazón.
164
PACIENTE
CPC Bajo gasto cardiaco
Frecuencia de aparición en Hospital a Domicilio (HAD): 25.9 %3
.
CRITERIOS DE IDENTIFICACIÓN
• Alteración de la frecuencia del pulso.
• Aumento de la frecuencia respiratoria.
• Aumento o disminución de la presión sanguínea.
• Alteraciones de los sonidos cardiacos.
• Esterores pulmonares.
• Disminución de la eliminación de la orina(< 30 ml /hora).
• Alteraciones mentales.
• Piel fría, húmeda, cianótica, jaspeadas.
• Disminución del tiempo de relleno capilar.
• Distensión de las venas del cuello.
• Debilidad de pulsos periféricos.
• Disminución de la saturación de oxígeno venosa mixta.
• Alteraciones en el ECG.
• Hipotensión.
SITUACIÓN DE RIESGO
• Infarto de miocardio.
• Miocardiopatía, Valvulopatía.
• Taponamiento cardiaco.
• Hipotermia.
• SOC séptico.
• Coartación aórtica.
• EPOC.
• Hipovolemia.
• Bradicardia.
• Taquicardia.
• Insuficiencia cardiaca congestiva.
165
Relaciones NIC –NOC sugeridas
NOC
0405 Perfusión tisular: cardiaca.
0407 Perfusión tisular: periférica.
1608 Control del síntoma.
NIC
4040 Cuidados cardíacos.
4130 Monitorización de líquidos.
0840 Cambio de posición.
8100 Derivación.
Definición. Describe la situación experimentada por una persona que se
caracteriza por un cuadro en el que el nivel de glucosa sanguínea es
demasiado alto para la función metabólica.
Es conveniente antes de utilizar esta complicación potencial del
proceso clínico, valorar si existe problemas de déficit de conocimien-
tos o de manejo del régimen terapéutico. Se debe utilizar:
– cuando existe un alto riesgo de cetoacidosis diabética(≥ 300
mg dl) y requiere derivación y tratamiento médico no protoco-
lizado.
– Cuando el paciente cumple con el régimen terapéutico y existe
sospecha de desajuste en el tratamiento médico.
Si las hiperglucemias son muy frecuentes en el tiempo valore la pre-
sencia de Conducta Deficiente de Salud (página 56).
No es recomendable utilizar esta etiqueta en casos de hipergluce-
mias moderadas que son sintomáticas de un manejo ineficaz del régi-
men terapéutico.
CRITERIOS DE IDENTIFICACIÓN
• Aumento de la glucosa sanguínea por encima de los niveles normales.
166
PACIENTE
CPC Hiperglucemia
• Polidipsia. Polifagia.Poliuria.
• Prurito.
• Glucosuria.
• Cetoacedosis:
– Cetonuria.
– Cefalea. Náuseas. Vómitos.
– Respiración de Kussmaul. Taquicardia. Hipotensión.
SITUACIÓN DE RIESGO
• Diabetes mellitas.
• Nutrición parenteral.
• Sepsis.
• Alimentación enteral.
• Tratmiento con corticoides.
• Lesiones térmicas graves.
Relaciones sugeridas
NOC
0230 Nivel de glucemia.
NIC
4035 Muestra de sangre capilar.
2120 Manejo de la hiperglucemia.
8100 Derivación.
CPC
Definición. Describe la situación experimentada por una persona que se
caracteriza por un cuadro en el que el nivel de glucosa sanguínea es
demasiado bajo para la función metabólica.
167
PACIENTE
CPC Hipoglucemia
Es conveniente valorar si existe problemas de déficit de conoci-
mientos o de manejo del régimen terapéutico.
Si las hipoglucemias son muy frecuentes y el cumplimiento terapéu-
tico es adecuado valore si existe sospecha de desajuste en el trata-
miento médico.
CRITERIOS DE IDENTIFICACIÓN
• Nivel de glucosa sanguínea inferior a 60 mg/dl.
• Piel pálida, húmeda, fría.
• Taquicardia, Sudación profusa.
• Nerviosismo, irritabilidad.
• Pérdida de conocimiento.
• Falta de coordinación.
• Letargo, confusión.
SITUACIÓN DE RIESGO
• Diabetes mellitas con tratamiento farmacológico.
• Enfermedad de Addison.
• Hepatopatía.
Relaciones sugeridas
NOC
0230 Nivel de glucemia.
NIC
4035 Muestra de sangre capilar.
2130 Manejo de la hipoglucemia.
8100 Derivación.
168
RESULTADOS NOC4
El uso de la NOC
Los resultados NOC son definidos (Moorhead, 2004), como un estado,
conducta o percepción de un individuo, familia o comunidad medido a lo
largo de un continuo en respuesta a intervenciones de enfermería.
Existe una taxonomía de resultados de enfermería, la clasificación NOC,
que organiza los resultados en grupos o categorías basadas en semejan-
zas, diferencias y relaciones entre resultados.
La Clasificación de Resultados de Enfermería (NOC) se desarrolló para
medir el cambio en el estado del paciente con el propósito de evaluar los
efectos de intervenciones de enfermería.
Los resultados miden el estado de salud del paciente. La medición no se
limita a estados funcionales y fisiológicos, sino que incluye medidas de
estado psicosocial, de conocimiento y conductual. La NOC también inclu-
ye resultados para un paciente individual, un cuidador en el entorno domi-
ciliario, una familia y una comunidad.
La selección de resultados
La selección de resultados es una parte esencial del juicio terapéutico.
Una vez se ha realizado el juicio diagnóstico (identificado los
Complicaciones del proceso clínico y /o diagnósticos enfermeros), la
enfermera está preparada para considerar la elección de resultados del
paciente.
En la elección de un resultado se tienen en cuenta numerosos factores
incluyendo:
(1) el tipo de problema de salud,
(2) el diagnóstico o problema de salud con las características
definitorias y factores relacionados o factores de riesgo,
(3) características del paciente,
(4) preferencias del paciente y
(5) opciones de tratamiento
(1) Tipo de problema de salud
Las problemas de salud pueden clasificarse como:
(a) problemas de derivación que son cuestiones principalmente dirigidas
por otros proveedores de salud,
171
(b) complicaciones del proceso clínico que son cuestiones de colabora-
ción con otros proveedores, y
(c) diagnósticos enfermeros que son cuestiones para las que las enferme-
ras tienen la principal responsabilidad.
(a) problemas de derivación
Si el problema de salud recae en la primera categoría, la responsabilidad
principal de identificación del resultado deseado generalmente reside en
el proveedor de asistencia sanitaria responsable. Ejemplos de ello pueden
ser preocupaciones económicas derivadas a un trabajador social o preo-
cupaciones espirituales derivadas a un consejero espiritual. Sin embargo,
estos problemas pueden ir acompañados de otros, como ansiedad o
depresión, y precisar que la enfermera trabaje en colaboración con el pro-
veedor de asistencia sanitaria primaria para considerar los resultados.
(b) complicaciones del proceso clínico
Si el problema recae en la segunda categoría, la enfermera y otros prove-
edores responsables deberían trabajar juntos para identificar el resultado.
Esto ocurre con frecuencia cuando la enfermera y el fisioterapeuta o la
enfermera y el dietista colaboran respecto a los resultados que pueden
conseguirse en relación a un programa de rehabilitación o a instrucciones
respecto a una nueva dieta.
(c) diagnósticos enfermeros
Si el problema de salud es un diagnóstico enfermero, la enfermera debe-
ría asumir la principal responsabilidad en la identificación de los resulta-
dos del paciente relacionados con el diagnóstico.
(2) Diagnóstico o problema de salud
Si se toma como base para la selección del resultado un diagnóstico
enfermero, deben tenerse en cuenta la definición, las características defi-
nitorias y los factores relacionados o los factores de riesgo para un diag-
nóstico de riesgo.
Por ejemplo, a partir de la definición de Intolerancia a la actividad, la enfer-
mera podía escoger Tolerancia de la actividad, Resistencia, Energía psi-
comotora o Nivel de autocuidado como resultado adecuado a la defini-
ción.
Tolerancia de la actividad y Resistencia generalmente están relacionados
con energía fisiológica insuficiente, mientras que Energía psicomotora
172
está relacionado con energía psicológica insuficiente. El resultado Nivel
de autocuidado puede escogerse cuando la enfermera está más interesa-
da en la capacidad del paciente para llevar a cabo actividades de la vida
cotidiana u otras actividades de autocuidados.
Cuando se toman en cuenta las características definitorias, podrían esco-
gerse Signos vitales, Efectividad de la bomba cardíaca o Estado respira-
torio: ventilación como resultados intermedios que pueden mejorar si el
paciente aumenta su tolerancia a la actividad.
De nuevo, los factores relacionados podrían indicar la selección de resul-
tados intermedios como Movilidad, Estado respiratorio: ventilación o
Estado respiratorio: intercambio gaseoso, que están dirigidos a la inmovi-
lidad y al desequilibrio de oxígeno.
Utilizando la definición del diagnóstico Riesgo de intolerancia a la activi-
dad, la enfermera podría seleccionar los mismos resultados selecciona-
dos cuando se tuvo en cuenta la definición del diagnóstico Intolerancia a
la actividad. La determinación de los factores de riesgo pertinentes suge-
rirá otros posibles resultados como Conocimiento: actividad prescrita,
Conocimiento: mecanismos corporales, Efectividad de la bomba cardiaca,
Estado respiratorio: ventilación, Perfusión tisular: cardiaca, Perfusión tisu-
lar: pulmonar, Bienestar personal y Forma física.
Si se utiliza el diagnóstico médico como base para seleccionar un resul-
tado, cuando se elige un resultado deberían tenerse en cuenta los signos
y los síntomas del diagnóstico, así como los factores causales y otros
relacionados.
Por ejemplo, el edema pulmonar puede ser un síntoma del diagnóstico
médico Insuficiencia cardiaca congestiva y puede sugerir la elección de
Severidad de la sobrecarga de líquidos o Estado respiratorio: ventilación
como resultado.
El hecho de que más de un resultado pueda ser adecuado para un diag-
nóstico de enfermería específico apoya el proceso de toma de decisiones
clínicas. Cada vez que la enfermera escoge un resultado para un pacien-
te individual, esa enfermera está realizando un juicio clínico basado en el
diagnóstico y en uno o más de los factores descritos en los siguientes
apartados.
Algunos diagnósticos médicos y enfermeros pueden tener resultados con-
cretos asociados con frecuencia con el diagnóstico concreto. Por ejemplo,
si el diagnóstico es Diabetes mellitus, la monitorización y el control del
nivel de glucosa sanguínea son resultados médicos y enfermeros concre-
173
tos para los que la enfermera puede escoger el resultado de la NOC Nivel
de glucemia. Otros dos resultados concretos para este diagnóstico médi-
co y asociados con los diagnósticos enfermeros de Conocimientos defi-
cientes y Manejo efectivo del régimen terapéutico o Manejo inefectivo del
régimen terapéutico son Conocimiento: control de la diabetes y
Autocontrol de la diabetes.
(3) Características del paciente
Las características del paciente pueden afectar a la selección de un resulta-
do y al grado en el que puede conseguirse y, por ello, las características del
paciente han de mencionarse como factores de modificación de riesgo.
Las grandes áreas que deben tenerse en cuenta incluyen características per-
sonales, enfermedades o características relacionadas con la salud y recur-
sos disponibles para el paciente/usuario.
(a) Las características personales incluyen factores demográficos, procesos
psicológicos /cognitivos y creencias o valores personales y de salud.
Factores demográficos como la edad o el sexo pueden desempeñar un papel
importante en la selección de resultados. Algunos resultados de la NOC,
como los resultados de desarrollo infantil, son específicos para ciertas eda-
des, mientras que otros como Autocontrol de la enfermedad cardíaca no son
adecuados para niños. Algunos resultados, como Estado materno: puerperio
y Establecimiento de la lactancia materna, obviamente son para mujeres en
edad de crianza. La raza y la etnia pueden proporcionar información impor-
tante a la hora de considerar la predisposición y la respuesta a la enferme-
dad, y pueden indicar creencias culturales que pueden afectar a la acepta-
ción de resultados por parte del paciente o de la familia. El nivel de formación
es fácil de recoger y cuantificar y puede actuar como sustituto del nivel de lec-
tura, un aspecto importante en los resultados seleccionados relacionados
con el conocimiento y la participación en la asistencia sanitaria.
Las variables psicológicas y cognitivas pueden incluir estados emocionales
como depresión o ansiedad y procesos como concentración, memoria, pro-
cesado de información y toma de decisiones. Estos factores influyen en la
respuesta del paciente a la enfermedad, la capacidad para aprender y la
motivación, y por lo tanto cuando se seleccionan resultados para un pacien-
te concreto han de tenerse en cuenta.
Los resultados de conocimiento no se seleccionarán para pacientes sin
memoria a corto plazo o que no pueden procesar información, mientras que
Autocontrol de la ansiedad puede ser el resultado más importante para los
pacientes extremadamente ansiosos. La NOC tiene varios resultados que
174
pueden utilizarse para evaluar cambios en la función psicológica y cognitiva
en el tiempo.
(b) Variables relacionadas con la enfermedad o con la salud como gravedad
inicial de la enfermedad tienen una gran influencia en la selección y el logro
de resultados.
La enfermería utiliza varias medidas de agudeza del paciente, así como
medidas de uso de recursos, para valorar la gravedad de la enfermedad. La
gravedad de la enfermedad puede dictar la eliminación o inclusión de resul-
tados. Por ejemplo, Movilidad generalmente no se selecciona para un
paciente en una unidad de cuidados críticos, y Muerte confortable sería bas-
tante apropiado para un paciente en estado terminal. El estado funcional y la
capacidad para realizar actividades de la vida diaria también influyen en la
selección de resultados. Mientras que Ambular no es un resultado adecuado
para un paciente con tetraplejia, Movilidad puede ser importante, y
Autogestión de los cuidados puede ser adecuado si el paciente está mental-
mente alerta pero es incapaz de realizar actividades de autocuidado físico.
(c) Los recursos disponibles incluyen todos los recursos de apoyo que influ-
yen en la recuperación y en los resultados del paciente. Pueden incluir recur-
sos económicos, sociales, familiares y de salud que influyen en el estilo de
vida, condiciones de vida y acceso a la asistencia sanitaria. Deber tenerse en
cuenta a la hora de seleccionar resultados del paciente. La mejora de
Conducta del cumplimiento o Autocontrol de la diabetes no es probable que
se produzca si el paciente no tiene recursos económicos para adquirir las
medicaciones o el equipo necesario.
Los factores sociales incluyen apoyo social, relaciones sociales y la disponi-
bilidad de alguna persona para ayudar al paciente según sea necesario. Si
se carece de apoyo social o el cuidador ha de aprender múltiples procedi-
mientos y actividades para proporcionar cuidados domiciliarios, Severidad de
la soledad y Rendimiento del cuidador principal: cuidados directos pueden
ser resultados importantes.
(4) Preferencias del paciente
Incluir al paciente y / o a la familia en el proceso de toma de decisiones res-
pecto a la selección de resultados del paciente asegurará que se tengan en
cuenta las preferencias del paciente. Las preferencias estarán influidas por
las percepciones personales del paciente sobre la salud, objetivos deseados
de salud, preferencias respecto al tratamiento, creencias religiosas y creen-
cias y preferencias culturales. Cada uno de estos factores puede afectar
sobre los resultados que el paciente o la familia considera aceptables. Si el
175
paciente cree que su salud es satisfactoria, puede estar menos inclinado a
aceptar resultados cuyo objetivo es medir mejoras en la salud general como
Forma física. Si el paciente es incapaz de aceptar diagnósticos emocionales
o psicológicos a causa de creencias religiosas o culturales, no es probable
que considere aceptables resultados como Equilibrio emocional o Nivel de
depresión.
Además de colaborar en la selección del resultado, el paciente debería par-
ticipar en la determinación de dónde quiere estar sobre la escala del resulta-
do, es decir, de cuánto cambio quiere conseguir. Puede ser importante para
la enfermera ayudar al paciente a aceptar un resultado realista.
Un ejemplo podría ser un paciente con enfisema pulmonar que quiere con-
seguir un 5 (no comprometido) en el resultado Estado respiratorio: ventilación
cuando esto es fisiológicamente imposible.
(5) Tratamiento potencial
En la selección de un resultado se debe considerar la disponibilidad de inter-
venciones y la posibilidad de ser suministradas. La Clasificación de
Intervenciones de Enfermería (NIC) incluye intervenciones enfermeras y
recomendaciones del nivel requerido para el personal de enfermería que pro-
porciona la intervención.
Un primer paso es determinar si una intervención está disponible para con-
seguir un resultado para un paciente concreto.
Si el diagnóstico para un paciente es Confusión crónica secundaria a enfer-
medad de Alzheimer, las intervenciones enfermeras tendrían que poder ayu-
dar al paciente a mantener su estado cognitivo actual durante un periodo, aun-
que con las intervenciones actuales puede esperarse una eventual disminu-
ción en la cognición. En tal caso, no sería probable que la enfermera seleccio-
nara Orientación cognitiva o Cognición como resultados para los que se ha
proyectado mejora; y a medida que la cognición disminuye pueden ser impor-
tantes resultados relacionados con la nutrición, la seguridad y la higiene.
De manera parecida, si un paciente tiene el diagnóstico de Incontinencia uri-
naria total secundaria a tetraplejia, actualmente no hay tratamientos que
satisfagan el resultado Continencia urinaria; sin embargo, mantener un
paciente en la puntuación 5 en Severidad de la infección (ninguno) o
Integridad tisular: piel y membranas mucosas (no comprometido) puede ser
el resultado importante.
Un segundo factor a tener en cuenta es si se dispone del personal de enfer-
mería necesario para realizar una intervención.
176
Gravemente comprometido (1), Sustancialmente comprometi-
do (2), Moderadamente comprometido (3), Levemente
comprometido (4), No comprometido (5)
Grave (1), Sustancial (2), Moderado (3), Leve (4), Ninguno (5)
0001 RESISTENCIA
Definición: Capacidad para mantener la actividad
Escala
Indicador Descripción
000101 Realización de la rutina habitual 1 2 3 4 5
000103 Aspecto descansado 1 2 3 4 5
000109 Recuperación de la energía con el descanso 1 2 3 4 5
Escala
000110 Agotamiento 1 2 3 4 5
0003 DESCANSO
Definición: Grado y patrón de la disminución de actividades para la recu-
peración mental y física
Escala
Indicador Descripción
000301 Tiempo de descanso 1 2 3 4 5
000303 Calidad del descanso 1 2 3 4 5
000304 Descansado físicamente 1 2 3 4 5
000305 Descansado mentalmente 1 2 3 4 5
000306 Consumo de fármacos psicotrópicos 1 2 3 4 5
177
NOC
Gravemente comprometido (1), Sustancialmente comprometido
(2), Moderadamente comprometido (3), Levemente
comprometido (4), No comprometido (5)
Gravemente comprometido (1), Sustancialmente comprometi-
do (2), Moderadamente comprometido (3), Levemente
comprometido (4) y No comprometido (5)
Grave (1), Sustancial (2), Moderado (3), Leve (4) y Ninguno (5)
Gravemente comprometido (1), Sustancialmente comprometido
(2), Moderadamente comprometido (3),
Levementecomprometido (4) y No comprometido (5)
0004 SUEÑO
Definición: Suspensión periódica natural de la conciencia durante la cual
se recupera el organismo
Escala
Indicador Descripción
000401 Horas de sueño (como mínimo 5h/24h) 1 2 3 4 5
000404 Calidad de sueño 1 2 3 4 5
000405 Eficiencia del sueño (tasa de tiempo de 1 2 3 4 5
sueño/tiempo total destinado a dormir)
000415 Sueño reparador 1 2 3 4 5
Escala
000406 Sueño ininterrumpido 1 2 3 4 5
000409 Siesta inapropiada 1 2 3 4 5
000417 Dependencia de las ayudas para dormir 1 2 3 4 5
0005 TOLERANCIA DE LA ACTIVIDAD
Definición: Respuestas de los movimientos corporales que consumen
energía implicados en las actividades necesarias o deseadas.
Escala
Indicador Descripción
000508 Esfuerzo respiratorio en respuesta a la actividad 1 2 3 4 5
000510 Distancia de caminata 1 2 3 4 5
000511 Tolerancia a subir escaleras 1 2 3 4 5
000518 Facilidad para realizar las actividades 1 2 3 4 5
de la vida diaria
000514 Habilidad para hablar durante el ejercicio 1 2 3 4 5
178
NOC
Desviación grave del rango esperado (1), Desviación sustan-
cial del rango esperado (2), Desviación moderada del rango
normal (3), Desviación leve del rango normal (4),
Sin desviación del rango normal (5)
0113 ENVEJECIMIENTO FÍSICO
Definición: Cambios físicos que se producen con el proceso natural de
envejecimiento
Escala
Indicador Descripción
011301 Masa corporal media 1 2 3 4 5
011304 Capacidad vital 1 2 3 4 5
011306 Elasticidad cutánea 1 2 3 4 5
011307 Fuerza muscular 1 2 3 4 5
011308 Agudeza auditiva 1 2 3 4 5
011309 Agudeza visual 1 2 3 4 5
011318 Memoria 1 2 3 4 5
011319 Capacidad cognitiva 1 2 3 4 5
011320 Movilidad articular 1 2 3 4 5
011321 Agudeza sensitiva 1 2 3 4 5
011322 Tono de músculo vesical 1 2 3 4 5
011323 Resistencia a infecciones 1 2 3 4 5
179
NOC
Gravemente comprometido (1) Sustancialmente comprometido
(2) Moderadamente comprometido (3) Levemente
comprometido (4) No comprometido (5)
Gravemente comprometido (1) Sustancialmente comprometido
(2) Moderadamente comprometido (3) Levemente
comprometido (4) No comprometido(5)
0200 AMBULAR
Definición: Capacidad para caminar de un sitio a otro independientemen-
te con o sin mecanismos de ayuda
Escala
Indicador Descripción
020003 Camina a paso lento 1 2 3 4 5
020004 Camina a paso moderado 1 2 3 4 5
020005 Camina a paso rápido 1 2 3 4 5
020006 Sube escaleras 1 2 3 4 5
020007 Baja escaleras 1 2 3 4 5
020010 Camina distancias cortas 100m. 1 2 3 4 5
0201 AMBULAR SILLAS DE RUEDAS
Definición: Capacidad para moverse de un sitio a otro en silla de ruedas
Escala
Indicador Descripción
020101 Se traslada de y hacia la silla de ruedas 1 2 3 4 5
020103 Impulsa la silla de ruedas en distancias cortas 1 2 3 4 5
020104 Impulsa la silla de ruedas en distancia 1 2 3 4 5
moderadas
020105 Impulsa la silla de ruedas en larga distancia 1 2 3 4 5
020107 Maniobra para entrar 1 2 3 4 5
180
NOC
Gravemente comprometido (1), Sustancialmente comprometido
(2), Moderadamente comprometido (3), Levemente
comprometido (4), No comprometido (5)
Grave (1), Sustancial (2), Moderado (3), Leve (4), Ninguno (5)
Gravemente comprometido (1), Sustancialmente comprometido
(2), Moderadamente comprometido (3), Levemente
comprometido (4), No comprometido (5)
0202 EQUILIBRIO
Definición: Capacidad para mantener el equilibrio del cuerpo.
Escala
Indicador Descripción
020201 Equilibrio en bipedestación 1 2 3 4 5
020202 Equilibrio en sedestación 1 2 3 4 5
020203 Equilibrio al caminar 1 2 3 4 5
Escala
020205 Tambaleo 1 2 3 4 5
020206 Mareo 1 2 3 4 5
020207 Agitación 1 2 3 4 5
020208 Tropiezo 1 2 3 4 5
0203 POSICIÓN CORPORAL: AUTOINICIADA
Definición: Capacidad para cambiar de posición corporal independiente-
mente con o sin mecanismo de ayuda.
Escala
Indicador Descripción
020302 De tumbado a sentado 1 2 3 4 5
020303 De sentado a tumbado 1 2 3 4 5
020304 De sentado a ponerse de pie. 1 2 3 4 5
020305 De pie a sentado. 1 2 3 4 5
020311 De un costado a otro costado 1 2 3 4 5
181
NOC
Gravemente comprometido (1) Sustancialmente comprometido
(2) Moderadamente comprometido (3) Levemente
comprometido (4) No comprometido (5)
Grave (1) Sustancial(2) Moderado(3) Leve(4) Ninguno(5)
0204 CONSECUENCIAS DE LA INMOVILIDAD: FISIOLÓGICAS
Definición: Gravedad del compromiso en el funcionamiento fisiológico
debido a la alteración de la movilidad física.
Escala
Indicador Descripción
020401 Úlceras por presión. 1 2 3 4 5
020402 Estreñimiento. 1 2 3 4 5
020403 Impactación fecal. 1 2 3 4 5
020408 Retención urinaria 1 2 3 4 5
020418 Trombosis venosa. 1 2 3 4 5
020419 Congestión pulmonar 1 2 3 4 5
Escala
020404 Estado nutricional. 1 2 3 4 5
020411 Fuerza muscular. 1 2 3 4 5
020412 Tono muscular. 1 2 3 4 5
020414 Alteración del movimiento articular. 1 2 3 4 5
020420 Ineficacia de la tos. 1 2 3 4 5
020421 Capacidad vital. 1 2 3 4 5
182
NOC
Grave (1), Sustancial (2), Moderado (3), Leve (4), Ninguno (5)
Gravemente comprometido (1), Sustancialmente comprometido
(2), Moderadamente comprometido (3), Levemente
comprometido (4), No comprometido (5)
Gravemente comprometido (1), Sustancialmente comprometido
(2), Moderadamente comprometido (3), Levemente
comprometido (4), No comprometido (5)
0205 CONSECUENCIAS DE LA INMOVILIDAD: PSICOCOGNITIVAS
Definición: Gravedad del compromiso en el funcionamiento psicocognitivo
debido a la alteración de la movilidad física.
Escala
Indicador Descripción
020504 Distorsiones de la percepción 1 2 3 4 5
020510 Imagen corporal negativa 1 2 3 4 5
Escala
020502 Orientación cognitiva 1 2 3 4 5
020508 Transtornos del sueño 1 2 3 4 5
020511 Capacidad para actuar 1 2 3 4 5
0208 MOVILIDAD
Definición: Capacidad para moverse con resolución en el entorno inde-
pendientemente con o sin mecanismo de ayuda.
Escala
Indicador Descripción
20801 Mantenimiento del equilibrio 1 2 3 4 5
20802 Mantenimiento de la posición corporal 1 2 3 4 5
20804 Movimiento articular 1 2 3 4 5
20805 Realización del traslado 1 2 3 4 5
20806 Ambulación 1 2 3 4 5
20809 Coordinación 1 2 3 4 5
20810 Marcha 1 2 3 4 5
20814 Se mueve con facilidad 1 2 3 4 5
183
NOC
Gravemente comprometido (1), Sustancialmente comprometido
(2), Moderadamente comprometido (3), Levemente
comprometido (4), No comprometido
0300 AUTOCUIDADOS: ACTIVIDADES INSTRUMENTALES DE LA
VIDA DIARIA
Definición: Capacidad para realizar la mayoría de las tareas básicas y
las actividades de cuidado personal independientemente con o sin meca-
nismos de ayuda.
Escala
Indicador Descripción
030001 Come 1 2 3 4 5
030002 Se viste 1 2 3 4 5
030003 Uso del inodoro 1 2 3 4 5
030004 Se baña 1 2 3 4 5
030005 Se peina 1 2 3 4 5
030007 Higiene 1 2 3 4 5
030007 Higiene bucal 1 2 3 4 5
030008 Deambulación:camina 1 2 3 4 5
030009 Deambulación: en silla de ruedas 1 2 3 4 5
030010 Realización del traslado 1 2 3 4 5
030012 Cambia de posición 1 2 3 4 5
184
NOC
Gravemente comprometido (1), Sustancialmente comprometido
(2), Moderadamente comprometido (3), Levemente
comprometido (4), No comprometido
0301 AUTOCUIDADOS: BAÑO
Definición: Capacidad para lavar el propio cuerpo independientemente
con o sin mecanismos de ayuda.
Escala
Indicador Descripción
030101 Entra y sale del cuarto de baño 1 2 3 4 5
030102 Obtiene los suministros para el baño 1 2 3 4 5
030105 Regula la temperatura del agua 1 2 3 4 5
030107 Se lava en el lavabo 1 2 3 4 5
030108 Se baña en la bañera 1 2 3 4 5
030109 Se baña en la ducha 1 2 3 4 5
030110 Lava el cuerpo 1 2 3 4 5
030111 Seca el cuerpo 1 2 3 4 5
030113 Se lava la cara 1 2 3 4 5
030114 Se lava la parte superior del cuerpo 1 2 3 4 5
030115 Se lava la parte inferior del cuerpo 1 2 3 4 5
030116 Se lava la zona perianal 1 2 3 4 5
185
NOC
Gravemente comprometido (1), Sustancialmente comprometido
(2), Moderadamente comprometido (3), Levemente
comprometido (4), Levemente comprometido (5)
Gravemente comprometido (1), Sustancialmente comprometido
(2), Moderadamente comprometido (3), Levemente
comprometido (4), No comprometido (5).
0303 AUTOCUIDADOS: COMER
Definición: Capacidad para preparar e ingerir comida y líquidos indepen-
dientemente con o sin mecanismos de ayuda.
Escala
Indicador Descripción
030301 Prepara comida 1 2 3 4 5
030303 Maneja utensilios 1 2 3 4 5
030306 Se lleva comida a la boca con los dedos 1 2 3 4 5
030309 Bebe de una taza o vaso 1 2 3 4 5
030310 Coloca la comida en la boca 1 2 3 4 5
030312 Mastica la comida 1 2 3 4 5
030313 Deglute la comida 1 2 3 4 5
0305 AUTOCUIDADOS: HIGIENE
Definición: Capacidad para mantener la higiene corporal y un buen aspec-
to independientemente con o sin mecanismos de ayuda.
Escala
Indicador Descripción
030501 Se lava las manos 1 2 3 4 5
030503 Se limpia la zona perineal 1 2 3 4 5
030505 Mantiene la nariz limpia 1 2 3 4 5
030508 Se lava el pelo 1 2 3 4 5
030509 Se peina o cepilla el pelo 1 2 3 4 5
030510 Se afeita 1 2 3 4 5
030512 Se cuida las uñas 1 2 3 4 5
030514 Mantiene una apariencia pulcra 1 2 3 4 5
186
NOC
Gravemente comprometido (1) Sustancialmente comprometido
(2) Moderadamente comprometido (3) Levemente
comprometido (4) No comprometido (5)
Gravemente comprometido (1), Sustancialmente comprometido
(2), Moderadamente comprometido (3), Levemente
comprometido (4), Levemente comprometido (5)
0308 AUTOCUIDADOS: HIGIENE BUCAL
Definición: Capacidad para cuidarse la boca y los dientes independiente-
mente con o sin mecanismos de ayuda
Escala
Indicador Descripción
030801 Se cepilla los dientes 1 2 3 4 5
030803 Se lava la boca, las encías y la lengua 1 2 3 4 5
030804 Limpia la dentadura o las prótesis dental 1 2 3 4 5
030807 Acude al dentista de forma regular 1 2 3 4 5
0309 AUTOCUIDADOS: MEDICACIÓN PARENTERAL
Definición: Capacidad para administrar medicaciones parenterales para
cumplir los objetivos terapéuticos independientemente con o sin mecanis-
mos de ayuda.
Escala
Indicador Descripción
030901 Identifica la medicación 1 2 3 4 5
030902 Describe la dosis correcta 1 2 3 4 5
030905 Describe las precauciones de uso de la 1 2 3 4 5
medicación
030906 Describe los efectos secundarios de la 1 2 3 4 5
medicación
030907 Utiliza ayudas para memorizar 1 2 3 4 5
030911 Administra correctamente la medicación 1 2 3 4 5
030912 Almacena correctamente la medicación 1 2 3 4 5
030913 Desecha la medicación de forma apropiada 1 2 3 4 5
030914 Mantiene la asepia 1 2 3 4 5
030915 Supervisa las zonas de punción 1 2 3 4 5
187
NOC
Gravemente comprometido (1) Sustancialmente comprometido
(2) Moderadamente comprometido (3) Levemente
comprometido (4) No comprometido (5)
0310 AUTOCUIDADOS: USO DEL INODORO
Definición: Capacidad para utilizar el inodoro independientemente con o
sin mecanismos de ayuda.
Escala
Indicador Descripción
031001 Reconoce y responde a la repleción vesical 1 2 3 4 5
031002 Reconoce y responde a la urgencia para defecar 1 2 3 4 5
031003 Entra y sale del cuarto de baño 1 2 3 4 5
031004 Se quita la ropa 1 2 3 4 5
031005 Se coloca en el inodoro o en el orinal 1 2 3 4 5
031007 Se limpia después de orinar o defecar 1 2 3 4 5
031008 Se levanta del inodoro 1 2 3 4 5
031009 Se ajusta la ropa después de usar el inodoro 1 2 3 4 5
188
NOC
Gravemente comprometido (1), Sustancialmente comprometi-
do (2), Moderadamente comprometido (3), Levemente
comprometido (4), No comprometido (1)
0313 NIVEL DE AUTOCUIDADO
Definición: Capacidad para realizar actividades de cuidados personales y
tareas domésticas básicas.
Escala
Indicador Descripción
031301 Se baña 1 2 3 4 5
031302 Se viste 1 2 3 4 5
031303 Prepara comida y bebida para ingerir 1 2 3 4 5
031304 Se alimenta 1 2 3 4 5
031305 Mantiene higiene personal 1 2 3 4 5
031306 Mantiene higiene bucal 1 2 3 4 5
031307 Se asea de manera independiente. 1 2 3 4 5
031308 controla las medicaciones orales y tópicas 1 2 3 4 5
para satisfacer objetivos terapéuticos.
031309 Controla las medicaciones parenterales 1 2 3 4 5
para satisfacer objetivos terapéuticos.
031310 Realiza tareas domésticas 1 2 3 4 5
031311 Mantiene la economía del hogar. 1 2 3 4 5
031312 Dispone su propio transporte 1 2 3 4 5
031313 Obtiene los artículos necesarios para la casa. 1 2 3 4 5
031314 Reconoce necesidades de seguridad en el hogar 1 2 3 4 5
189
NOC
Grave (1), Sustancial (2), Moderado (3), Leve (4) y Ninguno (5)
Gravemente comprometido (1), Sustancialmente comprometido
(2), Moderadamente comprometido (3), Levemente
comprometido (4) y No comprometido (5)
0403 ESTADO RESPIRATORIO: VENTILACIÓN
Definición: Movimiento de entrada y salida del aire en los pulmones.
Escala
Indicador Descripción
040301 Frecuencia respiratoria 1 2 3 4 5
040303 Profundidad de la respiración 1 2 3 4 5
040306 Movilización del esputo hacia fuera de las 1 2 3 4 5
vías respiratorias
040325 Capacidad vital 1 2 3 4 5
Escala
040309 Utilización de los músculos accesorios 1 2 3 4 5
040310 Ruidos respiratorios patológicos 1 2 3 4 5
040312 Respiración con labios apretados 1 2 3 4 5
040313 Disnea de reposo 1 2 3 4 5
040314 Disnea de esfuerzo 1 2 3 4 5
040315 Ortopnea 1 2 3 4 5
040316 Dificultad respiratoria 1 2 3 4 5
190
NOC
Grave (1), Sustancial (2), Moderado (3), Leve (4) y Ninguno (5)
Gravemente comprometido (1), Sustancialmente comprometido
(2), Moderadamente comprometido (3), Levemente
comprometido (4) y No comprometido (5)
0405 PERFUSIÓN TISULAR: CARDIACA
Definición: Adecuación del flujo sanguíneo a través de los vasos corona-
rios para mantener la función cardiaca.
Escala
Indicador Descripción
040503 Índice cardiaco 1 2 3 4 5
040509 Hallazgos del electrocardiagrama 1 2 3 4 5
040516 Frecuencia cardiaca apical 1 2 3 4 5
040516 Frecuencia del pulso radial 1 2 3 4 5
040517 Presión sanguínea sistólica 1 2 3 4 5
040518 Presión sanguínea diastólica 1 2 3 4 5
Escala
040504 Angina 1 2 3 4 5
040505 Diaforesis profusa 1 2 3 4 5
191
NOC
Nunca demostrado (1), Raramente demostrado (2), A veces
demostrado (3), Frecuentemente demostrado (4), Siempre
demostrado (5)
Grave (1), Sustancial (2), Moderado (3), Leve (4), Ninguno (5)
Gravemente comprometido (1), Sustancialmente comprometido
(2), Moderadamente comprometido (3), Levemente comprome-
tido (4), No comprometido (5)
0407 PERFUSIÓN TISULAR: PERIFÉRICA
Definición: Adecuación del flujo sanguíneo a través de los pequeños
vasos de las extremidades para mantener la función tisular.
Escala
Indicador Descripción
040706 Sensibilidad 1 2 3 4 5
040707 Coloración de piel 1 2 3 4 5
070709 Piel intacta 1 2 3 4 5
Escala
040712 Edema periférico 1 2 3 4 5
040713 Dolor localizado en extremidades 1 2 3 4 5
0500 CONTINENCIA INTESTINAL
Definición: Control de la eliminación de heces procedentes del intestino.
Escala
Indicador Descripción
050002 Mantiene el control de la eliminación de heces 1 2 3 4 5
050004 Diarrea 1 2 3 4 5
050005 Estreñimiento 1 2 3 4 5
050012 Llega al baño con facilidad y de forma 1 2 3 4 5
independiente antes de la defecación
050013 Ingiere una cantidad de líquidos adecuada 1 2 3 4 5
050014 Ingiere una cantidad de fibra adecuada 1 2 3 4 5
192
NOC
Gravemente comprometido (1), Sustancialmente comprometido
(2), Moderadamente comprometido (3), Levemente
comprometido (4), No comprometido (5)
0501 ELIMINACIÓN INTESTINAL
Definición: Formación y evacuación de heces.
Escala
Indicador Descripción
050105 Heces blandas y formadas 1 2 3 4 5
050112 Facilidad de eliminación de las heces 1 2 3 4 5
050113 Control de la eliminación de heces 1 2 3 4 5
050121 Eliminación fecal sin ayuda 1 2 3 4 5
Escala
050108 Grasa en heces 1 2 3 4 5
050109 Sangre en las heces 1 2 3 4 5
050110 Estreñimiento 1 2 3 4 5
050111 Diarrea 1 2 3 4 5
050123 Abuso de ayuda para la eliminación 1 2 3 4 5
050128 Dolor con el paso de las heces 1 2 3 4 5
193
Grave (1), Sustancial (2), Moderado (3), Leve (4), Ninguno (5).
NOC
Nunca demostrado (1), Raramente demostrado (2),
A veces demostrado (3), Frecuentemente demostrado (4),
Siempre demostrado (5)
0502 CONTINENCIA URINARIA
Definición: Control de la eliminación de orina de la vejiga.
Escala
Indicador Descripción
050201 Reconoce la urgencia miccional. 1 2 3 4 5
050203 Responde de forma adecuada a la urgencia. 1 2 3 4 5
050208 Capaz de comenzar e interrumpir el 1 2 3 4 5
chorro de orina.
050209 Vacía la vejiga completamente. 1 2 3 4 5
050211 Pérdidas de orina al aumentar la presión 1 2 3 4 5
abdominal (estornudar, reir...)
050212 Ropa interior mojada durante el día. 1 2 3 4 5
050213 Ropa interior o de cama mojada durante 1 2 3 4 5
la noche.
050215 Ingesta hídrica en el rango esperado. 1 2 3 4 5
194
NOC
Grave (1) Sustancial (2) Moderado (3) Leve (4) Ninguno(5)
Gravemente comprometido (1), Sustancialmente comprometido
(2), Moderadamente comprometido (3), Levemente
comtrometido (4), No comprometido (5)
0602 HIDRATACIÓN
Definición: Agua adecuada en los compartimentos intracelular y extrace-
lular del organismo.
Escala
Indicador Descripción
060201 Piel tersa 1 2 3 4 5
060202 Membranas mucosas húmedas. 1 2 3 4 5
060211 Diuresis 1 2 3 4 5
060215 Ingesta adecuada de líquidos 1 2 3 4 5
060218 Función cognitiva 1 2 3 4 5
Escala
060205 Sed 1 2 3 4 5
060219 Orina oscura 1 2 3 4 5
060221 Pulso rápido 1 2 3 4 5
060223 Pérdida de peso 1 2 3 4 5
060226 Diarrea 1 2 3 4 5
195
NOC
Grave (1), Sustancial (2), Moderado (3), Leve (4), Ninguno (5)
0700 REACCIÓN TRANSFUSIONAL SANGUÍNEA
Definición: Gravedad de las complicaciones con la reacción transfusional
sanguínea.
Escala
Indicador Descripción
070004 Frecuencia cardiaca apical aumentada. 1 2 3 4 5
070005 Cambio en la PA 1 2 3 4 5
070007 Fiebre. 1 2 3 4 5
070008 Tiritona. 1 2 3 4 5
070009 Prurito. 1 2 3 4 5
070010 Erupción. 1 2 3 4 5
070011 Inquietud. 1 2 3 4 5
070012 Ansiedad. 1 2 3 4 5
070013 Malestar general. 1 2 3 4 5
070014 Dolor torácico. 1 2 3 4 5
196
NOC
Siempre demostrado (1) Frecuentemente demostrado (2) A
veces demostrado (3) Raramente demostrado (4) Nunca
demostrado (5)
Nunca demostrado (1), Raramente demostrado (2), A veces
demostrado (3), Frecuentemente demostrado (4),
Siempre demostrado (5)
0704 AUTOCONTROL DEL ASMA
Definición: Acciones personales para revertir la situación inflamatoria
secundaria a la constricción bronquial de las vías respiratorias.
Escala
Indicador Descripción
070403 Realiza las modificaciones ambientales 1 2 3 4 5
apropiadas.
070406 Duerme toda la noche sin tos o sibilantes 1 2 3 4 5
nocturnos.
070407 Se levanta descansado. 1 2 3 4 5
070409 Refiere un estado sin síntomas con la 1 2 3 4 5
pauta de tratamiento mínima.
070410 Monitoriza habitualmente el flujo máximo. 1 2 3 4 5
070413 Demuestra un uso apropiado de inhaladores, 1 2 3 4 5
difusores y nebulizadores.
070414 Autocontrola las exacerbaciones. 1 2 3 4 5
070415 Contacta con los profesionales sanitarios 1 2 3 4 5
cuando los síntomas no se controlan.
Escala
070422 Visitas de urgencia relacionadas con el 1 2 3 4 5
asma durante el último año
070423 Hospitalizaciones relacionadas con el 1 2 3 4 5
asma durante el último año
070424 Ausencias escolares relacionadas con el 1 2 3 4 5
asma durante el último curso escolar
070425 Ausencias laborales relacionadas con el 1 2 3 4 5
asma durante el último año
197
NOC
Grave (1), Sustancial (2), Moderado (3), Leve (4), Ninguno (5)
Gravemente comprometido (1), Sustancialmente comprometido
(2), Moderadamente comprometido (3), Levemente
comtrometido (4), No comprometido (5)
0800 TERMOREGULACIÓN
Definición: Equilibrio entre la producción, la ganancia y la pérdida de calor.
Escala
Indicador Descripción
080009 Piloerección cutánea cuando hace frío 1 2 3 4 5
080010 Sudoración con el calor 1 2 3 4 5
080011 Tiritona con el frío 1 2 3 4 5
080012 Frecuencia del pulso radial 1 2 3 4 5
080013 Frecuencia respiratoria 1 2 3 4 5
Escala
080001 Temeratura cutánea aumentada 1 2 3 4 5
080019 Hipertermia 1 2 3 4 5
080020 Hipotermia 1 2 3 4 5
080003 Cefalea 1 2 3 4 5
080006 Somnolencia 1 2 3 4 5
080007 Cambios de coloración cutánea 1 2 3 4 5
198
NOC
Gravemente comprometido (1), Sustancialmente comprometido
(2), Moderadamente comprometido (3), Levemente
comprometido (4) y No comprometido (5)
Gravemente comprometido (1), Sustancialmente comprometido
(2), Moderadamente comprometido (3), Levemente
comprometido (4) y No comprometido (5)
0902 COMUNICACIÓN
Definición: Recepción, interpretación y expresión de mensajes verbales,
escritos y no verbales.
Escala
Indicador Descripción
090201 Utiliza lenguaje escrito 1 2 3 4 5
090202 Utiliza lenguaje hablado 1 2 3 4 5
090206 Reconoce los mensajes recibidos 1 2 3 4 5
090210 Interpretación exacta de los mensajes recibidos 1 2 3 4 5
090208 Intercambia mensajes con los demás 1 2 3 4 5
0906 TOMA DE DECISIONES
Definición: Capacidad para realizar juicios y escoger entre dos o más
alternativas.
Escala
Indicador Descripción
090601 Identifica información relevante 1 2 3 4 5
090602 Identifica alternativas 1 2 3 4 5
090603 Identifica las consecuencias. 1 2 3 4 5
090604 Identifica recursos necesarios para apoyar 1 2 3 4 5
cada alternativa
009608 Compara alternativas 1 2 3 4 5
199
NOC
Desviación grave del rango normal (1), Desviación Sustancial
del rango normal (2), Desviación Moderada del rango
normal (3), Desviación Leve del rango normal (4)
y Sin desviación del rango normal (5)
Gravemente comprometido (1), Sustancialmente comprometido
(2), Moderadamente comprometido (3), Levemente
comprometido (4), No comprometido (5)
0908 MEMORIA
Definición: Capacidad para recuperar y comunicar la información previa-
mente almacenada.
Escala
Indicador Descripción
090801 Recuerda información inmediata de forma precisa 1 2 3 4 5
090802 Recuerda información reciente de forma precisa 1 2 3 4 5
090803 Recuerda información remota de forma precisa 1 2 3 4 5
1004 ESTADO NUTRICIONAL
Definición: Capacidad por la que los nutrientes pueden cubrir las necesi-
dades metabólicas.
Escala
Indicador Descripción
100402 Ingestión alimentaria 1 2 3 4 5
100408 Ingestión de líquidos 1 2 3 4 5
100405 Relación peso/talla 1 2 3 4 5
200
NOC
No adecuada (1), Ligeramente adecuada (2), Moderadamente
adecuada (3), Sustancialmente adecuada (4)
y Completamente adecuada (5)
No adecuada (1), Ligeramente adecuada (2), Moderadamente
adecuada (3), Sustancialmente adecuada (4)
y Completamente adecuada (5)
1008 ESTADO NUTRICIONAL: INGESTIÓN ALIMENTARIA
Y DE LÍQUIDOS
Definición: Cantidad de ingestión alimentaria y líquida durante un periodo
de 24 horas.
Escala
Indicador Descripción
100801 Ingestión alimentaria oral 1 2 3 4 5
100802 Ingestión alimentaria por sonda 1 2 3 4 5
100803 Ingestión de líquidos orales 1 2 3 4 5
100804 Administración de líquidos I.V. 1 2 3 4 5
1009 ESTADO NUTRICIONAL: INGESTIÓN DE NUTRIENTES
Definición: Idoneidad de la pauta habitual de ingesta de nutrientes.
Escala
Indicador Descripción
100901 Ingestión calórica 1 2 3 4 5
100902 Ingestión protéica 1 2 3 4 5
100903 Ingestión de grasas 1 2 3 4 5
100904 Ingestión de carbohidratos 1 2 3 4 5
100905 Ingestión de fibra 1 2 3 4 5
201
NOC
Grave (1), Sustancial (2), Moderado (3), Leve (4), Ninguno (5).
Gravemente comprometido (1), Sustancialmente comprometido
(2), Moderadamente comprometido (3), Levemente
comprometido (4), No comprometido (5)
1012 ESTADO DE DEGLUCIÓN: FASE ORAL
Definición: Preparación, contención y movimiento posterior de líquidos y/o
sólidos en la boca.
Escala
Indicador Descripción
101201 Mantiene la comida en la boca 1 2 3 4 5
101202 Controla las secreciones orales 1 2 3 4 5
101203 Formación de bolo alimentario 1 2 3 4 5
101205 Capacidad de masticación 1 2 3 4 5
101206 Distribución del bolo a la hopofaringe 1 2 3 4 5
en concordancia con el reflejo de deglución
101207 Capacidad para limpiar la cavidad oral 1 2 3 4 5
101209 Cierre de los labios 1 2 3 4 5
Escala
101208 Atragantamiento, tos y náuseas antes 1 2 3 4 5
de la deglución
101217 Ahogo antes de tragar 1 2 3 4 5
101218 Mordaza antes de tragar 1 2 3 4 5
202
NOC
Grave (1), Sustancial (2), Moderado (3), Leve (4), Ninguno (5)
Gravemente comprometido (1), Sustancialmente comprometido
(2), Moderadamente comprometido (3), Levemente
comprometido (4), No comprometido (5)
1100 HIGIENE BUCAL
Definición: Estado de la boca, dientes, encías y lengua.
Escala
Indicador Descripción
110101 Limpieza de la boca 1 2 3 4 5
110102 Limpieza de los dientes 1 2 3 4 5
110103 Limpieza de las encias 1 2 3 4 5
110104 Limpieza de la lengua 1 2 3 4 5
110105 Limpieza de dentaduras 1 2 3 4 5
110107 Ajuste de la dentadura postiza 1 2 3 4 5
110109 Humedad labial 1 2 3 4 5
110110 Humedad de la mucosa oral y de la lengua 1 2 3 4 5
110111 Color de las membranas mucosas 1 2 3 4 5
110112 Integridad de la mucosa oral 1 2 3 4 5
Escala
110117 Halitosis 1 2 3 4 5
110118 Sangrado 1 2 3 4 5
110121 Dolor 1 2 3 4 5
110123 Caries dental 1 2 3 4 5
110124 Gingivitis 1 2 3 4 5
203
NOC
Grave (1) Sustancial (2) Moderado (3) Leve (4) Ninguno (5)
Gravemente comprometido (1), Sustancialmente comprometido
(2), Moderadamente comprometido (3), Levemente
comprometido (4), No comprometido (5)
1101 INTEGRIDAD TISULAR: PIEL Y MEMBRANAS MUCOSAS
Definición:Indemnidad estructural y función fisiológica normal de la piel y
las membranas mucosas.
Escala
Indicador Descripción
110101 Temperatura de la piel 1 2 3 4 5
110102 Sensibilidad 1 2 3 4 5
110103 Elasticidad 1 2 3 4 5
110104 Hidratación 1 2 3 4 5
110110 Ausencia de lesión tisular. 1 2 3 4 5
110111 Perfusión tisular. 1 2 3 4 5
Escala
110105 Pigmentación anormal 1 2 3 4 5
110115 Lesiones cutáneas 1 2 3 4 5
110116 Lesiones de la membrana mucosa 1 2 3 4 5
110117 Tejido cicatricial 1 2 3 4 5
110119 Descamación cutánea 1 2 3 4 5
110120 Raspado cutáneo 1 2 3 4 5
110121 Eritema 1 2 3 4 5
110122 Palidez 1 2 3 4 5
110123 Necrosis 1 2 3 4 5
110124 Induración 1 2 3 4 5
204
NOC
Extenso(1) Sustancial(2) Moderado(3) Escaso(4) Ninguno(5)
Ninguno(1) Escaso(2) Moderado(3) Sustancial(4) Extenso(5)
1102 CURACIÓN DE LA HERIDA: POR PRIMERA INTENCIÓN
Definición: Magnitud de regeneración de células y tejidos posterior a un
cierre intencionado.
Escala
Indicador Descripción
110201 Aproximación cutánea 1 2 3 4 5
110213 Aproximación de los bordes de la herida 1 2 3 4 5
110214 Formación de cicatriz 1 2 3 4 5
Escala
110202 Supuración purulenta 1 2 3 4 5
110203 Secreción serosa de la herida 1 2 3 4 5
110208 Eritema cutáneo circundante 1 2 3 4 5
110209 Edema perilesional 1 2 3 4 5
110211 Olor de la herida 1 2 3 4 5
110204 Secreción sanguinolenta de la herida 1 2 3 4 5
205
NOC
Extenso (1) Sustancial(2) Moderado(3) Escaso(4) Ninguno(5)
Ninguno(1) Escaso(2) Moderado(3) Sustancial(4) Extenso(5)
1103 CURACIÓN DE LA HERIDA: POR SEGUNDA INTENCIÓN
Definición: Magnitud de regeneración de células y tejidos en una herida
abierta.
Escala
Indicador Descripción
110301 Granulación 1 2 3 4 5
110302 Epitelización 1 2 3 4 5
110320 Formación de cicatriz 1 2 3 4 5
110321 Disminución del tamaño de la herida 1 2 3 4 5
Escala
110303 Secreción purulenta 1 2 3 4 5
110304 Secreción serosa 1 2 3 4 5
110305 Secreción sanguinolenta 1 2 3 4 5
110307 Eritema cutáneo circundante 1 2 3 4 5
110322 Inflamación de la herida 1 2 3 4 5
110308 Edema perilesional 1 2 3 4 5
110310 Ampollas cutáneas 1 2 3 4 5
110311 Piel macerada 1 2 3 4 5
110312 Necrosis 1 2 3 4 5
110313 Costra 1 2 3 4 5
110314 Fistulización 1 2 3 4 5
110317 Olor de la herida 1 2 3 4 5
206
NOC
Ninguna (1), Escasa (2), Moderada (3), Sustancial (4), Extensa (5)
Nunca positivo (1), Raramente positivo (2), A veces positivo
(3), Frecuentemente positivo (4), Siempre positivo (5)
1200 IMAGEN CORPORAL
Definición: Percepción de la propia apariencia y de las funciones corpora-
les.
Escala
Indicador Descripción
120001 Imagen interna de sí mismo. 1 2 3 4 5
120003 Descripción de la parte corporal afectada. 1 2 3 4 5
120004 Voluntad para tocar la parte corporal afectada. 1 2 3 4 5
120007 Adaptación a cambios en el aspecto físico. 1 2 3 4 5
120008 Adaptación a cambios en la función corporal. 1 2 3 4 5
120009 Adaptación a cambios en el estado de salud. 1 2 3 4 5
120010 Voluntad para utilizar estrategias que mejor 1 2 3 4 5
en el aspecto y la función.
120015 Adaptación a cambios corporales por 1 2 3 4 5
envejecimiento
1201 ESPERANZA
Definición: Presencia de un estado interno de optimismo que es personal-
mente satisfactorio y revitalizante.
Escala
Indicador Descripción
120101 Expresión de una orientación futura positiva 1 2 3 4 5
120103 Expresión de ganas de vivir 1 2 3 4 5
120107 Expresión de creencia en si mismo 1 2 3 4 5
120108 Expresión de creencias en los demás 1 2 3 4 5
120109 Expresión de paz interior 1 2 3 4 5
120111 Demostración de entusiasmo por la vida 1 2 3 4 5
207
NOC
Grave (1) Sustancial(2) Moderado(3) Escaso(4) Ninguno(5)
1203 SEVERIDAD DE LA SOLEDAD
Definición:Gravedad de la respuesta emocional, social o existencial de
aislamiento.
Escala
Indicador Descripción
120301 Expresión de temor infundado 1 2 3 4 5
120305 Expresión de ausencia de pertenencia 1 2 3 4 5
120306 Expresión de pérdida debido a la separación 1 2 3 4 5
de otra persona
120307 Expresión de aislamiento social 1 2 3 4 5
120312 Dificultad para mantener contacto con 1 2 3 4 5
otras personas
120313 Dificultad para superar la separación 1 2 3 4 5
120314 Dificultad para tener una relación mutua eficaz 1 2 3 4 5
120319 Trastornos de la alimentación 1 2 3 4 5
120320 Trastorno del sueño 1 2 3 4 5
208
NOC
1204 EQUILIBRIO EMOCIONAL
Definición: Adaptación apropiada del tono emocional predominante en
respuesta.
Escala
Indicador Descripción
120402 Muestra un estado de ánimo sereno 1 2 3 4 5
120404 Refiere dormir de forma adecuada 1 2 3 4 5
(al menos 5 horas al día)
120410 Muestra y aseo e higiene personales 1 2 3 4 5
adecuados
120411 Se viste de forma apropiada para la 1 2 3 4 5
situación y el clima
120414 Refiere cumplimiento de la medicación 1 2 3 4 5
y del régimen terapéutico
120415 Muestra interés por lo que le rodea 1 2 3 4 5
120418 Refiere capacidad para realizar las tareas 1 2 3 4 5
diarias
Escala
120420 Depresión 1 2 3 4 5
120421 Letargo 1 2 3 4 5
120422 Hiperactividad 1 2 3 4 5
Siempre demostrado (1), Frecuentemente demostrado (2),
A veces demostrado (3), Raramente demostrado (4),
Nunca demostrado (5)
Nunca demostrado (1), Raramente demostrado (2),
A veces demostrado (3), Frecuentemente demostrado (4),
Siempre demostrado (5).
209
NOC
Grave (1) Sustancial (2) Moderado (3) Leve (4) Ninguno (5)
Gravemente comprometido (1) Sustancialmente comprometido
(2) Moderadamente comprometido (3) Levemente
comprometido (4) No comprometido (5)
1206 DESEO DE VIVIR
Definición: Deseo, determinación y esfuerzo para sobrevivir.
Escala
Indicador Descripción
120601 Expresión de determinación de vivir 1 2 3 4 5
120605 Expresión de sentimientos 1 2 3 4 5
120607 Busca información sobre su 1 2 3 4 5
enfermedad/tratamiento
120608 Utiliza estrategias para compensar los 1 2 3 4 5
problemas relacionados con la enfermedad
120610 Utiliza estrategias para alcanzar la vida 1 2 3 4 5
Escala
120614 Depresión 1 2 3 4 5
120615 Pensamientos suicidas 1 2 3 4 5
120616 Pensamientos pesimistas 1 2 3 4 5
210
NOC
Nunca demostrado (1), Raramente demostrado (2), A veces
demostrado (3), Frecuentemente demostrado (4),
Siempre demostrado (5)
1300 ACEPTACIÓN: ESTADO DE SALUD
Definición: Reconciliación con cambios significativos en las circunstancias
de salud.
Escala
Indicador Descripción
130007 Expresa sentimientos sobre el estado de salud 1 2 3 4 5
130008 Reconocimiento de la realidad de la situación 1 2 3 4 5
de salud
130009 Búsqueda de información 1 2 3 4 5
130011 Toma de decisiones relacionadas con la salud 1 2 3 4 5
130014 Realización de tareas de cuidados personales 1 2 3 4 5
1302 AFRONTAMIENTO DE PROBLEMAS
Definición: Acciones para controlar los factores estresantes que ponen a
prueba los recursos del individuo.
Escala
Indicador Descripción
130204 Refiere disminución del estrés 1 2 3 4 5
130205 Verbaliza aceptación de la situación. 1 2 3 4 5
130207 Modifica su estilo de vida cuando se requiere 1 2 3 4 5
130210 Adopta conductas para reducir el estrés. 1 2 3 4 5
130215 Busca ayuda profesional de forma apropiada 1 2 3 4 5
130216 Refiere disminución de los síntomas físicos 1 2 3 4 5
del estrés
130217 Refiere disminución de los sentimientos negativos 1 2 3 4 5
130218 Refiere aumento del bienestar psicológico. 1 2 3 4 5
Nunca demostrado (1), Raramente demostrado (2), A veces
demostrado (3), Frecuentemente demostrado (4)
y Siempre demostrado (5)
211
NOC
Nunca demostrado (1), Raramente demostrado (2), A veces
demostrado (3), Frecuentemente demostrado (4) y
Siempre demostrado (5)
Nunca demostrado (1), Raramente demostrado (2), A veces
demostrado (3), Frecuentemente demostrado (4),
Siempre demostrado (5)
1304 RESOLUCIÓN DE LA AFLICCIÓN
Definición: Adaptación a la pérdida real o inminente.
Escala
Indicador Descripción
130401 Expresa sentimientos sobre la pérdida 1 2 3 4 5
130403 Verbaliza la realidad de la pérdida 1 2 3 4 5
130404 Verbaliza la aceptación de la pérdida 1 2 3 4 5
130413 Mantiene el cuidado e higiene personales 1 2 3 4 5
130414 Refiere ausencia de trastorno del sueño 1 2 3 4 5
130415 Refiere una ingestión nutricional adecuada 1 2 3 4 5
130416 Refiere un deseo sexual normal 1 2 3 4 5
130418 Comparte la pérdida con otros seres queridos 1 2 3 4 5
130421 Expresa expectativas positivas sobre el futuro 1 2 3 4 5
1305 MODIFICACIÓN PSICOSOCIAL: CAMBIO DE VIDA
Definición: Respuesta psicosocial de adaptación de un individuo a un
cambio de vida importante.
Escala
Indicador Descripción
130501 Establecimiento de objetivos realistas 1 2 3 4 5
130504 Expresiones de utilidad 1 2 3 4 5
130511 Expresiones de satisfacción con la 1 2 3 4 5
reorganización de la vida
130513 Expresiones sentidas de apoyo social 1 2 3 4 5
212
NOC
Grave(1) Sustancial(2) Moderado(3) Leve(4) Ninguno(5)
1306 DOLOR: RESPUESTA PSICOLÓGICA ADVERSA
Definición: Gravedad de las respuestas cognitivas y emocionales adver-
sas observadas o referidas al dolor físico.
Escala
Indicador Descripción
130605 Nivel de angustia por el dolor 1 2 3 4 5
130606 Preocupación sobre la tolerancia al dolor 1 2 3 4 5
130607 Preocupación sobre la carga para los demás 1 2 3 4 5
130610 Ansiedad 1 2 3 4 5
130611 Tristeza 1 2 3 4 5
130617 Temor al dolor insoportable 1 2 3 4 5
130618 Enojo con los efectos nocivos del dolor 1 2 3 4 5
130622 Ira sobre los efectos incapacitantes del dolor 1 2 3 4 5
213
NOC
Nunca demostrado (1), Raramente demostrado (2), A veces
demostrado (3), Frecuentemente demostrado (4),
Siempre demostrado (5)
1307 MUERTE DIGNA
Definición: Acciones personales para mantener el control durante el acer-
camiento del final.
Escala
Indicador Descripción
130701 Pone los asuntos en orden 1 2 3 4 5
130710 Resuelve aspectos y preocupaciones importantes 1 2 3 4 5
130711 Comparte sentimientos sobre la muerte 1 2 3 4 5
130712 Se concilia con las relaciones 1 2 3 4 5
130713 Finaliza objetivos significativos 1 2 3 4 5
130715 Intercambia afecto con los demás 1 2 3 4 5
130716 Se desconecta gradualmente de personas 1 2 3 4 5
significativas
130717 Recuerda memorias de su vida 1 2 3 4 5
130720 Comenta preocupaciones espirituales 1 2 3 4 5
130721 Mantiene independencia física 1 2 3 4 5
130722 Controla las elecciones del tratamiento 1 2 3 4 5
130723 Controla la ingesta de alimentos/bebidas 1 2 3 4 5
130724 Controla las posesiones personales 1 2 3 4 5
130725 Expresa preparación para morir 1 2 3 4 5
214
NOC
Nunca demostrado (1), Raramente demostrado (2), A veces
demostrado (3), Frecuentemente demostrado (4),
Siempre demostrado (5)
1402 AUTOCONTROL DE LA ANSIEDAD
Definición: Acciones personales para eliminar o reducir sentimientos de
aprensión, tensión o inquietud de una fuente no identificada.
Escala
Indicador Descripción
140202 Elimina precursores de la ansiedad. 1 2 3 4 5
140204 Busca información para reducir la ansiedad. 1 2 3 4 5
140205 Planea estrategias para superar situaciones 1 2 3 4 5
estresantes.
140207 Utiliza técnicas de relajación para reducir 1 2 3 4 5
la ansiedad.
140208 Refiere disminución de la duración de los 1 2 3 4 5
episodios.
140209 Refiere incremento de la duración del 1 2 3 4 5
tiempo entre episodios.
140211 Conserva las relaciones sociales. 1 2 3 4 5
140214 Refiere dormir de forma adecuada. 1 2 3 4 5
140215 Refiere ausencia de manifestaciones físicas 1 2 3 4 5
de ansiedad.
215
NOC
Nunca demostrado (1), Raramente demostrado (2), A veces
demostrado (3), Frecuentemente demostrado (4), Siempre
demostrado (5)
1404 AUTOCONTROL DEL MIEDO
Definición: Acciones personales para eliminar o reducir los sentimientos
incapacitantes de aprensión, tensión o inquietud secundarios a una fuen-
te identificable.
Escala
Indicador Descripción
140402 Elimina los factores precursores del miedo. 1 2 3 4 5
140403 Busca información para reducir el miedo. 1 2 3 4 5
140405 Planea estrategias para superar las
situaciones temibles. 1 2 3 4 5
140407 Utiliza técnicas de relajación para reducir
el miedo. 1 2 3 4 5
140408 Refiere disminución de la duración de los
episodios. 1 2 3 4 5
140409 Refiere aumento de la duración entre episodios. 1 2 3 4 5
140411 Mantiene las relaciones sociales 1 2 3 4 5
140413 Mantiene el control sobre su vida. 1 2 3 4 5
140414 Mantiene el funcionamiento físico. 1 2 3 4 5
140417 Controla la respuesta de miedo. 1 2 3 4 5
216
NOC
Inadecuado (1), Ligeramente adecuado (2), Moderadamente
adecuado (3), Sustancialmente adecuado (4),
Completamente adecuado (5)
Nunca demostrado (1), Raramente demostrado (2), A veces
demostrado (3) Frecuentemente demostrado (4), Siempre
demostrado (5)
1409 AUTOCONTROL DE LA DEPRESIÓN
Definición: Acciones personales para minimizar la tristeza y mantener el
interés por los acontecimientos de la vida.
Escala
Indicador Descripción
140903 Identifica factores precursores de depresión. 1 2 3 4 5
140906 Refiere dormir de forma adecuada. 1 2 3 4 5
140907 Refiere mejoría de la libido. 1 2 3 4 5
140908 Refiere ausencia de manifestaciones
físicas de depresión. 1 2 3 4 5
140909 Refiere mejoría del estado de ánimo. 1 2 3 4 5
140912 Toma la medicación prescrita. 1 2 3 4 5
140913 Sigue un programa de ejercicio. 1 2 3 4 5
140918 Mantiene el aseo y la higiene personal. 1 2 3 4 5
1501 EJECUCIÓN DEL ROL
Definición: Congruencia de la conducta de rol del individuo con las expec-
tativas del rol.
Escala
Indicador Descripción
150101 Capacidad para cumplir las expectativas de rol 1 2 3 4 5
150103 Ejecución de las conductas de rol familiares 1 2 3 4 5
150107 Descripción de los cambios conductuales 1 2 3 4 5
con la enfermedad o la incapacidad
150108 Descripción de los cambios conductuales 1 2 3 4 5
con ancianos dependientes
217
NOC
Inadecuado (1), Ligeramente adecuado (2), Moderadamente
adecuado (3), Sustancialmente adecuado (4), Completamente
adecuado (5)
Nunca demostrado (1), Raramente demostrado (2), A veces
demostrado (3), Frecuentemente demostrado (4),
Siempre demostrado (5)
1503 IMPLICACIÓN SOCIAL
Definición: Interacciones sociales con personas, grupos u organizaciones.
Escala
Indicador Descripción
150301 Interacción con amigos íntimos. 1 2 3 4 5
150302 Interacción con vecinos. 1 2 3 4 5
150303 Interacción con miembros de la familia. 1 2 3 4 5
150311 Participación en actividades de ocio. 1 2 3 4 5
1504 SOPORTE SOCIAL
Definición: Disponibilidad percibida y provisión real de ayuda fiable de los
demás.
Escala
Indicador Descripción
150403 Refiere tareas realizadas por otras personas. 1 2 3 4 5
150405 Refiere ayuda emocional proporcionada por 1 2 3 4 5
otras personas.
150407 Refiere la existencia de personas que 1 2 3 4 5
pueden ayudarlo cuando lo necesita.
150410 Refiere contactos sociales de soporte adecuados. 1 2 3 4 5
150412 Refiere ayuda ofrecida por los demás. 1 2 3 4 5
218
NOC
Nunca demostrado (1) Raramente demostrado (2) A veces
demostrado (3) Frecuentemente demostrado (4)
Siempre demostrado (5)
Nunca demostrado(1) Raramente demostrado(2) A veces
demostrado(3) Frecuentemente demostrado(4)
Siempre demostrado(5)
1601 CONDUCTA DE CUMPLIMIENTO
Definición: Acciones basadas en el asesoramiento profesional para pro-
mocionar el bienestar, la recuperación y la rehabilitación.
Escala
Indicador Descripción
160103 Comunica seguir la pauta prescrita 1 2 3 4 5
160104 Acepta el diagnóstico del profesional sanitario 1 2 3 4 5
160105 Conserva la cita con un profesional sanitario 1 2 3 4 5
160107 Realiza autoexamen cuando se le informa. 1 2 3 4 5
160108 Realiza las actividades de la vida diaria según 1 2 3 4 5
prescripción.
1602 CONDUCTA DE FOMENTO DE LA SALUD
Definición: Acciones personales para mantener o aumentar el bienestar.
Escala
Indicador Descripción
160204 Busca un equilibrio entre ejercicio, trabajo, 1 2 3 4 5
ocio, descanso y nutrición
160205 Utiliza conductas efectivas de disminución 1 2 3 4 5
del estrés
160206 Conserva relaciones sociales satisfactorias 1 2 3 4 5
160207 Realiza habitos sanitarios correctamente 1 2 3 4 5
219
NOC
Nunca demostrado (1), Raramente demostrado (2), A veces
demostrado (3), Frecuentemente demostrado (4), Siempre
demostrado (5)
Nunca demostrado (1) Raramente demostrado (2) A veces
demostrado (3) Frecuentemente demostrado (4)
Siempre demostrado (5)
1603 CONDUCTA DE BÚSQUEDA DE LA SALUD
Definición: Acciones para fomentar el bienestar, la recuperación y la reha-
bilitación óptimas.
Escala
Indicador Descripción
160307 Sigue las estrategias desarrolladas por si 1 2 3 4 5
mismo para eliminar la conducta insana
160308 Realiza la conducta sanitaria prescrita cuando 1 2 3 4 5
es necesario
160308 Sigue las estrategias desarrolladas por si 1 2 3 4 5
mismo para maximizar la salud
1604 PARTICIPACIÓN EN ACTIVIDADES DE OCIO.
Definición: Uso de actividades relajantes, interesantes y de ocio para
fomentar el bienestar.
Escala
Indicador Descripción
160401 Participación en actividades diferentes 1 2 3 4 5
al trabajo habitual.
160402 Expresión de satisfacción con las actividades 1 2 3 4 5
de ocio.
160404 Refiere relajación con las actividades de ocio. 1 2 3 4 5
220
NOC
Nunca demostrado (1), Raramente demostrado (2), A veces
demostrado (3), Frecuentemente demostrado (4),
Siempre demostrado (5)
1605 CONTROL DEL DOLOR
Definición: Acciones personales para controlar el dolor.
Escala
Indicador Descripción
160502 Reconoce el comienzo del dolor. 1 2 3 4 5
160503 Utiliza medidas preventivas. 1 2 3 4 5
160504 Utiliza medidas de alivio no analgésicas. 1 2 3 4 5
160505 Utiliza los analgésicos de forma apropiada. 1 2 3 4 5
160509 Reconoce los síntomas asociados del dolor. 1 2 3 4 5
160510 Utiliza un diario para apuntar síntomas de dolor. 1 2 3 4 5
1608 CONTROL DEL SÍNTOMA
Definición: Acciones personales para minimizar los cambios adversos per-
cibidos en el funcionamiento físico y emocional.
Escala
Indicador Descripción
160801 Reconoce el comienzo del síntoma 1 2 3 4 5
160803 Reconoce la intensidad del síntoma 1 2 3 4 5
160804 Reconoce la frecuencia del síntoma 1 2 3 4 5
160806 Utiliza medidas preventivas 1 2 3 4 5
160807 Utiliza medidas de alivio 1 2 3 4 5
160810 Utiliza un diario de síntomas 1 2 3 4 5
221
Nunca demostrado (1), Raramente demostrado (2), A veces
demostrado (3), Frecuentemente demostrado (4),
Siempre demostrado (5)
NOC
Nunca demostrado (1), Raramente demostrado (2), A veces
demostrado (3), Frecuentemente demostrado (4), Siempre
demostrado (5)
Nunca demostrado (1), Raramente demostrado (2), A veces
demostrado (3), Frecuentemente demostrado(4),
siempre demostrado (5)
1609 CONDUCTA TERAPÉUTICA: ENFERMEDAD O LESIÓN
Definición: Acciones personales para paliar o eliminar patología.
Escala
Indicador Descripción
160901 Cumple las precauciones recomendadas. 1 2 3 4 5
160902 Cumple el régimen terapéutico recomendado. 1 2 3 4 5
160904 Cumple las actividades prescritas. 1 2 3 4 5
160907 Realiza los cuidado personales compatibles 1 2 3 4 5
con la habilidad.
1612 CONTROL DE PESO
Definición: Acciones personales para conseguir y mantener un peso cor-
poral óptimo.
Escala
Indicador Descripción
161202 Mantiene una ingestión calórica diaria óptima. 1 2 3 4 5
161203 Equilibrio entre ejercicio e ingesta calórica. 1 2 3 4 5
161204 Selecciona comidas y aperitivos nutritivos. 1 2 3 4 5
161205 Utiliza complementos nutricionales cuando 1 2 3 4 5
es necesario.
161207 Mantiene un patrón alimentario recomendado. 1 2 3 4 5
161209 Mantiene el equilibrio hídrico. 1 2 3 4 5
161221 Alcanza el peso óptimo. 1 2 3 4 5
161222 Mantiene el peso óptimo. 1 2 3 4 5
222
NOC
Muy débil (1), Débil (2), Moderado (3), Fuerte (4), Muy fuerte (5)
1613 AUTOGESTIÓN DE LOS CUIDADOS
Definición: Acciones del destinatario de los cuidados para dirigir a otros
que ayudan o realizan tareas físicas y a personal de asistencia sanitaria.
Escala
Indicador Descripción
161301 Determina los objetivos de la asistencia 1 2 3 4 5
sanitaria
161302 Describe los cuidados apropiados 1 2 3 4 5
161303 Accede a los recursos necesarios 1 2 3 4 5
161304 Enseña a los demás las conductas 1 2 3 4 5
asistenciales apropiadas
161308 Adopta medidas correctoras cuando los 1 2 3 4 5
cuidados no son apropiados
1700 CREENCIAS SOBRE LA SALUD
Definición: Convicciones personales que influyen en la conducta.
Escala
Indicador Descripción
170001 Importancia percibida de la actuación 1 2 3 4 5
170003 Beneficios percibidos de la acción 1 2 3 4 5
170006 Reducción de la amenaza percibida 1 2 3 4 5
por la acción
170007 Mejora en el estilo de vida percibida por 1 2 3 4 5
la acción
170009 Recursos percibidos para realizar la acción 1 2 3 4 5
170010 Ausencia percibida de barreras a la acción 1 2 3 4 5
223
Nunca demostrado (1), Raramente demostrado (2), A veces
demostrado (3), Frecuentemente demostrado (4),
Siempre demostrado (5)
NOC
Ninguno (1), Escaso (2), Moderado (3), Sustancial (4), Extenso (5)
1802 CONOCIMIENTO: DIETA
Definición: Grado de comprensión transmitido sobre la dieta recomenda-
da.
Escala
Indicador Descripción
180201 Descripción de la dieta recomendada 1 2 3 4 5
180202 Explicación del fundamento de la dieta 1 2 3 4 5
recomendada
180205 Explicación de las relaciones entre dieta, 1 2 3 4 5
ejercicio y peso corporal
180206 Descripción de las comidas permitidas 1 2 3 4 5
por la dieta
180207 Descripción de las comidas que deben 1 2 3 4 5
evitarse
180211 Planificación de menús utilizando las 1 2 3 4 5
directrices de la dieta
180212 Desarrollo de estrategias para cambiar los 1 2 3 4 5
hábitos alimentarios
224
NOC
Ninguno (1) Escaso(2) Moderado(3) Sustancial(4) Extenso(5)
1803 CONOCIMIENTO: PROCESO DE LA ENFERMEDAD
Definición: Grado de comprensión transmitido sobre el proceso de una
enfermedad concreta.
Escala
Indicador Descripción
180302 Descripción del proceso de enfermedad. 1 2 3 4 5
180304 Descripción de los factores de riesgo. 1 2 3 4 5
180305 Descripción de los efectos de enfermedad. 1 2 3 4 5
180306 Descripción de los signos y síntomas. 1 2 3 4 5
180309 Descripción de las complicaciones 1 2 3 4 5
180311 Descripción de las precauciones para prevenir 1 2 3 4 5
las complicaciones.
225
NOC
Ninguno (1) Escaso (2) Moderado (3) Sustancial (4) Extenso (5)
1805 CONOCIMIENTO: CONDUCTA SANITARIA
Definición: Grado de comprensión transmitido sobre el fomento y protec-
ción de la salud.
Escala
Indicador Descripción
180501 Descripción de prácticas nutricionales 1 2 3 4 5
saludables
180502 Descripción de los beneficios de la actividad 1 2 3 4 5
física y el ejercicio.
180503 Descripción de las técnicas eficaces para 1 2 3 4 5
el control del estrés.
180504 Descripción de los patrones eficaces para 1 2 3 4 5
dormir y despertar.
180506 Descripción de los efectos sobre la salud 1 2 3 4 5
del consumo de tabaco.
180507 Descripción de los efectos sobre la salud 1 2 3 4 5
del consumo del alcohol.
180509 Descripción de los efectos de los fármacos 1 2 3 4 5
con prescripción médica.
180510 Descripción de los efectos de los fármacos 1 2 3 4 5
sin prescripción médica.
226
NOC
1806 CONOCIMIENTO: RECURSOS SANITARIOS.
Definición: Grado de comprensión transmitido sobre los recur-
sos sanitarios.
Escala
Indicador Descripción
180601 Descripción de los recursos que aumentan 1 2 3 4 5
la salud.
180602 Descripción de cuándo contactar con un 1 2 3 4 5
profesional sanitario.
180603 Descripción de las medidas de urgencia. 1 2 3 4 5
180607 Descripción de los recursos sociales 1 2 3 4 5
de ayuda disponibles.
180608 Descripción de cómo contactar con los 1 2 3 4 5
servicios necesarios.
227
Ninguno (1) Escaso (2) Moderado (3) Sustancial (4) Extenso (5)
NOC
Ninguno (1) Escaso (2) Moderado (3) Sustancial (4) Extenso (5)
1808 CONOCIMIENTO: MEDICACIÓN
Definición: Grado de comprensión transmitida sobre el uso seguro de la
medicación.
Escala
Indicador Descripción
180802 Declaración del nombre correcto de la 1 2 3 4 5
medicación
180804 Descripción de las acciones de la medicación. 1 2 3 4 5
180805 Descripción de los efectos indeseables de la 1 2 3 4 5
medicación.
180806 Descripción de las precauciones de la 1 2 3 4 5
medicación.
180810 Descripción de la administración correcta 1 2 3 4 5
de la medicación.
180811 Descripción de las técnicas de 1 2 3 4 5
automonitorización
180812 Descripción de un almacenamiento 1 2 3 4 5
adecuado de la medicación.
180813 Descripción de un cuidado adecuado 1 2 3 4 5
de los dispositivos de administración.
030702 Describe la dosis correcta 1 2 3 4 5
030707 Utiliza ayudas para memorizar. 1 2 3 4 5
228
NOC
Ninguno (1) Escaso (2) Moderado (3) Sustancial (4) Extenso (5)
Ninguno (1) Escaso (2) Moderado (3) Sustancial (4) Extenso (5)
1811 CONOCIMIENTO: ACTIVIDAD PRESCRITA
Definición: Magnitud de la comprensión transmitida sobre la actividad y
ejercicios prescritos.
Escala
Indicador Descripción
181101 Descripción de la actividad prescrita 1 2 3 4 5
181103 Descripción de los efectos esperados 1 2 3 4 5
de la actividad
181105 Descripción de las precauciones de la 1 2 3 4 5
actividad.
181107 Descripción de la estrategia para el 1 2 3 4 5
incremento gradual de la actividad.
181110 Descripción de los obstáculos habituales 1 2 3 4 5
para la aplicación habitual.
1813 CONOCIMIENTO: RÉGIMEN TERAPÉUTICO
Definición: Grado de comprensión sobre el régimen terapéutico especí-
fico.
Escala
Indicador Descripción
181302 Descripción de la responsabilidad de los 1 2 3 4 5
cuidados propios para el tratamiento actual.
181305 Descripción de la dieta prescrita. 1 2 3 4 5
181306 Descripción de la medicación prescrita. 1 2 3 4 5
181307 Descripción de la actividad prescrita. 1 2 3 4 5
181308 Descripción del ejercicio prescrito. 1 2 3 4 5
181310 Descripción del proceso de enfermedad. 1 2 3 4 5
181311 Ejecución de las técnicas de automonitorización. 1 2 3 4 5
229
NOC
Ninguno (1), Escaso (2), Moderado (3), Sustancial (4), Extenso (5)
1820 CONOCIMIENTO: CONTROL DE LA DIABETES
Definición: Grado de comprensión transmitido sobre la diabetes mellitus y
la prevención de complicaciones.
Escala
Indicador Descripción
182001 Descripción de la función de la insulina 1 2 3 4 5
182002 Descripción del papel de la nutrición 1 2 3 4 5
en el control de la glucemia
182003 Descripción del plan de comidas prescritos 1 2 3 4 5
182005 Descripción del papel del ejercicio en el 1 2 3 4 5
control de la glucemia
182006 Descripción de la hiperglucemia y de los 1 2 3 4 5
síntomas relacionados
182009 Descripción de la hipoglucemia y de los 1 2 3 4 5
síntomas relacionados
182012 Descripción de los valores límites de glucemia 1 2 3 4 5
182013 Descripción del impacto de una enfermedad 1 2 3 4 5
aguda sobre la glucemia
182014 Demostración del procedimiento correcto 1 2 3 4 5
para comprobar la glucemia.
182016 Descripción del régimen de insulina prescrito 1 2 3 4 5
182017 Demostración de la técnica adecuada de 1 2 3 4 5
preparación y administración de insulina.
182018 Descripción del plan de rotación de las 1 2 3 4 5
zonas de punción
182019 Identificación del comienzo, pico y duración 1 2 3 4 5
de la insulina prescrita
182020 Descripción del régimen de hipoglucemiantes 1 2 3 4 5
orales prescritos
182021 Descripción de cuándo solicitar ayuda a un 1 2 3 4 5
profesional sanitario
182023 Descripción de prácticas de cuidados de los pies 1 2 3 4 5
182024 Descripción de los beneficios de controlar la 1 2 3 4 5
diabetes
230
NOC
Nunca demostrado (1) Raramente demostrado (2) A veces
demostrado (3) Frecuentemente demostrado (4) Siempre
demostrado (5)
1900 CONDUCTA DE VACUNACIÓN
Definición: Acciones para cumplir con la vacunación y prevenir una enfer-
medad transmisible.
Escala
Indicador Descripción
190001 Reconoce el riesgo de enfermedad sin 1 2 3 4 5
vacunación
190002 Describe los riesgos asociados con la 1 2 3 4 5
vacunación especifica
190003 Describe contraindicaciones de la vacunación 1 2 3 4 5
especifica
190004 Aporta la cartilla de vacunación actualizada 1 2 3 4 5
en cada visita
190005 Cumple las vacunaciones para la edad 1 2 3 4 5
recomendadas
109007 Reconoce la necesidad de comunicar 1 2 3 4 5
cualquier reacción adversa
231
NOC
Nunca demostrado (1) Raramente demostrado (2) A veces
demostrado (3) Frecuentemente demostrado (4) Siempre
demostrado (5)
1902 CONTROL DEL RIESGO
Definición: Acciones personales para prevenir, eliminar o reducir las ame-
nazas para la salud modificables.
Escala
Indicador Descripción
190201 Reconoce factores de riesgo. 1 2 3 4 5
190203 Supervisa los factores de riesgo de la 1 2 3 4 5
conducta personal.
190208 Modifica el estilo de vida para reducir el riesgo. 1 2 3 4 5
190212 Efectúa las vacunaciones apropiadas. 1 2 3 4 5
232
NOC
1909 CONDUCTA DE PREVENCIÓN DE CAÍDAS
Definición: Acciones individuales o del cuidador familiar para minimizar
los factores de riesgo que podrían producir caídas en el entorno personal.
Escala Nunca demostrado(1) Raramente demostrado(2) A veces
demostrado(3) Frecuentemente demostrado(4) Siempre demostrado(5)
Indicador Descripción
190903 Colocación de barreras para prevenir caídas 1 2 3 4 5
190906 Eliminación de objetos, derramamiento 1 2 3 4 5
y abrillantamiento en el suelo
190907 Fijación de alfombras 1 2 3 4 5
190910 Uso de zapatos con cordones bien ajustados 1 2 3 4 5
190911 Adaptación de altura adecuada del váter 1 2 3 4 5
190913 Adaptación de la altura adecuada de la cama 1 2 3 4 5
109014 Uso de alfombrillas de goma en la bañera 1 2 3 4 5
o en la ducha
190915 Uso de barandillas para agarrarse 1 2 3 4 5
190917 Uso de precauciones a la hora de tomar 1 2 3 4 5
medicamentos que aumenten el riesgo
de caídas
190918 Uso de gafas oculares 1 2 3 4 5
190919 Uso de medios de traslado seguros 1 2 3 4 5
233
NOC
Mayor de 10 caídas (1), 7-9 caídas (2), 4-6 caídas (3),
1-3 caídas (4), Ninguna caída (5).
Inadecuado (1) Ligeramente adecuado (2) Moderadamente
adecuado (3) Sustancialmente adecuado (4) Completamente
adecuado (5)
1910 AMBIENTE SEGURO DEL HOGAR
Definición: Disposiciones físicas para minimizar los factores ambientales
que podrían causar daño o lesión física en el hogar.
Escala
Indicador Descripción
191001 Provisión de iluminación 1 2 3 4 5
191008 Provisión de dispositivos de ayuda 1 2 3 4 5
localización accesible
191012 Eliminación segura de materiales peligrosos 1 2 3 4 5
191013 Reorganización del mobiliario para reducir 1 2 3 4 5
riesgos
191022 Uso de estufas medidas de seguridad 1 2 3 4 5
191024 Guardar de forma segura los medicamentos 1 2 3 4 5
para prevenir su uso accidental
1912 CAÍDAS
Definición: Número de caídas en el pasado (definir el período de tiempo).
Escala
Indicador Descripción
191201 Número de caídas en bipedestación 1 2 3 4 5
191202 Número de caídas caminando 1 2 3 4 5
191203 Número de caídas sentado 1 2 3 4 5
191204 Número de caídas de la cama 1 2 3 4 5
191205 Número de caídas durante el traslado 1 2 3 4 5
191206 Número de caídas al subir escaleras 1 2 3 4 5
191207 Número de caídas al bajar escaleras 1 2 3 4 5
234
NOC
Nunca demostrado (1), Raramente demostrado (2), A veces
demostrado (3), Frecuentemente demostrado (4),
Siempre demostrado (5)
1913 SEVERIDAD DE LA LESIÓN FÍSICA
Definición: Gravedad de las lesiones secundarias a accidentes y trauma-
tismos.
Escala Grave (1), Sustancial (2), Moderado (3), Leve (4), Ninguno (5)
Indicador Descripción
191301 Abrasiones cutáneas 1 2 3 4 5
191304 Quemaduras 1 2 3 4 5
191316 Alteración de la movilidad 1 2 3 4 5
191317 Alteración del nivel de conciencia 1 2 3 4 5
1914 CONTROL DEL RIESGO: SALUD CARDIOVASCULAR
Definición: Acciones personales para eliminar o reducir las amenazas
para la salud cardiovascular.
Escala
Indicador Descripción
191403 Evita el consumo de cigarrillos 1 2 3 4 5
191404 Controla la presión arterial 1 2 3 4 5
191406 Utiliza técnicas para controlar el estrés 1 2 3 4 5
191407 Sigue las estrategias de control de peso 1 2 3 4 5
191408 Sigue la dieta recomendada 1 2 3 4 5
191410 Sigue las precauciones recomendadas 1 2 3 4 5
sobre los fármacos sin prescripción facultativa
191413 Participa en la determinación de colesterol 1 2 3 4 5
191415 Participa en ejercicio regular 1 2 3 4 5
191416 Participa en ejercicio aeróbico 1 2 3 4 5
235
NOC
Nunca demostrado (1), Raramente demostrado (2), A veces
demostrado (3), Frecuentemente demostrado (4), Siempre
demostrado (5)
Nunca demostrado (1), Raramente demostrado (2), A veces
demostrado (3), Frecuentemente demostrado (4) ,
Siempre demostrado (5)
1915 CONTROL DEL RIESGO: DETERIORO AUDITIVO
Definición: Acciones personales para prevenir, eliminar o reducir las ame-
nazas de la función auditiva.
Escala
Indicador Descripción
191501 Supervisa los síntomas de deterioro auditivo. 1 2 3 4 5
191504 Reduce la exposición al ruido. 1 2 3 4 5
191505 Mantiene una cantidad de cera normal. 1 2 3 4 5
191511 Evita colocar cuerpos extraños en el canal
auditivo 1 2 3 4 5
1916 CONTROL DEL RIESGO: DETERIORO VISUAL
Definición: Acciones personales para prevenir, eliminar o reducir las ame-
nazas de la función visual.
Escala
Indicador Descripción
191601 Supervisa los síntomas de deterioro visual. 1 2 3 4 5
191604 Utiliza una iluminación adecuada para la
actividad que realiza. 1 2 3 4 5
191607 Utiliza las medicaciones oculares prescritas 1 2 3 4 5
de forma correcta.
191609 Realiza exámenes oculares. 1 2 3 4 5
236
NOC
Nunca demostrado (1), Raramente demostrado (2), A veces
demostrado (3), Frecuentemente demostrado (4), Siempre
demostrado (5)
Nunca demostrado (1), Raramente demostrado (2), A veces
demostrado (3), Frecuentemente demostrado (4), Siempre
demostrado (5)
1918 PREVENCIÓN DE LA ASPIRACIÓN
Definición: Acciones personales para prevenirel paso de partículas líqui-
das o sólidas hacia los pulmones.
Escala
Indicador Descripción
191801 Identifica factores de riesgo 1 2 3 4 5
191802 Evita factores de riesgo 1 2 3 4 5
191803 Se incorpor para comer o beber 1 2 3 4 5
191804 Selecciona comidas según su capacidad
deglutoria 1 2 3 4 5
191805 Se coloca de lado para comer y beber,
según precisa 1 2 3 4 5
191807 Utiliza espesantes líquidos , según precisa 1 2 3 4 5
2000 CALIDAD DE VIDA
Definición: Alcance de la percepción positiva de las condiciones actuales
de vida.
Escala
Indicador Descripción
200001 Satisfacción con el estado de salud 1 2 3 4 5
200002 Satisfacción con las condiciones sociales 1 2 3 4 5
200007 Satisfacción con las relaciones intimas 1 2 3 4 5
200008 Satisfacción con los objetivos conseguidos 1 2 3 4 5
en la vida
237
NOC
No del todo satisfecho(1), Algo satisfecho (2), Moderadamente
satisfecho (3), Muy satisfecho (4), Completamente
satisfecho (5)
Gravemente comprometido(1), Sustancialmente comprometido
(2), Moderadamente comprometido(3), Levemente
comprometido(4), No comprometido (5)
2001 SALUD ESPIRITUAL
Definición: Vinculaciones con el yo, los otros, el poder superior, la natura-
leza y el universo que trasciende y se apodera del yo.
Escala
Indicador Descripción
200103 Expresión de significado y fin de la vida 1 2 3 4 5
200105 Expresión de serenidad 1 2 3 4 5
200111 Participación en ritos y ceremonias espirituales 1 2 3 4 5
200117 Relación con los demás para compartir
pensamientos, sentimientos y creencias 1 2 3 4 5
2002 BIENESTAR PERSONAL
Definición: Alcance de la percepción positiva del estado de salud y de las
circunstancias vitales.
Escala
Indicador Descripción
200201 Satisfacción con la realización de las AVD 1 2 3 4 5
200203 Satisfacción con la interacción social 1 2 3 4 5
200205 Satisfacción con el funcionamiento fisiológico 1 2 3 4 5
200206 Satisfacción con el funcionamiento cognitivo 1 2 3 4 5
200208 Satisfacción con la capacidad de relax 1 2 3 4 5
238
NOC
Gravemente comprometido (1), Sustancialmente comprometido
(2), Moderadamente comprometido (3), Levemente
comprometido (4), No comprometido (5)
2004 FORMA FÍSICA
Definición: Ejecución de actividades físicas con vigor.
Escala
Indicador Descripción
200401 Fuerza Muscular 1 2 3 4 5
200404 Participación en actividades físicas 1 2 3 4 5
200405 Ejercicio habitual 1 2 3 4 5
239
NOC
Grave (1) Sustancial (2) Moderado (3) Leve (4) Ninguno (5)
Gravemente comprometido (1), Sustancialmente comprometido
(2), Moderadamente comprometido (3), Levemente
comprometido (4), No comprometido (5)
2007 MUERTE CONFORTABLE
Definición: Tranquilidad física y psicológica en el final inminente de la vida.
Escala
Indicador Descripción
200701 Calma y tranquilidad 1 2 3 4 5
200702 Comodidad 1 2 3 4 5
200703 Permeabilidad de las vías aéreas 1 2 3 4 5
200705 Posición cómoda 1 2 3 4 5
200706 Músculos del cuello, tronco y extremidades 1 2 3 4 5
relajados
200707 Apoyo de amigos y familia 1 2 3 4 5
200708 Higiene personal 1 2 3 4 5
200709 Higiene bucal 1 2 3 4 5
200710 Ingesta de alimentos y líquidos, según se desee 1 2 3 4 5
Escala
200711 Gemidos 1 2 3 4 5
200713 Agitación 1 2 3 4 5
200714 Dolor 1 2 3 4 5
200715 Picazón 1 2 3 4 5
200716 Esfuerzo para vomitar o vómitos 1 2 3 4 5
200717 Diarrea 1 2 3 4 5
200718 Respiración dificultosa 1 2 3 4 5
200719 Ansias de aire 1 2 3 4 5
240
NOC
No del todo satisfecho (1) Algo satisfecho (2) Moderadamente
satisfecho (3) Muy satisfecho (4) Completamente satisfecho (5)
2100 NIVEL DE COMODIDAD
Definición: Alcance de la percepción positiva de la comodidad física y psi-
cológica.
Escala
Indicador Descripción
210002 Control del síntoma. 1 2 3 4 5
210003 Bienestar psicológico 1 2 3 4 5
210004 Entorno físico. 1 2 3 4 5
210005 Relaciones sociales. 1 2 3 4 5
210010 Temperatura de la habitación 1 2 3 4 5
241
NOC
Gravemente comprometido (1) Sustancialmente comprometido
(2) Moderadamente comprometido (3) Levemente
comprometido (4) No comprometido (5)
Grave (1) Sustancia l(2) Moderado (3) Leve (4) Ninguno (5)
2101 DOLOR: EFECTOS NOCIVOS
Definición:Gravedad de los efectos nocivos observados o referidos del
dolor crónico en el funcionamiento diario.
Escala
Indicador Descripción
210108 Concentración alterada 1 2 3 4 5
210110 Estado de ánimo alterado 1 2 3 4 5
210111 Falta de paciencia 1 2 3 4 5
210112 Trastorno del sueño 1 2 3 4 5
210113 Movilidad física alterada 1 2 3 4 5
210114 Higiene personal alterada 1 2 3 4 5
210115 Falta de apetito 1 2 3 4 5
210117 Evacuación alterada 1 2 3 4 5
Escala
210104 Actividades de ocio 1 2 3 4 5
210105 Trabajo 1 2 3 4 5
242
NOC
Gravemente comprometido (1), Sustancialmente comprometido
(2), Moderadamente comprometido (3), Levemente comprome-
tido (4), No comprometido (5)
Grave (1), Sustancial (2), Moderado (3), Leve (4) , Ninguno (5)
2102 NIVEL DEL DOLOR
Definición: Intensidad del dolor referido o manifestado.
Escala
Indicador Descripción
210201 Dolor referido. 1 2 3 4 5
210204 Duración de los episodios de dolor. 1 2 3 4 5
210206 Expresiones faciales de dolor. 1 2 3 4 5
210008 Inquietud 1 2 3 4 5
210215 Pérdida de apetito. 1 2 3 4 5
210217 Gemidos y gritos 1 2 3 4 5
Escala
210210 Frecuencia respiratoria 1 2 3 4 5
210211 Frecuencia cardiaca apical 1 2 3 4 5
210220 Frecuencia del pulso radial 1 2 3 4 5
210212 Presión arterial 1 2 3 4 5
210214 Sudoración 1 2 3 4 5
243
NOC
Inadecuado (1), Ligeramente adecuado (2), Moderadamente
adecuado (3), Sustancialmente adecuado (4), Completamente
adecuado (5)
2202 PREPARACIÓN DEL CUIDADOR FAMILIAR DOMICILIARIO
Definición: Grado de preparación de un cuidador para asumir la respon-
sabilidad de la asistencia sanitaria domiciliaria de un miembro de la fami-
lia.
Escala
Indicador Descripción
220201 Voluntad de asumir el papel de cuidador 1 2 3 4 5
familiar
20202 Conocimiento sobre el papel de cuidador 1 2 3 4 5
familiar
220204 Participación en las decisiones de atención 1 2 3 4 5
domiciliaria
220206 Conocimiento del régimen de tratamiento 1 2 3 4 5
recomendado
220207 Conocimiento de los procedimientos 1 2 3 4 5
de tratamiento recomendados
220213 Conocimiento de las visitas de los 1 2 3 4 5
profesionales sanitarios
220214 Apoyo social 1 2 3 4 5
220219 Conocimiento de dónde obtener el 1 2 3 4 5
equipamiento necesario
244
NOC
Gravemente comprometido (1), Sustancialmente comprometido
(2), Moderadamente comprometido (3), Levemente
comprometido (4), No comprometido (5)
Gravemente comprometido (1), Sustancialmente comprometido
(2), Moderadamente comprometido (3), Levemente
comprometido (4) y No comprometido (5)
2203 ALTERACIÓN DEL ESTILO DE VIDA DEL CUIDADOR FAMILIAR
Definición: Gravedad de alteraciones en el estilo de vida de un miembro
de la familia debido a su papel de cuidador.
Escala
Indicador Descripción
220301 Insatisfacción con las circunstancias de la vida 1 2 3 4 5
220304 Oportunidades para la intimidad 1 2 3 4 5
220305 Relaciones con otros miembros de la familia 1 2 3 4 5
220306 Interacciones sociales 1 2 3 4 5
220308 Actividades de ocio 1 2 3 4 5
220309 Productividad laboral 1 2 3 4 5
2204 RELACIÓN ENTRE EL CUIDADOR PRINCIPAL Y EL PACIENTE
Definición: Interacciones y conexiones positivas entre el cuidador princi-
pal y el receptor de los cuidados.
Escala
Indicador Descripción
220401 Comunicación efectiva 1 2 3 4 5
220402 Paciencia 1 2 3 4 5
220409 Aceptación mutua 1 2 3 4 5
220410 Respeto mutuo 1 2 3 4 5
220411 Solución de problemas en colaboración 1 2 3 4 5
220413 Sentimiento mutuo de unión 1 2 3 4 5
245
NOC
Inadecuado (1), ligeramente adecuado (2), Moderadamente
adecuado (3), Sustanciallmente adecuado (4) y
Completamente adecuado (5)
2205 RENDIMIENTO DEL CUIDADOR PRINCIPAL:
CUIDADOS DIRECTOS
Definición: Aporte por el cuidador familiar de cuidaos personales y sanita-
rios apropiados para un miembro de la familia.
Escala
Indicador Descripción
220503 Conocimiento del proceso de enfermedad 1 2 3 4 5
220504 Conocimiento del plan de tratamiento 1 2 3 4 5
220505 Adhesión al plan de tratamiento 1 2 3 4 5
220507 Realización de los tratamientos 1 2 3 4 5
220502 Ayuda al receptor de cuidados en las AVD 1 2 3 4 5
220506 Ayuda al receptor de cuidados en las AIVD 1 2 3 4 5
220501 Aporte de soporte emocional al receptor 1 2 3 4 5
de los cuidados
220509 Monitorización del estado de salud del 1 2 3 4 5
receptor de los cuidados
220515 Provisión de un entorno seguro y protegido 1 2 3 4 5
246
NOC
Intenso (1), Sustancial (2), Moderado (3), Ligero (4) y Ninguno (5)
2208 FACTORES ESTRESANTES DEL CUIDADOR FAMILIAR
Definición: Gravedad de la presión biopsicosocial sobre un cuidador fami-
liar por parte de otro durante un extenso período de tiempo.
Escala
Indicador Descripción
220802 Limitaciones físicas del cuidador 1 2 3 4 5
220803 Limitaciones psicológicas del cuidador 1 2 3 4 5
220804 Limitaciones cognitivas del cuidador familiar 1 2 3 4 5
220805 Conflicto del rol 1 2 3 4 5
220812 Cantidad de cuidados requeridos o vigilancia 1 2 3 4 5
220813 Alteración de la relación entre el cuidador 1 2 3 4 5
y el paciente
247
NOC
Inadecuado(1), ligeramente adecuado(2), Moderadamente
adecuado(3), Sustancialmente adecuado(4) y Completamente
adecuado (5)
2210 POSIBLE RESISTENCIA AL CUIDADO FAMILIAR
Definición: Factores que fomentan la continuación del cuidado familiar
durante un largo periodo de tiempo.
Escala
Indicador Descripción
221001 Relación mutuamente satisfactoria entre el
cuidador familiar y el destinatario de los cuidados 1 2 3 4 5
221002 Dominio de las actividades de cuidados directos 1 2 3 4 5
221003 Dominio de las actividades de cuidados indirectos 1 2 3 4 5
221006 Apoyo del sistema de asistencia sanitari 1 2 3 4 5
para el cuidador familiar
221011 Recursos económicos 1 2 3 4 5
221005 Apoyo social para el cuidador familiar 1 2 3 4 5
221008 Descanso para el cuidador familiar 1 2 3 4 5
221009 Oportunidades del cuidador familiar para
actividades de ocio 1 2 3 4 5
248
NOC
Desviación grave del rango normal (1), Desviación Sustancial
del rango normal (2), Desviación Moderada del rango normal
(3), Desviación Leve del rango normal (4), Sin desviación del
rango normal (5)
2300 NIVEL DE GLUCEMIA
Definición: Magnitud a la que se mantienen los niveles de glucosa en plas-
ma y orina dentro del rango normal.
Escala
Indicador Descripción
230001 Concentración sanguínea de glucosa 1 2 3 4 5
230004 Hemoglobina glicosilada 1 2 3 4 5
230005 Fructosamina 1 2 3 4 5
230007 Glucosa en orina 1 2 3 4 5
230008 Cetonas en orina 1 2 3 4 5
249
NOC
Grave (1), Sustancial (2), Moderado (3), Leve (4) y Ninguno (5)
Desviación grave del rango normal (1), Desviación Sustancial
del rango normal (2), Desviación Moderada del rango normal
(3), Desviación Leve del rango normal (4) y Sin desviación
del rango normal (5)
2400 FUNCIÓN SENSITIVA: CUTÁNEA
Definición: Grado en el que la estimulación de la piel se siente correcta-
mente.
Escala
Indicador Descripción
240001 Discriminación entre punzante y romo 1 2 3 4 5
240002 Discriminación entre dos puntos 1 2 3 4 5
240003 Discriminación vibratoria 1 2 3 4 5
240004 Discriminación de calor 1 2 3 4 5
240005 Discriminación de frío 1 2 3 4 5
240008 Ausencia de parestesias 1 2 3 4 5
Escala
240008 Parestesias 1 2 3 4 5
250
NOC
Grave (1), Sustancial (2), Moderado (3), Leve (4) y Ninguno (5)
Desviación grave del rango normal(1), Desviación Sustancial
del rango normal (2), Desviación moderada del rango
normal(3), Desviación leve del rango normal(4),
Sin desviación del rango normal (5)
2401 FUNCIÓN SENSITIVA: AUDITIVA
Definición:Grado en el que los sonidos se oyen correctamente.
Escala
Indicador Descripción
240101 Agudeza auditiva izquierda 1 2 3 4 5
240102 Agudeza auditiva derecha 1 2 3 4 5
240108 Oye susurros a 15 cm del oído izquierdo 1 2 3 4 5
(prueba de voz)
240114 Oye susurros a 15 cm del oído derecho 1 2 3 4 5
(prueba de voz)
240109 Se gira ante los sonidos 1 2 3 4 5
240110 Muestra interés por los estímulos auditivos 1 2 3 4 5
Escala
240106 Ausencia de acúfenos (izquierda) 1 2 3 4 5
240115 Ausencia de acufenos (derecha) 1 2 3 4 5
240199 Ausencia de tapones de cerumen 1 2 3 4 5
251
NOC
Grave (1), Sustancial (2), Moderado (3), Leve (4) y Ninguno (5)
Desviación grave del rango normal (1), Desviación Sustancial
del rango normal (2), Desviación Moderada del rango normal
(3), Desviación Leve del rango normal (4), Sin desviación del
rango normal (5)
2404 FUNCIÓN SENSITIVA: VISIÓN
Definición: Grado en el que las imágenes visuales se perciben o ven
correctamente.
Escala
Indicador Descripción
240416 Responde a los estímulos visuales 1 2 3 4 5
240499 Test optotipo 1 2 3 4 5
Escala
240408 Halos alrededor de la luz 1 2 3 4 5
240409 Telarañas 1 2 3 4 5
240410 Visión doble 1 2 3 4 5
240411 Visión borrosa 1 2 3 4 5
240412 Visión distorsionada 1 2 3 4 5
240413 Distorsiones en la visión de los colores 1 2 3 4 5
252
NOC
Gravemente comprometido (1); Sustancialmente comprometido
(2); Moderadamente comprometido (3); Levemente
comprometido (4); No comprometido (1)
Grave (1), Sustancial (2), Moderado (3), Leve (4), Ninguno (5)
Gravemente comprometido (1), Sustancialmente comprometido
(2), Moderadamente comprometido (3), Levemente
comprometido (4), No comprometido (5)
2506 SALUD EMOCIONAL DEL CUIDADOR PRINCIPAL
Definición: Bienestar emocional de un cuidador familiar mientras atiende
a un miembro de la familia.
Escala
Indicador Descripción
250611 Relación social percibida 1 2 3 4 5
Escala
250613 Cargas percibidas 1 2 3 4 5
250615 Uso de fármacos psicotrópicos 1 2 3 4 5
2507 SALUD FÍSICA DEL CUIDADOR FAMILIAR
Definición: Bienestar físico de un cuidador familiar mientras atiende a un
miembro de la familia.
Escala
Indicador Descripción
250702 Patrón de sueño 1 2 3 4 5
250705 Comodidad física 1 2 3 4 5
250706 Nivel de movilidad 1 2 3 4 5
250711 Consumo de medicación 1 2 3 4 5
250712 Salud general percibida 1 2 3 4 5
257013 Uso de recursos 1 2 3 4 5
253
NOC
Nunca manifestado (1), Raramente manifestado (2), En
ocasiones manifestado (3), Con frecuencia manifestado
(4) y Manifestado constantemente (5)
2600 AFRONTAMIENTO DE LOS PROBLEMAS DE LA FAMILIA
Definición: Acciones de la familia para controlar los factores estresantes
que comprometen los recursos de la familia.
Escala
Indicador Descripción
260003 Afronta los problemas 1 2 3 4 5
260006 Implica a los miembros de la familia
en la toma de decisiones 1 2 3 4 5
260007 Expresa libremente sentimientos y emociones 1 2 3 4 5
260009 Utiliza estrategias para reducir el estrés 1 2 3 4 5
260010 Busca atención para todos los miembros
de la familia. 1 2 3 4 5
260012 Establece programas para la rutina y
actividades familiares. 1 2 3 4 5
260013 Organiza momentos de descanso 1 2 3 4 5
254
NOC
Nunca demostrado (1), Raramente demostrado (2), a veces
demostrado (3), Frecuentemente demostrado (4),
Siempre demostrado (5)
Nunca demostrado (1), Raramente demostrado (2), A veces
demostrado (3), Frecuentemente demostrado (4)
y Siempre demostrado (5)
2601 CLIMA SOCIAL DE LA FAMILIA
Definición: Ambiente de apoyo caracterizado por las relaciones y objetivos
de los miembros de la familia.
Escala
Indicador Descripción
260101 Participa en actividades conjuntas 1 2 3 4 5
260104 Recibe visitas de amigos y de todos 1 2 3 4 5
los miembros de la familia
260105 Participa en actividades recreativas 1 2 3 4 5
260108 Mantiene el hogar limpio y ordenado 1 2 3 4 5
260114 Comparte sentimientos y problemas 1 2 3 4 5
con los miembros de la familia
2602 FUNCIONAMIENTO DE LA FAMILIA
Definición: Capacidad del sistema familiar para satisfacer las necesidades
de sus miembros durante los cambios de desarrollo.
Escala
Indicador Descripción
260202 Cuida los miembros dependientes de la familia 1 2 3 4 5
260204 Distribuye las responsabilidades entre los 1 2 3 4 5
miembros de la familia
260208 Se adapta a los cambios de desarrollo 1 2 3 4 5
260211 Crea un entorno donde los miembros 1 2 3 4 5
pueden expresar libremente sus sentimientos
260215 Los miembros se apoyan y se ayudan 1 2 3 4 5
los unos a los otros
255
NOC
Nunca demostrado (1), Raramente demostrado (2), A veces
demostrado (3), Frecuentemente demostrado (4), Siempre
demostrado (5)
2605 PARTICIPACIÓN DE LA FAMILIA EN LA ASISTENCIA SANITARIA
PROFESIONAL
Definición: Implicación de la familia en la toma de decisiones, administra-
ción y evaluación de la asistencia realizada por el personal sanitario.
Escala
Indicador Descripción
260506 Colabora en la determinación del tratamiento. 1 2 3 4 5
260508 Toma decisiones cuando el paciente es 1 2 3 4 5
incapaz de hacerlo.
260509 Participa en las decisiones con el paciente. 1 2 3 4 5
256
NOC
Grave (1), Sustancial (2), Moderado (3), Leve (4), Ninguno (5)
Gravemente comprometido (1), Sustancialmente comprometido
(2), Moderadamente comprometido (3), Levemente
comprometido (4), No comprometido (5)
2606 ESTADO DE SALUD DE LA FAMILIA
Definición: Estado global y competencia social de la unidad familiar.
Escala
Indicador Descripción
260602 Proveedor de cuidados a los niños 1 2 3 4 5
260603 Proveedor de cuidados a adultos incapacitados 1 2 3 4 5
260605 Salud física de los miembros de la familia 1 2 3 4 5
260613 Desarrollo psicosocial de los miembros 1 2 3 4 5
de la familia
260615 Uso de los recursos sanitarios 1 2 3 4 5
260616 Uso de recursos sociales 1 2 3 4 5
260618 Salud mental de los miembros de la familia 1 2 3 4 5
Escala
260620 Violencia doméstica 1 2 3 4 5
260621 Abuso físico de los miembros de la familia 1 2 3 4 5
260624 Abuso psicológico de los miembros 1 2 3 4 5
260625 Abuso de alcohol 1 2 3 4 5
260626 Consumo de tabaco 1 2 3 4 5
260627 Consumo de drogas recreativas 1 2 3 4 5
257
NOC
Nunca demostrado (1), Raramente demostrado (2), A veces
demostrado (3), Frecuentemente demostrado (4),
Siempre demostrado (5)
2609 APOYO FAMILIAR DURANTE EL TRATAMIENTO
Definición: Presencia y apoyo emocional familiar a un individuo que está
sometido a un tratamiento.
Escala
Indicador Descripción
260905 Piden información sobre el estado o 1 2 3 4 5
condición del paciente.
260907 Los miembros de la familia animan al 1 2 3 4 5
miembro enfermo.
260909 Buscan apoyo social y espiritual para 1 2 3 4 5
el miembro enfermo.
260910 Colaboran con el miembro enfermo 1 2 3 4 5
en la determinación de los cuidados.
258
NOC
INTERVENCIONES5
0200 FOMENTO DEL EJERCICIO
Definición: Facilitar, regularmente, la realización de ejercicios físicos con
el fin de mantener o mejorar el estado físico y el nivel de salud.
Actividades:
0200.01 Valorar las ideas del paciente sobre el efecto del ejercicio físico
en la salud.
0200.04 Incluir a la familia/cuidadores del paciente en la planificación y
mantenimiento del programa de ejercicios.
0200.05 Informar al paciente acerca de los beneficios para la salud y los
efectos psicológicos del ejercicio.
0200.07 Instruir al paciente acerca de la frecuencia, duración e intensidad
deseadas de los ejercicios del programa.
0200.15 Ayudar al paciente a integrar el programa de ejercicios en su ruti-
na semanal.
0200.16 Reforzar el programa para potenciar la motivación del paciente
(control del peso semanalmente).Controlar la respuesta del paciente al
programa de ejercicios.
0200.17 Proporcionar una respuesta positiva a los esfuerzos del pacien-
te.
0200.18 Explorar las barreras para el ejercicio.
0200.19 Ayudar al individuo a desarrollar un programa de ejercicios ade-
cuado a sus necesidades.
0200.20 Ayudar al individuo a integrar el programa de ejercicios en su ruti-
na semanal.
0200.21 Enseñar al individuo técnicas de respiración adecuadas para
maximizar la absorción de oxígeno durante el ejercicio físico.
0201 FOMENTAR EL EJERCICIO: ENTRENAMIENTO DE EXTENSIÓN
Definición: Facilitar el entrenamiento regular de músculos resistentes
para mantener o aumentar la fuerza del músculo.
Actividades:
0201.01 Examinar el estado general antes del ejercicio para identificar los
261
0000
posibles riesgos del ejercicio utilizando escalas estandarizadas de la pre-
paración para la actividad física y / o el historial completo y un examen
físico.
0201.07 Ayudar a fijar objetivos realistas a corto y largo plazo y a hacer
propio el programa de ejercicios.
0201.10 Ayudar a desarrollar un entorno hogar / trabajo que facilite la
dedicación al programa de ejercicios.
0201.12 Ayudar a desarrollar un programa de entrenamiento de fuerza
consecuente con el nivel de forma física muscular, fuerza músculo-esque-
lética, objetivos de salud funcional, recursos de equipamientos para ejer-
cicios, preferencias personales y apoyo social.
0201.13 Especificar el nivel de resistencia, el número de repeticiones, el
número de series y la frecuencia de las sesiones de entrenamiento de
acuerdo con el nivel de forma física y la presencia / ausencia de factores
de riesgo con el ejercicio.
0201.28 Establecer un programa de seguimiento para mantener la moti-
vación, ayudar a resolver problemas controlando el progreso.
0201.30 Colaborar con la familia y otros profesionales de la salud (p.e.
fisioterapeuta, fisiólogo del ejercicio, terapeuta ocupacional, terapeuta de
recreo, terapeuta físico) en la planificación, enseñanza y control del pro-
grama de entrenamiento muscular.
0202 FOMENTO DE EJERCICIOS: EXTENSIÓN
Definición: Facilitar ejercicios sistemáticos de extensión muscular lenta y
mantenimiento con posterior relajación con el fin de preparar los múscu-
los y articulaciones para ejercicios más vigorosos o para aumentar o man-
tener la flexibilidad corporal.
Actividades:
0202.03 Ayudar a desarrollar metas realistas a corto y largo plazo en fun-
ción del nivel de forma física y el estilo de vida actuales.
0202.04 Proporcionar información sobre los cambios en la estructura
musculoesquelética relacionados con el envejecimiento en la estructura
neuromusculoesquelética y los efectos de la falta de uso.
0202.05 Proporcionar información sobre las opciones de secuencia, acti-
vidades de extensión específicas, tiempo y lugar.
262
0000
0202.06 Ayudar a desarrollar un programa de ejercicios coherente con la
edad, estado físico, metas, motivación y estilo de vida.
0202.07 Ayudar a desarrollar un plan de ejercicios que incorpore una
secuencia ordenada de movimientos de extensión, aumentos en la fase
de mantenimiento del movimiento y aumentos en el número de repeticio-
nes de cada movimiento de extensión-mantenimiento lento, coherente
con el nivel de estado físico musculoesquelético o de alguna patología
presente.
0202.08 Enseñar que hay que comenzar la rutina de ejercicios por los gru-
pos de músculos / articulaciones que estén menos rígidos o lesionados y
cambiar gradualmente a los grupos de músculos/articulaciones más limi-
tados.
0202.10 Enseñar a evitar movimientos rápidos, de fuerza o de rebote para
impedir la estimulación excesiva del reflejo miostático o el dolor muscular
excesivo.
0202.11 Enseñar la forma de controlar el propio seguimiento del progra-
ma y su evolución hacia las metas fijadas (aumento del arco de movimien-
to de articulaciones, conciencia de la liberación de la tensión muscular,
aumento de la duración de la fase de «mantenimiento» y del número de
repeticiones del ejercicio sin dolor ni fatiga, y aumento de la tolerancia al
ejercicio vigoroso).
0202.12 Proporcionar instrucciones ilustradas, escritas, que puedan lle-
varse a casa, de cada componente de los movimientos.
0202.13 Realizar demostraciones de los ejercicios, si es preciso.
0202.15 Controlar la tolerancia al ejercicio (presencia de síntomas tales
como falta de aire, pulso rápido, palidez, mareos y dolor o inflamación
muscular) durante el mismo.
0202.16 Volver a evaluar el plan si persisten los síntomas de poca tole-
rancia al ejercicio después del cese del mismo.
0202.17 Colaborar con los miembros de la familia en la planificación,
enseñanza y control de un plan de ejercicios.
0221 TERAPIA DE EJERCICIOS: DEAMBULACIÓN
Definición: estímulo y asistencia en la deambulación para mantener o
restablecer las funciones corporales autónomas y voluntarias durante el
tratamiento y recuperación de una enfermedad o lesión.
263
0000
Actividades:
0221.01 Vestir al paciente con prendas cómodas.
0221.02 Aconsejar al paciente que use un calzado que facilite la deambu-
lación.
0221.07 Consultar con el fisioterapeuta acerca del plan de deambulación,
si es preciso.
0220.13 Aplicar/proporcionar un dispositivo de ayuda ( bastón, muletas o
silla de ruedas, etc. ) para la deambulación si el paciente no camina bien.
0221.14 Ayudar al paciente con la deambulación inicial, si es necesario.
0221.15 Instruir al paciente/ cuidador acerca de las técnicas de traslado y
deambulación seguras.
0221.16 Vigilar la utilización por parte del paciente de muletas u otros dis-
positivos de ayuda para andar.
0221.17 Ayudar al paciente a ponerse de pie y a deambular distancias
determinadas y con un número concreto de personal.
0221.18 Ayudar al paciente a establecer aumentos de distancia realistas
con la deambulación.
0221.19 Fomentar una deambulación independiente dentro de los límites
de la seguridad.
0222 TERAPIA DE EJERCICIOS: EQUILIBRIO
Definición: Utilización de actividades, posturas y movimientos específi-
cos para mantener, potenciar o restablecer el equilibrio.
Actividades:
0222.01 Determinar la capacidad del paciente para participar en activida-
des que requieran equilibrio.
0222.03 Consultar la terapia física en razón del tipo, número y secuencia
de los patrones de movimientos necesarios para potenciar el equilibrio.
0222.04 Evaluar las funciones sensoriales (visión, oído y propiocepción).
0222.06 Facilitar un ambiente seguro para la práctica de los ejercicios.
0222.08 Proporcionar dispositivos de ayuda (bastón, barra de andar,
almohadas o colchones de ejercicios) como apoyo del paciente al realizar
los ejercicios.
264
0000
0222.10 Reforzar o proporcionar instrucción sobre la posición y la realiza-
ción de los movimientos para mantener o mejorar el equilibrio durante los
ejercicios o actividades de la vida diaria.
0222.11 Ayudar al paciente a participar en los ejercicios de extensión en
posición de decúbito supino, pedestación o bipedestación.
0222.12 Ayudar al paciente a moverse hasta la posición de sentado, esta-
bilizar el tronco con los brazos colocados al lado de la cama/ silla y balan-
cear el tronco apoyándose en los brazos.
0222.14 Utilizar un espejo para facilitar la alineación postural de sentado
y de pie, si corresponde.
0222.15 Ayudarle a ponerse de pie (o sentarse) y balancear el cuerpo de
lado a lado para estimular los mecanismos del equilibrio.
0222.17 Ayudar al paciente en la práctica de estar de pie con los ojos
cerrados durante cortos períodos de tiempo a intervalos regulares para
estimular la propiocepción.
0222.18 Vigilar la respuesta del paciente a los ejercicios de equilibrio.
0222.20 Ayudar al paciente a caminar a intervalos regulares.
0224 TERAPIA DE EJERCICIOS: MOVILIDAD ARTICULAR
Definición: realizar movimientos corporales o pasivos para mantener o
restablecer la flexibilidad articular.
Actividades:
0224.01 Determinar las limitaciones del movimiento articular y actuar
sobre la función.
0224.02 Colaborar con la fisioterapia en el desarrollo y ejecución de un
programa de ejercicios.
0224.04 Explicar al paciente/ familia el objeto y el plan de ejercicio de las
articulaciones.
0224.06 Poner en marcha medidas de control del dolor antes de comen-
zar el ejercicio de las articulaciones.
0224.07 Vestir al paciente con prendas cómodas.
0224.11 Realizar ejercicios pasivos o asistidos si está indicado.
265
0000
0224.15 Animarle a visualizar el movimiento corporal antes de comenzar
el movimiento.
0224.17 Fomentar sentarse en la cama, en un lado de la cama o en una
silla, según tolerancia.
0224.18 Fomentar la deambulación, si resulta oportuno.
0224.20 Dar un apoyo positivo al realizar los ejercicios de las articulacio-
nes.
0226 TERAPIA DE EJERCICIOS: CONTROL MUSCULAR
Definición: Utilización de protocolos de actividad o ejercicios específicos
para mejorar o restablecer el movimiento controlado del cuerpo.
Actividades:
0226.01 Determinar la disposición del paciente para comprometerse a
realizar un protocolo de actividades o ejercicios.
0226.02 Colaborar con fisioterapeutas, terapeutas ocupacionales y de
recreación en el desarrollo y ejecución de un programa de ejercicios, si
procede.
0226.03 Consultar al fisioterapeuta para determinar la posición óptima del
paciente durante el ejercicio y el número de veces que debe realizar cada
movimiento.
0226.04 Evaluar las funciones sensoriales (la visión, audición y propio-
cepción).
0226.05 Explicar el fundamento del tipo de ejercicio y el protocolo al
paciente / familia.
0226.07 Ajustar la iluminación, la temperatura ambiente y el nivel de ruido,
y así mejorar la capacidad de concentración del paciente en la actividad
de ejercicios.
0226.08 Establecer una secuencia de actividades diarias de cuidados
para potenciar los efectos de la terapia especifica de ejercicios.
0226.09 Poner en marcha medidas de control del dolor antes de comen-
zar el ejercicio/ actividad.
0226.14 Ayudar al paciente a colocarse en las posiciones sedente/ anató-
mica para el protocolo de ejercicios, si procede.
266
0000
0226.15 Reforzar las instrucciones dadas al paciente respecto a la forma
correcta de realizar los ejercicios para minimizar la aparición de lesiones
y maximizar su eficacia.
0226.16 Determinar la imagen corporal exacta.
0226.17 Reorientar al paciente en cuanto a la conciencia de su cuerpo.
0226.18 Reorientar al paciente sobre las funciones de movimiento del
cuerpo.
0226.19 Enseñar al paciente a explorar visualmente el lado afectado del
cuerpo al realizar las actividades de la vida diaria o los ejercicios, si está
indicado.
0226.20 Proporcionar instrucciones paso a paso para cada actividad
motora durante el ejercicio o actividades de la vida diaria.
0226.24 Ayudar al paciente a desarrollar el protocolo de ejercicios para
conseguir resistencia, fortaleza y flexibilidad.
0226.25 Ayudar al paciente a formular objetivos realistas, mensurables.
0226.26 Practicar actividades motoras que requieran atención y utilizar
los dos costados del cuerpo.
0226.27 Incorporar actividades de la vida diaria en el protocolo de ejerci-
cios, si corresponde.
0226.28 Animar al paciente a practicar ejercicios de forma independiente,
si está indicado.
0226.29 Ayudar o animar al paciente a que practique actividades de pre-
calentamiento y relajamiento antes y después del protocolo de ejercicios.
0226.32 Vigilar la respuesta emocional, cardiovascular y funcional del
paciente al protocolo de ejercicios.
0226.33 Observar los ejercicios realizados por el paciente para su correc-
ta ejecución.
0226.34 Evaluar el progreso del paciente en la mejora/ restablecimiento
del movimiento y la función corporal.
0226.35 Proporcionar un apoyo positivo a los esfuerzos del paciente en la
actividad física y en los ejercicios.
0226.36 Colaborar con los cuidadores a domicilio respecto al protocolo de
ejercicios y las actividades de la vida diaria.
267
0000
0226.37 Ayudar al paciente / cuidador a realizar las revisiones prescritas
en el plan de ejercicios en casa, si está indicado.
0410 CUIDADOS DE INCONTINENCIA INTESTINAL
Definición: Estimulación de la continencia intestinal y mantenimiento de
la integridad de la piel perianal.
Actividades:
0410.01 Determinar la causa física o fisiológica de la incontinencia fecal.
0410.02 Explicar la etiología del problema y la base de las acciones.
0410.03 Determinar los objetivos del programa de manejo intestinal con
el paciente / familia.
0410.05 Instruir al paciente / familia a que lleve un registro de defecación,
si es preciso.
0410.06 Lavar la zona perianal con jabón y agua y secarla bien después
de cada deposición.
0410.10 Llevar a cabo un programa de entrenamiento intestinal, si proce-
de.
0410.12 Controlar la dieta y las necesidades de líquidos.
0410.16 Colocar pañales de incontinencia, sí es necesario.
0412 CUIDADOS EN LA INCONTINENCIA INTESTINAL: ENCOPRESIS
Definición: Fomento de la continencia intestinal en niños.
Actividades:
0412.01 Reunir información sobre el historial de educación acerca del uso
del baño; duración de la encopresis, e intentos realizados para eliminar el
problema.
0412.02 Determinar la causa del problema (estreñimiento e impactación
fecal), si procede.
0412.06 Enseñar a la familia la fisiología de la defecación normal y la edu-
cación sobre uso del baño.
0412.07 Recomendar cambios en la dieta o terapia de conducta, si procede.
268
0000
0412.10 Investigar los esquemas de comunicación familiar, sus puntos
fuertes y la capacidad de control.
0412.11 Animar a los padres a dar seguridad eliminando la ansiedad aso-
ciada con el uso del baño.
0412.12 Animar a los padres a demostrar amor y aceptación en casa para
contrarrestar el ridículo del niño frente a los niños.
0412.14 Discutir formas de recompensa a la conducta en el baño.
0420 IRRIGACIÓN INTESTINAL
Definición: Instilación de sustancias en el tracto gastrointestinal infe-
rior.
Actividades:
0420.01 Determinar la razón del lavado intestinal.
0420.02 Evitar la aplicación si el paciente tiene un historial de colitis ulce-
rosa o enteritis local.
0420.04 Elegir el tipo de enema adecuado.
0420.05 Explicar el procedimiento al paciente.
0420.06 Disponer intimidad de ambiente.
0420.07 Informar al paciente que pueden presentar retortijones abdomi-
nales y urgencia de defecación.
0420.08 Preparar el equipo necesario.
0420.09 Colocar al paciente en posición, según el caso.
0420.12 Determinar la temperatura adecuada de la sustancia de irriga-
ción.
0420.13 Lubricar el tubo antes de la inserción, cuando proceda.
0420.14 Insertar la sustancia por el recto, según indicación:
0420.17 Observar si hay signos y síntomas de diarrea, estreñimiento e
impactación.
0420.18 Tomar nota sobre si los retornos del enema o laxante no son cla-
ros..
0420.19 Limpiar la zona anal.
269
0000
0430 MANEJO INTESTINAL
Definición: Establecimiento y mantenimiento de una evacuación intesti-
nal de esquema regular.
Actividades:
0430.01 Tomar nota de la fecha del último movimiento intestinal.
0430.02 Controlar los movimientos intestinales, incluyendo la frecuencia,
consistencia, forma, volumen y color, si procede.
0430.03 Observar si hay sonidos intestinales.
0430.07 Observar si hay signos y síntomas de diarrea, estreñimiento e
impactación.
0430.10 Enseñar al paciente las comidas específicas que ayudan a con-
seguir un adecuado ritmo intestina.
0430.13 Poner en marcha un programa de entrenamiento intestinal, si
resulta oportuno.
0430.15 Instruir al paciente sobre los alimentos de alto contenido en fibra.
0430.17 Evaluar el perfil de la medicación para determinar efectos secun-
darios gastrointestinales.
0440 ENTRENAMIENTO DEL HÁBITO INTESTINAL
Definición: Ayuda al paciente en la educación del intestino para que eva-
cue a intervalos determinados.
Actividades:
0440.01 Planificar un programa intestinal con el paciente y demás perso-
nas relacionadas.
0440.03 Enseñar al paciente/familia los principios de la educación intestinal.
0440.04 Instruir al paciente acerca de alimentos con alto contenido en
fibra.
0440.06 Asegurar una ingesta adecuada de líquidos.
0440.07 Asegurarse de que se realizan ejercicios adecuados.
0440.99 Administrar microlaxantes, supositorios de glicerina o enemas , si
procede.
270
0000
0450 MANEJO DEL ESTREÑIMIENTO / IMPACTACIÓN
Definición: Prevención y alivio del estreñimiento / impactación.
Actividades:
0450.01 Vigilar la aparición de signos y síntomas del estreñimiento.
0450.03 Comprobar movimientos intestinales, incluyendo frecuencia, con-
sistencia, forma, volumen y color si procede.
0450.08 Identificar los factores (medicamentos, reposo en cama y dieta)
que pueden ser causa del estreñimiento o que contribuyan al mismo.
0450.10 Fomentar el aumento de la ingesta de líquidos , a menos que
esté contraindicado.
0450.12 Enseñar al paciente / familia que registre el color, volumen, fre-
cuencia y consistencia de las deposiciones.
0450.14 Instruir al paciente / familia acerca de la dieta rica en fibra , si pro-
cede.
0450.15 Instruir al paciente / familia sobre el uso correcto de laxantes.
0450.16 Instruir al paciente / familia sobre la relación entre dieta, ejercicio
e ingesta de líquidos para el estreñimiento e impactación.
0450.21 Extraer la impactación fecal manualmente, si fuera necesario.
0450.22 Administrar el enema o la irrigación, cuando proceda.
0460 MANEJO DE LA DIARREA
Definición: Prevención y alivio de la diarrea.
Actividades:
0460.02 Evaluar el perfil de la medicación por si hubiera efectos secunda-
rios gastrointestinales.
0460.04 Solicitar al paciente/miembro familiar que registre el color, volu-
men, frecuencia y consistencia de las deposiciones.
0460.05 Evaluar la ingesta registrada para ver el contenido intestinal.
0460.06 Fomentar la realización de comidas en pequeñas cantidades, fre-
cuentes y añadir fibras de forma gradual.
0460.09 Observar si hay signos y síntomas de diarrea.
271
0000
0460.11 Observar la turgencia de la piel regularmente.
0460.16 Realizar consulta con el médico si persisten los signos y sínto-
mas de diarrea.
0470 DISMINUCIÓN DE LA FLATULENCIA
Definición: Evitar la formación de flato y facilitar la salida de gases exce-
sivos.
Actividades:
0470.01 Enseñar al paciente cómo se produce el flato y los métodos de
alivio del mismo.
0470.02 Enseñar al paciente a evitar situaciones que ocasionan una
deglución de aire en exceso, como masticar chicle, tomar medidas bebi-
das carbonatadas, comer rápido, sorber con paja, masticar con la boca
abierta o hablar con la boca llena.
0470.03 Enseñar al paciente a evitar aquellos alimentos que causen fla-
tulencia, como alubias, repollo, rábanos, cebollas, coliflor y pepinos.
0470.05 Observar si hay sensación de hinchazón, distensión abdominal,
dolores por retortijones, salida excesiva de gases por la boca o por el ano.
0470.06 Comprobar ruidos intestinales.
0470.08 Establecer la relación de ejercicios adecuados (deambulación).
0470.13 Colocar en posición lateral izquierda con las rodillas flexionadas,
si no está contraindicado.
0480 CUIDADOS DE LA OSTOMÍA
Definición: Asegurar la eliminación a través de un estoma y cuidados de
un tejido circundante.
Actividades:
0480.01 Instruir al paciente/ ser querido en la utilización del equipo de
ostomía.
0480.03 Ayudar al paciente a obtener el equipo necesario.
0480.05 Observar la curación de la incisión/estoma.
272
0000
0480.06 Vigilar posibles complicaciones postoperatorias, como la obstruc-
ción intestinal, el íleo paralítico, fisura de la anastomosis o la separación
de la mucosa cutánea.
0480.07 Vigilar la curación del estoma/tejido circundante y la adaptación
al equipo de ostomía.
0480.10 Ayudar al paciente a practicar los autocuidados.
0480.11 Animar al paciente/ser querido a expresar los sentimientos e
inquietudes acerca del cambio de imagen corporal.
0480.13 Ayudar al paciente a planificar en el tiempo la rutina de los cuida-
dos.
0480.14 Enseñar al paciente a vigilar la presencia de posibles complica-
ciones (rotura mecánica, rotura química, exantema, fugas, deshidrata-
ción, infección).
0480.18 Enseñar al paciente a masticar concienzudamente, a evitar ali-
mentos que antes le hubiesen causado trastornos digestivos, a añadir un
alimento nuevo cada vez y a beber líquidos en abundancia.
0560 EJERCICIO DEL SUELO PÉLVICO
Definición: Fortalecimiento y entrenamiento de los músculos elevador del
ano y urogenital mediante la contracción voluntaria y repetida para dismi-
nuir la incontinencia por estrés, de urgencia o tipos mezclados de inconti-
nencia urinaria.
Actividades:
0560.02 Enseñar al paciente a ajustar y luego relajar el anillo muscular
de la uretra y el ano, como si intentara evitar orinar o el movimiento intes-
tinal.
0560.03 Enseñar al paciente a evitar contraer lo músculos abdominales ,
músculos glúteos, los que participen en la respiración o estirarse durante
la realización de los ejercicios.
0560.06 Enseñar al paciente a realizar ejercicios de contracción muscu-
lar, entre 30 y 50 cada día, manteniendo la contracción durante 10 segun-
dos cada vez descansando como mínimo 10 segundos entre cada con-
tracción.
0560.07 Enseñar al paciente a detener y reiniciar el flujo de orina.
273
0000
0560.08 Explicar el paciente que la efectividad de los ejercicios se consi-
gue a las 6-12 semanas.
0560.12 Dar instrucciones escritas donde se escriba la intervención y el
número de repeticiones recomendadas.
0560.13 Comentar el registro diario de continencia con el paciente para
proporcionar seguridad.
0570 ENTRENAMIENTO DE LA VEJIGA URINARIA
Definición: Mejoría de la función de la vejiga en aquellas personas afec-
tadas de incontinencia de urgencia aumentando la capacidad de la vejiga
para mantener la orina y la capacidad del paciente para suprimir la mic-
ción.
Actividades
0570.04 Ayudar al paciente a identificar pautas de incontinencia.
0570.06 Establecer un intervalo de tiempo inicial para ir al aseo, en fun-
ción del esquema de eliminación.
0570.07 Establecer una hora de inicio y finalización para ir al aseo, si no
se realiza en 24 horas.
0570.08 Establecer un intervalo de tiempo para ir al aseo no inferior a 1
hora y preferiblemente no inferior a 2 horas.
0570.14 Mantener el intervalo de ir al aseo si se producen tres o menos
episodios de incontinencia en 24 horas.
0570.17 Expresar confianza en la posibilidad de mejorar la continencia.
0570.18 Enseñar al paciente a controlar conscientemente la orina hasta
la hora programada de ir al aseo.
0570.19 Estudiar el registro diario de continencia con el paciente para
darle seguridad.
0580 SONDAJE VESICAL
Definición: Inserción de un catéter en la vejiga para le drenaje temporal
o permanente de la orina.
Actividades:
274
0000
0580.01 Explicar el procedimiento y fundamento de la intervención.
0580.02 Reunir el equipo adecuado para la cateterización.
0580.03 Mantener una técnica aséptica estricta.
0580.04 Insertar el catéter urinario en la vejiga, si procede.
0580.05 Utilizar el catéter más pequeño, si procede.
0580.06 Conectar el catéter urinario a la bolsa de drenaje.
0580.07 Fijar el catéter a la piel si procede.
0580.08 Mantener un sistema de drenaje urinario cerrado.
0582.20 Explicar al paciente/familia los signos y síntomas de infección del
tracto urinario.
0582 SONDAJE VESICAL INTERMITENTE
Definición: Uso periódico de forma regular de un catéter para vaciar la
vejiga.
Actividades:
0582.01 Realizar una valoración urinaria exhaustiva, centrándose en las
causas de la incontinencia (producción urinaria, esquema de eliminación
de orina, función cognoscitiva y problemas urinarios anteriores).
0582.02 Enseñar al paciente/familia el propósito, suministros, método y
fundamento de la cateterización intermitente.
0582.03 Enseñar al paciente/familia la técnica de cateterización intermi-
tente limpia.
0582.20 Explicar al paciente/familia los signos y síntomas de infección del
tracto urinario.
0590 MANEJO DE LA ELIMINACIÓN URINARIA
Definición:Mantenimiento de un esquema de eliminación ruinaria óptimo.
Actividades:
0590.02 Observar si hay signos de retención urinaria.
0590.08 Remitir al médico si se producen signos y síntomas de infección
del tracto urinario.
275
0000
0590.09 Enseñar al paciente a obtener muestras de orina a mitad de la
micción al primer signo y síntoma de infección.
0590.11 Enseñar al paciente a beber un cuarto de litro de líquido con las
comidas, entre las comidas y al anochecer.
0600 ENTRENAMIENTO DEL HÁBITO URINARIO
Definición: Establecer un esquema predecible de vaciado urinario de la
vejiga para evitar la incontinencia en personas con la capacidad cognosci-
tiva limitada, que padecen incontinencia de urgencia, de estrés o funcional.
Actividades:
0600.01 Llevar un registro de especificación de continencia durante tres
días para establecer el esquema de eliminación.
0600.02 Establecer un intervalo de horario inicial para ir al aseo, en fun-
ción del esquema de eliminación y de la rutina habitual ( comer, levantar-
se y acostarse).
0600.05 Proporcionar intimidad para ir al aseo.
0600.06 Utilizar el poder de la sugestión (hacer correr agua o dar a la
cadena del aseo) para ayudar al paciente a eliminar.
0600.07 Evitar dejar al paciente en el aseo más de cinco minutos
0600.08 Reducir el intervalo de ir al aseo en media hora si se producen
más de dos episodios de incontinencia en 24 hs.
0600.13 Dar una respuesta o refuerzo positivo ( cinco minutos de conver-
sación social) al paciente cuando elimine a la hora programada y no rea-
lizar ningún comentario cuando el paciente muestre incontinencia.
0610 CUIDADOS DE LA INCONTINENCIA URINARIA
Definición: Ayudar al paciente a fomentar la continencia y mantener la
integridad de la piel perineal.
Actividades:
0610.01 Identificar las causas de los múltiples factores que producen
incontinencia (producción urinaria, esquema de eliminación, función cog-
noscitiva, problemas urinarios anteriores, residuo después de la elimina-
ción y medicamentos).
276
0000
0610.03 Explicar la etiología del problema y el fundamento de las acciones.
0610.04 Controlar periódicamente la eliminación urinaria, incluyendo la
frecuencia, consistencia, olor, volumen y color.
0610.07 Ayudar a seleccionar la prenda/compresa de incontinencia ade-
cuada para el manejo a corto plazo mientras se determina un tratamiento
más definitivo.
0610.09 Limpiar la zona dérmica genital a intervalos regulares.
0610.11 Limitar los líquidos durante dos o tres horas antes de irse a la
cama, si procede.
0610.14 Enseñar al paciente a beber un mínimo de 1500 cc de líquido al día.
0610.16 Limitar la ingestión de productos irritantes para la vejiga (colas,
café, té y chocolate).
0612 CUIDADOS DE LA INCONTINENCIA URINARIA: ENURESIS
Definición: Estimulación de la continencia urinaria en niños.
Actividades:
0612.02 Entrevistar a los padres para obtener datos acerca del historial
de entrenamiento para ir al aseo, esquemas de eliminación, infecciones
del tracto urinario y sensibilidad a ciertos alimentos.
0612.03 Determinar la frecuencia, duración y circunstancias de la enuresis.
0612.04 Discutir los métodos eficaces e ineficaces del tratamiento anterior.
0612.07 Comentar las técnicas que se han de utilizar para disminuir la
enuresis (luz nocturna, restricción de ingestión de líquidos, programa de
uso nocturno del baño y de sistemas de alarmas).
0612.08 Animar al niño a manifestar los sentimientos.
0612.11 Analizar la dinámica psico - social de la enuresis con los padres
(esquemas familiares, ruptura familiar, cuestiones de autoestima y carac-
terísticas de auto-limitación).
0620 CUIDADOS DE LA RETENCIÓN URINARIA
Definición: Ayudar a aliviar la distensión de la vejiga.
277
0000
Actividades:
0620.01 Realizar un evaluación urinaria exhaustiva centrándose en la
incontinencia (producción urinaria, esquema de eliminación urinaria, fun-
ción cognoscitiva y problemas urinarios anteriores).
0620.04 Proporcionar intimidad para la eliminación.
0620.07 Proporcionar tiempo suficiente para el vaciado de la vejiga (10
min).
0620.11 Insertar catéter urinario, si procede.
0620.13 Enseñar modos de evitar el estreñimiento o la impactación de
heces.
0620.14 Controlar periódicamente la ingesta y la eliminación.
0740 CUIDADOS DEL PACIENTE ENCAMADO
Definición: fomento de la comodidad, la seguridad y la prevención de
complicaciones en el paciente que no puede levantarse de la cama.
Actividades:
0740.01 Explicar las razones del reposo en cama.
0740.02 Colocar al paciente sobre una cama/colchón terapéutico adecuado.
0740.04 Evitar utilizar ropa de cama con textura ásperas.
0740.05 Mantener la ropa de cama limpia, seca y libre de arrugas.
0740.06 Colocar en la cama una base de apoyo para los pies.
0740.07 Utilizar dispositivos en la cama, (p. Ejem. Piel de oveja) que pro-
tejan al paciente.
0740.12 Colocar la mesilla de noche al alcance del paciente.
0740.15 Girar al paciente inmovilizado al menos cada dos horas, de
acuerdo con un programa especifico.
0740.16 Vigilar el estado de la piel.
0740.19 Realizar ejercicios de margen de movimientos pasivos y/o acti-
vos.
0740.21 Ayudar con las actividades de la vida diaria.
0740.23 Observar si se produce estreñimiento.
278
0000
0740.24 Controlar la función urinaria.
0740.99 Enseñar a colocar compresas / dispositivos para proporcionar
apoyo escrotal y prevenir el edema.
0762 CUIDADOS DEL PACIENTE ESCAYOLADO: MANTENIMIENTO
Definición: cuidados de un paciente escayolado después del secado.
Actividades:
0762.02 Inspeccionar la escayola por si hubiera signo de drenaje de las
heridas situadas por debajo del yeso.
0762.04 Aplicar plástico a la escayola si esta cerca de la ingle.
0763.05 Instruir al paciente para que no se rasque la piel situada por
debajo de la escayola con ningún objeto.
0762.06 Evitar humedecer el yeso.
0762.07 Colocar el yeso sobre almohadas para disminuir la tensión sobre
otras partes del cuerpo.
0762.08 Comprobar si hay grietas o roturas de la escayola.
0762.09 Aplicar un soporte de brazo como apoyo, si corresponde.
0762.10 Acolchar los bordes ásperos y las conexiones de tracción del
yeso, si procede
0840. CAMBIO DE POSICIÓN
Definición: movimiento deliberado del paciente o de una parte corporal
para proporcionar el bienestar fisiológico y/o psicológico.
Actividades:
0840.01 Colocar sobre un colchón/ cama terapéuticos adecuados.
0840.02 Explicar al paciente que se le va a cambiar de posición si procede.
0840.04 Colocar en la posición terapéutica especificada.
0840.05 Incorporar en el plan de cuidados la posición preferida del
paciente para dormir, si no está contraindicado.
0840.12 Realizar los giros según lo indique el estado de la piel.
279
0000
0840.13 Desarrollar un programa escrito para el reposicionamiento, si
procede.
0840.14 Girar al paciente inmovilizado al menos cada dos horas, según el
programa específico, si procede.
0844 CAMBIO DE POSICIÓN: NEUROLÓGICO
Definición: Conseguir una alineación corporal óptima y adecuada para el
paciente que experimenta o se encuentra en riesgo de padecer una lesión
de columna vertebral o irritabilidad vertebral.
Actividades:
0844.01 Inmovilizar o apoyar la parte corporal afectada, si procede.
0844.02 Colocar en la posición terapéutica designada.
0844.03 Abstenerse de aplicar presión a la parte corporal afectada.
0844.04 Apoyar la parte corporal afectada.
0844.05 Proporcionar apoyo adecuado para el cuello.
0844.06 Proporcionar un colchón firme.
0844.07 Colocar en una cama de flujo de aire, si fuera posible.
0844.08 Mantener la alineación corporal correcta.
0844.09 Colocar en una posición tal que el cuello y la cabeza estén aline-
ados.
0844.11 Girar utilizando para ello la técnica de hacer rodar troncos.
0844.12 Aplicar la ortosis de collarín.
0844.13 Instruir sobre los cuidados a tener en cuenta con la ortosis de
collarín, si es el caso.
0844.14 Comprobar la capacidad de autocuidados mientras se utiliza la
ortosis de collarín / dispositivo ortopédico.
0844.16 Monitorizar la integridad de la piel por debajo del dispositivo orto-
pédico / ortosis de collarín.
0844.17 Instruir acerca de los cuidados del dispositivo ortopédico, si es
necesario.
0844.18 Colocar un rodillo de manos debajo de los dedos.
280
0000
0844.19 Enseñar al paciente a adoptar una buena postura y a utilizar una
buena mecánica corporal mientras realiza cualquier actividad.
0846 CAMBIO DE POSICIÓN: SILLA DE RUEDAS
Definición: Colocación de un paciente en una silla de ruedas correcta-
mente seleccionada para potenciar la comodidad, promover la integridad
de la piel y permitir independencia.
Actividades:
0846.01 Seleccionar la silla de ruedas apropiada al paciente: para adulto
normal, semirreclinable, totalmente reclinable o de amputación.
0846.02 Seleccionar un cojín hecho a medida según las necesidades del
paciente.
0846.14 Observar si existe incapacidad por parte del paciente para man-
tener la postura correcta en la silla de ruedas.
0846.16 Facilitar frecuentemente pequeños cambios del peso corporal.
0846.17 Determinar el espacio de tiempo adecuado de permanencia en la
silla por parte del paciente, en función de su estado de salud.
0846.18 Enseñar al paciente a trasladarse desde la cama a la silla de rue-
das, si es posible.
0846.20 Enseñar al paciente a manejar la silla de ruedas, si procede.
0846.21 Enseñar al paciente ejercicios para aumentar la fuerza de la
parte superior del cuerpo, si está indicado.
0910 INMOVILIZACIÓN
Definición: estabilización, inmovilización y/o protección de una parte cor-
poral lesionada con unos dispositivos de soporte.
Actividades:
7680.02 Explicar el motivo del procedimiento.
7680.14 Explicar al paciente cada paso del procedimiento.
7680.25 Instruir al paciente sobre los cuidados posteriores al procedi-
miento.
281
0000
0910.99 Comprobar indicación y posibles contraindicaciones.
0910.01 Colocar la parte corporal con bolsas de arena u otros dispositi-
vos, si procede.
0910.03 Colocar una férula, si se considera oportuno.
0910.04 Colocar un cabestrillo para el reposo de la parte corporal lesionada.
0910.05 Acolchar la parte lesionada para evitar la fricción por parte de otro
dispositivo, si es el caso
0910.07 Mover la extremidad lesionada lo menos posible.
0910.09 Comprobar la circulación de la parte corporal afectada.
0910.10 Observar si hay hemorragia en el sitio de la lesión.
0910.11 Vigilar la integridad de la piel que esta debajo del dispositivo de
apoyo.
0910.14 Fomentar los ejercicios isométricos, cuando proceda.
0910.15 Enseñar al paciente a observar y cuidar la férula.
0910.98 Realizar un vendaje funcional.
0910.97 Realizar un vendaje compresivo.
0910.96 Realizar un vendaje circular.
0910.95 Realizar un vendaje en espiga.
0910.94 Realizar un vendaje en ocho.
0910.93 Hidratar la piel después de retirar un vendaje.
0960 TRANSPORTE
Definición: Traslado de un paciente de un lugar a otro.
Actividades:
0960.01 Determinar la cantidad y tipo de asistencia necesarios.
0960.11 Utilizar una silla de ruedas para mover al paciente incapaz de
caminar.
0960.16 Acompañar al paciente durante el transporte, si es necesario.
0960.17 Utilizar una ambulancia para el paciente gravemente lesionado.
0960.99 Solicitar una ambulancia.
282
0000
1030 MANEJO DE LOS TRASTORNOS DE LA ALIMENTACIÓN
Definición: Prevención y tratamiento de restricciones severas en la dieta,
los ejercicios en exceso y purga de alimentos y líquidos.
Actividades:
1030.01 Colaborar con otros miembros del equipo de cuidados para des-
arrollar un plan de tratamiento; implicar al paciente y/o ser querido, si pro-
cede.
1030.05 Enseñar y reforzar los conceptos de buena nutrición con el
paciente ( y seres queridos, si procede ).
1030.06 Animar al paciente a discutir preferencias alimentarias.
1030.07 Desarrollar una relación de apoyo con el paciente.
1030.12 Fomentar la autovigilancia por parte del paciente de la ingesta
diaria de alimentos y la ganancia/mantenimiento del peso, si procede.
1030.13 Establecer expectativas sobre conductas de alimentos adecua-
das, de ingesta comida/líquidos y de cantidad de actividad física.
1030.17 Acompañar al paciente al baño durante los momentos de obser-
vación establecidos después de las comidas/tentempiés.
1030.20 Utilizar técnicas de modificación de la conducta para promover
conductas que contribuyan a la ganancia de peso y para limitar las con-
ductas de pérdida de peso.
1030.24 Limitar la actividad física, si es necesario, para promover la
ganancia de peso.
1030.26 Dar la oportunidad de elegir de forma limitada el ejercicio y la ali-
mentación, a medida que tiene lugar la ganancia de peso de una manera
deseable.
1050 ALIMENTACIÓN
Definición: Proporcionar la ingesta nutricional al paciente que no puede
alimentarse por sí mismo.
Actividades:
1050.01 Identificar la dieta prescrita.
1050.09 Preguntar al paciente sus preferencias en el orden de los alimentos.
283
1000
1050.10 Establecer los alimentos según lo prefiera el paciente.
1050.12 Colocar la comida en el lado no afectado de la boca, cuando sea
el caso.
1050.21 Evitar distraer al paciente durante la deglución.
1050.22 Realizar la alimentación sin prisas/lentamente.
1050.24 Animar a los padres/ familia a que alimenten al paciente.
1052 ALIMENTACIÓN POR BIBERON
Definición: Preparación y administración de biberones.
Actividades:
1052.02 Calentar la formula a la temperatura ambiente antes de proceder
con la alimentación.
1053.04 Colocar al bebe en una posición semi-Fowler durante la alimen-
tación.
1053.05 Hacer eructar al bebe frecuentemente en mitad de la toma y des-
pués de la alimentación.
1054.12 Controlar la toma de alimento.
1054.14 Vigilar el peso del bebe, cuando procede.
1054.17 Instruir a la madre/padre o cuidador en las técnicas de esteriliza-
ción del equipo de alimentación.
1054.18 Instruir a la madre/padre o cuidador acerca de la dilación correc-
ta de la formula concentrada.
1054.19 Instruir a la madre/padre sobre el almacenamiento correcto de la
formula.
1054.20 Determinar la fuente de agua utilizada para diluir la formula con-
centrada o en polvo.
1054.23 Instruir y mostrar a la madre/padre sobre las técnicas de higiene
bucal adecuadas a la dentición del bebe que han de utilizarse después de
cada alimentación.
1056 ALIMENTACIÓN ENTERAL POR SONDA
Definición: Aporte de nutrientes y de agua a través de una sonda gas-
trointestinal.
284
1000
Actividades:
1056.01 Insertar una sonda nasogástrica, nasoduodenal o nasoyeyunal,
de acuerdo con el protocolo del centro.
1056.02 Aplicar sustancias de anclaje a la piel, y fijar el tubo de alimenta-
ción con esparadrapo.
1056.03 Observar si la colocación de la sonda es correcta inspeccionan-
do la cavidad bucal, comprobando si hay residuo gástrico o escuchando
durante la inyección y extracción del aire, según el protocolo del centro.
1056.07 Consultar con otro miembro del equipo de cuidados acerca de la
selección del tipo y concentración de la alimentación enteral.
1056.08 Elevar la cabecera de la cama durante la alimentación.
1056.11 Al finalizar la alimentación esperar de treinta a sesenta minutos
antes de colocar al paciente en posición horizontal.
1056.16 Retrasar la frecuencia de la alimentación por sonda y/o disminuir
la concentración para controlar la diarrea.
1056.17 Observar si hay sensación de plenitud, náuseas y vómitos.
1056.18 Comprobar la existencia de residuos cada cuatro a seis horas
durante la alimentación continuada y antes de cada alimentación intermi-
tente.
1056.21 Cambiar la sonda de alimentación enteral regularmente, según el
protocolo del centro.
1056.26 Preparar al paciente para la alimentación por sonda en casa, si
procede.
1080 SONDAJE NASOGÁSTRICO
Definición: Inserción de una sonda en el tracto gastrointestinal.
Actividades:
1080.01 Seleccionar el tipo y tamaño de la sonda nasogástrica que se ha
de insertar, considerando el uso y razonamiento de la inserción.
1080.02 Explicar al paciente y a la familia la razón de que se utilice una
sonda gastrointestinal.
1080.03 Insertar la sonda de acuerdo con el protocolo del centro.
285
1000
1080.04 Proporcionar un vaso de agua o cubitos de hielo al paciente para
que trague durante la inserción, si procede.
1080.05 Colocar al paciente en decúbito lateral derecho para facilitar el
movimiento de la sonda en el duodeno, si es el caso.
1080.07 Comprobar la correcta colocación de la sonda observada si hay
signos y síntomas de ubicación traqueal, comprobando el color y/o nivel
de pH del aspirado,
1100 MANEJO DE LA NUTRICIÓN
Definición: Ayudar a proporcionar una dieta equilibrada de sólidos y líqui-
dos.
Actividades:
1100.01 Preguntar al paciente si tiene alergia a algún alimento.
1100.02 Determinar las preferencias de comidas del paciente.
1100.04 Fomentar la ingesta de calorías adecuadas al tipo corporal y esti-
lo de vida.
1100.06 Fomentar el aumento de ingesta de proteínas, hierro y vitamina
C, si es el caso.
1100.10 Asegurarse de que la dieta incluye alimentos ricos en fibra para
evitar el estreñimiento.
1100.14 Ajustar la dieta al estilo de vida del paciente, según cada caso.
1100.18 Animar al paciente a que utilice dentaduras de ajuste correcto y/o
que obtenga cuidados dentales.
1100.19 Proporcionar información adecuada acerca de necesidades nutri-
cionales y modo de satisfacerlas.
1100.21 Determinar la capacidad del paciente para satisfacer las necesi-
dades nutricionales.
1120 TERAPIA NUTRICIONAL
Definición: Administración de alimentos y líquidos para apoyar los proce-
sos metabólicos en un paciente que está malnutrido o con alto riesgo de
malnutrición.
286
1000
Actividades:
1120.01 Controlar los alimentos líquidos ingeridos y calcular la ingesta
calórica diaria, si procede.
1120.02 Comprobarla conveniencia de las órdenes dietéticas para cumplir
con las necesidades nutricionales diarias, si procede.
1120.04 Determinar las preferencias de comidas del paciente consideran-
do las preferencias culturales y religiosas.
1120.05 Determinar la necesidad de alimentación por sonda nasogástri-
ca.
1120.07 Animar al paciente a que seleccione alimentos semiblandos si la
falta de saliva dificulta la deglución.
1120.11 Proporcionar al paciente alimentos nutritivos, ricos en calorías y
proteínas y bebidas que puedan consumirse fácilmente, si procede.
1120.15 Administrar líquidos de hiperalimentación, cuando lo requiera el
caso.
1120.25 Explicar al paciente y a la familia la dieta prescrita.
1200 ADMINISTRACIÓN DE NUTRICIÓN PARENTERAL TOTAL (NPT)
Definición: Preparación y aporte de nutrientes de forma intravenosa y
monitorización de la capacidad de respuesta del paciente.
Actividades:
1200.02 Insertar el catéter central intravenoso periférico, según el proto-
colo de la institución.
1200.04 Mantener la permeabilidad y vendajes de la vía central, según el
protocolo del centro.
1200.06 Comprobar la solución NPT para asegurarse de que se han
incluido los nutrientes correctos, según órdenes.
1200.07 Mantener una técnica estéril al preparar y colgar las soluciones
NPT.
1200.08 Utilizar una bomba de infusión para el aporte de las soluciones
NPT.
1200.12 Controlar ingesta y eliminaciones.
287
1000
1200.15 Comprobar la glucosa en orina para determinar glucosuria, cuer-
pos cetónicos y proteínas.
1200.17 Informar al médico acerca de los signos y síntomas anormales
asociados con la NPT y modificar los cuidados correspondientes.
1240 AYUDA PARA GANAR PESO
Definición: Facilitar el aumento del peso corporal.
Actividades:
1240.02 Pesar al paciente en los periodos establecidos, si procede.
1240.09 Fomentar el aumento de ingesta de calorías.
1240.10 Enseñar a aumentar la ingesta de calorías.
1240.12 Considerar las preferencias alimenticias del paciente, teniendo
en cuesta su gusto personal, cultura y religión.
1240.19 Analizar con el paciente y la familia los factores socioeconómicos
que contribuyen a una nutrición inadecuada.
1240.22 Enseñar al paciente y a la familia a planificar las comidas, si pro-
cede.
1240.23 Enseñar al paciente y a la familia a comprar alimentos de bajo
coste y nutritivos, si procede.
1240.25 Registrar el progreso de la ganancia de peso en una hoja y colo-
carla en un sitio estratégico.
1260 MANEJO DEL PESO
Definición: Facilitar el mantenimiento del peso corporal óptimo y el por-
centaje de grasa corporal.
Actividades:
1260.01 Tratar con el paciente la relación que hay entre la ingesta de ali-
mentos, el ejercicio, la ganancia de peso y la pérdida de peso.
1260.03 Tratar con el paciente los hábitos, costumbres y factores cultura-
les y hereditarios que ejercen su influencia sobre el peso.
1260.04 Discutir los riesgos asociados con el hecho de estar por encima
o por debajo del peso.
288
1000
1260.05 Determinar la motivación del paciente para cambiar los hábitos
en la alimentación.
1260.06 Determinar el porcentaje de grasa corporal ideal del paciente.
1260.08 Animar al paciente a escribir metas semanales realistas en cuan-
to a ingesta de alimentos y ejercicios y colocarlas en un sitio en el que
pueda revisarlas todos los días.
1260.09 Animar al paciente a registrar el peso semanalmente, si procede.
1260.11 Ayudar en el desarrollo de planes de comidas bien equilibradas,
coherentes con el nivel de gasto energético.
1280 AYUDA PARA DISMINUIR EL PESO
Definición: Facilitar la perdida de peso corporal y / o grasa corporal.
Actividades:
1280.01 Determinar el deseo y motivación del paciente para reducir el
peso o grasa corporal.
1280.02 Determinar con el paciente la cantidad de pérdida de peso dese-
ada.
1280.03 Establecer una meta de pérdida de peso semanal.
1280.08 Fomentar el uso de sistemas de recompensa internos cuando se
alcanzan las metas.
1280.09 Establecer un plan realista con el paciente que incluya la dismi-
nución de la ingesta de alimentos y el aumento del gasto de energía.
1280.10 Determinar los esquemas de alimentación actuales haciendo que
el paciente lleve un diario de lo que come, cuándo y dónde.
1280.12 Fomentar la sustitución de hábitos indeseables por hábitos favo-
rables.
1280.19 Desarrollar un plan de comidas diarias con una dieta bien equili-
brada, disminución de calorías y de grasas, si procede.
1280.22 Fomentar la asistencia a grupos de apoyo de pérdida de peso.
1280.24 Enseñar a leer etiquetas al comprar alimentos para controlar la
cantidad de grasa y calorías de los alimentos obtenidos.
1280.26 Enseñar a seleccionar las comidas, en restaurantes y reuniones
289
1000
sociales, que sean coherentes con la ingesta nutritiva y calórica planifi-
cada.
1320 ACUPRESIÓN
Definición: Aplicación de presión firme y sostenida en puntos determina-
dos del cuerpo para disminuir el dolor, producir relajación y prevenir o
reducir las náuseas.
Actividades:
1320.02 Decidir si la acupresión es aplicable para el tratamiento de un
paciente particular.
1320.03 Determinar el grado de comodidad psicológica del individuo con
el contacto.
1320.06 Determinar el punto(s) de acupresión a estimular, dependiendo
del resultado deseado.
1320.07 Explicar al paciente que se va buscar una zona(s) sensible.
1320.08 Animar al paciente a relajarse durante la estimulación.
1320.09 Investigar profundamente con el dedo, pulgar o nudillos un punto
sensible a la presión en la ubicación general del punto de acupresión.
1320.10 Observar pistas verbales o gestuales para identificar el punto o
ubicación deseados (como la emisión de un «¡ay!» de dolor).
1320.11 Estimular el punto de acupresión presionando con el dedo, pul-
gar o nudillos y utilizando el peso del cuerpo para inclinarlo hacia el punto
en el que se aplica la presión.
1320.12 Utilizar presión de dedos o muñequeras para aplicar presión en
el punto de acupresión seleccionado para tratar la náusea.
1320.13 Aplicar una presión uniforme sobre el tejido muscular hipertónico
buscando el dolor hasta que se sienta relajación o se observe la disminu-
ción del dolor, normalmente de 15 a 20 segundos.
1320.19 Recomendar la utilización de técnicas de relajación progresivas
y! o ejercicios de estiramiento entre tratamientos.
1340 ESTIMULACIÓN CUTÁNEA
Definición: Estimulación de la piel y tejidos subyacentes con el objeto de
290
1000
disminuir signos y síntomas indeseables como dolor, espasmo muscular
o inflamación.
Actividades:
1340.02 Seleccionar una estrategia de estimulación cutánea especifica en
función de la disponibilidad individual para participar, capacidad de parti-
cipar, preferencias, apoyo de seres queridos y contraindicaciones.
1340.03 Seleccionar el tipo de estimulación cutánea más adecuada al
paciente y a las condiciones (p. ej., masaje, frío, calor, mentol, vibración o
estimulación eléctrica transcutánea nerviosa).
1340.04 Establecer indicaciones, frecuencia y procedimiento respecto de
la aplicación.
1340.05 Aplicar la estimulación directamente sobre o alrededor del sitio
afectado, según esté indicado.
1340.06 Seleccionar el sitio de estimulación, considerando sitios alterna-
tivos cuando la aplicación directa no es posible (p. ej., sitios adyacentes,
distales, entre las zonas afectadas y el cerebro).
1340.07 Considerar los puntos de acupresión como sitios de estimulación,
si procede.
1340.08 Establecer la duración y frecuencia de la estimulación en función
del método elegido.
1340.09 Fomentar el uso de un método de estimulación intermitente, si
resulta oportuno.
1340.11 Seleccionar un método o sitio de estimulación alternativo, si no
se consigue la alteración de la sensibilidad.
1340.12 Cancelar la estimulación si se produce un aumento del dolor o
irritación de la piel.
1340.13 Valorar y registrar la respuesta a la estimulación.
1380 APLICACIÓN DE CALOR O FRIO
Definición: Estimulación de la piel y tejidos subcutáneos con calor o frío
con el fin de disminuir el dolor, espasmos musculares o inflamación.
Actividades:
1380.01 Explicar la utilización del calor o del frío, la razón del tratamiento
y la manera en que en que afectará a los síntomas del paciente.
291
1000
1380.03 Seleccionar un método de estimulación que resulte conveniente y
de fácil disponibilidad, como bolsas de plástico herméticas con hielo derre-
tido; paquetes de gel congelado; sobres de hielo químico; inmersión en
hielo; paños o toallas en frigorífico para enfriarlas; botella de agua calien-
te, almohadilla eléctrica; compresas húmedas calientes; inmersión en
bañera o en piscina con movimiento de agua; cera de parafina; baño de
asiento; bombilla radiante o envoltura de plástico para dar calor.
1380.04 Determinar la disponibilidad y el buen estado de funcionamiento
de todos los equipos utilizados en la aplicación de calor o frío .
1380.05 Determinar el estado de la piel e identificar cualquier alteración
que requiera un cambio de procedimiento o sea contraindicada la estimu-
lación.
1380.07 Envolver el dispositivo de aplicación de calor/frío con un paño de
protección, si corresponde.
1380.10 Comprobar la temperatura de la aplicación, especialmente cuan-
do se utilice calor.
1380.11 Determinar la duración de la aplicación en función de las res-
puestas verbales, de la conducta y los aspectos biológicos de la persona.
1380.13 Aplicar calor/frío directamente en, o cerca de, el sitio afectado, si
fuera posible.
1380.14 Inspeccionar el sitio cuidadosamente por si hubiera signos de irri-
tación dérmica o daño tísular durante los primeros cinco minutos y luego
frecuentemente durante el tratamiento.
1380.20 Instruir acerca de las indicaciones, frecuencia y procedimiento de
aplicación.
1400 MANEJO DEL DOLOR
Definición: alivio del dolor o disminución del dolor a un nivel de toleran-
cia que sea aceptable para el paciente.
Actividades:
1400.01 Realizar una valoración exhaustiva del dolor que incluya la loca-
lización, características, aparición /duración, frecuencia, calidad, intensi-
dad o severidad del dolor y factores desencadenantes.
1400.02 Observar claves no verbales de molestias , especialmente en
aquellos que no pueden comunicarse eficazmente.
292
1000
1400.03 Asegurarse de que el paciente reciba los cuidados analgésicos
correspondientes.
1400.06 Determinar el impacto de la experiencia del dolor sobre la calidad
de vida (sueño, apetito, actividad, función cognoscitiva, humor, relaciones,
trabajo y responsabilidad de roles).
1400.09 Ayudar al paciente y a la familia a obtener y proporcionar apoyo.
1400.12 Proporcionar información acerca del dolor, tales como causas del
dolor, el tiempo que durara y las incomodidades que se esperan debido a
los procedimientos.
1400.19 Enseñar el uso de técnicas no farmacológicas (retroalimenta-
ción, estimulación nerviosa eléctrica transcutánea, hipnosis, relajación,
capacidad de imaginación guiada, terapia musical, distracción, terapia de
juegos, terapia de actividad, acupresión, aplicación de calor / frío y masa-
jes) antes, después y, si fuera posible, durante las actividades dolorosas;
antes de que se produzca el dolor o de que aumente; y junto con las otras
medidas de alivio del dolor.
1400.20 Colaborar con el paciente, seres queridos y demás cuidadores
para seleccionar y desarrollar las medidas no farmacológicas de alivio del
dolor, si procede.
de la sedación.
1400.29 Fomentar periodos de descanso/sueño adecuados que faciliten
el alivio del dolor.
1400.34 Considerar la posibilidad de remitir el paciente, familia y seres
queridos a grupos de apoyo y otros recursos asistentes, si procede.
1450 MANEJO DE LAS NÁUSEAS
Definición: Prevención y alivio de las náuseas.
Actividades:
1450.03 Realizar una valoración completa de las nauseas, incluyendo la
frecuencia, la duración, la intensidad y los factores desencadenantes, uti-
lizando herramientas como diario de autocuidados, escala analógica
visual, escala descriptiva de Duke e Índice de Rodes de náuseas y vómi-
tos.
1450.08 Evaluar el impacto de las náuseas sobre la calidad de vida.
293
1000
1450.09 Identificar factores que pueden causar o contribuir a las náu-
seas.
1450.10 Asegurarse que han administrado antieméticos eficaces para evi-
tar las náuseas siempre que haya sido posible (exceptuando en el caso
de náuseas relacionadas con el embarazo).
1450.11 Controlar los factores ambientales que pueden provocar náuse-
as (por ejemplo malos olores, ruido y estimulación visual desagradable).
1450.17 Enseñar el uso de técnicas no farmacológicas (por ej. biorretroa-
limentación, hipnosis, relajación, imaginación simple dirigida, terapia
musical, distracción, acupresión) para controlar las náuseas.
1450.20 Fomentar el descanso y el sueño adecuados para facilitar el ali-
vio de las náuseas.
1450.26 Pesar al paciente con regularidad.
1480 MASAJE SIMPLE
Definición: estimulación de la piel y tejidos subyacentes con diversos gra-
dos de presión manual para disminuir el dolor, inducir la relajación y/o
mejorar la circulación.
Actividades:
1480.01 Determinar contraindicaciones, como disminución de plaquetas,
disminución de la integridad de la piel, trombosis venosa profunda e hiper-
sensibilidad al contacto.
1480.03 Seleccionar la zona o zonas del cuerpo que han de masajearse.
1480.06 Aplicar calor húmedo antes del masaje o durante el masaje en
otras zonas del cuerpo, según se indique.
1480.08 Utilizar una loción cálida, aceite o polvo seco para reducir la fric-
ción ( sin loción o polvos en la cabeza o cuero cabelludo), valorando cual-
quier sensibilidad o contraindicación.
1480.09 Masajear con movimientos continuos, uniformes y rítmicos.
1480.12 Adaptar la zona del masaje, la técnica y la presión a la percep-
ción de alivio del paciente y al propósito del masaje.
1480.16 Evitar masajear sobre zonas con lesión abierta o zonas sensibles
de la piel.
294
1000
1540 ESTIMULACIÓN NERVIOSA ELÉCTRICA TRANSCUTÁNEA
(TENS)
Definición: Estimulación de la piel y tejidos subyacentes por medio de
vibración eléctrica controlada de baja tensión mediante electrodos.
Actividades:
1540.02 Determinar si la recomendación de la TENS es adecuada.
1540.03 Estudiar la terapia con el médico y obtener la prescripción de la
TENS, si corresponde.
1540.04 Seleccionar el sitio de estimulación, considerando sitios alterna-
tivos cuando la aplicación directa no sea posible (adyacente, distal o entre
las zonas afectadas y el cerebro, y contralateral).
1540.05 Determinar el ámbito terapéutico, la frecuencia y amplitud del
pulso.
1540.06 Dar instrucciones verbales y escritas sobre el uso de la TENS.
1540.07 Aplicar los electrodos en la zona de estimulación.
1540.08 Ajustar amplitud, frecuencia y anchura del pulso a los ajustes
indicados predeterminados.
1540.09 Mantener la estimulación durante el intervalo predeterminado
(continua o intermitente).
1540.10 Enseñar al paciente a controlar el sitio y los ajustes para conse-
guir la respuesta deseada en función de la tolerancia individual, si corres-
ponde.
1540.14 Evaluar y registrar periódicamente la efectividad de la TENS en
la alteración de la sensibilidad al dolor.
1570 MANEJO DEL VÓMITO
Definición: Prevención y alivio del vómito.
Actividades:
1570.01 Valorar el color, la consistencia, la presencia de sangre, la dura-
ción y el alcance de la emesis.
1570.03 Aconsejar que se lleven bolsas de plástico para recoger la
emesis.
295
1000
1570.08 Asegurarse que se han administrado antieméticos eficaces para
prevenir el vómito siempre que haya sido posible.
1570.09 Controlar los factores ambientales que pueden evocar el vómito
(malos olores, ruido y estimulación visual desagradable).
1570.10 Reducir o eliminar factores personales que desencadenen o
aumenten el vómito (ansiedad, miedo y ausencia de conocimiento).
1570.11 Colocar al paciente de forma adecuada para prevenir la aspira-
ción.
1570.13 Proporcionar apoyo físico durante el vómito (como por ejemplo
ayudar a la persona a inclinarse o sujetarle la cabeza).
1570.16 Utilizar higiene oral para limpiar boca y nariz.
1570.18 Esperar como mínimo 30 minutos después del episodio del vómi-
to antes de dar líquidos al paciente (dando por sentado un tracto gastroin-
testinal normal y un peristaltismo normal).
1570.20 Aumentar gradualmente la ingesta de líquidos si durante un perí-
odo de 30 minutos no se han producido vómitos.
1610 BAÑO
Definición: Baño corporal a efectos de relajación, limpieza y curación.
Actividades:
1610.01 Ayudar con la ducha de silla, bañera, ducha de pie o baño de
asiento, si procede o se desea.
1610.02 Lavar el cabello, si es necesario o se desea.
1610.03 Realizar el baño con el agua a una temperatura agradable.
1610.05 Ayudar con el cuidado perianal, si es necesario.
1610.07 Administrar baños de pies, si es necesario.
1610.09 Aplicar ungüentos y crema hidratante en las zonas de piel seca.
1610.10 Ofrecer lavado de manos después de ir al baño o antes de las
comidas.
1610.12 Inspeccionar el estado de la piel durante el baño.
1610.13 Controlar la capacidad funcional durante el baño.
296
1000
1610.99 Informar al paciente / familia de la importancia de realizar la higie-
ne corporal de forma diaria, poniendo especial cuidado, en los pliegues
corporales, genitales y órganos de los sentidos, realizando al final un
buen secado de todas las partes.
1641 CUIDADOS DE LOS OIDOS: NIÑO
Definición: Prevenir o minimizar las amenazas al oído o la audición.
Actividades:
1640.06 Enseñar a los padres a limpiar los oídos del bebe.
1640.07 Enseñar a los padres a vigilar al niño con congestión nasal por si
hubiera infección en los oídos.
1640.10 Enseñar a los padres a observar si hay infección de oídos en el
bebe.
1640.11 Instruir a los padres sobre la importancia de completar cualquier
tratamiento con antibióticos.
1640.13 Comprobar si el cerumen en el canal del oído de su hijo causa
dolor o pérdida de audición.
1640.19 Aconsejar a los padres que eviten sumergir los oídos del bebe en
agua cuando las sondas estén puestas.
1640.20 Enseñar a los padres a administrar gotas en los oídos, si proce-
de.
1640.22 Enseñar a los niños a que no se introduzcan objetos extraños en
los oídos.
1642 CUIDADOS DE LOS OIDOS: AUDICIÓN
Definición: Prevenir o minimizar las amenazas al oído o la audición.
Actividades:
1640.23 Enseñar a controlar y regular la exposición a ruidos de volumen
alto.
1640.24 Aconsejar al paciente que use protección de oídos en la exposi-
ción a ruidos de alta intensidad.
297
1000
1640.25 Instruir al adolescente acerca del peligro potencial de la exposi-
ción a la música con volumen alto, especialmente con auriculares.
1640.27 Fomentar el uso de tapones de oídos para nadar si el paciente
es susceptible a las infecciones de oídos.
1643 CUIDADOS DE LOS OIDOS: LAVADO ÓTICO
Definición: Realización de un lavado ótico.
Actividades:
5618.08 Explicar el propósito del procedimiento.
1643.99 Proporcionar recomendaciones previas a la prueba, por escrito:
Ponerse durante cinco días dos instilaciones de agua oxigenada rebaja-
da al 50%.
1640.14 Instilar aceite mineral en el oído para ablandar el cerumen impac-
tado antes de la irrigación.
7680.25 Instruir al paciente sobre los cuidados posteriores al procedi-
miento. ( Si molestias acudir al médico y no mojar el oído durante 3 o 4
días)
7680.26 Vigilar al paciente después del procedimiento si se requiere.
1660 CUIDADOS DE LOS PIES
Definición: limpieza e inspección de los pies con el objetivo de seguir la
relajación, limpieza y salud en la piel.
Actividades:
1660.01 Inspeccionar si hay irritación, grietas, lesiones, callosidades,
deformidades o edema en los pies.
1660.02 Inspeccionar los zapatos del paciente para ver si calza correcta-
mente.
1660.04 Secar cuidadosamente los espacios interdigitales.
1660.06 Limpiar las uñas.
1660.09 Instruir al paciente / familia en la importancia del cuidado de los
pies.
298
1000
1660.13 Enseñar al paciente a que inspeccione el interior de los zapatos
por si hay zonas ásperas.
1660.14 Comprobar el nivel de hidratación de los pies.
1660.19 Cortar las uñas de los pies de grosor normal cuando están blan-
das, con un cortaúñas y utilizando la curva del dedo como guía.
1660.20 Remitir al podólogo para el corte de las mas gruesas, si procede.
1660.98 Instuir al paciente / familia en la importancia de la higiene, seca-
do e hidratación de los pies.
1660.99 Instuir al paciente / familia en la importancia de la limpieza y corte
de las uñas de los pies en línea recta.
1650 CUIDADOS DE LOS OJOS
Definición: Prevenir o minimizar las posibles aresiones a los ojos o la
integridad visual.
Actividades:
1650.01 Observar si hay enrojecimiento, exudación o ulceración.
1650.02 Informar al paciente de que no se toque los ojos.
1650.06 Tapar los ojos con parches, si es necesario.
1650.08 Aplicar gotas lubricantes o si procede.
1650.10 Bajar el párpado y fijar con esparadrapo, cuando esté indicado.
1650.99 Realizar lavado de arrastre con suero fisiológico, si procede
1650.98 Aplicar gotas de fluoresceina
1680 CUIDADO DE LAS UÑAS
Definición: fomentar el aspecto de las uñas y prevenir la aparición de
lesiones en la piel relacionadas con un cuidado inadecuado de las uñas.
Actividades:
1680.01 Controlar o ayudar en la limpieza de las uñas, de acuerdo con la
capacidad de autocuidado del paciente.
299
1000
1680.02 Controlar o ayudar a cortar las uñas, de acuerdo con la capaci-
dad de autocuidado del paciente.
1680.03 Mojar las uñas en agua caliente, jabonosa y empujar las cutícu-
las hacia atrás con la ayuda de una herramienta para cutículas.
1680.04 Humedecer la zona alrededor de las uñas para evitar sequedad.
1680.05 Observar si se produce algún cambio en las uñas.
1710 MANTENIMIENTO DE LA SALUD BUCAL
Definición: Mantenimiento y fomento de la higiene bucal y la salud den-
tal en pacientes de riesgo de desarrollar lesiones bucales.
Actividades:
1710.02 Aplicar lubricante para humedecer los labios y la mucosa oral, si
es necesario.
1710.07 Enseñar y ayudar al paciente a realizar la higiene bucal después
de las comidas y lo más a menudo que sea necesario.
1710.08 Observar si hay signos y síntomas de glositis y estomatitis.
1710.12 Establecer chequeos dentales, si es necesario.
1710.13 Ayudar con los cuidados de la dentadura postiza , si procede.
1710.99 Aconsejar el abandono del tabaco para mejorar la salud.
1720 FOMENTAR LA SALUD BUCAL
Definición: Fomentar la higiene bucal y el cuidado dental en un paciente
con salud bucal y dental normal.
Actividades:
1720.01 Explicar la necesidad del cuidado bucal diario como rutina.
1720.02 Inspeccionar la mucosa bucal regularmente.
1720.03 Aconsejar no fumar ni mascar tabaco.
1720.04 Fomentar las revisiones dentales regulares.
1720.05 Enseñar y estimular el uso del hilo dental.
300
1000
1720.08 Extraer, limpiar y volver a colocar la dentadura postiza, si es
necesario.
1720.09 Aplicar lubricante para humedecer los labios y la mucosidad
bucal, si es necesario.
1720.97 Evitar las golosinas con azúcar.
1720.98 Evitar la administración con biberón de zumos o bebidas azuca-
radas.
1720.99 Enseñar el cepillado, uso del hilo dental y el enjuague de la boca,
de acuerdo con la capacidad de autocuidados del paciente.
1730 RESTABLECIMIENTO DE LA SALUD BUCAL
Definición: Fomento de la curación de un paciente que tiene una lesión
dental o de la mucosa bucal.
Actividades:
1730.01 Extraer las dentaduras postizas en caso de estomatitis grave.
1730.02 Utilizar un cepillo de dientes suave para la extracción de restos
alimenticios.
1730.03 Utilizar bastoncillos de limpieza dental o tapones de espuma des-
echables para estimular las encías y limpiar la cavidad bucal.
1730.05 Fomentar enjuagues frecuentes de la boca con cualquiera de las
siguientes sustancias: solución de bicarbonato de sodio, solución salina
normal o solución de peróxido de hidrógeno.
1730.06 Desalentar del consumo de tabaco y alcohol.
1730.11 Aconsejar al paciente que informe inmediatamente al médico
sobre cualquier signo de infección.
1730.13 Enseñar y ayudar al paciente a realizar la higiene bucal después
de las comidas y lo más a menudo que sea necesario.
1730.17 Observar si hay signos y síntomas de glositis y estomatitis.
1730.18 Consultar con el médico si los signos y síntomas de glositis y
estomatitis persisten o empeoran.
1730.19 Planificar comidas de poca cantidad, frecuentes; seleccionar ali-
mentos suaves, y servir los alimentos a temperatura ambiente o fríos.
1730.20 Evitar el uso de limónglicerina para limpiar la lesión.
301
1000
1750 CUIDADOS PERINEALES
Definición: Manenimiento de la integridad de la piel perineal y alivio de
las molestias perineales.
Actividades:
1750.01 Ayudar con la higiene perineal.
1750.02 Recomendar mantener el perineo seco.
1750.06 Instruir al paciente acerca de la razón y utilización de los baños
de asiento.
1750.99 Enseñar a colocar compresas / dispositivos para proporcionar
apoyo escrotal y prevenir el edema.
1780 CUIDADO DE UNA PROTESIS
Definición: cuidado de un dispositivo extraíble usado por un paciente y
prevención de complicaciones asociadas con su utilización.
Actividades:
1780.01 Supervisar el uso inicial y los cuidados del dispositivo.
1780.02 Inspeccionar el tejido circundante por si hubiera signos y sínto-
mas de complicaciones.
1780.03 Determinar el potencial de alteraciones en la imagen corporal.
1780.04 Determinar las molestias de la vestimenta requerida.
1780.06 Enseñar al paciente y a la familia a cuidar y colocar el dispositivo.
1780.07 Guardar y proteger el dispositivo de una manera segura cuando
no se use.
1800 AYUDA AL AUTOCUIDADO
Definición: ayudar a otra persona a realizar las actividades de la vida dia-
ria.
Actividades:
1800.01 Comprobar la capacidad para ejercer autocuidados independien-
tes.
302
1000
1800.04 Proporcionar ayuda hasta que el paciente sea totalmente capaz
de asumir los autocuidados.
1800.05 Ayudar al paciente a aceptar las necesidades de dependencia.
1800.09 Enseñar a los padres/ familia a fomentar la independencia para
intervenir solamente cuando el paciente no pueda realizar la acción dada.
1800.10 Establecer una rutina de actividades de autocuidados.
1800.11 Considerar la edad del paciente al promover las actividades de
autocuidado.
1801 AYUDA EN LOS AUTOCUIDADOS: BAÑO/HIGIENE
Definición: Ayudar al paciente a realizar la higiene personal.
Actividades:
1801.01 Colocar toallas, jabón, desodorante, equipo de afeitadoy demás
accesorios necesarios a pie de cama/en el baño.
1801.03 Facilitar que el paciente se cepille los dientes, si es el caso.
1801.04 Facilitar que el paciente se bañe el mismo, si procede.
1801.05 Comprobar la limpieza de uñas, según la capacidad de autocui-
dados del paciente.
1801.06 Facilitar el mantenimiento de las rutinas del paciente a la hora de
irse a la cama, indicios de presueño y objetos familiares (para los niños
su manta/juguete favorito, ser merecidos, chupete o cuento;para los adul-
tos leer un libro o disponer de una almohada de su casa), si procede.
1801.07 Fomentar la participación de los padres/familia en los rituales
habituales a la hora de irse a la cama, si es el caso.
1801.08 Proporcionar ayuda hasta que el paciente sea totalmente capaz
de asumir los autocuidados.
1804 AYUDA CON LOS AUTOCUIDADOS: ASEO
Definición: Ayuda a otra personas en las eliminaciones.
Actividades (efectuarlas o enseñar a la familia):
1804.01 Quitar la ropa esencial para permitir la eliminación.
303
1000
1804.02 Ayudar al paciente en el aseo /cuña/cuña de fractura/ orinal a
intervalos especificados.
1804.03 Considerar la respuesta del paciente a la falta de intimidad.
1804.04 Disponer intimidad durante la eliminación.
1804.05 Facilitar le higiene de aseo después de terminar con la elimina-
ción.
1804.06 Cambiar la ropa del paciente después de la eliminación.
1804.08 Instaurar un programa de aseo, si procede.
1804.09 Enseñar al paciente /otras personas significativas la rutina del
aseo.
1804.10 Instaurar idas al baño, si procede y es necesario.
1805 AYUDA CON LOS AUTOCUIDADOS: AIVD
Definición: Ayudar y enseñar a una persona a realizar actividades instru-
mentales de la vida diaria(AIVD) necesarias para funcionar en el hogar o
la comunidad
Actividades (efectuarlas o enseñar a la familia):
1805.01 Determinar las necesidades de ayuda del individuo con las acti-
vidades instrumentales de la vida diaria
1805.02 Determinar las necesidades de cambios relacionados con la
seguridad en el hogar
1805.04 Proporcionar maneras de contactar con gente que suministre
ayude y apoyo
1805.06 Proporcionar técnicas que fomenten las capacidades cogniti-
vas
1805.13 Comprobar la presencia de equipo de seguridad en el hogar
1805.16 Ayudar al individuo a establecer métodos y rutinas para cocinar,
limpiar y comprar.
1805.17 Enseñar al individuo y al cuidador lo que deben hacer en caso de
que el individuo sufra una caída o cualquier otra lesión
1805.18 Determinar si la capacidad física o cognitiva es estable o dismi-
nuye y si responde a los cambios realizados.
304
1000
1850 MEJORAR EL SUEÑO
Definición: Facilitar ciclos regulares de sueño/vigilia.
Actividades:
1850.01 Determinar el esquema de sueño/vigilia del paciente.
1850.04 Determinar los efectos que tiene la medicación del paciente en el
esquema del sueño.
1850.06 Comprobar el esquema de sueño del paciente y observar las cir-
cunstancias físicas (apnea del sueño, vías aéreas obstruidas, dolor
/molestias y frecuencia urinaria) y / o psicológicas (miedo o ansiedad) que
interrumpen el sueño.
1850.08 Ajustar el ambiente (luz, ruido, temperatura, colchón y cama)
para favorecer el sueño.
1850.09 Animar al paciente a que establezca una rutina a la hora de
irse a la cama para facilitar la transición del estado de vigilia al de
sueño.
1850.11 Ayudar a eliminar las situaciones estresantes antes de irse a la
cama.
1850.12 Controlar la ingesta de alimentación y bebidas a la hora de irse
a la cama para determinar los productos que faciliten o entorpezcan el
sueño.
1850.14 Ayudar al paciente a limitar el sueño durante el día disponiendo
una actividad que favorezca la vigilia, si procede.
1850.15 Enseñar al paciente a realizar una relajación muscular autogéni-
ca u otras formas no farmacológicas de inducción del sueño.
1850.16 Disponer/llevar a cabo medidas agradables: masaje inductor del
sueño, colocación y contacto afectuoso.
1850.24 Comentar con el paciente y la familia medidas de comodidad,
técnicas para favorecer el sueño y cambios en el estilo de vida que con-
tribuyan a un sueño óptimo.
1850.23 Identificar las medicaciones que el paciente está tomando para
el sueño.
1850.25 Regular los estímulos del ambiente para mantener los ciclos día-
noche normales
305
1000
1860 TERAPIA DE DEGLUCIÓN
Definición: Facilitar la deglución y prevenir complicaciones de una deglu-
ción defectuosa.
Actividades:
1860.02 Determinar la capacidad del paciente para centrar su atención en
el aprendizaje/realización de las tareas de ingesta y deglución.
1860.06 Explicar el fundamento del régimen de deglución al
paciente/familia.
1860.10 Ayudar al paciente a sentarse en una posición erecta (lo más
posible de los 90º) para la alimentación/ejercicio.
1860.11 Ayudar al paciente a colocar la cabeza flexionada hacia delante,
en preparación para la deglución (barbilla metida).
1860.13 Proporcionar un chupachús al paciente para que succione y así
fomentar la fortaleza de la lengua, si no existe contraindicación.
1860.15 Ayudar a mantener una posición sentada durante 30 minutos
después de terminar de comer.
1860.99 Utilizar espesantes en los líquidos.
1860.18 Ayudar al paciente a colocar la comida en la parte posterior de la
boca y en el lado no afectado.
1860.27 Enseñar a la familia/cuidador a cambiar de posición, alimentar y
vigilar al paciente.
1860.29 Enseñar a la familia/cuidador las medidas de emergencia para
los ahogos.
1860.30 Enseñar a la familia/cuidador a comprobar si han quedado restos
de comidas después de comer.
1860.38 Vigilar la hidratación corporal (ingesta, salida, turgencia de la piel
y membranas mucosas).
1860.39 Proporcionar cuidados bucales, si es necesario.
1874 CUIDADOS DE LA SONDA NASOGÁSTRICA
Definición: Actuación ante un paciente con una sonda gastrointestinal.
306
1000
Actividades:
1874.01 Observar la correcta colocación del tubo, siguiendo el protocolo
del centro.
1874.04 Fijar el tubo a la parte corporal correspondiente teniendo en
cuenta la comodidad e integridad de la piel del paciente.
1874.07 Auscultar periódicamente los sonidos intestinales.
1874.08 Observar si se produce diarrea.
1874.10 Observar periódicamente la cantidad, color y consistencia del
contenido nasogástrico.
1874.12 Proporcionar cuidados de nariz y boca de tres a cuatro veces al
día o cuando sea necesario.
1874.15 Enseñar al paciente y a la familia los cuidados del tubo, si procede.
1874.16 Proporcionar cuidados de la piel alrededor de la zona de inser-
ción del tubo.
1876 CUIDADOS DE LA SONDA VESICAL
Definición: Actuación ante un paciente con un equipo de drenaje urinario.
Actividades:
1876.01 Mantener un sistema de drenaje urinario:
1876.02 Mantener la permeabilidad del sistema de catéter urinario.
1876.04 Limpiar la zona dérmica genital a intervalos regulares.
1876.05 Cambiar el catéter urinario. a intervalos regulares.
1876.08 Anotar las características del líquido drenado.
1876.11 Vaciar el dispositivo de drenaje urinario en los intervalos especi-
ficados.
1876.14 Mantener un cuidados de piel meticuloso en pacientes con bolsa
de pierna.
2080 MANEJO DE LIQUIDOS / ELECTROLITOS
Definición: regular y prevenir las complicaciones derivadas de niveles de
líquidos y/o electrolitos alterados.
307
1000
Actividades:
2080.05 Administrar líquidos, si esta indicado.
2080.06 Favorecer la ingesta oral ( proporcionar líquidos según preferen-
cias del paciente, colocarlos a su alcance, proporcionar paja para beber y
agua fresca), si resulta oportuno.
2080.07 Reponer líquidos por vía nasogástrica, si esta prescrito, en fun-
ción de la eliminación, si procede.
2080.08 Administrar fibra según prescripción, al paciente alimentado por
sonda para reducir la perdida de líquidos y electrolitos causada por la dia-
rrea.
2080.11 Proporcionar agua libremente con la alimentación por sonda, si
resulta oportuno.
2080.16 Llevar un registro preciso de ingesta y eliminación.
2080.17 Observar si hay signos y síntomas de retención de líquidos.
2080.19 Vigilar los signos vitales, si procede.
2080.26 Valorar las mucosas bucales del paciente, la esclerótica y la piel
por si hubiera indicios de alteración de líquidos y del equilibrio de electro-
litos / sequedad, cianosis e ictericia.
2080.33 Observar si existe perdida de líquidos ( hemorragia, vómitos,
diarrea, transpiración y paquipnea).
2120 MANEJO DE LA HIPERGLUCEMIA
Definición: Prevenir y tratar los niveles de glucosa en sangre superiores
a lo normal.
Actividades:
2120.01 Vigilar los niveles de glucosa en sangre, si está indicado.
2120.02 Observar si hay signos y síntomas de hiperglucemia: poliuria,
polidipsia, polifagia, debilidad, malestar, letargia, visión borrosa o jaque-
cas.
2120.03 Vigilar la presencia de cuerpos cetónicos en orina, según indica-
ción.
2120.06 Administrar insulina, según prescripción.
308
2000
2120.07 Potenciar la ingesta oral de líquidos.
2120.12 Consultar con el médico si persisten o empeoran los signos y sín-
tomas de hiperglucemia.
2120.15 Identificar las causas posibles de la hiperglucemia.
2120.18 Instruir al paciente y seres queridos en la prevención, reconoci-
miento y actuación ante la hiperglucemia.
2120.19 Fomentar el autocontrol de los niveles de glucosa en sangre.
2120.20 Instruir sobre la prueba de cuerpos cetónicos en orina, si resulta
oportuno.
2120.23 Instruir al paciente y seres queridos acerca de la actuación con
la diabetes durante la enfermedad, incluyendo el uso de insulina y/o anti-
diabéticos orales, control de la ingesta de líquidos, reemplazo de los car-
bohidratos y cuándo debe solicitarse asistencia sanitaria profesional.
2120.25 Facilitar el seguimiento del régimen de dieta y ejercicios.
2130 MANEJO DE LA HIPOGLUCEMIA
Definición: Prevenir y tratar los niveles de glucosa en sangre inferiores a
lo normal.
Actividades:
2130.02 Determinar signos y síntomas de la hipoglucemia.
2130.03 Vigilar los niveles de glucosa en sangre, si está indicado.
2130.04 Monitorizar si hay signos y síntomas de hipoglucemia (palidez,
diaforesis, taquicardia, palpitaciones, hambre, parestesia, temblores,
incapacidad de concentración, confusión, habla con mala articulación,
conducta irracional o incontrolable, visión borrosa, somnolencia, incapaci-
dad para despertarse del sueño o ataques convulsivos) (debilidad, nervio-
sismo, ansiedad, irritabilidad, impaciencia, escalofríos, frío, mareos, náu-
seas, cefaleas, cansancio, calor, pesadillas, gritos durante el sueño, mala
coordinación, cambios de conducta, coma).
2130.05 Administrar carbohidratos simples, si está indicado.
2130.07 Administrar glucagón, si procede.
2130.08 Mantener una vía IV, si procede.
2130.09 Contactar con servicios médicos de urgencia, si es necesario.
309
2000
2130.10 Administrar glucosa intravenosa, si está indicado.
2130.11 Mantener vías aéreas abiertas, si es el caso.
2130.13 Examinar sucesos anteriores a la hipoglucemia para determinar
la posible causa.
2130.14 Proporcionar información sobre la conveniencia del autocontrol
de la hipoglucemia.
2130.15 Enseñar al paciente y familia los signos y los síntomas, factores
de riesgo y tratamiento de la hipoglucemia.
2130.16 Aconsejar al paciente que disponga de carbohidratos simples en
todo momento.
2130.17 Indicar al paciente que debe obtener y llevar identificación médi-
ca de emergencia adecuada.
2130.18 Instruir a los seres queridos en la utilización y administración de
glucagón, si resulta oportuno.
2130.19 Instruir de las interacciones de la dieta, insulina /agentes orales
y ejercicio.
2130.20 Proporcionar ayuda al paciente en la toma de decisiones para
evitar la hipoglucemia.
2130.21 Fomentar el autocontrol de los niveles de glucosa en sangre.
2130.25 Informar al paciente del aumento del riesgo y/ o normalización de
los niveles de glucosa en sangre tras el ejercicio intensivo.
2300 ADMINISTRACIÓN DE MEDICACIÓN
Definición: Preparar, administrar y evaluar la efectividad de los medica-
mentos prescritos y de libre dispensación.
Actividades:
2300.04 Verificar la receta o la orden de medicación antes de administrar
el fármaco.
2300.06 Observar si existen posibles alergias, interacciones y contraindi-
caciones respecto de los medicamentos.
2300.07 Tomar nota de las alergias del paciente antes de la administra-
ción de cada fármaco y suspender los medicamentos, si procede.
310
2000
2300.08 Asegurarse de que los hipnóticos, narcóticos y antibióticos son
suspendidos u ordenados nuevamente a la fecha de renovación.
2300.14 Ayudar al paciente a tomar la medicación.
2300.15 Administrar la medicación con la técnica y vía adecuadas.
2300.16 Utilizar las órdenes, normas y procedimientos como guía del
método adecuado de administración de medicamentos.
2300.17 Instruir al paciente y a la familia acerca de las acciones y los
efectos adversos esperados de la medicación.
2300.19 Observar los efectos terapéuticos de la medicación en el pacien-
te.
2300.20 Observar si se producen efectos adversos, toxicidad e interac-
ciones en el paciente por los medicamentos administrados.
2308 ADMINISTRACIÓN DE MEDICACIÓN: OTICA
Definición: Preparación e instilación de medicamentos óticos.
Actividades:
2308.03 Determinar el conocimiento del paciente sobre la medicación y la
comprensión del paciente acerca del método de administración.
2308.04 Colocar al paciente en decúbito lateral.
2308.05 Poner recto el canal auditivo tirando del pabellón auricular hacia
abajo y hacia atrás (niños) o hacia arriba y hacia atrás (adultos).
2308.06 Instilar la medicación sujetando el cuentagotas 1 cm por encima
del canal auditivo.
2308.07 Enseñar al paciente que debe permanecer en la misma posición
durante 2 o 3 minutos.
2308.09 Enseñar y controlar la técnica de auto-administración según sea
conveniente.
2311 ADMINISTRACIÓN DE MEDICACIÓN: INHALACIÓN
Definición: Preparación y administración de medicamentos por inhala-
ción
311
2000
Actividades:
2311.03 Determinar el conocimiento de la medicación y la comprensión
del paciente del método de administración.
2311.04 Determinar la habilidad del paciente para manipular y administrar
la medicación.
2311.05 Ayudar al paciente a utilizar el inhalador según esté prescrito.
2311.06 Enseñar al paciente a utilizar la cámara de aire (espaciador) con
el inhalador según sea conveniente.
2311.07 Sacar la tapa del inhalador sujetándolo hacia arriba.
2311.08 Agitar el inhalador.
2311.10 Ayudar al paciente a colocarse el inhalador en la boca o la nariz.
2311.11 Enseñar al paciente a apretar el inhalador para liberar la medica-
ción mientras inhala lentamente.
2311.12 Hacer que el paciente aguante la respiración durante 10 segun-
dos, según sea conveniente.
2311.13 Enseñar al paciente a repetir los lanzamientos según tenga pres-
crito, esperando 1 minuto entre uno y otro.
2311.14 Si se han prescrito dos inhaladores de dosis medidas, enseñar al
cliente a esperar entre inhalaciones por protocolo de la institución.
2311.15 Enseñar al paciente a sacar el cartucho de la medicación y a lim-
piar el inhalador con agua caliente.
2311.18 Enseñar y controlar la técnica de autoadministración, según sea
conveniente.
4490.02 Aconsejar al fumador de forma clara y consistente dejar de fumar.
2311.99 Enseñar al paciente a utilizar el polvo seco.
2311.98 Fomentar el autocontrol de la medicación mediante el uso del
peak-flow.
2311.97 Enseñar al paciente la técnica y registro en las gráficas del FEM
obtenido con el peak-flow.
2312 ADMINISTRACIÓN DE MEDICACIÓN: INTRADÉRMICA (ID)
Definición: Preparación y administración de medicamentos por vía intra-
dérmica.
312
2000
Actividades:
2312.01 Seguir los cinco principios de administración de medicación.
2312.04 Elegir la aguja y la jeringa correctas según el tipo de inyección.
2312.07 Elegir el lugar de inyección adecuado y examinar si en la piel hay
contusiones, inflamaciones o edemas, lesiones o decoloración.
2312.08 Utilizar técnicas asépticas.
2312.09 Introducir la aguja en un ángulo de entre 5 y 15 grados.
2312.10 Inyectar la medicación mientras se observa si hay pequeñas
ampollas en la superficie de la piel.
2312.12 Marcar el lugar de inyección y examinarlo pasado un intervalo de
tiempo adecuado después de la inyección (p. ej., 48-72 horas).
2313 ADMINISTRACIÓN DE MEDICACIÓN: INTRAMUSCULAR (IM)
Definición: Preparación y administración de medicamentos por vía intra-
muscular.
Actividades:
2313.01 Seguir los cinco principios de administración de medicación.
2313.05 Elegir la aguja y la jeringa correctas según la información del
paciente y de la medicación.
2313.06 Comprobar posibles incompatibilidades entre fármacos.
2313.09 Elegir el lugar de inyección adecuado y palpar si en la piel hay
edemas o masas o si está blanda; evitar zonas con cicatrices, contusio-
nes, abrasiones o infecciones.
2313.11 Administrar la inyección utilizando técnicas asépticas y el proto-
colo adecuado.
2313.12 Introducir la aguja rápidamente en un ángulo de 90 grados.
2313.13 Aspirar antes de inyectar.
2316 ADMINISTRACIÓN DE MEDICACIÓN: TOPICA
Definición: preparación y aplicación de medicamentos en la piel.
313
2000
Actividades.
2316.02 Tomar nota del historial medico y de alergias del paciente.
2310.03 Determinar el conocimiento de la medicación y la comprensión
del paciente del método de administración.
2316.04 Determinar el estado de la piel del paciente en la zona donde se
aplicara la medicación.
2316.05 Retirar los restos de medicación y limpiar la piel.
2316.07 Aplicar el fármaco tópico según este prescrito.
2316.08 Aplicar parches transdermicos y medicaciones tópicas en zonas
de la piel sin vello, según sea conveniente.
2316.09 Extender la medicación uniformemente sobre la piel.
2316.11 Controlar si se producen efectos locales, sistémicos y adversos
de la medicación.
2316.12 Enseñar y controlar la técnica de autoadministración, según sea
conveniente.
2317 ADMINISTRACIÓN DE MEDICACIÓN: SUBCUTÁNEA (SC)
Definición: Preparación y administración de medicaciones por vía subcu-
tánea.
Actividades:
2317.01 Seguir los cinco principios de administración de medicación.
2317.06 Elegir la aguja y la jeringa correctas según la información del
paciente y de la medicación.
2317.09 Alternar sistemáticamente los lugares de inyección de insulina
dentro de una zona anatómica.
2317.10 Valorar si en el lugar de inyección hay edemas o masas o si está
blanda; evitar zonas con cicatrices, contusiones, abrasiones o infeccio-
nes.
2317.11 Administrar la inyección utilizando técnicas asépticas.
2317.12 Introducir la aguja rápidamente en un ángulo de entre 45 y 90
grados en función del tamaño del paciente.
314
2000
2317.14 Educar al paciente, a los miembros de la familiar y a otras perso-
nas relevantes en la técnica de la invección.
2380 MANEJO DE LA MEDICACIÓN
Definición: Facilitar la utilización segura y efectiva de los medicamentos
prescritos y de libre dispensación.
Actividades:
2380.01 Determinar los fármacos necesarios y administrar de acuerdo
con la prescripción médica y/o el protocolo.
2380.02 Comprobar la capacidad del paciente para automedicarse, si pro-
cede.
2380.03 Vigilar la eficacia de la modalidad de administración de la medi-
cación.
2380.04 Observar los efectos terapeúticos de la medicación en el paciente.
2380.06 Observar si se producen efectos adversos derivados de los fár-
macos.
2380.09 Revisar periódicamente con el paciente y/ola familia los tipos y
dosis de medicamentos tomados.
2380.12 Desarrollar estrategias con el paciente para potenciar el cumpli-
miento del régimen de medicación prescrito.
2380.13 Determinar el conocimiento del paciente sobre la medicación.
2380.14 Controlar el cumplimiento del régimen de medicación.
2380.15 Enseñar al paciente y /o a la familia el método de administración
de los fármacos, si procede.
2380.16 Proporcionar al paciente y /o a los miembros de la familia infor-
mación escrita y visual para potenciar la autoadministración de los medi-
camentos, según sea necesario.
2380.17 Proporcionar alternativas para la sincronización y modalidad de
autoadministración de medicamentos con el propósito de minimizar los
efectos en el estilo de vida del paciente.
2380.18 Animar al paciente a realizarse análisis para determinar los efec-
tos de la medicación.
315
2000
2400 ASISTENCIA EN LA ANALGESIA CONTROLADA POR EL
PACIENTE (PCA)
Definición: Facilitar el control por parte del paciente de la administración
y regulación de los analgésicos.
Actividades:
2400.04 Asegurarse de que el paciente no es alérgico al analgésico que
ha de administrarse.
2400.05 Enseñar al paciente y a la familia a valorar la intensidad, calidad
y duración del dolor.
2400.07 Establecer acceso nasogástrico, venoso, subcutáneo o vertebral,
si procede.
2400.09 Colaborar con el paciente y a la familia para seleccionar el tipo
de dispositivo de infusión controlado, adecuado para el paciente.
2400.10 Enseñar al paciente y a la familia la utilización del dispositivo
PCA.
2400.12 Ayudar al paciente o a un miembro de la familia a administrar un
bolo adecuado que lleve la dosis del analgésico.
2400.16 Consultar con el paciente, la familia y el médico para ajustar el
intervalo de desactivación, la frecuencia basal y la dosis de demanda, de
acuerdo con la capacidad de respuesta del paciente.
2400.18 Enseñar al paciente y a la familia la acción y los efectos secun-
darios de los analgésicos.
2400.20 Recomendar un régimen intestinal para evitar el estreñimiento.
2400.21 Consultar con los expertos de la unidad del dolor, si el paciente
presenta dificultad para controlar el dolor.
2440 MANTENIMIENTO DE DISPOSITIVOS DE ACCESO VENOSO
(DAV)
Definición: Manejo del paciente con acceso venoso prolongado median-
te catéteres perforados o no perforados y los implantados.
Actividades:
2440.01 Determinar el tipo de catéter venoso a colocar.
316
2000
2440.02 Mantener una técnica aséptica siempre que se manipule el caté-
ter venoso.
2440.03 Mantener las precauciones universales.
2440.04 Verificar las órdenes de las soluciones a perfundir, si procede.
2440.07 Cambiar los sistemas vendajes y tapones, de acuerdo con el pro-
tocolo del centro.
2440.10 Utilizar agentes fibrinolíticos para permeabilizar catéteres, si pro-
cede y de acuerdo con las normas del centro.
2440.13 Controlar periódicamente el estado de líquidos, si procede.
2440.14 Observar si hay signos y síntomas asociados con infección local
o sistémica (rojez, tumefacción, sensibilidad, fiebre, malestar).
2440.15 Determinar si el paciente y/o familia entienden el propósito, cui-
dados y mantenimiento del DAV.
2440.16 Instruir al paciente y/o la familia en el mantenimiento del disposi-
tivo.
2680 MANEJO DE LAS CONVULSIONES
Definición: cuidados del paciente durante un ataque convulsivo y duran-
te el estado postictal.
Actividades:
2680.01 Guiar los movimientos para evitar lesiones.
2680.02 Vigilar la dirección de la cabeza y los ojos durante el ataque.
2680.03 Aflojar la ropa.
2680.04 Permanecer con el paciente durante el ataque.
2680.05 Mantener abierta una vía aérea.
2680.06 Canalizar una vía IV, según corresponda.
2680.07 Aplicar oxígeno, si procede.
2680.09 Vigilar los signos vitales.
2680.11 Registrar la duración del ataque.
2680.15 Administrar los anticonvulsivos prescritos.
317
2000
2690 PRECAUCIONES CONTRA CONVULSIONES
Definición: Prevenir o minimizar lesiones potenciales sufridas por un
paciente con un transtorno de ataques convulsivos conocido.
Actividades:
2690.04 Comprobar el cumplimiento con la toma de medicamentos antie-
pilépticos.
2690.07 Explicar al paciente la medicación y sus efectos secundarios.
2690.08 Instruir a la familia/ser querido acerca de los primeros auxilios en
caso de ataque convulsivo.
2690.10 Ordenar al paciente que lleve una tarjeta de alerta de medica-
mentos.
2690.11 Retirar los objetos potencialmente peligrosos del ambiente.
2690.17 Instruir al paciente acerca de los factores desencadenantes.
2690.98 Tener al alcance una cánula para mantener una vía aérea libre.
2690.99 Tener al alcance canuletas de medicación apropiada (diazepam)
por si se precisa.
3140 MANEJO DE LAS VÍAS AÉREAS
Definición: asegurar la permeabilidad de la vía aérea.
Actividades:
3140.05 Realizar fisioterapia torácica, si está indicado.
3140.06 Eliminar las secreciones fomentando la tos o la succión.
3140.07 Fomentar una respiración lenta y profunda, giros y tos.
3140.08 Utilizar técnicas divertidas para estimular la respiración profunda
en los niños (hacer burbujas, soplar un silbato, armónica, globos; hacer un
concurso soplando pelotas de pimpón, plumas, etc.)
3140.09 Enseñar a toser de manera eficaz.
3140.14 Enseñar al paciente a utilizar los inhaladores prescritos, si es el
caso.
3140.15 Administrar tratamiento con aerosoles, si está indicado.
318
2000
3140.16 Administrar tratamientos con nebulizador ultrasónico, si procede.
3140.17 Administrar aire u oxígeno humidificados, si procede.
3140.18 Regular la ingesta de líquidos para optimizar el equilibrio de líqui-
dos.
3140.19 Colocar al paciente en posición tal que se alivie la disnea.
3140.20 Vigilar el estado respiratorio y de oxigenación, si procede.
3160 ASPIRACIÓN DE LAS VÍAS AÉREAS
Definición: extracción de secreciones de las vías aéreas mediante la
introducción de un catéter de aspiración en la vía aérea oral y/o la traquea
del paciente.
Actividades:
3160.01 Determinar la necesidad de la aspiración oral y/o traqueal.
3160.02 Auscultar los sonidos respiratorios antes y después de la aspira-
ción.
3160.03 Informar al paciente y a la familia sobre la aspiración.
3160.04 Aspirar la nasofaríngea con una jeringa de ampolla o tirador o
dispositivo de aspiración, si procede.
3160.06 Disponer precauciones universales; guantes, gafas y máscara, si
es el caso.
3160.11 Utilizar equipo desechable estéril para cada procedimiento de
aspiración traqueal.
3160.13 Enseñar al paciente a respirar lenta y profundamente durante la
inserción del catéter de aspiración por ruta nasotraqueal.
3160.25 Enseñar al paciente y/o a la familia a succionar la vía aérea, si
resulta adecuado.
4490.02 Aconsejar al fumador de forma clara y consistente dejar de fumar.
3210 MANEJO DEL ASMA
Definición: Identificación, tratamiento y prevención de las reacciones
inflamatorias de las vías aéreas.
319
3000
Actividades:
3210.01 Determinar los datos basales del estado respiratorio del pacien-
te para utilizar como punto comparativo.
3210.04 Obtener mediciones de espirometría (FEV1, FVC, relación
FEV1/FVC) antes y después del uso de un broncodilatador de corta dura-
ción.
3210.05 Controlar el índice de flujo espiratorio máximo (peek-flow), si pro-
cede.
3210.06 Enseñar al paciente el uso del medidor de peek-flow en casa.
3210.08 Determinar la comprensión de la enfermedad y del tratamiento
por parte del cliente/ familia.
3210.09 Enseñar al cliente/familia las medicaciones antiinflamatorias y
broncodilatadoras y su uso adecuado.
3210.10 Enseñar técnicas adecuadas para el uso de la medicación y del
equipo (p. ej., inhalador, nebulizador, medidor de flujo máximo).
3210.13 Identificar desencadenantes conocidos y la reacción habitual.
3210.16 Ayudar a reconocer signos/síntomas inminentes de las crisis
asmáticas y a implantar medidas de respuesta adecuadas.
3210.24 Enseñar técnicas de respiración/ relajación.
3210.29 Establecer un programa regular de seguimiento.
3230 FISIOTERAPIA RESPIRATORIA
Definición: Ayudar al paciente a expulsar las secreciones de la vía aérea
alta y facilitar la expectoración y / o aspiración de la vía aérea baja.
Actividades:
3230.01 Determinar si existen contraindicaciones al uso de la fisioterapia
respiratoria.
3230.02 Determinar el(los) segmento(s) pulmonar(es) que necesita ser
drenado.
3230.03 Colocar al paciente con el segmento pulmonar que ha de drenar-
se en la posición más alta.
3230.04 Utilizar almohadas para que el paciente se apoye en la posición
determinada.
320
3000
3230.05 Practicar percusión con drenaje postural juntando las manos y
golpeando la pared torácica en rápida sucesión para producir una serie de
sonidos huecos.
3230.06 Practicar vibración torácica junto con el drenaje postural, si resul-
ta oportuno.
3230.12 Estimular la tos durante y después del drenaje postural.
3250 MEJORANDO LA TOS
Definición: fomento de la inhalación profunda en el paciente con la
consiguiente generación de altas presiones intratorácicas y compren-
sión del parénquima pulmonar subyacente para la expulsión forzada
de aire.
Actividades:
3250.01 Vigilar los resultados de pruebas de función pulmonar, especial-
mente la capacidad vital, fuerza inspiratoria máxima, volumen respiratorio
forzado en un segundo (FEV1) y FEV1 / FVC, si procede.
3250.02 Ayudar al paciente a sentarse con la cabeza ligeramente flexio-
nada, los hombros relajados y las rodillas flexionadas.
3250.03 Animar al paciente a que realice varias respiraciones profundas.
3250.04 Animar al paciente a que realice una respiración profunda, la man-
tenga durante dos segundos y tosa dos o tres veces de forma sucesiva.
3250.05 Ordenar al paciente a que inspire profundamente, se incline lige-
ramente hacia delante y realice tres o cuatro soplidos (contra la glotis
abierta).
3250.06 Enseñar al paciente a que inspire profundamente varias veces,
expire lentamente y a que tosa al final de la exhalación.
3250.99 Fomentar la hidratación a través de la administración de líquidos,
si procede.
4490.02 Aconsejar al fumador de forma clara y consistente dejar de fumar.
3320 OXIGENOTERAPIA
Definición: administración de oxígeno y control de su eficacia.
321
3000
Actividades:
3320.01 Eliminar las secreciones bucales, nasales y traqueales, si procede.
3320.02 Restringir el fumar.
3320.06 Vigilar el flujo de litro de oxígeno.
3320.08 Instruir al paciente acerca de la importancia de dejar el dispositi-
vo de aporte de oxígeno encendido.
3320.10 Controlar la eficacia de la oxigenoterapia (pulsioxímetro, gaso-
metría de sangre arterial), si procede.
3320.17 Observar la ansiedad del paciente relacionadas con la necesidad
de la terapia de oxígeno.
3320.18 Observar si se producen roturas de la piel por la fricción del dis-
positivo de oxigeno.
3320.99 Valorar los conocimientos el paciente sobre el mantenimiento y
uso del equipo en el domicilio.
mantenimiento, uso
3320.98 Valorar las rupturas de la piel por fricción del dispositivo y el sis-
tema de fijación,
3320.97 Recomendar al paciente que cambie de forma sistemática el cir-
cuito de goma del equipo.
3320.96 Recomendar al paciente que coloque en su domicilio el disposi-
tivo en una estancia ventilada a más de 1,5 m de una fuente de calor o
aparatos eléctricos.
3320.23 Disponer el uso de dispositivos de oxigeno que faciliten la movi-
lidad y enseñar al paciente en consecuencia.
4490.02 Aconsejar al fumador de forma clara y consistente dejar de fumar.
3350 MONITORIZACIÓN RESPIRATORIA, ESPIROMETRIA Y PULSIO-
XIMETRIA
Definición: Reunión y análisis de datos de un paciente para asegurar la
permeabilidad de las vías aéreas y el intercambio de gas adecuado.
Actividades:
3350.01 Vigilar la frecuencia, ritmo, profundidad y esfuerzo de las respira-
ciones.
322
3000
3350.03 Observar si se producen respiraciones ruidosas, como cacareos
o ronquidos.
3350.05 Palpar para ver si la expansión pulmonar es igual.
3350.08 Observar si hay fatiga muscular diafragmática(movimiento para-
dojico).
3350.12 Vigilar los valores PFT, sobre todo la capacidad vital, fuerza res-
piratoria máxima, volumen respiratorio forzado en un segundo (FEV1) y
FEV1/ FVC, según disponibilidad.
3350.16 Comprobar la capacidad del paciente para toser eficazmente.
3350.18 Vigilar las secreciones respiratorias del paciente.
3350.19 Observar si hay disnea y sucesos que la mejoran y empeoran.
3350.21 Observar si se producen crepitantes, si es el caso.
4490.02 Aconsejar al fumador de forma clara y consistente dejar de fumar.
3350.96 Comprobar indicación y posibles contraindicaciones de la espiro-
metría.
3350.97 Proporcionar recomendaciones previas a la espirometría, por
escrito: No fumar 3 o 4 horas antes, suprimir el café 1 hora antes, suspen-
der medicación si procede y evitar el ejercicio vigoroso al menos en los 30
minutos anteriores.
3350.98 Explicar la espirometría al paciente para conseguir la máxima
colaboración y comprensión del mismo.
3350.99 Realizar pulsioximetría si procede.
3440 CUIDADO DEL SITIO DE INCISIÓN
Definición: Limpieza, seguimiento y fomento de la curación de una heri-
da cerra mediante sutura, clips o grapas.
Actividades:
3440.02 Inspeccionar el sitio de incisión por si hubiera enrojecimiento,
inflamación o signos de dehiscencia o evisceración.
3440.99 Limpiar la zona que rodea la incisión con una solución de polivi-
dona iodada.
3440.98 Limpiar la zona que rodea la incisión con una solución jabonosa.
323
3000
3440.97 Limpiar la zona que rodea la incisión con clorhexidina.
3440.96 Limpiar la zona afectada con una solución salina a presión.
3440.11 Aplicar bandas o tiras de cierre estériles.
3440.95 Aplicar puntos de sutura o grapas.
3440.06 Limpiar desde la zona más limpia hacia la zona menos limpia.
3440.07 Observar si hay signos y síntomas de infección en la incisión.
3440.13 Retirar las suturas, grapas o clips, si está indicado.
3440.14 Cambiar el vendaje o apósito a intervalos adecuados.
3440.15 Aplicar un vendaje o apósito adecuado para proteger la incisión.
3440.16 Facilitar la visión de la incisión por parte del paciente.
3440.17 Instruir al paciente acerca de la forma de cuidar la incisión duran-
te el baño o la ducha.
3440.19 Enseñar al paciente y/o a la familia a cuidar la incisión, incluyen-
do signos y síntomas de infección.
3480 MONITORIZACIÓN DE LAS EXTREMIDADES INFERIORES
Definición: Limpieza, seguimiento y fomento de la curación de una heri-
da cerra mediante sutura, clips o grapas.
Actividades:
3480.01 Examinar si en la piel hay evidencia de poca higiene.
3480.02 Examinar si en las extremidades inferiores hay presencia de
edema.
3480.03 Examinar si hay cambios en las uñas de los dedos de los pies (p.
ej., espesor, infección fúngica, uñero y evidencia de adornos inadecua-
dos).
3480.04 Examinar el color, la temperatura, la hidratación, el crecimiento
del vello, la textura y las grietas o las fisuras de la piel.
3480.05 Examinar si entre los dedos de los pies hay maceración, rotura o
fisuras.
3480.06 Preguntar si se han observado cambios en los pies y la historia
reciente o pasada de úlceras en el pie o amputación.
324
3000
3480.07 Determinar el estado de movilidad (caminar sin ayuda, caminar
con mecanismos de ayuda o no andar/utilizar silla de ruedas).
3480.10 Examinar si en el pie hay evidencias de presión (es decir, presen-
cia de enrojecimiento localizado, aumento de la temperatura, ampollas).
3480.11 Preguntar si hay parestesias (entumecimiento, hormigueo o que-
mazón).
3480.13 Palpar los pulsos pedios y tibial posterior.
3480.14 Determinar el índice de presión del tobillo, si está indicado.
3480.15 Examinar la presencia de claudicación intermitente, dolor en
reposo o dolor nocturno.
3480.17 Controlar el nivel de sensación protectora utilizando monofila-
mento de nailon Semmes-Weinstein.
3480.18 Determinar el umbral de percepción de vibración.
3480.20 Obtener reflejos tendinosos profundos (tobillo y rodilla), si está
indicado.
3480.21 Observar la marcha y la distribución del peso sobre el pie (obser-
var la deambulación y determinar la pauta de uso en los zapatos).
3480.22 Observar el estado de los zapatos y los calcetines (limpios y bien
remendados)
3480.23 Observar la adecuación de los zapatos (tacón bajo con una
horma del zapato que se adecue a la forma del pie; profundidad adecua-
da de la caja del dedo; suelas realizadas con material que amortigüe los
golpes; anchura ajustable con lazos y correas; parte superior realizada
con materiales transpirables, suaves y flexibles; cambios realizados para
trastornos de marcha o de longitud de la pierna, y posibilidades de modi-
ficación, si es necesario).
3480.28 Dar información al paciente/familia sobre servicios especializa-
dos de cuidados de los pies.
3500 MANEJO DE PRESIONES
Definición: Minimizar la presión sobre las partes corporales.
Actividades:
3500.04 Colocar al paciente sobre un colchón/cama terapéutica.
325
3000
3500.11 Observar si hay zonas de enrojecimiento o solución de continui-
dad de la piel.
3500.12 Comprobar la movilidad y actividad del paciente.
3500.13 Realizar test de Norton.
3500.14 Utilizar dispositivos adecuados para mantener los talones y pro-
minencias óseas libres de presiones continuas.
3500.17 Vigilar el estado nutricional del paciente
3500.18 Observar si hay fuentes de cizallamiento.
3500.97 Enseñar al cuidador a detectar el enrojecimiento de las zonas de
presión.
3500.98 Enseñar a masajear los puntos de presión si no hay eritema man-
tenido.
3500.99 Enseñar al cuidador principal a realizar los cambios posturales,
al menos cada dos horas según plan.
3520 CUIDADOS DE LAS ÚLCERAS POR PRESIÓN
Definición: Facilitar la curación de úlceras por presión.
Actividades:
3520.01 Medir y describir las características de la úlcera a intervalos regu-
lares.
3520.02 Determinar el nivel de formación de úlcera: estadio I a IV.
3520.03 Mantener la úlcera humedecida para favorecer la curación.
3520.04 Limpiar la piel alrededor de la úlcera con jabón suave y agua.
3520.99 Proteger de la humedad la piel circundante de la lesión con apó-
sitos hidrocoloides adhesivos protectores.
3520.06 Limpiar la úlcera con la solución no tóxica adecuada, con movi-
mientos circulares, desde el centro.
3520.11 Mojar con solución salina, según corresponda.
3520.08 Anotar las características del drenaje.
3660.98 Desbridación quirúrgica de la herida.
3660.97 Desbridación enzimática de la herida:
326
3000
3660.90 Desbridación autolítica de la herida:
3660.96 Aplicar apósito no adhesivo absorvente:.
3660.95 Aplicar apósito de poliuretano absorvente no adhesivo:
3660.94 Aplicar apósito adhesivo hidrocoloide:
3660.93 Aplicar apósito de gasas hidrófilas y banda adhesiva de espara-
drapo.
3660.92 Aplicar pomada o sustancia cicatrizante:
3660.91 Obtener una muestra de exhudado para análisis y cultivo bacte-
riano.
3520.13 Aplicar vendajes, si está indicado.
3520.14 Evitar la presión prolongada en otros sitios.
3520.15 Observar si hay signos y síntomas de infección en la herida.
3520.16 Aumentar la ingesta de proteínas para ayudar a reconstruir el teji-
do epidérmico, si no existe contraindicación.
3660.22 Enseñar al paciente o miembro de la familia a realizar la cura de
la herida.
3540 PREVENCIÓN DE LAS ÚLCERAS POR PRESIÓN
Definición: Prevención de la formación de úlceras por presión en un
paciente con alto riesgo de desarrollo.
Actividades:
3540.03 Vigilar estrechamente cualquier zona enrojecida.
3540.04 Eliminar la humedad excesiva en la piel causada por la transpi-
ración, drenaje de heridas y las incontinencias fecal o urinaria.
3540.05 Aplicar barreras de protección como cremas o compresas absor-
bentes para eliminar el exceso de humedad, si procede.
3540.06 Girar continuamente cada 1-2 horas, si procede.
3540.11 Colocar al paciente en posición ayudándose con almohadas para
elevar los puntos de presión encima del colchón.
3540.12 Mantener la ropa de a cama limpia y seca, sin arrugas.
3540.14 Utilizar camas y colchones antiescaras.
327
3000
3540.20 Aplicar protectores en los talones, si procede.
3540.24 Asegurar una nutrición adecuada, especialmente proteínas, vita-
minas B y C, hierro y calorías por medio de suplementos, si procede.
3540.25 Enseñar a los miembros de la familia/ cuidador a vigilar si hay
signos de ruptura de la piel, si procede.
3590 VIGILANCIA DE LA PIEL
Definición: Recogida y análisis de datos del paciente con el propósito de
manetener la integridad de la piel y de las membranas mucosas.
Actividades:
3590.01 Inspeccionar el estado del sitio de incisión, si procede.
3590.02 Observar su color, calor, pulsos, textura y si hay inflamación,
edema y ulceraciones en las extremidades.
3590.03 Observar si hay enrojecimiento, calor extremo o drenaje en la piel
y membranas mucosas.
3590.04 Observar si hay enrojecimiento y pérdida de integridad de la piel.
3590.05 Observar si hay fuentes de presión y fricción.
3590.08 Observar si hay erupciones y abrasiones en la piel.
3590.10 Vigilar el color de la piel.
3590.11 Comprobar la temperatura de la piel.
3590.14 Instruir al miembro de la familia/cuidador acerca de los signos de
pérdida de integridad de la piel, si procede.
3620 SUTURA
Definición: Aproximación de los bordes de una herida mediante material
de sutura estéril y una aguja.
Actividades:
3620.01 Identificar las alergias a anestésicos, esparadrapo, povidona
yodada y/ u otras soluciones tópicas.
3620.03 Remitir las heridas profundas, faciales, articulares o potencial-
mente infectadas a un médico.
328
3000
3620.04 Inmovilizar al niño asustado o al adulto confundido, según proceda.
3620.05 Afeitar el vello de las inmediaciones de la herida.
3620.06 Limpiar la piel circundante con jabón y agua u otra solución anti-
séptica suave.
3620.10 Seleccionar un material de sutura del calibre adecuado.
3620.11 Determinar el método de sutura (continuo o interrumpido) más
adecuado para la herida.
3620.13 Colocar la aguja siguiendo la línea o curva de la misma aguja.
3620.14 Ajustar la sutura lo suficiente como para que no se doble la piel.
3620.16 Fijar la línea de sutura con nudos ajustados.
3620.17 Limpiar la zona antes de aplicar un antiséptico o vendaje.
3620.18 Aplicar el vendaje, si procede.
3620.19 Enseñar al paciente a cuidar la línea de sutura, incluyendo los
signos y síntomas de infección.
3620.20 Explicar al paciente cuándo deben quitarse las suturas.
3620.21 Extraer las suturas, según se indique.
3620.22 Programar la visita posterior, si procede.
3660 CUIDADOS DE LAS HERIDAS
Definición: Prevención de complicaciones de las heridas y estimulación
de la curación de las mismas.
Actividades:
3660.01 Despegar los apósitos y limpiar los restos de la herida.
3660.03 Anotar las características de cualquier drenaje producido.
3660.04 Limpiar con jabón antibacteriano:
3660.05 Limpiar la zona afectada con una solución salina a presión.
3660.11 Masajear la zona alrededor de la herida para estimular la circula-
ción.
3660.98 Desbridación quirúrgica de la herida.
3660.97 Desbridación enzimática de la herida:
329
3000
3660.90 Desbridación autolítica de la herida.
3660.96 Aplicar apósito no adhesivo absorvente.
3660.95 Aplicar apósito de poliuretano absorvente no adhesivo:
3660.94 Aplicar apósito adhesivo hidrocoloide:
3660.93 Aplicar apósito de gasas hidrófilas y banda adhesiva de espara-
drapo.
3660.92 Aplicar pomada o sustancia cicatrizante:
3660.91 Obtener una muestra de exhudado para análisis y cultivo bacte-
riano.
3660.15 Vendar de forma adecuada.
3660.16 Aplicar un vendaje oclusivo, si procede.
3660.22 Enseñar al paciente o miembro de la familia a realizar la cura de
la herida.
3660.89 Instruir al paciente acerca de la forma de cuidar la herida duran-
te el baño o la ducha.
3662 CUIDADOS DE LAS HERIDAS: DRENAJE CERRADO
Definición: Mantenimiento de un sistema de drenaje de presión negativa
en una herida.
Actividades:
3662.01 Vaciar el sistema de drenaje de heridas cerradas, de acuerdo con
el procedimiento.
3662.02 Registrar el volumen y las características del drenaje a intervalos
adecuados.
3662.03 Obtener muestras, si es necesario.
3662.05 Comprobar la permeabilidad de la unidad.
3662.06 Evitar acodar los tubos.
3662.07 Inspeccionar las suturas, manteniendo el dispositivo de recogida
en su sitio.
3662.09 Fijar el aparato de drenaje cerrado a las ropas del paciente o de
la cama, si procede.
330
3000
3662.10 Eliminar los vendajes sucios, los suministros y el drenaje de
manera adecuada.
3740 TRATAMIENTO DE LA FIEBRE
Definición: Actuación ante un paciente con hipertermia causada por fac-
tores no ambientales.
Actividades:
3740.01 Tomar la temperatura lo más frecuentemente que sea oportuno.
3740.04 Observar el color de la piel y la temperatura.
3740.06 Vigilar los niveles por si hubiera descenso de los niveles de cons-
ciencia.
3740.13 Administrar medicación antipirética, si procede.
3740.16 Administrar un baño tibio con una esponja, si procede.
3740.17 Fomentar el aumento de la toma de líquidos orales, si procede.
3740.19 Aplicar bolsas de hielo cubiertas con una toalla en las ingles y las
axilas.
3780 TRATAMIENTO DE LA EXPOSICIÓN AL CALOR
Definición: Manejo del paciente con golpe de calor debido a una exposi-
ción ambiental excesiva de calor.
Actividades:
3780.02 Aflojar o quitar la ropa, si procede.
3780.03 Mojar la superficie corporal y ventilar al paciente.
3780.04 Administrar líquidos orales fríos si el paciente puede tragar.
3780.05 Administrar líquidos IV, si procede.
3780.07 Trasladar a un ambiente fresco, si procede.
3780.08 Determinar la causa de la situación como resultante de ejercicios
o no ejercicios.
3780.13 Vigilar el nivel de consciencia.
3780.16 Observar si hay hipotensión, disritmias cardíacas y signos de dis-
trés respiratorios.
331
3000
3780.19 Enseñar las medidas preventivas para evitar agotamientos por
calor y golpes de calor .
3780.20 Instruir acerca de las señales precoces de agotamiento por calor
y las acciones correspondientes que hay que tomar.
3900 REGULACIÓN DE LA TEMPERATURA
Definición: Consecución y mantenimiento de la temperatura corporal
dentro del margen normal.
Actividades:
3900.01 Comprobar la temperatura al menos cada dos horas, si procede.
3900.04 Controlar la presión sanguínea, el pulso y la respiración, si pro-
cede.
3900.05 Observar el color y la temperatura de la piel.
3900.06 Observar y registrar si hay signos y síntomas de hipotermia e
hipertermia.
3900.07 Favorecer una ingesta nutricional y de líquidos adecuada.
3900.14 Enseñar al paciente, especialmente a los pacientes ancianos,
acciones encaminadas a evitar la hipotermia por exposición al frío.
3900.15 Explicar los indicios de agotamiento por calor y el tratamiento de
urgencia adecuado, si es el caso.
3900.16 Explicar los indicios de hipotermia y el tratamiento de urgencia
adecuado, si procede.
3900.18 Ajustar la temperatura ambiental a las necesidades del paciente.
3900.20 Administrar medicamentos antipiréticos, si está indicado.
4020 DISMINUCIÓN DE LA HEMORRAGIA
Definición: Limitación del volumen de pérdida de sangre durante un epi-
sodio de hemorragia.
Actividades:
4020.01 Identificar la causa de la pérdida de sangre.
4020.03 Determinar la cantidad y naturaleza de la pérdida de sangre.
332
3000
4020.05 Determinar la tendencia de la presión sanguínea y parámetros
hemodinámicos, si se dispusiera de ellos (presión venosa central y pre-
sión pulmonar capilar/arterial de cuña).
4020.09 Instruir al paciente y/o a la familia acerca de los signos de hemo-
rragia y sobre las acciones apropiadas (avisar al cuidador), si se produje-
ran más hemorragias.
4020.10 Instruir al paciente y a la familia sobre la gravedad de la pérdida
de sangre y sobre las acciones adecuadas que han de tomarse.
4020.15 Aplicar presión directa o vendaje de presión, si procede.
4028 DISMINUCIÓN DE LA HEMORRAGIA: HERIDAS
Definición: Limitación de la pérdida de sangre de heridas ocasionadas
por traumas, incisiones o la colocación de una sonda o catéter.
Actividades:
4028.01 Aplicar presión manual sobre la zona hemorrágica o potencial-
mente hemorrágica.
4028.02 Aplicar hielo en la zona afectada.
4028.03 Aplicar vendajes de presión en el sitio de la hemorragia.
4028.05 Cambiar o reforzar el vendaje de presión, si procede.
4028.06 Colocar la extremidad afectada en una posición elevada.
4028.07 Vigilar el tamaño y carácter del hematoma, si lo hubiera.
4028.09 Controlar al paciente para que aplique presión al sitio cuando
estornude, tosa, etc.
4028.10 Instruir al paciente sobre las restricciones de actividad, si corres-
pondiera.
4028.11 Instruir al paciente y/o a la familia sobre los signos de hemorra-
gia y las acciones adecuadas a tomar (avisar al cuidador), si se produje-
ran más hemorragias.
4030 ADMINISTRACIÓN DE PRODUCTOS SANGUINEOS
Definición: Administración de sangre y hemoderivados y monitorizar la
respuesta del paciente.
333
4000
Actividades:
4030.02 Obtener o comprobar el consentimiento informado del paciente.
4030.03 Verificar que el producto sanguíneo ha sido preparado, clasifica-
do y se ha realizado concordancia de cruce (si correspondiera) para el
receptor.
4030.04 Enseñar al paciente los signos y síntomas de las reacciones a
una transfusión.
4030.05 Conjuntar el sistema de administración con el filtro adecuado al
producto sanguíneo y el estado inmune del receptor.
4030.08 Realizar venopuntura, con la técnica adecuada.
4030.11 Controlar signos vitales ( durante y después de la transfusión).
4030.13 Vigilar y regular el ritmo de flujo durante la transfusión
4030.18 Registrar la duración de tiempo de la transfusión .
4030.19 Registrar el volumen transfundido.
4030.21 Coordinar la devolución del contenedor de sangre al laboratorio
después de luna reacción sanguínea.
4030.22 En caso de reacción sanguínea notificarlo inmediatamente al
laboratorio.
4035 MUESTRA DE SANGRE CAPILAR
Definición: Obtención por punción transcutánea de una muestra de san-
gre periférica del cuerpo como el talón, un dedo u otro lugar.
Actividades:
4035.01 Verificar la identificación correcta del paciente.
4035.02 Minimizar la ansiedad del paciente utilizando procedimientos
adecuados a la edad.
4035.03 Mantener precauciones estándar.
4035.04 Elegir el lugar de punción (p. ej., cara inferior externa del talón,
lados de los dedos de los pies o manos, lugares alternativos como el ante-
brazo).
4035.07 Utilizar técnicas asépticas en la punción.
334
4000
4035.09 Quitar la primera gota de sangre con una gasa seca, según las
indicaciones del fabricante o el protocolo de la institución.
4035.10 Recoger la sangre de la manera adecuada para la realización de
la prueba (p. ej., dejar que una gota de sangre caiga en la zona del papel
de filtro especificada para ello por el fabricante, colocar la sangre en tubos
por capilaridad).
4035.11 Presionar de manera intermitente en el punto más alejado posi-
ble del lugar de punción para favorecer el flujo de la sangre.
4035.14 Etiquetar la muestra, según el protocolo de la institución.
4035.15 Enviar la muestra al laboratorio, según sea necesario.
4035.17 Enseñar y dirigir la autoextracción de muestras de sangre capi-
lar, si procede.
4039 ELECTROCARDIOGRAMA
Definición: Proporcionar información y ayuda al individuo antes y duran-
te la realización del electrocardiograma.
Actividades:
5618.08 Explicar el procedimiento / tratamiento.
4039.99 Comprobar indicación y posibles contraindicaciones.
4039.98 Proporcionar recomendaciones previas a la prueba, por escrito:
Ducharse el día anterior a la prueba, no traer puestas joyas y venir con
ropa cómoda.
4039.97 Colocar al paciente en decúbito supino con el tórax desnudo, los
tobillos y muñecas descubiertos y taparlo.
4039.96 Disponer de una camilla deberá ser amplia para que pueda aco-
modar los brazos a lo largo del cuerpo.
4039.95 Acondicionar la habitación a una temperatura adecuada .
4039.93 Afeitar las zonas de colocación de los electrodos en el tórax, si
procede.
4039.94 Preparar la piel con un gel conductor, agua jabonosa o suero
fisiológico. y si el paciente tiene mucho vello en el tórax debe afeitarse.
4039.92 Colocar los cuatro electrodos en los brazos y piernas y los elec-
trodos precordiales en el tórax.
335
4000
4039.91 Recomendar al paciente que permanezca lo más quieto posible
mientras se realiza el electrocardiograma .
4039.90 Anotar en el ECG el nombre del paciente, la fecha y número de
historia clínica
4040 CUIDADOS CARDIACOS
Definición: Limitación de las complicaciones derivadas de un desequili-
brio entre el aporte y la demanda de oxígeno miocárdico en pacientes con
síntomas de deterioro de la función cardiaca.
Actividades:
4040.01 Evaluar el dolor torácico (intensidad, localización, radiación,
duración y factores precipitadores y de alivio.
4040.02 Realizar una valoración exhaustiva de la circulación periférica
(comprobar pulso periférico, edema, llenado capilar, color y temperatura
de las extremidades)
4040.03 Monitorizar el ritmo y frecuencia cardiaca.
4040.04 Registrar arritmias cardiacas.
4040.06 Observar si hay arritmias cardiacas, incluyendo tanto de ritmo
como de conducción.
4040.07 Controlar el estado respiratorio por si se produce insuficiencia
cardiaca.
4046 CUIDADOS CARDÍACOS: REHABILITACIÓN
Definición: Fomento de un máximo nivel de actividad funcional en un
paciente que ha sufrido un episodio de deterioro de la función cardíaca
derivada de un desequilibrio entre el aporte y la demanda de oxígeno mio-
cárdico.
Actividades:
4046.02 Mantener el programa de ambulación, según se tolere.
4046.04 Instruir al paciente y a la familia sobre los fármacos adecuados,
tanto prescritos como de libre adquisición.
4046.05 Instruir al paciente y a la familia sobre la modificación de los fac-
tores de riesgo cardíacos (dejar de fumar, dieta y ejercicio), si procediera.
336
4000
4046.06 Instruir al paciente sobre el cuidado propio del dolor torácico
(tomar nitroglicerina sublingual cada 5 minutos tres veces; si el dolor no
remite recurrir a cuidados médicos de urgencia).
4046.07 Instruir al paciente y a la familia sobre el régimen de ejercicios,
incluyendo el precalentamiento, la resistencia y la relajación, si procede.
4046.08 Instruir al paciente y a la familia sobre las limitaciones para levan-
tar/ empujar peso, si procede.
4046.09 Instruir al paciente y a la familia sobre todas las consideraciones
especiales correspondientes a las actividades de la vida diaria (aislar las
actividades y permitir períodos de reposo), si procede.
4046.10 Instruir al paciente y a la familia sobre el cuidado de las heridas
y las debidas precauciones (sitio de incisión del esternón o cateteriza-
ción), si procede.
4046.13 Instruir al paciente y a la familia acerca del acceso a los servicios
de urgencia disponibles en la comunidad pertinente, cuando proceda.
4062 CUIDADOS CIRCULATORIOS: INSUFICIENCIA ARTERIAL
Definición: fomento de la circulación arterial.
Actividades:
4062.01 Realizar una valoración global de la circulación periférica ( p.
Ejem. Comprobar los pulsos periféricos, edemas, recambio capilar, color
y temperatura).
4062.02 Evaluar los edemas y los pulsos periféricos.
4062.03 Examinar si en la piel hay ulcera arteriales o solución de continui-
dad del tejido.
4062.07 Cambiar al paciente de posición como mínimo cada 2h., según
sea conveniente.
4062.08 Animar al paciente a realizar ejercicio conforme a su tolerancia.
4062.09 Proteger la extremidad de lesiones ( p. Ejem. Suapel debajo de
los pies y de la parte inferior de las piernas, estribo/soporte en los pies de
la cama; zapatos a medida ).
4062.11 Enseñar al paciente los factores que afectan a la circulación ( p.
Ejem. Fumar, utilizar ropas ceñidas, exposición a temperaturas frías y cru-
zar las piernas y los pies.
337
4000
4062.12 Enseñar al paciente a cuidarse los pies adecuadamente.
4062.13 Evitar la aplicación directa de calor en la extremidad.
4062.14 Mantener una hidratación adecuada para disminuir la viscosidad
de la sangre.
4062.15 Controlar el estado de los líquidos, incluyendo la ingesta y la eli-
minación.
4062.16 Curar las heridas, según sea conveniente.
4066 CUIDADOS CIRCULATORIOS: INSUFICIENCIA VENOSA
Definición: fomento de la circulación venosa.
Actividades:
4066.01 Realizar una valoración global de la circulación periférica (p.
Ejem. comprobar los pulsos periféricos, edemas, recambio capilar, color y
temperatura).
4066.08 Elevar la pierna afectada 20º o más por encima del nivel del cora-
zón, según sea conveniente.
4066.09 Cambiar al paciente de posición como mínimo cada 2h., según
necesidad.
4066.10 Animar al paciente a realizar ejercicios de series de movimientos
pasivos o activos mientras este en cama, en especial de las extremidades
inferiores.
4066.12 Proteger la extremidad de lesiones ( p. Ejem. Suapel debajo de
los pies y de la parte inferior de las piernas, estribo/soporte en los pies de
la cama; zapatos a medida.
4066.13 Enseñar al paciente a cuidarse los pies adecuadamente.
4066.14 Mantener una hidratación adecuada para disminuir la viscosidad
de la sangre.
4066.16 Curar las heridas, según sea conveniente.
4070 PRECAUCIONES CIRCULATORIAS
Definición: protección de una zona localizada con limitación de la perfu-
sión.
338
4000
Actividades.
4070.01 Realizar una exhaustiva valoración de la circulación periférica (
comprobar pulsos periféricos, edema, llenado capilar, color y temperatura
de la extremidad).
4070.03 Abstenerse de sacar sangre en la extremidad afectada.
4070.04 Abstenerse de aplicar presión o realizar torniquetes en la extre-
midad afectada.
4070.05 Mantener una hidratación adecuada para evitar el aumento de
viscosidad de la sangre.
4070.06 Evitar lesiones en la zona afectada.
4070.08 Instruir al paciente para que compruebe el agua de baño antes
de introducirse en la misma para evitar quemarse la piel.
4070.09 Instruir al paciente acerca del cuidado de uñas y pies.
4070.10 Instruir al paciente y a la familia acerca de la protección contra
heridas de la zona afectada.
4070.11 Observar las extremidades para ver si hay color, rojeces, dolor o
edema.
4120 MANEJO DE LÍQUIDOS
Definición: Mantener el equilibrio de líquidos y prevenir las complicacio-
nes derivadas de los niveles de líquidos anormales o deseados.
Actividades:
4120.01 Pesar a diario y controlar la evolución.
4120.03 Realizar un registro preciso de ingesta y eliminación.
4120.04 Realizar sondaje vesical, si es preciso.
4120.05 Vigilar el estado de hidratación (membranas mucosas húmedas,
pulso adecuado y presión sanguínea ortostática), según sea el caso.
4120.10 Evaluar la ubicación y extensión del edema, si lo hubiera.
4120.11 Controlar ingesta de alimentos/líquidos y calcular la ingesta caló-
rica diaria, si procede.
4120.17 Favorecer la ingesta oral (proporcionar una pajita para beber,
ofrecer líquidos entre las comidas, cambiar el agua con hielo de forma
339
4000
rutinaria, preparar polos con el zumo preferido del paciente, ofrecer gela-
tinas y utilizar recipientes pequeños de medicamentos), si procede.
4120.20 Distribuir la ingesta de líquidos en 24 horas, si procede.
4120.21 Animar al ser querido a que ayude al paciente con las comidas,
si procede.
4130 MONITORIZACIÓN DE LÍQUIDOS
Definición: Recogida y análisis de los datos del paciente para regular el
equilibrio de líquidos.
Actividades:
4130.01 Determinar la cantidad y tipo de ingesta de líquidos y hábitos de
eliminación.
4130.02 Identificar posibles factores de riesgo de desequilibrio de líquidos
(p. ej., hipertermia, terapia diurética, patologías renales, insuficiencia car-
díaca, diaforesis, disfunción hepática, ejercicio intenso, exposición al
calor, infección, estado postoperatorio, poliuria, diarrea)
4130.03 Vigilar el peso.
4130.08 Vigilar presión sanguínea, frecuencia cardiaca y estado de la res-
piración.
4130.12 Observar las mucosas, la turgencia de la piel y la sed.
4130.16 Observar si hay signos y síntomas de ascitis.
4130.18 Administrar líquidos, si procede.
4145 HIDRATACIÓN SUBCUTÁNEA
Definición: Hidratar al paciente mediante la administración de líquidos
por vía subcutánea
Actividades:
4145.99 Explicar al paciente y familia la técnica que vamos a realizar.
4145.98 Preparar la perfusión pautada por el médico, adaptando el siste-
ma y purgando toda la línea.
4145.97 Aplicar las medidas universales de asepsia.
340
4000
4145.96 Desinfectar con antiséptico la piel de la zona de incisión, habi-
tualmente en abdomen.
4145.95 Insertar palomita del 23G/25G en tejido celular subcutáneo y fijar
con apósito trasparente para mejor vigilancia del punto de incisión.
4145.94 Colgar el sistema de goteo a la altura suficiente como para que
el líquido pueda entrar por gravedad.
4145.93 Adaptar el sistema, ya purgado, a la conexión de la palomita y
regular el ritmo de goteo para que pasen unos 1000 ml en 10-12 horas.
4145.92 Instruir a la familia en la vigilancia de la perfusión, como regular-
la y desconectar, y cuando deben avisar: en caso de signos de infección/
inflamación o edema localizado mantenido.
4145.91 Respetar el descanso nocturno, desconectando el sistema y
colocando el tapón de la palomita que habremos guardado en sitio limpio.
4145.90 Cambiar la palomita cada 3-4 días o en caso de signos de infla-
mación o edema.
4145.89 Cambiar siempre la zona de punción, observando que no haya
signos de inflamación o irritación.
4190 PUNCIÓN INTRAVENOSA (IV)
Definición: Inserción de una aguja en una vena periférica al efecto de
administrar líquidos, sangre o fármacos.
Actividades:
4190.01 Verificar la orden de la terapia IV.
4190.02 Instruir al paciente acerca del procedimiento.
4190.03 Realizar una técnica aséptica estricta.
4190.04 Identificar si el paciente es alérgico a algún medicamento, el
yodo o el esparadrapo.
4190.05 Identificar si el paciente tiene problemas de coagulación o está
tomando algún fármaco que pudiera afectar a la coagulación.
4190.09 Seleccionar una vena apropiada para la venopunción.
4190.11 Elegir el tipo adecuado de aguja en función del propósito y la
duración de uso.
341
4000
4190.13 Aplicar el torniquete 10 o 12 cm por encima del sitio de punción,
si procede.
4190.17 Limpiar la zona con una solución adecuada, según el protocolo
del centro.
4190.19 Insertar la aguja de acuerdo con las construcciones del fabricante.
4190.20 Determinar la correcta colocación mediante la observación de la
sangre en la cámara o en el sistema .
4190.21 Retirar el torniquete lo antes posible.
4190.22 Fijar la aguja con esparadrapo en el sitio firmemente.
4190.23 Conectar la aguja al sistema IV, si procede.
4190.24 Aplicar un apósito transparente pequeño en el sitio de inserción IV.
4190.25 Etiquetar el apósito del sitio IV.
4200 TERAPIA INTRAVENOSA (IV)
Definición: Administración y control de líquidos y fármacos por vía intra-
venosa.
Actividades:
4200.01 Verificar la orden de la terapia intravenosa.
4200.02 Instruir al paciente acerca del procedimiento.
4200.03 Realizar una técnica aséptica estricta.
4200.04 Examinar el tipo, cantidad,, fecha de caducidad y carácter de la
solución y que no haya daños en el envase.
4200.07 Administrar los líquidos IV a temperatura ambiente.
4200.09 Administrar medicamentos IV, según prescripción, y observar los
resultados.
4200.11 Observar si hay sobrecarga de líquidos y reacciones físicas.
4200.12 Observar la permeabilidad de la vía antes de la administración
de la medicación IV.
4200.16 Realizar los cuidados del sitio IV de acuerdo con el protocolo del
centro.
4200.17 Vigilar los signos vitales.
342
4000
4200.20 Registrar los ingresos y egresos.
4200.21 Observar si se presentan signos y síntomas asociados a la flebi-
tis por la infusión e infecciones locales.
4340 ENTRENAMIENTO DE LA ASERTIVIDAD
Definición: Ayuda en la expresión efectiva de sentimientos, necesidades
e ideas a la vez que se respetan los derechos de los demás.
Actividades:
4340.01 Identificar las barreras a la afirmación (p. ej., estado de desarro-
llo, alguna condición médica o psiquiátrica crónica y socialización de la
mujer).
4340.02 Ayudar al paciente a que reconozca y reduzca las distorsiones
cognitivas que bloquean la afirmación.
4340.03 Diferenciar entre conductas afirmativas, agresivas y agresivas
pasivas.
4340.06 Promover la expresión de pensamientos y sentimientos, tanto
positivos como negativos.
4340.07 Ayudar a identificar los pensamientos autoderrotistas.
4340.08 Ayudar al paciente a distinguir entre pensamiento y realidad.
4340.10 Instruir al paciente sobre estrategias para la práctica de una con-
ducta afirmativa (p. ej., realizando solicitudes, respondiendo que no a soli-
citudes no razonables e iniciando y finalizando una conversación).
4340.13 Valorar los esfuerzos en la expresión de sentimientos e ideas.
4340.14 Monitorizar el nivel de ansiedad e incomodidad relacionados con
el cambio.
4356 MANEJO DE LA CONDUCTA: SEXUAL
Definición: Limitación y prevención de conductas sexuales socialmente
inaceptables.
Actividades:
4356.01 Identificar las conductas sexuales inaceptables, en función del
ambiente particular y población de los pacientes.
343
4000
4356.03 Discutir con el paciente las consecuencias de la conducta sexual
socialmente inaceptable y de las manifestaciones verbales de la misma.
4356.04 Comentar el impacto negativo que puede tener sobre los demás
la conducta sexual socialmente inaceptable.
4356.08 Comunicar el riesgo a los demás cuidadores.
4356.14 Enseñar/reforzar habilidades sociales apropiadas.
4356.15 Proporcionar educación sexual, correspondiente al nivel de des-
arrollo.
4356.19 Proporcionar asesoramiento, si en necesario, al paciente que
haya sufrido abusos sexuales.
4356.20 Ayudar a la familia en la comprensión y manejo de las conductas
sexuales inaceptables.
4360 MODIFICACIÓN DE LA CONDUCTA
Definición: Promoción de un cambio de conducta.
Actividades:
4360.02 Ayudar al paciente a identificar su fortaleza.
4360.03 Fomentar la sustitución de hábitos indeseables por hábitos dese-
ables.
independientemente.
4360.10 Animar al paciente a que examine su propia conducta.
4360.99 Animar al paciente a examinar los valores y creencias persona-
les y la satisfacción con ellos.
4360.11 Ayudar al paciente a identificar los más pequeños éxitos produci-
dos.
4360.13 Identificar la conducta que ha de cambiar(conducta objetivo) en
términos específicos concretos.
4360.14 Desglosar la conducta que ha de cambiarse en unidades de con-
ducta más pequeñas, mensurables (dejar de fumar ; número de cigarri-
llos fumados).
4360.15 Utilizar períodos de tiempo específicos al medir las unidades de
conducta (número de cigarrillos fumados al día )
344
4000
4360.18 Establecer objetivos de conducta de forma escrita.
4360.21 Desarrollar un método (un gráfico o diagrama) para registrar la
conducta y sus cambios.
4380 ESTABLECER LÍMITES
Definición: Establecer los parámetros de una conducta deseable y acep-
table del paciente.
Actividades:
4380.01 Discutir las preocupaciones con el paciente acerca de su conducta.
4380.02 Identificar (con la participación del paciente, cuando correspon-
da) la conducta indeseable del paciente.
4380.03 Discutir con el paciente, cuando proceda, cuál es la conducta
deseable en cada situación.
4380.04 Establecer expectativas razonables de la conducta del paciente,
en función de la situación y del paciente.
4380.05 Establecer las consecuencias (con la participación del paciente,
cuando corresponda) de aparición/ausencia de conductas deseadas.
4380.09 Ayudar al paciente, cuando sea necesario y adecuado, a mostrar
conductas deseadas.
4380.10 Observar si se producen o no las conductas deseadas del
paciente.
4380.12 Poner en marcha las consecuencias establecidas para la apari-
ción/ausencia de las conductas deseadas.
4400 TERAPIA MUSICAL
Definición: Utilización de la música para ayudar a conseguir un cambio
específico de conductas, sentimiento o fisiológico.
Actividades:
4400.01 Definir el cambio de conducta específico y /o fisiológico que se
desea (relajación, estimulación, concentración, disminución del dolor)
4400.02 Determinar el interés por la música.
4400.03 Identificar las preferencias musicales del paciente.
345
4000
4400.11 Evitar música después de una lesión aguda en la cabeza.
4400.99 Recomendar la utilización de música a intervalos regulares
4410 ESTABLECIMIENTO DE OBJETIVOS COMUNES
Definición:. Colaboración con el paciente para identificar y dar prioridad
a los objetivos de cuidados, desarrollar luego un plan para alcanzar estos
objetivos.
Actividades:
4410.03 Colaboración con el paciente para identificar y dar prioridad a los
objetivos de cuidados, desarrollar luego un plan para alcanzar estos obje-
tivos.
4410.06 Animar al paciente a identificar sus propias virtudes y habilidades.
4410.11 Ayudar al paciente a desglosar los objetivos complejos en pasos
pequeños, manejables.
4410.23 Valorar el nivel de funcionamiento actual del paciente con respec-
to a cada objetivo.
4410.27 Ayudar al paciente a centrarse en los resultados esperados más
que en los deseados.
4410.33 Coordinar con el paciente fechas de revisión periódicas para
valorar el progreso hacia los objetivos.
4420 ACUERDO CON EL PACIENTE
Definición : Negocio (negociación) de un acuerdo con el paciente para
reforzar un cambio de conducta específico.
Actividades:
4420.01 Animar al paciente a que determine sus virtudes y habilidades.
4420.02 Ayudar al paciente a identificar las prácticas sobre la salud que
desea cambiar.
4420.05 Alyudar al paciente a identificar las metas, evitar centrarse en el
diagnóstico o proceso de enfermedad únicamente.
4420.07 Ayudar al paciente a establecer los objetivos a corto y largo
plazo.
346
4000
4420. Ayudar al paciente a dividir las metas complejas en pasos
pequeños, manejables.
4420.12 Clarificar con el paciente los papeles del cuidador y del paciente,
respectivamente.
4420.15 Ayudar al paciente a desarrollar un plan para cumplir con los
objetivos.
4420.17 Ayudar al paciente a identificar los métodos para superar las cir-
cunstancias ambientales que pueden interferir en la consecución de los
objetivos.
4420.20 Facilitar la implicación de los seres queridos en el proceso del
acuerdo, si así lo desea el paciente
4420.24 Identificar, junto con el paciente, una fecha objetivo para la con-
clusión del acuerdo.
4480 FACILITAR LA AUTORRESPONSABILIDAD
Definición: Animar a un paciente a que asuma más responsabilidad de
su propia conducta
Actividades:
4480.01 Considerar responsable al paciente de sus propias conductas.
4480.02 Discutir con el paciente el grado de responsabilidad del estado
de salud actual.
4480.03 Determinar si el paciente tiene conocimientos adecuados acerca
del estado de los cuidados de salud.
4480.04 Fomentar la manifestación oral de sentimientos, percepciones y
miedos por asumir la responsabilidad.
4480.11 Animar al paciente a que asuma tanta responsabilidad de sus
propios autocuidados como sea posible.
4480.12 Ayudar a los padres a identificar las tareas propias de la edad de
las que debe responsabilizarse el niño, si procede.
4480.14 Animar a los padres a realizar un seguimiento de la conducta res-
ponsable del niño, si procede.
4480.15 Ayudar al paciente a identificar las áreas en las que podría fácil-
mente asumir más responsabilidad.
347
4000
4480.16 Facilitar el apoyo de la familia del nuevo nivel de responsabilidad
buscado o conseguido por el paciente.
4480.17 Ayudar en la creación de un horario que guíe el aumento de res-
ponsabilidad en el futuro.
4490 AYUDA PARA DEJAR DE FUMAR
Definición: Ayudar a un paciente para que deje de fumar
Actividades:
4490.01 Registrar el estado actual y el historial de la actividad de fumar.
4490.02 Aconsejar al fumador de forma clara y consistente dejar de fumar
4490.03 Ayudar al paciente a identificar las razones para dejar de fumar y
las barreras.
4490.04 Ayudar a elegir el mejor método para dejar de fumar, cuando el
paciente esté decidido a dejarlo.
4490.05 Ayudar a los fumadores motivados a fijar una fecha para dejar de
fumar.
4490.06 Remitir a programas de grupo o a terapeutas individuales, según
resulte oportuno.
4490.11 Informar al paciente que la boca seca, la tos, la garganta irritada
y la sensación de desastre pueden ser síntomas que pueden producirse
después de dejar de fumar.
4490.16 Realizar el seguimiento del paciente durante dos años después
de dejar de fumar, si fuera posible, para dar ánimos.
4490.22 Ayudar al paciente a desarrollar métodos prácticos para resistir
las ansias de fumar
4490.23 Ayudar al paciente a planificar las estrategias de enfrentamiento
de problemas resultantes del hecho de dejar de fumar.
4490.24 Aconsejar al paciente que tenga una lista de deslices, de lo que
los causa y de lo que el paciente ha aprendido de ellos.
4500 PREVENCIÓN DEL CONSUMO DE SUSTANCIAS NOCIVAS
Definición: Potenciar un estilo de vida que evite el uso de alcohol drogas.
348
4000
Actividades:
4500.08 Dirigir programas en la escuela sobre la supresión alcohol y las
drogas como actividades recreativas.
4500.09 Fomentar la toma de decisiones responsables acerca de la elec-
ción del propio estilo de vida.
4500.10 Recomendar campañas en los medios de comunicación acerca
del tema de las drogas en la comunidad.
4500.11 Educar a los padres acerca de la importancia del ejemplo en el
uso de sustancias nocivas.
4500.12 Instruir a los padres y profesores en la identificación de signos y
síntomas de adicción.
4500.13 Ayudar al paciente a identificar estrategias sustitutorias para
reducir tensiones.
4500.15 Aconsejar a los padres el apoyo de las normas escolares que
prohiben el consumo de alcohol y drogas en las actividades extraescola-
res.
4500.16 Ayudar en la organización de actividades después de las clases
de los adolescentes, tales como paseos e irse a casa.
4500.18 Animar a los padres a participar en las actividades de sus hijos,
desde la edad preescolar hasta la adolescencia.
4640 AYUDA PARA EL CONTROL DEL ENFADO.
Definición: Facilitación de la expresión del enfado de manera adecuada
y no violenta.
Actividades:
4640.04 Limitar el acceso a situaciones estresantes hasta que el pacien-
te sea capaz de expresar el enfado de una manera adaptada a las cir-
cunstancias.
4640.08 Proporcionar salidas físicas a la expresión de enfado o tensión
(bolsas para golpear, deportes, arcilla y escritura de un diario).
4640.12 Ayudar al paciente a identificar la causa del enfado.
4640.16 Identificar con los pacientes los beneficios de la manifestación de
enfado de una forma no violenta, que se adapte a las circunstancias.
349
4000
4640.18 Instruir al paciente sobre las medidas que proporcionen calma
(descansos y respiraciones profundas).
4640.22 Fortalecer al paciente para una expresión adecuada del enfado.
4700 REESTRUCUTRACION COGNITIVA
Definición: .Estimular al paciente para que altere los esquemas ce pen-
samientos desordenados y se vea a si mismo al mundo de forma más rea-
lista
Actividades:
4700.03 Ayudar al paciente a cambiar afirmaciones (autoafirmaciones)
irracionales autoinducidas por afirmaciones (autoafirmaciones) racionales.
4700.04 Señalar los estilos de pensamiento disfuncionales (pensamiento
polarizado, generalización exagerada, magnificación y personalización).
4700.05 Ayudar al paciente a identificar la emoción dolorosa (ira, ansie-
dad y desesperanza) que está sintiendo.
4700.06 Ayudar al paciente a identificar los factores estresantes percibi-
dos (situaciones, sucesos e interacciones con otras personas) que contri-
buyen al estado de estrés.
4700.07 Ayudar al paciente a identificar las propias interpretaciones equi-
vocadas sobre los factores estresantes percibidos.
4700.08 Ayudar al paciente a reconocer la irracionalidad de ciertas creen-
cias comparándolas con la realidad actual.
4700.09 Ayudar al paciente a reemplazar las interpretaciones equivoca-
das de las situaciones, sucesos e interacciones estresantes por interpre-
taciones basadas más en la realidad.
4700.11 Realizar afirmaciones que describan la forma alternativa de
observar la situación
4700.13 Utilizar el sistema de creencias habitual del paciente para ver la
situación de manera distinta.
4720 ESTIMULACIÓN COGNOSCITIVA
Definición: Favorecer la conciencia y comprensión del entorno por medio
de la utilización de estímulos planificados.
350
4000
Actividades:
4720.01 Consulta con la familia para establecer las guías cognoscitivas
anteriores a la lesión del paciente.
4720.04 Presentar los cambios de manera gradual.
4720.05 Proporcionar un calendario.
4720.06 Estimular la memoria repitiendo los últimos pensamientos expre-
sados por el paciente.
4720.07 Orientar con respecto al tiempo, lugar y personas.
4720.08 Hablar con el paciente.
4720.10 Utilizar la televisión, radio ó música como parte del programa de
estímulos planificado.
4720.12 Colocar objetos familiares y fotografías en el ambiente del
paciente.
4720.15 Utilizar ayudas de memoria: listas, programas y notas recordato-
rias.
4720.18 Solicitar al paciente que repita la información.
4720.20 Disponer instrucciones orales y escritas.
4760 ENTRENAMIENTO DE LA MEMORIA
Definición: Mejorar la memoria.
Actividades:
4760.02 Estimular la memoria mediante la repetición del último pensa-
miento expresado por el paciente, si procede.
4760.03 Recordar experiencias pasadas con el paciente, si procede.
4760.04 Llevar a cabo técnicas de memoria adecuadas, como imagina-
ción visual, lemas mnemotécnicos, juegos de memoria, pistas de memo-
ria, técnicas de asociación, realizar listas, utilización de ordenadores o uti-
lización de etiquetas con nombres o practicar información.
4760.06 Proporcionar entrenamiento de orientación, como que el pacien-
te practique información y fechas personales, si procede.
4760.08 Facilitar oportunidades de utilizar la memoria para sucesos
recientes, como preguntar al paciente acerca de salidas recientes.
351
4000
4760.10 Facilitar el uso de la memoria de reconocimiento de imágenes, si
procede.
4760.11 Estructurar los métodos de enseñanza de acuerdo con la organi-
zación de la información por parte del paciente.
4760.12 Remitir a terapia ocupacional, si procede.
4760.13 Animar al paciente a que participe en grupos de programas de
entrenamiento de la memoria, si procede.
4820 ORIENTACIÓN DE LA REALIDAD
Definición: fomento de la conciencia del paciente acerca de la identidad
personal, tiempo y ambiente.
Actividades:
4820.01 Disponer un enfoque de la situación que sea consistente (firme-
za amable, amistad activa, amistad pasiva, hechos concretos y nada de
exigencias) al interactuar con el paciente y que refleje sus necesidades y
capacidades particulares.
4820.08 Evitar las situaciones no familiares, cuando sea posible.
4820.09 Preparar al paciente para los cambios que se avecinen en la ruti-
na y ambiente habitual antes de que se produzca.
4820.10 Asignar cuidadores que sean familiares para el paciente.
4820.11 Utilizar señales ambientales ( signos, cuadros, relojes, calenda-
rios y codificación en color del ambiente)
4820.15 Establecer un ambiente de baja estimulación para el paciente en
el que la desorientación aumente debido a la sobrestimulacion.
4820.22 Hablar al paciente de una manera suave y distinta, a un volu-
men adecuado.
4820.28 Hacer las preguntas de una en una.
4820.31 Dar ordenes de una en una.
4820.32 Utilizar señales con dibujos para favorecer el uso adecuado de
los objetos.
4920 ESCUCHA ACTIVA
Definición: gran atención y determinación de la importancia de los men-
sajes verbales y no verbales del paciente.
352
4000
Actividades:
4920.02 Mostrar interés en el paciente.
4920.03 Favorecer la expresión de sentimientos.
4920.04 Centrarse completamente en la interacción eliminando prejuicios,
presunciones, preocupaciones personales y otras distracciones.
4920.06 Estar atento a la propia actitud física en la comunicación de men-
sajes no verbales.
4920.08 Estar atento a las palabras que se evitan, así como los mensa-
jes no verbales que acompañan a las palabras no expresadas.
4920.09 Estar atento al tono, tiempo, volumen, entonación e inflexión de
la voz.
4920.12 Calcular una respuesta de forma que refleje la comprensión del
mensaje recibido.
4920.13 Aclarar el mensaje mediante el uso de preguntas y retroalimen-
tación.
4920.14 Verificar la comprensión del mensaje.
4920.16 Evitar barreras a la escucha activa ( minimizar sentimientos, ofre-
cer soluciones sencillas, interrumpir, hablar de uno mismo y terminar de
manera prematura ).
4974 FOMENTO DE LA COMUNICACIÓN: DÉFICIT AUDITIVO
Definición: Ayuda en la aceptación y aprendizaje de los métodos alter-
nativos para vivir con una disminución de la capacidad auditiva.
Actividades:
4974.01 Facilitar cita para el examen de la agudeza auditiva, si procede.
4974.03 Enseñar al paciente que los sonidos se experimentarán de forma
diferente con un dispositivo de audición
4974.04 Mantener el dispositivo de audición limpio.
4974.06 Dar instrucciones sencillas, de una en una.
4974.07 Escuchar atentamente.
4974.08 Abstenerse de gritar al paciente con problemas de comunicación.
4974.10 Mirar directamente al paciente, hablar despacio, claro y conciso.
353
4000
4974.11 Utilizar palabras simples y frases cortas, si procede.
4974.13 No cubrirse la boca, fumar, hablar con la boca llena o masticar
chicle al hablar.
4974.14 Llamar la atención del paciente mediante contacto físico.
4974.15 Comprobar la comprensión de los mensajes pidiendo al pacien-
te que repita lo que se ha dicho.
4974.18 Facilitar la ubicación del teléfono para el disminuido auditivo, si
resulta oportuno.
4974.16 Utilizar papel, lápiz o comunicación por ordenador cuando sea
necesario.
4976 MEJORAR LA COMUNICACIÓN: DÉFICIT DEL HABLA
Definición: Ayuda en la aceptación y aprendizaje de los métodos alterna-
tivos para vivir con trastornos del habla
Actividades:
4976.01 Solicitar la ayuda de la familia en la comprensión del lenguaje del
paciente, si procede
4976.02 Permitir que el paciente oiga lenguaje hablado con frecuencia, si
es preciso.
4976.03 Disponer guías/ recordatorios verbales.
4976.04 Dar una orden simple cada vez, si es el caso.
4976.0 Escuchar con atención.
4976.06 Utilizar palabras simples y fases cortas, si procede.
4976.07 Abstenerse de gritar al paciente con trastornos de comunicación
4976.10 Utilizar cartones con dibujos, si es preciso.
4976.11 Utilizar gestos con las manos, si procede.
4976.99 Enseñar a la familia las recomendaciones sobre cómo se han de
comunicar con el paciente.
4978 MEJORAR LA COMUNICACIÓN: DÉFICIT VISUAL
Definición: Ayuda en la aceptación y aprendizaje de los métodos alterna-
tivos para vivir con la disminución de la agudeza visual.
354
4000
Actividades:
4978.01 Identificarse al entrar en el espacio del paciente.
4978.02 Observar la reacción del paciente a la disminución de la visión
(depresión, abandono o negación)
4978.04 Ayudar al paciente a establecer nuevas metas para aprender a
<<ver>, con los otros sentidos.
4978.08 No mover los objetos del cuarto del paciente sin informar al
mismo.
4978.09 Leer el correo, diarios y demás información pertinente al paciente.
5100 POTENCIACIÓN DE LA SOCIALIZACIÓN
Definición: facilitar la capacidad de una persona para interactuar con
otros.
Actividades:
5100.01 Fomentar la implicación en relaciones potenciadas ya establecidas.
5100.03 Fomentar las relaciones con personas que tengan intereses y
objetivos comunes.
5100.04 Fomentar las actividades sociales y comunitarias.
5100.07 Fomentar la implicación en intereses totalmente nuevos.
5100.11 Responder a la mejora del cuidado del aspecto personal y demás
actividades.
5100.13 Utilizar el juego de roles para practicar las habilidades y técnicas
de comunicación mejoradas.
5100.14 Proporcionar modelos de roles que expresen la ira de forma ade-
cuada.
5100.18 Animar al paciente a cambiar de ambiente, como salir a caminar
o al cine.
5100.19 Facilitar el entusiasmo y la planificación de actividades futuras
por parte del paciente.
5210 GUÍA DE ANTICIPACIÓN
Definición: Preparación del paciente en anticipación a una crisis en des-
arrollo y/o circunstancial.
355
5000
Actividades:
5210.01 Ayudar al paciente a identificar la posible aparición de crisis en
desarrollo y/o circunstancial y los efectos que tal crisis podría tener en la
vida personal y familiar.
5210.02 Enseñar acerca del desarrollo y comportamiento normal, si pro-
cede.
5210.05 Ayudar la paciente a decidir la forma de solucionar el problema.
5210.08 Ayudar al paciente a identificar los recursos y opciones disponi-
bles durante el curso de acción, si procede.
5210.09 Ensayar las técnicas necesarias para enfrentarse a la aparición
de crisis de desarrollo o circunstancial con el paciente, si resulta adecua-
do.
5210.11 Proporcionar al paciente una referencia preparada
(materiales/panfletos educativos), si en el caso.
5210.12 Sugerir libros/literatura para que el paciente los lea, si resulta
oportuno.
5210.13 Remitir al paciente a centros comunitarios, si procede.
5210.17 Involucrar a la familia/seres queridos, si procede.
5220 POTENCIACIÓN DE LA IMAGEN CORPORAL
Definición: mejora de las percepciones y actitudes conscientes e incons-
ciente del paciente hacia su cuerpo.
Actividades:
5220.04 Ayudar al paciente a discutir los cambios causados por la enfer-
medad o cirugía, si procede.
5220.05 Ayudar al paciente a determinar el alcance de los cambios reales
producidos en el cuerpo o en su nivel de funcionamiento.
5220.07 Ayudar al paciente a separar el aspecto físico de los sentimien-
tos de valía personal, si procede.
5220.09 Ayudar al paciente a discutir los cambios causados por la puber-
tad, si resulta oportuno.
5220.10 Ayudar al paciente a discutir los cambios causados por un emba-
razo normal, si procede.
356
5000
5220.12 Enseñar al paciente los cambios normales del cuerpo asociados
a los diversos estadios del envejecimiento, si procede.
5220.16 Observar si el paciente puede mirar la parte corporal que ha sufri-
do el cambio.
5220.25 Determinar si un cambio de imagen corporal ha contribuido a
aumentar el aislamiento social.
5220.28 Ayudar al paciente a identificar acciones que mejoren su aspecto.
5220.31 Identificar grupos de apoyo disponibles para el paciente.
5220.32 Ayudar al paciente con riesgo de padecer anorexia o bulimia a
desarrollar unas expectativas de imagen corporal más realistas.
5230 AUMENTAR EL AFRONTAMIENTO
Definición: Ayudar al paciente a adaptarse a los factores estresantes,
cambios, o amenazas perceptibles que interfieran en el cumplimiento de
las exigencias y papeles de la vida cotidiana.
Actividades:
5230.01 Valorar la aceptación del paciente a los cambios de imagen cor-
poral, si está indicado.
5230.02 Valorar el impacto de la situación vital del paciente en los pape-
les y relaciones.
5230.03 Alentar al paciente a encontrar una descripción realista del cam-
bio de papel.
5230.04 Valorar la comprensión del paciente del proceso de enfermedad.
5230.08 Ayudar al paciente a desarrollar una valoración objetiva del acon-
tecimiento.
5230.13 Evaluar la capacidad del paciente para tomar decisiones.
5230.15 Desalentar la toma de decisiones cuando el paciente se encuen-
tre bajo un fuerte estrés
5230.17 Animar al paciente a desarrollar relaciones.
5230.22 Alentar el uso de fuentes espirituales, si resulta adecuado.
5230.35 Animar al paciente a identificar sus puntos fuertes y sus capaci-
dades.
357
5000
5230.44 Alentar a la familia a manifestar sus sentimientos por el miembro
familiar enfermo.
5230.48 Instruir al paciente en el uso de técnicas de relajación, si resul-
ta necesario.
5240 ASESORAMIENTO
Definición: Utilización de un proceso de ayuda interactiva centrado en las
necesidades, problemas o sentimientos del paciente y sus seres queridos
para fomentar o apoyar la capacidad de resolver problemas y las relacio-
nes interpersonales.
Actividades:
5240.01 Establecer una relación terapéutica basada en la confianza y en
el respeto.
5240.04 Establecer metas.
5240.05 Disponer la intimidad para asegurar la confidenciabilidad.
5240.06 Proporcionar información objetiva, según sea necesario y si pro-
cede.
5240.07 Favorecer la expresión de sentimientos.
5240.08 Ayudar al paciente a identificar el problema o la situación causan-
te del trastorno.
5240.17 Ayudar al paciente a que identifique sus puntos fuertes y refor-
zarlos.
5240.19 Fomentar la situación de hábitos indeseados por hábitos desea-
dos.
5240.20 Reforzar nuevas habilidades.
5240.21 Desaconsejar la toma de decisiones cuando el paciente se
encuentre bajo un estrés severo.
5244 ASESORAMIENTO DE LACTANCIA
Definición: Utilización de un proceso interactivo de asistencia para
ayudar en el mantenimiento de una alimentación de pecho satisfacto-
ria.
358
5000
Actividades:
5244.01 Determinar el conocimiento de la alimentación de pecho.
5244.02 Instruir a la madre/padre acerca de la alimentación del bebé para
que pueda realizar una toma de decisión informada.
5244.03 Proporcionar información acerca de la ventajas y desventajas de
la alimentación de pecho.
5244.04 Corregir conceptos equivocados mala información e imprecisio-
nes acerca de la alimentación de pecho.
5244.05 Determinar el deseo de la madre para dar de mamar.
5244.06 Proporcionar apoyo a la decisión de la madre.
5244.08 Remitir a los padres acerca de clases o grupos adecuados de ali-
mentación de pecho (Liga La Leche).
5244.09 Evaluar la comprensión de la madre de las pautas alimentarias
del bebé (sujeción, succión, y estado de alerta).
5244.11 Monitorizar la habilidad materna al acercar al bebé al pezón.
5244.12 Evaluar la forma de succión/ deglución del recién nacido.
5244.13 Mostrar la forma de amamantar si procede.
5244.17 Enseñar los patrones de evacuación urinaria e intestinal en el
niño, si procede.
5244.21 Fomentar a la madre que utilice los ambos pechos en cada toma.
5244.39 Enseñar a la madre a consultar a su cuidador antes de tomar
cualquier medicamento, con receta o de venta libre durante el período de
lactancia.
5246 ASESORAMIENTO NUTRICIONAL
Definición: Utilización de un proceso de ayuda interactivo centrado en la
necesidad de modificación de la dieta.
Actividades:
5246.01 Establecer una relación terapéutica basada en la confianza y el
respeto.
5246.03 Determinar la ingesta y los hábitos alimentarios del paciente.
5246.04 Facilitar la identificación de las conductas alimentarias que se
desean cambiar.
359
5000
5246.05 Establecer metas realistas a corto y largo plazo para el cambio
del estado nutricional.
5246.07 Proporcionar información, si es necesario, acerca de la necesi-
dad de modificación de la dieta por razones de salud: pérdida de peso,
ganancia de peso, restricción del sodio, reducción del colesterol, restric-
ción de líquidos, etc.
5246.10 Determinar el conocimiento por parte del paciente de los cuatro
grupos alimenticios básicos, así como la percepción de la necesaria modi-
ficación de la dieta.
5246.19 Ayudar al paciente a expresar sentimientos e inquietudes acerca
de la consecución de las metas.
5246.20 Valorar los esfuerzos realizados para conseguir los objetivos.
5248 ASESORAMIENTO SEXUAL
Definición: Utilización de un proceso de ayuda interactivo que se centre
en la necesidad de realizar ajustes de la práctica sexual o para potenciar
la resolución de un suceso/trastorno sexual.
Actividades:
5248.01 Establecer una relación terapéutica basada en la confianza y el
respeto.
5248.02 Establecer la duración de la relación de asesoramiento.
5248.03 Proporcionar intimidad y asegurar la confidencialiddad
5248.04 Informar al paciente al principio de la relación que la sexualidad
constituye una parte importante de la vida y que las enfermedades, los
medicamentos y el estrés (u otros problemas/sucesos que experimenta el
paciente ) a menudo alteran el funcionamiento sexual.
5248.06 Proporcionar información acerca del funcionamiento sexual.
5248.12 Discutir el nivel de conocimiento del paciente acerca de la sexua-
lidad en general.
5248.13 Animar al paciente a expresar los miedos y a hacer preguntas.
5248.25 Incluir al esposo/compañero sexual en el asesoramiento lo máxi-
mo posible, si es el caso.
5248.29 Derivar a otros miembros del equipo de cuidados, si procede.
360
5000
5250 APOYO EN TOMA DE DECISIONES
Definición: Proporcionar información y apoyo a un paciente que debe
tomar una decisión sobre cuidados sanitarios.
Actividades:
5250.01 Determinar si hay diferencias entre el punto de vista del pacien-
te y el punto de vista de los cuidadores sanitarios sobre la condición del
paciente.
5250.03 Ayudar al paciente a identificar las ventajas y desventajas de
cada alternativa.
5250.05 Facilitar al paciente la articulación de los objetivos de los cuidados.
5250.07 Facilitar la toma de decisiones en colaboración.
5250.09 Respetar el derecho del paciente a recibir o no información.
5250.10 Proporcionar la información solicitada por el paciente.
5250.12 Servir de enlace entre paciente y familia.
5250.15 Remitir a grupos de apoyo, si procede.
5260 CUIDADOS EN LA AGONIA
Definición: Prestar comodidad física y paz psicológica en la fase final de
la vida.
Actividades:
5260.01 Disminuir la demanda de funcionamiento cognitivo cuando el
paciente esté enfermo o fatigado.
5260.02 Observar si el paciente padece ansiedad.
5260.03 Observar los cambios de humor.
5260.05 Animar al paciente y a la familia a compartir los sentimientos
sobre la muerte.
5260.07 Observar si hay dolor.
5260.09 Administrar la medicación por vías alternativas cuando se des-
arrollen problemas con la deglución.
5260.10 Posponer la alimentación cuando el paciente se encuentre fati-
gado.
361
5000
5260.11 Ofrecer líquidos y comidas blandas frecuentemente.
5260.13 Vigilar el deterioro de la capacidad física y/o mental.
5260.16 Quedarse físicamente cerca del paciente atemorizado.
5260.23 Incluir a la familia en las decisiones y actividades de cuidados,
según se desee.
5270 APOYO EMOCIONAL
Definición: Proporcionar seguridad aceptación y animo en momentos de
tensión.
Actividades:
5270.01 Comentar la experiencia emocional con el paciente.
5270.03 Ayudar al paciente a reconocer sentimientos tales como la ansie-
dad, ira o tristeza.
5270.04 Animar al paciente a que exprese los sentimientos de ansiedad,
ira o tristeza.
5270.06 Escuchar las expresiones de sentimientos y creencias.
5270.07 Facilitar la identificación por parte del paciente de esquemas de
respuesta habituales a los miedos.
5270.08 Proporcionar apoyo durante la negación, ira, negociación y acep-
tación de las fases del sentimiento de pena.
5270.10 Favorecer la conversación o el llanto como medio de disminuir la
respuesta emocional.
5270.11 Permanecer con el paciente y proporcionar sentimientos de
seguridad durante los periodos de mas ansiedad.
5270.12 Proporcionar ayuda en la toma de decisiones.
5270.14 Remitir a servicios de asesoramiento, si se precisa.
5280 FACILITAR EL PERDÓN
Definición: Ayudar a un individuo a olvidar y / o perdonar en sus relacio-
nes con él mismo, con los otros y con los superiores.
362
5000
Actividades:
5280.01 Identificar las opiniones del pacientes que pueden dificultar/ ayu-
dar a «salir» de un problema.
5280.04 Investigar el perdón como un proceso.
5280.05 Ayudar al paciente a explorar sus sentimientos de ira, odio y
resentimiento.
5280.07 Explorar las posibilidades de enmienda y reconciliación con uno
mismo, con los otros y/ o con los superiores.
5280.08 Ayudar al paciente a examinar la dimensión saludable y curativa
del perdón.
5280.10 Enseñar el arte de la liberación y de la relajación emocional.
5290 FACILITAR EL DUELO
Definición: Ayuda a la resolución de una perdida importante.
Actividades:
5290.02 Ayuda al paciente a identificar la naturaleza de la unión al objeto
o persona perdida.
5290.06 Animar al paciente a que manifieste verbalmente los recuerdos
de la perdida.
5290.07 Fomentar la identificación de los miedos más profundos respec-
to de la pérdida.
5290.10 Incluir a los seres queridos en las discusiones y decisiones. Si
procede.
5290.14 Responder a las preguntas de los niños relacionadas con las per-
didas.
5290.15 Utilizar palabras claras, como muerte o muerto, en lugar de eufe-
mismos.
5290.17 Fomentar la expresión de sentimientos de una forma cómoda
para el niño, escribiendo, dibujando o jugando.
5290.18 Ayudar al niño a clarificar los conceptos erróneos.
5290.19 Identificar fuentes de apoyo comunitario.
5290.22 Ayudar a identificar las modificaciones necesarias del estilo de
vida.
363
5000
5300 FACILITAR LA EXPRESIÓN DEL SENTIMIENTO DE CULPA
Definición: Ayuda a una persona a enfrentarse con sentimientos doloro-
sos de responsabilidad, real o percibida.
Actividades:
5300.01 Guiar al paciente/familia en la identificación de sentimientos dolo-
rosos de culpa.
5300.02 Ayudar al paciente/familia a identificar y examinar las situaciones
en las que se experimentan o generan estos sentimientos.
5300.03 Ayudar al paciente/ miembros de la familia a identificar su com-
portamiento en la situación de culpa.
5300.05 Utilizar una prueba de realidad para ayudar al paciente/familia a
identificar posibles creencias irracionales.
5300.07 Facilitar la discusión del impacto de la situación sobre las relacio-
nes familiares.
5300.09 Facilitar el apoyo espiritual, si procede.
5310 DAR ESPERANZA
Definición: Facilitar el desarrollo de una perspectiva positiva en una
situación dada.
Actividades:
5310.01 Ayudar al paciente/familia a identificar las areas de esperanza en
la vida.
5310.03 Mostrar esperanza reconociendo la valía intrínseca del paciente
y viendo la enfermedad del paciente solo como una faceta de la persona.
5310.05 Enseñar a reconocer la realidad estudiando la situación y hacien-
do planes para casos de emergencias.
5310.08 Evitar disfrazar la verdad.
5310.10 Facilitar el alivio y disfrute de éxitos y experiencias y experiencias
pasadas del paciente/familia.
5310.13 Implicar al paciente activamente en sus propios cuidados.
5310.14 Desarrollar un plan de cuidados que implique un grado de conse-
cución de metas, yendo desde matas sencillas hasta otras más complejas.
364
5000
5310.15 Fomentar las relaciones terapéuticas con los seres queridos.
5310.16 Explicar a la familia los aspectos positivos de la esperanza (des-
arrollar temas de conversación que tengan sentido y que reflejen el amor
y la necesidad del paciente).
5310.17 Proporcionar al paciente/familia la oportunidad de implicarse en
grupos de apoyo.
5340 PRESENCIA
Definición: Permanecer con otra persona durante los momentos de nece-
sidad, tanto física como psicológica
Actividades:
5340.01 Mostrar una actitud de aceptación.
5340.03 Ser sensible con las tradiciones y creencias del paciente.
5340.05 Escuchar las preocupaciones del paciente.
5340.06 Permanecer en silencio, si procede.
5340.07 Establecer contacto físico con el paciente para expresar la con-
sideración, si resulta oportuno.
5340.12 Ayudar al paciente a darse cuenta de que se esta disponible,
pero sin reforzar conductas dependientes.
5340.13 Permanecer con el paciente para fomentar seguridad y disminuir
miedos.
5340.14 Reafirmar y ayudar a los padres en su papel de apoyo de un niño.
5340.15 Permanecer con el paciente y transmitirles sentimientos de segu-
ridad y confianza durante los periodos de ansiedad.
5340.16 Ofrecerse a entrar en contacto con otras personas de apoyo
(cura), si procede.
5360 TERAPIA DE ENTRETENIMIENTO
Definición: Utilización intencionada de actividades recreativas para
fomentar la relajación y potenciar las capacidades sociales.
Actividades:
5360.03 Comprobar las capacidades físicas y mentales para participar en
actividades recreativas.
365
5000
5360.05 Ayudar al paciente a elegir actividades recreativas coherentes
con sus capacidades físicas, psicológicas y sociales.
5360.07 Ayudar al paciente a identificar las actividades recreativas que
tengan sentido,
5360.16 Comprobar la respuesta emocional, física y social a la actividad
recreacional.
5370 POTENCIACIÓN DE ROLES
Definición: Ayudar a un paciente, a un ser querido y/o a la familia a mejo-
rar sus relaciones clarificando y complementando las conductas de pape-
les específicos.
Actividades:
5370.01 Ayudar al paciente a identificar los diversos papeles en la
vida.
5370.02 Ayudar al paciente a identificar los roles habituales en la fami-
lia.
5370.05 Ayudarle a identificar las conductas necesarias para el cambio de
roles o a roles nuevos.
5370.06 Ayudar al paciente a identificar los cambios de roles específicos
necesarios debido a enfermedades o discapacitados.
5370.10 Facilitar la discusión sobre la adaptación de los roles de la fami-
lia para compensar los cambios de rol del miembro enfermo.
5370.12 Facilitar el ensayo de roles consiguiendo que el paciente se anti-
cipe a las reacciones de los demás a la representación.
5370.13 Facilitar la discusión del cambio de roles de los hermanos con la
llegada del bebé.
5370.15 Facilitar la discusión de las adaptaciones de roles relacionadas
con los hijos que se marchan de casa (síndrome del nido vacío), si resul-
ta oportuno.
5370.19 Enseñar las nuevas conductas que necesita el padre / madre
para cumplir con un rol.
5370.20 Facilitar las interacciones grupales de referencia como parte del
aprendizaje de los nuevos roles.
366
5000
5380 POTENCIACIÓN DE LA SEGURIDAD
Definición: Intensificar el sentido de seguridad física y psicológica de un
paciente.
Actividades:
5380.01 Disponer un ambiente no amenazador.
5380.03 Pasar tiempo con el paciente.
5380.12 Facilitar el mantenimiento de los rituales habituales del paciente
a la hora de irse a la cama.
5380.14 Escuchar los miedos del paciente / familia.
5380.16 Dejar la luz encendida durante la noche, si es necesario.
5380.18 Explicar al paciente / familia todas las pruebas y procedimientos.
5380.19 Responder a las preguntas sobre su salud de una manera sincera.
5380.20 Ayudar al paciente / familia a identificar los factores que aumen-
ten el sentido de seguridad.
5380.22 Ayudar al paciente a utilizar las respuestas de capacidad de reso-
lución de problemas que han resultado con éxito en el pasado.
5400 POTENCIACIÓN DE LA AUTOESTIMA
Definición: Ayudar a un paciente a que aumente el juicio personal de su
propia vida.
Actividades:
5400.01 Observar las frases del paciente sobre su propia valía.
5400.06 Reafirmar las virtudes personales que identifique el paciente.
5400.09 Abstenerse de realizar criticas negativas y de quejarse.
5400.11 Mostrar confianza en la capacidad del paciente para controlar
una situación.
5400.12 Ayudar a establecer objetivos realistas para conseguir una auto-
estima más alta.
5400.17 Explorar las consecuencias con éxitos anteriores.
5400.19 Animar al paciente a evaluar su propia conducta.
367
5000
5400.21 Recompensar o alabar el progreso del paciente en la consecuen-
cia de objetivos.
5400.25 Enseñar a los padres a establecer expectativas claras y a defi-
nir limites con sus hijos.
5400.26 Enseñar a los padres a reconocer las conquistas de sus
hijos.
5420 APOYO ESPIRITUAL
Definición: Ayuda al paciente a conseguir el equilibrio a través de sus
creencias.
Actividades:
5420.01 Estar abierto a las expresiones del paciente de soledad e impo-
tencia.
5420.02 Alentar la asistencia a servicios religiosos, si se desea.
5420.03 Fomentar el uso de recursos espirituales, si se desea.
5420.04 Proporcionar los objetos espirituales deseados, de acuerdo con
las preferencias del paciente.
5420.05 Remitir al asesor espiritual de la elección del paciente.
5420.07 Estar dispuesto a escuchar los sentimientos del paciente.
5420.09 Facilitar el uso de la meditación, oración y demás tradiciones y
rituales religiosos por parte del paciente.
5420.11 Asegurar al paciente que el cuidador estará disponible para apo-
yarle en los momentos de sufrimiento.
5420.12 Estar abierto a los sentimientos del paciente acerca de la enfer-
medad y la muerte.
5420.13 Ayudar al paciente a expresar y liberar la ira de forma adecuada.
5426 FACILITACIÓN DEL CRECIMIENTO ESPIRITUAL
Definición: Facilitar el crecimiento de la capacidad del paciente para
identificar, comunicarse y evocar la fuente de significado, propósito, con-
suelo, fuerza y esperanza en su vida.
368
5000
Actividades:
5426.04 Ayudar al paciente a identificar barreras y actitudes que dificultan
el crecimiento y el autodescubrimiento.
5426.08 Fomentar el uso de celebraciones y rituales espirituales.
5426.11 Ayudar al paciente a explorar las creencias en relación a la cura-
ción del cuerpo, la mente y el espíritu.
5426.12 Remitir a grupos de apoyo, de autoayuda mutua o a programas
que se basen en la espiritualidad, según sea conveniente.
5426.13 Remitir a la atención pastoral o a cuidadores espirituales como
garantía de resultados.
5430 GRUPO DE APOYO
Definición: uso de un ambiente grupal para proporcionar apoyo emocio-
nal e información relacionada con la salud a sus miembros.
Actividades:
5430.02 Utilizar un grupo de apoyo durante las etapas transicionales para
ayudar al paciente a que se adapte a un nuevo estilo de vida.
5430.03 Determinar el objeto del grupo y la naturaleza del proceso grupal.
5430.04 Crear una atmósfera relajada y de aceptación.
5430.05 Clarificar desde el principio las metas del grupo y las responsa-
bilidades de sus miembros y de su líder.
5430.06 Utilizar un acuerdo por escrito, se se considera adecuado.
5430.07 Elegir los miembros que puedan contribuir y beneficiarse de la
interacción del grupo.
5430.08 Formar un grupo de tamaño optimo: de 5 a 12 miembros.
5430.09 Tratar la cuestión de asistencia obligatoria.
5430.10 Establecer una hora y lugar para las reuniones grupales.
5430.11 Reunirse en sesiones de una a dos horas, si procede.
5430.12 Comenzar y terminar a la hora, y esperar que los participantes
permanezcan hasta la conclusión de la reunión.
5430.13 Disponer sillas en un circulo cerca unas de las otras.
5430.14 Programar un numero limitado de sesiones ( normalmente de 6
a 12)en las que se cumplirá el trabajo del grupo.
369
5000
5430.15 Hacer públicas las normas de admisión para evitar problemas
que puedan aparecer a medida que el grupo consigue los progresos.
5430.18 Fomentar la expresión de ayudas mutuas.
5430.22 Enfatizar la importancia de la capacidad activa de enfrentarse a
los problemas.
5430.25 Ayudar al grupo a progresar en las etapas del desarrollo grupal:
desde la orientación, pasando por la cohesión hasta la conclusión.
5440 AUMENTAR LOS SISTEMAS DE APOYO.
Definición: Facilitar el apoyo del paciente por parte de la familia, los ami-
gos y la comunidad.
Actividades:
5440.02 Determinar la conveniencia de las redes sociales existentes.
5440.03 Determinar el grado de apoyo familiar.
5440.05 Determinar los sistemas de apoyo actualmente en uso.
5440.08 Animar al paciente a participar en las actividades sociales y
comunitarias.
5440.10 Remitir a un grupo de autoayuda , si se considera oportuno.
5440.14 Implicar a la familia/seres queridos/amigos en los cuidados y la
planificación.
5450 TERAPIA GRUPO
Definición: Aplicación de técnicas psicoterapéuticas a un grupo, incluyen-
do la utilización de interacciones entre los miembros del grupo.
Actividades:
5450.01 Determinar el propósito del grupo (mantenimiento de pruebas de
la realidad, facilitar la comunicación, examen de las habilidades persona-
les y apoyo) y la naturaleza del proceso grupal.
5450.02 Formar un grupo de tamaño óptimo: de cinco a doce miembros.
5450.03 Elegir los miembros del grupo que estén dispuestos a participar
activamente y hacerse responsables de sus propios problemas.
370
5000
5450.06 Tratar la cuestión de la asistencia obligatoria.
5450.07 Tratar la cuestión de si se admitirán nuevos miembros en cual-
quier momento.
5450.08 establecer la hora y lugar de las reuniones de grupo.
5450.09 Reunirse en sesiones de 1 a 2 horas, si resulta óptimo.
5450.13 Ayudar al grupo a establecer normas terapéuticas.
5450.14 Ayudar al grupo a trabajar en la resistencia a los cambios.
5450.19 Animar a los miembros a compartir cosas que tengan en común
unos con otros.
5450.23 Proporcionar refuerzo social (verbales y no verbales) para con-
seguir las conductas / respuestas deseadas.
5450.25 Ayudar a los miembros a darse afirmación unos a otros de forma
que puedan desarrollar consciencia de sus propias conductas.
5450.33 Disponer una sesión de orientación individualizada para cada
nuevo miembro del grupo antes de la primera sesión grupal.
5470 DECLARAR LA VERDAD AL PACIENTE.
Definición: Uso de toda la verdad, verdad parcial o el retardo de decisio-
nes para fomentar la autodeterminación y el bienestar del paciente.
Actividades:
5470.01 Clarificar los propios valores de la situación particular.
5470.03 Clarificar la base de conocimientos y habilidades de comunica-
ción propios acerca de la situación.
5470.04 Determinar el deseo del paciente de sinceridad en la situación.
5470.09 Establecer una relación de confianza.
5470.10 Decir la verdad con sensibilidad, calidez y franqueza.
5470.12 Remitir a otro cuidador si la persona tiene mejor relación, mas
conocimientos y habilidades para decir la verdad o más tiempo y capaci-
dad para tratar con las consecuencias de decir la verdad.
5470.13 Permanecer con el paciente al que se le haya dicho la verdad y
estar preparado para clarificar, dar apoyo y recibir las desaprobaciones.
371
5000
5470.14 Estar físicamente presente para comunicar aprecio y apoyo, si se
ha tomado la decisión de retener la información.
5470.15 Elegir el retardo de la decisión cuando haya falta de información,
falta de conocimientos y falta de relación.
5470.16 Atender a las señales verbales y no verbales durante el proceso
de comunicación.
5480 CLARIFICACIÓN DE VALORES
Definición: Ayuda a una persona a clarificar sus valores con el objeto de
facilitar la toma de decisiones efectivas.
Actividades:
5480.02 Crear una atmósfera de aceptación, sin juicios.
5480.06 Animar al paciente a hacer una lista de valores que guíen la con-
ducta en distintos ambientes y tipos de situaciones.
5480.08 Ayudar al paciente a definir alternativas y sus ventajas y desven-
tajas.
5480.10 Ayudar al paciente a evaluar si los valores están de acuerdo o en
conflicto con los miembros de la familia / seres queridos.
5480.11 Apoyar la decisión del paciente, si procede.
5480.14 Evitar el uso de interrogatorios de corroboración.
5510 REALIZAR UN PROGRAMA DE EDUCACIÓN SANITARIA
Definición: Desarrollar y proporcionar instrucción y experiencias de ense-
ñanza que faciliten la adaptación voluntaria de la conducta para conseguir
la salud en personas, familias, grupos o comunidades.
Actividades:
5510.01 Determinar grupos de riesgo y márgenes de edad que se bene-
ficien más de la educación sanitaria.
5510.03 Identificar los factores internos y externos que puedan mejorar o
disminuir la motivación en conductas sanitarias.
5510.04 Determinar el conocimiento sanitario actual y las conductas del
estilo de vida de los individuos,familia o grupo objetivo
372
5000
5510.05 Ayudar a las personas, familia y comunidades para clarificar las
creencias y valores sanitarios.
5510.06 Identificar las características de la población objetivo que afectan
la selección de las estrategias de enseñanza.
5510.08 Formular los objetivos del programa de educación sanitaria.
5510.13 Centrarse en beneficios de salud positivos inmediatos o a corto
plazo para conductas de estilo de vida positivas, en lugar de beneficios a
largo plazo o efectos negativos derivados de incumplimientos.
5510.15 Desarrollar materiales educativos escritos en un nivel de lectura
adecuado a la audiencia objetivo.
5510.16 Enseñar estrategias que puedan utilizarse para resistir conduc-
tas insalubres o que entrañen riesgos, en vez de dar consejos para evitar
o cambiar la conducta.
5510.21 Utilizar debates de grupo y juego de roles para influir en las cre-
encias, actitudes y valores que existen sobre la salud.
5510.23 Utilizar instrucción apoyada por ordenador, televisión, videos
interactivos y demás tecnologías para proporcionar la información.
5510.26 Determinar el apoyo de la familia, semejantes y comunidad a
conductas que induzcan la salud.
5510.27 Destacar la importancia de formas saludables de comer, dormir,
hacer ejercicios, etc., a las familias personas y grupos que servirán de
modelo de estos valores y conductas para otros, sobre todo para los niños.
5510.29 Planificar un seguimiento a largo plazo para reforzar la adapta-
ción de estilos de vida y conductas saludables.
5510.30 Determinar e implementar estrategias para medir los resultados
en los pacientes a intervalos regulares durante y después de terminar el
programa.
5562 EDUCACIÓN PATERNA: ADOLESCENTE
Definición: Asistencia a los padres para que comprendan y ayuden a sus
hijos adolescentes.
Actividades:
5562.01 Solicitar a los padres que describan las características de su hijo
adolescente.
373
5000
5562.04 Enseñar las características fisiológicas, emocionales y cognosci-
tivas normales de los adolescentes.
5562.06 Identificar los mecanismos de defensa más comúnmente utiliza-
dos por los adolescentes, como negación e intelectualización.
5562.11 Enseñar a los padres técnicas de comunicación esenciales que
aumenten su capacidad de simpatizar con sus hijos adolescentes y ayu-
dar a sus hijos a solucionar problemas.
5562.13 Explorar los paralelismos entre la dependencia del niño en edad
escolar de los padres y la dependencia que tiene el adolescente del grupo
de compañeros.
5562.14 Reforzar la normalidad de la vacilación del adolescente entre el
deseo de independencia y la regresión a la dependencia.
5562.20 Enseñar a los padres a utilizar los conflictos para una mutua
comprensión y el crecimiento familiar.
5562.23 Discutir la necesidad y legitimidad de establecer límites a los
adolescentes.
5566 EDUCACIÓN PATERNA: CRIANZA FAMILIAR DE LOS NIÑOS
Definición: Ayuda a los padres a comprender y fomentar el crecimiento y
desarrollo físico, psicológico y social de su bebé, niño/s en edad preesco-
lar o escolar.
Actividades:
6530.01 Explicar a los padres el programa de inmunización recomendado
necesario para los niños, su vía de administración, razones y beneficios
de su uso, reacciones adversas y efectos secundarios.
5566.95 Monitorizar el peso y la altura del preescolar y escolar.
5566.07 Enseñar la importancia de una dieta equilibrada, tres comidas al
día y tentempiés nutritivos.
5566.96 Proporcionar consejos acerca de los cambios en los patrones de
control de esfínteres.
5566.09 Revisar el tema de la higiene dental con los padres.
5566.10 Revisar el tema del aseo personal con los padres
5566.97 Proporcionar consejos acerca de los cambios en los patrones del
sueño.
374
5000
5566.98 Animar a establecer hábitos horarios estables.
5566.99 Lavar las manos antes de las comidas.
5566.02 Discutir la relación padre / hijo.
5566.03 Enseñar las características fisiológicas, emocionales y la conduc-
ta del niño.
5560.04 Identificar las tareas u objetivos de desarrollo adecuados para el
niño.
5566.20 Remitir a los padres a grupos de apoyo o clases de paternidad,
si procede.
5566.21 Proporcionar a los padres lecturas/ otros materiales que sean úti-
les en la realización del papel de padre.
5566.99 Proporcionar a los padres habilidades para manejar diferentes
situaciones o conductas como rabietas, negativas, querer ser el centro...
5568 EDUCACIÓN PATERNA: NIÑO (primeros años de vida)
Definición: Enseñanza de los cuidados de nutrición y físicos durante los
primeros años de vida.
Actividades:
5568.01 Determinar los conocimientos y la buena disposición y la habili-
dad de los padres para aprender los cuidados del bebé.
5568.03 Proporcionar consejos acerca de los cambios en el desarrollo
durante los primeros años de vida: Test de Denver
5568.04 Ayudar a los padres a encontrar maneras de integrar al bebé en
el sistema familiar.
5568.07 Dar información a los padres sobre los chupetes.
5568.12 Proporcionar consejos acerca de los cambios en los patrones de
control de esfínteres durante el primer año.
5568.90 Enseñar a los padres el baño y cuidado de la piel.
5568.91 Asesorar sobre la higiene del cordón umbilical.
5568.13 Enseñar a los padres cómo tratar y evitar la erupción de los pañales.
5568.14 Proporcionar consejos acerca de los cambios en los patrones del
sueño durante el primer año.
375
5000
5568.15 Mostrar como los padres pueden estimular el desarrollo del bebé
5568.16 Alentar a los padres a coger, abrazar, dar masajes y tocar al bebé
5568.17 Animar a los padres a hablar y a leer al bebé.
5568.27 Proporcionar información acerca de las características conduc-
tuales del recién nacido.
6530.01 Explicar a los padres el programa de inmunización recomendado
necesario para los niños, su vía de administración, razones y beneficios
de su uso, reacciones adversas y efectos secundarios.
5568.92 Realizar el seguimiento del resultado de la prueba de detección
precoz de metabolopatías.
5568.93 Fomentar paseos.
5568.94 A partir de los dos meses iniciar hábitos horarios estables.
5568.95 Asesorar sobre las próximas etapas de locomoción del niño y cal-
zado adecuado a ellas, a partir de los 8 meses.
7104.47 Proporcionar información a la familia sobre las medidas que ayuden
a los hermanitos a sentirse importantes para la familia, si resulta oportuno.
7104.48 Animar a los padres a que observen las reacciones de los her-
manitos hacia el recién nacido, si es el caso.
5602 ENSEÑANZA: PROCESO DE ENFERMEDAD
Definición: Ayudar al paciente a comprender la información relacionada
con un proceso de enfermedad específico.
Actividades:
5602.01 Evaluar el nivel actual de conocimientos del paciente relaciona-
dos con el proceso de enfermedad específico.
5602.03 Describir los signos y síntomas comunes de la enfermedad, si
procede.
5602.04 Describir el proceso de la enfermedad.
5602.10 Comentar los cambios en el estilo de vida que puedan ser nece-
sarios para evitar futuras complicaciones y/o controlar el proceso de
enfermedad.
5602.14 Describir las posibles complicaciones crónicas, si procede.
376
5000
5602.15 Instruir al paciente sobre las medidas para prevenir/minimizar los
efectos secundarios de la enfermedad, si procede
5602.18 Instruir al paciente sobre cuáles son los signos y síntomas de los
que debe informarse al cuidador, si procede.
5602.19 Proporcionar el número de teléfono al que llamar si surgen com-
plicaciones.
5603 ENSEÑANZA: CUIDADO DE LOS PIES
Definición: Preparar al paciente de riesgo y /o familia para proporcionar
cuidados preventivos en los pies.
Actividades:
5603.01 Determinar el nivel actual de conocimiento y las habilidades rela-
tivas al cuidado de los pies.
5603.04 Recomendar que sea un especialista quien arregle las uñas de
los pies y los callos, si procede.
5603.05 Dar información escrita de las pautas del cuidado de los pies.
5603.08 Si existe una alteración visual o problemas de movilidad, reco-
mendar la ayuda de algún familiar para el cuidado de los pies.
5603.09 Recomendar que se explore diariamente toda la superficie de los
pies y entre los dedos buscando la presencia de enrojecimiento, tumefac-
ción, calor, sequedad, maceración, sensibilidad y zonas abiertas.
5603.10 Instruir al individuo a utilizar un espejo o la ayuda de otra perso-
na para realizar la exploración, si es necesario.
5603.11Recomendar el lavado diario de los pies con agua caliente y un
jabón suave.
5603.12 Recomendar que se sequen completamente los pies después de
lavarlos, especialmente entre los dedos.
5603.13 Instruir al individuo a hidratar diariamente la piel poniendo los
pies en remojo o realizando un baño con agua a temperatura ambiente,
aplicando posteriormente una crema hidratante.
5603.15 Aconsejar al individuo la visita a un profesional cuando sea ade-
cuado (p. ej., la presencia de lesión infectada o que no se cura).
5603.16 Aconsejar medidas de autocuidado adecuadas ante problemas
menores de los pies.
377
5000
5603.17 Prevenir posibles causas de lesión en los pies (p. ej., calor, frío,
corte de callos, productos químicos, uso de antisépticos y astringentes
fuertes, tintas y andar descalzo o usar calzado abierto o sandalias).
5603.18 Enseñar la técnica adecuada para arreglarse las uñas de los pies
(es decir, cortar las uñas rectas, seguir el contorno del dedo y limpiar el
borde con lima de uñas).
5603.21 Describir los zapatos adecuados (es decir, tacón bajo con una
forma adecuada al pie y profundidad de la zona de los dedos; suelas rea-
lizadas con material que amortigüe los golpes; anchura ajustable con
correas o cordones; parte superior realizada con materiales transpirables,
suaves y flexibles; plantillas para trastornos de la marcha y de la longitud
de la pierna, y posibilidad de modificaciones en caso necesario).
5603.22 Describir los calcetines adecuados (es decir, de material absor-
bente y que no aprieten).
5603.29 Aconsejar al individuo que deje de fumar, si procede.
5603.30 Incluir a la familia y a otros en la enseñanza, si procede.
5604 ENSEÑANZA: GRUPO
Definición: Desarrollo, puesta en práctica y evaluación de un programa
de educación para un grupo de personas que experimentan el mismo
estado de salud.
Actividades:
5604.95 Incluir al paciente en el programa de formación: (especificar)
5604.19 Proporcionar un programa escrito – que incluya fechas, horas y
lugares de las sesiones / clases de enseñanza - para el persona y / o el
paciente, si procede.
5604.23 Orientar al paciente / ser querido al programa educativo y a los
objetivos diseñados que hay que conseguir.
5604.27 Evaluar el progreso del paciente en el programa y el dominio del
contenido.
5604.28 Registrar el progreso del paciente en el registro médico perma-
nente.
5604.94 Incluir en el registro del paciente la evaluación pretest y/o pos-
test del programa de formacion.
378
5000
5604.98 Diseñar un programa de formación (teórico – práctico)que conten-
ga temas referentes a la patología crónicas (diabetes, hipertensión, EPOC,
Asma, Obesidad, cardiopatías, dislipemias...), el tratamiento, conductas de
estilo de vida positivas que mejoran el control de su enfermedad.
5604.97 Diseñar un programa de formación (teórico – práctico) que con-
tenga temas referentes a hábitos saludables en la infancia, pubertad, ado-
lescencia y juventud, para los niños, padres o profesores. Incluir temas
referentes a alimentación equilibrada, higiene, higiene bucal, ejercicio
saludable, sexualidad, prevención de accidentes en el colegio y en el
ámbito doméstico, prevención de accidentes de tráfico, prevención de
toxicomanías y ludopatías...
5604.96 Diseñar un programa de formación (teórico – práctico) para cui-
dadores que contenga temas referentes a la patología del paciente a su
cargo, el tratamiento, conductas de estilo de vida positivas que mejoran
su calidad de vida.
5604.08 Definir la población diana potencial: (escolares, pacientes con
patologías crónicas, cuidadores, …).
5604.09 Escribir los objetivos del programa.
5604.10 Definir las áreas de contenido importante.
5604.14 Prever los materiales educativos disponibles.
5604.20 Determinar los días / horas adecuados para conseguir el máximo
número de pacientes.
5604.21 Preparar anuncios / notas para hacer públicos los resultados, si
procede.
5604.22 Controlar el tamaño y las competencias del grupo, si procede.
5604.25 Adaptar los métodos / materiales educativos a las necesidades /
características del grupo si procede.
5604.31 Disponer una instrucción individual adicional, si procede.
5604.32 Evaluar el grado de consecución de objetivos del programa.
5604.99 Dentro de cada sesión establecer un tiempo para que cada uno
exprese sus sentimientos, pensamientos y conocimientos a cerca del tema.
5606 ENSEÑANZA: INDIVIDUAL
Definición: Planificación, puesta en práctica y evaluación de un progra-
379
5000
ma de enseñanza diseñado para tratar las necesidades particulares del
paciente.
Actividades:
5606.03 Determinar las necesidades de enseñanza del paciente.
5606.04 Valorar el nivel actual de conocimientos y comprensión de conte-
nidos del paciente.
5606.06 Valorar las capacidades/incapacidades cognoscitivas, psicomo-
toras y afectivas.
5606.08 Determinar la motivación del paciente para asimilar información
específica (creencias sobre la salud, incumplimientos pasados, malas
experiencias con cuidados/aprendizaje de salud y metas conflictivas).
5606.10 Establecer metas de aprendizaje mutuas y realistas con el
paciente.
5606.15 Seleccionar los materiales educativos adecuados.
5606.16 Ajustar el contenido de acuerdo con las capacidades/incapacida-
des cognoscitivas, psicomotoras y afectivas del paciente.
5606.20 Evaluar la consecución de los objetivos establecidos por parte
del paciente.
5606.21 Reforzar la conducta, si se considera oportuno.
5606.22 Corregir las malas interpretaciones de la información, si procede.
5606.23 Dar tiempo al paciente para que haga preguntas y discuta sus
inquietudes.
5606.27 Incluir a la familia/ser querido, si es posible.
5612 ENSEÑANZA: ACTIVIDAD/ EJERCICIO PRESCRITO
Definición: Preparar a un paciente para que consiga y /o mantenga el
nivel de actividad prescrito.
Actividades:
5612.01 Evaluar el nivel actual del paciente de ejercicio y conocimiento de
la actividad/ ejercicio prescrito.
5612.02 Informar al paciente del propósito y los beneficios de la actividad/
ejercicio prescrito.
380
5000
5612.03 Enseñar al paciente a realizar la actividad/ ejercicio prescrito.
5612.05 Enseñar al paciente a llevar un diario de ejercicios, si resulta
posible.
5612.07 Instruir al paciente para avanzar de forma segura en la actividad/
ejercicio.
5612.13 Enseñar al paciente una buena postura y la mecánica corporal,
si procede.
5612.15 Ayudar al paciente a incorporar la actividad/ ejercicio en la rutina
diaria/estilo de vida.
5612.18 Ayudar al paciente a alternar correctamente los periodos de des-
canso y actividad.
5614 ENSEÑANZA: DIETA PRESCRITA
Definición: Preparación de un paciete para seguir correctamente una
dieta prescrita.
Actividades:
5614.01 Evaluar el nivel actual de conocimientos del paciente acerca de
la dieta prescrita.
5614.02 Conocer los sentimientos/actitud del paciente/ser queridos
acerca de la dieta prescrita y del grado de cumplimiento dietético espe-
rado.
5614.04 Explicar el propósito de la dieta.
5614.05 Informar al paciente del tiempo durante el que debe seguirse la
dieta.
5614.06 Enseñar al paciente a llevar un diario de comidas, si resulta posi-
ble.
5614.07 Instruir al paciente sobre las comidas permitidas y prohibidas.
5614.10 Ayudar al paciente a sustituir ingredientes que se acomoden a
sus recetas favoritas en la dieta prescrita.
5614.13 Enseñar al paciente a planificar las comidas adecuadas.
5614.14 Proporcionar un plan escrito de comidas, si procede.
5614.18 Incluir a la familia/ser querido, según el caso.
381
5000
5616 ENSEÑANZA: MEDICAMENTOS PRESCRITOS
Definición: Preparación de un paciente para que tome de forma segura
los medicamentos prescritos y observar sus efectos.
Actividades:
5616.01 Enseñar al paciente a reconocer las características distintivas del
(de los) medicamento(s).
5616.02 Informar al paciente acerca del propósito y acción de cada medi-
camento.
5616.04 Instruir al paciente acerca de la dosis, vía y duración de los efec-
tos de cada medicamento.
5616.06 Evaluar la capacidad del paciente para administrarse los medica-
mentos él mismo.
5616.10 Informar al paciente sobre las consecuencias de no tomar o sus-
pender bruscamente la medicación.
5616.12 Instruir al paciente acerca de los posibles efectos secundarios
adversos de cada medicamento.
5616.15 Instruir al paciente sobre los signos y síntomas de sobredosis y
subdosis.
5616.19 Instruir al paciente acerca de la eliminación adecuada de las
agujas y jeringas en casa, y dónde deshacerse de los recipientes de obje-
tos afilados en la comunidad.
5616.21 Ayudar al paciente a desarrollar un horario de medicación escrito.
5616.28 Incluir a la familia/ser querido, si procede.
5618 ENSEÑANZA: PROCEDIMIENTO / TRATAMIENTO
Definición: Preparación de un paciente para que comprenda y se prepa-
re mentalmente para un procedimiento o tratamiento prescrito.
Actividades:
5618.01 Informar al paciente / ser querido acerca de cuándo y dónde ten-
drá lugar el procedimiento / tratamiento.
5618.02 Informar al paciente / ser querido acerca de la duración espera-
da del procedimiento / tratamiento.
382
5000
5618.03 Informar al paciente / ser querido sobre la persona que realizará
el procedimiento / tratamiento.
5618.06 Explicar el propósito del procedimiento / tratamiento.
5618.07 Describir las actividades del procedimiento / tratamiento.
5618.08 Explicar el procedimiento / tratamiento.
5618.10 Enseñar al paciente como cooperar / participar durante el proce-
dimiento / tratamiento, si procede.
5618.17 Describir las valoraciones / actividades posteriores al procedi-
miento / tratamiento y el fundamento de las mismas.
5618.18 Informar al paciente sobre la forma en que puede ayudar en la
recuperación.
5618.22 Proporcionar distracción al niño para que desvíe su atención del
procedimiento.
5618.23 Proporcionar información sobre cuándo y donde estarán disponi-
bles los resultados y la persona que los explicará.
5622 ENSEÑANZA: SEXO SEGURO
Definición: Proporcionar instrucciones acerca de medidas de protección
durante la relación sexual.
Actividades:
5622.01 Discutir las actitudes del paciente acerca de los diversos méto-
dos de control de la natalidad.
5622.02 Instruir al paciente sobre el uso de métodos de control de la nata-
lidad efectivos, según cada caso.
5622.07 Instruir al paciente en las prácticas sexuales de bajo riesgo,
como las que evitan la penetración corporal o el intercambio de fluidos
corporales.
5622.08 Instruir al paciente sobre la importancia de una buena higiene ,
lubricación y eliminación de orina después de la relación, para disminuir
la susceptibilidad a infecciones.
5622.09 Fomentar el uso de preservativos.
5622.10 Enseñar al paciente a elegir preservativos y mantenerlos intac-
tos, si procede.
383
5000
5622.11 Instruir al paciente sobre la colocación y extracción correcta de
los preservativos.
5622.12 Discutir con el paciente las formas de convencer al compañero
para que use preservativos.
5622.15 Animar al paciente con alto riesgo de padecer enfermedades de
transmisión sexual a pasar exámenes regulares.Remitir al paciente con
problemas o preguntas sexuales al cuidador sanitario correspondiente, si
procede.
5622.16 Planificar clases de educación sexual para grupos de pacientes.
5624 ENSEÑANZA: SEXUALIDAD
Definición: Ayudar a las personas a comprender las dimensiones físicas
y psicosociales del crecimiento y desarrollo sexual.
Actividades:
5624.02 Explicar la anatomía y fisiología humanas del cuerpo masculino
y femenino.
5624.03 Explicar la anatomía y fisiología de la reproducción humana.
5624.04 Discutir los signos de fertilidad (relacionados con la ovulación y
el ciclo menstrual).
5624.07 Apoyar el papel de los padres como principales educadores
sexuales de sus hijos.
5624.08 Educar a los padres sobre el crecimiento y desarrollo sexual a lo
largo de la vida.
5624.09 Proporcionar a los padres bibliografía de material de educación
sexual.
5624.13 Discutir las presiones sociales y de los iguales en la actividad
sexual.
5624.17 Educar a los niños y adolescentes en las consecuencias negati-
vas del embarazo precoz (pobreza y pérdida de la educación y de opor-
tunidades de hacer carrera).
5624.18 Enseñar a los niños y adolescentes las enfermedades de trans-
misión sexual y el SIDA.
5624.21 Informar a los niños y adolescentes acerca de medios anticon-
ceptivos eficaces.
384
5000
5624.22 Explicar la accesibilidad a los anticonceptivos y la forma de obte-
nerlos.
5624.23 Ayudar a los adolescentes a elegir un anticonceptivo adecuado,
si procede.
5624.24 Facilitar el juego de roles en los que se puedan practicar la toma
de decisiones y las habilidades de comunicación para resistir las presio-
nes sociales y de sus iguales sobre la actividad sexual.
5626 ENSEÑANZA: NUTRICIÓN INFANTIL(0-12 meses)
Definición: Enseñanza de las practicas de nutrición y alimentación duran-
te el primer año de vida.
Actividades:
6820.01 Monitorizar el peso y la altura del bebé.
5626.02 Enseñar a los padres/cuidador del bebé de 0-3 meses a alimen-
tar sólo con leche materna o de formula el primer año (no dar alimentos
sólidos antes de los 4 meses).
5626.04 Enseñar a los padres/cuidador del bebé de 0-3 meses a evitar
introducir cereales en el biberón (sólo leche de formula o materna), si no
procede.
5626.05 Enseñar a los padres/cuidador del bebé de 0-3 meses a evitar el
uso de miel o de jarabe de cereales.
5626.06 Enseñar a los padres/cuidador del bebé de 0-3 meses a desechar
las sobras de leche de formula y limpiar el biberón después de cada toma.
5626.07 Advertir a los padres/cuidador del bebé de 0-3 meses sobre las
características deposiciones.
5626.08 Informar a los padres/cuidador del bebé de 0-3 meses sobre la
perdida de peso fisiológica.
5626.09 Asesorar a los padres/cuidador del bebé de 0-3 sobre suplemen-
tos de vitaminas y minerales.
5626.10 Enseñar a los padres/cuidador del bebé de 4-6 meses a introdu-
cir alimentos sólidos (en forma de purés) sin añadir sal o azúcar y un
nuevo alimento cada vez.
5626.11 Enseñar a los padres/cuidador del bebé de 4-6 meses a evitar
dar zumos o bebidas azucaradas.
385
5000
5626.12 Enseñar a los padres/cuidador del bebé de 4-6 meses a iniciar la
alimentación con la cuchara .
5626.13 Enseñar a los padres/cuidador del bebé de 7-9 meses a introdu-
cir alimentos con la cuchara y a bebér en taza cuando el bebé pueda sen-
tarse.
5626.14 Enseñar a los padres/cuidador del bebé de 7-9 meses a tener al
bebé junto a la familia durante las comidas.
5626.15 Enseñar a los padres/cuidador del bebé de 7-9 meses a dejar
que él bebé empiece a comer sólo y vigilar para evitar que se atragante.
5626.16 Enseñar a los padres/cuidador del bebé de 7-9 meses a que des-
pués de los alimentos sólidos hay que ofrecer líquidos.
5626.17 Enseñar a los padres/cuidador del bebé de 7-9 meses a evitar los
postres dulces y las bebidas carbónicas.
5626.18 Enseñar a los padres/cuidador del bebé de 7-9 meses a ofrecer
una variedad de alimentos de acuerdo con la pirámide de alimentos.
5626.19 Enseñar a los padres/cuidador del bebé de 7-9 meses a lavarle
las manos antes de las comidas.
5626.20 Enseñar a los padres/cuidador del bebé de 10-12 meses a ofre-
cer tres comidas principales y tentempiés saludables.
5626.21 Enseñar a los padres/cuidador del bebé de 10-12 meses a empe-
zar el destete del biberón.
5626.22 Enseñar a los padres/cuidador del bebé de 10-12 meses a evitar
bebidas de frutas y leche con gustos.
5626.23 Enseñar a los padres/cuidador del bebé de 10-12 meses a empe-
zar a comer a la mesa.
5626.24 Enseñar a los padres/cuidador del bebé de 10-12 meses a per-
mitirle que coma sólo con la cuchara.
5628 ENSEÑAR: SEGURIDAD INFANTIL(0-12 meses)
Definición: Enseñanza de la seguridad durante el primer año de vida.
Actividades:
5628.01 Proporcionar a los padres por escrito materiales adecuados a las
necesidades de conocimientos identificados.
386
5000
5628.02 Enseñar a los padres/cuidador del bebé de 0-3 meses a instalar
y utilizar la silla para el coche de acuerdo con las instrucciones del fabri-
cante.
5628.05 Enseñar a los padres/cuidador del bebé de 0-3 meses a evitar el
uso de joyas o cadenas en él bebé.
5628.06 Enseñar a los padres/cuidador del bebé de 0-3 meses a utilizar
y mantener correctamente todo el equipo (hamaca, cochecito, parque,
cuna portátil).
5628.07 Evitar cogerle mientras se fuma o se toman bebidas calientes.
5628.08 Enseñar a los padres/cuidador del bebé de 0-3 meses a evitar
caídas.
5628.09 Enseñar a los padres/cuidador del bebé de 0-3 meses a compro-
bar la temperatura del agua del baño.
5628.10 Enseñar a los padres/cuidador del bebé de 0-3 meses a mante-
ner los animales de compañía a una distancia prudencial del bebé.
5628.11 Enseñar a los padres/cuidador del bebé de 0-3 meses a no agi-
tar, sacudir o balancearlo en el aire.
5628.12 Enseñar a los padres/cuidador del bebé de 0-3 meses a evitar
exposición al humo de tabaco.
5628.13 Enseñar a los padres/cuidador del bebé de 0-3 meses a evitar
exposición solar excesiva
5628.14 Enseñar a los padres/cuidador del bebé de 0-3 meses a ofrecer
juguetes seguros
5628.15 Enseñar a los padres / cuidadores del bebé de 4-6 meses a evi-
tar el uso de andadores o de saltadores debido al peligro de lesiones y de
los efectos perjudiciales sobre el desarrollo muscular.
5628.16 Enseñar a los padres / cuidadores del bebé de 4-6 meses a no
dejarlo nunca desatendido en el baño, en el carro del supermercado, en
la silla alta, sobre el sofá, etcétera.
5628.17 Enseñar a los padres / cuidadores del bebé de 4-6 meses a eva-
luar los juguetes que cuelguen de la cuna.
5628.18 Enseñar a los padres / cuidadores del bebé de 4-6 meses a uti-
lizar la silla alta cuando sea capaz de sentarse.
5628.19 Enseñar a los padres / cuidadores del bebé de 4-6 meses a ali-
mentarlo únicamente con alimentos blandos o hechos puré.
387
5000
5628.20 Enseñar a los padres / cuidadores del bebé de 4-6 meses a qui-
tar todos los objetos pequeños al alcance del bebé.
5628.21 Enseñar a los padres / cuidadores del bebé de 4-6 meses a esta-
blecer medidas de seguridad en el hogar: Líquidos calientes, bolsas de
plástico, enchufes, alargaderas, tóxicos, medicamentos.
5628.22 Enseñar a los padres / cuidadores del bebé de 7-9 meses a man-
tener los objetos peligrosos fuera de su alcance.Proveer de barreras las
zonas peligrosas y supervisar su actividad continuamente.
5628.23 Enseñar a los padres / cuidadores del bebé de 10-12 meses a
proteger los muebles de cristal, los bordes afilados, los muebles inesta-
bles y los aparatos.
5628.24 Enseñar a los padres / cuidadores del bebé de 10-12 meses a
almacenar los productos de limpieza, los medicamentos y los productos
de aseo personal fuera del alcance del bebé.
5628.25 Enseñar a los padres / cuidadores del bebé de 10-12 meses a
utilizar pestillos a prueba de niños en los armarios y evitar el acceso del
bebé a ventanas, balcones o escaleras.
5628.26 Enseñar a los padres / cuidadores del bebé de 10-12 meses a
mantenerlos lejos de estanques, piscinas, váter y cualquier recipiente con
liquido para evitar que se ahogue. Asegurar las zonas de la piscina /
bañeras calientes con múltiples barreras
5628.27 Enseñar a los padres / cuidadores del bebé de 10-12 meses a
elegir los juguetes de acuerdo con las recomendaciones del fabricante
respecto a la edad.
5632 ENSEÑANZA: SEGURIDAD NIÑO PEQUEÑO Y ESCOLAR
Definición: Enseñanza de la seguridad entre los 2 y 11 años.
Actividades:
5632.01 Proporcionar a los padres por escrito materiales adecuados a las
necesidades de conocimiento identificados.
5632.02 Enseñar a los padres / cuidador del bebé de 13-18 meses a:
5632.03 Enseñar a los padres / cuidador del bebé de 13-18 meses a
supervisar al niño cuando este al aire libre y enseñarle los peligros de lan-
zar objetos y dar golpes.
388
5000
5632.04 Enseñar a los padres / cuidador del bebé de 13-18 meses a
Evitar el acceso a enchufes, cables y equipos / herramientas eléctricas.
5632.06 Enseñar a los padres / cuidador del bebé de 13-18 meses a
enseñar a los niños maneras seguras de tratar a los animales domésticos.
5632.07 Enseñar a los padres / cuidador del bebé de 13-18 meses a ase-
gurar puertas / rejas para evitar el acceso del niño a zonas
peligrosas(calle, calzada, piscina).
5632.09 Enseñar a los padres / cuidador del bebé de 13-18 meses a uti-
lizar quemadores de la cocina, instalar protecciones en los botones y / o
restringir el acceso del niño a la cocina.
5632.14 Enseñar a los padres / cuidador del bebé de 19-24 meses a ins-
talar sillas y utilizarlas siguiendo las instrucciones del fabricante.
5632.15 Enseñar a los padres / cuidador del bebé de 19-24 meses a
Guardar los objetos afilados y de cocina fuera del alcance del niño.
5632.16 Enseñar a los padres / cuidador del bebé de 19-24 meses a
Enseñar al niño los peligros de la calle.
5632.17 Enseñar a los padres / cuidador del bebé de 19-24 meses a
Guardar todos los productos de limpieza, medicamentos y productos de
aseo personal fuera del alcance del niño.
5632.18 Enseñar a los padres / cuidador del bebé de 19-24 meses a
Asegurar con múltiples barreras las zonas de la piscina / baños calientes.
5632.19 Enseñar a los padres / cuidadores del bebé de 25-36 meses a
Enseñar al niño los peligros de las armas.
5632.20 Enseñar a los padres / cuidadores del bebé de 25-36 meses a
Elegir los juguetes de acuerdo con las instrucciones del fabricante respec-
to a la edad.
5632.21 Enseñar a los padres / cuidadores del bebé de 25-36 meses a
Supervisar y enseñar la utilización segura de toboganes altos y juguetes
para montar.
5632.22 Enseñar a los padres / cuidadores del bebé de 25-36 meses a
Guardar cerillas / encendedores fuera del alcance del niño y enseñarle los
peligros del fuego y de los encendedores.
5632.23 Enseñar a los padres / cuidadores del bebé de 25-36 meses a
Supervisar siempre al niño cuando este cerca de piscinas, estanques y
baños calientes.
389
5000
5632.24 Enseñar a los padres / cuidadores del bebé de 25-36 meses a
Enseñar al niño los peligros de los desconocidos y a distinguir entre el
contacto bueno y el malo.
5632.25 Enseñar a los padres / cuidadores del bebé de 25-36 meses a
Proporcionar un casco homologado para montar en bicicleta y enseñar al
niño a ponérselo siempre.
5632.26 Enseñar a los padres / cuidadores del bebé de 25-36 meses a
Evitar el acceso del niño a ventanas, balcones y escaleras.
5632.27 Enseñar a los padres / cuidadores del bebé de 25-36 meses a
Supervisar de cerca al niño cuando este al aire libre.
5632.28 Enseñar a los padres / cuidadores del bebé de 25-36 meses a
Enseñar al niño como pedir ayuda a un adulto cuando este asustado o en
peligro.
5632.29 Enseñar a los padres / cuidadores del bebé del niño a partir de
36 meses elegir los juguetes de acuerdo con las instrucciones del fabri-
cante respecto a la edad.
5632.30 Enseñar a los padres / cuidadores del bebé del niño a partir de
36 meses supervisar y enseñar la utilización segura de toboganes altos y
juguetes para montar.
5632.31 Enseñar a los padres / cuidadores del bebé del niño a partir de
36 meses guardar cerillas / encendedores fuera del alcance del niño y
enseñarle los peligros del fuego y de los encendedores.
5632.32 Enseñar a los padres / cuidadores del bebé del niño a partir de
36 meses supervisar siempre al niño cuando este cerca de piscinas,
estanques y baños calientes.
5632.33 Enseñar a los padres / cuidadores del bebé del niño a partir de
36 meses Enseñar al niño los peligros de los desconocidos y a distinguir
entre el contacto bueno y el malo.
5632.34 Enseñar a los padres / cuidadores del bebé del niño a partir de
36 meses proporcionar un casco homologado para montar en bicicleta y
enseñar al niño a ponérselo siempre.
5632.35 Enseñar a los padres / cuidadores del bebé del niño a partir de
36 meses evitar el acceso del niño a ventanas, balcones y escaleras.
5632.36 Enseñar a los padres / cuidadores del bebé del niño a partir de
36 meses Supervisar de cerca al niño cuando este al aire libre.
390
5000
5632.37 Enseñar a los padres / cuidadores del bebé del niño a partir de
36 meses enseñar al niño como pedir ayuda a un adulto cuando este
asustado o en peligro.
5820 DISMINUCIÓN DE LA ANSIEDAD
Definición: minimizar la aprensión, temor, presagios relacionados con
una fuente no identificada de peligro por adelantado.
Actividades:
5820.01 Utilizar un enfoque sereno que de seguridad.
5820.04 Tratar de comprender la perspectiva del paciente sobre una
situación estresante.
5820.05 Proporcionar información objetiva respecto al diagnóstico, trata-
miento y pronóstico
5820.06 Permanecer con el paciente para promover la seguridad y redu-
cir el miedo..
5820.09 Administrar masajes en la espalda/ cuello, si procede.
5820.12 Escuchar con atención.
5820.14 Crear un ambiente que facilite la confianza.
5820.15 Animar la manifestación de sentimientos, percepciones y miedos.
5820.18 Ayudar al paciente a identificar las situaciones que precipitan la
ansiedad.
5820.23 Instruir al paciente sobre el uso de técnicas de relajación.
5880 TÉCNICA PARA TRANQUILIZAR
Definición: Disminución de la ansiedad del paciente que experimenta dis-
trés agudo.
Actividades:
5880.01 Coger y calmar al bebé o niño.
5880.04 Ofrecer tranquilidad al bebé, si procede.
5880.05 Mantener contacto visual con el paciente.
5880.07 Mantener la calma de un manera deliberada.
391
5000
5880.08 Sentarse y hablar con el paciente.
5880.09 Favorecer una respiración lenta, profunda, intencionalmente.
5880.11 Acariciar la frente, si procede.
5880.12 Disminuir los estímulos que crean miedo o ansiedad.
5880.13 Identificar seres queridos cuya presencia pueda ayudar al
paciente.
5880.18 Frotar la espalda, si procede.
5880.21 instruir al paciente sobre métodos que disminuyan la ansiedad, si
procede.
5880.22 Instruir al paciente sobre técnicas que han de utilizarse para cal-
mar al bebé que llora (hablar al bebé, ponerle la mano en la tripita, liberar
los brazos, levantarlo, sostenerlo y mecerlo).
5900 DISTRACCIÓN
Definición: Enfoque intencionado de la atención para alejarla de sensa-
ciones indeseables.
Actividades:
5900.01 Describir el motivo y los beneficios, límites y tipos de las técnicas
de distracción disponibles.
5900.02 Describir los beneficios de estimular una variedad de modalida-
des sensoriales(música, contar, televisión y lectura).
5900.03 Animar al individuo a que elija la técnica de distracción deseada,
como música, participar en una conversación o contar detalladamente un
suceso o cuento, imaginación dirigida o el humor.
5900.05 Sugerir técnicas coherentes con el nivel de energía y la capacidad.
5900.06 Individualizar el contenido de la técnica de distracción en función
de las técnicas utilizadas con éxito anteriormente y de la edad o el nivel
de desarrollo.
5900.11 Fomentar la participación de la familia y los seres queridos y
enseñarles, si resulta oportuno.
5900.12 Dar instrucciones escritas sobre el modo y el momento de utilizar
la estrategia dada, si procede.
5900.14 Evaluar y registrar la respuesta a la distracción.
392
5000
6040 TERAPIA DE RELAJACIÓN SIMPLE
Definición: Uso de técnicas para favorecer e inducir la relajación con
objeto de disminuir los signos y síntomas indeseables como dolor, tensión
muscular simple o ansiedad.
Actividades:
6040.01 Explicar el fundamento y beneficios, limites y tipos de relajación
disponibles (terapia musical, meditación y relajación muscular progresiva).
6040.03 Considerar la voluntad y la capacidad de la persona para partici-
par, preferencias, experiencias pasadas y contraindicaciones antes de
seleccionar una estrategia de relajación determinada.
6040.05 Crear un ambiente tranquilo, sin interrupciones, con luces suaves
y una temperatura agradable, cuando sea posible.
6040.06 Enseñar a la persona a adoptar una posición cómoda sin ropas
restrictivas y con los ojos cerrados.
6040.11 Mostrar y practicar la técnica de relajación con el paciente.
6040.15 Fomentar la repetición o práctica frecuente de la(s) técnica(s)
seleccionada(s).
6040.16 Dejarle un tiempo sin molestar ya que el paciente puede quedar-
se dormido.
6040.19 Grabar una cinta sobre la técnica de relajación para uso de la
persona, según proceda.
6160 INTERVENCIÓN EN CASO DE CRISIS
Definición: Utilización de asesoramiento de corto plazo para ayudar al
paciente a enfrentarse a las crisis y retomar un estado de funcionamiento
mejor o igual al estado previo a la crisis.
Actividades:
6160.02 Determinar si el paciente presenta riesgo de seguridad par sí
mismo o para otros.
6160.04 Ayudar en la identificación de factores desencadenantes y diná-
mica de la crisis.
6160.05 Ayudar en la identificación de habilidades pasadas/presentes
para enfrentarse a la crisis y su eficacia.
393
6000
6160.06 Ayudar en la identificación de valores y habilidades personales
que puedan utilizarse en la resolución de la crisis.
6160.07 Ayudar en el desarrollo de nuevas habilidades para solucionar
problemas, si resulta necesario.
6160.08 Ayudar en la identificación de sistemas de apoyo disponibles.
6160.11 Ayudar en la identificación de actuaciones alternativas para resol-
ver la crisis.
6160.14 Evaluar con el paciente si se ha resuelto la crisis con el curso de
acción elegido.
6160.15 Planificar con el paciente la forma en que pueden utilizarse las
habilidades de adaptación para tratar la crisis en el futuro.
6200 CUIDADOS EN LA EMERGENCIA
Definición: Puesta en práctica de las medidas de salvamento en aquellas
situaciones que resulten amenazadoras para la vida.
Actividades:
6200.02 Activar el sistema de urgencia médica.
6200.04 Mantener la vía aérea abierta.
6200.05 Realizar resucitación cardiopulmonar, si procede.
6200.06 Realizar maniobra de Heimlich, si es el caso.
6200.09 Aplicar presión manual sobre el sitio de hemorragia, cuando
corresponda.
6200.12 Comprobar si hay signos y síntomas de neumotórax o tórax gra-
nado.
6200.15 Vigilar los signos vitales.
6200.21 Vigilar el nivel de conciencia.
6200.22 Inmovilizar las fracturas, heridas grandes y cualquier parte lesio-
nada.
6200.23 Controlar el estado neurológico por si hubiera posibles lesiones
en la cabeza o columna.
6200.24 Aplicar un collar cervical, si procede.
394
6000
6200.25 Mantener la alineación del cuerpo si se sospechan lesiones
medulares.
6340 PREVENCIÓN DEL SUICIDIO
Definición: disminución del riesgo de daños autoinfligidos con la inten-
ción de acabar con la vida.
Actividades:
6340.01 Determinar la existencia y el grado de riesgo de suicidio.
6340.02 Determinar si el paciente dispone de medios para llevar adelan-
te el plan de suicidio.
6340.03 Considerar la hospitalización del paciente que tiene un alto ries-
go de conducta suicida.
6340.10 Implicar al paciente en la planificación de su tratamiento, si pro-
cede.
6340.12 Acordar con el paciente (verbalmente o por escrito), si procede,
que no se auto lesionara durante un periodo especificado de tiempo, vol-
viéndolo a acordar a intervalos de tiempo especificados.
6340.19 Utilizar una forma de hablar directa y sin emitir juicios para
comentar el suicidio.
6340.22 Discutir planes para hacer frente a las ideas suicidas en el futu-
ro (factores precipitantes, a quién contactar, dónde buscar ayuda, mane-
ras de aliviar los impulsos de autolesión).
6340.23 Ayudar al paciente a identificar las personas y los recursos de
apoyo (clero, familia, proveedores de cuidados).
6340.24 Iniciar precauciones para el suicidio (observación y vigilancia
continua del paciente, proveerse de un entorno protector) para el pacien-
te que tiene un alto riesgo de suicidio.
6340.2 Examinar de forma rutinaria el entorno y eliminar los peligros
para mantenerlo libre de riesgos.
6340.39 Explicar las precauciones contra el suicidio y los aspectos rele-
vantes de seguridad al paciente/familia/seres queridos (propósito, dura-
ción, expectativas conductuales y consecuencias de la conducta).
6340.4 Remitir al paciente a un especialista de cuidados de salud (psi-
quiatra o enfermera experimentada en la salud mental/psiquiátrica) para
395
6000
la evaluación y el tratamiento de las ideas y conductas de suicidio, según
sea necesario.
6400 APOYO EN LA PROTECCIÓN CONTRA ABUSOS
Definición: Identificación de las relaciones y acciones dependientes de
alto riesgo para evitar que aumenten los daños físicos o emocionales.
Actividades:
6400.01 Identificar al adulto con un historial de infancia infeliz asociada
con abusos, rechazo, exceso de critica, o sentimientos de inutilidad y falta
de amor cuando fue niño.
6400.02 Identificar al adulto que tenga dificultad para confiar en los demás
o que sienta que no es apreciado por los demás.
6400.08 Determinar si los adultos son capaces de hacerse cargo el uno
del otro cuando uno de ellos se encuentra demasiado tenso, cansado o
irascible para tratar con el miembro de la familia dependiente.
6400.10 Identificar las situaciones de crisis que pueden desencadenar los
abusos, tales como pobreza, desempleo, divorcio o muerte de un ser
querido.
6400.12 Observar si el niño/adulto dependiente enfermo o lesionado pre-
senta signos de abuso.
6400.22 Escuchar los sentimientos de la embarazada sobre el embarazo
y sobre las expectativas del niño no nacido aún.
6400.26 Observar si hay un deterioro progresivo del cuidado físico y emo-
cional del niño/adulto dependiente en el seno familiar.
6400.32 Instruir a los miembros adultos de la familia sobre los signos de
abusos.
6400.35 Informar de cualquier situación en la que se sospeche de abusos
a las autoridades correspondientes.
6400.36 Remitir al adulto(s) a casas de acogida en el caso de esposas
maltratadas, si procede.
6402 APOYO EN LA PROTECCIÓN CONTRA ABUSOS: NIÑOS
Definición : Identificación de las relaciones y acciones del niño depen-
396
6000
diente de alto riesgo para evitar la posibilidad de que se inflijan daños físi-
cos, sexuales o emocionales, o se abandonen las necesidades vitales
básicas.
Actividades:
6402.01 Identificar a las madres con un historial de cuidados prenatales
tardíos (cuatro meses o más ) o ningún cuidado prenatal.
6402.02 Identificar a los padres a quienes hayan retirado la custodia de
otro niño o que hayan dejado a niños con parientes durante prolongados
periodos de tiempo.
6402.03 Identificar a los padres con un historial de abusos, depresión o
enfermedad psiquiátrica importante
6402.05 Identificar a los padres con un historial de violencia doméstica o
una madre con historial de numerosas lesiones “accidentales”.
6402.08 Determinar si la familia dispone de una red de apoyo social intac-
ta que ayude con los problemas familiares con la falta de cuidados al niño
y los cuidados del niño en crisis.
6402.11 Determinar si el niño muestra señales de abuso físico, incluyen-
do numerosas lesiones en distintas etapas de curación, hematoma y
señales de azotes sin explicación ; comportamiento sin explicación,
inmersión y quemaduras por fricción, fracturas faciales, espirales, de caña
o múltiples, laceraciones, y abrasiones faciales sin explicación marcas de
mordedura humana ; hemorragia intracraneal, subdural, intravemtricular,
e intraocular : síndrome del niño sacudido por latigazos y enfermedades
que sean resistentes al tratamiento y /o tengan signos y síntomas cam-
biantes.
6402.16 Determinar si el niño muestra signos de abuso emocional, inclu-
yendo retrasos en el desarrollo físico, trastornos de hábitos, trastornos de
aprendizaje de conducta, reacciones de características neuróticas/psico-
neuróticas, comportamientos extremos, retraso del desarrollo cognitivo, e
intentos de suicidio.
6402.25 Observar si se repiten las visitas a la clínica, urgencias, o consul-
tas del médico por problemas menores.
6402.32 Proporcionar a los padres método de castigo (limites o correc-
ción) no corporal para disciplinar al niño.
6402.37 Proporcionar a los niños afirmaciones positivas de su valía, cui-
dado de nutrición comunicación y estimulación del desarrollo.
397
6000
6402.38 Proporcionar a los niños que hayan sufrido abuso sexual la afir-
mación de que el abuso no ha sido por su culpo y permitirles expresar sus
preocupaciones a través de la terapia adecuada a su edad.
6403 APOYO EN LA PROTECCIÓN CONTRA ABUSOS: CÓNYUGE
Definición: Identificar las relaciones y acciones domésticas dependientes
de alto riesgo para prevenir que se inflija posterior daño físico, sexual o
emocional, o la explotación de uno de los cónyuges.
Actividades:
6403.01 Investigar si existen factores de riesgo asociados con el abuso
domestico (p ej. historial de violencia doméstica, abusos, rechazo, exceso
de critica o sentimientos de inutilidad y falta de amor ; dificultad para con-
fiar en los demás o sentimientos de falta de aprecio de los demás : sensa-
ción de que la solicitud de ayuda constituye un indicio de incompetencia
personal ; necesidad de cuidado físico : muchas responsabilidades de cui-
dado familiar, abuso de sustancias ; depresión ; enfermedades psiquiátri-
cas importantes ; aislamiento social ; mala relación entre los cónyuges ;
muchos matrimonios ; embarazo, pobreza desempleo, dependencia finan-
ciera, falta de hogar, infidelidad, divorcio, o muerte de un ser querido).
6403.03 Observar si hay signos y síntomas de abusos físicos (p. j. nume-
rosas lesiones en distinta etapa de curación ; laceraciones, hematomas
o contusiones en cara (especialmente periorbitarios), boca, torso, espal-
da, nalgas o extremidades superiores sin explicación ; fracturas inexpli-
cables de cráneo, nariz, costillas o cadera ; partes sin cabellos en la
cabeza o un cuero cabelludo dolorido ; magulladuras o excoriaciones en
las muñecas o en los tobillos u otras marcas de ataduras, contusiones
“defensivas “ en los antebrazos, y marcas de mordeduras humanas.
6403.05 Observar si hay signos y síntomas de abuso emocional (p. ej.
baja autoestima, depresión, humillación, y sentimientos de derrota ; com-
portamiento muy precavido respecto al cónyuge ; agresión contra si
mismo o actitudes suicidas).
6403.06 Observar si hay signos y síntomas de explotación (p. ej. provisión
inadecuada de las necesidades básicas cuando se dispone de recursos
adecuados ; privación de posesiones personales : pérdida inexplicable
de los cheques de apoyo social ; evidencia de que los activos personales
son cogidos sin consentimiento o aprobación o por medio de utilización de
una influencia indebida, o falta de conocimiento de las finanzas persona-
les o asuntos legales).
398
6000
6403.09 Identificar incongruencias en la explicación de la causa de las
lesiones.
6403.11 Entrevistar al paciente en ausencia del cónyuge, y /o a alguna
otra persona que conozca la situación acerca del presunto abuso en
ausencia del cónyuge.
6403.16 Observar si se repiten las visitas a clínicas, urgencias o consul-
tas al médico por problemas de los individuos.
6403.19 Animar la expresión de y sentimientos, incluyendo miedo culpa-
bilidad, desconcierto y autoculpabilidad.
6403.25 Proporcionar información confidencial respecto a los albergues
para personas que sufren violencia doméstica, según corresponda.
6403.27 Informar de cualquier situación donde se sospeche de abuso de
acuerdo con las leyes de información obligatoria.
6404 APOYO EN LA PROTECCIÓN CONTRA ABUSOS: ANCIANOS
Definición: Identificación de las relaciones y acciones de alto riesgo de
del anciano dependiente para evitar posibles daños físicos, sexuales o
emocionales; abandono de las necesidades vitales básicas, o la explota-
ción.
Actividades:
6404.03 Identificar las situaciones de crisis en la familia que puedan des-
encadenar el abuso, como la pobreza, el desempleo, el divorcio, la falta
de hogar, ola muerte de un ser querido.
6404.04 Determinar si el paciente mayor y el cuidador disponen de una
red de apoyo social funcional para asistir al paciente, realizar las activida-
des de la vida diaria y obtener cuidados sanitarios, transporte, terapia,
medicinas, información de recursos, asesoramiento financiero, y ayuda
con los problemas personales.
6404.05 Identificar a los pacientes ancianos que dependen de un solo cui-
dador o unidad familiar para disponer de asistencia y control de cuidados
físicos amplios.
6404.06 Identificar a los cuidadores que muestren una salud física o men-
tal disminuida, abusos de sustancias. depresión, fatiga, problemas o
dependencia económica, lesiones que hayan sido infligidas por el pacien-
te, falta de comprensión de las necesidades o estado del paciente,
399
6000
intolerancia o actitudes muy críticas hacia el paciente, agotamiento del
cuidador, lesiones de espalda ocasionadas por levantar objetos sin
ayuda, abandono del paciente, o que lo amenacen con la hospitalización
o con procedimientos dolorosos.
6404.10 Observar las interacciones paciente - cuidador y registrarlas.
6404.11 Determinar si el paciente mayor muestra signos de abandono,
incluyendo problemas de higiene, vestimenta inadecuada (rota, sucia) o
privación de ropa o calzado abrigados ; lesiones de la piel sin tratar, con-
tracturas, integridad de la piel disminuida ; problemas por posición decú-
bito, malnutrición o falta de adhesión a la dieta prescrita, falta de ayuda o
inadecuada, en la movilidad y percepción (bastones, vasos, asistencia
con la audición ) falta de dentadura postiza o dientes fracturados o caria-
dos ; excoriaciones pèrianales o raspones en la piel ; problemas de
salud sin tratar o ingresos repetidos debido a inadecuada vigilancia de
cuidados sanitarios ; infestación con bichos ; falta de medicación o admi-
nistración de sedante en exceso, y falta de contacto social.
6410 MANEJO DE LA ALERGIA
Definición: Identificación, tratamiento y prevención de las respuestas
alérgicas a alimentos, medicamentos, picaduras de insectos, material de
contraste, sangre u otras sustancias.
Actividades:
6410.03 Registrar todas las alergias en registros clínicos, de acuerdo con
el protocolo.
6410.05 Observar si el paciente presenta reacciones alérgicas a nuevos
medicamentos, fórmulas, alimentos y/ tinturas de tests.
6410.98 Identificar si han esxistido agudizaciones del proceso alérgico.
6410.15 Administrar inyecciones para alergias, si es necesario.
6410.07 Mantener al paciente en observación durante 30 minutos des-
pués de la administración de un agente conocido capaz de inducir una
respuesta alérgica.
6410.16 Observar si hay respuestas alérgicas durante las inmunizacio-
nes.
6410.99 Recomendar que se evite la realización de ejreccio en las seis
horas siguientes a la administración de la vacuna antialérgica.
400
6000
6412 MANEJO DE LA ANAFILAXIA
Definición: Fomento de la ventilación y de la perfusión de los tejidos ade-
cuadas para un paciente con una reacción alérgica (antígeno – anticuer-
po) grave.
Actividades:
6412.01 Colocar al paciente en posición de Fowler o de Fowler alta.
6412.02 Aplicar un torniquete inmediatamente junto al punto alérgeno de
entrada (p. ej., sitio de inyección, sitio IV, picadura de insecto, etc.), cuan-
do sea posible.
6412.03 Administrar epinefrina acuosa subcutánea al 1:1.000 (0, 30, 5 ml)
en el sitio de contacto si es aplicable, yh junto al torniquete y repetir cada
3 minutos, según sea necesario y por prescripción médica.
6412.04 Establecer y mantener la vía aérea despejada.
6412.05 Administrar oxígeno mediante mascarilla.
6412.06 Iniciar una infusión IV de solución salina normal, de Ringer lacta-
to o de un dilatador del volumen plasmático, según corresponda.
6412.07 Tranquilizar al paciente y a los miembros de su familia.
6412.08 Observar si hay señales de shock, obstrucción de las vías aére-
as, arritmias cardíacas, aspiración del contenido gástrico y convulsiones.
6412.11 Administrar espasmolíticos, antihistamínicos o corticosteroides,
según prescripción médica, y documentar si existe urticaria, angiedema o
broncospasmo.
6412.12 Consultar con otros y remitir, según sea necesario.
6450 MANEJO DE IDEAS ILUSORIAS
Definición: Fomento de la comodidad, seguridad y orientación de la rea-
lidad de un paciente que experimenta creencias falsas, fijas, que tienen
poca o ninguna base real.
Actividades:
6450.02 Dar al paciente oportunidades de discutir las ilusiones con el cui-
dador.
6450.04 Centrar la discusión en sentimientos subyacentes, en vez de en
el contenido de la ilusión (“parece como si usted sintiera miedo”).
401
6000
6450.06 Animar al paciente a que fundamente las creencias ilusorias con
las personas en quienes confía (prueba de realidad).
6450.07 Animar al paciente a que cuente las ilusiones a los cuidadores,
antes de actuar sobre ellas.
6450.09 Establecer actividades recreativas y de diversión que requieran
atención o habilidad.
6450.10 Comprobar la capacidad de cuidados de sí mismo.
6450.12 Vigilar el estado psíquico del paciente.
6450.14 Realizar el seguimiento de las ilusiones por si hubiera presencia
de contenidos que resulten dañinos o violentos para el paciente mismo.
6450.17 Proporcionar un nivel adecuado de vigilancia / supervisión para
controlar al paciente.
6450.22 Mantener una rutina diaria coherente.
6450.28 Informar sobre la enfermedad al paciente / seres queridos, si las
ilusiones están fundadas en una enfermedad (delirio, esquizofrenia o
depresión).
6460 MANEJO DE LA DEMENCIA
Definición: Proveer un ambiente modificado para el paciente que experi-
menta un estado de confusión crónico.
Actividades:
6460.01 Incluir a los miembros de la familia en la planificación, provisión
y evaluación de cuidados, en el grado deseado.
6460.02 Establecer los esquemas usuales de comportamiento para acti-
vidades como dormir, utilización de medicamentos, eliminación, ingesta
de alimentos y cuidados propios.
6460.03 Determinar el historial físico, social y psicológico del paciente,
hábitos corrientes y rutinas.
6460.04 Identificar el tipo y grado de déficit cognitivo, mediante herra-
mientas de evaluación normalizadas.
6460.11 Disponer un ambiente físico estable y una rutina diaria.
6460.14 Dirigirse al paciente por su nombre al iniciar la interacción y
hablar despacio.
402
6000
6460.15 Dar una orden simple por vez.
6460.16 Hablar con un tono de voz claro, bajo y respetuoso.
6460.22 Establecer periodos de reposo para evitar la fatiga y reducir el
estrés.
6460.25 Evitar frustra al paciente interrogándolo con preguntas de orien-
tación que no pueden ser respondidas.
6460.36 Solicitar a los miembros de la familia y amigos que vean al
paciente de uno a dos por vez, si fuera necesario, para disminuir la esti-
mulación.
6460.42 Utilizar símbolos, que no sean los escritos, para ayudar al
paciente a localizar la habitación, el baño u otros equipos.
6482 MANEJO AMBIENTAL: COMODIDAD
Definición: Manipulación del entorno del paciente para facilitar una como-
didad óptima.
Actividades:
6482.03 Evitar interrupciones innecesarias y permitir periodos de reposo.
6482.05 Proporcionar una cama limpia, cómoda.
6482.06 Ajustar la temperatura ambiental que sea más cómoda para la
persona, si fuera posible.
6482.07 Proporcionar o retirar las mantas para fomentar comodidad en
cuanto a la temperatura, si es el caso.
6482.08 Evitar exposiciones innecesarias, corrientes, exceso de calefac-
ción o frío.
6482.09 Ajustar la iluminación de forma que se adapte a las necesidades
de la persona, evitando la luz directa en los ojos.
6482.10 Controlar o evitar ruidos indeseables o excesivos, en lo posible.
6482.11 Facilitar medidas de higiene para mantener la comodidad de la
persona.
6482.12 Colocar al paciente de forma que se facilite la comodidad (utili-
zando principios de alineación corporal, apoyo con almohadas, apoyo de
las articulaciones durante el movimiento, tablillas inmovilizadoras para la
parte dolorosa del cuerpo).
403
6000
6486 MANEJO AMBIENTAL: SEGURIDAD
Definición: Vigilar y actuar sobre el ambiente físico para fomentar la
seguridad.
Actividades:
6486.01 Identificar las necesidades de seguridad, según la función física,
cognoscitiva y el historial de conducta del paciente.
6486.03 Eliminar los factores de peligro del ambiente, cuando sea posible.
6486.04 Modificar el ambiente para minimizar los peligros y riesgos.
6486.05 Disponer dispositivos de adaptación (barandillas) para aumentar
la seguridad del ambiente.
6486.06 Utilizar dispositivos de protección para limitar físicamente la
movilidad o acceder a situaciones peligrosas.
6486.08 Proporcionar al paciente números tefefónicos de urgencias (poli-
cía, toxicología, etc.).
6480.03 Eliminar los factores de peligro del ambiente (alfombras o man-
tas flojas, y muebles pequeños, móviles).
6480.11 Colocar los objetos de uso frecuente al alcance del paciente.
6490 PREVENCIÓN DE CAÍDAS
Definición: Establecer precauciones especiales en pacientes con alto
riesgo de lesiones por caídas.
Actividades:
6490.01 Identificar déficits cognoscitivos o físicos del paciente que pue-
dan aumentar la posibilidad de caídas en un ambiente dado.
6490.02 Identificar las características del ambiente que puedan aumentar
las posibilidades de caídas (suelos resbaladizos y escaleras sin barandillas).
6490.05 Proporcionar dispositivos de ayuda (bastón o barra de apoyo
para caminar) para conseguir una deambulación estable.
6490.09 Instruir al paciente para que pida ayuda al moverse, si lo precisa.
6490.10 Enseñar al paciente cómo caer para minimizar el riesgo de lesio-
nes.
404
6000
6490.17 Utilizar barandillas laterales de longitud y altura adecuadas para
evitar caídas de la cama, si es necesario.
6490.31 Disponer luz nocturna en la mesilla de noche.
6490.32 Disponer barandillas y apoya manos visibles.
6490.33 Colocar puertas en los accesos que conduzcan a escaleras.
6490.34 Disponer superficies de suelo antideslizantes, antí-caídas.
6490.41 Asegurar que el paciente lleve zapatos que se ajusten correcta-
mente, firmemente atados y con suelas antideslizantes.
6490.45 Ayudar a la familia a identificar los peligros del hogar y a modifi-
carlos.
6490.46 Animar al paciente a utilizar un bastón o un andador, si procede.
6490.47 Enseñar al paciente a utilizar un bastón o un andador, si procede.
6490.48 Utilizar la técnica adecuada para colocar y levantar al paciente de
la silla de medas, cama, baño, etc.
6490.49 Colaborar con otros miembros del equipo de cuidados sanitarios
para minimizar los efectos secundarios de los medicamentos que contribu-
yen a la posibilidad de caídas (hipotensión ortostática y andar inestable).
6520 CHEQUEO SANITARIO
Definición: Detección de riesgos o problemas para la salud por medio de
historiales, exámenes y demás procedimientos.
Actividades:
6520.03 Establecer un acceso sencillo a los servicios de análisis (tiempo
y lugar).
6520.04 Programar las citas para mejorar un cuidado eficaz e individuali-
zado
6520.11 Realizar valoración física, cuando corresponda.
6520.12 Medir la presión sanguínea, peso, altura, porcentaje de grasa
corporal, niveles de colesterol y azúcar en sangre, y realizar análisis de
orina, si procede
6520.13 Realizar (o remitir para su realización) frotis, mamografía, examen
de próstata, ECG, examen testicular y examen de la visión, si procede
405
6000
6520.14 Obtener muestras para análisis
6520.15 Completar los registros correspondientes del Departamento de
Salud y demás registros para realizar el seguimiento de los resultados
anormales, como presión sanguínea alta…
6520.16 Proporcionar información adecuada sobre el autoseguimiento
durante los análisis.
6520.17 Proporcionar los resultados de los análisis sanitarios al paciente.
6520.19 Asesorar al paciente en el que se han hallado anormalidades
sobre las alternativas de tratamiento o sobre la necesidad de realizar más
evaluaciones
6520.20 Remitir al paciente a otros cuidadores sanitanos, cuando lo
requiera el caso
6522 EXPLORACIÓN DE MAMA
Definición: Inspección y palpación de las mamas y zonas afines.
Actividades:
6522.02 Averiguar si la paciente ha notado o no algún dolor, endureci-
miento o ablandamiento de la distorsión, retracción o escamación del
pezón. mama, secreción,
6522.03 Ayudar a la paciente a colocarse cómodamente según el proce-
dimiento de exploración, permitiendo siempre la intimidad y la sensibilidad
necesarias.
6522.07 Inspeccionar la medida, la forma y los cambios en la textura o el
color de las mamas, incluyendo cualquier enrojecimiento, hoyuelo, arru-
ga, escamación o retracción de la piel. I
6522.08 Observar la simetría y el contorno de las mamas y la posición
bilateral de los pezones por si hay cualquier desviación o anormalidad.
6522.09 Dar instrucciones a la paciente para utilizar cuatro posiciones
diferentes para la exploración visual -brazos a los lados, manos en la cin-
tura empujando hacia dentro y hacia las caderas, manos detrás de la
cabeza y brazos cruzados en la cintura con el pecho hacia delante.
6522.10 Valorar la existencia de la secreción del pezón mediante una
suave presión en cada pezón.
6522.11 Inspeccionar y palpar posibles anormalidades de las cadenas de
406
6000
nódulos linfáticos, incluyendo los nódulos supraclaviculares, infraclavicu-
lares, laterales, centrales, subescapulares y anteriores.
6522.14 Utilizando un método sistemático, palpar el tejido de la mama con
la superficie palmar de los tres primeros dedos de la mano dominante del
examinador.
6522.15 Mover de manera rotativa y comprimir el tejido de la mama con-
tra la pared del tórax.
6522.21 Informar al médico o a la enfermera encargados de las anorma-
lidades, según corresponda.
6522.23 Enseñar a la paciente la importancia de una autoexploración
regular de la mama.
6522.24 Aconsejar la realización de mamografías regulares, según
corresponda a la edad, el estado y el riesgo.
6530 MANEJO DE LA INMUNIZACIÓN / VACUNACIÓN
Definición: Control del estado de inmunización, facilitando el acceso a la
inmunizaciones y suministro de vacunas para evitar enfermedades conta-
giosas.
Actividades:
6530.01 Explicar a los padres el programa de inmunización recomendado
necesario para los niños, su vía de administración, razones y beneficios
de su uso, reacciones adversas y efectos secundarios.
6530.04 Proporcionar una cartilla de vacunación para registrar fecha y
tipo de las inmunizaciones administradas.
6530.07 Administrar inyectables a los bebes en la parte anterolateral del
muslo, cuando proceda.
6530.14 Conocer las contraindicaciones de la inmunización (reacción
anafiláctica a vacunas anteriores y enfermedades moderadas o graves
con o sin fiebre).
6530.19 Informar al paciente acerca de las medidas de alivio útiles des-
pués de la administración de fármacos en un niño.
6530.22 Programar las inmunizaciones a intervalos adecuados.
6530.99 Programar la vacunación acelerada.
407
6000
6550 PROTECCIÓN CONTRA LAS INFECCIONES
Definición: Prevención y detección precoz de la infección en un paciente
de riesgo.
Actividades:
6550.01 Observar los signos y síntomas de infección sistémica y localizada.
6550.07 Mantener las normas de asepsia para el paciente de riesgo.
6550.08 Realizar técnicas de aislamiento, si es preciso.
6550.10 Inspeccionar la existencia de enrojecimiento, calor extremo o
drenaje en la piel y las membranas mucosas.
6550.11 Obtener muestras para realizar un cultivo, si es necesario.
6550.17 Fomentar la respiración y tos profunda, si está indicado.
6550.18 Administrar un agente de inmunización, si resulta oportuno.
6550.19 Enseñar al paciente a tomar los antibióticos tal como se ha pres-
crito.
6550.20 Instruir al paciente y a la familia acerca de los signos síntomas
de infección y cuándo debe informar de ellos al cuidador.
6550.21 Enseñar al paciente y a la familia a evitar infecciones.
6680 MONITORIZACIÓN DE LOS SIGNOS VITALES
Definición: Recogida y análisis de datos sobre el estado cardiovascular,
respiratorio y de temperatura corporal para determinar y prevenir compli-
caciones.
Actividades:
6680.01 Controlar periódicamente presión sanguínea, pulso, temperatura
y estado respiratorio, si procede.
6680.03 Controlar la presión sanguínea mientras el paciente esta acosta-
do, sentado y de pie, si procede.
6680.04 Auscultar las presiones sanguíneas en ambos brazos y compa-
rar, si procede.
6680.05 Controlar la presión sanguínea, pulso, y respiraciones antes,
durante y después de la actividad, si procede.
408
6000
6680.07 Observar y registrar si hay signos y síntomas de hipotermia e
hipertermia.
6680.08 Observar la presencia y calidad de los pulsos.
6680.19 Observar periódicamente el color, la temperatura y la humedad
de la piel.
6680.23 Identificar causas posibles de los cambios en los signos vitales.
6680.24 Comprobar periódicamente la precisión de los instrumentos utili-
zados para la recogida de los datos del paciente.
6680.98 Realizar oscilometría. según protocolo.
6680.99 Realizar la toma de la presión arterial, según protocolo.
6820 CUIDADOS DE BEBES
Definición: Fomento de cuidados adecuados al nivel de desarrollo y cen-
trados en la familia para el bebe de menos de un año de edad.
Actividades:
6820.01 Monitorizar el peso y la altura del bebé.
6820.02 Monitorizar la ingesta y eliminación, si procede.
6820.07 Monitorizar la seguridad del ambiente del bebé.
6820.09 Proporcionar información a los padres acerca del desarrollo y
crianza de niños.
6820.10 Disponer actividades adecuadas al nivel de desarrollo para esti-
mular el desarrollo cognoscitivo.
6820.15 Animar a los padres a que realicen los cuidados diarios del bebe,
si procede.
6820.18 Informar a los padres acerca de los progresos del bebé.
6820.22 Explicar a los padres que la regresión es normal en momentos
de estrés, como enfermedad u hospitalización.
6820.26 Disponer un ambiente tranquilo, sin interrupciones, durante los
períodos de sueño y por la noche, si procede.
6870 SUPRESIÓN DE LA LACTANCIA
Definición: Facilitar el cese de producción de leche y minimizar la con-
gestión de los pechos después de dar a luz.
409
6000
Actividades:
6870.01 Administrar por prescripción médica el fármaco para el cese de
la lactación, si corresponde.
6870.04 Aplicar paquetes de hielo a la zona axilar de los pechos durante
20 minutos, cuatro veces al día y en casa, si es necesario.
6870.07 Animar a la paciente a que lleve sujetador de soporte, de buena
sujeción, hasta que se suprima la lactancia.
6870.08 Aplicar vendajes compresivos en los pechos, si procede.
6870.98 Aconsejar a la paciente la sustitución alterna de las tomas entre
lactancia materna y lactancia artificial, incrementando progresivamente
las tomas con biberón.
6870.99 Aconsejar espaciar las tomas de forma progresiva sustituyendo
las tetadas por el biberón.
6900 SUCCIÓN NO NUTRITIVA
Definición: Disponer oportunidades de succión al bebé.
Actividades:
6900.05 Colocar el dedo pulgar y el índice en la mandíbula del bebé para
apoyar el reflejo de succión, si fuera necesario.
6900.06 Mover la lengua del bebé rítmicamente con el chupete, si fuera
necesario, para fomentar la succión.
6900.07 Acariciar suavemente la mejilla del bebé para estimular el reflejo
de succión.
6900.13 Informar a los padres de la importancia de satisfacer las necesi-
dades de succión.
6900.14 Animar a la madre que dé el pecho a permitir la succión no nutri-
tiva del pecho después de finalizar la toma.
6900.99 Evitar el uso del chupete en caso de lactancia materna.
7040 APOYO AL CUIDADOR PRINCIPAL
Definición: Suministro de la necesaria información, recomendación y
apoyo para facilitar los cuidados primarios al paciente por parte de una
persona distinta del profesional de cuidados sanitarios.
410
6000
Actividades:
7040.01 Determinar el nivel de conocimientos del cuidador.
7040.02 Determinar la aceptación del cuidador de su papel.
7040.03 Aceptar las expresiones de emoción negativa.
7040.04 Estudiar junto al cuidador los puntos fuertes y débiles.
7040.05 Reconocer la dependencia que tiene el paciente del cuidador, si
procede.
7040.11 Proporcionar ayuda sanitaria de seguimiento al cuidador median-
te llamadas de teléfono y /o cuidados de enfermería comunitarios.
7040.12 Observar si hay indicios de estrés.
7040.13 Enseñar al cuidador técnicas de manejo del estrés.
7040.16 Animar al cuidador a participar en grupos de apoyo.
7040.17 Enseñar al cuidador estrategias de mantenimiento de cuidados
sanitarios para sostener la propia salud física y mental.
7040.20 Enseñar al cuidador estrategias para acceder y sacar el máximo
provecho de los recursos de cuidados sanitarios y comunitarios.
7040.23 Realizar afirmaciones positivas sobre los esfuerzos del cuidador.
7050 FOMENTO DEL DESARROLLO: NIÑOS
Definición: Facilitar o enseñar a los padres / cuidadores a conseguir un
crecimiento lingüístico, cognitivo, social, emocional y motor total de los
niños en edad preescolar y escolar.
Actividades:
7050.01 Desarrollar una relación de confianza con el niño.
7050.11 Asegurarse de que el lenguaje corporal concuerda con la comu-
nicación oral.
7050.14 Ayudar al niño a compartir y establecer turnos.
7050.16 Abrazar o mecer y consolar al niño, especialmente cuando esté
angustiado.
7050.19 Enseñar al niño a solicitar ayuda de los demás, cuando sea nece-
sario.
411
7000
7050.21 Ofrecer juguetes o materiales apropiados a la edad.
7050.22 Ayudar al niño a que aprenda habilidades de autoayuda (alimen-
tarse, arreglarse, cepillarse los dientes, lavarse las manos y vestirse).
7050.26 Enseñar al niño a que obedezca instrucciones.
7050.28 Ser coherente y estructurado con las estrategias de manejo /
modificación de la conducta.
7050.31 Proporcionar oportunidades y materiales para construir, dibujar,
modelar con arcilla, pintar y colorear.
7050.33 Proporcionar la oportunidad de armar puzzles y laberintos.
7050.37 Contar o leer cuentos al niño.
7050.38 Trabajar en el orden y secuencia de las letras, números y objetos.
7050.41 Proporcionar oportunidades y animar al ejercicio y actividades
motoras de los músculos mayores.
7050.97 Comprobar el desarrollo psicomotor: Test Denver
7050.98 No abusar de tiempo de televisión y seleccionar losa programas
que se van a ver.
7050.99 Tomar la presión arterial a los 6 años
7052 FOMENTO DEL DESARROLLO: ADOLESCENTES
Definición: Facilitar el crecimiento físico, cognitivo, social y emocional ópti-
mo de los individuos durante la transición de la infancia a la edad adulta.
Actividades:
7052.97 Monitorización de peso, estatura y presión arterial.
7052.02 Animar al adolescente para que se implique activamente en las
decisiones respecto a su propio cuidado de la salud.
7052.09 Fomentar una dieta saludable.
7052.07 Fomentar la higiene personal.
1720.01 Explicar la necesidad del cuidado dental diario como rutina
1720.04 Fomentar las revisiones dentales regulares.
7052.08 Favorecer la participación en ejercicios seguros sobre una base
regular.
412
7000
7052.98 Fomentar la lectura.
7052.99 No abusar de ver la televisión y videojuegos.
7052.16 Promover las habilidades comunicativas.
7052.17 Fomentar las habilidades de asertividad
7052.19 Promover las respuestas no violentas para la resolución de con-
flictos.
5624.07 Apoyar el papel de los padres como principales educadores
sexuales de sus hijos.
7052.10 Facilitar el desarrollo de la identidad sexual.
7052.11 Favorecer la conducta sexual responsable.
5624.17 Educar a los niños y adolescentes en las consecuencias negati-
vas del embarazo precoz (pobreza y perdida de la educación y de opor-
tunidades de hacer carrera).
5624.18 Enseñar a los niños y adolescentes las enfermedades de trans-
misión sexual y el SIDA.
5624.21 Informar a los niños y adolescentes acerca de medios anticon-
ceptivos eficaces.
7052.21 Promover el desarrollo y el mantenimiento de las relaciones
sociales.
7052.22 Favorecer la participación en las actividades escolares, extraes-
colares y de la comunidad.
7052.13 Fomentar la evitación del alcohol, el tabaco y las drogas.
4490.02 Ayudar al fumador de forma clara y consistente dejar de
fumar.
7052.14 Impulsar la seguridad en la conducción.
7052.05 Proporcionar inmunización adecuada.
7052.24 Remitir a servicios de asesoramiento, según sea necesario.
7052.01 Crear una relación de confianza con el adolescente y sus tuto-
res.
7100 ESTIMULACIÓN DE LA INTEGRIDAD FAMILIAR
Definición: Favorecer la cohesión y unidad familiar.
413
7000
Actividades:
7100.01 Escuchar a los miembros de la familia.
7100.02 Establecer una relación de confianza con los miembros de la
familia.
7100.03 Determinar la compresión familiar sobre las causas de la enfer-
medad.
7100.05 Ayudar a la familia a resolver los sentimientos de culpa.
7100.07 Comprobar las relaciones familiares actuales.
7100.08 Identificar los mecanismos típicos de la familia para enfrentarse
a situaciones problemáticas.
7100.09 Identificar las prioridades opuestas entre los miembros de la
familia.
7100.10 Ayudar a la familia en la resolución de conflictos.
7100.17 Colaborar con la familia en la solución de problemas.
7100.22 Remitir a la familia a grupos de apoyo de otras familias que expe-
rimenten problemas similares.
7110 FOMENTO DE LA IMPLICACIÓN FAMILIAR
Definición: Facilitar la participación de la familia en el cuidado emocional
y físico del paciente.
Actividades:
7110.01 Identificar la capacidad de los miembros de la familia para impli-
carse en el cuidado del paciente.
7110.02 Apreciar los recursos, físicos, emocionales y educativos del cui-
dador principal.
7110.03 Identificar los déficit de cuidados propios del paciente.
7110.09 Facilitar la comprensión por parte de la familia de los aspectos
médicos de la enfermedad.
7110.12 Apreciar otros factores de estrés sobre la situación para la familia.
7110.13 Reconocer los síntomas físicos de estrés de los miembros de la
familia (llanto, náuseas, vómitos y estado de distracción).
7110.18 Ayudar al cuidador principal a conseguir el material para propor-
cionar los cuidados necesarios.
414
7000
7110.19 Reconocer la necesidad del cuidador principal de ser relevado de
las responsabilidades de cuidados continuos.
7110.20 Apoyar al cuidador principal en el aprovechamiento de oportuni-
dades de servicios de relevo.
7110.22 Animar a la familia a que se centre en cualquier aspecto positivo
de la situación del paciente.
7110.23 Informar a los miembros de la familia de los factores que pueden
mejorar el estado del paciente.
7110.24 Comentar las opciones existentes según el tipo de cuidados
necesarios en casa, como vida en p grupo o , cuidados de residencia y
cuidados intermitentes, si procede.
7120 MOVILIZACIÓN FAMILIAR
Definición: Utilización de la fuerza familiar para influenciar sobre la salud
del paciente de una manera positiva
Actividades:
7120.02 Establecer una relación de confianza con los miembros de la
familia.
7120.03 Ver a los miembros de la familia como posibles expertos en el
cuidado del paciente.
7120.04 Identificar las capacidades y los recursos dentro de la familia, en
los miembros de la familia y en su sistemade apoyo y la comunidad.
7120.05 Determinar la disposición y capacidad de los miembros de la
familia para aprender.
7120.07 Compartir la toma de decisiones con los miembros de la familia
relacionadas con el plan de cuidados del paciente.
7120.08 Enseñar a los cuidadores en domicilio la terapia del paciente,
según proceda.
7120.10 Colaborar con los miembros de la familia en la planificación y
desarrollo de terapias o en los cambios en el estilo de vida del paciente.
7140 APOYO A LA FAMILIA
Definición: Estimulación de los valores, intereses y objetivos familiares
415
7000
Actividades:
7140.01 Asegurar a la familia que al paciente se le brindan los mejores
cuidados posibles.
7140.02 Valorar la reacción emocional de la familia frente a la enfermedad
del paciente.
7140.04 Ofrecer una esperanza realista.
7140.05 Escuchar las inquietudes, sentimientos y preguntas de la familia.
7140.07 Favorecer una relación de confianza con la familia.
7140.08 Aceptar los valores familiares sin emitir juicios.
7140.14 Reducir las discrepancias entre las expectativas del paciente, de
la familia y de los profesionales de cuidados.
7140.20 Enseñar a la familia los planes médicos y de cuidados.
7140.24 Animar la toma de decisiones familiares en la planificación de los
cuidados del paciente a largo plazo que afecten a la estructura y a la eco-
nomía familiar.
7140.26 Ayudar a la familia a adquirir el conocimiento, técnica y equipo
necesarios para apoyar su decisión acerca de los cuidados del paciente.
7140.36 Ayudar a los miembros de la familia durante los procesos de
muerte
7150 TERAPIA FAMILIAR
Definición: Ayudar a los miembros de la familia a conseguir un modo de
vida más positivo para vivir mejor.
Actividades:
7150.02 Determinar los roles habituales del paciente dentro del sistema
familiar.
7150.04 Determinar los conflictos y ver si los miembros de la familia quie-
ren resolverlos.
7150.05 Utilizar la realización del historial familiar para fomentar el deba-
te familiar.
7150.12 Solicitar a los miembros de la familia su participación en la pues-
ta en práctica de actividades de experiencia hogareña, como hacer algu-
na de las comidas juntos.
416
7000
7150.13 Facilitar el debate familiar a medida que los miembros den prio-
ridad a los datos y seleccionen la cuestión familiar más inmediata que ha
de tratarse.
7150.14 Ayudar a los miembros de la familia a clarificar qué necesitan y
esperan unos de otros.
7150.16 Permitir a los miembros de la familia reconocer y recompensar
aspectos positivos.
7150.17 Disponer retos dentro del debate familiar para romper o ampliar
contextos y para estimular la aparición de nuevas posibilidades.
7150.20 Ayudar a los miembros de la familia a cambiar, mediante el cam-
bio de sí mismos, en su relación con otros miembros de la familia.
7180 ASISTENCIA EN EL MANTENIMIENTO DEL HOGAR
Definición: Ayudar al paciente o familia a mentener el hogar como un sitio
limpio, seguro y placentero.
Actividades:
7180.01 Determinar las necesidades de mantenimiento en casa del
paciente.
7180.02 Implicar al paciente/familiar en la decisión de las necesidades de
mantenimiento de la casa.
7180.03 Aconsejar las alteraciones estructurales necesarias para que el
hogar sea accesible.
7180.04 Proporcionar información sobre la manera de convertir el hogar
en un sitio seguro y limpio.
7180.05 Ayudar a los miembros de la familia a desarrollar expectativas
realistas de ellos mismos en la realización de sus papeles.
7180.12 Solicitar servicios asistenta/e, si procede.
7180.13 Ayudar a la familia a utilizar la red de apoyo social
7180.14 Proporcionar información sobre cuidados intermitentes, si es
necesario.
7200 FOMENTO DE LA NORMALIZACIÓN FAMILIAR
Definición: Ayudar a los padres y demás miembros de la familia con
417
7000
niños con enfermedad crónica o discapacidades a tener experiencias vita-
les normales para sus niños y familias.
Actividades:
7200.01 Fomentar el desarrollo de la integración del niño en el sistema
familiar sin que el niño se convierta en el centro de la familia.
7200.04 Fomentar la interacción con otros niños normales.
7200.11 Comunicar la información acerca del estado del niño a aquellos
que la precisan para realizar una supervisión de seguridad u oportunida-
des educativas adecuadas al niño.
7200.13 Ayudar a la familia a solicitar un sistema escolar que asegure el
acceso a programas educativos adecuados.
7200.19 Establecer los recurso de cuidados intermitentes comunitarios.
7200.20 Animar a los padres a que dispongan de tiempo para el cuidado
de su necesidades personales.
7200.21 Proporcionar información a la familia acerca del estado del niño,
tratamiento y grupos de apoyo asociados para la familia.
7260 CUIDADOS INTERMITENTES
Definición: Provisión de cuidados de corta duración para proporcionar
descanso a un cuidador familiar.
Actividades:
7260.02 Controlar la capacidad de resistencia del cuidador.
7260.04 Coordinar el voluntariado para los servicios en casa, so procede.
7260.06 Seguir la rutina habitual de cuidados.
7260.07 Proporcionar cuidados, como ejercicios, deambulacion e higiene,
si se requiere.
7260.08 Conseguir los números de teléfonos de urgencias.
7280 APOYO DE HERMANOS
Definición : Ayudar al hermano del paciente con una enfermedad /esta-
do crónico/discapacidad a enfrentarse a ello.
418
7000
Actividades:
7280.01 Explorar los conocimientos del hermano acerca de la enferme-
dad del paciente.
7280.02 Estimar el estrés del hermano relacionado con el estado de la
enfermedad del paciente
7280.03 Estimar la capacidad de hacer frente a la enfermedad / discapa-
cidad del paciente.
7280.05 Proporcionar información acerca de las respuestas del hermano
y de lo que los demás miembros de la familia pueden hacer para ayudar.
7280.08 Animar a los padres u otros miembros de la familia a proporcio-
nar información sincera la hermano.
7280.11 Fomentar la comunicación entre el hermano y enfermo.
7280.14 Animar al hermano a visitar al hermano o hermana enferma.
7280.26 Enseñar la patología de la enfermedad al hermano, según la
etapa de desarrollo y el estilo de aprendizaje.
7320 GESTIÓN DE CASOS
Definición: Coordinar la asistencia y defensa de individuos concretos y
poblaciones de pacientes respecto al marco de actuaciones en programa
para reducir costes, disminuir el uso de recursos, mejorar la calidad de la
asistencia sanitaria y conseguir los resultados deseados.
Actividades
7320.1 Identificar los individuos o las poblaciones de pacientes que se
beneficiarían de la gestión de casos.
7320.3 Explicar el papel del gestor del caso al paciente y a la familia.
7320.5 Obtener el permiso del paciente o de la familia para incluirle en
un programa de gestión del caso.
7320.6 Desarrollar relaciones con el paciente, la familia y otros provee-
dores de asistencia sanitaria.
7320.9 Procurar la confidencialidad y la intimidad del paciente y de la
familia.
7320.10 Valorar el estado físico y mental, la capacidad funcional, los sis-
419
7000
temas formales e informales de apoyo, los recursos financieros y las con-
diciones del entorno del paciente, según sea necesario.
7320.11 Determinar el plan del tratamiento con los recursos del paciente
y/o de la familia.
7320.12 Explicar las trayectorias clínicas al paciente y a la familia.
7320.13 Individualizar las trayectorias clínicas para el paciente.
7320.14 Determinar los resultados que deben obtenerse con los recursos
del paciente y /o de la familia.
7320.15 Debatir el plan de asistencia y los resultados deseados con el
médico del paciente.
7320.16 Negociar el esquema de trabajo con la supervisora o con la coor-
dinadora de enfermería para asistir semanalmente a las sesiones prácti-
cas de grupo, según sea necesario.
7320.18 Evaluar de forma continuada el progreso hacia los objetivos fija-
dos.
7320.19 Revisar las intervenciones y los objetivos, según sea necesario,
para satisfacer las necesidades del paciente.
7320.20 Identificar los recursos y/o los servicios necesarios.
7320.21 Coordinar la disposición de los recursos y de los servicios preci-
sos.
7320.22 Coordinar la asistencia con otros proveedores de atención sani-
taria que puedan resultar oportunos.
7320.23 Proporcionar asistencia directa según necesidades.
7320.24 Enseñar al paciente y /o a la familia la importancia del autocuida-
do.
7320.25 Fomentar actividades de toma de decisiones adecuadas en el
paciente y/o la familia.
7320.26 Documentar todas las actividades de gestión del caso.
7320.27 Controlar la calidad, la cantidad, las oportunidades y la efectivi-
dad de los servicios del programa.
7320.28 Facilitar el acceso a servicios sanitarios y sociales necesarios.
7320.29 Ayudar al paciente o la familia a acceder a los sistemas de salud
existentes.
420
7000
7320.31 Notificar al paciente y /o a la familia cualquier cambio en el ser-
vicio, la finalización del servicio y la eliminación del programa de gestión
del caso.
7320.32 Promover la utilización eficaz de los recursos.
7320.33 Controlar la eficacia del coste de la asistencia.
7320.34 Modificar la asistencia para aumentar la eficacia del coste, según
sea necesario.
7320.35 Establecer programas de mejora de la calidad para evaluar las
actividades de gestión del caso.
7320.36 Documentar la eficacia del coste del control del caso.
7330 INTERMEDIACIÓN CULTURAL
Definición: Utilizar a propósito estrategias culturalmente adecuadas para
establece un puente o mediar entre la cultura del paciente y el sistema
sanitario biomédico.
Actividades:
7330.01 Determinar la naturaleza de las diferencias conceptuales que tie-
nen el paciente el profesional de enfermería sobre los problemas de
salud o plan de tratamiento.
7330.03 Identificar con el paciente, las prácticas culturales que pueden
afectar negativamente a la salud, de manera que el paciente pueda elegir
de manera informada.
7330.05 Conseguir, cuando no se puedan resolver los conflictos, un com-
promiso de tratamiento aceptable e función del conocimiento biomédico,
del conocimiento del punto de vista del paciente y de las normas éticas.
7330.10 Incluir a la familia, cuando corresponda, en el plan para su adhe-
sión al régimen prescrito.
7330.14 Proporcionar información al paciente sobre el sistema de cuida-
dos sanitarios.
7340 PLANIFICACIÓN DEL ALTA
Definición: Preparación para trasladar al paciente desde un nivel de cui-
dados a otro dentro o fuera del centro de cuidados actual.
421
7000
Actividades
7370.1 Ayudar al paciente, familiar o ser querido a preparar el alta
7370.2 Colaborar con el médico, paciente/familiar/ser querido y demás
miembros del equipo sanitario en la planificación de la continuidad de los
cuidados.
7370.3 Coordinar los esfuerzos de distintos profesionales sanitarios
para asegurar un alta oportuna.
7370.4 Identificar la comprensión de los conocimientos o habilidades
necesarios por parte del paciente y del cuidador principal para poner en
práctica después del alta.
7370.5 Identificar lo que debe aprender el paciente para los cuidados
posteriores al alta.
7370.6 Observar si todo está listo para el alta.
7370.7 Comunicar al paciente los planes de alta, si procede.
7370.8 Registrar los pIanes de alta.
7370.9 Formular un plan de mantenimiento para el seguimiento poste-
rior al alta.
7370.10 Ayudar al paciente/familiar/ser querido en la planificación de los
ambientes de apoyo necesarios para proveer los cuidados fuera del hospital.
7370.11 Desarrollar un plan que considere las necesidades de cuidado,
sociales y económicas, del paciente.
7370.12 Disponer la evaluación posterior al alta, cuando sea posible.
7370.13 Fomentar los cuidados de sí mismo, si procede.
7370.14 Establecer el alta al siguiente nivel de cuidados.
7370.15 Buscar el apoyo de un cuidador, si procede.
7370.16 Discutir los recursos económicos y, si fuera necesario, disponer
de cuidados después del alta.
7370.17 Coordinar las derivaciones relevantes para la vinculación entre
los cuidadores.
7400 GUÍAS DEL SISTEMA SANITARIO
Definición: Facilitar al paciente la localización y la utilización adecuada
de los servicios sanitarios
422
7000
Actividades:
7400.01 Explicar el sistema de cuidados sanitarios inmediato, su funcio-
namiento y lo que puede esperar el paciente / familia.
7400.02 Instruir al paciente sobre el tipo de servicio que se puede espe-
rar de cada clase de cuidador sanitario.
7400.05 Informar sobre los recursos comunitarios adecuados y las perso-
nas de contacto
7400.08 Proporcionar al paciente un copia de la carta de derechos del
paciente.
7400.10 Determinar y facilitar la comunicación entre los proveedores de
cuidados y el paciente, familia, si procede.
7400.17 Disponer un sistema de seguimiento con el paciente, si procede.
7400.19 Animar al paciente / familia a que haga preguntas sobre los ser-
vicios y costes.
7400.21 Ayudar a los pacientes a rellenar los formularios de asistencia,
tales como alojamiento y ayuda económica, si lo precisan.
7400.22 Revisar y reforzar la información proporcionada por otros profe-
sionales de asistencia sanitaria.
7440 FACILITACIÓN DE PERMISOS
Definición: Organizar una salida de la institución sanitaria para un
paciente.
Actividades:
7440.03 Proporcionar información acerca de las restricciones y duración
del permiso.
7440.04 Proporcionar la información necesaria para el uso de permisos
en caso de emergencias.
7440.05 Establecer la persona responsable del paciente, si procede.
7440.06 Discutir el permiso con la persona responsable describiendo los
cuidados/autocuidados, si es necesario.
7440.07 Preparar la medicación que debe llevarse con el permiso y avi-
sar a la persona responsable.
7440.08 Proporcionar los dispositivos/equipos de asistencia, sise precisan.
423
7000
7440.13 Explicar a la persona correspondiente que será necesario dispo-
ner de información acerca de la medicación, comidas e ingesta de alco-
hol mientras esté de permiso.
7440.14 Evaluar al regreso si se han cumplido los objetivos del permiso.
7460 PROTECCIÓN DE LOS DERECHOS DEL PACIENTE
Definición: Protección de los derechos a cuidados sanitarios de un
paciente incapaz de tomar decisiones, especialmente si el paciente es
menor, está incapacitado o es incompetente.
Actividades:
7460.01 Proporcionar al paciente la “Carta de derechos del paciente”.
7460.03 Proteger la intimidad del paciente durante las actividades de
higiene, eliminación y aseo personal.
7460.04 Determinar si los deseos del paciente acerca de los cuidados son
conocidos.
7460.06 Trabajar con el médico y la administración hospitalaria para cum-
plir con los deseos del paciente y de la familia.
7460.07 Abstenerse de forzar el tratamiento.
7460.08 Tomar nota de la preferencia religiosa.
7460.09 Conocer la situación legal de las últimas voluntades en vida.
7460.10 Cumplir con los deseos del paciente expresados en un testamen-
to en vida o en un poder en vigor de un abogado referente a los cuidados
sanitarios, si procede.
7460.11 Cumplir con las órdenes de «no resucitar».
7460.12 Ayudar a la persona agonizante con los asuntos sin acabar.
7560 FACILITAR LAS VISITAS
Definición: Estimulación beneficiosa de las visitas por parte de la familia
y amigos.
Actividades:
7560.01 Determinar las preferencias del paciente en cuanto a visitas e
informar de ellas.
424
7000
7560.03 Determinar la necesidad de la limitación de las visitas, como, por
ejemplo, demasiados visitantes, que el paciente está impaciente o cansa-
do o su estado físico no lo permite.
7560.04 Determinar la necesidad de favorecer las visitas de familiares y
amigos.
7560.11 Establecer las responsabilidades y actividades de la familia/seres
queridos para ayudar al paciente como, por ejemplo, alimentar al pacien-
te.
7560.32 Responder a las preguntas y dar explicaciones de los cuidados
en términos que los visitantes puedan entender.
7680 AYUDA EN LA EXPLORACIÓN
Definición: Proporcionar ayuda al paciente y al cuidador durante un pro-
cedimiento o examen.
Actividades:
7680.01 Asegurarse de que se ha obtenido el consentimiento si proce-
de.
7680.02 Explicar el motivo del procedimiento.
7680.04 Utilizar un lenguaje adecuado al explicar los procedimientos a los
niños.
7680.06 Reunir el equipo correspondiente.
7680.08 Crear un ambiente de intimidad.
7680.09 Dejar permanecer junto al paciente la padre / ser querido, si pro-
cede.
7680.10 Colocar en la posición adecuada y tapar al paciente, si es el
caso.
7680.14 Explicar al paciente cada paso del procedimiento.
7680.16 Proporcionar apoyo emocional al paciente, si está indicado.
7680.19 Reforzar la conducta esperada durante el examen de un niño.
7680.20 Facilita la utilización del equipo, si procede.
7680.25 Instruir al paciente sobre los cuidados posteriores al procedi-
miento.
425
7000
7960 INTERCAMBIO DE INFORMACIÓN DE CUIDADOS DE SALUD
Definición: proporcionar información a otros profesionales de salud
Actividades:
7960.01 Identificar al cuidador con el que se intercambia la información y
el lugar donde se encuentra.
7960.03 Describir el historial de salud pertinente.
7960.05 Determinar los diagnósticos médico y de cuidados resueltos, si
procede.
7960.06 Describir el plan de cuidados, incluyendo la dieta, las medicacio-
nes y el ejercicio.
7960.07 Describir las intervenciones de Enfermería llevadas a cabo.
7960.08 Identificar el equipo y el material necesario para los cuidados.
7960.09 Resumir los progresos del paciente en las metas fijadas.
7960.11 Fijar la cita de retorno para el seguimiento de los cuidados.
7960.12 Describir el papel de la familia en la continuación de los cuida-
dos.
7960.16 Coordinar los cuidados con otros profesionales de la salud.
7960.19 Compartir la información de otros profesionales de la salud con
el paciente y la familia, si procede.
8100 DERIVACIÓN
Definición: Disponer los arreglos para el suministro de servicios por parte
de otros cuidadores o institución.
Actividades:
8100.04 Establecer los cuidados necesarios.
8100.05 Determinar si se dispone de cuidados de apoyo en el
hogar/comunidad.
8100.12 Ponerse en contacto con el centro/cuidador correspondiente.
8100.13 Cumplimentar el informe de derivación correspondiente.
8100.15 Comentar el plan de cuidados del paciente con el siguiente pro-
veedor de cuidados.
426
8000
8190 SEGUIMIENTO TELEFÓNICO
Definición: Dar los resultados de una prueba o evaluar la respuesta del
paciente y determinar posibles problemas por teléfono.
Actividades:
8190.01 Determinar que realmente se está hablando con el paciente, si
hay alguien más, que tiene permiso para darle la información.
8190.02 Identificarse con nombre, credenciales, organización; hacer
saber al oyente que se está grabando la conversación (mediante receptor
de calidad).
8190.04 Notificar al paciente los resultados de las pruebas , según esté
indicado (resultados positivos con implicaciones importantes para la
salud, como por ejemplo, resultados de biopsias, no debería darlos la
enfermera por teléfono)
8190.06 Ayudar con cambios de prescripciones, de acuerdo con las nor-
mas establecidas.
8190.07 Hacer preguntas.
8190.08 Proporcionar información acerca de los recursos de la comuni-
dad, programas educativos, grupos de apoyo y de autoayuda, según esté
indicado.
8190.09 Establecer un fecha y una hora para el seguimiento o una cita.
8190.10 Proporcionar información acerca del régimen de tratamiento y
de las responsabilidades resultantes de los autocuidados, según sea
necesario de acuerdo con la aplicación práctica y las normas estableci-
das.
8190.11 Mantener la confidencialidad.
8190.14 Determinar cómo puede localizarse al paciente o a algún
miembro de la familia para devolver la llamada programada según con-
venga.
8190.99 Proporcionar información a las preguntas requeridas.
8300 FOMENTO DE LA PATERNIDAD EN FAMILIAS DE ALTO RIESGO
Definición: Proporcionar información sobre la paternidad, apoyo y coor-
dinación de servicios globales en familias de alto riesgo.
427
8000
Actividades:
8300.04 Realizar visitas a domicilio, según esté indicado por el nivel de
riesgo.
8300.05 ayudar a los padres a tener esperanzas realistas adecuadas al
nivel de desarrollo y de las capacidades del niño.
8300.07 Debatir las estrategias de control de conducta adecuadas a cada
edad.
8300.09 Enseñar a los padres a responder a las conductas mostradas por
el niño.
8300.12 Escuchar los problemas y las preocupaciones de los padres sin
juzgarlos.
8300.18 Controlar el estado de salud el niño, si los reconocimientos son
correctos y el estado de inmunizaciones es el adecuado.
8300.21 Remitir a los recursos de la comunidad , si procede.
8300.24 Informar a los padres sobre dónde encontrar servicios de planifi-
cación familiar.
8300.26 Ayudar a organizar el cuidado diario, según sea necesario.
8300.28 Remitir a un centro de atención de la violencia doméstica, según
sea necesario.
8300.29 Remitir a un centro para el tratamiento de abuso de sustancias,
según sea necesario.
428
8000
BIBLIOGRAFÍA5
Referencias bibliográficas
1. Alfaro R. Aplicación del proceso de enfermería. Guía práctica. Barcelona: Doyma, 1988
2. Busquet Duran L, Naberán Toña K, Hernández Huet E. Protocolos de asma y enferme-
dad pulmonar obstructiva crónica (EPOC) en atención primaria. Barcelona: Ediciones
Doyma, 1994.
3. Bustos Lozano G. Protocolo de actividades preventivas en la infancia y la adolescencia.
Grupo de Expertos de Actividades Preventivas de 0 a 14 años del PAPPS.
4. Carpenito – Moyet LJ. Nursing diagnosis. Application to clinical practice. (11 ed).
Philadelphia: Lippincot Williams & Wilkins, 2006.
5. Carpenito LJ. Diagnósticos de enfermería. Aplicaciones a la práctica clínica. ( 9 ed).
Madrid: McGraw-Hill - Interamericana, 2003.
6. Clements M. Cuidados geriátricos en enfermería. Barcelona: Doyma, 1986
7. Cuesta A, Guirao JA, Benavent A. Diagnóstico de Enfermería. Adaptación al contexto
español. Diaz de Santos. Madrid. 1994.
8. Del Pino Casado R, Cantón Ponce D, Alarcón Juárez A, Fuentes Martínez A, Navas
Anguis V, Rincón Montilla MC, Ruiz Cejudo R. Poder de explicación del diagnóstico
enfermero en la actividad desarrollada en consulta de enfermería de pacientes crónicos
en atención primaria. Enfermería Clínica. 2001; 11:3-8
9. Ferrer Ferrandis E. Taxonomía NIC: implicaciones en el proceso de cuidados. El Correo
AENTDE. 2003;6(1):10-11
10. Dirección de Enfermería Área 9. Atención Primaria [Internet]. Fines de enfermería y
marco conceptual. Madrid: INSALUD. [Consultado 15 enero 2002]. Disponible en
http://www.hso.es/primaria/enfermeria/pdf/Anexo1.pdf.
11. GedapS. Guía para el tratamiento de la Diabetes tipo 2 en atención primaria. 3ª ed.
Madrid: Harcourt; 2000.
12. Gordon M. Diagnóstico enfermero. Proceso y aplicación. 3ª Ed. Madrid: Mosby; 1996.
13. Sociedad Española de Medicina Familiar y Comunitaria[Internet]. Guía para ayudar a
promover una Alimentación Saludable. Barcelona: PAPPS – SEMFYC. [Consultado 25
de octubre de 2006].Disponible en http://www.papps.org/publicaciones/g4.htm .
14. Guirao-Goris JA, Ruiz A, Alonso A, Cardona JV, Costa E, Dasí MJ, Soler J, Perpiñá MA.
Metodología de cuidados en Atención Domiciliaria. Valencia: Generalitat Valenciana.
Conselleria de Sanitat, 2004.
15. Guirao-Goris JA, Camaño, RE, Cuesta A. Diagnóstico de enfermería. Categorías, formu-
lación e investigación. Sevilla: Ediversitas Multimedia; 2001
16. Henderson V. La naturaleza de la Enfermería. Madrid: Interamericana-McGraw-Hill;
1994.
17. Illinworth RD. El niño normal. Problemas de los primeros años y su tratamiento. México:
Churchill- Livingston; 1993
18. Iyer PW, Taptich BJ, Bernocchi-Losey D. Proceso y diagnóstico de enfermería. México:
McGraw-Hill Interamericana; 1995
431
19. Loveman E, Royle P, Waugh N. Specialist nurses in diabetes mellitus (Cochrane
Review). En: The Cochrane Library, Issue 2 2003. Oxford: Update Software.
20. Luis MT. Los diagnósticos enfermeros. Revisión crítica y guía práctica. 2ª ed. Barcelona
:Masson; 2002.
21. Figuera M, Wichman V. Hipertensión arterial en atención primaria Grupo de trabajo en
Hipertensión Arterial. Barcelona: Societat Catalana de Medicina Familiar i Comunitària;
2001.
22. Manual de Examenes de Salud escolar. Valencia: Conselleria de Sanitat i Consum; 2002.
23. Manual del niño sano. Valencia: Conselleria de Sanitat i Consum; 1998.
24. Marriner A, Raile Alligood M. Modelos y teorías de enfermería. 4. ed. Barcelona: Harcourt
Brace; 1999.
25. McCloskey JC, Bulechek GM. Clasificación de Intervenciones de Enfermería (CIE).
Nursing Interventions Classification (NIC) 3ª ed. Madrid: Harcourt; 2001.
26. McCloskey JC, Bulechek GM. Clasificación de Intervenciones de Enfermería (NIC). 4ª
ed. Madrid: Elsevier; 2004.
27. Monografías de Educación para la salud en la escuela. Valencia: Conselleria de Sanitat
i Consum;1999.
28. Moorhead S, Johnson M, Maas M. Clasificación de resultados de enfermería (NOC)3ª
Ed. Madrid: Elsevie; 2004.
29. NANDA Internacional. Diagnósticos enfermeros. Definiciones y clasificación. 2005-
2006.Madrid: Elsevier; 2005.
30. North American Nursing Diagnoses Association. Diagnósticos enfermeros. Definiciones
y clasificación. 2001-2002. Madrid: Harcour; 2001.
31. Orem DE. Modelo de Orem. Conceptos de enfermería en la práctica. Barcelona:
Masson;1993.
32. Pedraza M, Germán Bes C, Luna JD, Arana M, Peralta M,Pedrosa R y col. Autonomía
funcional en ancianos: evaluación de un instrumento de medida. Rev ROL Enferm. 1992
dic. 172:15-19.
33. Pedraza M, Germán Bes C, Luna JD, Arana M, Peralta M,Pedrosa R y col. E.V.A. Escala
de valoración de la autonomía funcional para el autocuidado. Index Enferm. 1992 vera-
no. I(2):35-39.
34. Plan para la Mejora de Atención Domiciliaria de la Comunidad Valenciana 2004-2007.
Valencia: Generalitat Valenciana. Conselleria de Sanitat; 2004
35. Belenguer Tarín MV, Aliaga Abad F. Autonomía funcional y ocupación del tiempo libre en
personas mayores. Rev ROL Enferm. 2000 mar. 23(3):231-234.
36. Renders CM, Valk GD, Griffin S, Wagner EH, Eijk JThM van, Assendelft WJJ.
Interventions to improve the management of diabetes mellitus in primary care, outpatient
and community settings (Cochrane Review). In: The Cochrane Library, Issue 2 2003.
Oxford: Update Software.
37. Córdoba R, Delgado MT, Botaya M, Barberá C, Lacarta P, Sanz C. Protocolo de tabaco
en atención primaria. FMC 1995; 2 (Supl 3): 6-13
432
38. Rodríguez Alonso JJ, Holgado Catalán S, León Vázquez F, Cabello Suárez-Guanes J.
Protocolo de vendajes funcionales (I). FMC 1998; Supl. 5 y 6:26-35
39. Smith B, Appleton S, Adams R, Southcott A, Ruffin R. Atención domiciliaria por medio de
enfermería a distancia para la enfermedad pulmonar obstructiva crónica (Revisión
Cochrane). In: La Cochrane Library Plus, Número 2, 2002. Oxford: Update Software.
40. Strauch, P. Atención Primaria Cuidados de Enfermería.Barcelona:Doyma; 1986.
41. Ugalde Apalategui,M; Rigol i Cuadra,A. Diagnósticos de Enfermería. Taxonomía NANDA.
1ª ed. Barcelona: Masson; 1995 (reimpresión 1999).
Lecturas recomendadas
Taxonomías
Carpenito LJ. Diagnósticos de enfermería. Aplicaciones a la práctica clíni-
ca. ( 9 ed). Madrid: McGraw-Hill – Interamericana; 2003.
McCloskey JC, Bulechek GM. Clasificación de Intervenciones de
Enfermería (NIC). 4ª ed. Madrid: Elsevier; 2004.
Moorhead S, Johnson M, Maas M. Clasificación de resultados de enfer-
mería (NOC)3ª Ed. Madrid: Elsevier; 2004.
NANDA Internacional. Diagnósticos enfermeros. Definiciones y clasifica-
ción. 2005-2006.Madrid: Elsevier; 2005.
Metodología de cuidados
Gordon M. Diagnóstico enfermero. Proceso y aplicación. 3ª Ed. Mosby,
Madrid, 1996.
Iyer PW, Taptich BJ, Bernocchi-Losey D. Proceso y diagnóstico de enfer-
mería. Mexico: McGraw-Hill Interamericana. 1995
433
Clasificación NOC – Orden alfabético
1820 Conocimiento: control de la diabetes .........................................230
1802 Conocimiento: dieta ....................................................................224
1808 Conocimiento: medicación..........................................................228
1803 Conocimiento: proceso de la enfermedad..................................225
1806 Conocimiento: recursos sanitarios..............................................227
1813 Conocimiento: régimen terapéutico ............................................229
0204 Consecuencias de la inmovilidad: fisiológicas............................182
0205 Consecuencias de la inmovilidad: psicocognitivas.....................183
0500 Continencia intestinal..................................................................192
0502 Continencia urinaria....................................................................194
1612 Control de peso ..........................................................................222
1605 Control del dolor .........................................................................221
1902 Control del riesgo........................................................................232
1915 Control del riesgo: deterioro auditivo..........................................236
1916 Control del riesgo: deterioro visual .............................................236
1914 Control del riesgo: salud cardiovascular.....................................235
1608 Control del síntoma.....................................................................221
1700 Creencias sobre la salud ............................................................223
1102 Curación de herida: por primera intención .................................205
1103 Curación de herida: por segunda intención................................206
0003 Descanso ....................................................................................177
1206 Deseo de vivir .............................................................................210
2101 Dolor: efectos nocivos ................................................................242
1306 Dolor: respuesta psicológica adversa.........................................213
1501 Ejecución del rol .........................................................................217
0501 Eliminación intestinal ..................................................................193
0113 Envejecimiento físico ..................................................................179
0202 Equilibrio .....................................................................................181
1204 Equilibrio emocional....................................................................209
1201 Esperanza...................................................................................207
1012 Estado de deglución: fase oral ...................................................202
2606 Estado de salud de la familia......................................................257
1004 Estado nutricional .......................................................................200
435
1008 Estado nutricional: ingestión alimentaria y de líquidos...............201
1009 Estado nutricional: ingestión de nutrientes.................................201
0403 Estado respiratorio: ventilación...................................................190
2209 Factores estresantes del cuidador familiar.................................247
2004 Forma física ................................................................................239
2401 Función sensitiva: auditiva..........................................................251
2400 Función sensitiva: cutánea .........................................................250
2404 Función sensitiva: visión.............................................................252
2602 Funcionamiento de la familia......................................................255
0602 Hidratación..................................................................................195
1100 Higiene bucal ..............................................................................203
1200 Imagen corporal..........................................................................207
1503 Implicación social........................................................................218
1101 Integridad tisular: piel y membranas mucosas ...........................204
0908 Memoria ......................................................................................200
1305 Modificación psicosocial: cambio de vida...................................212
0208 Movilidad.....................................................................................183
2007 Muerte confortable......................................................................240
1307 Muerte digna...............................................................................214
0313 Nivel de autocuidado ..................................................................189
2100 Nivel de comodidad ....................................................................241
2102 Nivel de dolor..............................................................................243
2300 Nivel de glucemia .......................................................................249
2605 Participación de la familia en la asistencia sanitaria profesional256
1604 Participación en actividades de ocio ..........................................220
0405 Perfusión tisular: cardiaca ..........................................................191
0407 Perfusión tisular: periférica .........................................................192
2210 Posible resistencia al cuidado familiar........................................248
0203 Posición corporal autoiniciada ....................................................181
2202 Preparación del cuidador familiar domiciliario ............................244
1918 Prevención de la aspiración........................................................237
0700 Reacción transfusional sanguínea..............................................196
2204 Relación entre cuidador familiar y paciente................................245
2205 Rendimiento del cuidador familiar: cuidados directos ...............246
436
0001 Resistencia ................................................................................177
1304 Resolución de la aflicción ...........................................................212
2506 Salud emocional del cuidador familiar........................................253
2001 Salud espiritual ...........................................................................238
2507 Salud física del cuidador familiar ...............................................253
1913 Severidad de la lesión física......................................................235
1203 Severidad de la soledad .............................................................208
1504 Soporte social .............................................................................218
0004 Sueño .........................................................................................178
0800 Termorregulación ........................................................................198
0005 Tolerancia a la actividad ............................................................178
0906 Toma de decisiones ....................................................................199
437
438
Clasificación NIC – Orden alfabético
4420 Acuerdo con el paciente .............................................................346
1320 Acupresión ..................................................................................290
2300 Administración de medicación ....................................................310
2311 Administración de medicación: inhalación..................................311
2312 Administración de medicación: intradérmica (IC) .......................312
2313 Administración de medicación: intramuscular (IM).....................313
2308 Administración de medicación: ótica...........................................311
2317 Administración de medicación: subcutánea (SC).......................314
2316 Administración de medicación: tópica ........................................313
1200 Administración de nutrición parenteral total (NPT).....................287
4030 Administración de productos sanguíneos...................................333
1050 Alimentación ...............................................................................283
1056 Alimentación enteral por sonda ..................................................284
1052 Alimentación por biberón. ...........................................................284
1380 Aplicación de calor y/o frío .........................................................291
7140 Apoyo a la familia .......................................................................415
7040 Apoyo al cuidador principal.........................................................410
7280 Apoyo de hermanos....................................................................418
5270 Apoyo emocional ........................................................................362
6400 Apoyo en la protección contra abusos .......................................396
6404 Apoyo en la protección contra abusos: ancianos.......................399
6403 Apoyo en la protección contra abusos: cónyuge........................398
6402 Apoyo en la protección contra abusos: niños ..........................396
5250 Apoyo en toma de decisiones ...................................................361
5420 Apoyo espiritual ..........................................................................368
5240 Asesoramiento ............................................................................358
5244 Asesoramiento de lactancia .......................................................358
5246 Asesoramiento nutricional...........................................................359
5248 Asesoramiento sexual.................................................................360
7180 Asistencia en el mantenimiento del hogar..................................417
2400 Asistencia en la analgesia controlada por el paciente (PCA) ....316
3160 Aspiración de las vías aéreas.....................................................319
5230 Aumentar el afrontamiento .........................................................357
439
5440 Aumentar los sistemas de apoyo. .............................................370
1800 Ayuda al autocuidado .................................................................302
1805 Ayuda con los autocuidados: AIVD.............................................304
1804 Ayuda con los autocuidados: aseo.............................................303
7680 Ayuda en la exploración .............................................................425
1801 Ayuda en los autocuidados: baño/higiene..................................303
4490 Ayuda para dejar de fumar .........................................................348
1280 Ayuda para disminuir de peso ....................................................289
4640 Ayuda para el control del enfado ...............................................349
1240 Ayuda para ganar peso ..............................................................288
1610 Baño............................................................................................296
0840 Cambio de posición ....................................................................280
0844 Cambio de posición: neurológico................................................281
0846 Cambio de posición: paciente en silla de ruedas.......................281
6520 Chequeo sanitario.......................................................................405
5480 Clarificación de valores...............................................................372
4040 Cuidados cardiacos ....................................................................336
4046 Cuidados cardíacos: rehabilitación.............................................336
4062 Cuidados circulatorios: insuficiencia arterial ..............................337
4066 Cuidados circulatorios: insuficiencia venosa .............................338
6820 Cuidados de bebés.....................................................................409
0410 Cuidados de incontinencia intestinal ..........................................268
0610 Cuidados de la incontinencia urinaria ........................................276
0612 Cuidados de la incontinencia urinaria: enuresis ........................277
0480 Cuidados de la ostomía..............................................................272
0620 Cuidados de la retención urinaria...............................................277
1874 Cuidados de la sonda nasogástrica ...........................................306
1876 Cuidados de la sonda vesical.....................................................307
3660 Cuidados de las heridas .............................................................329
3662 Cuidados de las heridas: drenaje cerrado..................................330
3520 Cuidados de las ulceras por presión ..........................................326
1680 Cuidados de las uñas .................................................................299
1642 Cuidados de los oídos: audición.................................................297
1643 Cuidados de los oídos: lavado ótico...........................................298
440
1641 Cuidados de los oídos: niño .......................................................297
1650 Cuidados de los ojos ..................................................................299
1660 Cuidados de los pies ..................................................................298
1780 Cuidados de una prótesis...........................................................302
0762 Cuidados del paciente escayolado: mantenimiento ...................279
0740 Cuidados del paciente: encamado .............................................278
3440 Cuidados del sitio de incisión .....................................................323
5260 Cuidados en la agonía................................................................361
6200 Cuidados en la emergencia........................................................394
0412 Cuidados en la incontinencia intestinal: encopresis...................268
7260 Cuidados intermitentes ...............................................................418
1750 Cuidados perineales ...................................................................302
5310 Dar esperanza. ...........................................................................364
5470 Declarar la verdad al paciente....................................................371
8100 Derivación ...................................................................................426
5820 Disminución de la ansiedad........................................................391
0470 Disminución de la flatulencia ......................................................272
4020 Disminución de la hemorragia ....................................................332
4028 Disminución de la hemorragia: heridas .....................................333
5900 Distracción ..................................................................................392
5562 Educación paterna: adolescentes ..............................................373
5566 Educación paterna: crianza familiar de los niños ......................374
5568 Educación paterna: niño (primeros años de vida)......................375
0560 Ejercicio del suelo pélvico...........................................................273
4039 Electrocardiograma.....................................................................335
5612 Enseñanza: actividad / ejercicio prescrito .................................380
5603 Enseñanza: cuidado de los pies.................................................377
5614 Enseñanza: dieta prescrita .........................................................381
5604 Enseñanza: grupo.......................................................................378
5606 Enseñanza: individual.................................................................379
5616 Enseñanza: medicamentos prescritos .......................................382
5626 Enseñanza: nutrición infantil (0-12 meses). ...............................385
5618 Enseñanza: procedimiento tratamiento ......................................382
5602 Enseñanza: proceso de enfermedad..........................................376
441
5628 Enseñanza: seguridad infantil (0-12 meses) .............................386
5632 Enseñanza: seguridad niño pequeño y escolar..........................388
5622 Enseñanza: sexo seguro ............................................................383
5624 Enseñanza: sexualidad...............................................................384
4340 Entrenamiento de la asertividad .................................................343
4760 Entrenamiento de la memoria.....................................................351
0570 Entrenamiento de la vejiga urinaria ............................................274
0440 Entrenamiento del hábito intestinal.............................................270
0600 Entrenamiento del hábito urinario...............................................276
4920 Escucha activa............................................................................352
4380 Establecer límites........................................................................345
4410 Establecimiento de objetivos comunes.......................................346
4720 Estimulación cognoscitiva...........................................................350
1340 Estimulación cutánea..................................................................290
7100 Estimulación de la integridad familiar .........................................413
1540 Estimulación nerviosa eléctrica transcutánea (TENS) ...............295
6522 Exploración de la mama .............................................................406
7440 Facilitación de permisos .............................................................423
5426 Facilitación del crecimiento espiritual .........................................368
5290 Facilitar el duelo..........................................................................363
5280 Facilitar el perdón .......................................................................362
4480 Facilitar la autoresponsabilidad ..................................................347
5300 Facilitar la expresión del sentimiento de culpa...........................364
7560 Facilitar las visitas.......................................................................424
3230 Fisioterapia respiratoria ..............................................................320
0201 Fomentar el ejercicio: entrenamiento de extensión...................261
1720 Fomentar la salud bucal .............................................................300
0202 Fomento de ejercicios: extensión ...............................................262
4974 Fomento de la comunicación: déficit auditivo.............................353
7200 Fomento de la normalización familiar.........................................417
8300 Fomento de la paternidad en familias de alto riesgo .................427
7052 Fomento del desarrollo: adolescentes........................................412
7050 Fomento del desarrollo: niños.....................................................411
0200 Fomento del ejercicio..................................................................261
442
7110 Fomento implicación familiar ......................................................414
7320 Gestión de casos ........................................................................419
5430 Grupo de apoyo ..........................................................................369
5210 Guía de anticipación ...................................................................355
7400 Guías del sistema sanitario ........................................................422
4145 Hidratación subcutánea ..............................................................340
0910 Inmovilización .............................................................................281
7960 Intercambio de información de cuidados de salud .....................426
7330 Intermediación cultural................................................................421
6160 Intervención en caso de crisis .................................................393
0420 Irrigación intestinal......................................................................269
6482 Manejo ambiental: comodidad....................................................403
6486 Manejo ambiental: seguridad......................................................404
6450 Manejo de ideas ilusorias ...........................................................401
6410 Manejo de la alergia ...................................................................400
6412 Manejo de la anafilaxia...............................................................401
4356 Manejo de la conducta: sexual ................................................343
6460 Manejo de la demencia...............................................................402
0460 Manejo de la diarrea...................................................................271
0590 Manejo de la eliminación urinaria ...............................................275
2120 Manejo de la hiperglucemia........................................................308
2130 Manejo de la hipoglucemia.........................................................309
6530 Manejo de la inmunización / vacunación ...................................407
2380 Manejo de la medicación............................................................315
1100 Manejo de la nutrición.................................................................286
2680 Manejo de las convulsiones........................................................317
1450 Manejo de las náuseas...............................................................293
3140 Manejo de las vías aéreas..........................................................318
4120 Manejo de líquidos .....................................................................339
2080 Manejo de líquidos/electrólitos ...................................................307
1030 Manejo de los trastornos de la alimentación ..............................283
3500 Manejo de presiones ..................................................................325
3210 Manejo del asma ........................................................................319
1400 Manejo del dolor .........................................................................292
443
0450 Manejo del estreñimiento / impactación .....................................271
1260 Manejo del peso .........................................................................288
1570 Manejo del vómito.......................................................................295
0430 Manejo intestinal.........................................................................270
2440 Mantenimiento de dispositivos de acceso venoso (DAV)...........316
1710 Mantenimiento de la salud bucal ................................................300
1480 Masaje simple.............................................................................294
3250 Mejorando la tos .........................................................................321
1850 Mejorar el sueño .........................................................................305
4976 Mejorar la comunicación: déficit del habla..................................354
4978 Mejorar la comunicación: déficit visual .......................................354
4360 Modificación de la conducta .......................................................344
3480 Monitorización de las extremidades inferiores ...........................324
4130 Monitorización de líquidos .........................................................340
6680 Monitorización de los signos vitales ...........................................408
3350 Monitorización respiratoria, espirometría y pulsioximetría .........322
7120 Movilización familiar....................................................................415
4035 Muestra de sangre capilar ..........................................................334
4820 Orientación de la realidad ..........................................................352
3320 Oxigenoterapia............................................................................321
7340 Planificación del alta ...................................................................421
5400 Potenciación de la autoestima....................................................367
5220 Potenciación de la imagen corporal ...........................................356
5380 Potenciación de la seguridad......................................................367
5100 Potenciación de la socialización.................................................355
5370 Potenciación de roles ................................................................366
4070 Precauciones circulatorias .........................................................338
2690 Precauciones contra las convulsiones........................................318
5340 Presencia ....................................................................................365
6490 Prevención de caídas .................................................................404
3540 Prevención de las ulceras por presión .......................................327
4500 Prevención del consumo de sustancias nocivas........................348
6340 Prevención del suicidio ...............................................................395
6550 Protección contra las infecciones ...............................................408
444
7460 Protección de los derechos del paciente....................................424
4190 Punción intravenosa (IV) ............................................................341
5510 Realización de un programa de educación sanitaria .................372
4700 Reestructuración cognitiva..........................................................350
3900 Regulación de la temperatura.....................................................332
1730 Restablecimiento de la salud bucal ............................................301
8190 Seguimiento telefónico................................................................427
1080 Sondaje nasogástrico .................................................................285
0580 Sondaje vesical...........................................................................274
0582 Sondaje vesical: intermitente......................................................275
6900 Succión no nutritiva ....................................................................410
6870 Supresión de la lactancia............................................................409
3620 Sutura .........................................................................................328
5880 Técnica para tranquilizar ............................................................391
0226 Terapia de ejercicios: control muscular ......................................266
0221 Terapia de ejercicios: deambulación...........................................263
0222 Terapia de ejercicios: equilibrio...................................................264
0224 Terapia de ejercicios: movilidad articular....................................265
5360 Terapia de entretenimiento .........................................................365
5450 Terapia de grupo.........................................................................370
1860 Terapia de la deglución...............................................................306
6040 Terapia de relajación simple .......................................................393
7150 Terapia familiar............................................................................416
4200 Terapia intravenosa (IV)..............................................................342
4400 Terapia musical ..........................................................................345
1120 Terapia nutricional.......................................................................286
0960 Transporte...................................................................................282
3780 Tratamiento de la exposición al calor .........................................331
3740 Tratamiento de la fiebre..............................................................331
3590 Vigilancia de la piel.....................................................................328
445
Agradecimientos
Desde aquí deseamos reconocer a todas las personas que ha impulsado,
estimulado o han colaborado en algún Grupo de Elaboración de Mejoras
(GEM).
Servicio de protocolización e integración asistencial
Juan Gallud
Dolores Cuevas
Grupo redactor Manual Metodología de Cuidados (2004)
Josep Adolf Guirao-Goris
Adela Alonso
Pepa Soler
Mª José Dasí
Elena Costa
Victoria Novales
Antonio Ruiz
GEM del cuidador
Nelly Carrasco
Rosana Mayor
Amparo Coscollá
Javier Blanquer
Juan Gallud
Josep Adolf Guirao-Goris
GEM Consenso Valoración enfermería UHD
Mª Victoria Ballesteros
Vicente Ramos
Mati Saurí
Isabel Hermoso
Amparo Bahamontes
Mª Ángeles Perpiñá
Josep Adolf Guirao-Goris
GEM Enfermería Seguimiento pilotaje IMAD
Amparo Coscollá
Ramón Sánchez
447
Adela Alonso
Mª Luisa Llopis
Mª Luz Paz Pardo
Mª José Lloria
Concepción Calaforra
Ana López
Josep Adolf Guirao-Goris
Grupo de trabajo Fisioterapia
Adela Alonso
José Antonio Morante
Manuel Mayor
Juana María Montiel
Antonio Redero
Pedro Mayor
Enfermeras participantes en el pilotaje de la IMAD de:
CS San Blas (Alicante)
CS Florida (Alicante)
UHD Hospital General de Alicante
CS Nazaret (Valencia)
CS Trafalgar (Valencia)
UHD Hospital Clínico
CS Economista Gay(Valencia)
CA Tendetes (Valencia)
UHD Hospital La Fe
448

V.4964 2006

  • 2.
    Diagnósticos, intervenciones y resultadosde Enfermería en Atención Domiciliaria 2006
  • 3.
    Publicación acreditada deinterés profesional para la Enfermera Comunitaria por la Asociación de Enfermería Comunitaria (A.E.C.) Redacción Josep Adolf Guirao-Goris (coordinador) Adela Alonso Gallegos Pepa Soler Leyva Mª José Dasí García Grupo de Metodología de cuidados IMAD Josep Adolf Guirao-Goris (2001 -2006) Adela Alonso Gallegos (2001 -2006) Pepa Soler Leyva (2001 -2006) Mª José Dasí García (2001 -2006) Elena Costa Ferrer (2001 -2005) José Vicente Cardona (2001 -2005) Mª Ángeles Perpiñá (2001 -2004) Antonio Ruiz Hontangas (2001 -2002) Edita: Generalitat Valenciana. Conselleria de Sanitat © de la presente edición: Generalitat Valenciana, 2006. © de los textos: los autores. Coordinación: Josep Adolf Guirao-Goris. Servici de protol·litzacio i integració assistencial. D.G. d’Assistència Sanitària. Agència Valenciana de la Salut. ISBN: 84-482-4513-X Depósito legal: V-4964-2006 Imprime: Gráficas Marí Montañana. Santo Cáliz, 7. 46001 VALENCIA. Tel: 963 912 304* Sugerencia de cita bibliográfica: Guirao-Goris JA, Alonso A, Soler J, Dasí MJ. Diagnósticos, intervenciones y resultados de enfermería en Atención Domiciliaria. Valencia: Generalitat Valenciana. Conselleria de Sanitat, 2006.
  • 6.
    PRESENTACIÓN El envejecimiento dela población, el aumento de las enfermedades crónicas, así como el incremento del grado de dependencia, obliga a que una parte de nuestros ciudadanos deba recibir la atención sanitaria en sus propios domicilios. La evolución de estos factores demográficos, epide- miológicos, sociales y sanitarios, que son significativamente responsables del nivel de necesidades domiciliarias, van a seguir creciendo en la Comunitat Valenciana y como consecuencia, la atención domiciliaria se va a convertir en una prestación clave de nuestro sistema sanitario. El sistema de salud tiene el reto de adaptarse a las nuevas circunstan- cias y de desarrollar, en consecuencia, servicios que ofrezcan soporte y cuidados a esta población específica. Por ello, la Conselleria de Sanidad atendiendo a esta necesidad elaboró un Plan para la Mejora de la Atención Domiciliaria en la Comunidad Valenciana que ha comenzado a dar respuesta a las nuevas demandas sanitarias de la ciudadanía. Fruto de este plan ha surgido un modelo integrado de atención domi- ciliaria que sitúa en el centro del sistema a aquellas personas que deben recibir atención en sus domicilios y a aquellas otras que deben atender- las, y en el que enfermeras y enfermos son protagonistas de la atención en el domicilio. La misión que las enfermeras tienen —cuidar a quienes se encuentran en una situación de salud y enfermedad difíciles y poten- ciar su autocuidado— se ha plasmado en los últimos años en el desem- peño de una función importantísima dentro del sistema sanitario: ser el interlocutor directo y el verdadero conocedor del sentir de la persona enferma, ejerciendo un papel cada vez más activo y de mayor responsa- bilidad en la estructura sanitaria. Todas aquellas personas que profesio- nalmente se dedican a la enfermería en las instituciones sanitarias de la Conselleria de Sanidad tienen encomendada la tarea de proporcionar a los ciudadanos y ciudadanas de la Comunidad Valenciana unos cuidados individualizados y de calidad. Con estos antecedentes es fácil entender que desde este nuevo modelo valenciano de atención domiciliaria, los y las profesionales de la enfermería pasen a coordinar en el domicilio de los pacientes la intervención de los diferentes profesionales que partici- pan en su cuidado. Por otra parte, quienes asumimos la responsabilidad de gestionar los servicios sanitarios, tenemos el deber de garantizar la equidad, la calidad y la eficiencia de la asistencia sanitaria. Para lograrlo debemos poner al alcance del personal de enfermería todas aquellas herramientas que per- 5
  • 7.
    mitan contribuir eficazmentea la mejora de la calidad de los cuidados. Sólo de esta forma es posible mejorar su formación; mejorar la atención y la eficiencia del sistema y al mismo tiempo mejorar la satisfacción, el bienestar y calidad de vida de nuestros ciudadanos. Y todo ello por una razón que es a su vez objetivo y medio: queremos una sanidad científica- mente avanzada, pero sobre todo una sanidad humanizada tanto para los pacientes como para los profesionales. Rafael Blasco Castany Conseller de Sanitat 6
  • 8.
    7 PRÓLOGO El Plan parala Mejora de la Atención Domiciliaria (PMAD) 2004-2007 ha guiado el desarrollo de la Atención Domiciliaria y la mejora de la misma, porque sabemos que la atención en el domicilio constituye un ser- vicio muy valioso que permite mantener a la persona en su entorno habi- tual durante el mayor tiempo posible, asegurándole una atención digna, y evitando con frecuencia el ingreso hospitalario o reduciendo, en su caso, los problemas derivados su institucionalización. El PMAD 2004-2007 establece que en el núcleo del sistema debe estar una enfermera, bien formada, que proporcione cuidados y un amplio ase- soramiento en hábitos de vida, asistencia familiar y servicios de atención domiciliaria. En este modelo integrado, las enfermeras son las mejores catalizadoras de la acción sanitaria en la atención domiciliaria por dos motivos fundamentales: El primero, porque teniendo una tradicional actividad en los domicilios y siendo en volumen el segundo grupo de profesionales que trabajan en Atención Primaria (por detrás de médicos y pediatras), el Plan considera que su potencial de cuidados y su presencia domiciliaria les coloca en una posición privilegiada para la prestación de atención en el domicilio al enfermo y a sus cuidadoras familiares. En segundo lugar, la tradición cuidadora de las profesionales que tra- bajan en atención especializada les otorga un papel clave para establecer una eficaz continuidad de cuidados entre niveles asistenciales. El modelo integrado de atención domiciliaria surgido del PMAD des- arrolla dos nuevos perfiles de enfermería: la Enfermera de Gestión Domiciliaria (EGD) situada en la comunidad y la Enfermera de Continuidad Domiciliaria (ECD) situada en el hospital, estrechamente liga- das a las Unidades de Hospital a Domicilio. Estas enfermeras tienen como función primordial garantizar la continuidad informativa y asistencial mediante la captación e identificación de pacientes complejos que pere- grinan continuamente por los niveles asistenciales por la falta de coordi- nación de las diferentes unidades y profesionales que intervienen en su atención, así como, servir de vínculo e instrumento para la integración asistencial. La valoración de los pacientes que requieren atención domiciliaria obli- ga a desarrollar por parte de los profesionales de enfermería una labor compleja que suma conocimientos, destrezas y habilidades en el manejo
  • 9.
    de instrumentos dereciente desarrollo como los diagnósticos NANDA, las intervenciones NIC y los resultados NOC. El esfuerzo realizado por la Agencia Valenciana de Salud para producir este documento se verá recompensado finalmente en una mejora de los cuidados que nuestro sis- tema de salud brinda a sus pacientes domiciliarios y sus cuidadoras fami- liares. Manuel Cervera Taulet Alfonso Bataller Vicent Director Gerente de la Director General de Agencia Valenciana de Salud Asistencia Sanitaria 8
  • 10.
    INTRODUCCIÓN En 2003 comenzóla Iniciativa para la Mejora de la Atención Domiciliaria (IMAD) que dio como resultado el Plan de Mejora de la Atención Domiciliaria (PMAD) 2004-2007. Este Plan supuso un reto importante para los profesionales de enfer- mería, ya que les asigna el protagonismo en la Atención Domiciliaria. Dentro de sus líneas estratégicas y de acción se establece la necesaria normalización de la valoración enfermera y el uso de las taxonomías NNN. El fruto inicial de aquel trabajo fue la publicación en 2004 de un manual de “Metodología de cuidados de enfermería en Atención Domiciliaria”. En ese manual se estandarizaban una estructura de valoración por patrones funcionales de salud de Gordon, la selección de las etiquetas diagnósti- cas NANDA, y las intervenciones NIC. Aquel manual fue utilizado por las enfermeras de los centros de salud piloto de los Departamentos 5, 7 y 19, durante dos años y fruto de esta experiencia se han aportado mejoras que se incorporan en este nuevo manual. El esfuerzo normalizador ha conti- nuado, y se ha incluido en esta edición la taxonomía NOC, seleccionan- do aquellos resultados prioritarios desde el punto de vista de grupo meto- dología de cuidados de la IMAD. Para la redacción de este manual se ha realizado una búsqueda de bibliografía relevante sobre diagnósticos, intervenciones y resultados de enfermería en las bases de datos Medline, CINAHL y CUIDEN. Para ase- gurar la mayor calidad posible este manual fue revisado externamente por Esperanza Ferrer Ferrandis, profesora de fundamentos de enfermería y directora de la Escuela de Enfermería La Fe. En el proceso de evaluación han participado también la Sociedad Española de Hospitalización a Domicilio y la Asociación de Enfermería Comunitaria habiendo esta con- cedido a este manual el certificado de interés profesional para la enferme- ra comunitaria. La metodología de cuidados es un instrumento básico para desarrollar la misión que la Conselleria de Sanitat atribuye a las enfermeras: poten- ciar el autocuidado de la salud en individuos, familia y comunidad, en el continuo salud-enfermedad y en todos los estadios de desarrollo y madu- ración. En muchos casos la aplicación de la metodología enfermera es la forma de hacer explícito el conocimiento que tienen las enfermeras profe- sionales expertas. Dicha metodología permite que la comunicación entre 9
  • 11.
    nosotros y conlos otros profesionales del equipo y con nuestros usuarios paciente-cuidador principal o familia sea: directa, clara y eficaz. Este manual que tienes en tus manos contiene algunos aspectos prácticos para el manejo de la valoración del paciente y de su cuidador principal. Cuenta con una valoración por patrones funcionales, diagnós- ticos enfermeros NANDA, complicaciones potenciales del proceso clíni- co (CPC), resultados NOC e intervenciones NIC; y un listado de interre- laciones NANDA/CPC- NOC –NIC. La incorporación de estas herramien- tas en el sistema de información ambulatoria Abucasis permitirá evaluar la implementación de estos lenguajes en función de los indicadores de seguimiento de la codificación de problemas incluídos en la propia apli- cación. No es nuestra intención dar “recetas”. Únicamente sugerimos princi- pios generales de aplicación al que hay que sumar los años de experien- cia que tenemos las enfermeras en la observación y el cuidado directo. Este manual pretende ser útil para la aplicación práctica, sin perjuicio de que posteriormente se consulte la literatura especializada sobre taxono- mías y metodología de cuidados. Para ello, al final del documento presen- tamos unas recomendaciones bibliográficas disponibles y recursos de Internet útiles para las enfermeras comunitarias. ¿A quién interesa este manual? Dirigimos este manual a las enfermeras que componen el Modelo Integrado de Atención Domiciliaria de la Comunidad Valenciana: la enfer- meras de atención primaria, de hospital a domicilio y las nuevas figuras Enfermera de Gestión Domiciliaria que se localiza en el nivel comunitario y la Enfermera de Continuidad Domiciliaria que se localiza en el hospital. ¿Qué ofrece? Una síntesis sencilla y práctica para conseguir un mejor rendimiento en la recogida de datos y en cómo analizarlos y priorizarlos para obtener los diagnósticos enfermeros, complicaciones del proceso clínico, resulta- dos e intervenciones relacionadas. ¿Qué le aporta a la enfermera? Una visión rigurosa de de los datos necesarios que es preciso valorar en los patrones funcionales de salud para que dicha valoración identifique los problemas que por prevalencia o significación es necesario detectar en atención domiciliaria, los resultados de enfermería a los mismos y posi- bles pautas de intervención. 10
  • 12.
    MANEJO Y USODEL MANUAL El manual se organiza en cuatro secciones: I. Valoración por patrones, relaciones NANDA/CPC –NOC - NIC . En una primera sección se describe una estructura de valoración por patrones funcionales, con la inclusión de los diagnósticos enfermeros, o complicaciones potenciales del proceso clínico incluidos en el manual y las relaciones NOC, NIC. II. Diagnósticos NANDA. Los diagnósticos se encuentran organizados por patrones funcionales y se puede consultar la relación en la página 15. De cada etiqueta diagnós- tica enfermera se da la definición, información suplementaria que sigue al símbolo sobre el uso de la etiqueta, mientras que tras el símbolo se recomienda cómo no utilizar la etiqueta. A continuación figuran las características definitorias o manifestaciones del problema en los diagnósticos reales. En los factores etiológicos o situaciones de riesgo más frecuentes se identifican con el símbolo a aquellos factores en los que podemos intervenir las enfermeras para pre- venir la aparición/ solucionar el problema. Con el símbolo se identifi- can a aquellos factores de tipo estructural en que se han de tener en cuenta pero sobre los que difícilmente podremos incidir. Puede aparecer un siguiente apartado sobre “Recomendaciones para la valoración específica” donde se sugiere la exploración de informa- ción que nos lleva a la identificación del problema e instrumentos o escalas disponibles que nos pueden ayudar en la valoración clínica. Finalmente, existe una relación de NOC – NIC. Estas sugerencias de relación NOC- NIC se han realizado basándose en la bibliografía exis- tente y el conocimiento clínico del grupo. Estas relaciones no pueden sustituir el profundo conocimiento clínico que tienen las enfermeras, son únicamente una ayuda. Desde aquí queremos estimular a las enfermeras que usen el listado de relaciones NANDA – NOC - NIC e identifiquen nuevas relaciones y que nos las hagan llegar para futuras versiones de este manual. Si ante una etiqueta diagnóstica no se encuentra en la relación NNN una etiqueta de resultado NOC o una intervención NIC idónea, se reco- mienda que se consulte en la relación alfabética de resultados o inter- vención para seleccionar lo más pertinente. Si no se encuentra ningu- na etiqueta idónea se recomienda acudir a las últimas ediciones de la 11
  • 13.
    Clasificación NOC yNIC referenciadas en las lecturas recomendadas del apartado VI. III. Complicaciones del proceso clínico Las complicaciones del proceso clínico se encuentran organizadas por patrones funcionales y se puede consultar la relación en la página 17. De cada complicación se da la definición e información suplementaria que sigue al símbolo sobre el uso de la misma, mientras que tras el sím- bolo se recomienda cómo no utilizarla. A continuación aparecen los criterios de identificación, las situaciones de riesgo y las relaciones NOC - NIC sugeridas. IV.Resultados NOC En el apartado Selección de resultado se orienta cómo elegir un resul- tado. Los resultados se encuentran organizados por códigos y se puede con- sultar el listado en la página 17. Si lo desea también puede buscar el resultado por orden alfabético en el listado de la página 435. Antes de cada etiqueta NOC se encuentra su código. Con posterioridad aparece la definición, la escala de medida, los indicadores de resultado precedidos de su código; y la descripción del indicador. V. Intervenciones NIC Las intervenciones se encuentran organizadas por códigos y se puede consultar el listado en la página 20. Si lo desea también puede buscar la intervención por orden alfabético en el listado de la página 439. En cada intervención las actividades seleccionadas se clasificaron basán- dose en el método propuesto por Ferrer Ferrandis1 . Las actividades se clasificaron en: – Actividades de cuidado: que incluyen desde actividades instrumentales hasta actividades educativas, dirigidas tanto a modificar la salud de la per- sona como a prevenir la aparición de problemas. Estas actividades se reco- nocen en el manual por estar señalizado el código del siguiente . – Actividades de valoración: que pretenden medir el estado de salud del paciente. Estas actividades se reconocen en el manual por estar seña- lizado el código del siguiente . 12 1. Ferrer Ferrandis, E. Taxonomía NIC: implicaciones en el proceso de cuidados. El Correo AENTDE . 2003, 6(1):10-11 modo modo
  • 14.
    Actividades recomendadas asociadasal método: que son un conjunto de actividades (inespecíficas) que nos orientan en el procedimiento que debemos utilizar al realizar la acciones cuidativas, dado que la ejecución de ese procedimiento confiere al proceso una práctica de excelencia. Estas actividades se reconocen en el manual por estar señalizado el códi- go del siguiente . VI. Bibliografía En este apartado se puede consultar la bibliografía utilizada para elaborar este manual, así como bibliografía de lectura recomendada para profun- dizar en el uso de la metodología de cuidados o las taxonomías. 13 modo
  • 16.
    INDICE I. Valoración porpatrones funcionales de salud. Patrón percepción y control de la salud............................................ 29 Patrón nutricional metabólico............................................................ 31 Patrón eliminación............................................................................. 34 Patrón actividad y ejercicio................................................................ 36 Patrón sueño y descanso.................................................................. 38 Patrón cognitivo perceptivo............................................................... 39 Patrón autopercepción y autoconcepto............................................. 41 Patrón rol y relaciones....................................................................... 42 Patrón sexualidad y reproducción..................................................... 45 Patrón adaptación y tolerancia al estrés........................................... 46 Patrón valores y creencias................................................................ 47 Algoritmo de valoración..................................................................... 48 II. Diagnósticos NANDA. Patrón percepción y control de la salud 00126 Conocimientos deficientes (Especificar) ................................ 51 00078 Manejo ineficaz del régimen terapéutico ............................... 52 00079 Incumplimiento del tratamiento (especificar).......................... 54 00070 Conducta de salud deficiente................................................. 56 00082 Manejo eficaz del régimen terapéutico .................................. 57 00084 Conductas generadoras de la salud .................................... 59 00155 Riesgo caídas......................................................................... 60 00035 Riesgo de lesión..................................................................... 62 00039 Riesgo de aspiración.............................................................. 64 00004 Riesgo de infección................................................................ 65 00098 Deterioro del mantenimiento del hogar.................................. 66 00112 Incapacidad del adulto para mantener su desarrollo ............. 68 Patrón nutricional metabólico 00001 Desequilibrio nutricional: por exceso ..................................... 70 00002 Desequilibrio nutricional: por defecto..................................... 71 00045 Deterioro de la mucosa oral................................................... 73 00046 Deterioro de la integridad cutánea......................................... 75 00047 Riesgo de deterioro de la integridad cutánea ........................ 77 00043 Protección ineficaz ................................................................. 79 Patrón eliminación 00011 Estreñimiento.......................................................................... 80 00013 Diarrea.................................................................................... 82 00014 Incontinencia fecal.................................................................. 84 15
  • 17.
    00017 Incontinencia urinariade esfuerzo ......................................... 85 00020 Incontinencia urinaria funcional.............................................. 87 00021 Incontinencia urinaria total ..................................................... 88 00023 Retención urinaria .................................................................. 90 Patrón actividad y ejercicio 00031 Limpieza ineficaz de las vías aéreas .................................... 91 00085 Deterioro de la movilidad física.............................................. 92 00102 Déficit de autocuidado: Alimentación ..................................... 95 00108Déficit de autocuidado: Baño/Higiene. .................................... 96 00109 Déficit de autocuidado:acicalamiento..................................... 98 00110 Déficit de autocuidado: uso del wc......................................... 99 00040 Riesgo de síndrome de desuso ............................................ 101 00088 Deterioro de la deambulación ................................................ 102 00168 Sedentarismo ......................................................................... 103 00092 Intolerancia a la actividad ...................................................... 104 00093 Fatiga...................................................................................... 106 00097 Déficit de actividades recreativas........................................... 107 Patrón sueño y descanso 00095 Insomnio................................................................................. 108 Patrón cognitivo perceptivo 00051 Deterioro de la comunicación verbal...................................... 110 00122 Trastorno de la percepción(especificar)................................. 111 00131 Deterioro de la memoria......................................................... 112 00133 Dolor Crónico ......................................................................... 113 00132 Dolor Agudo............................................................................ 115 Patrón autopercepción y autoconcepto 00124 Desesperanza ........................................................................ 117 00125 Impotencia.............................................................................. 119 00118 Trastorno de la imagen corporal............................................. 120 00120 Baja autoestima situacional.................................................... 122 00146 Ansiedad................................................................................. 124 00148 Temor...................................................................................... 127 Patrón rol y relaciones 00053 Aislamiento social................................................................... 129 00056 Deterioro de la interacción social........................................... 131 00060 Interrupción de los proceso familiares ................................... 132 00061 Cansancio en el desempeño del rol de cuidador................... 134 00062 Riesgo de cansancio en el desempeño del rol de cuidador.. 137 00135 Duelo complicado................................................................... 140 00136 Duelo ...................................................................................... 142 00137 Aflicción crónica...................................................................... 144 16
  • 18.
    Patrón sexualidad yreproducción 00065 Patrón sexual ineficaz ............................................................ 146 Patrón adaptación y tolerancia al estrés 00069 Afrontamiento ineficaz............................................................ 147 00074 Afrontamiento familiar comprometido..................................... 149 Patrón valores y creencias 00066 Sufrimiento espiritual.............................................................. 151 III. Complicaciones del proceso clínico Patrón nutricional metabólico Hipertermia ....................................................................................... 155 Deterioro de la deglución ................................................................. 156 Náuseas ............................................................................................ 158 Hipoxemia.......................................................................................... 159 Efectos adversos de la terapia medicamentosa ............................... 160 Patrón actividad y ejercicio Atelectasias, Neumonía ................................................................... 161 Trombosis venosa profunda ............................................................. 162 Arritmia .............................................................................................. 163 Bajo gasto cardiaco........................................................................... 164 Hiperglucemia.................................................................................... 166 Hipoglucemia..................................................................................... 167 IV.Resultados NOC Selección de resultados ................................................................... 171 0001 Resistencia .............................................................................. 177 0003 Descanso.................................................................................. 177 0004 Sueño ...................................................................................... 178 0005 Tolerancia a la actividad .......................................................... 178 0113 Envejecimiento físico................................................................ 179 0200 Ambular .................................................................................... 180 0201 Ambular: silla de ruedas........................................................... 180 0202 Equilibrio................................................................................... 181 0203 Posición corporal autoiniciada.................................................. 181 0204 Consecuencias de la inmovilidad: fisiológicas ......................... 182 0205 Consecuencias de la inmovilidad: psicocognitivas .................. 183 0208 Movilidad .................................................................................. 183 0300 Autocuidados: actividades de la vida diaria (AVD)................... 184 0301 Autocuidados: baño.................................................................. 185 0303 Autocuidados: comer................................................................ 186 0305 Autocuidados: higiene .............................................................. 186 17
  • 19.
    0308 Autocuidados:higiene bucal......................................................187 0309 Autocuidados: medicación parenteral ...................................... 187 0310 Autocuidados: uso del inodoro................................................. 188 0313 Nivel de autocuidado................................................................ 189 0403 Estado respiratorio: ventilación ................................................ 190 0405 Perfusión tisular: cardiaca........................................................ 191 0407 Perfusión tisular: periférica....................................................... 192 0500 Continencia intestinal ............................................................... 192 0501 Eliminación intestinal................................................................ 193 0502 Continencia urinaria ................................................................. 194 0602 Hidratación ............................................................................... 195 0700 Reacción transfusional sanguínea ........................................... 196 0704 Autocontrol del asma................................................................ 197 0800 Termoregulación....................................................................... 198 0902 Comunicación........................................................................... 199 0906 Toma de decisiones.................................................................. 199 0908 Memoria.................................................................................... 200 1004 Estado nutricional..................................................................... 200 1008 Estado nutricional: ingestión alimentaria y de líquidos ............ 201 1009 Estado nutricional: ingestión de nutrientes .............................. 201 1012 Estado de deglución: fase oral................................................. 202 1100 Higiene bucal............................................................................ 203 1101 Integridad tisular: piel y membranas mucosas......................... 204 1102 Curación de herida: por primera intención ............................... 205 1103 Curación de herida: por segunda intención ............................. 206 1200 Imagen corporal ....................................................................... 207 1201 Esperanza ................................................................................ 207 1203 Severidad de la soledad........................................................... 208 1204 Equilibrio emocional ................................................................. 209 1206 Deseo de vivir........................................................................... 210 1300 Aceptación estado de salud ..................................................... 211 1302 Afrontamiento de problemas .................................................... 211 1304 Resolución de la aflicción......................................................... 212 1305 Modificación psicosocial: cambio de vida ................................ 212 1306 Dolor: respuesta psicológica adversa ...................................... 213 1307 Muerte digna ............................................................................ 214 1402 Autocontrol de la ansiedad....................................................... 215 1404 Autocontrol del miedo............................................................... 216 1409 Autocontrol de la depresión...................................................... 217 1501 Ejecución del rol....................................................................... 217 1503 Implicación social ..................................................................... 218 18
  • 20.
    1504 Soporte social...........................................................................218 1601 Conducta de cumplimiento....................................................... 219 1602 Conducta de fomento de salud ................................................ 219 1603 Conducta de búsqueda de la salud ......................................... 220 1604 Participación en actividades de ocio........................................ 220 1605 Control del dolor....................................................................... 221 1608 Control del síntoma .................................................................. 221 1609 Conducta terapéutica: enfermedad o lesión ............................ 222 1612 Control de peso........................................................................ 222 1613 Autogestión de los cuidados .................................................... 223 1700 Creencias sobre la salud.......................................................... 223 1802 Conocimiento: dieta.................................................................. 224 1803 Conocimiento: proceso de la enfermedad ............................... 225 1805 Conocimiento: conducta sanitaria ............................................ 226 1806 Conocimiento: recursos sanitarios ........................................... 227 1808 Conocimiento: medicación ....................................................... 228 1811 Conocimiento: actividad prescrita............................................. 229 1813 Conocimiento: régimen terapéutico.......................................... 229 1820 Conocimiento: control de la diabetes....................................... 230 1900 Conducta de vacunación.......................................................... 231 1902 Control del riesgo ..................................................................... 232 1909 Conducta de prevención de caídas ......................................... 233 1910 Ambiente seguro del hogar ...................................................... 234 1912 Caídas ...................................................................................... 234 1913 Severidad de la lesión física ................................................... 235 1914 Control del riesgo: salud cardiovascular .................................. 235 1915 Control del riesgo: deterioro auditivo ....................................... 236 1916 Control del riesgo: deterioro visual........................................... 236 1918 Prevención de la aspiración..................................................... 237 2000 Calidad de vida......................................................................... 237 2001 Salud espiritual......................................................................... 238 2002 Bienestar personal ................................................................... 238 2004 Forma física.............................................................................. 239 2007 Muerte confortable ................................................................... 240 2100 Nivel de comodidad.................................................................. 241 2101 Dolor: efectos nocivos.............................................................. 242 2102 Nivel de dolor ........................................................................... 243 2202 Preparación del cuidador familiar domiciliario.......................... 244 2203 Alteración del estilo de vida del cuidador familiar.................... 245 2204 Relación entre cuidador familiar y paciente............................. 245 2205 Rendimiento del cuidador familiar: cuidados directos.............. 246 19
  • 21.
    2209 Factores estresantesdel cuidador familiar .............................. 247 2210 Posible resistencia al cuidado familiar ..................................... 248 2300 Nivel de glucemia..................................................................... 249 2400 Función sensitiva: cutánea....................................................... 250 2401 Función sensitiva: auditiva ....................................................... 251 2404 Función sensitiva: visión .......................................................... 252 2506 Salud emocional del cuidador familiar ..................................... 253 2507 Salud física del cuidador familiar ............................................ 253 2600 Afrontamiento de los problemas de la familia .......................... 254 2601 Clima social de la familia.......................................................... 255 2602 Funcionamiento de la familia ................................................... 255 2605 Participación de la familia en la asistencia sanitaria profesional.. 256 2606 Estado de salud de la familia................................................... 257 2609 Apoyo familiar durante el tratamiento....................................... 258 V. Intervenciones NIC 0200 Fomento del ejercicio ............................................................... 261 0201 Fomentar el ejercicio: entrenamiento de extensión ................ 261 0202 Fomento de ejercicios: extensión ............................................ 262 0221 Terapia de ejercicios: deambulación ........................................ 263 0222 Terapia de ejercicios: equilibrio................................................ 264 0224 Terapia de ejercicios: movilidad articular ................................. 265 0226 Terapia de ejercicios: control muscular.................................... 266 0410 Cuidados de incontinencia intestinal........................................ 268 0412 Cuidados en la incontinencia intestinal: encopresis ................ 268 0420 Irrigación intestinal ................................................................... 269 0430 Manejo intestinal. ..................................................................... 270 0440 Entrenamiento del hábito intestinal.......................................... 270 0450 Manejo del estreñimiento / impactación................................... 271 0460 Manejo de la diarrea ................................................................ 271 0470 Disminución de la flatulencia.................................................... 272 0480 Cuidados de la ostomía ........................................................... 272 0560 Ejercicio del suelo pélvico........................................................ 273 0570 Entrenamiento de la vejiga urinaria ......................................... 274 0580 Sondaje vesical ........................................................................ 274 0582 Sondaje vesical: intermitente ................................................... 275 0590 Manejo de la eliminación urinaria............................................. 275 0600 Entrenamiento del hábito urinario ............................................ 276 0610 Cuidados de la incontinencia urinaria ...................................... 276 0612 Cuidados de la incontinencia urinaria: enuresis ...................... 277 0620 Cuidados de la retención urinaria ............................................ 277 20
  • 22.
    0740 Cuidados delpaciente: encamado........................................... 278 0762 Cuidados del paciente escayolado: mantenimiento................. 279 0840 Cambio de posición.................................................................. 279 0844 Cambio de posición: neurológico............................................. 280 0846 Cambio de posición: paciente en silla de ruedas .................... 281 0910 Inmovilización........................................................................... 281 0960 Transporte ................................................................................ 282 1030 Manejo de los trastornos de la alimentación ........................... 283 1050 Alimentación............................................................................. 283 1052 Alimentación por biberón.......................................................... 284 1056 Alimentación enteral por sonda................................................ 284 1080 Sondaje nasogástrico............................................................... 285 1100 Manejo de la nutrición .............................................................. 286 1120 Terapia nutricional .................................................................... 286 1200 Administración de nutrición parenteral total (NPT) .................. 287 1240 Ayuda para ganar peso............................................................ 288 1260 Manejo del peso....................................................................... 288 1280 Ayuda para disminuir de peso.................................................. 289 1320 Acupresión................................................................................ 290 1340 Estimulación cutánea ............................................................... 290 1380 Aplicación de calor y/o frío ....................................................... 291 1400 Manejo del dolor....................................................................... 292 1450 Manejo de las náuseas ............................................................ 293 1480 Masaje simple .......................................................................... 294 1540 Estimulación nerviosa eléctrica transcutánea (TENS)............. 295 1570 Manejo del vómito .................................................................... 295 1610 Baño ......................................................................................... 296 1641 Cuidados de los oídos: niño..................................................... 297 1642 Cuidados de los oídos: audición............................................. 297 1643 Cuidados de los oídos: lavado ótico ........................................ 298 1660 Cuidados de los pies................................................................ 298 1650 Cuidados de los ojos................................................................ 299 1680 Cuidados de las uñas............................................................... 299 1710 Mantenimiento de la salud bucal ............................................. 300 1720 Fomentar la salud bucal........................................................... 300 1730 Restablecimiento de la salud bucal ......................................... 301 1750 Cuidados perineales................................................................. 302 1780 Cuidados de una prótesis ........................................................ 302 1800 Ayuda al autocuidado............................................................... 302 1801 Ayuda en los autocuidados: baño/higiene................................ 303 1804 Ayuda con los auto cuidados: aseo ......................................... 303 21
  • 23.
    1805 Ayuda conlos autocuidados: AIVD.......................................... 304 1850 Mejorar el sueño....................................................................... 305 1860 Terapia de la deglución ............................................................ 306 1874 Cuidados de la sonda nasogástrica......................................... 306 1876 Cuidados de la sonda vesical .................................................. 307 2080 Manejo de líquidos/electrólitos................................................. 307 2120 Manejo de la hiperglucemia ..................................................... 308 2130 Manejo de la hipoglucemia ...................................................... 309 2300 Administración de medicación.................................................. 310 2308 Administración de medicación: ótica........................................ 311 2311 Administración de medicación: inhalación ............................... 311 2312 Administración de medicación: intradérmica (ID)..................... 312 2313 Administración de medicación: intramuscular (IM)................... 313 2316 Administración de medicación: tópica...................................... 313 2317 Administración de medicación: subcutánea (SC) .................... 314 2380 Manejo de la medicación ......................................................... 315 2400 Asistencia en la analgesia controlada por el paciente (PCA).. 316 2440 Mantenimiento de dispositivos de acceso venoso (DAV) ........ 316 2680 Manejo de las convulsiones..................................................... 317 2690 Precauciones contra las convulsiones..................................... 318 3140 Manejo de las vías aéreas ....................................................... 318 3160 Aspiración de las vías aéreas .................................................. 319 3210 Manejo del asma...................................................................... 319 3230 Fisioterapia respiratoria............................................................ 320 3250 Mejorando la tos....................................................................... 321 3320 Oxigenoterapia ......................................................................... 321 3350 Monitorización respiratoria, espirometría y pulsioximetría....... 322 3440 Cuidados del sitio de incisión................................................... 323 3480 Monitorización de las extremidades inferiores......................... 324 3500 Manejo de presiones................................................................ 325 3520 Cuidados de las ulceras por presión........................................ 326 3540 Prevención de las ulceras por presión..................................... 327 3590 Vigilancia de la piel .................................................................. 328 3620 Sutura....................................................................................... 328 3660 Cuidados de las heridas........................................................... 329 3662 Cuidados de las heridas: drenaje cerrado ............................... 330 3740 Tratamiento de la fiebre ........................................................... 331 3780 Tratamiento de la exposición al calor....................................... 331 3900 Regulación de la temperatura.................................................. 332 4020 Disminución de la hemorragia.................................................. 332 4028 Disminución de la hemorragia: heridas ................................... 333 22
  • 24.
    4030 Administración deproductos sanguíneos ................................ 333 4035 Muestra de sangre capilar........................................................ 334 4039 Electrocardiograma .................................................................. 335 4040 Cuidados cardiacos.................................................................. 336 4046 Cuidados cardíacos: rehabilitación .......................................... 336 4062 Cuidados circulatorios: insuficiencia arterial ........................... 337 4066 Cuidados circulatorios: insuficiencia venosa .......................... 338 4070 Precauciones circulatorias ...................................................... 338 4120 Manejo de líquidos .................................................................. 339 4130 Monitorización de líquidos ....................................................... 340 4145 Hidratación subcutánea............................................................ 340 4190 Punción intravenosa (IV).......................................................... 341 4200 Terapia intravenosa (IV) ........................................................... 342 4340 Entrenamiento de la asertividad............................................... 343 4356 Manejo de la conducta: sexual ............................................. 343 4360 Modificación de la conducta..................................................... 344 4380 Establecer límites..................................................................... 345 4400 Terapia musical ....................................................................... 345 4410 Establecimiento de objetivos comunes.................................... 346 4420 Acuerdo con el paciente........................................................... 346 4480 Facilitar la autoresponsabilidad................................................ 347 4490 Ayuda para dejar de fumar....................................................... 348 4500 Prevención del consumo de sustancias nocivas ..................... 348 4640 Ayuda para el control del enfado ............................................ 349 4700 Reestructuración cognitiva....................................................... 350 4720 Estimulación cognoscitiva ........................................................ 350 4760 Entrenamiento de la memoria.................................................. 351 4820 Orientación de la realidad ....................................................... 352 4920 Escucha activa ......................................................................... 352 4974 Fomento de la comunicación: déficit auditivo .......................... 353 4976 Mejorar la comunicación: déficit del habla............................... 354 4978 Mejorar la comunicación: déficit visual..................................... 354 5100 Potenciación de la socialización .............................................. 355 5210 Guía de anticipación................................................................. 355 5220 Potenciación de la imagen corporal......................................... 356 5230 Aumentar el afrontamiento ....................................................... 357 5240 Asesoramiento.......................................................................... 358 5244 Asesoramiento de lactancia .................................................... 358 5246 Asesoramiento nutricional........................................................ 359 5248 Asesoramiento sexual .............................................................. 360 5250 Apoyo en toma de decisiones ................................................. 361 23
  • 25.
    5260 Cuidados enla agonía ............................................................. 361 5270 Apoyo emocional...................................................................... 362 5280 Facilitar el perdón..................................................................... 362 5290 Facilitar el duelo ....................................................................... 363 5300 Facilitar la expresión del sentimiento de culpa ........................ 364 5310 Dar esperanza.......................................................................... 364 5340 Presencia.................................................................................. 365 5360 Terapia de entretenimiento....................................................... 365 5370 Potenciación de roles .............................................................. 366 5380 Potenciación de la seguridad................................................... 367 5400 Potenciación de la autoestima ................................................. 367 5420 Apoyo espiritual........................................................................ 368 5426 Facilitación del crecimiento espiritual....................................... 368 5430 Grupo de apoyo........................................................................ 369 5440 Aumentar los sistemas de apoyo. ........................................... 370 5450 Terapia de grupo ...................................................................... 370 5470 Declarar la verdad al paciente ................................................. 371 5480 Clarificación de valores ............................................................ 372 5510 Realización de un programa de educación sanitaria............... 372 5562 Educación paterna: adolescentes ........................................... 373 5566 Educación paterna: crianza familiar de los niños .................... 374 5568 Educación paterna: niño (primeros años de vida) ................... 375 5602 Enseñanza: proceso de enfermedad ....................................... 376 5603 Enseñanza: cuidado de los pies .............................................. 377 5604 Enseñanza: grupo .................................................................... 378 5606 Enseñanza: individual .............................................................. 379 5612 Enseñanza: actividad / ejercicio prescrito ............................... 380 5614 Enseñanza: dieta prescrita....................................................... 381 5616 Enseñanza: medicamentos prescritos .................................... 382 5618 Enseñanza: procedimiento tratamiento.................................... 382 5622 Enseñanza: sexo seguro......................................................... 383 5624 Enseñanza: sexualidad ............................................................ 384 5626 Enseñanza: nutrición infantil(0-12 meses)............................... 385 5628 Enseñanza: seguridad infantil(0-12 meses) ............................ 386 5632 Enseñanza: seguridad niño pequeño y escolar....................... 388 5820 Disminución de la ansiedad ..................................................... 391 5880 Técnica para tranquilizar.......................................................... 391 5900 Distracción................................................................................ 392 6040 Terapia de relajación simple..................................................... 393 6160 Intervención en caso de crisis ................................................. 393 6200 Cuidados en la emergencia ..................................................... 394 24
  • 26.
    6340 Prevención delsuicidio............................................................. 395 6400 Apoyo en la protección contra abusos..................................... 396 6402 Apoyo en la protección contra abusos: niños ........................ 396 6403 Apoyo en la protección contra abusos: cónyuge ..................... 398 6404 Apoyo en la protección contra abusos: ancianos .................... 399 6410 Manejo de la alergia................................................................. 400 6412 Manejo de la anafilaxia ............................................................ 401 6450 Manejo de ideas ilusorias......................................................... 401 6460 Manejo de la demencia............................................................ 402 6482 Manejo ambiental: comodidad ................................................. 403 6486 Manejo ambiental: seguridad ................................................... 404 6490 Prevención de caídas............................................................... 404 6520 Chequeo sanitario .................................................................... 405 6522 Exploración de la mama........................................................... 406 6530 Manejo de la inmunización / vacunación ................................ 407 6550 Protección contra las infecciones............................................. 408 6680 Monitorización de los signos vitales......................................... 408 6820 Cuidados de bebés .................................................................. 409 6870 Supresión de la lactancia......................................................... 409 6900 Succión no nutritiva.................................................................. 410 7040 Apoyo al cuidador principal...................................................... 410 7050 Fomento del desarrollo: niños.................................................. 411 7052 Fomento del desarrollo: adolescentes ..................................... 412 7100 Estimulación de la integridad familiar....................................... 413 7110 Fomento implicación familiar.................................................... 414 7120 Movilización familiar ................................................................. 415 7140 Apoyo a la familia..................................................................... 415 7150 Terapia familiar ......................................................................... 416 7180 Asistencia en el mantenimiento del hogar ............................... 417 7200 Fomento de la normalización familiar ...................................... 417 7260 Cuidados intermitentes............................................................. 418 7280 Apoyo de hermanos ................................................................. 418 7320 Gestión de casos...................................................................... 419 7330 Intermediación cultural ............................................................. 421 7340 Planificación del alta................................................................. 421 7400 Guías del sistema sanitario...................................................... 422 7440 Facilitación de permisos........................................................... 423 7460 Protección de los derechos del paciente ................................. 424 7560 Facilitar las visitas .................................................................... 424 7680 Ayuda en la exploración........................................................... 425 7960 Intercambio de información de cuidados de salud .................. 426 25
  • 27.
    8100 Derivación................................................................................. 426 8190Seguimiento telefónico............................................................. 427 8300 Fomento de la paternidad en familias de alto riesgo............... 427 VI. Bibliografía ................................................................................... 429 Clasificación alfabética NOC............................................................. 435 Clasificación alfabética NIC............................................................... 439 Agradecimientos................................................................................ 447 26
  • 28.
  • 30.
    PATRÓN FUNCIONAL: PERCEPCIÓNY CONTROL DE LA SALUD 1.1 Definición. Describe el patrón de salud y bienestar percibido por el individuo y / o cui- dador principal o familia y como maneja su salud. • Incluye la percepción del individuo y / o cuidador principal o familia de su estado de salud. • Incluye la importancia que tiene para el individuo y / o cuidador princi- pal o familia sobre las actividades que realiza en la actualidad en el cui- dado de su salud y en la planificación futura. • Incluye los comportamientos de cuidados de salud que tiene el indivi- duo y / o cuidador principal o familia sobre su salud, medidas preventi- vas, hábitos tóxicos, tratamiento y seguimiento de cuidados. 1.2. Descripción del objetivo de la valoración. • Obtener datos acerca de las percepciones generales del individuo y/o su cuidador, sobre el manejo general de su salud y las prácticas preven- tivas. • Identificar datos sobre los potenciales riesgos para la salud en las prác- ticas del individuo y / o cuidador principal o familia como el no cumpli- miento real o potencial de los planes de cuidados o tratamientos o la valoración del hábito de alcohol (se utilizarán las tablas de equivalencia en unidades) o tabaco. • Identificar qué necesita saber el individuo y / o cuidador principal o fami- lia en cada proceso para poder llevar a cabo sus autocuidados. Es fun- damental para la aplicación de Educación para salud individual y grupal. 1.3. Examen físico-observación. • Apariencia general de salud del usuario y/o del cuidador principal o de la familia si procede. Esta puede ir observándose durante la entrevista siendo muy importante el prestar atención al comportamiento del cuida- dor y cuales van siendo sus impresiones. Prestar atención sobre quién es mas influyente en las decisiones relativas a la salud (esta información puede ser importante si fuera necesario mejorar las prácticas de salud). • Los profesionales hemos de estar alerta al riesgo de sobrecarga del cui- dador que en un momento determinado manifieste su incapacidad para hacerse cargo de las demandas y necesidades del enfermo. 29
  • 31.
    • Apariencia generaldel domicilio. • Botiquín de medicamentos, alfombras, estufas y cualquier peligro o barrera física. • Detección del riesgo de caídas en el paciente: • Escala Tinetti. • Test Get Up & Go (Cronometrar cuánto tarda el paciente en levan- tarse de una silla con apoyabrazos, caminar tres metros y volver a sentarse en su silla acto seguido; Normal: menos de 10 segundos, Patológico con alto riesgo de caídas: más de 20 segundos, en ancianos frágiles: entre 10 y 20 segundos). • Test unipodal (Mantener en bipedestación sobre un pie con la otra pierna flexionada durante 30 segundos (máximo 5 intentos). Alteración si a partir de los 60 años no se mantiene un mínimo de 5 segundos. • En cuidadores mayores de 40 años actividades preventivas. VALORACIÓN DEL PACIENTE / CUIDADOR Percepción estado salud: Muy bueno, bueno, regular, malo, muy malo. Confianza y satisfacción con la atención que recibe: Muy bueno, bueno, regular, malo, muy malo. Conocimiento de sus problemas salud / o de la persona cuidada: Diagnóstico médico, Pronóstico. Actitud sobre problemas de salud: Sobrevalorar, aceptar, indiferencia, negación, rechazo. Testamento vital: Conocimiento de los cuidados que precisa. Tratamiento medicamentoso prescrito. Conocimiento adecuado del tto. Aplicación adecuada del tto. Automedicación. Toma tto que aumente riesgo caídas: Psicofármacos: Antecedentes de caídas. Cómo: Caminando, Sentado , Cama. 30
  • 32.
    Nº de caídasúltimo año: Antecedentes de accidentes domésticos: Nº de accidentes último año: Ingresos Hospitalarios: Nº en el último año: Vacunación: Higiene personal: frecuencia: 1 vez /día, 1 vez /2 días, 1 vez /semana, Otros Vivienda: Higiene ( suciedad visible): Existe dificultad para mantener de forma adecuada el hogar : Barreras arquitectónicas: Especificar: baño ducha alfombras otros obstáculos Hábitos tóxicos: Tabaco: Si No Nº cigarrillos /día: Nº años de consumo: Ex fumador: Si No Alcohol: Si No Nº gramos o unid/día : Nº gramos o unidad/semana: Otras drogas: Si No ¿Cuáles? Vía de consumo: Edad inicio: PATRÓN FUNCIONAL: NUTRICIONAL - METABÓLICO 2.1. Definición. Describe los patrones de consumo de alimentos y líquidos con relación a las necesidades metabólicas, los patrones de provisión restringida de nutrientes (dietas). • Incluye intolerancias alimentarías, así como hábitos, y costumbres en la dieta (horas, tipos, cantidad de alimentos y líquidos, preferencias, uso de suplementos). • Incluye el estado de la piel y mucosas, pelo, uñas, dientes y la capaci- dad general de cicatrización. Medidas de la temperatura corporal, altu- ra y peso. • Este patrón esta muy relacionado con el de ACTIVIDAD- EJERCICIO y el de AUTOPERCEPCIÓN-AUTOCONCEPTO. 31
  • 33.
    2.2. Descripción delobjetivo de la valoración. • Recoger datos acerca del patrón típico de consumo de comida y líquidos. • Las referencias subjetivas del paciente y sus preferencias, los proble- mas percibidos por él o por su cuidador, acciones que llevan a cabo para resolver y los efectos percibidos de estas acciones. • Detectar si ha habido cambios en el patrón habitual en los últimos tiem- pos. • Recoger datos acerca del control adecuado cuando existen restriccio- nes a la ingesta (dietas). • Valorar indicadores amplios de las necesidades metabólicas como el estado de la piel, la cicatrización. 2.3. Examen físico-observación • Efectuar el IMC (índice de masa corporal) en el primer contacto, para valorar la situación de partida y tener una referencia si hay variaciones en el futuro, en cuyo caso debe repetirse. • Alimentación parenteral, intravenosa, especificarla y revisarla en cada contacto. • En cada visita o al menos una vez por semana en pacientes muy inmo- vilizados, realizar examen físico de la piel (presencia de lesiones, sequedad, cambio de color) y de las prominencias óseas, nos aportará información acerca del riesgo o del aumento de deterioro de la integri- dad cutánea. • Debe revisarse en la primera visita el estado mucosas (color, lesiones), de la dentadura (falta de piezas dentarias, dentadura postiza) indicaran dificultades para la ingesta y masticación de los alimentos y tempera- tura. También nos informarán de deterioro en las mucosas. • Cuando se sospeche riesgo de aparición de úlceras por presión, se sugiere la aplicación de la escala de Braden. • Si existe sospecha de deterioro del patrón nutricional, se realizará la Evaluación del Estado Nutricional (Mini Nutritional Assessment “MNA”). • Control metabólico: glucemia. VALORACIÓN DEL PACIENTE / CUIDADOR Lugar donde come habitualmente: Casa, Institución. 32
  • 34.
    Nº comidas /día: Consumo nutrientes (Especificar raciones/día o raciones/semana): Leche y derivados. Verduras y hortalizas. Arroz, pasta,cereales. Huevos. Pan. Frutas. Aves/conejo. Carnes. Dulces y azúcares. Legumbres. Pescados. Mariscos. Preparación culinaria: Hervido, Frito, Asado. Preferencias alimentarias: A versiones alimentarias: Ingesta líquidos:________________l /día. Apetito: Mucho, Poco, Anorexia Si sospecha de malnutrición : hacer NSI. Tipo de dieta: Libre, Hipo / asódica, Diabética, Hipolipemiante, Otras: Tipo de nutrición: Oral, Enteral SNG , Enteral catéter, Parenteral. Suplemento alimenticio ¿Cuál / es? Intolerancia alimentos:¿Cuál / es? Dificultad para deglutir alimentos: En caso afirmativo: Sólidos, Líquidos Dificultad para masticar. Boca: Caries.Protesis. Ausencia piezas dentales.Boca seca: Higiene bucal: Frecuencia cepillado de dientes: Después de cada comida, 2 veces día , 1 vez día, No cepillado. Piel y mucosas: Caliente. Cianótica. Fría. Húmeda. Flexible. Dura. Frágil. Ictérica. Pálida. Rosada.Seca. Moteada. Lesiones piel. Tipo: Eritema, Flictena, Escara, Necrosis. Localización: Sacro, Talones, Occipucio, Trocánter, Otros. ¿Existe riesgo UPP?: Braden Parámetros antropométricos Peso, Talla, IMC: Relación cintura-cadera. 33
  • 35.
    PATRÓN FUNCIONAL: ELIMINACIÓN 3.1.Definición. • Describe los hábitos de eliminación intestinal, urinaria y cutánea así como los cambios detectados (frecuencia, cantidad, características) y utilización o no de medidas auxiliares (sondaje, absorbentes, colectores...). • Incluye los cambios detectados (frecuencia, cantidad, característi- cas). • Incluye la utilización o no de medidas auxiliares (sondaje, absor- bentes, colectores...) y el uso sistemático de laxantes. • Si procede, se incluye el patrón de eliminación de residuos tanto familiar (donde se ubican los desechos como indicadores de riesgo para la aparición de roedores moscas y mosquitos, etc.) como comunitario (eliminación de residuos, polución del aire) 3.2. Descripción del objetivo de la valoración. Recoger datos acerca de la regularidad y el control de los patrones excre- tores (intestino, vejiga, piel y deposiciones). • Identificar los problemas percibidos por el cliente o por el cuidador, es decir, las explicaciones subjetivas al problema. • Identificar las acciones llevadas a cabo para remediar los problemas y los efectos percibidos por esas acciones. 3.3. Examen físico-observación. • Inspección exhaustiva de las diferentes muestras: examen del color, la consistencia de las excretas, así como sus características. • Observación e inspección de los drenajes, sondajes y/o ostomías. • Identificar la presencia de olores. • Observar en el domicilio la presencia de indicadores de riesgo para la aparición de moscas o de roedores. VALORACIÓN DEL PACIENTE / CUIDADOR 1.-URINARIA Frecuencia: Volumen (si sondaje): 34
  • 36.
    Características: Normal, Coluria, Hematuria, Otros (especificar): Nicturia, Emisión incontrolada de orina, Globo vesical, Urgencia miccional. Cuestionario para la clasificación clínica de incontinencia urinaria. IU-4: 1.¿Se le ha escapado la orina cuando hacía el esfuerzo físico de cambiar de ropa? 2. ¿Se le han presentado bruscamente ganas de orinar? 3. ¿Se le ha escapado la orina porque no le daba tiempo de llegar al baño? 4. Debido a los escapes de orina y al presentársele bruscamente las ganas de orinar, ¿ha necesitado algún tipo de protección? La pregunta 1 se relaciona con la incontinencia de esfuerzo. La pregunta 2 y 3 con incontinencia de urgencia o funcional. La pregunta 4 con la incontinencia mixta. Medidas auxiliares: Absorbentes, Sondaje vesical, Colectores, Otros Dificultad para la micción: Percepción plenitud vesical: Ostomía, Conoce cuidados ostomía, Habilidad para el autocuidado. 2.-INTESTINAL Frecuencia. Consistencia: Líquidas, Blandas, Duras. Ayudas: Emisión incontrolada de heces, Hemorroides. Ostomía, Conoce cuidados ostomía , Habilidad para el autocuidado. Impactación fecal. Absorbentes. 3.-SUDORACIÓN, EDEMA, ASCITIS 35
  • 37.
    PATRÓN FUNCIONAL: ACTIVIDADY EJERCICIO 4.1. Definición. • Describe el patrón de actividad, ejercicio, tiempo libre y ocio. • Incluye la actividad física de la vida diaria como higiene, cocinar, com- prar, comer, trabajar y mantenimiento del hogar. • Incluye el tipo, la cantidad y la calidad del ejercicio teniendo en cuen- ta la ocupación laboral, así como las actividades de ocio. • Incluyen los factores que interfieren con el patrón deseado o espe- rado por el individuo (déficit neuromuscular, diseña, riesgos cardio- pulmonares). 4.2. Descripción del objetivo de la valoración. • Valorar la actividad física y el ejercicio que precisa como medida de pre- vención de riesgo cardiovascular. • Evaluar la limitación de la capacidad funcional e instrumental de las acti- vidades de la vida diaria (ABVD). La valoración de la actividad nos per- mitirá identificar niveles de dependencia para planificar cuidados en la atención domiciliaria. • Obtener las descripciones subjetivas de estos componentes, los proble- mas percibidos por el usuario o por el cuidador y las acciones llevadas a cabo para resolver los problemas, así como los efectos percibidos de dichas acciones. • Identificar signos de ventilación ineficaz. 4.3. Examen físico-observación. • La observación de la marcha, la postura, el tono muscular y las próte- sis o dispositivos de ayuda empleados. • Valoración del grado de movilidad de las articulaciones la fuerza en las manos. • La frecuencia cardiaca y el ritmo y la frecuencia respiratoria pueden explicar las afirmaciones subjetivas del usuario/cuidador acerca de la tolerancia ala actividad. • Observar las limitaciones del usuario/cuidador para el autocuidado y el mantenimiento del hogar relacionado con los deficits de la movilidad. 36
  • 38.
    • Valorar lacapacidad funcional de las (ABVD) para lo que se recomien- da la utilización del Índice de Barthel 100). La escala de Barthel permite valorar la capacidad para realizar las activi- dades básicas de la vida diaria. Evalúa 10 actividades de la vida diaria: Comer, lavarse, vestirse, arreglarse, deposiciones, micción, usar el retre- te, trasladarse, deambular y subir y bajar escalones. Se puntúa de 0 a 100 (90 para pacientes limitados a silla de ruedas). Las puntuaciones no son la misma para cada actividad. La micción y deposi- ción debe ser valorada respecto a la semana previa. La escala de Barthel se pasará cuando se perciba que existe alguna limitación en las ABVD. La escala de Lawton y Brody valora las actividades instrumentales de la vida diaria. VALORACIÓN DEL PACIENTE Camina: Dificultad para caminar, Encamado. Ocio: Tipo de Respiración: Taquipnea, Bradipnea, Ortopnea, Disnea Esfuerzo Disnea Reposo. Presencia de secreciones: ¿Conoce técnicas de mejora eficaz de la res- piración? Expectoración: Dificultad para expectorar Uso de inhaladores: ¿Conoce técnicas de aplicación? Uso Peack Flow (si procede); FEM. Actividades Vida Diaria Básicas e Instrumentales: Si procede realizar Barthel y posteriormente Lawton (Si Barthel=100 ó si sólo falla en incon- tinencia) Oxigenoterapia, número de horas y medidas higiénicas. VALORACIÓN DEL CUIDADOR ¿Ha afectado en sus hábitos de actividad-ejercicio y ocio el ser cuidador? En caso afirmativo indique los cambios: Ejercicio /Físico: Tipo, Frecuencia, Tiempo 37
  • 39.
    Ocio: Tiene alguna limitaciónfísica que impida aplicar los cuidados? : Participa en alguna actividad lúdica y/o recreo NO SI: Actividad laboral: Ligera, Moderada, Intensa. PATRÓN FUNCIONAL: SUEÑO Y DESCANSO 5.1. Definición. • Describe el patrón de sueño y descanso de un individuo. • Incluye los patrones del sueño y los periodos de descanso-relax a lo largo de las 24 horas del día. • Incluye la percepción de la calidad y la cantidad de sueño y descan- so y la percepción del nivel de energía. • Incluye las ayudas para dormir como las medicaciones o la rutina empleada a la hora de acostarse. 5.2. Descripción del objetivo de la valoración. • Describir la efectividad del patrón desde la perspectiva del enfermo y del cuidador. • Analizar las explicaciones. • Identificar las acciones llevadas a cabo y los efectos de las medidas aplicadas en el caso de que se hubiera percibido un problema. 5.3. Examen físico-observación. Si procede observar el patrón del sueño. VALORACIÓN DEL PACIENTE /CUIDADOR Cantidad horas sueño / noche: Cantidad horas sueño / día: Cambio ritmo de sueño: Problemas: Conciliar sueño, Pesadillas, Despertar temprano. Medidas auxiliares: Escuchar radio, Medicación, Relajación, Otros 38
  • 40.
    ¿Se levanta descansado?:¿Ronca? Enel cuidador si existen problemas de sueño: ¿Considera que los problemas del sueño se deben a cuidar al paciente? PATRÓN FUNCIONAL: COGNITIVO - PERCEPTIVO 6.1. Definición. • Describe los patrones sensorio-perceptuales y cognitivos. • Incluye la adecuación de los órganos de los sentidos, como la vista, el oído, el gusto, el tacto o el olfato, y la compensación o prótesis utilizada para hacer frente a los trastornos. • Incluye las manifestaciones de percepción del dolor y como se trata éste. • Incluye la descripción de las habilidades cognitivas funcionales, como el lenguaje, la memoria, el juicio y la toma de decisiones. 6.2 Descripción del objetivo de la valoración: • Describir la adecuación del lenguaje, habilidades cognitivas y per- cepción relativas a las actividades necesarias o deseadas. • Identificar datos sobre las descripciones subjetivas, los problemas percibidos por el cliente o por el cuidador. • Identificar las compensaciones para el déficit y la efectividad de los esfuerzos para compensarlos. • Identificar la capacidad de autocuidados ya que las alteraciones de este patrón van a presentar en el usuario y cuidador principal dificultades en la aptitud para la realización de ellos. 6.3. Examen físico-observación. • Durante el examen, se observan las capacidades cognitivas y sen- soriales. La capacidad del lenguaje, memoria, resolución de proble- mas y toma de decisiones en relación al entorno en la que encontra- mos a nuestro enfermo/cuidador. Así como la visión, audición, tacto, olfato y gusto. No olvide el valorar las prótesis como las gafas o el audífono. • Evaluar la percepción de los problemas por parte del paciente, las razo- 39
  • 41.
    nes de ellos,las acciones llevadas a cabo y la eficacia percibida de los resultados obtenidos. • Valorar la existencia de comportamientos compensatorios del paciente que puedan estar enmascarando disfunciones básicas debidas al razo- namiento alterado, el déficit de la memoria y el déficit de conocimiento relacionados con la práctica de salud. La seguridad de nuestro pacien- te/cuidador pueden ponerse en peligro. • Para valorar si existe deterioro cognitivo se recomienda la realización del Test de Pfiffer. • También es recomendable la realización del Test del Informador (TIN corto) al cuidador principal ante sospecha de deterioro cognitivo del paciente. • Para medir la intensidad y características del dolor, es de gran utilidad la escala visual analógica (EVA). Fundamental en el seguimiento de la AD destacando entre el perfil de población domiciliaria el paciente ter- minal. VALORACIÓN DEL PACIENTE 1.- PERCEPCIÓN SENSORIAL Orientación temporo-espacial Nivel de conciencia: Alerta, Afasia receptiva, Mal historiador, Confuso, Irresponsable. Visión: Alteración, Utiliza gafas, revisión: Audición : Alteración, Vértigo, Utiliza Prótesis,revisión : Test susurro (si procede): Presencia tapón cerumen: 2. CAPACIDAD COGNITIVA Lenguaje: Normal, Titubeante, Confuso, Afasia expresiva Capacidad leer, Capacidad escribir,Capacidad comunicarse ¿Tiene dificultad con el aprendizaje? ¿Tiene capacidad para tomar decisiones sobre su salud? 40
  • 42.
    Deterioro cognitivo: TestPfeiffer si procede; en caso de puntuación entre 3 y 4 realizar Mini-mental. ¿Dolor? Características: Agudo , Crónico, Intermitente, Otros. Intensidad, Localización, Tiempo de evolución. PATRÓN FUNCIONAL: AUTOPERCEPCIÓN - AUTOCONCEPTO 7.1. Definición • Describe el concepto que tiene de sí mismo el individuo, cómo se per- cibe y cómo cree que le perciben los demás. • Incluye las actitudes hacia uno mismo, la percepción de las capaci- dades (cognitivas, afectivas o físicas). • Incluye las modificaciones de autoimagen y autoestima que se pue- den presentar ante un proceso de enfermedad. • Incluye el patrón emocional general. • Incluye el patrón de la postura corporal y del movimiento, contacto visual y patrones de voz y de conversación. 7.2. Descripción del objetivo de la valoración. • Identificar los cambios, las pérdidas y las amenazas; factores comunes que pueden influir de forma negativa en el autoconcepto. Las autoeva- luaciones negativas producen malestar personal y también pueden influir en los otros. • Obtener la confianza del paciente/cuidador pues las personas tienden a no mostrar sentimientos personales a no ser que se haya establecido un ambiente de empatía y de no enjuiciamiento. 7.3. Examen físico-observación. • Todas las categorías diagnósticas comprendidas en este patrón descri- ben sentimientos subjetivos del paciente y/o del cuidador por lo que necesitaremos prestar una especial atención a la verbalización de estos sentimientos para realizar el diagnóstico correcto. • Será importante observar la postura corporal y el movimiento, el contac- to ocular y los patrones de voz y conversación. • No deben pasarse por alto datos de identidad confusa, imagen corporal 41
  • 43.
    alterada, baja autoestima,sentimientos de impotencia, depresión situacio- nal y miedo. • El temor y la ansiedad comparten muchas características definitorias, debe hacerse una distinción entre estas dos condiciones. Cuando se sospeche alteraciones en el estado de ánimo, o ansiedad se rea- lizará una valoración con la Escala de Goldberg se debe aplicar en pacien- tes con manifestaciones psicopatológicas, a pacientes con síntomas somá- ticos inespecíficos como cefaleas, mareos, dolor torácico, pacientes pluri- consultores, pacientes con enfermedades crónicas invalidantes, pacientes con factores de riesgos (desempleo, duelo, cuidado del enfermo terminal...). Esta escala, en caso de resultar negativa se pasará cada dos años y si es positiva se realizará la derivación al medico de familia o Unidad de Salud Mental. VALORACIÓN DEL PACIENTE / CUIDADOR Aceptación del estado de salud. ¿Cómo se describe a sí mismo? autoevaluación positiva, autoevaluación negativa Ha habido cambios en sus sentimientos hacia: ¿Sí mismo? ¿Su cuerpo? ¿Se siente a gusto consigo mismo? Si se sospecha ansiedad, realizar Subescala de Ansiedad de Goldberg. En el caso del cuidador además: ¿Tiene dificultad para cuidar de su imagen corporal desde que cuida? ¿Como se siente consigo mismo al ser cuidador? Muy bien, Bien , Regular , Mal, Muy mal Observaciones: PATRÓN FUNCIONAL: ROL Y RELACIONES 8.1. Definición Describe el patrón de compromisos de rol y de relaciones, la necesidad humana de los demás y la influencia de las relaciones en el desarrollo per- sonal y de los grupos. 42
  • 44.
    • Contempla elpapel que desempeña el paciente/cuidador, en sus rela- ciones y compromisos sociales, familiares y laborales. • Incluye la percepción que tiene la persona, de los roles más importan- tes y las responsabilidades en su situación actual. • Están incluidas tanto la satisfacción, como las alteraciones en la fami- lia, trabajo o relaciones sociales y las responsabilidades relacionadas con estos roles. • Este patrón está muy relacionado con el de TOLERANCIA AL ESTRÉS 8. 2. Descripción del objetivo de la valoración. • Obtener datos sobre el patrón del paciente/cuidador en los roles fami- liares y sociales. • Identificar la percepción del paciente/cuidador (las satisfacciones o insa- tisfacciones) derivadas de sus relaciones o de la falta de ellas. • Deben considerarse los riesgos, o los problemas percibidos por el clien- te, si existen, la causa, las acciones llevadas a cabo y los efectos de dichas acciones. 8. 3. Examen físico-observación • En este patrón es importante tener presente la identificación y filiación tanto del paciente como la del cuidador para su inclusión en la cobertu- ra del programa de AD. Identificar el diagrama familiar. • Si se sospecha de riesgo familiar, se recomienda el uso de la Escala Apgar familiar para profundizar en la valoración. • Es necesario conocer los sistemas de apoyo del individuo ante determi- nadas situaciones (hermanos, amigos, padres..). • Si se sospecha aislamiento o deterioro en las relaciones sociales se recomienda el uso de la escala de Gijón para profundizar en la valora- ción. • Si se sospecha de riesgo de cansancio en el rol de cuidador se reco- mienda el uso de la Escala de valoración de la sobrecarga de Zarit. • Escuchar atentamente, repreguntar y valorar las percepciones del clien- te en cuanto a roles / relaciones familiares, sociales, laborales. • Si el paciente muestra que percibe problemas, escuchar y valorar las razones y las acciones que se han llevado a cabo para remediarlo, si no se ha afrontado el problema, identificar los motivos. 43
  • 45.
    • Las pérdidas,los cambios o las situaciones de temor son los principa- les problemas que subyacen en este patrón, explorar esta área y estar atento a la comunicación no verbal. • Observar hechos que confirmen la falta de apoyo (familiar/social) e identificar las dificultades (culturales) de la familia para pedir ayuda y apoyo. VALORACIÓN DEL PACIENTE / CUIDADOR Convivencia: solo, ¿Con quién vive?: Recibe visitas: Relaciones sociales: Satisfactorias, Indiferentes, Insatisfactorias, No pro- cede. Relaciones familiares: Satisfactorias, Indiferentes, Insatisfactorias, No procede. Relaciones laborales: Satisfactorias, Indiferentes, Insatisfactorias, No pro- cede. ¿Comparte con alguien los problemas?¿Con quién?: ¿Se siente solo con frecuencia? ¿La situación actual ha supuesto un cambio o problema en sus relaciones familiares o sociales? ¿Ha sufrido pérdidas en los últimos 6-12 meses ? En caso afirmativo, cómo se siente... Riesgo familiar: Apgar Familiar (si procede). Escala Gijón (si procede). En el caso de cuidador además Índice de Zarit .Características de la relación con el paciente: Conducta demandante del paciente. Dificultad para comunicarse con el paciente. Conducta violenta o agresiva del paciente. Rechazo al cuidador. Conducta sexual inadecuada. 44
  • 46.
    PATRÓN FUNCIONAL: SEXUALIDADY REPRODUCCIÓN 9.1. Definición: • Describe los patrones de satisfacción o insatisfacción de la sexualidad; describe el patrón reproductivo. • Incluye la satisfacción percibida o las alteraciones en la sexualidad o en las relaciones sexuales. • Incluye el estado reproductor en las mujeres, premenopausia o pos- menopausia y los problemas percibidos. 9.2. Descripción del objetivo de la valoración. • Describir la percepción de problemas reales o potenciales. Si existen problemas se ha de preguntar al paciente/cuidador acerca de los facto- res contribuyentes, las acciones llevadas a cabo y el efecto percibido de estas acciones. 9.3. Examen físico-observación. • La valoración de la expresión de la sexualidad de un paciente o del cui- dador principal se focalizará en la satisfacción o insatisfacción percibi- das. • Si se perciben problemas y el paciente/cuidador desean expresarlos, recogeremos las explicaciones en torno al problema, los datos históri- cos de actuaciones llevadas a cabo y la opinión del paciente/cliente sobre la efectividad de dichas acciones. • Es importante el tener en cuenta los problemas de expresión de la sexualidad a cualquier edad. VALORACIÓN DEL PACIENTE / CUIDADOR (Inicie la valoración con la pregunta ¿Ha habido algún cambio en su sexualidad que le preocupe?. Y si existe alguna preocupación valore de forma focalizada) ¿Relaciones sexuales? ¿Satisfactorias? Cómo se siente: ¿Sangrado Postmenopausia? 45
  • 47.
    PATRÓN FUNCIONAL: ADAPTACIÓNY TOLERANCIA AL ESTRÉS 10.1. Definición. • Describe el patrón general de respuestas de adaptación de un individuo ante determinados acontecimientos, enfermedades, tratamientos o situa- ciones. • Incluye la reserva o capacidad para resistir los cambios en la propia integridad, formas de tratar el estrés, sistemas de apoyo familiar o de otro tipo y la habilidad percibida para controlar y dirigir situaciones (relajación, ejercicio físico, grupos de autoayuda, medicación....). 10.2. Descripción del objetivo de la valoración. • Describir la tolerancia al estrés y el patrón de adaptación del paciente/cui- dador. • Identificación de las situaciones que provocan estrés y los mecanismos de afrontamiento y control del mismo, que utiliza el individuo: negación, evi- tación, búsqueda de información, esfuerzos activos y planificación de acti- vidades, introducción de cambios, supresión emocional o represión o la contraria que sería pedir apoyo emocional, actividades de control, dar sentido a la enfermedad, búsqueda y obtención de apoyo social, acepta- ción de la enfermedad, entre otros. • Identificar los cambios en la efectividad del patrón de adaptación, que pue- den darse si se prevé una amenaza a la integridad, superior al control (capacidad de adaptación personal). Como cuando una persona ante determinados acontecimientos: enfermedades, tratamientos o ante la reso- lución de problemas vitales, muestran un deterioro de sus comportamien- tos de adaptación y de sus habilidades para la resolución de los mismos. • Para cuantificar la ansiedad del paciente y/o cuidador principal en la aten- ción domiciliaria se puede utilizar el Test de EADG-Subescala de Ansiedad-de Goldberg. 10. 3. Examen físico-observación • No corresponde en este patrón realizar examen físico. • ¿Por qué hacer énfasis en las percepciones del individuo sobre lo que está ocurriendo?. Como dice Selye. “No es lo que te ocurre, sino la forma en que te lo tomas (lo que ocurre)”. Los conocimientos o experiencias que tienen nuestros paciente/cuidador determinan sus reacciones. La realidad “es” aquello que el cliente cree. Esto explica la importancia de los datos 46
  • 48.
    subjetivos. La intervenciónenfermera comienza con la “forma” en la que el paciente/cuidador “ve” la situación. VALORACIÓN DEL PACIENTE /CUIDADOR ¿Cambios y/o crisis en los últimos años? ¿Cuál? ¿Habilidades para afrontar estrés o problemas?¿Cuál? Apoyo al que recurre: Familia Amistades Profesionales Grupos ayuda mutua (GAM) Otros (Especificar): ¿Se siente apenado? Si No Especificar: PATRÓN FUNCIONAL: VALORES Y CREENCIAS 11.1. Definición. • Describe el sistema de valores y creencias (incluyendo las espirituales) que guía al individuo en sus decisiones. • Incluye la valoración de creencias que influyen en la salud y que facilitan o entorpecen la adopción de hábitos saludables, adherencia a tratamientos. • Incluye lo que es percibido como importante en la vida del paciente/cuida- dor y cualquier percepción de conflicto en los valores, creencias o expec- tativas relativas a la salud. • Incluye opiniones acerca de lo que es correcto, desde el punto de vista personal. 11.2 Descripción del objetivo de la valoración. • Valorar este patrón cuando se sospeche discordancia entre las creencias y las necesidades de salud. VALORACIÓN DEL PACIENTE / CUIDADOR ¿Tiene algún conflicto o problema familiar, social..., con sus creencias? ¿Tiene dificultades para desarrollar sus creencias? ¿Existe algún conflicto entre tratamientos propuestos y creencias:? Asuntos pendientes: 47
  • 49.
  • 50.
  • 52.
    00126 CONOCIMIENTOS DEFICIENTES(ESPECIFICAR) Definición. Carencia o deficiencia de información cognitiva relacionada con un tema específico. Es recomendable usar esta etiqueta cuando el problema en sí es el desconocimiento sobre los cuidados o el manejo de la salud y la prevención de riesgos. Para elaborar un diagnóstico enfermero a par- tir de esta etiqueta no es necesario la identificación de un factor etio- lógico. No es recomendable usar esta etiqueta cuando el desconocimien- to sea el factor etiológico de otro problema. CARACTERÍSTICAS DEFINITORIAS • Verbalización del problema. • Seguimiento inexacto de las instrucciones. • Realización inadecuada de las pruebas. RECOMENDACIONES PARA LA VALORACIÓN ESPECÍFICA • Manifestaciones del problema ya sea verbalmente o por la observación de deficiencias para el manejo de la situación por desconocimiento. • Observar la deficiencia en el seguimiento del tratamiento, la presencia de conductas inadecuadas con el régimen terapéutico o con la realiza- ción de algunas técnicas o pruebas, así como en el cumplimiento de los autocuidados, o el manejo de la situación de salud. Relaciones sugeridas NOC 1811 Conocimiento: actividad prescrita. 1805 Conocimiento: conducta sanitaria 1820 Conocimiento: control de la diabetes. 1802 Conocimiento: dieta. 0704 Autocontrol del asma. 2609 Apoyo familiar durante el tratamiento. 1813 Conocimiento: régimen terapéutico. 51 PERCEPCION DESALUD PACIENTE CUIDADOR
  • 53.
    NIC 1100 Manejo dela nutrición. 5602 Enseñanza: proceso de enfermedad. 5614 Enseñanza: dieta prescrita. 5612 Enseñanza: actividad/ ejercicio prescrito. 5616 Enseñanza: medicamentos prescritos. 5618 Enseñanza: procedimiento /tratamiento. 6520 Chequeo sanitario. 7140 Apoyo a la familia. 5240 Asesoramiento. 5480 Clarificación de valores. 5604 Enseñanza: grupo. 00078 Manejo ineficaz del régimen terapéutico. 00078 MANEJO INEFICAZ DEL RÉGIMEN TERAPÉUTICO Definición. Patrón de regulación e integración en la vida diaria de un pro- grama de tratamiento de la enfermedad y de sus secuelas que resulta insatisfactorias para alcanzar objetivos específicos de salud. Es recomendable usar esta etiqueta diagnóstica cuando la perso- na conociendo el régimen terapéutico tiene dificultad para integrarlo en sus hábitos de vida y cumplir eficazmente el mismo. Si la persona conoce el régimen terapéutico valoraremos si existe un rechazo al plan y una respuesta de incumplimiento del tratamiento. CARACTERÍSTICAS DEFINITORIAS • Elecciones de la vida diaria ineficaces para cumplir los objetivos de un tratamiento o programa de prevención. • Verbalización de no haber emprendido las acciones para reducir los factores de riesgo mas frecuentes de progresión de la enfermedad y de sus secuelas. • Verbalización del deseo de manejar el tratamiento de la enferme- dad y la prevención de las secuelas. • Verbalización de la dificultad con la regulación o integración de uno 52 PACIENTE CUIDADOR PERCEPCION DESALUD
  • 54.
    o más delos regímenes prescritos para el tratamiento de la enfer- medad y sus efectos o la prevención de complicaciones. • Verbalización de no haber realizado las acciones necesarias para incluir el régimen de tratamiento en los hábitos diarios. FACTORES ETIOLÓGICOS • Percepción de barreras, susceptibilidad, beneficios o apreciación sub- jetiva de gravedad. • Déficit de soporte social. • Falta de confianza en el régimen. • Conocimientos deficientes. • Conflicto de decisiones. • Complejidad del régimen terapéutico o inadecuación del número y tipo de claves para la acción. RECOMENDACIONES PARA LA VALORACIÓN ESPECÍFICA • Valorar la capacidad de comprensión del plan terapéutico, capacidad para establecer metas a corto plazo y el apoyo familiar y o del cuidador. Valorar las percepciones subjetivas de complejidad del plan, barreras o manejo de ayudas para el cumplimiento. Valorar respuestas de los patrones: Percepción y manejo de la salud: relacionadas con los diagnóstico enfer- mero Incumplimiento del tratamiento, Incapacidad del adulto para mante- ner su desarrollo, Conducta deficiente de salud. Valores / creencias: relacionadas con el diagnóstico enfermero Conflicto de decisiones. Relaciones sugeridas NOC 1700 Creencias sobre la salud. 2609 Apoyo familiar durante el tratamiento. 1601 Conducta de cumplimiento. 1609 Conducta terapéutica: enfermedad o lesión. 1813 Conocimiento: régimen terapéutico. 1803 Conocimiento: proceso de la enfermedad. 53 PERCEPCION DESALUD
  • 55.
    NIC 4360 Modificación dela conducta. 4420 Acuerdo con el paciente. 5602 Enseñanza: proceso enfermedad. 5614 Enseñanza: dieta prescrita. 5612 Enseñanza: actividad /ejercicio prescrito. 5616 Enseñanza: medicamentos prescritos. 6520 Chequeo sanitario. 5270 Apoyo emocional. 8190 Seguimiento telefónico. 5604 Enseñanza: grupo. 7330 Intermediación cultural. 00079 INCUMPLIMIENTO DEL TRATAMIENTO (ESPECIFICAR) Definición. Conducta de una persona o de un cuidador que no coinciden con un plan terapéutico o de promoción de la salud acordada entre la per- sona (o la familia, o la comunidad) y un profesional del cuidado de la salud. Cuando se ha acordado un plan, ya sea terapéutico o de promo- ción de la salud, la persona o el cuidador pueden respetarlo total o par- cialmente o no cumplirlo en absoluto, lo que puede conducir a resultados clínicos eficaces, parcialmente eficaces o ineficaces. Es recomendable utilizar esta etiqueta únicamente en aquellas situaciones en las que ha existido un pacto previo entre la persona y el profesional de la salud respecto al cumplimiento del tratamien- to y, posteriormente, no se ha cumplido en su totalidad o de forma eficaz20 . El incumplimiento es un derecho del usuario que se debe respetar. Si se da una respuesta de incumplimiento como elección de la persona, es necesario asegurarse que el usuario conoce los riesgos que corre al no adherirse al plan terapéutico. En este último caso el incumplimiento debería registrarse como incumplimiento por rechazo. CARACTERÍSTICAS DEFINITORIAS • Conducta indicativa de incumplimiento del tratamiento (por obser- 54 PACIENTE CUIDADOR PERCEPCION DESALUD
  • 56.
    vación directa opor afirmaciones del paciente o de otras personas significativas). • Evidencia de desarrollo de complicaciones. • Evidencia de exacerbación de los síntomas. • No asistencia a las visitas concertadas. • Falta de progresos. • Pruebas objetivas (p. Ejem. Medidas fisiológicas, detección de mar- cadores fisiológicos). FACTORES ETIOLÓGICOS Plan de cuidados: duración, personas significativas, coste, intensidad o complejidad. Factores individuales: habilidades, ideas sobre la salud, sistema de valo- res, motivaciones. Redes de soporte: implicación o ausencia de red de apoyo, creencias de la persona de apoyo, valoración social del plan. Sistemas de salud: satisfacción con los cuidados, credibilidad del provee- dor, continuidad y seguimiento regular del proveedor de cuidados. RECOMENDACIONES PARA LA VALORACIÓN ESPECÍFICA Valorar respuestas de los patrones: Percepción y manejo de la salud: relacionadas con los diagnóstico enfer- meros Manejo ineficaz del régimen terapéutico, Conducta deficiente de salud, Incapacidad del adulto para mantener su desarrollo. Valores / creencias: relacionadas con el diagnóstico enfermero Conflicto de decisiones. Relaciones sugeridas NOC 1601 Conducta de cumplimiento. 2609 Apoyo familiar durante el tratamiento. 1609 Conducta terapeútica: enfermedad o lesión. 1608 Control del síntoma. 2205 Rendimiento del cuidador familiar: atención directa. 55 PERCEPCION DESALUD
  • 57.
    1300 Aceptación: estadode salud. 1813 Conocimiento: régimen terapéutico. 1700 Creencias sobre la salud. NIC 6520 Chequeo sanitario. 7400 Guías del sistema sanitario. 4420 Acuerdo con el paciente . 5250 Apoyo en la toma de decisiones. 5440 Aumentar sistemas de apoyo. 2380 Manejo de la medicación. 5480 Clarificación de valores. 00070 CONDUCTA DEFICIENTE DE SALUD Definición. Incapacidad para modificar el estilo de vida de forma cohe- rente con un cambio en la situación de salud. Esta etiqueta diagnóstica fue modificada en 2006, anteriormente se denominaba Deterioro de la adaptación. Es recomendable utilizar esta etiqueta cuando no se han producido modificaciones en el estilo de vida, por tanto va mas allá del cumplimiento terapéutico de un plan de cuidados y supone la incapacidad para modificar hábitos de vida. Mientras el manejo ineficaz del régimen terapéutico se utilizaría para enfermedades de carácter agudo o en los estadios iniciales del mane- jo de la enfermedad crónica, la conducta deficiente de salud supone la ausencia de cambio del estilo de vida y la incapacidad para tomar medidas preventivas que agraven la situación de salud o una enfer- medad crónica instaurada y de larga evolución temporal. CARACTERÍSTICAS DEFINITORIAS • Minimiza los cambios en el estado de salud. • Fallo en la toma de actividades preventivas. FACTORES ETIOLÓGICOS Baja autoeficacia. 56 PACIENTE CUIDADOR PERCEPCION DESALUD
  • 58.
    Actitud negativa hacialos cuidados de salud. Factores estresantes múltiples. Apoyo social inadecuado. Estado socioeconómico bajo. Comprensión inadecuada. RECOMENDACIONES PARA LA VALORACIÓN ESPECÍFICA Valorar respuestas de los patrones: Percepción y manejo de la salud: relacionadas con el diagnóstico enfer- mero Manejo ineficaz del régimen terapéutico, Incapacidad del adulto para mantener su desarrollo. Valores / creencias: relacionadas con el diagnóstico enfermero Conflicto de decisiones. Relaciones sugeridas NOC 1305 Modificación psicosocial: cambio de vida. 1601 Conducta de cumplimiento. NIC 6520 Chequeo sanitario. 5230 Aumentar el afrontamiento. 4410 Establecimiento de objetivos comunes. 00082 MANEJO EFICAZ DEL RÉGIMEN TERAPÉUTICO. Definición. El patrón de regulación e integración en la vida diaria de una persona para el tratamiento de la enfermedad y de sus secuelas es satis- factorio para alcanzar objetivos específicos de salud. Es recomendable usar esta etiqueta cuando tras un proceso de información y educación sanitaria la persona tiene conocimientos y habilidades suficientes para manejar el plan terapéutico. No se recomienda utilizar esta etiqueta cuando existan conocimien- 57 PACIENTE PERCEPCION DESALUD
  • 59.
    tos deficientes importanteso el cumplimiento terapéutico tenga carác- ter inestable. CARACTERÍSTICAS DEFINITORIAS • Elección de actividades de la vida diaria apropiadas para alcanzar los objetivos del tratamiento o del programa de prevención. • Mantenimiento de los síntomas de enfermedad dentro de los límites esperados. • Expresión verbal del deseo de manejar el tratamiento de la enfer- medad y la prevención de secuelas, de intentar reducir los factores causales o las actuaciones de riesgo más frecuentes. • Expresión verbal del intento de reducir los factores de riesgo más frecuentes de progresión de la enfermedad y de sus secuelas. RECOMENDACIONES PARA LA VALORACIÓN ESPECÍFICA • Grado de conocimiento de sus problemas de salud y de los cuidados que precisa. Correcta elección de las actividades de la vida diaria para alcanzar los objetivos de prevención o del programa de cuidados y tra- tamiento. Valorar respuestas coincidentes en otros diagnósticos: Conductas generadoras de salud. Relaciones sugeridas NOC 0704 Autocontrol del asma. 2609 Apoyo familiar durante el tratamiento. 1601 Conducta de cumplimiento. 1602 Conducta de fomento de salud. 1813 Conocimiento:regimen terapeútico. 1608 Control del síntoma. 1811 Conocimiento: actividad prescrita. 1802 Conocimiento: dieta. 1808 Conocimiento: medicación. 1803 Conocimiento: proceso de la enfermedad. 0309 Autocuidados: medicación parenteral. 58 PERCEPCION DESALUD
  • 60.
    NIC 6520 Chequeo sanitario. 5210Guía de anticipación. 7400 Guías del sistema sanitario. 4420 Acuerdo con el paciente. 4410 Establecimiento de objetivos comunes. 5480 Clarificación de valores. 00084 CONDUCTA GENERADORA DE SALUD (Especificar) Definición. Búsqueda activa (en una persona con una salud estable) de formas de modificar los hábitos sanitario personales o el entorno para alcanzar un nivel más alto de salud. Es recomendable utilizar esta etiqueta cuando la persona busca activamente un mayor nivel de salud. Algunos autores recomiendan usar esta etiqueta en situaciones de promoción de salud y cuando no existe instaurada una enfermedad crónica. Según la NANDA la salud se considera estable cuando se han instaurado medidas de preven- ción de la enfermedad apropiadas para la edad; la persona informa de que goza de una buena o excelente salud, y los signos de la enferme- dad, si los hay, están controlados. No es recomendable su uso para el manejo del régimen terapéuti- co o enfermedades crónicas. CARACTERÍSTICAS DEFINITORIAS • Expresión u observación de deseos de buscar un nivel más alto de bienestar. • Expresión u observación de deseos de un mayor control sobre las prácticas de salud. • Expresión de preocupación sobre la repercusión de las condiciones ambientales actuales sobre el estado de salud. • Expresión u observación de falta de familiaridad con los recursos de salud de la comunidad. • Demostración u observación de falta de conocimientos sobre con- ductas promotoras de salud. 59 PACIENTE CUIDADOR PERCEPCION DESALUD
  • 61.
    RECOMENDACIONES PARA LAVALORACIÓN ESPECÍFICA Conocimiento de los programas preventivos y recursos comunitarios para el control y manejo de la salud. Valorar respuestas coincidentes en otros diagnósticos: Manejo eficaz del régimen terapéutico. Relaciones sugeridas NOC 1305 Modificación psicosocial: cambio de vida. 1603 Conducta de búsqueda de la salud. 1902 Control del riesgo. 1914 Control del riesgo: salud cardiovascular. 0704 Autocontrol del asma. NIC 6520 Chequeo sanitario. 6522 Exploración de las mamas. 5250 Apoyo en la toma de decisiones. 0200 Fomento del ejercicio. 1100 Manejo de la nutrición. 1720 Fomentar la salud bucal. 6530 Manejo de la inmunización. 5400 Potenciación de la autoestima. 5604 Enseñanza: grupo. 00155. RIESGO CAÍDAS Definición. Aumento de la susceptibilidad a las caídas que pueden cau- sar daño físico. Es recomendable usar la etiqueta cuando se identifiquen factores de riesgo que se puedan paliar o existan medidas de tipo ambiental que puedan reducir el mismo. Se trata de una etiqueta diagnóstica más específica que el Riesgo de lesión. 60 PACIENTE PERCEPCION DESALUD
  • 62.
    FACTORES DE RIESGO Fisiológicos.Dependiendo del tipo y del grado: trastornos visuales o auditivos, deterioro neurológico, del equilibrio, la movilidad física, la fuer- za de las extremidades inferiores o problemas en los pies. Cognitivos. Alteraciones leves del estado mental. Ambientales. Falta de medidas de seguridad en el baño o en la casa en general, iluminación inadecuada por exceso o por defecto. Condiciones climatológicas adversas. Antecedentes de caídas en el últi- mo año; uso de sillas de ruedas, prótesis o dispositivos de ayuda para la ambulación, vivir solo. Fisiológicos. Enfermedad aguda o crónica, estados postoperatorios; dependiendo del tipo y del grado: trastornos visuales o auditivos, deterio- ro neurológico, trastorno del equilibrio, la movilidad física, la fuerza de las extremidades inferiores o problemas en los pies. Cognitivos. Alteración severa del estado mental. Medicamentosos. Consumo excesivo de alcohol o efectos secunda- rios de una amplia gama de medicamentos.(sedantes, vasodilatadores, antihipertensivos, diuréticos, psicofármacos, hipoglucemiantes, fenotiaci- nas). RECOMENDACIONES PARA LA VALORACIÓN ESPECÍFICA • Tinetti: para valorar la marcha y el equilibrio. • Test Get Up & Go (Cronometrar cuánto tarda el paciente en levantarse de una silla con apoyabrazos, caminar tres metros y volver a sentarse en su silla acto seguido; Normal: menos de 10 segundos, Patológico con alto riesgo de caídas: más de 20 segundos, en ancianos frágiles: entre 10 y 20 segundos.) • Test unipodal (Mantener en bipedestación sobre un pie con la otra pier- na flexionada durante 30 segundos (máximo 5 intentos). Alteración si a partir de los 60 años no se mantiene un mínimo de 5 segundos. Valorar respuestas coincidentes en otros diagnósticos: Riesgo de lesión. Relaciones sugeridas NOC 1909 Conducta de prevención de caídas. 61 PERCEPCION DESALUD
  • 63.
    1910 Ambiente segurodel hogar. 0202 Equilibrio. 0113 Envejecimiento físico. 0208 Movilidad. 2401 Función sensitiva: visión. 1912 Caídas. NIC 6490 Prevención de caídas. 5486 Manejo ambiental: seguridad. 0222 Terapia de ejercicio: equilibrio. 5616 Enseñanza: medicamentos prescritos. 00035 RIESGO DE LESIÓN Definición. Riesgo de lesión como consecuencia de la interacción de condiciones ambientales con los recursos adaptativos y defensivos de la persona Es recomendable usar esta etiqueta si el riesgo de lesión es de múltiples tipos. Es de uso útil para sustituir a varios tipos de riesgo de lesión presentes en el enfermo que harían poco manejable el plan de cuidados. Es interesante realizar un diagnóstico diferencial con el diagnóstico protección ineficaz. Se aconseja usar la etiqueta riesgo de lesión cuando no existan problemas reales asociados. No es recomendable usarlo en los casos en que no es posible ate- nuar o modificar los factores de riesgo o el paciente o cuidador ya han puesto todos los medios posibles para su prevención. FACTORES DE RIESGO Externos Químicos (contaminantes ambientales, tóxicos, fármacos, drogas, alcohol, cafeína, nicotina, cosméticos, conservantes). Nutrientes (vitaminas, tipos de alimentos). Población y proveedores (factores cognitivos, agentes nosocomiales). 62 PACIENTE CUIDADOR PERCEPCION DESALUD
  • 64.
    Biológicos (nivel deinmunización de la comunidad, microorganis- mos). Físicos (diseño, estructura y disposición de la comunidad, edificios o equipo). Sistema de transporte de las personas y de las mercancías. Internos Desnutrición. Psicológicos (desorientación afectiva). Perfil sanguíneo anormal (leucocitosis/leucopenia; alteración de los factores de coagulación; trombocitopenia; disminución de la hemoglo- bina). Disfunción inmune/autoinmune. Físicos (solución de continuidad de la piel; alteración de la movili- dad). Alteración de la función bioquímica, reguladora o efectora; trastor- nos hematológicos o inmunitarios; etapa de desarrollo; desnutrición, transtornos o alteraciones físicas o psicológicas dependiendo del tipo o grado. RECOMENDACIONES PARA LA VALORACIÓN ESPECÍFICA Valorar respuestas de los patrones: Percepción y manejo de la salud: relacionadas con los diagnósticos enfer- meros: Riesgo de caídas, Incapacidad del adulto para mantener su des- arrollo. Nutricional / metabólico: relacionadas con los diagnósticos enfermeros: Protección ineficaz, Deterioro de la integridad cutánea y Desequilibrio nutricional: defecto. Actividad / ejercicio: relacionadas con los diagnósticos enfermeros: Deterioro de la movilidad física y Deterioro de la deambulación. Cognitivo / perceptivo: relacionadas con los diagnósticos enfermeros: Dolor, Trastorno de la percepción sensorial, Deterioro de la memoria. Relaciones sugeridas NOC 1910 Ambiente seguro del hogar. 63 PERCEPCION DESALUD
  • 65.
    1909 Conducta deprevención de caídas. 1902 Control del riesgo. 1915 Control del riesgo: deterioro auditivo. 1916 Control del riego: deterioro visual. 1608 Control del síntoma. 1912 Caídas. 1913 Severidad de la lesión física. 2404 Función sensitiva: visión. 2401 Función sensitiva: audición. 2400 Función sensitiva: cutánea. NIC 5486 Manejo ambiental: seguridad . 3500 Manejo de presiones. 2690 Precauciones contra las convulsiones. 6490 Prevención de caídas. 6340 Prevención del suicidio. 00039 RIESGO DE ASPIRACIÓN Definición: Riesgo de que penetren en el árbol traqueo bronquial las secreciones gastrointestinales, orofaríngeas, o sólidas o líquidas. Es recomendable su uso en los que se puedan intervenir en los factores ambientales modificables o cuando los cuidado preventivos permitan prevenir el riesgo. FACTORES DE RIESGO Dependiendo del tipo y grado: incompetencia del esfínter esofági- co inferior; retraso en el vaciado gástrico, disminución de la motilidad gastrointestinal, depresión de los reflejos nauseoso y tusígeno o reducción del nivel de conciencia. Dependiendo del tipo y grado: reducción del nivel de conciencia, incompetencia del esfínter esofágico inferior; disminución de la motili- dad gastrointestinal, depresión de los reflejos nauseoso y tusígeno o 64 PACIENTE PERCEPCION DESALUD
  • 66.
    retraso en elvaciado gástrico; presencia de sondas o tubos en el trac- to respiratorio o gastroduodenal; efecto de ciertos medicamentos; situaciones que impiden la elevación de la parte superior del cuerpo; aumento de la presión intragástrica; aumento del volumen gástrico residual; deterioro de la deglución; cirugía o traumatismo facial, oral o del cuello. Factores identificados de alto riesgo: Vómito. Convulsiones. Incapacidad para cambiar de posición. Ingesta de fármacos: metoclopramida. Relaciones sugeridas NOC 1918 Prevención de la aspiración. 0403 Estado respiratorio: ventilación. NIC 0840 Cambio de posición. 00004 RIESGO DE INFECCIÓN Definición: Aumento del riesgo de ser invadido por microorganismos patógenos. Es recomendable su uso en los que se puedan intervenir en los factores ambientales modificables o cuando los cuidado preventivos permitan prevenir el riesgo. FACTORES DE RIESGO Insuficiencia de conocimientos para evitar la exposición a los agen- tes patógenos. Traumatismo. Destrucción tisular y aumento de la exposición ambiental. Agentes farmacológicos (inmunosupresores). Desnutrición. Inmunidad adquirida inadecuada. Alteración de las defensas primarias. Enfermedades crónicas. 65 PACIENTE PERCEPCION DESALUD
  • 67.
    Relaciones sugeridas NOC 6550 Proteccióncontra las infecciones NIC 0305 Autocuidados: higiene. 1902 Control del riesgo. 1900 Conducta de vacunación. 00098 DETERIORO DEL MANTENIMIENTO DEL HOGAR Definición. Incapacidad para mantener independientemente un entorno inmediato seguro y promotor del desarrollo. Es recomendable usar esta etiqueta cuando la dificultad obedece a factores modificables. CARACTERÍSTICAS DEFINITORIAS • Subjetivas: • Los miembros de la casa expresan dificultad para mantenerla con- fortable. • Los miembros de la casa solicitan ayuda para su mantenimiento. • Los miembros de la casa refieren obligaciones externas o crisis económicas. • Objetivas: • Entorno desordenado. • Falta de equipo de cocina, ropa de vestir o ropa de cama o los que hay están sucios. • Acumulo de suciedad, residuos, alimentarios o desechos higiénicos. • Olores ofensivos. • Temperatura domestica inadecuada. • Excesivo trabajo de los miembros de la familia. Ejem. Exhaustos, ansiosos.) • Presencia de parásitos o roedores. 66 PACIENTE CUIDADOR PERCEPCION DESALUD
  • 68.
    • Repetidas alteracioneshigiénicas, infestaciones o infestaciones. • Falta del equipo o las ayudas necesarias. FACTORES ETIOLÓGICOS Falta de organización o planificación de las tareas familiares insu- ficiente. Recursos económicos insuficientes o desconocimiento de los recur- sos de ayuda comunitarios. Sistema de soporte inadecuado. Deterioro cognitivo. Enfermedad o lesión de la persona o un miembro de la familia. RECOMENDACIONES PARA LA VALORACIÓN ESPECÍFICA Escalas para la valoración complementaria: Valoración sociofamiliar de Gijón, Apgar familiar, Apoyo social funcional de DUKE Valorar respuestas de los patrones: Percepción y manejo de la salud: Incapacidad del adulto para mantener su desarrollo. Eliminación: el patrón de eliminación de residuos tanto familiar (donde se ubican los desechos como indicadores de riesgo para la aparición de roe- dores moscas y mosquitos, etc.) como comunitario (eliminación de resi- duos, polución del aire). Actividad / ejercicio: Fatiga. Intolerancia a la actividad. Riesgo de intole- rancia a la actividad. Deterioro de la movilidad física. Rol y relaciones: Riesgo o Cansancio en el rol de cuidador Relaciones sugeridas NOC 1504 Soporte social. 1501 Ejecución del rol. 2602 Funcionamiento de la familia. 1910 Ambiente seguro del hogar. 0113 Envejecimiento físico. 67 PERCEPCION DESALUD
  • 69.
    2506 Salud emocionaldel cuidador familiar. 2609 Apoyo familiar durante el tratamiento. 2507 Salud física del cuidador familiar. 0313 Nivel de autocuidado. NIC 8100 Derivación. 7180 Asistencia en el mantenimiento del hogar. 5440 Aumentar los sistemas de apoyo. 6486 Manejo ambiental: seguridad. 7400 Guías del sistema sanitario. 000101 INCAPACIDAD DEL ADULTO PARA MANTENER SU DESARROLLO Definición. Deterioro funcional progresivo de naturaleza física y cogniti- va. Notable disminución de la capacidad de la persona para vivir con una enfermedad multisistémica, afrontar los problemas subsiguientes y mane- jar sus propios cuidados. Esta etiqueta tiene las características de un síndrome. Es una res- puesta que identifica una situación en la que el adulto fracasa en la organización y desarrollo de sus cuidados para mantenerse de forma independiente. Se suele asociar a enfermedades que afectan al patrón de actividad o al patrón cognitivo. CARACTERÍSTICAS DEFINITORIAS • Anorexia: no come cuando se le ofrecen alimentos; dice que no tiene apetito y que no quiere comer. • Aporte nutricional inadecuado: ingesta menor que los requerimien- tos corporales. • Consumir pocos o ningún alimento en la mayoría de las ingestas. • Pérdida de peso: involuntaria del 5% en un mes, o del 10% en seis meses. • Declinación física: evidencia de fatiga, deshidratación, incontinen- cia intestinal o vesical. 68 PACIENTE CUIDADOR PERCEPCION DESALUD
  • 70.
    • Exacerbación deproblemas de salud crónicos(neumonías o infec- ciones urinarias). • Declinación cognitiva. Dificultad para responder adecuadamente a los estímulos ambientales; dificultad para razonar, tomar decisiones o emitir juicios; disminución de la percepción. • Disminución de las habilidades sociales: reducción perceptible de la conducta anterior habitual de intentar establecer o participar en las relaciones cooperativas. • Déficit de autocuidado y dificultad para realizar tareas sencillas de autocuidado. • Descuido del entorno doméstico. FACTORES ETIOLÓGICOS Depresión, Apatía o Fatiga. RECOMENDACIONES PARA LA VALORACIÓN ESPECÍFICA Escalas para la valoración complementaria: Valoración mediante la Escala de Valoración de Autonomía para el Autocuidado. Valoración sociofamiliar de Gijón, Apgar familiar, Apoyo social funcional de DUKE. Valorar respuestas de los patrones: Percepción y manejo de la salud: Manejo ineficaz del régimen terapéuti- co. Nutricional metabólico: Desequilibrio nutricional por defecto. Actividad / ejercicio: Fatiga. Intolerancia a la actividad. Riesgo de intole- rancia a la actividad. Deterioro de la movilidad física. Rol y relaciones: Riesgo o Cansancio en el rol de cuidador Relaciones sugeridas NOC 0313 Nivel de autocuidado. 1300 Aceptación: estado de salud. 1009 Estado nutricional: ingestión de nutrientes. 1612 Control de peso. 69 PERCEPCION DESALUD
  • 71.
    0300 Autocuidados: actividadesde la vida diaria. 1504 Soporte social. 2602 Funcionamiento de la familia. 0113 Envejecimiento físico. 2609 Apoyo familiar durante el tratamiento. 2507 Salud física del cuidador familiar. NIC 1800 Ayuda al autocuidado. 7040 Apoyo al cuidador familiar. 5310 Dar esperanza. 1801 Ayudas en los autocuidados: baño/higiene. 7110 Fomentar la implicación familiar. 7120 Movilización familiar. 00001 DESEQUILIBRIO NUTRICIONAL: POR EXCESO Definición. Aporte de nutrientes que excede las necesidades metabólicas. Es recomendable usar esta etiqueta cuando los factores son exó- genos y están relacionados con la conducta del paciente. No es recomendable usar esta etiqueta cuando los factores etioló- gicos tienen carácter endógeno u hormonal. CARACTERÍSTICAS DEFINITORIAS • Pliegue cutáneo del tríceps superior a 15 mm. en los varones o a 25mm en las mujeres. • Peso corporal superior en un 10% o más al ideal según la talla, sexo, edad y constitución corporal. • Nivel de actividad sedentario. • Patrones alimentarios inadecuados. • Comer en respuesta a claves externas (como la hora). • Comer en respuesta a claves internas (como la ansiedad) distintas al hambre. 70 PACIENTE CUIDADOR NUTRICIONAL
  • 72.
    • Emparejar lacomida con otras actividades • Concentrar la toma de alimentos al final del día FACTORES ETIOLÓGICOS Aporte excesivos en relación con las necesidades metabólicas. RECOMENDACIONES PARA LA VALORACIÓN ESPECÍFICA Patrones de ejercicio o alimentarios inadecuados: Registros de alimentos consumidos durante una semana. Descripción de la ingesta cualitativa y cuantitativa del día anterior. Horarios, si come solo o acompañado. Trabajo físico que desempeña, ejercicio físico. Significado que da a la comida. Motivación que tiene para comer. Sentimientos antes y después de la comida. Valorar respuestas de los patrones: Autopercepción - Autoconcepto: Autoestima baja situacional, Ansiedad, cambios en los sentimientos. Adaptación y tolerancia al estrés: Afrontamiento ineficaz, Conducta defi- ciente de la salud. Relaciones sugeridas NOC 1612 Control de peso. 1802 Conocimiento: dieta. 1009 Estado nutricional: ingestión de nutrientes. NIC 1100 Manejo de la nutrición. 1260 Manejo del peso. 0200 Fomento del ejercicio. 5606 Enseñanza: individual. 00002 DESEQUILIBRIO NUTRICIONAL: POR DEFECTO Definición. Ingesta de nutrientes insuficiente para satisfacer las necesi- 71 PACIENTE CUIDADOR NUTRICIONAL
  • 73.
    dades metabólicas deuna persona provocando una pérdida de peso corporal por debajo del adecuado para su edad, sexo y constitución cor- poral. Se aconseja utilizar esta etiqueta cuando no existan parámetros bioquímicos que determinen la existencia de desnutrición, y los facto- res que lo provocan entra dentro de la esfera competencial de la enfermera. Se desaconseja su uso cuando exista desnutrición grave que no pueda ser solucionada con la ingesta oral. CARACTERÍSTICAS DEFINITORIAS • Peso corporal inferior en un 20% o más al peso ideal. • Informe de ingesta inferior a las cantidades diarias recomendadas. • Palidez de las conjuntivas y mucosas. • Debilidad de los músculos requeridos para la masticación o la deglu- ción. • Inflamación o ulceración de la cavidad bucal. • Saciedad inmediatamente después de ingerir alimentos. • Informe o evidencia de falta de alimentos. • Informes de alteración del sentido del gusto. • Incapacidad subjetiva para ingerir alimentos. FACTORES ETIOLÓGICOS Incapacidad para ingerir los nutrientes debido a factores biológicos o psi- cológicos, dependiendo del tipo y grado. Valorar con Escalas Puede ayudar a la detección la realización de la evaluación del estado nutricional (Mini Nutritional Assessment). Valorar respuestas de los patrones: Percepción y manejo de la salud: Incapacidad del adulto para mantener su desarrollo. Autopercepción - Autoconcepto: Autoestima baja situacional, Ansiedad, cambios en los sentimientos. 72 NUTRICIONAL
  • 74.
    Relaciones sugeridas NOC 1612 Controlde peso. 1802 Conocimiento: dieta. 1009 Estado nutricional: ingestión de nutrientes. NIC 1030 Manejo de los trastornos de la alimentación. 5246 Asesoramiento nutricional. 1240 Ayuda para ganar peso. 1100 Manejo de la nutrición. 1260 Manejo del peso. 4120 Manejo de líquidos. 1080 Sondaje naso gástrico. 1874 Cuidados de la sonda nasogástrica. 1056 Alimentación enteral por sonda. 00045 DETERIORO DE LA MUCOSA ORAL Definición. Alteración de los labios y tejidos blandos de la cavidad oral. Es recomendable utilizar esta etiqueta cuando sea posible recupe- rar la integridad de los labios o la mucosa oral modificando la conduc- ta de la persona o del cuidador20 . Cuando sea necesaria un abordaje en colaboración con otros pro- fesionales, porque el deterioro es secundario a una patología o tera- pia es preferible utilizar esta etiqueta como una complicación del pro- ceso clínico. CARACTERÍSTICAS DEFINITORIAS • Drenaje purulento o exudado. • Recesión gingival, bolsillos de más de 4mm. • Agrandamiento de las amígdalas superior a lo adecuado. • Lengua blanda, atrófica, sensible, geográfica, saburral. 73 PACIENTE NUTRICIONAL
  • 75.
    • Mucosa denudada. •Presencia de agentes patógenos. • Dificultad para el habla. • Informes de mal sabor. • Palidez de las encías o de la mucosa. • Dolor o malestar oral. • Xerostomía (boca seca) FACTORES ETIOLÓGICOS Dificultad para deglutir los alimentos, para masticar o hablar. Mal aliento, sequedad bucal, lengua saburral. Respiración oral. Higiene oral ineficaz. Deshidratación dependiendo del tipo y grado. Desnutrición, déficit de vitaminas. Efectos secundarios a la quimioterapia, radioterapia o fármacos. Infección o patología bucal. Desnutrición, déficit de vitaminas o deshidratación dependiendo del tipo y del grado. Pérdida del tejido óseo, cartilaginoso o conjuntivo relacionado con el envejecimiento. Relaciones sugeridas NOC 0308 Autocuidados: higiene bucal. 1100 Higiene bucal. 1101 Integridad tisular: piel y mucosas. NIC 1730 Restablecimiento de la salud bucal. 1720 Fomentar la salud bucal. 1710 Mantenimiento de la salud bucal. 74 NUTRICIONAL
  • 76.
    00046 DETERIORO DELA INTEGRIDAD CUTÁNEA Definición. Alteración de la epidermis, dermis o ambas. Un tipo de deterioro de la integridad cutánea es la úlcera por pre- sión (UPP). En esos casos se recomienda, en consonancia con Gordon, utilizar la etiqueta UPP especificando el grado de la misma. CARACTERÍSTICAS DEFINITORIAS. • Invasión de las estructuras corporales. • Destrucción de las capas de la piel (dermis). • Alteración de la superficie de la piel (epidermis). FACTORES ETIOLÓGICOS Factores internos: Alteración del estado nutricional o de hidratación dependiendo del tipo y grado. Factores externos: Humedad, presión; factores mecánicos, inmo- vilización. Factores internos: Alteración de la circulación o del estado meta- bólico, prominencias óseas, déficit inmunológico, factores de desarro- llo, transtornos del estado nutricional o de hidratación dependiendo del tipo y del grado, alteraciones de la circulación y del turgor. Factores externos: Hipertermia o hipotermia, sustancias químicas, radiación, extremos de edad, medicamentos. Valorar respuestas coincidentes en otros diagnósticos: Riesgo de deterioro de la integridad cutánea. En UPP identificar estadio2 : Estadio I • Alteración observable en la piel integra, relacionada con la pre- sión, que se manifiesta por un eritema cutáneo que no palidece 75 PACIENTE 2. Grupo Nacional para el Estudio y Asesoramiento en Ulceras por Presión y Heridas Crónicas (GNEAUPP). Clasificación-Estadiaje de las Úlceras por Presión. Logroño. 2003 NUTRICIONAL
  • 77.
    al presionar; enpieles oscuras, puede presentar tonos rojos, azules o morados. En comparación con un área (adyacente u opuesta) del cuerpo no sometida a presión, puede incluir cam- bios en uno o más de los siguientes aspectos: – Temperatura de la piel (caliente o fría) – Consistencia del tejido (edema, induración) – Y/o sensaciones (dolor, escozor) Estadio II • Pérdida parcial del grosor de la piel que afecta a la epidermis, dermis o ambas. • Ulcera superficial que tiene aspecto de abrasión, ampolla o crá- ter superficial. Estadio III • Pérdida total del grosor de la piel que implica lesión o necrosis del tejido subcutáneo, que puede extenderse hacia abajo pero no por la fascia subyacente. Estadio IV • Pérdida total del grosor de la piel con destrucción extensa, necrosis del tejido o lesión en músculo, hueso o estructuras de sostén (tendón, cápsula articular, etc.). • En este estadio como en el III, pueden presentarse lesiones con cavernas, tunelizaciones trayectos sinuosos. Escala La escala Braden resultará útil para profundizar en la valoración del ries- go. Relaciones sugeridas NOC 0204 Consecuencias de la inmovilidad: fisiológicas. 0305 Autocuidados: higiene. 1102 Curación de herida: por primera intención. 1103 Curación de herida: por segunda intención. 1004 Estado nutricional. 76 NUTRICIONAL
  • 78.
    1009 Estado nutricional:ingestión de nutrientes. 0407 Perfusión tisular: periférica. NIC 3660 Cuidado de las heridas. 3440 Cuidado del sitio de incisión. 3520 Cuidado de úlceras por presión. 0740 Cuidados del paciente encamado. 3540 Prevención de úlceras por presión. 1660 Cuidados de los pies. 4020 Disminución de la hemorragia. 1100 Manejo de la nutrición. 00047 RIESGO DE DETERIORO DE LA INTEGRIDAD CUTÁNEA Definición. Riesgo de que la piel se vea negativamente afectada. Un tipo de riesgo de deterioro de la integridad cutánea es el riesgo de úlcera por presión (UPP). En esos caso se recomienda considera- mos en consonancia con Gordon que es conveniente utilizar la etique- ta Riesgo de UPP. Es recomendable utilizar esta etiqueta cuando los factores de riesgo sean modificables o controlables mediante el plan de cuidados. FACTORES DE RIESGO: Externos Humedad. Factores mecánicos ( p. Ej., fuerzas de cizallamiento, presión, suje- ciones). Inmovilización física. Hipertermia o hipotermia. Sustancias químicas, radiación, medicamentos. Edad. 77 PACIENTE NUTRICIONAL
  • 79.
    Internos Alteración del estadonutricional. Alteraciones del turgor (cambios de elasticidad). Alteración del estado metabólico. Prominencias óseas. Déficit inmunológico. Alteración de la sensibilidad, de la pigmentación, de la circulación, en el estado de los líquidos. Psicogenéticos. RECOMENDACIONES PARA LA VALORACIÓN ESPECÍFICA Valorar con escala La escala Braden resultará útil para profundizar en la valoración. Relaciones sugeridas NOC 0204 Consecuencias de la inmovilidad: fisiológicas. 1902 Control de riesgo. 0113 Envejecimiento físico. 1004 Estado nutricional. 1101 Integridad tisular: piel y membranas mucosas. 0407 Perfusión tisular: periférica. 1009 Estado nutricional: ingestión de nutrientes. NIC 3540 Prevención de las úlceras por presión. 3500 Manejo de las presiones. 3590 Vigilancia de la piel. 2316 Administración medicación: tópica. 4070 Precauciones circulatorias. 1660 Cuidados de los pies. 0202 Fomento del ejercicio: entrenamiento de extensión. 0410 Cuidados incontinencia intestinal. 78 NUTRICIONAL
  • 80.
    1100 Manejo denutrición. 1680 Cuidado de las uñas. 0740 Cuidado paciente encamado. 00043 PROTECCIÓN INEFICAZ Definición: Disminución de la capacidad para autoprotegerse de amena- zas internas y externas, como enfermedades o lesiones. Esta etiqueta es considerada como un síndrome que agrupa a varias etiquetas diagnósticas bajo un único epígrafe para planificar el cuidado cuando existan varias variables. CARACTERÍSTICAS DEFINITORIAS • Respuestas desadaptadas al estrés. Alteración de la coagula- ción. Alteración neurosensorial. Deterioro de la cicatrización. Deficiencia inmunitaria. Disnea. Agitación. Insomnio. Debilidad. Úlceras por presión. Inmovilidad. Sudación. Escalofríos. Prurito. Fatiga. Desorientación. Tos. Anorexia. FACTORES ETIOLÓGICOS Nutrición inadecuada dependiendo de la causa y grado. Edad extrema, alcoholismo, efectos secundarios de tratamientos o medicamentos, enfermedades como cáncer, trastornos inmunitarios o hematológicos. Valorar respuestas de los patrones: Percepción y manejo de la salud: Incapacidad del adulto para mantener su desarrollo. Nutricional metabólico: Deterioro de la integridad cutánea, Riesgo de deterioro de la integridad cutánea, Deterioro de la mucosa oral, Deterioro de la integridad tisular, Riesgo de infección. Relaciones sugeridas NOC 1900 Conducta de vacunación. 2501 Protección del abuso. 0001 Resistencia. 79 PACIENTE NUTRICIONAL
  • 81.
    NIC 6540 Control deinfecciones. 6550 Protección contra las infecciones. 6654 Vigilancia: seguridad. 6610 Identificación de riesgos. 4010 Precauciones con hemorragias. 2240 Manejo de la quimioterapia. 0840 Cambio de posición. 3660 Cuidados de las heridas. 6460 Manejo de la demencia. 3500 Manejo de presiones. 1100 Manejo de la nutrición. 3540 Prevención de las úlceras por presión. 00011 ESTREÑIMIENTO Definición. Reducción de la frecuencia normal de evacuación intestinal, acompañada de eliminación defectuosa o incompleta de heces excesiva- mente duras / secas. Se aconseja utilizar esta etiqueta cuando se pueda mejorar la eva- cuación intestinal modificando los hábitos higiénico-dietéticos. Se desaconseja utilizar esta etiqueta cuando se trate de un estre- ñimiento que esté provocado exclusivamente por problemas fisiopato- lógicos como estenosis intestinal, trastornos del peristaltismo o efec- tos secundarios medicamentosos como los opiáceos20 . CARACTERÍSTICAS DEFINITORIAS • Cambios en el patrón intestinal. Incapacidad para eliminar las heces. • Eliminación de heces duras, secas y formadas. Presencia de heces de consistencia pastosa en el recto. Masa rectal palpable. Rezumamiento de heces liquidas. • Disminución del volumen de las heces. • Sensación de plenitud o presión rectal. 80 PACIENTE CUIDADOR ELIMINACIÓN
  • 82.
    • Dolor durantela defecación. Dolor abdominal. • Anorexia. Náuseas o vómitos. Indigestión. Cefaleas. • Cambios en los ruidos abdominales (borborigmos). Sonidos abdo- minales hiper o hipoactivos. Matidez abdominal. • Sangre roja brillante en las heces. • Distensión abdominal. Aumento de la presión abdominal. Sensibilidad abdominal con o sin resistencia muscular palpable. Masa abdominal palpable. • Heces negras o alquitranadas. • Flatulencia severa. • Fatiga generalizada. • Presentaciones atípicas en adultos ancianos (pe: cambios del esta- do mental, incontinencia urinaria, caídas inexplicables, aumento de la temperatura corporal). FACTORES ETIOLÓGICOS Factores funcionales: Hace caso omiso de la necesidad de defe- car, ha sufrido cambios recientes en el entorno, sus hábitos de elimi- nación son irregulares, su actividad física es escasa, carece de intimi- dad, carece de tiempo, tiene debilidad de la musculatura abdominal. Psicológicos: estrés emocional. Farmacológicos: Abusos de laxantes. Mecánicos: Obesidad. Fisiológicos: Mala higiene oral, deshidratación, cuando es posi- ble la rehidratación oral, malos hábitos alimentarios con deficiencia en fibra y líquidos o cambios en el patrón de los alimentos ingeridos, dis- minución de la motilidad del tracto gastrointestinal dependiendo de la causa. Psicológicos: Depresión, confusión mental. Farmacológicos: Efecto secundario de determinados medicamentos. Mecánicos: Desequilibrio electrolítico, obstrucción posquirúrgica, hemorroides, deterioro neurológico, estenosis rectal o anal, rectocele, absceso o úlcera rectal, embarazo, fisura rectal o anal, tumores, megacolon, prolapso rectal, agrandamiento prostático. 81 ELIMINACIÓN
  • 83.
    Fisiológicos: Dentición inadecuada,disminución de la motilidad del tracto gatrointestinal dependiendo de la causa, deshidratación cuando no es posible la rehidratación oral. Valorar respuestas de los patrones: Percepción/Control de la salud: Medicación (supositorios, enemas, abuso de laxantes) estilos de vida. Nutrional/metabólico: Patrón de los alimentos y líquidos ingeridos. Actividad/ejercicio: Inmovilidad, reposo forzado, encamamiento prolongado. Autopercepción: Depresión. Tolerancia al estrés: Cambio de residencia, estrés emocional. Relaciones sugeridas NOC 0501 Eliminación intestinal. 0602 Hidratación. 1009 Estado nutricional: ingestión de nutrientes. NIC 0450 Manejo del estreñimiento/impactación. 0440 Entrenamiento del hábito intestinal. 0430 Manejo intestinal. 2380 Manejo de la medicación. 1100 Manejo de la nutrición. 0200 Fomento del ejercicio. 0420 Irrigación intestinal. 04120 Manejo de los líquidos. 00013 DIARREA Definición. Eliminación de heces líquidas no formadas. Es recomendable usar esta etiqueta únicamente en los casos en los que se pueda mejorar la evacuación intestinal modificando los hábitos higiénico- dietéticos20 . 82 PACIENTE ELIMINACIÓN
  • 84.
    CARACTERÍSTICAS DEFINITORIAS • Sonidosintestinales hiperactivos. • Eliminación por lo menos de tres deposiciones líquidas por día. • Urgencia. • Calambres. • Dolor abdominal. FACTORES ETIOLÓGICOS Factores psicológicos. Aumento del estrés o la ansiedad. Situacionales. Abuso del alcohol. Dependencia de laxantes. Alimentación por sonda cuando se deba a una mala técnica de admi- nistración: cambios de dieta o de agua. Fisiológicos: Inflamación, malabsorción, infecciones, irritación, pa- rásitos intestinales. Situacionales. Irradiación, toxinas, alimentación por sonda cuando esté motivada por problemas con formula, efectos adversos de los medicamentos, sustancias contaminantes. Valorar respuestas coincidentes en otros diagnósticos: Incontinencia fecal. Valorar respuestas de los patrones: Percepción / manejo de la salud: Abuso del alcohol, dependencia de laxantes, efectos adversos de medicación. Nutricional / metabólico: Técnica incorrecta en la administración de la ali- mentación por sonda, cambios en la dieta. Adaptación / tolerancia al estrés: Ansiedad. Relaciones sugeridas NOC 1609 Conductas terapéuticas: enfermedad o lesión. 0501 Eliminación intestinal. 0602 Hidratación. 83 ELIMINACIÓN
  • 85.
    NIC 0460 Manejo dela diarrea. 1260 Manejo del peso. 1100 Manejo de la nutrición. 2080 Manejo de líquidos. 00014 INCONTINENCIA FECAL Definición. Cambio en el hábito de eliminación fecal normal caracteriza- do por la emisión involuntaria de heces. Se aconseja utilizar esta etiqueta cuando en adultos persista en el tiempo. CARACTERÍSTICAS DEFINITORIAS • Goteo constante de heces blandas. • Olor fecal. • Incapacidad para retrasar la defecación. • Urgencia. • Manchas fecales en la ropa o en la ropa de la cama. • Falta de respuesta a la urgencia de defecar. • Piel perianal enrojecida. • Informes de incapacidad para notar la sensación de repleción rectal. • Informes de reconocimiento de la sensación de repleción rectal pero de incapacidad para eliminar heces formadas. • Incapacidad para reconocer la urgencia de defecar. FACTORES ETIOLÓGICOS Vaciado intestinal incompleto, impactación fecal, malos hábitos die- téticos, barreras o dificultades en el entorno, aumento del estrés, pér- dida general en el tono muscular, incapacidad total o parcial para usar el inodoro, abusos de laxantes. Anomalías o pérdida del control del esfínter rectal, lesiones colo- 84 PACIENTE ELIMINACIÓN
  • 86.
    rrectales o delos nervios motores superiores o inferiores, presión abdominal o intestinal anormalmente alta, deterioro de la cognición, diarrea crónica, alteración de la capacidad de almacenar las heces, efectos secundarios de ciertos medicamentos, inmovilidad. Valorar respuestas coincidentes en otros diagnósticos: Diarrea. Valorar respuestas de los patrones: Percepción y manejo de la salud: Incapacidad del adulto para mantener su desarrollo. Barreras o dificultades en el entorno, abuso de laxantes. Nutricional / metabólico: Malos hábitos dietéticos. Actividad / ejercicio: Déficit de autocuidado: Uso WC. Pérdida general en el tono muscular. Adaptación / tolerancia al estrés: Aumento del estrés. Ansiedad. Relaciones sugeridas NOC 0500 Continencia intestinal. 0310 Autocuidados: uso del inodoro. 0501 Eliminación intestinal. NIC 0410 Cuidados de incontinencia intestinal. 0440 Entrenamiento intestinal. 1100 Manejo de la nutrición. 1750 Cuidados perianales. 0200 Fomento del ejercicio. 1804 Ayuda con los autocuidados: aseo. 00017 INCONTINENCIA URINARIA DE ESFUERZO Definición. Pérdida de orina inferior a 50 ml al aumentar la presión abdo- minal. 85 PACIENTE ELIMINACIÓN
  • 87.
    Se aconseja utilizaresta etiqueta cuando se pueden modificar los hábitos de la persona o los factores externos que provocan los episo- dios de emisión involuntaria de orina o favorecen su persistencia20 . Se desaconseja utilizarla cuando los hábitos de la persona y de su entorno sean los adecuados pero persista la incontinencia20 . CARACTERÍSTICAS DEFINITORIAS • Goteo de orina la aumentar la presión abdominal. • Frecuencia urinaria. • Urgencia urinaria FACTORES ETIOLÓGICOS Debilidad de los músculos pélvicos y los soportes estructurales. Sobredistensión entre micciones. Drenaje vesical incompleto. Cambios degenerativos en los músculos pélvicos y soportes es- tructurales asociados con el envejecimiento. Aumento de la presión abdominal. Valorar respuestas coincidentes en otros diagnósticos: Déficit del autocuidado: uso del WC. Valorar respuestas de los patrones: Percepción / manejo de la salud: Barreras ambientales. Incapacidad del adulto para mantener su desarrollo. Cognitivo / perceptivo: Deterioro de la visión, deterioro cognitivo. Relaciones sugeridas NOC 0502 Continencia urinaria. 1608 Control del síntoma. 0310 Autocuidados: uso del inodoro. NIC 0610 Cuidados de la incontinencia urinaria. 0560 Ejercicios del suelo pélvico. 86 ELIMINACIÓN
  • 88.
    0600 Entrenamiento delhábito urinario. 0590 Manejo de la eliminación urinaria. 1804 Ayuda con los autocuidados: aseo. 1750 Cuidados perineales. 2080 Manejo de líquidos. 00020 INCONTINENCIA URINARIA FUNCIONAL Definición. Incapacidad de una persona, normalmente continente, de poder llegar al inodoro a tiempo para evitar la pérdida involuntaria de orina. Se aconseja utilizar esta etiqueta cuando se pueden modificar los hábitos de la persona o los factores externos que provocan los episo- dios de emisión involuntaria de orina o favorecen su persistencia20 . Se desaconseja utilizarla cuando los hábitos de la persona y de su entorno sean los adecuados pero persista la incontinencia20 . CARACTERÍSTICAS DEFINITORIAS • Incontinencia que puede presentarse sólo temprano por la mañana. • Percepción de la necesidad de miccionar. • Capacidad para vaciar completamente la vejiga. • El tiempo requerido para llegar hasta el inodoro excede el tiempo que pasa entre la sensación de urgencia y la micción incontrolada. • Pérdida de orina antes de llegar al inodoro. FACTORES ETIOLÓGICOS Barreras ambientales, factores psicológicos, deterioro de la visión, deterioro cognitivo o debilidad de las estructuras pélvicas de soporte, limitaciones neuromusculares, dependiendo del tipo y grado. Deterioro de la visión, deterioro cognitivo o debilidad de las estruc- turas pélvicas de soporte, limitaciones neuromusculares, dependien- do del tipo y grado. Valorar respuestas coincidentes en otros diagnósticos: Déficit del autocuidado: uso del WC. Incontinencia urinaria total. 87 PACIENTE ELIMINACIÓN
  • 89.
    Valorar respuestas delos patrones: Percepción / manejo de la salud: Barreras ambientales. Incapacidad del adulto para mantener su desarrollo. Cognitivo / perceptivo: Deterioro de la visión, deterioro cognitivo. Relaciones sugeridas NOC 0502 Continencia urinaria. 1608 Control del síntoma. 0310 Autocuidados: uso del inodoro. NIC 0610 Cuidados de la incontinencia urinaria. 0560 Ejercicios del suelo pélvico. 0600 Entrenamiento del hábito urinario. 0590 Manejo de la eliminación urinaria. 1804 Ayuda con los autocuidados: aseo. 1750 Cuidados perineales. 2080 Manejo de líquidos. 00021 INCONTINENCIA URINARIA TOTAL Definición. Pérdida de orina continua e imprevisible. Habitualmente este tipo de incontinencia requiere un tratamien- to paliativo como la utilización de absorbentes o colectores urina- rios. Se desaconseja utilizarla cuando los hábitos de la persona y de su entorno sean los adecuados pero persista la incontinencia. Se deben evitar razonamiento automáticos que identifiquen la presencia de esta etiqueta diagnóstica porque exista instaurado un sondaje vesical como resultado del proceso clínico del paciente. En este caso los cui- dados de enfermería por la presencia del sondaje, surgen del proce- so clínico y no de un diagnóstico enfermero. 88 PACIENTE ELIMINACIÓN
  • 90.
    CARACTERÍSTICAS DEFINITORIAS • Faltade conciencia de la incontinencia. • Flujo continuo de orina que se produce a intervalos imprevisibles sin distensión o falta de inhibición de las contracciones o espasmos vesicales. • Incontinencia refractaria al tratamiento. • Nicturia. • Falta de conciencia del llenado vesical. FACTORES ETIOLÓGICOS Neuropatías que impiden la transmisión del reflejo indicador de repleción vesical; Traumatismo o enfermedad que afecta a los nervios de la médula espinal, Anomalía anatómica, Contracción independien- te del reflejo detrusor debida a cirugía, Disfunción neurológica que desencadena la micción en momentos imprevisibles . Valorar respuestas coincidentes en otros diagnósticos: Déficit del autocuidado: uso del WC. Incontinencia urinaria funcional. Relaciones sugeridas NOC 1205 Autoestima. 0502 Continencia urinaria. 1608 Control del síntoma. 0305 Autocuidados: higiene. 0310 Autocuidados: uso del inodoro. NIC 0620 Cuidados de la incontinencia urinaria. 0580 Sondaje vesical. 0590 Manejo de la eliminación urinaria. 1750 Cuidados perineales. 1804 Ayuda con los autocuidados: aseo. 89 ELIMINACIÓN
  • 91.
    00023 RETENCIÓN URINARIA Definición.Vaciado incompleto de la vejiga. Es recomendable utilizar esta etiqueta en los casos urgentes que requieren el vaciado de la vejiga urinaria. La persistencia del proble- ma requiere que el problema sea abordado como una complicación del proceso clínico. CARACTERÍSTICAS DEFINITORIAS • Incontinencia por rebosamiento. • Distensión vesical. • Micciones frecuentes de poca cantidad o ausencia de diuresis. • Sensación de repleción vesical. • Goteo. • Orina residual. • Disuria. FACTORES ETIOLÓGICOS Obstrucción, alta presión causada por debilidad del detrusor, Inhibición del arco reflejo, Esfínter potente. Relaciones sugeridas NOC 0502 Continencia urinaria. NIC 0620 Cuidados de la retención urinaria. 1876 Cuidados del sondaje vesical. 0580 Sondaje vesical. 0590 Manejo de eliminación urinaria. 1750 Cuidados perianales. 0221 Terapia de ejercicios: deambulación. 90 PACIENTE ELIMINACIÓN
  • 92.
    00031 LIMPIEZA INEFICAZDE LAS VÍAS AÉREAS Definición. Incapacidad para eliminar las secreciones u obstrucción del tracto respiratorio para mantener las vías aéreas permeables. Es recomendable usar esta etiqueta cuando los factores que la condicionan están relacionados con los conocimientos y la habilidad para toser eficazmente. Se desaconseja en los que los factores etiológiocos recaen fue- ran de la esfera competencial de la enfermera. En estas situaciones se abordaría como una complicación del proceso clínico. CARACTERÍSTICAS DEFINITORIAS • Disnea. • Ausencia o inefectividad de la tos. • Esputos. • Cianosis. • Disminución de los sonidos respiratorios. • Ortopnea. • Dificultad para vocalizar. • Sonidos respiratorios adventicios (sibilancias, estertores, crepitan- cias, roncus). • Cambios en la frecuencia y ritmo respiratorio. • Agitación. FACTORES ETIOLÓGICOS Desconocimiento de técnicas de mejora eficaz de la respiración. Baja habilidad para toser eficazmente. Factores ambientales: Fumador activo o pasivo, irritación por el humo. Obstrucción de las vías aéreas: Espasmo de las vías o presen- cia de un cuerpo extraño, retención de las secreciones, exceso de mucosidad o secreciones bronquiales. Fisiológicos: Disfunción neuromuscular, hiperplasia de las pare- 91 PACIENTE ACTIVIDAD- EJERCICIO
  • 93.
    des bronquiales, enfermedadpulmonar obstructiva crónica, infección, asma, vías aéreas alérgicas. Valorar respuestas de los patrones: Percepción y manejo de la salud: relacionadas con el diagnóstico enfer- mero Conducta deficiente de salud. Relaciones sugeridas NOC 1918 Prevención de la aspiración. 0403 Estado respiratorio: ventilación. 0208 Movilidad. NIC 3140 Monitorización respiratoria. 4490 Ayuda para dejar de fumar. 5270 Apoyo emocional. 3140 Manejo de las vías aéreas. 3250 Mejorando la tos. 3160 Aspiración de las vías aéreas. 3320 Oxigenoterapia. 00085 DETERIORO DE LA MOVILIDAD FÍSICA Definición. Limitación del movimiento independiente, intencionado, del cuerpo o de una o más extremidades. Es recomendable usar esta etiqueta si existe posibilidad de mejo- rar la movilidad o evitar un deterioro mayor mediante nuestra actua- ción. En caso de deterioros importantes es conveniente realizar una interconsulta al fisioterapeuta o profesional competente. CARACTERÍSTICAS DEFINITORIAS • Inestabilidad postural durante la ejecución de las actividades habi- tuales de la vida diaria. 92 PACIENTE ACTIVIDAD- EJERCICIO
  • 94.
    • Limitación dela habilidad para las habilidades motoras groseras. • Limitación de la habilidad para las habilidades motoras finas. • Movimientos descoordinados o espasmódicos. • Limitación de la amplitud de movimientos. • Dificultad para girarse en la cama. • Disminución del tiempo de reacción. • Falta de aliento inducida por el movimiento. • Cambios en la marcha (pe: disminución de la marcha, velocidad, dificultad para iniciar el paso, pasos cortos, andar arrastrando los pies, balanceo postural lateral exagerado). • Ocuparse en sustituciones del movimiento (pe: atención creciente a otras actividades, conducta de control, centrar la atención en la actividad previa a la enfermedad o discapacidad). • Temblor inducido por el movimiento. FACTORES ETIOLÓGICOS Malestar o dolor, falta de conocimiento sobre los beneficios de la actividad física, ideas culturales sobre el grado de actividad adecuado para la edad, sedentarismo o resistencia a iniciar el movimiento, des- uso o mala forma física, índice de masa corporal por encima del per- centil 75 para la edad, intolerancia a la actividad o disminución de la fuerza, resistencia, control o masa muscular, rigidez o contracturas articulares. Depresión o ansiedad, deterioro cognitivo, sensoperceptivo, neuro- muscular o músculoesquelético, dependiendo del tipo y grado. Falta de apoyo físico o social. Desnutrición selectiva o generalizada, dependiendo del tipo o grado. Efectos secundarios de medicamentos, prescripción de restricción de movimientos, limitación de la resistencia cardiovascular, pérdida de la integridad en la estructura ósea. RECOMENDACIONES PARA LA VALORACIÓN ESPECÍFICA Valorar el nivel funcional según la siguiente clasificación: 0 : Totalmente autónomo 93 ACTIVIDAD- EJERCICIO
  • 95.
    1: Requiere eluso de un equipo o un dispositivo. 2: Requiere otra persona paraa ayuda, supervisión o enseñanza. 3: Requiere ayuda de otra persona y de un equipo o dispositivo. 4: Dependiente, no participa en la actividad. Valorar respuestas de los patrones: Percepción y manejo de la salud: relacionadas con el diagnóstico enfer- mero Riesgo de caídas. Actividad y ejercicio: relacionadas con los déficit de autocuidado. Cognitivo / perceptivo: Deterioro cognitivo, dolor. Autopercepción/autoconcepto: Depresión o ansiedad. Relaciones sugeridas NOC 1811 Conocimiento: actividad prescrita. 0200 Ambular. 0201 Deambulación: silla de ruedas. 0202 Equilibrio. 2100 Nivel de movilidad. 0203 Posición corporal autoiniciada. NIC 0221 Terapia de ejercicios: deambulación. 0224 Terapia de ejercicios: movilidad articular. 0201 Fomentar el ejercicio: entrenamiento de extensión. 0740 Cuidados del paciente encamado. 0200 Fomento del ejercicio. 1780 Cuidado de una prótesis. 4066 Cuidados circulatorios: insuficiencia venosa. 0910 Inmovilización. 4062 Cuidados circulatorios: insuficiencia arterial. 1400 Manejo del dolor. 94 ACTIVIDAD- EJERCICIO
  • 96.
    00102 DÉFICIT DEAUTOCUIDADO: ALIMENTACIÓN Definición. Deterioro de la habilidad para realizar o completar las activi- dades de alimentación. Es recomendable su detección si existe un déficit no compensado, o el manejo del déficit que realiza la familia es inestable o ineficaz y se puede mejorar. Es recomendable no usar esta etiqueta en los casos en que se encuentra compensado por la familia o el cuidador. CARACTERÍSTICAS DEFINITORIAS • Incapacidad para: • Llevar los alimentos a la boca. Masticar. Masticar la comida.Deglutir alimentos. • Preparar alimentos para su ingestión. Abrir los recipientes. Manejar los utensilios. Usar dispositivos de ayuda. Coger los alimentos con los utensilios. Coger la taza o el vaso. • Completar una comida. • Ingerir alimentos suficientes. Ingerir los alimentos de forma social- mente aceptable. FACTORES ETIOLÓGICOS La persona experimenta: Debilidad, cansancio, malestar, ansiedad severa o disminución de la moti- vación, dependiendo del tipo y grado. Dolor o deterioro neuromuscular, musculoesquelético, perceptual o cogni- tivo, dependiendo del tipo y grado. Barreras ambientales. RECOMENDACIONES PARA LA VALORACIÓN ESPECÍFICA Valorar el nivel funcional según la clasificación del deterioro de la movili- dad física (página 93): 95 PACIENTE ACTIVIDAD- EJERCICIO
  • 97.
    Valorar respuestas delos patrones: Percepción y manejo de la salud: Incapacidad del adulto para mantener su desarrollo. Cognitivo / perceptivo: Deterioro cognitivo, dolor. Autopercepción/autoconcepto: Depresión o ansiedad. Relaciones sugeridas NOC 1613 Autogestión de los cuidados. 0300 Autocuidados: actividades de la vida diaria (AVD). 0303 Autocuidados: comer. 1008 Estado nutricional: ingestión alimentaria y de líquidos. NIC 1050 Alimentación. 1100 Manejo de la nutrición. 1710 Mantenimiento de la salud bucal. 4420 Acuerdo con el paciente. 00108 DÉFICIT DE AUTOCUIDADO: BAÑO/HIGIENE. Definición. Deterioro de la habilidad de la persona para realizar o com- pletar por si misma las actividades de baño/higiene. Es recomendable su detección si existe un déficit no compensado, o el manejo del déficit que realiza la familia es inestable o ineficaz y se puede mejorar. Es recomendable no usar esta etiqueta en los casos en que se encuentra compensado por la familia o el cuidador. CARACTERÍSTICAS DEFINITORIAS • Incapacidad para: • Lavar total o parcialmente el cuerpo. • Obtener agua o llegar hasta una fuente. • Regular la apertura flujo del agua del baño. 96 PACIENTE ACTIVIDAD- EJERCICIO
  • 98.
    FACTORES ETIOLÓGICOS Disminución dela motivación, debilidad, cansancio, ansiedad severa, difi- cultad para percibir una parte corporal o la relación espacial. Dependiendo del tipo y grado: dolor, malestar deterioro neuromuscular deterioro musculoesquelético. Barreras ambientales. RECOMENDACIONES PARA LA VALORACIÓN ESPECÍFICA Valorar el nivel funcional según la clasificación del deterioro de la movili- dad física (página 93): Valorar respuestas de los patrones: Percepción y manejo de la salud: Incapacidad del adulto para mantener su desarrollo. Cognitivo / perceptivo: Deterioro cognitivo, dolor. Autopercepción/autoconcepto: Depresión o ansiedad. Relaciones sugeridas NOC 1613 Autogestión de los cuidados. 0300 Autocuidados: actividades de la vida diaria (AVD). 0301 Autocuidados: baño. 0305 Autocuidados: higiene. NIC 1801 Ayuda en los autocuidados: baño/ higiene. 1610 Baño. 1680 Cuidados de las uñas. 1660 Cuidados de los pies. 1750 Cuidados perineales. 1710 Mantenimiento de la salud bucal. 97 ACTIVIDAD- EJERCICIO
  • 99.
    00109 DÉFICIT DEAUTOCUIDADO: VESTIDO / ACICALAMIENTO. Definición. Deterioro de la capacidad de la persona para realizar o com- pletar por sí misma las actividades de vestido y arreglo personal. Es recomendable su detección si existe un déficit no compensado, o el manejo del déficit que realiza la familia es inestable o ineficaz y se puede mejorar. Es recomendable no usar esta etiqueta en los casos en que se encuentra compensado por la familia o el cuidador. CARACTERÍSTICAS DEFINITORIAS • Deterioro de la capacidad para: • Ponerse y quitarse las prendas de ropa necesarias. Abrocharse la ropa. Obtener o reemplazar los artículos de vestir. • Incapacidad para: • Para ponerse la ropa en la parte superior o inferior del cuerpo. Quitarse la ropa. • Usar cremalleras. • Coger la ropa. Elegir la ropa. Mantener el aspecto aun nivel satis- factorio. • Ponerse los calcetines. Ponerse los zapatos. • Usar dispositivos de ayuda. FACTORES ETIOLÓGICOS Disminución de la motivación, debilidad, cansancio, ansiedad severa. Dependiendo del tipo y grado: dolor, malestar, deterioro neuromuscular, deterioro musculoesquelético de la movilidad o de la capacidad para el traslado. Barreras ambientales. RECOMENDACIONES PARA LA VALORACIÓN ESPECÍFICA Valorar el nivel funcional según la clasificación del deterioro de la movili- dad física (página 93): 98 PACIENTE ACTIVIDAD- EJERCICIO
  • 100.
    Valorar respuestas delos patrones: Percepción y manejo de la salud: Incapacidad del adulto para mantener su desarrollo. Cognitivo / perceptivo: Deterioro cognitivo, dolor. Autopercepción/autoconcepto: Depresión o ansiedad. Relaciones sugeridas NOC 0300 Autocuidados: actividades de la vida diaria (AVD) NIC 1680 Cuidados de las uñas. 0200 Fomentar el ejercicio. 3590 Vigilancia de la piel. 5220 Potenciar la imagen corporal. 00110 DÉFICIT DE AUTOCUIDADO: USO WC Definición. Deterioro de la capacidad de la persona para realizar o com- pletar por sí misma las actividades de uso del orinal o WC. Es recomendable su detección si existe un déficit no compensado, o el manejo del déficit que realiza la familia es inestable o ineficaz y se puede mejorar. Es recomendable no usar esta etiqueta en los casos en que se encuentra compensado por la familia o el cuidador. CARACTERÍSTICAS DEFINITORIAS • Incapacidad para: • Llegar hasta el WC o el orinal. • Sentarse o levantarse de WC o del orinal. • Manipular la ropa para la evacuación. • Realizar la higiene adecuada tras la evacuación. • Limpiar el WC o el orinal después del uso. 99 PACIENTE ACTIVIDAD- EJERCICIO
  • 101.
    FACTORES ETIOLÓGICOS Disminución dela motivación, debilidad, cansancio, ansiedad severa. Dependiendo del tipo y grado: dolor, malestar, deterioro neuromuscular, dete- rioro musculoesquelético de la movilidad o de la capacidad para el traslado. Barreras ambientales. RECOMENDACIONES PARA LA VALORACIÓN ESPECÍFICA Valorar el nivel funcional según la clasificación del deterioro de la movili- dad física (página 93): Valorar respuestas de los patrones: Percepción y manejo de la salud: Incapacidad del adulto para mantener su desarrollo. Cognitivo / perceptivo: Deterioro cognitivo, dolor. Autopercepción/autoconcepto: Depresión o ansiedad. Relaciones sugeridas NOC 0300 Autocuidados: actividades de la vida diaria (AVD). 0305 Autocuidados: higiene. 0310 Autocuidados: uso del inodoro. NIC 1804 Ayuda con los autocuidados: aseo. 6480 Manejo ambiental. 0410 Cuidados de incontinencia intestinal. 1100 Manejo de la nutrición. 0590 Manejo de la eliminación urinaria. 4120 Manejo de líquidos. 0430 Manejo intestinal. 1610 Baño. 0480 Cuidados de la ostomia. 0200 Fomento del ejercicio. 0450 Manejo del estreñimiento / impactación. 3590 Vigilancia de la piel. 100 ACTIVIDAD- EJERCICIO
  • 102.
    00040 RIESGO DESÍNDROME DE DESUSO Definición Riesgo de deterioro de los sistemas corporales a consecuen- cia de la inactividad musculoesquelética prescrita. Se trata de un diagnóstico que se asocia a los pacientes encama- dos. Las complicaciones de la movilidad pueden incluir úlceras por presión, estreñimiento, estasis de las secreciones pulmonares, trom- bosis, infección del tracto urinario o retención de orina, disminución de la resistencia o fuerza, hipotensión ortostática, reducción de la movili- dad articular, desorientación, alteración de la imagen corporal e impo- tencia. FACTORES DE RIESGO Dolor grave. Inmovilización mecánica. Alteración del nivel de la conciencia. Inmovilización prescrita. Parálisis. RECOMENDACIONES PARA LA VALORACIÓN ESPECÍFICA Valorar respuestas de los patrones Percepción/Control de la salud: Incapacidad del adulto para mantener su desarrollo. Riesgo de caídas. Eliminación: Estreñimiento, Incontinencia urinaria o fecal. Autopercepción/Autoconcepto: Deterioro cognitivo, Depresión, soledad, ansiedad, temor. Cognitivo / perceptivo: Dolor. Relaciones sugeridas NOC 0204 Consecuencias de la inmovilidad: fisiológicas. 101 PACIENTE ACTIVIDAD- EJERCICIO
  • 103.
    1902 Control deriesgo. 0208 Movilidad. 0203 Posición corporal autoiniciada. 2400 Función sensitiva:cutánea. NIC 0221 Terapia de ejercicios: deambulación. 0224 Terapia de ejercicios: movilidad articular. 0200 Fomento del ejercicio. 0202 Fomento del ejercicio: entrenamiento de extensión. 3540 Prevención de las úlceras por presión. 3500 Manejo de las presiones. DETERIORO DE LA DEAMBULACIÓN Definición Limitación del movimiento a pie en el entorno. Utilizar si no existen más factores para el riesgo de caídas. Es recomendable no usar esta etiqueta en los casos en que exis- ten varios factores de riesgo asociados para el Riesgo de caídas. CARACTERÍSTICAS DEFINITORIAS • Deterioro de la habilidad para: • Subir escaleras. • Caminar las distancias requeridas. • Caminar sobre un plano inclinado ascendente o descendente. • Caminar sobre superficies desiguales. • Sortear obstáculos. RECOMENDACIONES PARA LA VALORACIÓN ESPECÍFICA Escalas Tinetti: para valorar la marcha y el equilibrio. Valorar respuestas de los patrones Percepción/Control de la salud: Riesgo de caídas. 102 PACIENTE CUIDADOR ACTIVIDAD- EJERCICIO
  • 104.
    Relaciones sugeridas NOC 1909 Conductade seguridad: prevención de caídas. 0200 Ambular. 0202 Equilibrio. 2100 Nivel de movilidad. NIC 0221 Terapia de ejercicio: ambulación. 00168 SEDENTARISMO Definición Informes sobre hábitos de vida que se caracterizan por un bajo nivel de actividad física. Utilizar cuando no existe deterioro funcional que impida la realiza- ción de actividad física. Es recomendable no usar esta etiqueta en los casos en que exis- te deterioro de la movilidad, física. CARACTERÍSTICAS DEFINITORIAS • Elección de una rutina diaria de bajo contenido en actividad física. • Verbaliza preferencias de actividades de bajo contenido en actividad física. • Muestra falta de forma física. FACTORES ETIOLÓGICOS Desconocimiento de los beneficios que para la salud conlleva la realización de ejercicio físico. Falta de entrenamiento en la realización de ejercicio físico. Carencia de recursos (tiempo, dinero, compañero, destreza). Carencia de motivación. Carencia de interés. 103 CUIDADOR ACTIVIDAD- EJERCICIO
  • 105.
    RECOMENDACIONES PARA LAVALORACIÓN ESPECÍFICA Valorar la presencias de barreras y la autoeficacia para la realización de la actividad física, tales como el apoyo social. Tiempo para el cuidado persona y de salud en el cuidador. Relaciones sugeridas NOC 1815 Conocimiento: actividad prescrita. 1805 Conocimiento: conducta sanitaria. 2004 Forma física. 0005 Tolerancia a la actividad. NIC 0200 Fomento del ejercicio. 5612 Enseñanza: actividad/ ejercicio prescrito. 00092 INTOLERANCIA A LA ACTIVIDAD Definición. Insuficiente energía fisiológica o psicológica para tolerar o completar las actividades diarias requeridas o deseadas. Se aconseja usar esta etiqueta cuando se trate de una situación temporal en una persona que habitualmente se siente descansada tras el reposo y es capaz de llevar a cabo las actividades diarias sin un esfuerzo excesivo y el riesgo tenga su origen en conductas inapro- piadas de la persona que puedan ser modificadas, o en factores sobre los que sea posible incidir eliminándolos, reduciéndolos o modifican- do sus efectos20 . Se desaconseja utilizarla cuando la persona haga todo lo que está a su mano para reducir el riesgo, aunque éste persista20 . CARACTERÍSTICAS DEFINITORIAS • Informes verbales de fatiga o debilidad. • Frecuencia cardiaca o presión arterial anormales en respuesta a la actividad. • Malestar o disnea de esfuerzo. 104 CUIDADOR ACTIVIDAD- EJERCICIO
  • 106.
    • Cambios electrocardiográficosindicadores de arritmias o isquemias • Informes verbales de fatiga o debilidad. • Frecuencia cardiaca o presión arterial anormales en respuesta a la actividad. • Malestar o disnea de esfuerzo. • Cambios electrocardiográficos indicadores de arritmias o isquemias • Informes verbales de fatiga o debilidad. • Frecuencia cardiaca o presión arterial anormales en respuesta a la actividad. • Malestar o disnea de esfuerzo. • Cambios electrocardiográficos indicadores de arritmias o isquemias FACTORES ETIOLÓGICOS Reposo en cama, inmovilidad, debilidad generalizada, sedenta- rismo. Desequilibrio entre aportes y demandas de oxigeno. Valorar respuestas coincidentes en otros diagnósticos: Fatiga. Relaciones sugeridas NOC 0205 Consecuencias de la inmovilidad: fisiológicas. 0002 Conservación de la energía. 0704 Autocontrol del asma. 2004 Forma física. 0005 Tolerancia a la actividad. NIC 5612 Enseñanza: actividad / ejercicio prescrito. 0202 Fomento del ejercicio: entrenamiento de extensión. 0200 Fomento del ejercicio. 6482 Manejo ambiental: comodidad. 105 ACTIVIDAD- EJERCICIO
  • 107.
    00093 FATIGA Definición: Nombrauna situación en que la persona tiene una sensación prolongada de agotamiento profundo que no se alivia con el descanso y que se manifiesta en una reducción de su capacidad habitual para el esfuerzo físico y mental. Se aconseja usar esta etiqueta cuando se trate de una situación temporal en una persona que previamente se sentía descansada tras el reposo y podía llevar a cabo las actividades diarias sin un esfuerzo excesivo20 . CARACTERÍSTICAS DEFINITORIAS • Verbalización de más tiempo de descanso o más energía. • No recuperar completamente la energía, cansancio que no desapa- rece tras el descanso. • Incapacidad para mantener el ritmo de vida o las actividades habi- tuales o necesitar más tiempo para llevarlas a cabo. • Dificultad para concentrarse. • Falta de interés en el entorno. • Introspección. • Somnolencia. • Disminución de la libido. • Sensación de culpabilidad por no cumplir con sus responsabilida- des. • Aumento de las quejas físicas. FACTORES ETIOLÓGICOS Factores psicológicos: Aumento del estrés o la ansiedad, estilo de vida aburrido. Factores ambientales: Alteración del grado de humedad, luces, ruido o temperatura por exceso o defecto. Factores situacionales: Acontecimientos vitales negativos, tipo de trabajo. 106 CUIDADOR ACTIVIDAD- EJERCICIO
  • 108.
    Factores fisiológicos: Faltade sueño suficiente, mal estar físico, aumento del ejercicio físico, desnutrición dependiendo del tipo y grado. Factores psicológicos: Depresión. Factores fisiológicos: Anemia, enfermedad, desnutrición. RECOMENDACIONES PARA LA VALORACIÓN ESPECÍFICA Valorar respuestas de los patrones Actividad – ejercicio: Intolerancia a la actividad. Autopercepción: Depresión, ansiedad, impotencia, desesperanza. Afrontamiento/Tolerancia al estrés: Deterioro de la adaptación. Rol/Relaciones: Duelo. Relaciones sugeridas NOC 0001 Resistencia. 0005 Tolerancia a la actividad. NIC 5440 Aumentar los sistemas de apoyo. 6040 Terapia de relajación simple. 1850 Mejorar el sueño. 0180 Manejo de energía. 1480 Masaje simple. 0200 Fomento del ejercicio. 1100 Manejo de la nutrición. 00097 DÉFICIT DE ACTIVIDADES RECREATIVAS Definición. Disminución de la estimulación del interés o de la participa- ción en actividades recreativas o de ocio. Es recomendable usar esta etiqueta en los caso en que la perso- 107 CUIDADOR ACTIVIDAD- EJERCICIO
  • 109.
    na ha abandonadohábitos recreativos recuperables en su situación actual. CARACTERÍSTICAS DEFINITORIAS • Los pasatiempos habituales no pueden realizarse. • Afirmaciones de la persona de que se aburre, o que desea tener algo que hacer que leer, etc. FACTORES ETIÓLOGICOS Entorno desprovisto de actividades recreativas. Prolongados tratamientos, inmovilidad, etc. Relaciones sugeridas NOC 1604 Participación en actividades de ocio. NIC 4480 Facilitar la autorresponsabilidad. 5360 Terapia de entretenimiento. 0200 Fomento del ejercicio. 5430 Grupo de apoyo. 00095. IMSONIO Definición Una interrupción sostenida en la cantidad y la calidad del sueño que afecta a la capacidad para funcionar. En 2006 cambia de denominación. Anteriormente denominado como Deterioro del patrón del sueño. Algunos autores20 aconsejan usar esta etiqueta únicamente cuando el trastorno es de reciente instauración, y aun en casos se recomienda extremar la prudencia, ya que, en muchas ocasiones, el insomnio es sólo una manifesta- ción de otro problema más general (dolor, ansiedad, temor, etc.) que debe ser identificado y tratado siempre que sea posible. Se desaconseja utilizarla cuando se trate de alteraciones crónicas o que deben ser diagnosticadas y tratadas por un especialista en tras- torno del sueño20 . 108 PACIENTE CUIDADOR SUEÑO-DESCANSO
  • 110.
    CARACTERÍSTICAS DEFINITORIAS • Elpaciente informa de: • Dificultad para quedarse dormido o mantenerse dormido. • Despertarse demasiado pronto. • Sueño no reparador. • Trastornos del sueño que afectan al funcionamiento diurno. • Insatisfacción con el sueño actual. • Dificultad de concentración. • Falta de energía. • Cambios de ánimo. • Disminución de la calidad de vida. • Aumento de accidentes. • Disminución del estado de salud. • Se observa falta de energía o en las emociones. • Incremento del absentismo escolar o laboral. FACTORES ETIOLÓGICOS Ingesta de estimulantes, alcohol. Estrés (pensamientos repetitivos antes del sueño). Higiene del sueño inadecuada. Patrón de actividad (cantidad, horarios). Factores ambientales (Temperatura, humedad, ruido, olores o ilu- minación inadecuados que dificultan el sueño, falta de intimidad, falta de familiaridad con la habitación, estimulación excesiva, sujeciones físicas). Miedo, ansiedad, duelo. Depresión, medicación. RECOMENDACIONES PARA LA VALORACIÓN ESPECÍFICA Valorar respuestas de los patrones Percepción/Control de la salud: Ambiente físico del domicilio, presencia de cuidador, medicación prescrita, automedicación. 109 SUEÑO-DESCANSO
  • 111.
    Eliminación: Incontinencia urinariao fecal. Actividad / ejercicio: Tipo y grado de actividad. Autopercepción/Autoconcepto: Depresión, soledad, ansiedad, temor. Cognitivo / perceptivo: Dolor. Relaciones sugeridas NOC 1305 Modificación psicosocial: cambio de vida. 2002 Bienestar personal. 0003 Descanso. 1203 Soledad. NIC 1850 Mejorar el sueño. 6482 Manejo ambiental: comodidad. 6040 Terapia de relajación simple. 5820 Disminución de la ansiedad. 0200 Fomento del ejercicio. 1400 Manejo del dolor. 00051 DETERIORO DE LA COMUNICACIÓN VERBAL Definición. Disminución, retraso o carencia de la capacidad para recibir, procesar, transmitir y usar un sistema de símbolos. CARACTERÍSTICAS DEFINITORIAS • Negativa voluntaria a hablar. • Desorientación en las tres esferas: tiempo espacio y personas. • No hablar o no poder hablar. Hablar con dificultad. Hablar de forma inapropiada. • Dificultad para expresar los pensamientos verbalmente. • Tartamudeo. Pronunciación poco clara. Disnea. 110 CUIDADOR COGNITIVO- PERCEPTIVO
  • 112.
    FACTORES ETIOLÓGICOS Disminución dela circulación cerebral. Diferencias culturales. Barreras psicológicas. Barreras físicas. Defectos anatómicos. Tumor cerebral. Barreras ambientales. Falta de personas significativas. Falta de informa- ción. Alteración de la autoestima, o autoconcepto. Alteraciones del SNC. Condiciones emocionales. Relaciones sugeridas NOC 0902 Comunicación. NIC 4974 Mejorar la comunicación: déficit auditivo. 4976 Mejorar la comunicación: déficit del habla. 4978 Mejorar la comunicación: déficit visual. 00122 TRASTORNO DE LA PERCEPCIÓN (especificar: visual, auditi- va, cinestésica, gustativa, táctil, olfatoria) Definición. Cambio en la cantidad o en el patrón de los estímulos que percibe acompañado por un respuesta disminuida, exagerada, distorsio- nada o deteriorada de los mismos. CARACTERÍSTICAS DEFINITORIAS • Falta de concetración. Distorsiones auditivas. Cambios en las res- puestas usuales a los estímulos. Agitación. Cambio informado o medido de la sensibilida acústica. Irritabilidad. Desorientación en el tiempo, en el espacio o en las personas. Cambios en las habili- dades para la solución de problemas. Cambio en el patrón de con- ducta. FACTORES ETIOLÓGICOS Excesivos estímulos ambientales. Estrés psicológico. Falta de estímulos ambientales. Alteración de la recepción., transmisión o integración sen- sorial. 111 PACIENTE COGNITIVO- PERCEPTIVO
  • 113.
    Relaciones sugeridas NOC 0902 Comunicación. 0205Consecuencias de la inmovilidad: psicocognitivas. NIC 4974 Mejorar la comunicación: déficit auditivo. 4978 Mejorar la comunicación: déficit visual. 00131 DETERIORO DE LA MEMORIA Definición. Incapacidad para recordar o recuperar parcelas de informa- ción o habilidades conductuales. Se aconseja usar esta etiqueta cuando sea posible controlar, redu- cir o eliminar los factores que generan el deterioro o ayudar a mante- ner o potenciar las capacidades que todavía tiene la persona20 . Se desaconseja utilizar en deterioro cognitivos importantes. CARACTERÍSTICAS DEFINITORIAS • Incapacidad para recordar información sobre los hechos. • Incapacidad para recordar acontecimientos recientes o pasados. • Incapacidad para aprender o retener nuevas habilidades o informa- ción. • Incapacidad para recordar si ya se ha realizado una conducta. • Información u observación de experiencias de olvidos. • Incapacidad para realizar una habilidad previamente aprendida. • Olvida realizar una conducta en el momento programado para ello. FACTORES ETIOLÓGICOS Dificultad para el aprendizaje, capacidad para leer o escribir, capa- cidad para la toma de decisiones. Cambios ambientales excesivos. Hipoxia aguda o crónica, anemia, disminución del gasto cardíaco, desequilibrio de líquidos y electrolitos, trastorno neurológico. 112 PACIENTE COGNITIVO- PERCEPTIVO
  • 114.
    RECOMENDACIONES PARA LAVALORACIÓN ESPECÍFICA Valorar respuestas de los patrones Percepción y manejo de la salud: Incapacidad del adulto para mantener su desarrollo. Escala Para valorar si existe deterioro cognitivo se recomienda la realización del test de PFEIFFER. Se sugiere también la utilización del TIN corto (Test del informador), para aumentar la sensibilidad del test de PFEIFFER al no estar influido por la edad y el nivel cultural, tener mayor sensibilidad en la detección del dete- rioro cognitivo leve y no precisar de mucho tiempo añadido. Relaciones sugeridas NOC 0908 Memoria. NIC 4760 Entrenamiento de la memoria. 5820 Disminución de la ansiedad. 6460 Manejo de la demencia. 4820 Orientación de la realidad. 7140 Apoyo a la familia. 5270 Apoyo emocional. 00133 DOLOR CRÓNICO Definición: Experiencia sensitiva y emocional desagradable ocasionada por una lesión tisular real o potencial o descrita en tales términos; inicio súbito o lento de cualquier intensidad de leve a severa con un final antici- pado o previsible y una duración. Se aconseja usar esta etiqueta en cualquier momento en que la persona experimenta dolor y sea posible reducir la intensidad percibi- da o a aumentar la eficacia del tratamiento medico mediante técnicas no invasivas, con independencia de que simultáneamente el dolor este siendo tratado con fármacos o técnicas invasivas20 . 113 PACIENTE CUIDADOR COGNITIVO- PERCEPTIVO
  • 115.
    Se desaconseja utilizareste diagnostico cuando la persona o el cuidador ya están aplicando todas las medidas posibles y el dolor per- siste, o cuando no desean probar el uso de técnicas no invasivas20 . CARACTERÍSTICAS DEFINITORIAS • Cambios ponderales. • Informes verbales o codificados u observación de evidencias de conducta de protección o de defensa, máscara facial, irritabilidad, centrar la atención en sí mismo, agitación, depresión. • Atrofia de los grupos musculares atrofiados. • Cambios en el patrón del sueño. • Fatiga. • Temor a nuevas lesiones. • Reducción de la intreracción con los demás. • Alteración de la capacidad para seguir con las actividades previas. • Respuestas mediadas por el sistema nervioso simpático (tempera- tura, frío, cambios en la posición corporal, hipersensibilidad). • Anorexia. FACTORES ETIOLÓGICOS Incapacidad física o psicosocial crónica. RECOMENDACIONES PARA LA VALORACIÓN ESPECÍFICA Escala Se utiliza la Escala Visual Analógica (EVA). Valorar respuestas coincidentes en otros diagnósticos: Dolor agudo. Relaciones sugeridas NOC 1605 Control del dolor. 1306 Dolor: respuesta psicológica adversa. 2102 Nivel de dolor. 1206 Deseo de vivir. 114 COGNITIVO- PERCEPTIVO
  • 116.
    NIC 2400 Asistencia enla analgesia controlada por el paciente (PCA). 1400 Manejo del dolor. 2317 Administración de medicación. 1380 Aplicación de calor o frío. 2380 Manejo de la medicación. 5900 Distracción. 4920 Escucha activa. 0202 Fomento de ejercicios: extensión. 6040 Terapia de relajación simple. 00132. DOLOR AGUDO. Definición: Experiencia sensitiva y emocional desagradable ocasionada por una lesión tisular real o potencial o descrita en tales términos; inicio súbito o lento de cualquier intensidad de leve a severa con una finalidad anticipada o previsible y una duración menor de 6 meses. Se aconseja usar esta etiqueta en cualquier momento en que la persona experimente dolor y sea posible reducir la intensidad percibi- da deseaste o aumentar la eficacia del tratamiento medico mediante técnicas no invasivas, con independencia de que simultáneamente el dolor este siendo tratado con fármacos o técnicas invasivas20 . Se desaconseja usar esta etiqueta en los casos de dolor agudo directa y unívocamente relacionados con una lesión tisular (p. Ejem. el post operatorio inmediato) cuando constituye un problema que debe ser tratado en colaboración20 . CARACTERÍSTICAS DEFINITORIAS • Informe verbal o codificado. • Observación de evidencias. • Posición antiálgica para evitar el dolor. • Gestos de protección. • Conducta de defensa. 115 PACIENTE CUIDADOR COGNITIVO- PERCEPTIVO
  • 117.
    • Mascara facial. •Trastornos del sueño (ojos apagados, mirada abatida, movimientos fijos o escasos, muecas). • Centrar la atención en sí mismo. • Estrechamiento del foco de atención (alteración de la percepción del tiempo, deterioro de los procesos de pensamiento, reducción de la interacción con las personas y con el entorno). • Conductas de distracción (caminar de un lado a otro, búsqueda de otras personas o actividades, actividades repetitivas). • Alteración del tono muscular (de laxitud a rigidez). • Respuestas autónomas (diaforesis, cambios de la presión, arterial, respiración, y pulso, dilatación pupilar). • Conducta expresiva (agitación, gemidos, llanto, vigilancia, irritabili- dad, suspiros). • Cambios en el apetito y en la ingesta. FACTORES ETIOLÓGICOS Agentes lesivos (biológicos, químicos, físicos, psicológicos) RECOMENDACIONES PARA LA VALORACIÓN ESPECÍFICA Características del dolor; calidad, intensidad, inicio, duración y ritmo. Escalas Se utiliza la Escala Visual Analógica (EVA). Valorar respuestas coincidentes en otros diagnósticos: Dolor crónico. Relaciones sugeridas NOC 1605 Control de dolor. 2101 Dolor: efectos nocivos. 2100 Nivel de comodidad. 2102 Nivel de dolor. 1608 Control del síntoma. 116 COGNITIVO- PERCEPTIVO
  • 118.
    NIC 2400 Asistencia enla analgesia controlada por el paciente (PCA). 1400 Manejo del dolor. 5820 Disminución de la ansiedad. 1610 Baño. 5310 Dar esperanza. 5900 Distracción. 4920 Escucha activa. 1850 Mejorar el sueño. 0200 Fomento del ejercicio. 00124 DESESPERANZA Definición. Estado subjetivo en que la persona percibe pocas o ninguna alternativa o elecciones personales y es incapaz de movilizar su energía en su propio provecho. Se aconseja utilizar esta etiqueta cuando la percepción de la per- sona no sea realista y haya alternativas u opciones posibles que ella no percibe20 . Se desaconseja utilizarla en situaciones terminales o irreparables cuando, realmente, ninguna otra elección o alternativa posible, en cuyo caso se recomienda centrar los cuidados en fomentar la acepta- ción de la situación20 . CARACTERÍSTICAS DEFINITORIAS • Pasividad, disminución de la verbalización. • Disminución de las emociones. • Claves verbales (Contenido desesperanzado, “no puedo”, suspiros). • Falta de iniciativa. • Disminución de la respuesta a los estímulos. • Volverse hacia el lado contrario de la persona que habla. • Cerrar los ojos. • Encogerse de hombros en respuesta a la persona que le habla. 117 PACIENTE AUTOPERCEPCIÓN
  • 119.
    • Disminución delapetito. • Aumento o disminución del sueño. • Falta de implicación en sus cuidados o aceptación pasiva. FACTORES ETIOLÓGICOS Abandono. Prolongada restricción que crea aislamiento. Estrés de larga duración, declive o deterioro del estado fisiológico. Pérdida de la fe en los valores transcendentales. RECOMENDACIONES PARA LA VALORACIÓN ESPECÍFICA Valorar respuestas coincidentes en otros diagnósticos: Ansiedad, Baja autoestima crónica, Baja autoestima situacional, Impotencia, Aflicción crónica, Temor. Valorar respuestas de los patrones: Valores/Creencias: Sufrimiento espiritual. Relaciones sugeridas NOC 1300 Aceptación: estado de salud. 0204 Consecuencias de la inmovilidad: fissiológicas. 1201 Esperanza. 1304 Resolución de la aflicción. NIC 5310 Dar esperanza. 5270 Apoyo emocional. 5250 Apoyo en toma de decisiones. 5440 Aumentar sistemas de apoyo. 5290 Facilitar el duelo. 5430 Grupo de apoyo. 4700 Reestructuración cognitiva. 118 AUTOPERCEPCIÓN
  • 120.
    00125 IMPOTENCIA Definición. Percepciónde que las propias acciones no variarán significa- tivamente el resultado; percepción de falta de control sobre la situación actual o un acontecimiento inmediato. CARACTERÍSTICAS DEFINITORIAS • Bajas Expresiones de incertidumbre sobre los niveles fluctuantes de energía. Pasividad. • Moderadas • Falta de participación en los cuidados o toma de decisiones cuan- do se da la oportunidad de hacerlo. Resentimiento, cólera, culpa. Rechazo a manifestar los verdaderos sentimientos. Pasividad. Dependencia de otros que puede resultar en irritabilidad. Expresiones de insatisfacción y frustración por la incapacidad para realizar las tareas o actividades previas. Expresiones de duda res- pecto al desempeño del rol. Falta de control de los progresos. Falta de defensa de las prácticas de autocuidado cuando son cuestiona- das. Incapacidad para buscar información respecto a sus cuidados. • Graves • Expresiones verbales de carencia de control: sobres su autoacuida- do, influencia sobre la situación o influencia sobre el resultado. • Apatía. Depresión por el deterioro físico que ocurre a pesar de seguir el tratamiento. FACTORES ETIOLÓGICOS Entorno de cuidados de la salud. Tratamiento relacionado con su enfermedad. Interacción personal. Estilo de vida desesperanzado. RECOMENDACIONES PARA LA VALORACIÓN ESPECÍFICA Valorar respuestas coincidentes en otros diagnósticos: Ansiedad, Baja autoestima crónica, Baja autoestima situacional, Deseperanza, Aflicción crónica, Temor. 119 PACIENTE AUTOPERCEPCIÓN
  • 121.
    Relaciones sugeridas NOC 1300 Aceptación:estado de salud. 1205 Autoestima. 1700 Creencias sobre la salud. NIC 5310 Dar esperanza. 5270 Apoyo emocional. 5250 Apoyo en toma de decisiones. 5440 Aumentar sistemas de apoyo. 5290 Facilitar el duelo. 5430 Grupo de apoyo. 4700 Reestructuración cognitiva. 00118 TRASTORNO DE LA IMAGEN CORPORAL Definición. Confusión en la percepción del yo físico. Se aconseja utilizar esta etiqueta siempre que la persona tras una enfermedad, traumatismo o lesión que ha modificado su aspecto o función corporal, necesite reajustar la imagen mental que tiene de sí misma.20 Se desaconseja utilizarla cuando los problemas de ajuste de la ima- gen mental se deban a trastornos psicopatológicos.20 CARACTERÍSTICAS DEFINITORIAS • Expresión de sentimientos que reflejan una alteración de la visión del propio cuerpo en cuanto a su aspecto, estructura o función. • Expresión de percepciones que reflejan una alteración de la visión del propio cuerpo en cuanto a su aspecto, estructura o función. • Respuesta no verbal a cambios reales o percibidos en la estructura o funcionamiento. • Conductas de excitación, control o reconocimiento del propio cuerpo. 120 PACIENTE AUTOPERCEPCIÓN
  • 122.
    • Objetivas. • Pérdidade una parte corporal. • Traumatismo de la parte no funcionante. • No tocar una parte funcional. • Ocultamiento o exposición excesiva (intencionada o no) de una parte corporal. • Cambio en la implicación social. • Cambio en la capacidad para estimar la relación espacial del cuer- po en el entorno. • No mirar esa parte corporal. • Cambio real en la estructura o funcionamiento. • Ampliación de los límites del cuerpo para incorporar objetivos del entorno. • Subjetivas. • Rechazo a verificar un cambio real. • Preocupación con el cambio o pérdida. • Personalización de la parte o pérdida dándole un nombre. • Despersonalización de la parte o pérdida mediante pronombres impersonales. • Sentimientos negativos sobre el cuerpo (Ejem., sentimientos de desesperación, desesperanza, impotencia). • Expresión de cambios en el estilo de vida. • Centrar la atención en las capacidades, funciones o aspecto ante- rior. • Miedo al rechazo o a la reacción de los otros. • Destacar las capacidades restantes. • Exagerar los logros. FACTORES ETIOLÓGICOS Falta de adaptación a cambios: Psicosociales, biofisiológicos, cog- nitivos o perceptuales, cambios de desarrollo, traumatismo o lesión, cirugía, tratamiento de la enfermedad. 121 AUTOPERCEPCIÓN
  • 123.
    RECOMENDACIONES PARA LAVALORACIÓN ESPECÍFICA Debe tenerse en cuenta que la imagen corporal es uno de los cuatro com- ponentes que configuran la percepción de uno mismo (imagen corporal, desempeño del rol, identidad personal y autoestima). La alteración o cam- bio en cualquiera de los cuatro repercute necesariamente en los restan- tes. Esto implica que, al valorar uno de los componentes de la autoper- cepción, se deben tener en cuenta los otros tres. Por otra parte, la impor- tancia que la sociedad actual confiere al cuerpo hace que la autoimagen sea un aspecto muy importante de la autopercepción.20 Valorar respuestas de los patrones: Rol/Relación: Duelo anticipado, Duelo disfuncional. Relaciones sugeridas NOC 1305 Modificación psicosocial: cambio de vida. 1205 Autoestima. 1200 Imagen corporal. 1503 Implicación social. NIC 5220 Potenciación de la imagen corporal. 5270 Apoyo emocional. 5240 Asesoramiento. 5480 Clarificación de los valores. 5430 Grupo de apoyo. 1260 Manejo del peso. 5250 Apoyo en toma de decisiones. 0200 Fomento del ejercicio. 4700 Reestructuración cognitiva. 00120 BAJA AUTOESTIMA SITUACIONAL Definición. Situación en que la persona, ante una situación específica, responde con una autoevaluación negativa. 122 PACIENTE CUIDADOR AUTOPERCEPCIÓN
  • 124.
    Se aconseja utilizaresta etiqueta en situaciones en que la perso- na tenía previamente una autoestima positiva y, en respuesta a una alteración de la salud o un proceso vital, presenta manifestaciones de pérdida de la misma.20 Se desaconseja utilizarla cuando la pérdida de la autoestima sea repetitiva o de larga evolución.20 CARACTERÍSTICAS DEFINITORIAS • Informes verbales de que la situación actual desafía su valía personal. • Verbalizaciones autonegativas. • Conducta indecisa, no asertiva. • Evaluación de sí mismo como incapaz de afrontar la situación o los acontecimientos. • Expresiones de e inutilidad. FACTORES ETIOLÓGICOS Cambios en el desarrollo, alteración de la imagen corporal, deterio- ro funcional, pérdida, cambios de rol, falta de reconocimiento o recom- pensas, conductas inconsistente con los valores, creencias erróneas, pensamientos ilógicos, irracionales o distorsiornados. RECOMENDACIONES PARA LA VALORACIÓN ESPECÍFICA Revisar la presencia de expresiones verbales de autonegación, de ver- güenza o de culpa. La génesis de la baja autoestima se sitúa en pensamientos irracionales. Para la identificación de dichos pensamientos se suele utilizar una técnica de terapia cognitiva, la de las tres columnas, que permiten analizar el pro- ceso por el cual una persona ha llegado a desarrollar los sentimientos nega- tivos. La primera columna registra la situación objetiva; en la segunda, el paciente escribe los pensamientos negativos/irracionales que se le ocurrie- ron; la tercera columna registra los sentimientos negativos y las conductas disfuncionales que resultaron de ellos. Otra técnica consiste en solicitar a la persona que se describa física y personalmente para identificar pensamien- tos irracionales, negativos o distorsionados(pensamiento polarizado, gene- ralización exagerada, magnificación y personalización), que permitirán iden- tificarlos y trabajar sobre ellos mediante el filtro de los mismos con varios criterios (intensidad emocional que produce el pensamiento, utilidad de pen- samiento, objetividad, y formalidad). 123 AUTOPERCEPCIÓN
  • 125.
    Cambios en loshábitos de vida cotidiana: alimentación, higiene, arreglo personal, sexualidad, etc. Dependiendo del tipo y grado: cambios en el desarrollo o el rol social, alte- ración de la imagen corporal o deterioro funcional. Escala Autoestima de Rosemberg. Relaciones sugeridas NOC Escala de Autoestima de Rosemberg. 1205 Autoestima. 2502 Recuperación de abuso: emocional. 1302 Superación de problemas. NIC 5400 Potenciación de la autoestima. 5220 Potenciación de la imagen corporal. 5270 Apoyo emocional. 5240 Asesoramiento. 5440 Aumentar los sistemas de apoyo. 4700 Reestructuración cognitiva 00146 ANSIEDAD Definición. Vaga sensación de malestar o amenaza acompañada de una respuesta del sistema nervioso autónomo y cuyo origen con frecuencia es desconocido para el individuo; sentimiento de aprensión causada por la anticipación de un peligro. Es una señal de alerta que advierte de un peli- gro inminente y permite al individuo tomar medidas para afrontarlo. Se aconseja utilizar esta etiqueta cuando la persona sufre una ansiedad severa, es decir, el tercer nivel de los cuatro que clásica- mente se han descrito: leve, moderada, severa y pánico. Hay que establecer una distinción básica entre esta etiqueta y la de Temor, en la ansiedad se desconoce el origen de la sensación o éste es 124 PACIENTE CUIDADOR AUTOPERCEPCIÓN
  • 126.
    inespecífico, mientras queen el Temor la persona identifica clara- mente la fuente de la amenaza. Ambas se producen como respues- ta a una sensación de peligro y sus manifestaciones son simila- res.20 Se desaconseja utilizarla en los dos primeros niveles de la clasifi- cación (ansiedad leve o moderada), que no requieren intervención alguna porque son convenientes para el desarrollo y originan conduc- tas positivas para la persona, así como en el cuarto nivel o pánico que, al tratarse de una crisis aguda, requiere tratamiento en colabora- ción con otro profesional.20 CARACTERÍSTICAS DEFINITORIAS • Conductuales. • Disminución de la productividad. Control y vigilancia. Mal contacto ocular. Agitación. Lanzar miradas alrededor. • Movimientos extraños (Ejem., arrastrar los pies, movimientos de la mano/brazo). Expresión de preocupaciones debidas a cambios en acontecimientos vitales. Insomnio. Inquietud. • Afectivas. • Arrepentimiento. Irritabilidad. Angustia. Sobresalto. Nerviosismo. Sobreexcitación. Desesperanza dolorosa y creciente. Desconcierto. Incertidumbre. Preocupación creciente. Atención centrada en el yo. Sentimientos de inadecuación. Temor. Distres. Aprensión. Inquietud. • Fisiológicas. • Voz temblorosa. Estremecimiento/temblor de manos. Inestabilidad. Aumento de la respiración (simpático). Urgencia uri- naria (parasimpático). Aumento del pulso (simpático). Dilatación pupilar (simpático). Aumento de los reflejos (simpático). Dolor abdominal (parasimpático). Trastornos del sueño (parasimpático). Hormigueo en las extremidades (parasimpático) Excitación car- diovascular (simpático). Aumento de la transpiración. Tensión facial. Anorexia (simpático). Palpitaciones (simpático). Diarrea (parasimpático). Dificultad para iniciar el chorro de orina (parasim- pático). Fatiga (parasimpático). Sequedad bucal (simpático). Debilidad (simpático). Disminución del pulso(parasimpático). Enrojecimiento facial (simpático). Vasoconstricción superficial (simpático). Espasmos musculares (simpático). Disminución de la 125 AUTOPERCEPCIÓN
  • 127.
    presión arterial (parasimpático).Desmayo (parasimpático). Náuseas (parasimpático). Frecuencia urinaria (parasimpático). Dificultad respiratoria (simpático). Aumento de la presión arterial (simpático). • Cognitivas • Bloqueo del pensamiento. Confusión. Preocupación. Olvido. Ru- miación. Deterioro de la atención. Disminución del campo per- ceptual. Miedo de consecuencias inespecíficas. Tendencia a cul- par a otros. Dificultad para la concentración. Disminución de la habilidad para: solucionar problemas, aprender. Conciencia de los síntomas fisiológicos. FACTORES ETIOLÓGICOS Asociación familiar o herencia; amenaza de cambio o cambio en el estado económico; exposición a toxinas; amenaza de muerte; drogadic- ción. La persona percibe una amenaza de cambio en el rol o en las funcio- nes que debe llevar a cabo para desempeñarlo, en su salud, sus rela- ciones, su autoconcepto o en el entorno; vive un conflicto inconsciente sobre los valores y objetivos prioritarios de la vida; atraviesa una crisis personal o situacional o sufre un alto grado de estrés. RECOMENDACIONES PARA LA VALORACIÓN ESPECÍFICA La ansiedad no tiene un eje específico. La persona puede expresar sentimientos de terror, amenaza o peligro pero no puede identificar la razón específica de esos sentimientos. Uno de los primeros pasos será el ayudar a nuestro paciente/cuidador a identificar el eje. En la génesis de la ansiedad se sitúan en muchas ocasiones pensa- mientos irracionales. Para la identificación de dichos pensamientos se suele utilizar una técnica de terapia cognitiva, la de las tres columnas, que permiten analizar el proceso por el cual una persona ha llegado a desarrollar ansiedad. La primera columna registra la situación objetiva; en la segunda, el paciente escribe los pensamientos negativos/irracio- nales que se le ocurrieron; la tercera columna registra los sentimientos negativos y las conductas disfuncionales que resultaron de ellos. Identificar pensamientos irracionales o distorsionados (pensamiento polarizado, generalización exagerada, magnificación y personalización) es un paso primordial para la intervención en la que se analizan mediante varios criterios los pensamientos (intensidad emocional que 126 AUTOPERCEPCIÓN
  • 128.
    produce el pensamiento,utilidad de pensamiento, objetividad, y formali- dad). Escala Goldberg. Valorar respuestas coincidentes en otros diagnósticos: Desesperanza, Impotencia, Temor. Relaciones sugeridas NOC 1402 Autocontrol de la ansiedad. NIC 5820 Disminución de la ansiedad. 8190 Seguimiento telefónico. 5340 Presencia. 5240 Asesoramiento. 5430 Grupo de apoyo. 6040 Terapia de relajación simple. 4700 Reestructuración cognitiva. 00148 TEMOR Definición. Respuesta a la percepción como una amenaza que se reco- noce e identifica conscientemente como un peligro. Se aconseja usar la etiqueta cuando la persona puede identificar claramente la amenaza o la fuente del temor que experimenta y que debe especificarse en la formulación a fin de facilitar la planificación de la actuación, por ejemplo, Temor a... la quimioterapia. Se desaconseja utilizarla en las crisis de terror o pánico, que requieren un tratamiento en colaboración y cuando la persona desco- noce la fuente de la sensación o ésta es inespecífica, en cuyo caso estaría más indicada la etiqueta de Ansiedad. 127 PACIENTE CUIDADOR AUTOPERCEPCIÓN
  • 129.
    CARACTERÍSTICAS DEFINITORIAS • Informesde: • Aprensión. Aumento de la tensión. Reducción de la seguridad en uno mismo. Excitación. Sentirse asustado. Inquietud. Pavor. Alarma. Terror. Pánico. • Cognitivas • Identifica el objeto del miedo. Los estímulos se interpretan como una amenaza. Disminución de la productividad, el aprendizaje, la capacidad para solucionar problemas. • Conductuales • Aumento del estado de alerta. Conductas de evitación o de ataque. Irreflexión. Estrechamiento del foco de atención en el origen del temor. • Fisiológicas • Aumento del pulso. Anorexia. Náuseas. Vómitos. Diarrea. Tirantez muscular. Fatiga. Aumento de la frecuencia respiratoria y falta de aliento. Palidez. Aumento de la transpiración. Aumento de la pre- sión arterial sistólica. Dilatación pupilar. Sequedad bucal. FACTORES ETIOLÓGICOS Origen innato o natural. Respuesta aprendida. Separción del sistema de soporte en una situación potencialmente estresante. Falta de familiaridad con ala experiencia o experiencias ambientales. Barreras idiomáticas. Deteriroro sensorial. Estímulos fóbicos. RECOMENDACIONES PARA LA VALORACIÓN ESPECÍFICA En la génesis del miedo/ansiedad se sitúan en muchas ocasiones pensa- mientos irracionales. Para la identificación de dichos pensamientos se suele utilizar una técnica de terapia cognitiva, la de las tres columnas, que permiten analizar el proceso por el cual una persona ha llegado a desarro- llar el miedo. La primera columna registra la situación objetiva; en la segunda, el paciente escribe los pensamientos negativos/irracionales que se le ocurrieron; la tercera columna registra los sentimientos negativos y las conductas disfuncionales que resultaron de ellos. Identificar pensamientos irracionales o distorsionados (pensamiento pola- rizado, generalización exagerada, magnificación y personalización) es un paso primordial para la intervención en la que se analizan mediante varios criterios los pensamientos (intensidad emocional que produce el pensa- miento, utilidad de pensamiento, objetividad, y formalidad) 128 AUTOPERCEPCIÓN
  • 130.
    Valorar respuestas coincidentesen otros diagnósticos: Ansiedad, Desesperanza, Impotencia. Escalas relacionadas Subescala de Ansiedad de Goldberg. Valorar respuestas de los patrones: Afrontamiento/Tolerancia al estrés: Afrontamiento ineficaz. Relaciones sugeridas NOC 1404 Autocontrol del miedo. NIC 5230 Aumentar el afrontamiento. 5820 Disminución de la ansiedad. 5270 Apoyo emocional. 5250 Apoyo toma decisiones. 5340 Presencia. 5602 Enseñanza: proceso enfermedad. 4700 Reestructuración cognitiva. 00053 AISLAMIENTO SOCIAL Definición. Soledad experimentada por el individuo y percibida como negativa o amenazadora e impuesta por otros. Se aconseja utilizar esta etiqueta únicamente cuando la persona desee aumentar sus contactos sociales, aunque será necesario valo- rar con detenimiento en cada caso el grado de alteración física o men- tal o de rechazo social. También valorar las posibilidades reales de incidir en la conducta o el entorno de la persona para mejorar su inte- gración social20 Se desaconseja utilizarla cuando la soledad de una persona sea algo elegido y decidido por ella. Entonces debe hacerse una valora- 129 PACIENTE CUIDADOR ROL-RELACIONES
  • 131.
    ción detallada paradeterminar si se trata de una respuesta adaptada (que no requiere intervención profesional) o si por el contrario se podría formular otro diagnóstico.20 CARACTERÍSTICAS DEFINITORIAS • Objetivas: • Falta de personas significativas de soporte (familiares, amigos, gru-po). • Proyección de hostilidad en la voz, en la conducta. • Retraimiento. Mutismo. • Conducta inaceptable por el grupo culturalmente dominante. Búsqueda de soledad o pertenencia a una subcultura. • Acciones repetitivas, carentes de significado. • Preocupación por los propios pensamientos. • Falta de conducta ocular. • Intereses inadecuados o inmaduros para la edad o la etapa de des- arrollo. • Evidencia de dificultades físicas o mentales o de alteración del bien- estar. • Embotamiento emocional. • Subjetivas: • Expresión de sentimientos de soledad impuestos por otros. • Expresión de sentimientos de rechazo. • Intereses inadecuados o inmaduros para la edad o etapa de desarro- llo. • Falta de un propósito significativo en la vida o inadecuación del existente. • Incapacidad para satisfacer las expectativas de los demás. • Expresión de valores aceptables en su subcultura pero inacepta- bles para el grupo culturalmente dominante. • Sentimientos de ser distinto a los demás. • Inseguridad en público. 130 ROL-RELACIONES
  • 132.
    FACTORES ETIOLÓGICOS Alteración delestado mental. Incapacidad para establecer relaciones per- sonales satisfactorias. Valores no aceptados socialmente. Recursos per- sonales inadecuados. Intereses inmaduros. Alteraciones en el aspecto físico. Alteración del bienestar. RECOMENDACIONES PARA LA VALORACIÓN ESPECÍFICA Escalas Escala de valoración sociofamiliar de Gijon; Cuestionario de apoyo social funcional de DUKE. Valorar respuestas coincidentes en otros diagnósticos: Deterioro de la interacción social. Relaciones sugeridas NOC 2601 Clima social de la familia. 1503 Implicación social. 1203 Soledad. NIC 5220 Potenciar la socialización. 5270 Apoyo emocional. 5240 Asesoramiento. 5440 Aumentar sistemas de apoyo. 7200 Fomento de la normalización familiar. 5400 Potenciación de la autoestima. 5430 Grupo de apoyo. 5290 Facilitar el duelo. 0056 DETERIORO DE LA INTERACCIÓN SOCIAL Definición. Intercambio social inefectivo o cualitativamente insuficiente o excesivo. 131 PACIENTE CUIDADOR ROL-RELACIONES
  • 133.
    Se aconseja utilizaresta etiqueta cuando se valore que está alte- rado el equilibrio entre la soledad y la interacción social, aunque la persona no sea consciente de ello. Se desaconseja utilizarla cuando tenga su origen en factores socia- les, culturales, religiosos o situaciones no modificables. CARACTERÍSTICAS DEFINITORIAS • Verbalización u observación de incapacidad para recibir o transmitir una sensación satisfactoria de pertenencia, cariño, interés, o historia com- partida. • Verbalización u observación de malestar en las situaciones sociales. • Observación de empleo de conductas de interacción social ineficaces. • Interacción disfuncional con los compañeros, familia o amigos. • Informes familiares de cambio del estilo o patrón de interacción. FACTORES ETIOLÓGICOS Déficit de conocimientos o habilidades sobre el modo de fomentar la reci- procidad. Aislamiento terapéutico. Disonancia sociocultural, limitación de la movilidad física. Barrearas ambientales. Barreras de comunicación. Alteración de los procesos de pensamiento. Ausencia de compañeros o personas significativas. Trastornos del autoconcepto. Relaciones sugeridas NOC 1503 Implicación social. NIC 5220 Potenciación de la socialización. 5430 Grupo de apoyo. 5440 Aumentar los sistemas de apoyo. 00060 INTERRUPCIÓN DE LOS PROCESOS FAMILIARES Definición. Cambio en las relaciones o en el funcionamiento familiar Se aconseja usar esta etiqueta cuando en una familia previamen- 132 PACIENTE CUIDADOR ROL-RELACIONES
  • 134.
    te funcional anteun factor externo se produce un cambio en la sisté- mica familiar que repercute de forma negativa en todos o algunos de los componentes de la unidad familiar. Se desaconseja utilizarla en familias disfuncionales. CARACTERÍSTICAS DEFINITORIAS • Cambios en: • Las alianzas de poder. • Las tareas asignadas. • La efectividad en la realización de las tareas asignadas. • El soporte mutuo. • La disponibilidad para las respuestas efectivas y la intimidad. • Los patrones y rituales. • La participación en la solución de problemas. • La participación en la toma de decisiones. • Los patrones de comunicación. • La disponibilidad para el apoyo emocional. • La satisfacción con la familia. • Las conductas de reducción del estrés. • Las expresiones de conflicto con los recursos comunitarios o aisla- miento de éstos. • En las quejas somáticas. • En la expresión de conflictos dentro de la familia. FACTORES ETIOLÓGICOS Cambios de poder de los miembros de la familia. Cambio de los roles familiares. Cambios en el estado de salud de un miembro de la familia. Cambios de transición o desarrollo. Situaciones de transición o crisis. Interacción formal o informal con la comunidad. Modificación del estado social de la familia o de las finazas familiares. Valorar con Escalas Se recomienda realizar el test de Apgar familiar. 133 ROL-RELACIONES
  • 135.
    Relaciones sugeridas NOC 1305 Modificaciónpsicosocial: cambio de vida. 2606 Estado de salud de la familia. 2602 Funcionamiento de la familia. 2600 Afrontamiento de los problemas de la familia. NIC 7140 Apoyo a la familia. 5440 Aumentar los sistemas de apoyo. 7100 Estimulación de la integridad familiar. 7200 Fomento de la normalización familiar. 7150 Terapia familiar. 7180 Asistencia en el mantenimiento del hogar. 7040 Apoyo al cuidador principal. 00061 CANSANCIO EN EL DESEMPEÑO DEL ROL DE CUIDADOR Definición: Dificultad para desempeñar el papel de cuidador de la fami- lia. Se aconseja utilizar esta etiqueta cuando el cuidador desea seguir desempeñando ese papel, pero le resulta difícil hacerlo en ese momento porque le faltan habilidades o porque está abrumado por la situación.20 Se desaconseja utilizarla cuando el cuidador no desea seguir des- empeñando ese papel y busca activamente la manera de que sea otra persona o una institución quien asuma la responsabilidad del cuidado. Tal situación puede ser una conducta totalmente adaptada que no requiere, por tanto, de ningún diagnostico.20 CARACTERÍSTICAS DEFINITORIAS • Actividades del cuidador: • Dificultad para completar o llevar a cabo las tareas requeridas. 134 CUIDADOR ROL-RELACIONES
  • 136.
    Preocupación por loscuidados habituales. Inquietud ante el futuro respecto a la salud de la persona cuidada y la habilidad del cuida- dor para atenderla. Inquietud sobre el receptor de los cuidados si el cuidador se pone enfermo o muere. Cambio disfuncional en las actividades del cuidador. Inquietud sobre la posible institucionaliza- ción del receptor de los cuidados. • Estado de salud física del cuidador. • Trastornos gastrointestinales (p.ejem., dolores gástricos leves, vómi- tos, diarrea, úlcera péptica recurrente). Cambios pondérales. Erupciones. Hipertensión. Enfermedad cardiovascular. Diabetes. Fatiga. Cefaleas. • Estado de salud Emocional del cuidador. • Afrontamiento individual deteriorado. Sentimientos de depresión. Trastornos del sueño. Cólera. Estrés. Somatización. Nerviosismo creciente. Labilidad emocional creciente. Impaciencia. Falta de tiempo para las necesidades personales. Frustración. • Socioeconómica: • No participación en la vida social. Cambio en las actividades de tiem- po libre. Baja productividad laboral. Rechazo de promociones profe- sionales. • Relaciones cuidador-receptor de los cuidados. • Duelo o incertidumbre sobre el cambio de relaciones con el recep- tor de los cuidados. • Dificultad para ver como afecta la enfermedad al receptor de los cui- dados. • Procesos familiares Cuidador-receptor de los cuidados: • Conflicto familiar. • Preocupación por los miembros de la familia. FACTORES ETIOLÓGICOS Recursos. El cuidador no ha alcanzado un grado suficiente de des- arrollo, carece de recursos recreativos o que le permitan tener un descan- so de los cuidados, le falta apoyo de otras personas significativas, care- ce de la información o equipo adecuado para proporcionar cuidados. Roles relaciones. Expectativas irreales del receptor de los cuida- dos sobre el cuidador; cambio en las relaciones entre ambos. 135 ROL-RELACIONES
  • 137.
    Sociales. Alejamiento dela familia, amigos y compañeros de tra- bajo; falta de actividades recreativas. Del cuidador. Cambios continuos de las actividades; problemas psicológicos o cognitivos (dependiendo del tipo y grado); expectativas irreales sobre sí mismo o incapacidad para estar a la altura de sus propias expectativas o las de las demás; afrontamiento inefectivo, incertidumbre sobre la situación de cuidados, excesivo numero de actividades o responsabilidad de los mismos las 24 horas del día. Situacionales. Inexperiencia con los cuidados; malos tratos o vio- lencia familiar (dependiendo del tipo y grado; aislamiento de la familia o del cuidador; conflicto de roles del cuidador, complejidad o cantidad de las tareas de cuidados. Fisiológicos. Incertidumbre sobre el curso de la enfermedad, adic- ción o codependencia del receptor de los cuidados. Recursos. Deficiencias en el transporte, los recursos económicos o los servicios comunitarios. Roles y relaciones. Antecedentes de disfunción familiar o de afron- tamiento familiar marginal. Individuales. Inestabilidad de la salud del receptor de los cuida- dos; problemas conductuales; problemas psicológicos o cognitivos del receptor de los cuidados; enfermedad crónica. Del cuidador. Adicción o codependencia. Situacionales. Entorno físico inadecuado para brindar cuidados. Fisiológicos. Enfermedad grave o salud inestable del receptor de los cuidados; un miembro de la familia requiere importantes cuidados en el domicilio, sus necesidades o su grado de dependencia son cada vez mayores; deterioro de la salud del cuidador. Valorar respuestas coincidentes en otros diagnósticos: Interrupción de los procesos familiares; Riesgo de cansancio en el des- empeño del rol de cuidador. Valorar con Escalas Test de Zarit, Índice de Esfuerzo del cuidador. 136 ROL-RELACIONES
  • 138.
    Relaciones sugeridas NOC 2203 Alteracióndel estilo de vida del cuidador familiar. 2210 Posible resistencia al cuidado familiar. 2205 Rendimiento del cuidador familiar: atención directa. 2506 Salud emocional del cuidador familiar. 2507 Salud física del cuidador familiar. 2202 Preparación del cuidador familiar domiciliario. 2204 Relación entre cuidador familiar y paciente. 1504 Soporte social. 1602 Conducta de fomento de salud. NIC 7040 Apoyo al cuidador principal. 5440 Aumentar los sistemas de apoyo. 7180 Asistencia en el mantenimiento del hogar. 8300 Fomento de la paternidad en familias de alto riesgo. 5566 Educación paterna: crianza familiar de los niños. 5370 Potenciación de roles. 7120 Movilización familiar. 00062 RIESGO DE CANSANCIO EN EL DESEMPEÑO DEL ROL DE CUIDADOR Definición: El cuidador es vulnerable a la percepción de dificultad para desempeñar su rol de cuidador de la familia. Se aconseja utilizar esta etiqueta cuando el cuidador desea seguir desempeñando ese papel, pero le resulta difícil hacerlo en ese momento porque le faltan habilidades o porque está abrumado por la situación.20 Se desaconseja utilizarla cuando el cuidador no desea seguir des- empeñando ese papel y busca activamente la manera de que sea otra persona o una institución quien asuma la responsabilidad del cuidado. Tal situación puede ser una conducta totalmente adaptada que no requiere, por tanto, de ningún diagnostico.20 137 CUIDADOR ROL-RELACIONES
  • 139.
    FACTORES DE RIESGO. •Adicción o codependencia. • El receptor de los cuidados muestra un comportamiento desviado, abe- rrante. • Aislamiento de la familia o del cuidador. • Falta de descanso y distracción del cuidador. • Falta de experiencia en brindar cuidados. • Enfermedad grave del receptor de los cuidados. • Nacimiento prematuro o defecto congénito. • Alta de un miembro de la familia con importantes necesidades de cui- dados en el domicilio. • Deterioro de la salud del cuidador. • Curso imprevisible de la enfermedad o inestabilidad de la salud del receptor de los cuidados. • El cuidador es una mujer. • El cuidador no esta preparado desde la perspectiva de su desarrollo para asumir ese papel (pe: un adulto joven que tiene que atender a un familiar mayor). • Retraso en el desarrollo o retraso mental de la persona que brinda los cuidados o de la persona que los recibe. • Problemas psicológicos o cognitivos del receptor de los cuidados. • Situación marginal de la familia o disfunción familiar previa al inicio de la situación en que se requieren cuidados. • Patrones de afrontamiento marginales del cuidador. • Historia anterior de malas relaciones entre la persona que brinda los cui- dados y la que los recibe. • El cuidador es el cónyuge. • Presencia de agentes estresantes situacionales que normalmente afec- tan a las familias (pe: una perdida significativa, desastres o crisis, vul- nerabilidad económicas, acontecimientos, vitales importantes). • Prolongación de los cuidados, entorno físico inadecuado para prestar los cuidados (pe: acondicionamiento domestico, transportes, servicios comunitarios, equipo). 138 ROL-RELACIONES
  • 140.
    • Cuidados numerososo complejos. • Inexperiencia del cuidador. • El cuidador desempeña roles que entran en competencia RECOMENDACIONES PARA LA VALORACIÓN ESPECÍFICA Observar la presencia de todos o algunos de los factores que se han enu- merado, bien en el paciente y/o el cuidador principal., teniendo en cuenta sobre los que no podremos intervenir. • La persona cuidada sufre retraso mental, problemas psicológicos o cognitivos, enfermedad grave, de larga duración o de curso impre- visible o requiere muchos y complejos cuidados, el cuidador es una mujer, carece de experiencia o no ha alcanzado el nivel de desarro- llo requerido para desempeñar ese papel, sufre un retraso mental o tiene un estilo de afrontamiento marginal; nacimiento prematuro o con defecto congénito, situación marginal de la familia o disfunción familiar previa; antecedentes de malas relaciones entre el cuidador y la persona cuidada; estrés situacional, desastres o crisis, vulne- rabilidad económica; adicción o codependencia; acontecimientos vitales importantes; inadecuación del entorno físico. Valorar respuestas coincidentes en otros diagnósticos: Interrupción de los procesos familiares. Manejo inefectivo del régimen terapéutico familiar. Cansancio en el desempeño del rol de cuidador Valorar con Escalas Test de Zarit,Índice del Esfuerzo del cuidador. Relaciones sugeridas NOC 2203 Alteración del estilo de vida del cuidador familiar. 1805 Conocimiento: conducta sanitaria. 1806 Conocimiento: recursos sanitarios. 0003 Descanso. 2208 Factores estresantes del cuidador familiar. 2202 Preparación del cuidador familiar domiciliario. 2204 Relación entre cuidador familiar y paciente. 139 ROL-RELACIONES
  • 141.
    2506 Salud emocionaldel cuidador familiar. 2507 Salud física del cuidador familiar. 2600 Afrontamiento de los problemas de la familia. 1602 Conducta de fomento de salud. NIC 5440 Aumentar los sistemas de apoyo. 7040 Apoyo al cuidador principal. 7180 Asistencia en el mantenimiento del hogar. 7100 Estimulación de la integridad familiar. 7260 Cuidados intermitentes. 5430 Grupo de apoyo. 7120 Movilización familiar. 00135 DUELO COMPLICADO Definición. Desorden que ocurre tras la muerte de una persona significa- tiva ,en que experiencia estresante que la acompaña impide seguir las expectativas normativas y que se manifiesta en un deterioro funcional. En 2006 la etiqueta diagnóstica fue modificada. Anteriormente se denominaba duelo disfuncional. En la literatura este término fue ini- cialmente denominado como duelo traumático, pero recientemente se tiende a denominar duelo complicado. Se recomienda la utilización de esta etiqueta cuando el duelo no se ha elaborado de forma eficaz y se mantiene por falta de recursos personales o relacionales. No es recomendable su uso en duelos patológicos de duración cró- nica con alteraciones de la conducta y que requieren terapia psiquiá- trica. CARACTERÍSTICAS DEFINITORIAS • Separación estresante. • Estrés traumático. • Preocupación con los pensamientos del fallecido. • Verbaliza sentirse paralizado o aturdido. 140 PACIENTE CUIDADOR ROL-RELACIONES
  • 142.
    • Se expresaverbalmente se sintiendo aturdido. • Búsqueda del fallecido. • Expresa verbalmente sentimientos angustiosos sobre los difuntos, de incredulidad, desconfianza, cólera, separación de otros, recuerdos dolo- rosos. • Angustia emocional persistente. • Reflexión. • Expresa verbalmente persistente. • Fatiga, Disminución del bienestar. • Verbaliza ansiedad. • Bajos niveles de intimidad. FACTORES ETIOLÓGICOS Muerte de persona significativa. Muerte repentina de una persona signifi- cativa. Inestabilidad emocional. Falta de apoyo social. RECOMENDACIONES PARA LA VALORACIÓN ESPECÍFICA Valorar respuestas coincidentes en otros diagnósticos: Duelo. Aflicción crónica. Afrontamiento ineficaz. Sufrimiento espiritual. Relaciones sugeridas NOC 1305 Modificación psicosocial: cambio de vida. 1409 Autocontrol de la depresión. 1204 Equilibrio emocional. 1208 Nivel de depresión. 0004 Sueño. NIC 5290 Facilitar el duelo. 7140 Apoyo a la familia. 5240 Asesoramiento. 4640 Ayuda para el control del enfado. 141 ROL-RELACIONES
  • 143.
    5820 Disminución dela ansiedad. 4920 Escucha activa. 6160 Intervención en caso de crisis. 5340 Presencia. 5430 Grupo de apoyo. 5440 Aumentar los sistemas de apoyo. 5310 Dar esperanza. 00136 DUELO Definición. Proceso complejo normal que incluye respuestas emociona- les, físicas, espirituales, sociales e intelectuales por parte de individuos, familias o comunidades, incorporando la pérdida en sus vidas diarias. En 2006 la etiqueta diagnóstica fue modificada. Anteriormente se denominaba duelo anticipado. CARACTERÍSTICAS DEFINITORIAS • Comportamiento de pánico. • Crecimiento personal. • Culpa. • Cólera. • Desinterés. • Sufrimiento. • Alteración del sueño. • Alteraciones en el nivel de actividad. • Atribución de significado a la pérdida. • Alteraciones de la función inmune y neuroendocrina. • Experiencias de alivio. • Mantenimiento de la conexión con el difunto. • Estrés psicológico. FACTORES ETIOLÓGICOS Anticipación a al perdida de una persona significativa. Muerte de una per- 142 PACIENTE CUIDADOR ROL-RELACIONES
  • 144.
    sona significativa. Pérdidaanticipada de un objeto significativo (personas, posesiones, trabajo, posición, hogar, valores, partes y procesos corporales) RECOMENDACIONES PARA LA VALORACIÓN ESPECÍFICA La persona manifiesta los sentimientos asociados a las distintas etapas del proceso de duelo: negación, cólera, pacto, depresión y aceptación o resolución del duelo; alteración de los hábitos alimentarios o de sueño; trastornos de la líbido, del nivel de actividad, de los patrones de la comu- nicación; dificultad para asumir roles nuevos o diferentes. Valorar respuestas coincidentes en otros diagnósticos: Aflicción crónica. Afrontamiento ineficaz. Sufrimiento espiritual. Ansiedad ante la muerte. Valorar respuestas de los patrones: Nutricional-metabólico. Sueño-descanso. Autopercepción-autoconcepto. Relaciones sugeridas NOC 1305 Modificación psicosocial: cambio de vida. 1409 Autocontrol de la depresión. 1204 Equilibrio emocional. 1208 Nivel de depresión. 0004 Sueño. NIC 5290 Facilitar el duelo. 7140 Apoyo a la familia. 5270 Apoyo emocional. 5260 Cuidados en la agonía. 4920 Escucha activa. 5340 Presencia. 5420 Apoyo espiritual. 5430 Grupo de apoyo. 143 ROL-RELACIONES
  • 145.
    00137 AFLICCIÓN CRÓNICA. Definición.La persona (familiar, cuidador o individuo) que sufre una pér- dida continua o una enfermedad o discapacidad crónica presenta de forma repetida un sentimiento abrumador de tristeza o pena que puede ir en aumento. Se aconseja utilizar esta etiqueta con precaución ya que puede indicar un problema psicológico o afectivo que requiera tratamiento por parte de un profesional de salud mental. Será pues, necesario identificar los factores relacionados susceptibles de provocar está respuesta, sobre los que vamos a incidir para guiar el plan de cui- dados. Esta etiqueta es un diagnóstico diferente al de Duelo. El Duelo está limitado en el tiempo y termina con la adaptación a la pérdida. La Aflicción crónica tendrá intensidad variable, pero persistirá mientras la persona (enfermo o persona con discapacidad o familiar/cuida- dor) viva20 . Se desaconseja utilizarla cuando el sentimiento de tristeza se dé en el contexto del proceso de duelo, en cuyo caso forma parte de éste y no debe ser tratado como un problema aislado. CARACTERÍSTICAS DEFINITORIAS • Expresión de sentimientos periódicos recurrentes de tristeza. • Sentimientos de intensidad variable, periódicos, que pueden progre- sar e intensificarse con el tiempo y pueden interferir con la habilidad de la persona para alcanzar su nivel máximo de bienestar personal y social. • Expresión de uno o varios de los sentimientos siguientes: cólera, sentir- se incomprendido, confusión, depresión, desencanto, vacío, temor, frus- tración, culpa o autoinculpación, desesperación, desesperanza, sole- dad, baja autoestima, pérdida recurrente, sentirse abrumado. FACTORES ETIOLÓGICOS Muerte de un ser querido. La persona experimenta una enfermedad o discapacidad física o mental crónica (retraso mental, esclerosis múltiple, prematuridad, espina bífida u 144 PACIENTE CUIDADOR ROL-RELACIONES
  • 146.
    otros defectos denacimientos, enfermedad mental crónica, infertilidad, cáncer, enfermedad de Parkinson). La persona experimenta uno o más acontecimientos desencadenantes (crisis en el manejo de la enfermedad, crisis relacionadas con edades de desarrollo y oportunidades perdidas o hitos que obligan a a establecer comparaciones con las normas de desarrollo sociales o personales). Necesidad interminable de cuidados como constante recordatorio de la pérdida. Valorar con Escalas Se recomienda pasar la Escala de Goldberg para establecer posible pre- sencia de Depresión. Valorar respuestas coincidentes en otros diagnósticos: Duelo, Duelo complicado, Temor. Relaciones sugeridas NOC 1300 Aceptación estado de salud. 1201 Esperanza. 1304 Resolución de la aflicción. 2000 Calidad de vida. 1203 Soledad. NIC 5310 Dar esperanza. 5290 Facilitar el duelo. 5270 Apoyo emocional. 5240 Asesoramiento. 4640 Ayuda en el control del enfado. 5260 Cuidados en la agonía. 5280 Facilitar el perdón. 1850 Mejorar el sueño. 0200 Fomento del ejercicio. 145 ROL-RELACIONES
  • 147.
    00065 PATRÓN SEXUALINEFICAZ Definición: Expresión de preocupación respecto a la propia sexualidad. Se aconseja usar esta etiqueta cuando la persona, que previamen- te tenía una sexualidad satisfactoria, a raíz de una crisis exprese insa- tisfacción o preocupación por el futuro20 . En casos de alteración signi- ficativa se debe derivar al sexólogo. CARACTERÍSTICAS DEFINITORIAS • Manifestaciones de dificultad, limitaciones o cambios en los comporta- mientos o actividad sexual. FACTORES ETIOLÓGICOS Falta de persona significativa. Conflicto en la orientación sexual o varia- ción de las preferencias. Miedo al embarazo o ETS. Deterioro de las rela- ciones con la persona significativa. Falta de modelos del rol o ineficacia de los existentes. Déficit de conocimientos o habilidades sobre respues- tas alternativas a transiciones relacionadas con la salud, alteración de l estructura o en funciones corporales, enfermedad o tratamiento médico. Falta de intimidad. RECOMENDACIONES PARA LA VALORACIÓN ESPECÍFICA Inicie la valoración con la pregunta ¿Ha habido algún cambio en su sexua- lidad que le preocupe? y si existe alguna preocupación valore de forma focalizada. Es importante la valoración de la sexualidad en pacientes que con frecuencia ven alteradas esta función por intervenciones (sonda vesi- cal), tratamiento médico (pacientes hipertensos), o el proceso patológi- co (diabetes). Relaciones sugeridas NOC 1207 Identidad sexual: aceptación. 1200 Imagen corporal. 2505 Recuperación del abuso: sexual. 2500 Cese del abuso. 146 PACIENTE CUIDADOR SEXUALIDAD
  • 148.
    NIC 5248 Asesoramiento sexual. 5622Enseñanza: sexo seguro. 5220 Potenciación de la imagen corporal. 5624 Enseñanza: sexualidad. 5230 Aumentar el afrontamiento. 5430 Grupo de apoyo. 4356 Manejo de conducta: sexual. 5400 Potenciar autoestima. 00069 AFRONTAMIENTO INEFICAZ Definición: Incapacidad para llevar a cabo una apreciación válida de los agentes estresantes para elegir adecuadamente las respuestas habitua- les o para usar los recursos disponibles. Se aconseja utilizar esta etiqueta cuando se trate de una persona con un patrón previo de afrontamiento eficaz que en un momento determinado, es incapaz de adaptarse a las exigencias de una situa- ción nueva, sea esta negativa o positiva.20 Se desaconseja utilizarla cuando habitualmente los mecanismos de afrontamiento de la persona resulten ineficaces, en cuyo caso requiere ser diagnosticado por un especialista en salud mental.20 CARACTERÍSTICAS DEFINITORIAS • Falta de conductas orientadas al logro de objetivos o a la resolución de los problemas incluyendo incapacidad para tratar la dificultad para orga- nizar la información. • Trastornos del sueño. • Abuso de agentes químicos. • Reducción en el uso de apoyo social. • Empleo de formas de afrontamiento que impiden una conducta adapta- tiva. • Mala concentración. 147 PACIENTE ADAPTACIÓN
  • 149.
    • Solución inadecuadade los problemas. • Expresiones de incapacidad para afrontar la situación o para pedir ayuda. • Incapacidad para satisfacer las expectativas del rol. • Alta tasa de enfermedad. • Cambio en los patrones de comunicación habituales. • Fatiga. • Asunción de riesgos. FACTORES ETIOLÓGICOS Diferencias de género en las estrategias de afrontamiento. Falta de con- fianza en la capacidad para afrontar la situación. Incertidumbre. Inadecuación del apoyo social. Percepción de un nivel inadecuado de control. Inadecuación de los recursos disponibles. Alto grado de amena- za. Crisis situacionales o de maduración. Trastorno en los patrones de liberación de la tensión. Falta de oportunidades para prepararse para los agentes estresantes. Incapacidad para conservar las energías adaptati- vas. Trastorno en el patrón de apreciación de las amenazas. RECOMENDACIONES PARA LA VALORACIÓN ESPECÍFICA En la génesis del Afrontamiento ineficaz se sitúan en muchas ocasiones pensamientos irracionales. Para la identificación de dichos pensamientos se suele utilizar una técnica de terapia cognitiva, la de las tres columnas, que permiten analizar el proceso por el cual una persona ha llegado a desarrollar los sentimientos negativos. La primera columna registra la situación objetiva; en la segunda, el paciente escribe los pensamientos negativos/irracionales que se le ocurrieron; la tercera columna registra los sentimientos negativos y las conductas disfuncionales que resultaron de ellos. Mediante esta técnica de valoración se identifican las estrategias adaptativas seguidas, y se pueden con posterioridad elaborar nuevas estrategias adaptativas más eficaces. Relaciones sugeridas NOC 2209 Factores estresantes del cuidados familiar. 1302 Superación de problemas. 0906 Toma de decisiones. 148 ADAPTACIÓN
  • 150.
    NIC 5250 Apoyo entoma de decisiones. 5230 Aumentar el afrontamiento. 5270 Apoyo emocional. 5440 Aumentar los sistemas de apoyo.. 4640 Ayuda para el control del enfado. 6160 Intervención en caso de crisis. 4380 Establecer límites. 4410 Establecimiento de objetivos comunes. 4480 Facilitar autorresponsabilidad. 5400 Potenciación autoestima. 00074 AFRONTAMIENTO FAMILIAR COMPROMETIDO Definición: La persona que habitualmente brinda el soporte principal (un miembro de la familia o un amigo intimo) proporciona en este caso un apoyo, consuelo, ayuda o estímulo insuficiente o inefectivo (o hay el peli- gro de que ello suceda) que puede ser necesario para que el cliente maneje o domine las tareas adaptativas relacionadas con su situación de salud. Se aconseja utilizar esta etiqueta cuando el cuidador sea una per- sona de la familia o una persona allegada, aunque no exista consan- guinidad.20 Se desaconseja utilizarla cuando la personal cuidadora sea remu- nerada. CARACTERÍSTICAS DEFINITORIAS • Objetivas • La persona de referencia intenta poner en práctica comportamien- tos de ayuda o soporte con resultados poco satisfactorios. • La persona de referencia muestra una conducta desproporcionada (por exceso o por defecto) en relación con las capacidades o nece- sidad de autonomía del cliente. • La persona de referencia se retrae o establece una comunicación 149 CUIDADOR ADAPTACIÓN
  • 151.
    personal limitada otemporal con el cliente en el momento de nece- sidad. • Subjetivas • El cliente expresa o confirma una queja o preocupación sobre la respuesta de la persona o personas de referencia a su problema de salud. • La persona de referencia describe o confirma una comprensión o conocimiento inadecuado que interfiere con las conductas efectivas de ayuda y soporte. • La reacción de la persona de referencia demuestra preocupación (p. ej., temor, duelo anticipado, culpa, ansiedad) ante la enferme- dad o incapacidad o cualquier otra crisis situacional o de desarrollo del cliente. FACTORES ETIOLÓGICOS La persona de referencia está temporalmente preocupada e intenta manejar sus conflictos emocionales y sufrimiento personal, por lo que es incapaz de percibir o actuar de forma eficaz con respecto a las necesida- des del paciente. Desorganización familiar y cambio temporal de roles. Prolongación de la enfermedad o progresión de la incapacidad que agota la capacidad de apoyo de las personas de referencia. La persona de refe- rencia sufre otra crisis situacional o de desarrollo. La persona de referen- cia tiene información o compresión inadecuada o incorrecta. El paciente muestra poco apoyo a la persona de referencia. RECOMENDACIONES PARA LA VALORACIÓN ESPECÍFICA Escalas Se recomienda realizar el TEST APGAR FAMILIAR. Valorar respuestas coincidentes en otros diagnósticos: Cansancio en el rol de cuidador, Riesgo de cansancio en el rol de cuidador. Relaciones sugeridas NOC 2605 Participación de la familia en la asistencia sanitaria profesional. 2600 Afrontamiento de los problemas de la familia. 150 ADAPTACIÓN
  • 152.
    NIC 7140 Apoyo ala familia. 7150 Terapia familiar. 7040 Apoyo al cuidador principal. 7110 Fomento de la implicación familiar. 5240 Asesoramiento. 5230 Aumentar el afrontamiento. 5420 Apoyo espiritual. 7200 Fomento de la normalización familiar. 4640 Ayuda para el control del enfado. 6160 Intervención en caso de crisis. 4410 Establecimiento de objetivos comunes. 5370 Potenciación de roles. 7120 Movilización familiar. 00066 SUFRIMIENTO ESPIRITUAL Definición: Situación en que la persona sufre un trastorno del principio vital que la impregna totalmente e integra y transciende su naturaleza bio- lógica, psicológica y social. Se aconseja usar esta etiqueta siempre que haya un sufrimiento espiritual vinculado al sistema de valores y creencias de la persona, sin limitarlo a las ideas de carácter religioso20 . Se desaconseja utilizarla cuando, sea cual sea la situación, la per- sona la haya aceptado y no le plantee dudas ni contradicciones con sus creencias y valores o, caso de haberlas tenido, las haya resuelto de manera que le permita vivir con paz espiritual20 . CARACTERÍSTICAS DEFINITORIAS • Expresiones de preocupación sobre el significado de la vida, la muerte o el sistema de valores. • Preguntas sobre el significado del sufrimiento. • Verbalización de conflictos internos sobre las creencias. 151 PACIENTE VALORES-CREENCIAS
  • 153.
    • Cuestiones sobreel significado de la propia existencia. • Incapacidad para participar en las practicas religiosas habituales. • Búsqueda de ayuda espiritual. • Preguntas sobre las implicaciones morales o éticas del régimen tera- péutico. • Desplazamiento de la cólera hacia los representantes religiosos. • Descripción de pesadillas o trastornos del sueño. • Alteraciones del comportamiento o del humor manifestado por cólera, llanto, retraimiento, preocupación, ansiedad, hostilidad, apatía, etcétera. • Humor negro (inapropiado en una situación grave). • Verbalización de preocupación respecto a las relaciones con la deidad. • Cólera hacia Dios. FACTORES ETIOLÓGICOS Alto grado de ansiedad o estrés físico o psicológico; baja autoestima; malas relaciones con los demás; pérdida real o potencial, terminal o no; incapacidad para perdonar. Enfermedad mental o física; drogadicción. Expresiones de preocupación por las relaciones con un ser superior; cóle- ra hacia Dios. Relaciones sugeridas NOC 2001 Salud espiritual. 2000 Calidad de vida. 1201 Esperanza. 1303 Muerte digna. NIC 5420 Apoyo espiritual. 5260 Cuidados en la agonía. 5310 Dar esperanza. 5820 Disminución de la ansiedad. 152 VALORES-CREENCIAS
  • 154.
  • 156.
    Definición CPC: Lapersona experimenta un aumento de la temperatura corporal por encima del límite considerado normal en la zona corporal en la que se mide. Aunque la NANDA lo identifica como un diagnóstico enfermero en la mayoría de las ocasiones es una complicación del proceso clínico. No es recomendable utilizar esta etiqueta como diagnóstico enferme- ro. CRITERIOS DE IDENTIFICACIÓN • Aumento de la temperatura corporal por encima del límite normal. • Piel enrojecida. • Calor al tacto. • Aumento de la frecuencia respiratoria. • Taquicardia. • Crisis convulsiva. • Aumento de la temperatura corporal por encima del límite superior de la normalidad (oral, 37.5 Cº; rectal, 38.1 Cº; axilar, 37 Cº); puede acompañarse de piel enrojecida y caliente al tacto, y aumento de la frecuencia cardiaca y respiratoria. • Crisis convulsivas. SITUACIONES DE RIESGO • Aumento de la tasa metabólica. • Deshidratación. • Medicamentos. • Enfermedad o traumatismo. Relaciones sugeridas NOC 0700 Control de la reacción transfusional sanguínea. 155 PACIENTE CPC 00007 Hipertermia
  • 157.
    0802 Estado delos signos vitales. 0602 Hidratación. 0800 Termorregulación. NIC 3780 Tratamiento de la exposición al calor. 3900 Regulación de la temperatura. 6680 Monitorizar los signos vitales. 1610 Baño. 4120 Manejo de líquidos. 8100 Derivación. Definición. Funcionamiento anormal del mecanismo de deglución asocia- do con déficit de la estructura o función oral, faríngea o esofágica. Aunque la NANDA lo considera un diagnóstico enfermero. En nuestro ámbito es recomendable utilizar esta etiqueta como una complicación del proceso clínico. Por tanto no es necesario identificar ningún factor etioló- gico. No es recomendable utilizar esta etiqueta como diagnóstico enfer- mero. CRITERIOS DE IDENTIFICACIÓN Deterioro de la fase faríngea: • Alteración de las posiciones de la cabeza. • Elevación faríngea inadecuada. • Rechazo de los alimentos. • Fiebre inexplicable. • Retraso en la deglución. • Infecciones pulmonares recurrentes. 156 PACIENTE CPC 00103 Deterioro de la deglución
  • 158.
    • Voz gorgogeante. •Reflujo nasal. • Atragantamiento, tos o náuseas. • Degluciones múltiples. • Anomalía en la fase faríngea evidenciada por el estudio de la deglu- ción. Deterioro de la fase esofágica • Ardor de estómago o dolor epigástrico. • Aliento con olor ácido. • Irritabilidad inexplicada a las horas de las comidas. • Presencia de vómitos en la almohada. • Deglución o rumiación repetitiva. • Regurgitación del contenido gástrico o eructos húmedo. • Tos nocturna o al despertarse. • Observación de evidencias de dificultad en la deglución. • Hiperextensión de la cabeza, arqueamiento durante o después de las comidas. • Anomalía en la fase esofágica demostrada por estudio de la deglu- ción. • Rechazo de los alimentos o limitación del volumen. • Quejas de tener “algo atascado”. • Hematemesis. • Vómitos. Relaciones sugeridas NOC 1010 Estado de deglución. 1012 Estado de deglución: fase oral. 1008 Estado nutricional: ingestión alimentaria y de líquidos. 1009 Estado nutricional: ingestión de nutrientes. 0303 Autocuidados: comer. 157
  • 159.
    NIC 1860 Terapia dedeglución. 1050 Alimentación. 1056 Alimentación enteral por sonda. 1100 Manejo de la nutrición. 8100 Derivación Definición. Sensación desagradable, como oleadas, que la persona sien- te en la parte posterior de la garganta, en el epigastrio o en el abdomen y que puede preceder al vómito o no. Aunque la NANDA lo considera un diagnóstico enfermero. En nuestro ámbito es recomendable utilizar esta etiqueta como una complicación del proceso clínico. No es recomendable utilizar esta etiqueta como diagnóstico enfer- mero. CRITERIOS DE IDENTIFICACIÓN • Normalmente precede al vómito, pero puede ser experimentado tras este o en su ausencia. • Se acompaña de palidez, piel fría y sudorosa, aumento de la sali- vación, taquicardia, estasis gástrico y diarrea. • Se acompaña de movimientos de deglución de los músculos esque- léticos. Relaciones sugeridas NOC 1808 Conocimiento: medicación. 1608 Control del síntoma. NIC 1450 Manejo de las náuseas. 158 PACIENTE CPC 00134 Náuseas
  • 160.
    1570 Manejo delvómito. 1860 Terapia de la deglución. 8100 Derivación. Definición. Describe un riesgo elevado o la situación experimentada por una persona que se caracteriza por una insuficiente saturación del oxíge- no plasmático originado por una hipoventilación alveolar, cambios en la via aérea o desequilibrio en la ventilación - perfusión. Frecuencia de aparición en Hospital a Domicilio (HAD): 52.9 %3 . CRITERIOS DE IDENTIFICACIÓN • pH < 7.35; PACO2> 48 mm Hg. • Incremento del pulso o pulso irregular. • Somnolencia, confusión, irritabilidad. • Dismunición de la excerción de orina. • Palidez, piel fría o cianótica. SITUACIONES DE RIESGO • EPOC. • Neumonía. • Atelecatasias. • Edema pulmonar. • Crisis asmática severa. Relaciones sugeridas NOC 0403 Estado respiratorio: ventilación. 159 PACIENTE CPC Hipoxemia 3. Informe plan de pilotaje IMAD – Hospital a Domicilio. Valencia: Conselleria de Sanitat, 2005.
  • 161.
    0740 Autocontrol delasma. 1608 Control del síntoma. NIC 3320 Oxigenoterapia. 3140 Manejo de las vías aéreas. 8100 Derivación. Definición. Describe un riesgo elevado o la situación experimentada por una persona que se caracteriza por efectos secundarios o reacciones adversas relacionados con la terapia medicamentosa. Frecuencia de aparición en Hospital a Domicilio (HAD): 46.1 %4 . Valorar si existe el diagnóstico enfermero conocimientos deficientes sobre la medicación prescrita. SITUACIÓN DE RIESGO • Pacientes con terapia medicamentosa prolongada. • Historia de hipersensibilidad o recciones adversas. • Polifarmacia. • Inestabilidad mental. • Insuficencia hepática o renal. Relaciones sugeridas NOC 1808 Conocimientos: medicación. NIC 5616 Enseñanza: medicamentos prescritos. 8100 Derivación. 160 PACIENTE CPC Efectos adversos de la terapia medicamentosa 4. Informe plan de pilotaje IMAD – Hospital a Domicilio. Valencia: Conselleria de Sanitat, 2005.
  • 162.
    Definición. Describe lasituación experimentada por una persona que se caracteriza por deterioro de la función respiratoria originado por un colap- so alveolar, que puede finalizar en neumonía. Frecuencia de aparición en Hospital a Domicilio (HAD): 44.4 %3 . CRITERIOS DE IDENTIFICACIÓN • Aumento de la frecuencia respiratoria. • Fiebre. • Tos productiva. • Disminución o ausencia de ruidos pulmonares. • Dolor torácico pleural. • Taquicardia. • Disnea marcada. • Cianosis. • Letargo. SITUACIÓN DE RIESGO • Edema pulmonar. • Postoperatorio de cirugía abdominal o torácica. • Inmovilización. • Disminución de la conciencia. • Alimentación nasogástrica. • EPOC • Debilidad. • Producción disminuida de surfactante. • Obstrucción aérea. 161 PACIENTE CPC Atelectasias, Neumonía
  • 163.
    Relaciones sugeridas NOC 0403 Estadorespiratorio: ventilación. 0204 Consecuencias de la inmovilidad: fisiológicas. 0740 Autocontrol del asma. 1608 Control del síntoma. NIC 3350 Monitorización respiratoria, espirometría y pulsioximetría. 3320 Oxigenoterapia. 3140 Manejo de las vías aéreas. 8100 Derivación. Definición. Describe la situación experimentada por una persona que se caracteriza por la formación de trombos venosos originado por la estasis sanguínea, lesión en la pared vascular, o alteración de la coagulación. Frecuencia de aparición en Hospital a Domicilio (HAD): 44.%3 . CRITERIOS DE IDENTIFICACIÓN • Ausencia o disminución de los pulsos periféricos. • Enrojecimiento, frialdad, calentamiento o cianosis inusual de la zona. • Repentino dolor torácico, disnea, taquipnea. • Signo positivo de Homans (La dorsiflexión del pie causa dolor por insuficiente circulación). • Dolor en la zona. SITUACIÓN DE RIESGO • Inmovilidad mayor a 72 horas. • Fracturas. • Irritación química venosa. 162 PACIENTE CPC Trombosis Venosa Profunda
  • 164.
    • Historial deinsuficiencia venosa. Venas varicosas. • Obesidad. • Cirugía mayor a 30 minutos. • Cáncer. • Fallo cardíaco. • Edad superior a 40 años. Relaciones NIC –NOC sugeridas NOC 2102 Nivel de dolor. 0407 Perfusión tisular: periférica. 1608 Control del síntoma. NIC 4066 Cuidados circulatorios: insuficiencia venosa. 8100 Derivación. Definición. Describe el riesgo o la situación experimentada por una per- sona que se caracteriza por un cuadro de trastorno del sistema de con- ducción cardíaco, con alteraciones en la frecuencia cardiaca, el ritmo del corazón, o ambos. Frecuencia de aparición en Hospital a Domicilio (HAD): 28.3.%3 . CRITERIOS DE IDENTIFICACIÓN • Alteración de la frecuencia y ritmo cardíaco. • Palpitaciones, dolor torácico, síncope, fatiga. • Disminución de la SaO2. • Alteraciones en el ECG. • Hipotensión. 163 PACIENTE CPC Arritmia
  • 165.
    SITUACIÓN DE RIESGO •Infarto de miocardio. • Insuficiencia Cardiaca Congestiva. • Estados de hipo e hiperfunción endocrina. • Hipertensión intracraneal. • Desequilibrio electrolítico. • Cardiopatía aterosclerótica. • Efectos medicamentos adeverso. • EPOC. • Miocardiopatía, valvulopatía. • Anemia. • Postoperatorio de cirugía cardiaca. Relaciones NIC –NOC sugeridas NOC 0405 Perfusión tisular: cardiaca. 0407 Perfusión tisular: periférica. 1608 Control del síntoma. NIC 4040 Cuidados cardíacos. 4130 Monitorización de líquidos. 8100 Derivación. CPC Definición. Describe el riesgo o la situación experimentada por una per- sona que se caracteriza por un cuadro de aporte sanguíneo insuficiente, para cubrir las necesidades titulares, originado por un bombeo insuficien- te de sangre por parte del corazón. 164 PACIENTE CPC Bajo gasto cardiaco
  • 166.
    Frecuencia de apariciónen Hospital a Domicilio (HAD): 25.9 %3 . CRITERIOS DE IDENTIFICACIÓN • Alteración de la frecuencia del pulso. • Aumento de la frecuencia respiratoria. • Aumento o disminución de la presión sanguínea. • Alteraciones de los sonidos cardiacos. • Esterores pulmonares. • Disminución de la eliminación de la orina(< 30 ml /hora). • Alteraciones mentales. • Piel fría, húmeda, cianótica, jaspeadas. • Disminución del tiempo de relleno capilar. • Distensión de las venas del cuello. • Debilidad de pulsos periféricos. • Disminución de la saturación de oxígeno venosa mixta. • Alteraciones en el ECG. • Hipotensión. SITUACIÓN DE RIESGO • Infarto de miocardio. • Miocardiopatía, Valvulopatía. • Taponamiento cardiaco. • Hipotermia. • SOC séptico. • Coartación aórtica. • EPOC. • Hipovolemia. • Bradicardia. • Taquicardia. • Insuficiencia cardiaca congestiva. 165
  • 167.
    Relaciones NIC –NOCsugeridas NOC 0405 Perfusión tisular: cardiaca. 0407 Perfusión tisular: periférica. 1608 Control del síntoma. NIC 4040 Cuidados cardíacos. 4130 Monitorización de líquidos. 0840 Cambio de posición. 8100 Derivación. Definición. Describe la situación experimentada por una persona que se caracteriza por un cuadro en el que el nivel de glucosa sanguínea es demasiado alto para la función metabólica. Es conveniente antes de utilizar esta complicación potencial del proceso clínico, valorar si existe problemas de déficit de conocimien- tos o de manejo del régimen terapéutico. Se debe utilizar: – cuando existe un alto riesgo de cetoacidosis diabética(≥ 300 mg dl) y requiere derivación y tratamiento médico no protoco- lizado. – Cuando el paciente cumple con el régimen terapéutico y existe sospecha de desajuste en el tratamiento médico. Si las hiperglucemias son muy frecuentes en el tiempo valore la pre- sencia de Conducta Deficiente de Salud (página 56). No es recomendable utilizar esta etiqueta en casos de hipergluce- mias moderadas que son sintomáticas de un manejo ineficaz del régi- men terapéutico. CRITERIOS DE IDENTIFICACIÓN • Aumento de la glucosa sanguínea por encima de los niveles normales. 166 PACIENTE CPC Hiperglucemia
  • 168.
    • Polidipsia. Polifagia.Poliuria. •Prurito. • Glucosuria. • Cetoacedosis: – Cetonuria. – Cefalea. Náuseas. Vómitos. – Respiración de Kussmaul. Taquicardia. Hipotensión. SITUACIÓN DE RIESGO • Diabetes mellitas. • Nutrición parenteral. • Sepsis. • Alimentación enteral. • Tratmiento con corticoides. • Lesiones térmicas graves. Relaciones sugeridas NOC 0230 Nivel de glucemia. NIC 4035 Muestra de sangre capilar. 2120 Manejo de la hiperglucemia. 8100 Derivación. CPC Definición. Describe la situación experimentada por una persona que se caracteriza por un cuadro en el que el nivel de glucosa sanguínea es demasiado bajo para la función metabólica. 167 PACIENTE CPC Hipoglucemia
  • 169.
    Es conveniente valorarsi existe problemas de déficit de conoci- mientos o de manejo del régimen terapéutico. Si las hipoglucemias son muy frecuentes y el cumplimiento terapéu- tico es adecuado valore si existe sospecha de desajuste en el trata- miento médico. CRITERIOS DE IDENTIFICACIÓN • Nivel de glucosa sanguínea inferior a 60 mg/dl. • Piel pálida, húmeda, fría. • Taquicardia, Sudación profusa. • Nerviosismo, irritabilidad. • Pérdida de conocimiento. • Falta de coordinación. • Letargo, confusión. SITUACIÓN DE RIESGO • Diabetes mellitas con tratamiento farmacológico. • Enfermedad de Addison. • Hepatopatía. Relaciones sugeridas NOC 0230 Nivel de glucemia. NIC 4035 Muestra de sangre capilar. 2130 Manejo de la hipoglucemia. 8100 Derivación. 168
  • 170.
  • 172.
    El uso dela NOC Los resultados NOC son definidos (Moorhead, 2004), como un estado, conducta o percepción de un individuo, familia o comunidad medido a lo largo de un continuo en respuesta a intervenciones de enfermería. Existe una taxonomía de resultados de enfermería, la clasificación NOC, que organiza los resultados en grupos o categorías basadas en semejan- zas, diferencias y relaciones entre resultados. La Clasificación de Resultados de Enfermería (NOC) se desarrolló para medir el cambio en el estado del paciente con el propósito de evaluar los efectos de intervenciones de enfermería. Los resultados miden el estado de salud del paciente. La medición no se limita a estados funcionales y fisiológicos, sino que incluye medidas de estado psicosocial, de conocimiento y conductual. La NOC también inclu- ye resultados para un paciente individual, un cuidador en el entorno domi- ciliario, una familia y una comunidad. La selección de resultados La selección de resultados es una parte esencial del juicio terapéutico. Una vez se ha realizado el juicio diagnóstico (identificado los Complicaciones del proceso clínico y /o diagnósticos enfermeros), la enfermera está preparada para considerar la elección de resultados del paciente. En la elección de un resultado se tienen en cuenta numerosos factores incluyendo: (1) el tipo de problema de salud, (2) el diagnóstico o problema de salud con las características definitorias y factores relacionados o factores de riesgo, (3) características del paciente, (4) preferencias del paciente y (5) opciones de tratamiento (1) Tipo de problema de salud Las problemas de salud pueden clasificarse como: (a) problemas de derivación que son cuestiones principalmente dirigidas por otros proveedores de salud, 171
  • 173.
    (b) complicaciones delproceso clínico que son cuestiones de colabora- ción con otros proveedores, y (c) diagnósticos enfermeros que son cuestiones para las que las enferme- ras tienen la principal responsabilidad. (a) problemas de derivación Si el problema de salud recae en la primera categoría, la responsabilidad principal de identificación del resultado deseado generalmente reside en el proveedor de asistencia sanitaria responsable. Ejemplos de ello pueden ser preocupaciones económicas derivadas a un trabajador social o preo- cupaciones espirituales derivadas a un consejero espiritual. Sin embargo, estos problemas pueden ir acompañados de otros, como ansiedad o depresión, y precisar que la enfermera trabaje en colaboración con el pro- veedor de asistencia sanitaria primaria para considerar los resultados. (b) complicaciones del proceso clínico Si el problema recae en la segunda categoría, la enfermera y otros prove- edores responsables deberían trabajar juntos para identificar el resultado. Esto ocurre con frecuencia cuando la enfermera y el fisioterapeuta o la enfermera y el dietista colaboran respecto a los resultados que pueden conseguirse en relación a un programa de rehabilitación o a instrucciones respecto a una nueva dieta. (c) diagnósticos enfermeros Si el problema de salud es un diagnóstico enfermero, la enfermera debe- ría asumir la principal responsabilidad en la identificación de los resulta- dos del paciente relacionados con el diagnóstico. (2) Diagnóstico o problema de salud Si se toma como base para la selección del resultado un diagnóstico enfermero, deben tenerse en cuenta la definición, las características defi- nitorias y los factores relacionados o los factores de riesgo para un diag- nóstico de riesgo. Por ejemplo, a partir de la definición de Intolerancia a la actividad, la enfer- mera podía escoger Tolerancia de la actividad, Resistencia, Energía psi- comotora o Nivel de autocuidado como resultado adecuado a la defini- ción. Tolerancia de la actividad y Resistencia generalmente están relacionados con energía fisiológica insuficiente, mientras que Energía psicomotora 172
  • 174.
    está relacionado conenergía psicológica insuficiente. El resultado Nivel de autocuidado puede escogerse cuando la enfermera está más interesa- da en la capacidad del paciente para llevar a cabo actividades de la vida cotidiana u otras actividades de autocuidados. Cuando se toman en cuenta las características definitorias, podrían esco- gerse Signos vitales, Efectividad de la bomba cardíaca o Estado respira- torio: ventilación como resultados intermedios que pueden mejorar si el paciente aumenta su tolerancia a la actividad. De nuevo, los factores relacionados podrían indicar la selección de resul- tados intermedios como Movilidad, Estado respiratorio: ventilación o Estado respiratorio: intercambio gaseoso, que están dirigidos a la inmovi- lidad y al desequilibrio de oxígeno. Utilizando la definición del diagnóstico Riesgo de intolerancia a la activi- dad, la enfermera podría seleccionar los mismos resultados selecciona- dos cuando se tuvo en cuenta la definición del diagnóstico Intolerancia a la actividad. La determinación de los factores de riesgo pertinentes suge- rirá otros posibles resultados como Conocimiento: actividad prescrita, Conocimiento: mecanismos corporales, Efectividad de la bomba cardiaca, Estado respiratorio: ventilación, Perfusión tisular: cardiaca, Perfusión tisu- lar: pulmonar, Bienestar personal y Forma física. Si se utiliza el diagnóstico médico como base para seleccionar un resul- tado, cuando se elige un resultado deberían tenerse en cuenta los signos y los síntomas del diagnóstico, así como los factores causales y otros relacionados. Por ejemplo, el edema pulmonar puede ser un síntoma del diagnóstico médico Insuficiencia cardiaca congestiva y puede sugerir la elección de Severidad de la sobrecarga de líquidos o Estado respiratorio: ventilación como resultado. El hecho de que más de un resultado pueda ser adecuado para un diag- nóstico de enfermería específico apoya el proceso de toma de decisiones clínicas. Cada vez que la enfermera escoge un resultado para un pacien- te individual, esa enfermera está realizando un juicio clínico basado en el diagnóstico y en uno o más de los factores descritos en los siguientes apartados. Algunos diagnósticos médicos y enfermeros pueden tener resultados con- cretos asociados con frecuencia con el diagnóstico concreto. Por ejemplo, si el diagnóstico es Diabetes mellitus, la monitorización y el control del nivel de glucosa sanguínea son resultados médicos y enfermeros concre- 173
  • 175.
    tos para losque la enfermera puede escoger el resultado de la NOC Nivel de glucemia. Otros dos resultados concretos para este diagnóstico médi- co y asociados con los diagnósticos enfermeros de Conocimientos defi- cientes y Manejo efectivo del régimen terapéutico o Manejo inefectivo del régimen terapéutico son Conocimiento: control de la diabetes y Autocontrol de la diabetes. (3) Características del paciente Las características del paciente pueden afectar a la selección de un resulta- do y al grado en el que puede conseguirse y, por ello, las características del paciente han de mencionarse como factores de modificación de riesgo. Las grandes áreas que deben tenerse en cuenta incluyen características per- sonales, enfermedades o características relacionadas con la salud y recur- sos disponibles para el paciente/usuario. (a) Las características personales incluyen factores demográficos, procesos psicológicos /cognitivos y creencias o valores personales y de salud. Factores demográficos como la edad o el sexo pueden desempeñar un papel importante en la selección de resultados. Algunos resultados de la NOC, como los resultados de desarrollo infantil, son específicos para ciertas eda- des, mientras que otros como Autocontrol de la enfermedad cardíaca no son adecuados para niños. Algunos resultados, como Estado materno: puerperio y Establecimiento de la lactancia materna, obviamente son para mujeres en edad de crianza. La raza y la etnia pueden proporcionar información impor- tante a la hora de considerar la predisposición y la respuesta a la enferme- dad, y pueden indicar creencias culturales que pueden afectar a la acepta- ción de resultados por parte del paciente o de la familia. El nivel de formación es fácil de recoger y cuantificar y puede actuar como sustituto del nivel de lec- tura, un aspecto importante en los resultados seleccionados relacionados con el conocimiento y la participación en la asistencia sanitaria. Las variables psicológicas y cognitivas pueden incluir estados emocionales como depresión o ansiedad y procesos como concentración, memoria, pro- cesado de información y toma de decisiones. Estos factores influyen en la respuesta del paciente a la enfermedad, la capacidad para aprender y la motivación, y por lo tanto cuando se seleccionan resultados para un pacien- te concreto han de tenerse en cuenta. Los resultados de conocimiento no se seleccionarán para pacientes sin memoria a corto plazo o que no pueden procesar información, mientras que Autocontrol de la ansiedad puede ser el resultado más importante para los pacientes extremadamente ansiosos. La NOC tiene varios resultados que 174
  • 176.
    pueden utilizarse paraevaluar cambios en la función psicológica y cognitiva en el tiempo. (b) Variables relacionadas con la enfermedad o con la salud como gravedad inicial de la enfermedad tienen una gran influencia en la selección y el logro de resultados. La enfermería utiliza varias medidas de agudeza del paciente, así como medidas de uso de recursos, para valorar la gravedad de la enfermedad. La gravedad de la enfermedad puede dictar la eliminación o inclusión de resul- tados. Por ejemplo, Movilidad generalmente no se selecciona para un paciente en una unidad de cuidados críticos, y Muerte confortable sería bas- tante apropiado para un paciente en estado terminal. El estado funcional y la capacidad para realizar actividades de la vida diaria también influyen en la selección de resultados. Mientras que Ambular no es un resultado adecuado para un paciente con tetraplejia, Movilidad puede ser importante, y Autogestión de los cuidados puede ser adecuado si el paciente está mental- mente alerta pero es incapaz de realizar actividades de autocuidado físico. (c) Los recursos disponibles incluyen todos los recursos de apoyo que influ- yen en la recuperación y en los resultados del paciente. Pueden incluir recur- sos económicos, sociales, familiares y de salud que influyen en el estilo de vida, condiciones de vida y acceso a la asistencia sanitaria. Deber tenerse en cuenta a la hora de seleccionar resultados del paciente. La mejora de Conducta del cumplimiento o Autocontrol de la diabetes no es probable que se produzca si el paciente no tiene recursos económicos para adquirir las medicaciones o el equipo necesario. Los factores sociales incluyen apoyo social, relaciones sociales y la disponi- bilidad de alguna persona para ayudar al paciente según sea necesario. Si se carece de apoyo social o el cuidador ha de aprender múltiples procedi- mientos y actividades para proporcionar cuidados domiciliarios, Severidad de la soledad y Rendimiento del cuidador principal: cuidados directos pueden ser resultados importantes. (4) Preferencias del paciente Incluir al paciente y / o a la familia en el proceso de toma de decisiones res- pecto a la selección de resultados del paciente asegurará que se tengan en cuenta las preferencias del paciente. Las preferencias estarán influidas por las percepciones personales del paciente sobre la salud, objetivos deseados de salud, preferencias respecto al tratamiento, creencias religiosas y creen- cias y preferencias culturales. Cada uno de estos factores puede afectar sobre los resultados que el paciente o la familia considera aceptables. Si el 175
  • 177.
    paciente cree quesu salud es satisfactoria, puede estar menos inclinado a aceptar resultados cuyo objetivo es medir mejoras en la salud general como Forma física. Si el paciente es incapaz de aceptar diagnósticos emocionales o psicológicos a causa de creencias religiosas o culturales, no es probable que considere aceptables resultados como Equilibrio emocional o Nivel de depresión. Además de colaborar en la selección del resultado, el paciente debería par- ticipar en la determinación de dónde quiere estar sobre la escala del resulta- do, es decir, de cuánto cambio quiere conseguir. Puede ser importante para la enfermera ayudar al paciente a aceptar un resultado realista. Un ejemplo podría ser un paciente con enfisema pulmonar que quiere con- seguir un 5 (no comprometido) en el resultado Estado respiratorio: ventilación cuando esto es fisiológicamente imposible. (5) Tratamiento potencial En la selección de un resultado se debe considerar la disponibilidad de inter- venciones y la posibilidad de ser suministradas. La Clasificación de Intervenciones de Enfermería (NIC) incluye intervenciones enfermeras y recomendaciones del nivel requerido para el personal de enfermería que pro- porciona la intervención. Un primer paso es determinar si una intervención está disponible para con- seguir un resultado para un paciente concreto. Si el diagnóstico para un paciente es Confusión crónica secundaria a enfer- medad de Alzheimer, las intervenciones enfermeras tendrían que poder ayu- dar al paciente a mantener su estado cognitivo actual durante un periodo, aun- que con las intervenciones actuales puede esperarse una eventual disminu- ción en la cognición. En tal caso, no sería probable que la enfermera seleccio- nara Orientación cognitiva o Cognición como resultados para los que se ha proyectado mejora; y a medida que la cognición disminuye pueden ser impor- tantes resultados relacionados con la nutrición, la seguridad y la higiene. De manera parecida, si un paciente tiene el diagnóstico de Incontinencia uri- naria total secundaria a tetraplejia, actualmente no hay tratamientos que satisfagan el resultado Continencia urinaria; sin embargo, mantener un paciente en la puntuación 5 en Severidad de la infección (ninguno) o Integridad tisular: piel y membranas mucosas (no comprometido) puede ser el resultado importante. Un segundo factor a tener en cuenta es si se dispone del personal de enfer- mería necesario para realizar una intervención. 176
  • 178.
    Gravemente comprometido (1),Sustancialmente comprometi- do (2), Moderadamente comprometido (3), Levemente comprometido (4), No comprometido (5) Grave (1), Sustancial (2), Moderado (3), Leve (4), Ninguno (5) 0001 RESISTENCIA Definición: Capacidad para mantener la actividad Escala Indicador Descripción 000101 Realización de la rutina habitual 1 2 3 4 5 000103 Aspecto descansado 1 2 3 4 5 000109 Recuperación de la energía con el descanso 1 2 3 4 5 Escala 000110 Agotamiento 1 2 3 4 5 0003 DESCANSO Definición: Grado y patrón de la disminución de actividades para la recu- peración mental y física Escala Indicador Descripción 000301 Tiempo de descanso 1 2 3 4 5 000303 Calidad del descanso 1 2 3 4 5 000304 Descansado físicamente 1 2 3 4 5 000305 Descansado mentalmente 1 2 3 4 5 000306 Consumo de fármacos psicotrópicos 1 2 3 4 5 177 NOC Gravemente comprometido (1), Sustancialmente comprometido (2), Moderadamente comprometido (3), Levemente comprometido (4), No comprometido (5)
  • 179.
    Gravemente comprometido (1),Sustancialmente comprometi- do (2), Moderadamente comprometido (3), Levemente comprometido (4) y No comprometido (5) Grave (1), Sustancial (2), Moderado (3), Leve (4) y Ninguno (5) Gravemente comprometido (1), Sustancialmente comprometido (2), Moderadamente comprometido (3), Levementecomprometido (4) y No comprometido (5) 0004 SUEÑO Definición: Suspensión periódica natural de la conciencia durante la cual se recupera el organismo Escala Indicador Descripción 000401 Horas de sueño (como mínimo 5h/24h) 1 2 3 4 5 000404 Calidad de sueño 1 2 3 4 5 000405 Eficiencia del sueño (tasa de tiempo de 1 2 3 4 5 sueño/tiempo total destinado a dormir) 000415 Sueño reparador 1 2 3 4 5 Escala 000406 Sueño ininterrumpido 1 2 3 4 5 000409 Siesta inapropiada 1 2 3 4 5 000417 Dependencia de las ayudas para dormir 1 2 3 4 5 0005 TOLERANCIA DE LA ACTIVIDAD Definición: Respuestas de los movimientos corporales que consumen energía implicados en las actividades necesarias o deseadas. Escala Indicador Descripción 000508 Esfuerzo respiratorio en respuesta a la actividad 1 2 3 4 5 000510 Distancia de caminata 1 2 3 4 5 000511 Tolerancia a subir escaleras 1 2 3 4 5 000518 Facilidad para realizar las actividades 1 2 3 4 5 de la vida diaria 000514 Habilidad para hablar durante el ejercicio 1 2 3 4 5 178 NOC
  • 180.
    Desviación grave delrango esperado (1), Desviación sustan- cial del rango esperado (2), Desviación moderada del rango normal (3), Desviación leve del rango normal (4), Sin desviación del rango normal (5) 0113 ENVEJECIMIENTO FÍSICO Definición: Cambios físicos que se producen con el proceso natural de envejecimiento Escala Indicador Descripción 011301 Masa corporal media 1 2 3 4 5 011304 Capacidad vital 1 2 3 4 5 011306 Elasticidad cutánea 1 2 3 4 5 011307 Fuerza muscular 1 2 3 4 5 011308 Agudeza auditiva 1 2 3 4 5 011309 Agudeza visual 1 2 3 4 5 011318 Memoria 1 2 3 4 5 011319 Capacidad cognitiva 1 2 3 4 5 011320 Movilidad articular 1 2 3 4 5 011321 Agudeza sensitiva 1 2 3 4 5 011322 Tono de músculo vesical 1 2 3 4 5 011323 Resistencia a infecciones 1 2 3 4 5 179 NOC
  • 181.
    Gravemente comprometido (1)Sustancialmente comprometido (2) Moderadamente comprometido (3) Levemente comprometido (4) No comprometido (5) Gravemente comprometido (1) Sustancialmente comprometido (2) Moderadamente comprometido (3) Levemente comprometido (4) No comprometido(5) 0200 AMBULAR Definición: Capacidad para caminar de un sitio a otro independientemen- te con o sin mecanismos de ayuda Escala Indicador Descripción 020003 Camina a paso lento 1 2 3 4 5 020004 Camina a paso moderado 1 2 3 4 5 020005 Camina a paso rápido 1 2 3 4 5 020006 Sube escaleras 1 2 3 4 5 020007 Baja escaleras 1 2 3 4 5 020010 Camina distancias cortas 100m. 1 2 3 4 5 0201 AMBULAR SILLAS DE RUEDAS Definición: Capacidad para moverse de un sitio a otro en silla de ruedas Escala Indicador Descripción 020101 Se traslada de y hacia la silla de ruedas 1 2 3 4 5 020103 Impulsa la silla de ruedas en distancias cortas 1 2 3 4 5 020104 Impulsa la silla de ruedas en distancia 1 2 3 4 5 moderadas 020105 Impulsa la silla de ruedas en larga distancia 1 2 3 4 5 020107 Maniobra para entrar 1 2 3 4 5 180 NOC
  • 182.
    Gravemente comprometido (1),Sustancialmente comprometido (2), Moderadamente comprometido (3), Levemente comprometido (4), No comprometido (5) Grave (1), Sustancial (2), Moderado (3), Leve (4), Ninguno (5) Gravemente comprometido (1), Sustancialmente comprometido (2), Moderadamente comprometido (3), Levemente comprometido (4), No comprometido (5) 0202 EQUILIBRIO Definición: Capacidad para mantener el equilibrio del cuerpo. Escala Indicador Descripción 020201 Equilibrio en bipedestación 1 2 3 4 5 020202 Equilibrio en sedestación 1 2 3 4 5 020203 Equilibrio al caminar 1 2 3 4 5 Escala 020205 Tambaleo 1 2 3 4 5 020206 Mareo 1 2 3 4 5 020207 Agitación 1 2 3 4 5 020208 Tropiezo 1 2 3 4 5 0203 POSICIÓN CORPORAL: AUTOINICIADA Definición: Capacidad para cambiar de posición corporal independiente- mente con o sin mecanismo de ayuda. Escala Indicador Descripción 020302 De tumbado a sentado 1 2 3 4 5 020303 De sentado a tumbado 1 2 3 4 5 020304 De sentado a ponerse de pie. 1 2 3 4 5 020305 De pie a sentado. 1 2 3 4 5 020311 De un costado a otro costado 1 2 3 4 5 181 NOC
  • 183.
    Gravemente comprometido (1)Sustancialmente comprometido (2) Moderadamente comprometido (3) Levemente comprometido (4) No comprometido (5) Grave (1) Sustancial(2) Moderado(3) Leve(4) Ninguno(5) 0204 CONSECUENCIAS DE LA INMOVILIDAD: FISIOLÓGICAS Definición: Gravedad del compromiso en el funcionamiento fisiológico debido a la alteración de la movilidad física. Escala Indicador Descripción 020401 Úlceras por presión. 1 2 3 4 5 020402 Estreñimiento. 1 2 3 4 5 020403 Impactación fecal. 1 2 3 4 5 020408 Retención urinaria 1 2 3 4 5 020418 Trombosis venosa. 1 2 3 4 5 020419 Congestión pulmonar 1 2 3 4 5 Escala 020404 Estado nutricional. 1 2 3 4 5 020411 Fuerza muscular. 1 2 3 4 5 020412 Tono muscular. 1 2 3 4 5 020414 Alteración del movimiento articular. 1 2 3 4 5 020420 Ineficacia de la tos. 1 2 3 4 5 020421 Capacidad vital. 1 2 3 4 5 182 NOC
  • 184.
    Grave (1), Sustancial(2), Moderado (3), Leve (4), Ninguno (5) Gravemente comprometido (1), Sustancialmente comprometido (2), Moderadamente comprometido (3), Levemente comprometido (4), No comprometido (5) Gravemente comprometido (1), Sustancialmente comprometido (2), Moderadamente comprometido (3), Levemente comprometido (4), No comprometido (5) 0205 CONSECUENCIAS DE LA INMOVILIDAD: PSICOCOGNITIVAS Definición: Gravedad del compromiso en el funcionamiento psicocognitivo debido a la alteración de la movilidad física. Escala Indicador Descripción 020504 Distorsiones de la percepción 1 2 3 4 5 020510 Imagen corporal negativa 1 2 3 4 5 Escala 020502 Orientación cognitiva 1 2 3 4 5 020508 Transtornos del sueño 1 2 3 4 5 020511 Capacidad para actuar 1 2 3 4 5 0208 MOVILIDAD Definición: Capacidad para moverse con resolución en el entorno inde- pendientemente con o sin mecanismo de ayuda. Escala Indicador Descripción 20801 Mantenimiento del equilibrio 1 2 3 4 5 20802 Mantenimiento de la posición corporal 1 2 3 4 5 20804 Movimiento articular 1 2 3 4 5 20805 Realización del traslado 1 2 3 4 5 20806 Ambulación 1 2 3 4 5 20809 Coordinación 1 2 3 4 5 20810 Marcha 1 2 3 4 5 20814 Se mueve con facilidad 1 2 3 4 5 183 NOC
  • 185.
    Gravemente comprometido (1),Sustancialmente comprometido (2), Moderadamente comprometido (3), Levemente comprometido (4), No comprometido 0300 AUTOCUIDADOS: ACTIVIDADES INSTRUMENTALES DE LA VIDA DIARIA Definición: Capacidad para realizar la mayoría de las tareas básicas y las actividades de cuidado personal independientemente con o sin meca- nismos de ayuda. Escala Indicador Descripción 030001 Come 1 2 3 4 5 030002 Se viste 1 2 3 4 5 030003 Uso del inodoro 1 2 3 4 5 030004 Se baña 1 2 3 4 5 030005 Se peina 1 2 3 4 5 030007 Higiene 1 2 3 4 5 030007 Higiene bucal 1 2 3 4 5 030008 Deambulación:camina 1 2 3 4 5 030009 Deambulación: en silla de ruedas 1 2 3 4 5 030010 Realización del traslado 1 2 3 4 5 030012 Cambia de posición 1 2 3 4 5 184 NOC
  • 186.
    Gravemente comprometido (1),Sustancialmente comprometido (2), Moderadamente comprometido (3), Levemente comprometido (4), No comprometido 0301 AUTOCUIDADOS: BAÑO Definición: Capacidad para lavar el propio cuerpo independientemente con o sin mecanismos de ayuda. Escala Indicador Descripción 030101 Entra y sale del cuarto de baño 1 2 3 4 5 030102 Obtiene los suministros para el baño 1 2 3 4 5 030105 Regula la temperatura del agua 1 2 3 4 5 030107 Se lava en el lavabo 1 2 3 4 5 030108 Se baña en la bañera 1 2 3 4 5 030109 Se baña en la ducha 1 2 3 4 5 030110 Lava el cuerpo 1 2 3 4 5 030111 Seca el cuerpo 1 2 3 4 5 030113 Se lava la cara 1 2 3 4 5 030114 Se lava la parte superior del cuerpo 1 2 3 4 5 030115 Se lava la parte inferior del cuerpo 1 2 3 4 5 030116 Se lava la zona perianal 1 2 3 4 5 185 NOC
  • 187.
    Gravemente comprometido (1),Sustancialmente comprometido (2), Moderadamente comprometido (3), Levemente comprometido (4), Levemente comprometido (5) Gravemente comprometido (1), Sustancialmente comprometido (2), Moderadamente comprometido (3), Levemente comprometido (4), No comprometido (5). 0303 AUTOCUIDADOS: COMER Definición: Capacidad para preparar e ingerir comida y líquidos indepen- dientemente con o sin mecanismos de ayuda. Escala Indicador Descripción 030301 Prepara comida 1 2 3 4 5 030303 Maneja utensilios 1 2 3 4 5 030306 Se lleva comida a la boca con los dedos 1 2 3 4 5 030309 Bebe de una taza o vaso 1 2 3 4 5 030310 Coloca la comida en la boca 1 2 3 4 5 030312 Mastica la comida 1 2 3 4 5 030313 Deglute la comida 1 2 3 4 5 0305 AUTOCUIDADOS: HIGIENE Definición: Capacidad para mantener la higiene corporal y un buen aspec- to independientemente con o sin mecanismos de ayuda. Escala Indicador Descripción 030501 Se lava las manos 1 2 3 4 5 030503 Se limpia la zona perineal 1 2 3 4 5 030505 Mantiene la nariz limpia 1 2 3 4 5 030508 Se lava el pelo 1 2 3 4 5 030509 Se peina o cepilla el pelo 1 2 3 4 5 030510 Se afeita 1 2 3 4 5 030512 Se cuida las uñas 1 2 3 4 5 030514 Mantiene una apariencia pulcra 1 2 3 4 5 186 NOC
  • 188.
    Gravemente comprometido (1)Sustancialmente comprometido (2) Moderadamente comprometido (3) Levemente comprometido (4) No comprometido (5) Gravemente comprometido (1), Sustancialmente comprometido (2), Moderadamente comprometido (3), Levemente comprometido (4), Levemente comprometido (5) 0308 AUTOCUIDADOS: HIGIENE BUCAL Definición: Capacidad para cuidarse la boca y los dientes independiente- mente con o sin mecanismos de ayuda Escala Indicador Descripción 030801 Se cepilla los dientes 1 2 3 4 5 030803 Se lava la boca, las encías y la lengua 1 2 3 4 5 030804 Limpia la dentadura o las prótesis dental 1 2 3 4 5 030807 Acude al dentista de forma regular 1 2 3 4 5 0309 AUTOCUIDADOS: MEDICACIÓN PARENTERAL Definición: Capacidad para administrar medicaciones parenterales para cumplir los objetivos terapéuticos independientemente con o sin mecanis- mos de ayuda. Escala Indicador Descripción 030901 Identifica la medicación 1 2 3 4 5 030902 Describe la dosis correcta 1 2 3 4 5 030905 Describe las precauciones de uso de la 1 2 3 4 5 medicación 030906 Describe los efectos secundarios de la 1 2 3 4 5 medicación 030907 Utiliza ayudas para memorizar 1 2 3 4 5 030911 Administra correctamente la medicación 1 2 3 4 5 030912 Almacena correctamente la medicación 1 2 3 4 5 030913 Desecha la medicación de forma apropiada 1 2 3 4 5 030914 Mantiene la asepia 1 2 3 4 5 030915 Supervisa las zonas de punción 1 2 3 4 5 187 NOC
  • 189.
    Gravemente comprometido (1)Sustancialmente comprometido (2) Moderadamente comprometido (3) Levemente comprometido (4) No comprometido (5) 0310 AUTOCUIDADOS: USO DEL INODORO Definición: Capacidad para utilizar el inodoro independientemente con o sin mecanismos de ayuda. Escala Indicador Descripción 031001 Reconoce y responde a la repleción vesical 1 2 3 4 5 031002 Reconoce y responde a la urgencia para defecar 1 2 3 4 5 031003 Entra y sale del cuarto de baño 1 2 3 4 5 031004 Se quita la ropa 1 2 3 4 5 031005 Se coloca en el inodoro o en el orinal 1 2 3 4 5 031007 Se limpia después de orinar o defecar 1 2 3 4 5 031008 Se levanta del inodoro 1 2 3 4 5 031009 Se ajusta la ropa después de usar el inodoro 1 2 3 4 5 188 NOC
  • 190.
    Gravemente comprometido (1),Sustancialmente comprometi- do (2), Moderadamente comprometido (3), Levemente comprometido (4), No comprometido (1) 0313 NIVEL DE AUTOCUIDADO Definición: Capacidad para realizar actividades de cuidados personales y tareas domésticas básicas. Escala Indicador Descripción 031301 Se baña 1 2 3 4 5 031302 Se viste 1 2 3 4 5 031303 Prepara comida y bebida para ingerir 1 2 3 4 5 031304 Se alimenta 1 2 3 4 5 031305 Mantiene higiene personal 1 2 3 4 5 031306 Mantiene higiene bucal 1 2 3 4 5 031307 Se asea de manera independiente. 1 2 3 4 5 031308 controla las medicaciones orales y tópicas 1 2 3 4 5 para satisfacer objetivos terapéuticos. 031309 Controla las medicaciones parenterales 1 2 3 4 5 para satisfacer objetivos terapéuticos. 031310 Realiza tareas domésticas 1 2 3 4 5 031311 Mantiene la economía del hogar. 1 2 3 4 5 031312 Dispone su propio transporte 1 2 3 4 5 031313 Obtiene los artículos necesarios para la casa. 1 2 3 4 5 031314 Reconoce necesidades de seguridad en el hogar 1 2 3 4 5 189 NOC
  • 191.
    Grave (1), Sustancial(2), Moderado (3), Leve (4) y Ninguno (5) Gravemente comprometido (1), Sustancialmente comprometido (2), Moderadamente comprometido (3), Levemente comprometido (4) y No comprometido (5) 0403 ESTADO RESPIRATORIO: VENTILACIÓN Definición: Movimiento de entrada y salida del aire en los pulmones. Escala Indicador Descripción 040301 Frecuencia respiratoria 1 2 3 4 5 040303 Profundidad de la respiración 1 2 3 4 5 040306 Movilización del esputo hacia fuera de las 1 2 3 4 5 vías respiratorias 040325 Capacidad vital 1 2 3 4 5 Escala 040309 Utilización de los músculos accesorios 1 2 3 4 5 040310 Ruidos respiratorios patológicos 1 2 3 4 5 040312 Respiración con labios apretados 1 2 3 4 5 040313 Disnea de reposo 1 2 3 4 5 040314 Disnea de esfuerzo 1 2 3 4 5 040315 Ortopnea 1 2 3 4 5 040316 Dificultad respiratoria 1 2 3 4 5 190 NOC
  • 192.
    Grave (1), Sustancial(2), Moderado (3), Leve (4) y Ninguno (5) Gravemente comprometido (1), Sustancialmente comprometido (2), Moderadamente comprometido (3), Levemente comprometido (4) y No comprometido (5) 0405 PERFUSIÓN TISULAR: CARDIACA Definición: Adecuación del flujo sanguíneo a través de los vasos corona- rios para mantener la función cardiaca. Escala Indicador Descripción 040503 Índice cardiaco 1 2 3 4 5 040509 Hallazgos del electrocardiagrama 1 2 3 4 5 040516 Frecuencia cardiaca apical 1 2 3 4 5 040516 Frecuencia del pulso radial 1 2 3 4 5 040517 Presión sanguínea sistólica 1 2 3 4 5 040518 Presión sanguínea diastólica 1 2 3 4 5 Escala 040504 Angina 1 2 3 4 5 040505 Diaforesis profusa 1 2 3 4 5 191 NOC
  • 193.
    Nunca demostrado (1),Raramente demostrado (2), A veces demostrado (3), Frecuentemente demostrado (4), Siempre demostrado (5) Grave (1), Sustancial (2), Moderado (3), Leve (4), Ninguno (5) Gravemente comprometido (1), Sustancialmente comprometido (2), Moderadamente comprometido (3), Levemente comprome- tido (4), No comprometido (5) 0407 PERFUSIÓN TISULAR: PERIFÉRICA Definición: Adecuación del flujo sanguíneo a través de los pequeños vasos de las extremidades para mantener la función tisular. Escala Indicador Descripción 040706 Sensibilidad 1 2 3 4 5 040707 Coloración de piel 1 2 3 4 5 070709 Piel intacta 1 2 3 4 5 Escala 040712 Edema periférico 1 2 3 4 5 040713 Dolor localizado en extremidades 1 2 3 4 5 0500 CONTINENCIA INTESTINAL Definición: Control de la eliminación de heces procedentes del intestino. Escala Indicador Descripción 050002 Mantiene el control de la eliminación de heces 1 2 3 4 5 050004 Diarrea 1 2 3 4 5 050005 Estreñimiento 1 2 3 4 5 050012 Llega al baño con facilidad y de forma 1 2 3 4 5 independiente antes de la defecación 050013 Ingiere una cantidad de líquidos adecuada 1 2 3 4 5 050014 Ingiere una cantidad de fibra adecuada 1 2 3 4 5 192 NOC
  • 194.
    Gravemente comprometido (1),Sustancialmente comprometido (2), Moderadamente comprometido (3), Levemente comprometido (4), No comprometido (5) 0501 ELIMINACIÓN INTESTINAL Definición: Formación y evacuación de heces. Escala Indicador Descripción 050105 Heces blandas y formadas 1 2 3 4 5 050112 Facilidad de eliminación de las heces 1 2 3 4 5 050113 Control de la eliminación de heces 1 2 3 4 5 050121 Eliminación fecal sin ayuda 1 2 3 4 5 Escala 050108 Grasa en heces 1 2 3 4 5 050109 Sangre en las heces 1 2 3 4 5 050110 Estreñimiento 1 2 3 4 5 050111 Diarrea 1 2 3 4 5 050123 Abuso de ayuda para la eliminación 1 2 3 4 5 050128 Dolor con el paso de las heces 1 2 3 4 5 193 Grave (1), Sustancial (2), Moderado (3), Leve (4), Ninguno (5). NOC
  • 195.
    Nunca demostrado (1),Raramente demostrado (2), A veces demostrado (3), Frecuentemente demostrado (4), Siempre demostrado (5) 0502 CONTINENCIA URINARIA Definición: Control de la eliminación de orina de la vejiga. Escala Indicador Descripción 050201 Reconoce la urgencia miccional. 1 2 3 4 5 050203 Responde de forma adecuada a la urgencia. 1 2 3 4 5 050208 Capaz de comenzar e interrumpir el 1 2 3 4 5 chorro de orina. 050209 Vacía la vejiga completamente. 1 2 3 4 5 050211 Pérdidas de orina al aumentar la presión 1 2 3 4 5 abdominal (estornudar, reir...) 050212 Ropa interior mojada durante el día. 1 2 3 4 5 050213 Ropa interior o de cama mojada durante 1 2 3 4 5 la noche. 050215 Ingesta hídrica en el rango esperado. 1 2 3 4 5 194 NOC
  • 196.
    Grave (1) Sustancial(2) Moderado (3) Leve (4) Ninguno(5) Gravemente comprometido (1), Sustancialmente comprometido (2), Moderadamente comprometido (3), Levemente comtrometido (4), No comprometido (5) 0602 HIDRATACIÓN Definición: Agua adecuada en los compartimentos intracelular y extrace- lular del organismo. Escala Indicador Descripción 060201 Piel tersa 1 2 3 4 5 060202 Membranas mucosas húmedas. 1 2 3 4 5 060211 Diuresis 1 2 3 4 5 060215 Ingesta adecuada de líquidos 1 2 3 4 5 060218 Función cognitiva 1 2 3 4 5 Escala 060205 Sed 1 2 3 4 5 060219 Orina oscura 1 2 3 4 5 060221 Pulso rápido 1 2 3 4 5 060223 Pérdida de peso 1 2 3 4 5 060226 Diarrea 1 2 3 4 5 195 NOC
  • 197.
    Grave (1), Sustancial(2), Moderado (3), Leve (4), Ninguno (5) 0700 REACCIÓN TRANSFUSIONAL SANGUÍNEA Definición: Gravedad de las complicaciones con la reacción transfusional sanguínea. Escala Indicador Descripción 070004 Frecuencia cardiaca apical aumentada. 1 2 3 4 5 070005 Cambio en la PA 1 2 3 4 5 070007 Fiebre. 1 2 3 4 5 070008 Tiritona. 1 2 3 4 5 070009 Prurito. 1 2 3 4 5 070010 Erupción. 1 2 3 4 5 070011 Inquietud. 1 2 3 4 5 070012 Ansiedad. 1 2 3 4 5 070013 Malestar general. 1 2 3 4 5 070014 Dolor torácico. 1 2 3 4 5 196 NOC
  • 198.
    Siempre demostrado (1)Frecuentemente demostrado (2) A veces demostrado (3) Raramente demostrado (4) Nunca demostrado (5) Nunca demostrado (1), Raramente demostrado (2), A veces demostrado (3), Frecuentemente demostrado (4), Siempre demostrado (5) 0704 AUTOCONTROL DEL ASMA Definición: Acciones personales para revertir la situación inflamatoria secundaria a la constricción bronquial de las vías respiratorias. Escala Indicador Descripción 070403 Realiza las modificaciones ambientales 1 2 3 4 5 apropiadas. 070406 Duerme toda la noche sin tos o sibilantes 1 2 3 4 5 nocturnos. 070407 Se levanta descansado. 1 2 3 4 5 070409 Refiere un estado sin síntomas con la 1 2 3 4 5 pauta de tratamiento mínima. 070410 Monitoriza habitualmente el flujo máximo. 1 2 3 4 5 070413 Demuestra un uso apropiado de inhaladores, 1 2 3 4 5 difusores y nebulizadores. 070414 Autocontrola las exacerbaciones. 1 2 3 4 5 070415 Contacta con los profesionales sanitarios 1 2 3 4 5 cuando los síntomas no se controlan. Escala 070422 Visitas de urgencia relacionadas con el 1 2 3 4 5 asma durante el último año 070423 Hospitalizaciones relacionadas con el 1 2 3 4 5 asma durante el último año 070424 Ausencias escolares relacionadas con el 1 2 3 4 5 asma durante el último curso escolar 070425 Ausencias laborales relacionadas con el 1 2 3 4 5 asma durante el último año 197 NOC
  • 199.
    Grave (1), Sustancial(2), Moderado (3), Leve (4), Ninguno (5) Gravemente comprometido (1), Sustancialmente comprometido (2), Moderadamente comprometido (3), Levemente comtrometido (4), No comprometido (5) 0800 TERMOREGULACIÓN Definición: Equilibrio entre la producción, la ganancia y la pérdida de calor. Escala Indicador Descripción 080009 Piloerección cutánea cuando hace frío 1 2 3 4 5 080010 Sudoración con el calor 1 2 3 4 5 080011 Tiritona con el frío 1 2 3 4 5 080012 Frecuencia del pulso radial 1 2 3 4 5 080013 Frecuencia respiratoria 1 2 3 4 5 Escala 080001 Temeratura cutánea aumentada 1 2 3 4 5 080019 Hipertermia 1 2 3 4 5 080020 Hipotermia 1 2 3 4 5 080003 Cefalea 1 2 3 4 5 080006 Somnolencia 1 2 3 4 5 080007 Cambios de coloración cutánea 1 2 3 4 5 198 NOC
  • 200.
    Gravemente comprometido (1),Sustancialmente comprometido (2), Moderadamente comprometido (3), Levemente comprometido (4) y No comprometido (5) Gravemente comprometido (1), Sustancialmente comprometido (2), Moderadamente comprometido (3), Levemente comprometido (4) y No comprometido (5) 0902 COMUNICACIÓN Definición: Recepción, interpretación y expresión de mensajes verbales, escritos y no verbales. Escala Indicador Descripción 090201 Utiliza lenguaje escrito 1 2 3 4 5 090202 Utiliza lenguaje hablado 1 2 3 4 5 090206 Reconoce los mensajes recibidos 1 2 3 4 5 090210 Interpretación exacta de los mensajes recibidos 1 2 3 4 5 090208 Intercambia mensajes con los demás 1 2 3 4 5 0906 TOMA DE DECISIONES Definición: Capacidad para realizar juicios y escoger entre dos o más alternativas. Escala Indicador Descripción 090601 Identifica información relevante 1 2 3 4 5 090602 Identifica alternativas 1 2 3 4 5 090603 Identifica las consecuencias. 1 2 3 4 5 090604 Identifica recursos necesarios para apoyar 1 2 3 4 5 cada alternativa 009608 Compara alternativas 1 2 3 4 5 199 NOC
  • 201.
    Desviación grave delrango normal (1), Desviación Sustancial del rango normal (2), Desviación Moderada del rango normal (3), Desviación Leve del rango normal (4) y Sin desviación del rango normal (5) Gravemente comprometido (1), Sustancialmente comprometido (2), Moderadamente comprometido (3), Levemente comprometido (4), No comprometido (5) 0908 MEMORIA Definición: Capacidad para recuperar y comunicar la información previa- mente almacenada. Escala Indicador Descripción 090801 Recuerda información inmediata de forma precisa 1 2 3 4 5 090802 Recuerda información reciente de forma precisa 1 2 3 4 5 090803 Recuerda información remota de forma precisa 1 2 3 4 5 1004 ESTADO NUTRICIONAL Definición: Capacidad por la que los nutrientes pueden cubrir las necesi- dades metabólicas. Escala Indicador Descripción 100402 Ingestión alimentaria 1 2 3 4 5 100408 Ingestión de líquidos 1 2 3 4 5 100405 Relación peso/talla 1 2 3 4 5 200 NOC
  • 202.
    No adecuada (1),Ligeramente adecuada (2), Moderadamente adecuada (3), Sustancialmente adecuada (4) y Completamente adecuada (5) No adecuada (1), Ligeramente adecuada (2), Moderadamente adecuada (3), Sustancialmente adecuada (4) y Completamente adecuada (5) 1008 ESTADO NUTRICIONAL: INGESTIÓN ALIMENTARIA Y DE LÍQUIDOS Definición: Cantidad de ingestión alimentaria y líquida durante un periodo de 24 horas. Escala Indicador Descripción 100801 Ingestión alimentaria oral 1 2 3 4 5 100802 Ingestión alimentaria por sonda 1 2 3 4 5 100803 Ingestión de líquidos orales 1 2 3 4 5 100804 Administración de líquidos I.V. 1 2 3 4 5 1009 ESTADO NUTRICIONAL: INGESTIÓN DE NUTRIENTES Definición: Idoneidad de la pauta habitual de ingesta de nutrientes. Escala Indicador Descripción 100901 Ingestión calórica 1 2 3 4 5 100902 Ingestión protéica 1 2 3 4 5 100903 Ingestión de grasas 1 2 3 4 5 100904 Ingestión de carbohidratos 1 2 3 4 5 100905 Ingestión de fibra 1 2 3 4 5 201 NOC
  • 203.
    Grave (1), Sustancial(2), Moderado (3), Leve (4), Ninguno (5). Gravemente comprometido (1), Sustancialmente comprometido (2), Moderadamente comprometido (3), Levemente comprometido (4), No comprometido (5) 1012 ESTADO DE DEGLUCIÓN: FASE ORAL Definición: Preparación, contención y movimiento posterior de líquidos y/o sólidos en la boca. Escala Indicador Descripción 101201 Mantiene la comida en la boca 1 2 3 4 5 101202 Controla las secreciones orales 1 2 3 4 5 101203 Formación de bolo alimentario 1 2 3 4 5 101205 Capacidad de masticación 1 2 3 4 5 101206 Distribución del bolo a la hopofaringe 1 2 3 4 5 en concordancia con el reflejo de deglución 101207 Capacidad para limpiar la cavidad oral 1 2 3 4 5 101209 Cierre de los labios 1 2 3 4 5 Escala 101208 Atragantamiento, tos y náuseas antes 1 2 3 4 5 de la deglución 101217 Ahogo antes de tragar 1 2 3 4 5 101218 Mordaza antes de tragar 1 2 3 4 5 202 NOC
  • 204.
    Grave (1), Sustancial(2), Moderado (3), Leve (4), Ninguno (5) Gravemente comprometido (1), Sustancialmente comprometido (2), Moderadamente comprometido (3), Levemente comprometido (4), No comprometido (5) 1100 HIGIENE BUCAL Definición: Estado de la boca, dientes, encías y lengua. Escala Indicador Descripción 110101 Limpieza de la boca 1 2 3 4 5 110102 Limpieza de los dientes 1 2 3 4 5 110103 Limpieza de las encias 1 2 3 4 5 110104 Limpieza de la lengua 1 2 3 4 5 110105 Limpieza de dentaduras 1 2 3 4 5 110107 Ajuste de la dentadura postiza 1 2 3 4 5 110109 Humedad labial 1 2 3 4 5 110110 Humedad de la mucosa oral y de la lengua 1 2 3 4 5 110111 Color de las membranas mucosas 1 2 3 4 5 110112 Integridad de la mucosa oral 1 2 3 4 5 Escala 110117 Halitosis 1 2 3 4 5 110118 Sangrado 1 2 3 4 5 110121 Dolor 1 2 3 4 5 110123 Caries dental 1 2 3 4 5 110124 Gingivitis 1 2 3 4 5 203 NOC
  • 205.
    Grave (1) Sustancial(2) Moderado (3) Leve (4) Ninguno (5) Gravemente comprometido (1), Sustancialmente comprometido (2), Moderadamente comprometido (3), Levemente comprometido (4), No comprometido (5) 1101 INTEGRIDAD TISULAR: PIEL Y MEMBRANAS MUCOSAS Definición:Indemnidad estructural y función fisiológica normal de la piel y las membranas mucosas. Escala Indicador Descripción 110101 Temperatura de la piel 1 2 3 4 5 110102 Sensibilidad 1 2 3 4 5 110103 Elasticidad 1 2 3 4 5 110104 Hidratación 1 2 3 4 5 110110 Ausencia de lesión tisular. 1 2 3 4 5 110111 Perfusión tisular. 1 2 3 4 5 Escala 110105 Pigmentación anormal 1 2 3 4 5 110115 Lesiones cutáneas 1 2 3 4 5 110116 Lesiones de la membrana mucosa 1 2 3 4 5 110117 Tejido cicatricial 1 2 3 4 5 110119 Descamación cutánea 1 2 3 4 5 110120 Raspado cutáneo 1 2 3 4 5 110121 Eritema 1 2 3 4 5 110122 Palidez 1 2 3 4 5 110123 Necrosis 1 2 3 4 5 110124 Induración 1 2 3 4 5 204 NOC
  • 206.
    Extenso(1) Sustancial(2) Moderado(3)Escaso(4) Ninguno(5) Ninguno(1) Escaso(2) Moderado(3) Sustancial(4) Extenso(5) 1102 CURACIÓN DE LA HERIDA: POR PRIMERA INTENCIÓN Definición: Magnitud de regeneración de células y tejidos posterior a un cierre intencionado. Escala Indicador Descripción 110201 Aproximación cutánea 1 2 3 4 5 110213 Aproximación de los bordes de la herida 1 2 3 4 5 110214 Formación de cicatriz 1 2 3 4 5 Escala 110202 Supuración purulenta 1 2 3 4 5 110203 Secreción serosa de la herida 1 2 3 4 5 110208 Eritema cutáneo circundante 1 2 3 4 5 110209 Edema perilesional 1 2 3 4 5 110211 Olor de la herida 1 2 3 4 5 110204 Secreción sanguinolenta de la herida 1 2 3 4 5 205 NOC
  • 207.
    Extenso (1) Sustancial(2)Moderado(3) Escaso(4) Ninguno(5) Ninguno(1) Escaso(2) Moderado(3) Sustancial(4) Extenso(5) 1103 CURACIÓN DE LA HERIDA: POR SEGUNDA INTENCIÓN Definición: Magnitud de regeneración de células y tejidos en una herida abierta. Escala Indicador Descripción 110301 Granulación 1 2 3 4 5 110302 Epitelización 1 2 3 4 5 110320 Formación de cicatriz 1 2 3 4 5 110321 Disminución del tamaño de la herida 1 2 3 4 5 Escala 110303 Secreción purulenta 1 2 3 4 5 110304 Secreción serosa 1 2 3 4 5 110305 Secreción sanguinolenta 1 2 3 4 5 110307 Eritema cutáneo circundante 1 2 3 4 5 110322 Inflamación de la herida 1 2 3 4 5 110308 Edema perilesional 1 2 3 4 5 110310 Ampollas cutáneas 1 2 3 4 5 110311 Piel macerada 1 2 3 4 5 110312 Necrosis 1 2 3 4 5 110313 Costra 1 2 3 4 5 110314 Fistulización 1 2 3 4 5 110317 Olor de la herida 1 2 3 4 5 206 NOC
  • 208.
    Ninguna (1), Escasa(2), Moderada (3), Sustancial (4), Extensa (5) Nunca positivo (1), Raramente positivo (2), A veces positivo (3), Frecuentemente positivo (4), Siempre positivo (5) 1200 IMAGEN CORPORAL Definición: Percepción de la propia apariencia y de las funciones corpora- les. Escala Indicador Descripción 120001 Imagen interna de sí mismo. 1 2 3 4 5 120003 Descripción de la parte corporal afectada. 1 2 3 4 5 120004 Voluntad para tocar la parte corporal afectada. 1 2 3 4 5 120007 Adaptación a cambios en el aspecto físico. 1 2 3 4 5 120008 Adaptación a cambios en la función corporal. 1 2 3 4 5 120009 Adaptación a cambios en el estado de salud. 1 2 3 4 5 120010 Voluntad para utilizar estrategias que mejor 1 2 3 4 5 en el aspecto y la función. 120015 Adaptación a cambios corporales por 1 2 3 4 5 envejecimiento 1201 ESPERANZA Definición: Presencia de un estado interno de optimismo que es personal- mente satisfactorio y revitalizante. Escala Indicador Descripción 120101 Expresión de una orientación futura positiva 1 2 3 4 5 120103 Expresión de ganas de vivir 1 2 3 4 5 120107 Expresión de creencia en si mismo 1 2 3 4 5 120108 Expresión de creencias en los demás 1 2 3 4 5 120109 Expresión de paz interior 1 2 3 4 5 120111 Demostración de entusiasmo por la vida 1 2 3 4 5 207 NOC
  • 209.
    Grave (1) Sustancial(2)Moderado(3) Escaso(4) Ninguno(5) 1203 SEVERIDAD DE LA SOLEDAD Definición:Gravedad de la respuesta emocional, social o existencial de aislamiento. Escala Indicador Descripción 120301 Expresión de temor infundado 1 2 3 4 5 120305 Expresión de ausencia de pertenencia 1 2 3 4 5 120306 Expresión de pérdida debido a la separación 1 2 3 4 5 de otra persona 120307 Expresión de aislamiento social 1 2 3 4 5 120312 Dificultad para mantener contacto con 1 2 3 4 5 otras personas 120313 Dificultad para superar la separación 1 2 3 4 5 120314 Dificultad para tener una relación mutua eficaz 1 2 3 4 5 120319 Trastornos de la alimentación 1 2 3 4 5 120320 Trastorno del sueño 1 2 3 4 5 208 NOC
  • 210.
    1204 EQUILIBRIO EMOCIONAL Definición:Adaptación apropiada del tono emocional predominante en respuesta. Escala Indicador Descripción 120402 Muestra un estado de ánimo sereno 1 2 3 4 5 120404 Refiere dormir de forma adecuada 1 2 3 4 5 (al menos 5 horas al día) 120410 Muestra y aseo e higiene personales 1 2 3 4 5 adecuados 120411 Se viste de forma apropiada para la 1 2 3 4 5 situación y el clima 120414 Refiere cumplimiento de la medicación 1 2 3 4 5 y del régimen terapéutico 120415 Muestra interés por lo que le rodea 1 2 3 4 5 120418 Refiere capacidad para realizar las tareas 1 2 3 4 5 diarias Escala 120420 Depresión 1 2 3 4 5 120421 Letargo 1 2 3 4 5 120422 Hiperactividad 1 2 3 4 5 Siempre demostrado (1), Frecuentemente demostrado (2), A veces demostrado (3), Raramente demostrado (4), Nunca demostrado (5) Nunca demostrado (1), Raramente demostrado (2), A veces demostrado (3), Frecuentemente demostrado (4), Siempre demostrado (5). 209 NOC
  • 211.
    Grave (1) Sustancial(2) Moderado (3) Leve (4) Ninguno (5) Gravemente comprometido (1) Sustancialmente comprometido (2) Moderadamente comprometido (3) Levemente comprometido (4) No comprometido (5) 1206 DESEO DE VIVIR Definición: Deseo, determinación y esfuerzo para sobrevivir. Escala Indicador Descripción 120601 Expresión de determinación de vivir 1 2 3 4 5 120605 Expresión de sentimientos 1 2 3 4 5 120607 Busca información sobre su 1 2 3 4 5 enfermedad/tratamiento 120608 Utiliza estrategias para compensar los 1 2 3 4 5 problemas relacionados con la enfermedad 120610 Utiliza estrategias para alcanzar la vida 1 2 3 4 5 Escala 120614 Depresión 1 2 3 4 5 120615 Pensamientos suicidas 1 2 3 4 5 120616 Pensamientos pesimistas 1 2 3 4 5 210 NOC
  • 212.
    Nunca demostrado (1),Raramente demostrado (2), A veces demostrado (3), Frecuentemente demostrado (4), Siempre demostrado (5) 1300 ACEPTACIÓN: ESTADO DE SALUD Definición: Reconciliación con cambios significativos en las circunstancias de salud. Escala Indicador Descripción 130007 Expresa sentimientos sobre el estado de salud 1 2 3 4 5 130008 Reconocimiento de la realidad de la situación 1 2 3 4 5 de salud 130009 Búsqueda de información 1 2 3 4 5 130011 Toma de decisiones relacionadas con la salud 1 2 3 4 5 130014 Realización de tareas de cuidados personales 1 2 3 4 5 1302 AFRONTAMIENTO DE PROBLEMAS Definición: Acciones para controlar los factores estresantes que ponen a prueba los recursos del individuo. Escala Indicador Descripción 130204 Refiere disminución del estrés 1 2 3 4 5 130205 Verbaliza aceptación de la situación. 1 2 3 4 5 130207 Modifica su estilo de vida cuando se requiere 1 2 3 4 5 130210 Adopta conductas para reducir el estrés. 1 2 3 4 5 130215 Busca ayuda profesional de forma apropiada 1 2 3 4 5 130216 Refiere disminución de los síntomas físicos 1 2 3 4 5 del estrés 130217 Refiere disminución de los sentimientos negativos 1 2 3 4 5 130218 Refiere aumento del bienestar psicológico. 1 2 3 4 5 Nunca demostrado (1), Raramente demostrado (2), A veces demostrado (3), Frecuentemente demostrado (4) y Siempre demostrado (5) 211 NOC
  • 213.
    Nunca demostrado (1),Raramente demostrado (2), A veces demostrado (3), Frecuentemente demostrado (4) y Siempre demostrado (5) Nunca demostrado (1), Raramente demostrado (2), A veces demostrado (3), Frecuentemente demostrado (4), Siempre demostrado (5) 1304 RESOLUCIÓN DE LA AFLICCIÓN Definición: Adaptación a la pérdida real o inminente. Escala Indicador Descripción 130401 Expresa sentimientos sobre la pérdida 1 2 3 4 5 130403 Verbaliza la realidad de la pérdida 1 2 3 4 5 130404 Verbaliza la aceptación de la pérdida 1 2 3 4 5 130413 Mantiene el cuidado e higiene personales 1 2 3 4 5 130414 Refiere ausencia de trastorno del sueño 1 2 3 4 5 130415 Refiere una ingestión nutricional adecuada 1 2 3 4 5 130416 Refiere un deseo sexual normal 1 2 3 4 5 130418 Comparte la pérdida con otros seres queridos 1 2 3 4 5 130421 Expresa expectativas positivas sobre el futuro 1 2 3 4 5 1305 MODIFICACIÓN PSICOSOCIAL: CAMBIO DE VIDA Definición: Respuesta psicosocial de adaptación de un individuo a un cambio de vida importante. Escala Indicador Descripción 130501 Establecimiento de objetivos realistas 1 2 3 4 5 130504 Expresiones de utilidad 1 2 3 4 5 130511 Expresiones de satisfacción con la 1 2 3 4 5 reorganización de la vida 130513 Expresiones sentidas de apoyo social 1 2 3 4 5 212 NOC
  • 214.
    Grave(1) Sustancial(2) Moderado(3)Leve(4) Ninguno(5) 1306 DOLOR: RESPUESTA PSICOLÓGICA ADVERSA Definición: Gravedad de las respuestas cognitivas y emocionales adver- sas observadas o referidas al dolor físico. Escala Indicador Descripción 130605 Nivel de angustia por el dolor 1 2 3 4 5 130606 Preocupación sobre la tolerancia al dolor 1 2 3 4 5 130607 Preocupación sobre la carga para los demás 1 2 3 4 5 130610 Ansiedad 1 2 3 4 5 130611 Tristeza 1 2 3 4 5 130617 Temor al dolor insoportable 1 2 3 4 5 130618 Enojo con los efectos nocivos del dolor 1 2 3 4 5 130622 Ira sobre los efectos incapacitantes del dolor 1 2 3 4 5 213 NOC
  • 215.
    Nunca demostrado (1),Raramente demostrado (2), A veces demostrado (3), Frecuentemente demostrado (4), Siempre demostrado (5) 1307 MUERTE DIGNA Definición: Acciones personales para mantener el control durante el acer- camiento del final. Escala Indicador Descripción 130701 Pone los asuntos en orden 1 2 3 4 5 130710 Resuelve aspectos y preocupaciones importantes 1 2 3 4 5 130711 Comparte sentimientos sobre la muerte 1 2 3 4 5 130712 Se concilia con las relaciones 1 2 3 4 5 130713 Finaliza objetivos significativos 1 2 3 4 5 130715 Intercambia afecto con los demás 1 2 3 4 5 130716 Se desconecta gradualmente de personas 1 2 3 4 5 significativas 130717 Recuerda memorias de su vida 1 2 3 4 5 130720 Comenta preocupaciones espirituales 1 2 3 4 5 130721 Mantiene independencia física 1 2 3 4 5 130722 Controla las elecciones del tratamiento 1 2 3 4 5 130723 Controla la ingesta de alimentos/bebidas 1 2 3 4 5 130724 Controla las posesiones personales 1 2 3 4 5 130725 Expresa preparación para morir 1 2 3 4 5 214 NOC
  • 216.
    Nunca demostrado (1),Raramente demostrado (2), A veces demostrado (3), Frecuentemente demostrado (4), Siempre demostrado (5) 1402 AUTOCONTROL DE LA ANSIEDAD Definición: Acciones personales para eliminar o reducir sentimientos de aprensión, tensión o inquietud de una fuente no identificada. Escala Indicador Descripción 140202 Elimina precursores de la ansiedad. 1 2 3 4 5 140204 Busca información para reducir la ansiedad. 1 2 3 4 5 140205 Planea estrategias para superar situaciones 1 2 3 4 5 estresantes. 140207 Utiliza técnicas de relajación para reducir 1 2 3 4 5 la ansiedad. 140208 Refiere disminución de la duración de los 1 2 3 4 5 episodios. 140209 Refiere incremento de la duración del 1 2 3 4 5 tiempo entre episodios. 140211 Conserva las relaciones sociales. 1 2 3 4 5 140214 Refiere dormir de forma adecuada. 1 2 3 4 5 140215 Refiere ausencia de manifestaciones físicas 1 2 3 4 5 de ansiedad. 215 NOC
  • 217.
    Nunca demostrado (1),Raramente demostrado (2), A veces demostrado (3), Frecuentemente demostrado (4), Siempre demostrado (5) 1404 AUTOCONTROL DEL MIEDO Definición: Acciones personales para eliminar o reducir los sentimientos incapacitantes de aprensión, tensión o inquietud secundarios a una fuen- te identificable. Escala Indicador Descripción 140402 Elimina los factores precursores del miedo. 1 2 3 4 5 140403 Busca información para reducir el miedo. 1 2 3 4 5 140405 Planea estrategias para superar las situaciones temibles. 1 2 3 4 5 140407 Utiliza técnicas de relajación para reducir el miedo. 1 2 3 4 5 140408 Refiere disminución de la duración de los episodios. 1 2 3 4 5 140409 Refiere aumento de la duración entre episodios. 1 2 3 4 5 140411 Mantiene las relaciones sociales 1 2 3 4 5 140413 Mantiene el control sobre su vida. 1 2 3 4 5 140414 Mantiene el funcionamiento físico. 1 2 3 4 5 140417 Controla la respuesta de miedo. 1 2 3 4 5 216 NOC
  • 218.
    Inadecuado (1), Ligeramenteadecuado (2), Moderadamente adecuado (3), Sustancialmente adecuado (4), Completamente adecuado (5) Nunca demostrado (1), Raramente demostrado (2), A veces demostrado (3) Frecuentemente demostrado (4), Siempre demostrado (5) 1409 AUTOCONTROL DE LA DEPRESIÓN Definición: Acciones personales para minimizar la tristeza y mantener el interés por los acontecimientos de la vida. Escala Indicador Descripción 140903 Identifica factores precursores de depresión. 1 2 3 4 5 140906 Refiere dormir de forma adecuada. 1 2 3 4 5 140907 Refiere mejoría de la libido. 1 2 3 4 5 140908 Refiere ausencia de manifestaciones físicas de depresión. 1 2 3 4 5 140909 Refiere mejoría del estado de ánimo. 1 2 3 4 5 140912 Toma la medicación prescrita. 1 2 3 4 5 140913 Sigue un programa de ejercicio. 1 2 3 4 5 140918 Mantiene el aseo y la higiene personal. 1 2 3 4 5 1501 EJECUCIÓN DEL ROL Definición: Congruencia de la conducta de rol del individuo con las expec- tativas del rol. Escala Indicador Descripción 150101 Capacidad para cumplir las expectativas de rol 1 2 3 4 5 150103 Ejecución de las conductas de rol familiares 1 2 3 4 5 150107 Descripción de los cambios conductuales 1 2 3 4 5 con la enfermedad o la incapacidad 150108 Descripción de los cambios conductuales 1 2 3 4 5 con ancianos dependientes 217 NOC
  • 219.
    Inadecuado (1), Ligeramenteadecuado (2), Moderadamente adecuado (3), Sustancialmente adecuado (4), Completamente adecuado (5) Nunca demostrado (1), Raramente demostrado (2), A veces demostrado (3), Frecuentemente demostrado (4), Siempre demostrado (5) 1503 IMPLICACIÓN SOCIAL Definición: Interacciones sociales con personas, grupos u organizaciones. Escala Indicador Descripción 150301 Interacción con amigos íntimos. 1 2 3 4 5 150302 Interacción con vecinos. 1 2 3 4 5 150303 Interacción con miembros de la familia. 1 2 3 4 5 150311 Participación en actividades de ocio. 1 2 3 4 5 1504 SOPORTE SOCIAL Definición: Disponibilidad percibida y provisión real de ayuda fiable de los demás. Escala Indicador Descripción 150403 Refiere tareas realizadas por otras personas. 1 2 3 4 5 150405 Refiere ayuda emocional proporcionada por 1 2 3 4 5 otras personas. 150407 Refiere la existencia de personas que 1 2 3 4 5 pueden ayudarlo cuando lo necesita. 150410 Refiere contactos sociales de soporte adecuados. 1 2 3 4 5 150412 Refiere ayuda ofrecida por los demás. 1 2 3 4 5 218 NOC
  • 220.
    Nunca demostrado (1)Raramente demostrado (2) A veces demostrado (3) Frecuentemente demostrado (4) Siempre demostrado (5) Nunca demostrado(1) Raramente demostrado(2) A veces demostrado(3) Frecuentemente demostrado(4) Siempre demostrado(5) 1601 CONDUCTA DE CUMPLIMIENTO Definición: Acciones basadas en el asesoramiento profesional para pro- mocionar el bienestar, la recuperación y la rehabilitación. Escala Indicador Descripción 160103 Comunica seguir la pauta prescrita 1 2 3 4 5 160104 Acepta el diagnóstico del profesional sanitario 1 2 3 4 5 160105 Conserva la cita con un profesional sanitario 1 2 3 4 5 160107 Realiza autoexamen cuando se le informa. 1 2 3 4 5 160108 Realiza las actividades de la vida diaria según 1 2 3 4 5 prescripción. 1602 CONDUCTA DE FOMENTO DE LA SALUD Definición: Acciones personales para mantener o aumentar el bienestar. Escala Indicador Descripción 160204 Busca un equilibrio entre ejercicio, trabajo, 1 2 3 4 5 ocio, descanso y nutrición 160205 Utiliza conductas efectivas de disminución 1 2 3 4 5 del estrés 160206 Conserva relaciones sociales satisfactorias 1 2 3 4 5 160207 Realiza habitos sanitarios correctamente 1 2 3 4 5 219 NOC
  • 221.
    Nunca demostrado (1),Raramente demostrado (2), A veces demostrado (3), Frecuentemente demostrado (4), Siempre demostrado (5) Nunca demostrado (1) Raramente demostrado (2) A veces demostrado (3) Frecuentemente demostrado (4) Siempre demostrado (5) 1603 CONDUCTA DE BÚSQUEDA DE LA SALUD Definición: Acciones para fomentar el bienestar, la recuperación y la reha- bilitación óptimas. Escala Indicador Descripción 160307 Sigue las estrategias desarrolladas por si 1 2 3 4 5 mismo para eliminar la conducta insana 160308 Realiza la conducta sanitaria prescrita cuando 1 2 3 4 5 es necesario 160308 Sigue las estrategias desarrolladas por si 1 2 3 4 5 mismo para maximizar la salud 1604 PARTICIPACIÓN EN ACTIVIDADES DE OCIO. Definición: Uso de actividades relajantes, interesantes y de ocio para fomentar el bienestar. Escala Indicador Descripción 160401 Participación en actividades diferentes 1 2 3 4 5 al trabajo habitual. 160402 Expresión de satisfacción con las actividades 1 2 3 4 5 de ocio. 160404 Refiere relajación con las actividades de ocio. 1 2 3 4 5 220 NOC
  • 222.
    Nunca demostrado (1),Raramente demostrado (2), A veces demostrado (3), Frecuentemente demostrado (4), Siempre demostrado (5) 1605 CONTROL DEL DOLOR Definición: Acciones personales para controlar el dolor. Escala Indicador Descripción 160502 Reconoce el comienzo del dolor. 1 2 3 4 5 160503 Utiliza medidas preventivas. 1 2 3 4 5 160504 Utiliza medidas de alivio no analgésicas. 1 2 3 4 5 160505 Utiliza los analgésicos de forma apropiada. 1 2 3 4 5 160509 Reconoce los síntomas asociados del dolor. 1 2 3 4 5 160510 Utiliza un diario para apuntar síntomas de dolor. 1 2 3 4 5 1608 CONTROL DEL SÍNTOMA Definición: Acciones personales para minimizar los cambios adversos per- cibidos en el funcionamiento físico y emocional. Escala Indicador Descripción 160801 Reconoce el comienzo del síntoma 1 2 3 4 5 160803 Reconoce la intensidad del síntoma 1 2 3 4 5 160804 Reconoce la frecuencia del síntoma 1 2 3 4 5 160806 Utiliza medidas preventivas 1 2 3 4 5 160807 Utiliza medidas de alivio 1 2 3 4 5 160810 Utiliza un diario de síntomas 1 2 3 4 5 221 Nunca demostrado (1), Raramente demostrado (2), A veces demostrado (3), Frecuentemente demostrado (4), Siempre demostrado (5) NOC
  • 223.
    Nunca demostrado (1),Raramente demostrado (2), A veces demostrado (3), Frecuentemente demostrado (4), Siempre demostrado (5) Nunca demostrado (1), Raramente demostrado (2), A veces demostrado (3), Frecuentemente demostrado(4), siempre demostrado (5) 1609 CONDUCTA TERAPÉUTICA: ENFERMEDAD O LESIÓN Definición: Acciones personales para paliar o eliminar patología. Escala Indicador Descripción 160901 Cumple las precauciones recomendadas. 1 2 3 4 5 160902 Cumple el régimen terapéutico recomendado. 1 2 3 4 5 160904 Cumple las actividades prescritas. 1 2 3 4 5 160907 Realiza los cuidado personales compatibles 1 2 3 4 5 con la habilidad. 1612 CONTROL DE PESO Definición: Acciones personales para conseguir y mantener un peso cor- poral óptimo. Escala Indicador Descripción 161202 Mantiene una ingestión calórica diaria óptima. 1 2 3 4 5 161203 Equilibrio entre ejercicio e ingesta calórica. 1 2 3 4 5 161204 Selecciona comidas y aperitivos nutritivos. 1 2 3 4 5 161205 Utiliza complementos nutricionales cuando 1 2 3 4 5 es necesario. 161207 Mantiene un patrón alimentario recomendado. 1 2 3 4 5 161209 Mantiene el equilibrio hídrico. 1 2 3 4 5 161221 Alcanza el peso óptimo. 1 2 3 4 5 161222 Mantiene el peso óptimo. 1 2 3 4 5 222 NOC
  • 224.
    Muy débil (1),Débil (2), Moderado (3), Fuerte (4), Muy fuerte (5) 1613 AUTOGESTIÓN DE LOS CUIDADOS Definición: Acciones del destinatario de los cuidados para dirigir a otros que ayudan o realizan tareas físicas y a personal de asistencia sanitaria. Escala Indicador Descripción 161301 Determina los objetivos de la asistencia 1 2 3 4 5 sanitaria 161302 Describe los cuidados apropiados 1 2 3 4 5 161303 Accede a los recursos necesarios 1 2 3 4 5 161304 Enseña a los demás las conductas 1 2 3 4 5 asistenciales apropiadas 161308 Adopta medidas correctoras cuando los 1 2 3 4 5 cuidados no son apropiados 1700 CREENCIAS SOBRE LA SALUD Definición: Convicciones personales que influyen en la conducta. Escala Indicador Descripción 170001 Importancia percibida de la actuación 1 2 3 4 5 170003 Beneficios percibidos de la acción 1 2 3 4 5 170006 Reducción de la amenaza percibida 1 2 3 4 5 por la acción 170007 Mejora en el estilo de vida percibida por 1 2 3 4 5 la acción 170009 Recursos percibidos para realizar la acción 1 2 3 4 5 170010 Ausencia percibida de barreras a la acción 1 2 3 4 5 223 Nunca demostrado (1), Raramente demostrado (2), A veces demostrado (3), Frecuentemente demostrado (4), Siempre demostrado (5) NOC
  • 225.
    Ninguno (1), Escaso(2), Moderado (3), Sustancial (4), Extenso (5) 1802 CONOCIMIENTO: DIETA Definición: Grado de comprensión transmitido sobre la dieta recomenda- da. Escala Indicador Descripción 180201 Descripción de la dieta recomendada 1 2 3 4 5 180202 Explicación del fundamento de la dieta 1 2 3 4 5 recomendada 180205 Explicación de las relaciones entre dieta, 1 2 3 4 5 ejercicio y peso corporal 180206 Descripción de las comidas permitidas 1 2 3 4 5 por la dieta 180207 Descripción de las comidas que deben 1 2 3 4 5 evitarse 180211 Planificación de menús utilizando las 1 2 3 4 5 directrices de la dieta 180212 Desarrollo de estrategias para cambiar los 1 2 3 4 5 hábitos alimentarios 224 NOC
  • 226.
    Ninguno (1) Escaso(2)Moderado(3) Sustancial(4) Extenso(5) 1803 CONOCIMIENTO: PROCESO DE LA ENFERMEDAD Definición: Grado de comprensión transmitido sobre el proceso de una enfermedad concreta. Escala Indicador Descripción 180302 Descripción del proceso de enfermedad. 1 2 3 4 5 180304 Descripción de los factores de riesgo. 1 2 3 4 5 180305 Descripción de los efectos de enfermedad. 1 2 3 4 5 180306 Descripción de los signos y síntomas. 1 2 3 4 5 180309 Descripción de las complicaciones 1 2 3 4 5 180311 Descripción de las precauciones para prevenir 1 2 3 4 5 las complicaciones. 225 NOC
  • 227.
    Ninguno (1) Escaso(2) Moderado (3) Sustancial (4) Extenso (5) 1805 CONOCIMIENTO: CONDUCTA SANITARIA Definición: Grado de comprensión transmitido sobre el fomento y protec- ción de la salud. Escala Indicador Descripción 180501 Descripción de prácticas nutricionales 1 2 3 4 5 saludables 180502 Descripción de los beneficios de la actividad 1 2 3 4 5 física y el ejercicio. 180503 Descripción de las técnicas eficaces para 1 2 3 4 5 el control del estrés. 180504 Descripción de los patrones eficaces para 1 2 3 4 5 dormir y despertar. 180506 Descripción de los efectos sobre la salud 1 2 3 4 5 del consumo de tabaco. 180507 Descripción de los efectos sobre la salud 1 2 3 4 5 del consumo del alcohol. 180509 Descripción de los efectos de los fármacos 1 2 3 4 5 con prescripción médica. 180510 Descripción de los efectos de los fármacos 1 2 3 4 5 sin prescripción médica. 226 NOC
  • 228.
    1806 CONOCIMIENTO: RECURSOSSANITARIOS. Definición: Grado de comprensión transmitido sobre los recur- sos sanitarios. Escala Indicador Descripción 180601 Descripción de los recursos que aumentan 1 2 3 4 5 la salud. 180602 Descripción de cuándo contactar con un 1 2 3 4 5 profesional sanitario. 180603 Descripción de las medidas de urgencia. 1 2 3 4 5 180607 Descripción de los recursos sociales 1 2 3 4 5 de ayuda disponibles. 180608 Descripción de cómo contactar con los 1 2 3 4 5 servicios necesarios. 227 Ninguno (1) Escaso (2) Moderado (3) Sustancial (4) Extenso (5) NOC
  • 229.
    Ninguno (1) Escaso(2) Moderado (3) Sustancial (4) Extenso (5) 1808 CONOCIMIENTO: MEDICACIÓN Definición: Grado de comprensión transmitida sobre el uso seguro de la medicación. Escala Indicador Descripción 180802 Declaración del nombre correcto de la 1 2 3 4 5 medicación 180804 Descripción de las acciones de la medicación. 1 2 3 4 5 180805 Descripción de los efectos indeseables de la 1 2 3 4 5 medicación. 180806 Descripción de las precauciones de la 1 2 3 4 5 medicación. 180810 Descripción de la administración correcta 1 2 3 4 5 de la medicación. 180811 Descripción de las técnicas de 1 2 3 4 5 automonitorización 180812 Descripción de un almacenamiento 1 2 3 4 5 adecuado de la medicación. 180813 Descripción de un cuidado adecuado 1 2 3 4 5 de los dispositivos de administración. 030702 Describe la dosis correcta 1 2 3 4 5 030707 Utiliza ayudas para memorizar. 1 2 3 4 5 228 NOC
  • 230.
    Ninguno (1) Escaso(2) Moderado (3) Sustancial (4) Extenso (5) Ninguno (1) Escaso (2) Moderado (3) Sustancial (4) Extenso (5) 1811 CONOCIMIENTO: ACTIVIDAD PRESCRITA Definición: Magnitud de la comprensión transmitida sobre la actividad y ejercicios prescritos. Escala Indicador Descripción 181101 Descripción de la actividad prescrita 1 2 3 4 5 181103 Descripción de los efectos esperados 1 2 3 4 5 de la actividad 181105 Descripción de las precauciones de la 1 2 3 4 5 actividad. 181107 Descripción de la estrategia para el 1 2 3 4 5 incremento gradual de la actividad. 181110 Descripción de los obstáculos habituales 1 2 3 4 5 para la aplicación habitual. 1813 CONOCIMIENTO: RÉGIMEN TERAPÉUTICO Definición: Grado de comprensión sobre el régimen terapéutico especí- fico. Escala Indicador Descripción 181302 Descripción de la responsabilidad de los 1 2 3 4 5 cuidados propios para el tratamiento actual. 181305 Descripción de la dieta prescrita. 1 2 3 4 5 181306 Descripción de la medicación prescrita. 1 2 3 4 5 181307 Descripción de la actividad prescrita. 1 2 3 4 5 181308 Descripción del ejercicio prescrito. 1 2 3 4 5 181310 Descripción del proceso de enfermedad. 1 2 3 4 5 181311 Ejecución de las técnicas de automonitorización. 1 2 3 4 5 229 NOC
  • 231.
    Ninguno (1), Escaso(2), Moderado (3), Sustancial (4), Extenso (5) 1820 CONOCIMIENTO: CONTROL DE LA DIABETES Definición: Grado de comprensión transmitido sobre la diabetes mellitus y la prevención de complicaciones. Escala Indicador Descripción 182001 Descripción de la función de la insulina 1 2 3 4 5 182002 Descripción del papel de la nutrición 1 2 3 4 5 en el control de la glucemia 182003 Descripción del plan de comidas prescritos 1 2 3 4 5 182005 Descripción del papel del ejercicio en el 1 2 3 4 5 control de la glucemia 182006 Descripción de la hiperglucemia y de los 1 2 3 4 5 síntomas relacionados 182009 Descripción de la hipoglucemia y de los 1 2 3 4 5 síntomas relacionados 182012 Descripción de los valores límites de glucemia 1 2 3 4 5 182013 Descripción del impacto de una enfermedad 1 2 3 4 5 aguda sobre la glucemia 182014 Demostración del procedimiento correcto 1 2 3 4 5 para comprobar la glucemia. 182016 Descripción del régimen de insulina prescrito 1 2 3 4 5 182017 Demostración de la técnica adecuada de 1 2 3 4 5 preparación y administración de insulina. 182018 Descripción del plan de rotación de las 1 2 3 4 5 zonas de punción 182019 Identificación del comienzo, pico y duración 1 2 3 4 5 de la insulina prescrita 182020 Descripción del régimen de hipoglucemiantes 1 2 3 4 5 orales prescritos 182021 Descripción de cuándo solicitar ayuda a un 1 2 3 4 5 profesional sanitario 182023 Descripción de prácticas de cuidados de los pies 1 2 3 4 5 182024 Descripción de los beneficios de controlar la 1 2 3 4 5 diabetes 230 NOC
  • 232.
    Nunca demostrado (1)Raramente demostrado (2) A veces demostrado (3) Frecuentemente demostrado (4) Siempre demostrado (5) 1900 CONDUCTA DE VACUNACIÓN Definición: Acciones para cumplir con la vacunación y prevenir una enfer- medad transmisible. Escala Indicador Descripción 190001 Reconoce el riesgo de enfermedad sin 1 2 3 4 5 vacunación 190002 Describe los riesgos asociados con la 1 2 3 4 5 vacunación especifica 190003 Describe contraindicaciones de la vacunación 1 2 3 4 5 especifica 190004 Aporta la cartilla de vacunación actualizada 1 2 3 4 5 en cada visita 190005 Cumple las vacunaciones para la edad 1 2 3 4 5 recomendadas 109007 Reconoce la necesidad de comunicar 1 2 3 4 5 cualquier reacción adversa 231 NOC
  • 233.
    Nunca demostrado (1)Raramente demostrado (2) A veces demostrado (3) Frecuentemente demostrado (4) Siempre demostrado (5) 1902 CONTROL DEL RIESGO Definición: Acciones personales para prevenir, eliminar o reducir las ame- nazas para la salud modificables. Escala Indicador Descripción 190201 Reconoce factores de riesgo. 1 2 3 4 5 190203 Supervisa los factores de riesgo de la 1 2 3 4 5 conducta personal. 190208 Modifica el estilo de vida para reducir el riesgo. 1 2 3 4 5 190212 Efectúa las vacunaciones apropiadas. 1 2 3 4 5 232 NOC
  • 234.
    1909 CONDUCTA DEPREVENCIÓN DE CAÍDAS Definición: Acciones individuales o del cuidador familiar para minimizar los factores de riesgo que podrían producir caídas en el entorno personal. Escala Nunca demostrado(1) Raramente demostrado(2) A veces demostrado(3) Frecuentemente demostrado(4) Siempre demostrado(5) Indicador Descripción 190903 Colocación de barreras para prevenir caídas 1 2 3 4 5 190906 Eliminación de objetos, derramamiento 1 2 3 4 5 y abrillantamiento en el suelo 190907 Fijación de alfombras 1 2 3 4 5 190910 Uso de zapatos con cordones bien ajustados 1 2 3 4 5 190911 Adaptación de altura adecuada del váter 1 2 3 4 5 190913 Adaptación de la altura adecuada de la cama 1 2 3 4 5 109014 Uso de alfombrillas de goma en la bañera 1 2 3 4 5 o en la ducha 190915 Uso de barandillas para agarrarse 1 2 3 4 5 190917 Uso de precauciones a la hora de tomar 1 2 3 4 5 medicamentos que aumenten el riesgo de caídas 190918 Uso de gafas oculares 1 2 3 4 5 190919 Uso de medios de traslado seguros 1 2 3 4 5 233 NOC
  • 235.
    Mayor de 10caídas (1), 7-9 caídas (2), 4-6 caídas (3), 1-3 caídas (4), Ninguna caída (5). Inadecuado (1) Ligeramente adecuado (2) Moderadamente adecuado (3) Sustancialmente adecuado (4) Completamente adecuado (5) 1910 AMBIENTE SEGURO DEL HOGAR Definición: Disposiciones físicas para minimizar los factores ambientales que podrían causar daño o lesión física en el hogar. Escala Indicador Descripción 191001 Provisión de iluminación 1 2 3 4 5 191008 Provisión de dispositivos de ayuda 1 2 3 4 5 localización accesible 191012 Eliminación segura de materiales peligrosos 1 2 3 4 5 191013 Reorganización del mobiliario para reducir 1 2 3 4 5 riesgos 191022 Uso de estufas medidas de seguridad 1 2 3 4 5 191024 Guardar de forma segura los medicamentos 1 2 3 4 5 para prevenir su uso accidental 1912 CAÍDAS Definición: Número de caídas en el pasado (definir el período de tiempo). Escala Indicador Descripción 191201 Número de caídas en bipedestación 1 2 3 4 5 191202 Número de caídas caminando 1 2 3 4 5 191203 Número de caídas sentado 1 2 3 4 5 191204 Número de caídas de la cama 1 2 3 4 5 191205 Número de caídas durante el traslado 1 2 3 4 5 191206 Número de caídas al subir escaleras 1 2 3 4 5 191207 Número de caídas al bajar escaleras 1 2 3 4 5 234 NOC
  • 236.
    Nunca demostrado (1),Raramente demostrado (2), A veces demostrado (3), Frecuentemente demostrado (4), Siempre demostrado (5) 1913 SEVERIDAD DE LA LESIÓN FÍSICA Definición: Gravedad de las lesiones secundarias a accidentes y trauma- tismos. Escala Grave (1), Sustancial (2), Moderado (3), Leve (4), Ninguno (5) Indicador Descripción 191301 Abrasiones cutáneas 1 2 3 4 5 191304 Quemaduras 1 2 3 4 5 191316 Alteración de la movilidad 1 2 3 4 5 191317 Alteración del nivel de conciencia 1 2 3 4 5 1914 CONTROL DEL RIESGO: SALUD CARDIOVASCULAR Definición: Acciones personales para eliminar o reducir las amenazas para la salud cardiovascular. Escala Indicador Descripción 191403 Evita el consumo de cigarrillos 1 2 3 4 5 191404 Controla la presión arterial 1 2 3 4 5 191406 Utiliza técnicas para controlar el estrés 1 2 3 4 5 191407 Sigue las estrategias de control de peso 1 2 3 4 5 191408 Sigue la dieta recomendada 1 2 3 4 5 191410 Sigue las precauciones recomendadas 1 2 3 4 5 sobre los fármacos sin prescripción facultativa 191413 Participa en la determinación de colesterol 1 2 3 4 5 191415 Participa en ejercicio regular 1 2 3 4 5 191416 Participa en ejercicio aeróbico 1 2 3 4 5 235 NOC
  • 237.
    Nunca demostrado (1),Raramente demostrado (2), A veces demostrado (3), Frecuentemente demostrado (4), Siempre demostrado (5) Nunca demostrado (1), Raramente demostrado (2), A veces demostrado (3), Frecuentemente demostrado (4) , Siempre demostrado (5) 1915 CONTROL DEL RIESGO: DETERIORO AUDITIVO Definición: Acciones personales para prevenir, eliminar o reducir las ame- nazas de la función auditiva. Escala Indicador Descripción 191501 Supervisa los síntomas de deterioro auditivo. 1 2 3 4 5 191504 Reduce la exposición al ruido. 1 2 3 4 5 191505 Mantiene una cantidad de cera normal. 1 2 3 4 5 191511 Evita colocar cuerpos extraños en el canal auditivo 1 2 3 4 5 1916 CONTROL DEL RIESGO: DETERIORO VISUAL Definición: Acciones personales para prevenir, eliminar o reducir las ame- nazas de la función visual. Escala Indicador Descripción 191601 Supervisa los síntomas de deterioro visual. 1 2 3 4 5 191604 Utiliza una iluminación adecuada para la actividad que realiza. 1 2 3 4 5 191607 Utiliza las medicaciones oculares prescritas 1 2 3 4 5 de forma correcta. 191609 Realiza exámenes oculares. 1 2 3 4 5 236 NOC
  • 238.
    Nunca demostrado (1),Raramente demostrado (2), A veces demostrado (3), Frecuentemente demostrado (4), Siempre demostrado (5) Nunca demostrado (1), Raramente demostrado (2), A veces demostrado (3), Frecuentemente demostrado (4), Siempre demostrado (5) 1918 PREVENCIÓN DE LA ASPIRACIÓN Definición: Acciones personales para prevenirel paso de partículas líqui- das o sólidas hacia los pulmones. Escala Indicador Descripción 191801 Identifica factores de riesgo 1 2 3 4 5 191802 Evita factores de riesgo 1 2 3 4 5 191803 Se incorpor para comer o beber 1 2 3 4 5 191804 Selecciona comidas según su capacidad deglutoria 1 2 3 4 5 191805 Se coloca de lado para comer y beber, según precisa 1 2 3 4 5 191807 Utiliza espesantes líquidos , según precisa 1 2 3 4 5 2000 CALIDAD DE VIDA Definición: Alcance de la percepción positiva de las condiciones actuales de vida. Escala Indicador Descripción 200001 Satisfacción con el estado de salud 1 2 3 4 5 200002 Satisfacción con las condiciones sociales 1 2 3 4 5 200007 Satisfacción con las relaciones intimas 1 2 3 4 5 200008 Satisfacción con los objetivos conseguidos 1 2 3 4 5 en la vida 237 NOC
  • 239.
    No del todosatisfecho(1), Algo satisfecho (2), Moderadamente satisfecho (3), Muy satisfecho (4), Completamente satisfecho (5) Gravemente comprometido(1), Sustancialmente comprometido (2), Moderadamente comprometido(3), Levemente comprometido(4), No comprometido (5) 2001 SALUD ESPIRITUAL Definición: Vinculaciones con el yo, los otros, el poder superior, la natura- leza y el universo que trasciende y se apodera del yo. Escala Indicador Descripción 200103 Expresión de significado y fin de la vida 1 2 3 4 5 200105 Expresión de serenidad 1 2 3 4 5 200111 Participación en ritos y ceremonias espirituales 1 2 3 4 5 200117 Relación con los demás para compartir pensamientos, sentimientos y creencias 1 2 3 4 5 2002 BIENESTAR PERSONAL Definición: Alcance de la percepción positiva del estado de salud y de las circunstancias vitales. Escala Indicador Descripción 200201 Satisfacción con la realización de las AVD 1 2 3 4 5 200203 Satisfacción con la interacción social 1 2 3 4 5 200205 Satisfacción con el funcionamiento fisiológico 1 2 3 4 5 200206 Satisfacción con el funcionamiento cognitivo 1 2 3 4 5 200208 Satisfacción con la capacidad de relax 1 2 3 4 5 238 NOC
  • 240.
    Gravemente comprometido (1),Sustancialmente comprometido (2), Moderadamente comprometido (3), Levemente comprometido (4), No comprometido (5) 2004 FORMA FÍSICA Definición: Ejecución de actividades físicas con vigor. Escala Indicador Descripción 200401 Fuerza Muscular 1 2 3 4 5 200404 Participación en actividades físicas 1 2 3 4 5 200405 Ejercicio habitual 1 2 3 4 5 239 NOC
  • 241.
    Grave (1) Sustancial(2) Moderado (3) Leve (4) Ninguno (5) Gravemente comprometido (1), Sustancialmente comprometido (2), Moderadamente comprometido (3), Levemente comprometido (4), No comprometido (5) 2007 MUERTE CONFORTABLE Definición: Tranquilidad física y psicológica en el final inminente de la vida. Escala Indicador Descripción 200701 Calma y tranquilidad 1 2 3 4 5 200702 Comodidad 1 2 3 4 5 200703 Permeabilidad de las vías aéreas 1 2 3 4 5 200705 Posición cómoda 1 2 3 4 5 200706 Músculos del cuello, tronco y extremidades 1 2 3 4 5 relajados 200707 Apoyo de amigos y familia 1 2 3 4 5 200708 Higiene personal 1 2 3 4 5 200709 Higiene bucal 1 2 3 4 5 200710 Ingesta de alimentos y líquidos, según se desee 1 2 3 4 5 Escala 200711 Gemidos 1 2 3 4 5 200713 Agitación 1 2 3 4 5 200714 Dolor 1 2 3 4 5 200715 Picazón 1 2 3 4 5 200716 Esfuerzo para vomitar o vómitos 1 2 3 4 5 200717 Diarrea 1 2 3 4 5 200718 Respiración dificultosa 1 2 3 4 5 200719 Ansias de aire 1 2 3 4 5 240 NOC
  • 242.
    No del todosatisfecho (1) Algo satisfecho (2) Moderadamente satisfecho (3) Muy satisfecho (4) Completamente satisfecho (5) 2100 NIVEL DE COMODIDAD Definición: Alcance de la percepción positiva de la comodidad física y psi- cológica. Escala Indicador Descripción 210002 Control del síntoma. 1 2 3 4 5 210003 Bienestar psicológico 1 2 3 4 5 210004 Entorno físico. 1 2 3 4 5 210005 Relaciones sociales. 1 2 3 4 5 210010 Temperatura de la habitación 1 2 3 4 5 241 NOC
  • 243.
    Gravemente comprometido (1)Sustancialmente comprometido (2) Moderadamente comprometido (3) Levemente comprometido (4) No comprometido (5) Grave (1) Sustancia l(2) Moderado (3) Leve (4) Ninguno (5) 2101 DOLOR: EFECTOS NOCIVOS Definición:Gravedad de los efectos nocivos observados o referidos del dolor crónico en el funcionamiento diario. Escala Indicador Descripción 210108 Concentración alterada 1 2 3 4 5 210110 Estado de ánimo alterado 1 2 3 4 5 210111 Falta de paciencia 1 2 3 4 5 210112 Trastorno del sueño 1 2 3 4 5 210113 Movilidad física alterada 1 2 3 4 5 210114 Higiene personal alterada 1 2 3 4 5 210115 Falta de apetito 1 2 3 4 5 210117 Evacuación alterada 1 2 3 4 5 Escala 210104 Actividades de ocio 1 2 3 4 5 210105 Trabajo 1 2 3 4 5 242 NOC
  • 244.
    Gravemente comprometido (1),Sustancialmente comprometido (2), Moderadamente comprometido (3), Levemente comprome- tido (4), No comprometido (5) Grave (1), Sustancial (2), Moderado (3), Leve (4) , Ninguno (5) 2102 NIVEL DEL DOLOR Definición: Intensidad del dolor referido o manifestado. Escala Indicador Descripción 210201 Dolor referido. 1 2 3 4 5 210204 Duración de los episodios de dolor. 1 2 3 4 5 210206 Expresiones faciales de dolor. 1 2 3 4 5 210008 Inquietud 1 2 3 4 5 210215 Pérdida de apetito. 1 2 3 4 5 210217 Gemidos y gritos 1 2 3 4 5 Escala 210210 Frecuencia respiratoria 1 2 3 4 5 210211 Frecuencia cardiaca apical 1 2 3 4 5 210220 Frecuencia del pulso radial 1 2 3 4 5 210212 Presión arterial 1 2 3 4 5 210214 Sudoración 1 2 3 4 5 243 NOC
  • 245.
    Inadecuado (1), Ligeramenteadecuado (2), Moderadamente adecuado (3), Sustancialmente adecuado (4), Completamente adecuado (5) 2202 PREPARACIÓN DEL CUIDADOR FAMILIAR DOMICILIARIO Definición: Grado de preparación de un cuidador para asumir la respon- sabilidad de la asistencia sanitaria domiciliaria de un miembro de la fami- lia. Escala Indicador Descripción 220201 Voluntad de asumir el papel de cuidador 1 2 3 4 5 familiar 20202 Conocimiento sobre el papel de cuidador 1 2 3 4 5 familiar 220204 Participación en las decisiones de atención 1 2 3 4 5 domiciliaria 220206 Conocimiento del régimen de tratamiento 1 2 3 4 5 recomendado 220207 Conocimiento de los procedimientos 1 2 3 4 5 de tratamiento recomendados 220213 Conocimiento de las visitas de los 1 2 3 4 5 profesionales sanitarios 220214 Apoyo social 1 2 3 4 5 220219 Conocimiento de dónde obtener el 1 2 3 4 5 equipamiento necesario 244 NOC
  • 246.
    Gravemente comprometido (1),Sustancialmente comprometido (2), Moderadamente comprometido (3), Levemente comprometido (4), No comprometido (5) Gravemente comprometido (1), Sustancialmente comprometido (2), Moderadamente comprometido (3), Levemente comprometido (4) y No comprometido (5) 2203 ALTERACIÓN DEL ESTILO DE VIDA DEL CUIDADOR FAMILIAR Definición: Gravedad de alteraciones en el estilo de vida de un miembro de la familia debido a su papel de cuidador. Escala Indicador Descripción 220301 Insatisfacción con las circunstancias de la vida 1 2 3 4 5 220304 Oportunidades para la intimidad 1 2 3 4 5 220305 Relaciones con otros miembros de la familia 1 2 3 4 5 220306 Interacciones sociales 1 2 3 4 5 220308 Actividades de ocio 1 2 3 4 5 220309 Productividad laboral 1 2 3 4 5 2204 RELACIÓN ENTRE EL CUIDADOR PRINCIPAL Y EL PACIENTE Definición: Interacciones y conexiones positivas entre el cuidador princi- pal y el receptor de los cuidados. Escala Indicador Descripción 220401 Comunicación efectiva 1 2 3 4 5 220402 Paciencia 1 2 3 4 5 220409 Aceptación mutua 1 2 3 4 5 220410 Respeto mutuo 1 2 3 4 5 220411 Solución de problemas en colaboración 1 2 3 4 5 220413 Sentimiento mutuo de unión 1 2 3 4 5 245 NOC
  • 247.
    Inadecuado (1), ligeramenteadecuado (2), Moderadamente adecuado (3), Sustanciallmente adecuado (4) y Completamente adecuado (5) 2205 RENDIMIENTO DEL CUIDADOR PRINCIPAL: CUIDADOS DIRECTOS Definición: Aporte por el cuidador familiar de cuidaos personales y sanita- rios apropiados para un miembro de la familia. Escala Indicador Descripción 220503 Conocimiento del proceso de enfermedad 1 2 3 4 5 220504 Conocimiento del plan de tratamiento 1 2 3 4 5 220505 Adhesión al plan de tratamiento 1 2 3 4 5 220507 Realización de los tratamientos 1 2 3 4 5 220502 Ayuda al receptor de cuidados en las AVD 1 2 3 4 5 220506 Ayuda al receptor de cuidados en las AIVD 1 2 3 4 5 220501 Aporte de soporte emocional al receptor 1 2 3 4 5 de los cuidados 220509 Monitorización del estado de salud del 1 2 3 4 5 receptor de los cuidados 220515 Provisión de un entorno seguro y protegido 1 2 3 4 5 246 NOC
  • 248.
    Intenso (1), Sustancial(2), Moderado (3), Ligero (4) y Ninguno (5) 2208 FACTORES ESTRESANTES DEL CUIDADOR FAMILIAR Definición: Gravedad de la presión biopsicosocial sobre un cuidador fami- liar por parte de otro durante un extenso período de tiempo. Escala Indicador Descripción 220802 Limitaciones físicas del cuidador 1 2 3 4 5 220803 Limitaciones psicológicas del cuidador 1 2 3 4 5 220804 Limitaciones cognitivas del cuidador familiar 1 2 3 4 5 220805 Conflicto del rol 1 2 3 4 5 220812 Cantidad de cuidados requeridos o vigilancia 1 2 3 4 5 220813 Alteración de la relación entre el cuidador 1 2 3 4 5 y el paciente 247 NOC
  • 249.
    Inadecuado(1), ligeramente adecuado(2),Moderadamente adecuado(3), Sustancialmente adecuado(4) y Completamente adecuado (5) 2210 POSIBLE RESISTENCIA AL CUIDADO FAMILIAR Definición: Factores que fomentan la continuación del cuidado familiar durante un largo periodo de tiempo. Escala Indicador Descripción 221001 Relación mutuamente satisfactoria entre el cuidador familiar y el destinatario de los cuidados 1 2 3 4 5 221002 Dominio de las actividades de cuidados directos 1 2 3 4 5 221003 Dominio de las actividades de cuidados indirectos 1 2 3 4 5 221006 Apoyo del sistema de asistencia sanitari 1 2 3 4 5 para el cuidador familiar 221011 Recursos económicos 1 2 3 4 5 221005 Apoyo social para el cuidador familiar 1 2 3 4 5 221008 Descanso para el cuidador familiar 1 2 3 4 5 221009 Oportunidades del cuidador familiar para actividades de ocio 1 2 3 4 5 248 NOC
  • 250.
    Desviación grave delrango normal (1), Desviación Sustancial del rango normal (2), Desviación Moderada del rango normal (3), Desviación Leve del rango normal (4), Sin desviación del rango normal (5) 2300 NIVEL DE GLUCEMIA Definición: Magnitud a la que se mantienen los niveles de glucosa en plas- ma y orina dentro del rango normal. Escala Indicador Descripción 230001 Concentración sanguínea de glucosa 1 2 3 4 5 230004 Hemoglobina glicosilada 1 2 3 4 5 230005 Fructosamina 1 2 3 4 5 230007 Glucosa en orina 1 2 3 4 5 230008 Cetonas en orina 1 2 3 4 5 249 NOC
  • 251.
    Grave (1), Sustancial(2), Moderado (3), Leve (4) y Ninguno (5) Desviación grave del rango normal (1), Desviación Sustancial del rango normal (2), Desviación Moderada del rango normal (3), Desviación Leve del rango normal (4) y Sin desviación del rango normal (5) 2400 FUNCIÓN SENSITIVA: CUTÁNEA Definición: Grado en el que la estimulación de la piel se siente correcta- mente. Escala Indicador Descripción 240001 Discriminación entre punzante y romo 1 2 3 4 5 240002 Discriminación entre dos puntos 1 2 3 4 5 240003 Discriminación vibratoria 1 2 3 4 5 240004 Discriminación de calor 1 2 3 4 5 240005 Discriminación de frío 1 2 3 4 5 240008 Ausencia de parestesias 1 2 3 4 5 Escala 240008 Parestesias 1 2 3 4 5 250 NOC
  • 252.
    Grave (1), Sustancial(2), Moderado (3), Leve (4) y Ninguno (5) Desviación grave del rango normal(1), Desviación Sustancial del rango normal (2), Desviación moderada del rango normal(3), Desviación leve del rango normal(4), Sin desviación del rango normal (5) 2401 FUNCIÓN SENSITIVA: AUDITIVA Definición:Grado en el que los sonidos se oyen correctamente. Escala Indicador Descripción 240101 Agudeza auditiva izquierda 1 2 3 4 5 240102 Agudeza auditiva derecha 1 2 3 4 5 240108 Oye susurros a 15 cm del oído izquierdo 1 2 3 4 5 (prueba de voz) 240114 Oye susurros a 15 cm del oído derecho 1 2 3 4 5 (prueba de voz) 240109 Se gira ante los sonidos 1 2 3 4 5 240110 Muestra interés por los estímulos auditivos 1 2 3 4 5 Escala 240106 Ausencia de acúfenos (izquierda) 1 2 3 4 5 240115 Ausencia de acufenos (derecha) 1 2 3 4 5 240199 Ausencia de tapones de cerumen 1 2 3 4 5 251 NOC
  • 253.
    Grave (1), Sustancial(2), Moderado (3), Leve (4) y Ninguno (5) Desviación grave del rango normal (1), Desviación Sustancial del rango normal (2), Desviación Moderada del rango normal (3), Desviación Leve del rango normal (4), Sin desviación del rango normal (5) 2404 FUNCIÓN SENSITIVA: VISIÓN Definición: Grado en el que las imágenes visuales se perciben o ven correctamente. Escala Indicador Descripción 240416 Responde a los estímulos visuales 1 2 3 4 5 240499 Test optotipo 1 2 3 4 5 Escala 240408 Halos alrededor de la luz 1 2 3 4 5 240409 Telarañas 1 2 3 4 5 240410 Visión doble 1 2 3 4 5 240411 Visión borrosa 1 2 3 4 5 240412 Visión distorsionada 1 2 3 4 5 240413 Distorsiones en la visión de los colores 1 2 3 4 5 252 NOC
  • 254.
    Gravemente comprometido (1);Sustancialmente comprometido (2); Moderadamente comprometido (3); Levemente comprometido (4); No comprometido (1) Grave (1), Sustancial (2), Moderado (3), Leve (4), Ninguno (5) Gravemente comprometido (1), Sustancialmente comprometido (2), Moderadamente comprometido (3), Levemente comprometido (4), No comprometido (5) 2506 SALUD EMOCIONAL DEL CUIDADOR PRINCIPAL Definición: Bienestar emocional de un cuidador familiar mientras atiende a un miembro de la familia. Escala Indicador Descripción 250611 Relación social percibida 1 2 3 4 5 Escala 250613 Cargas percibidas 1 2 3 4 5 250615 Uso de fármacos psicotrópicos 1 2 3 4 5 2507 SALUD FÍSICA DEL CUIDADOR FAMILIAR Definición: Bienestar físico de un cuidador familiar mientras atiende a un miembro de la familia. Escala Indicador Descripción 250702 Patrón de sueño 1 2 3 4 5 250705 Comodidad física 1 2 3 4 5 250706 Nivel de movilidad 1 2 3 4 5 250711 Consumo de medicación 1 2 3 4 5 250712 Salud general percibida 1 2 3 4 5 257013 Uso de recursos 1 2 3 4 5 253 NOC
  • 255.
    Nunca manifestado (1),Raramente manifestado (2), En ocasiones manifestado (3), Con frecuencia manifestado (4) y Manifestado constantemente (5) 2600 AFRONTAMIENTO DE LOS PROBLEMAS DE LA FAMILIA Definición: Acciones de la familia para controlar los factores estresantes que comprometen los recursos de la familia. Escala Indicador Descripción 260003 Afronta los problemas 1 2 3 4 5 260006 Implica a los miembros de la familia en la toma de decisiones 1 2 3 4 5 260007 Expresa libremente sentimientos y emociones 1 2 3 4 5 260009 Utiliza estrategias para reducir el estrés 1 2 3 4 5 260010 Busca atención para todos los miembros de la familia. 1 2 3 4 5 260012 Establece programas para la rutina y actividades familiares. 1 2 3 4 5 260013 Organiza momentos de descanso 1 2 3 4 5 254 NOC
  • 256.
    Nunca demostrado (1),Raramente demostrado (2), a veces demostrado (3), Frecuentemente demostrado (4), Siempre demostrado (5) Nunca demostrado (1), Raramente demostrado (2), A veces demostrado (3), Frecuentemente demostrado (4) y Siempre demostrado (5) 2601 CLIMA SOCIAL DE LA FAMILIA Definición: Ambiente de apoyo caracterizado por las relaciones y objetivos de los miembros de la familia. Escala Indicador Descripción 260101 Participa en actividades conjuntas 1 2 3 4 5 260104 Recibe visitas de amigos y de todos 1 2 3 4 5 los miembros de la familia 260105 Participa en actividades recreativas 1 2 3 4 5 260108 Mantiene el hogar limpio y ordenado 1 2 3 4 5 260114 Comparte sentimientos y problemas 1 2 3 4 5 con los miembros de la familia 2602 FUNCIONAMIENTO DE LA FAMILIA Definición: Capacidad del sistema familiar para satisfacer las necesidades de sus miembros durante los cambios de desarrollo. Escala Indicador Descripción 260202 Cuida los miembros dependientes de la familia 1 2 3 4 5 260204 Distribuye las responsabilidades entre los 1 2 3 4 5 miembros de la familia 260208 Se adapta a los cambios de desarrollo 1 2 3 4 5 260211 Crea un entorno donde los miembros 1 2 3 4 5 pueden expresar libremente sus sentimientos 260215 Los miembros se apoyan y se ayudan 1 2 3 4 5 los unos a los otros 255 NOC
  • 257.
    Nunca demostrado (1),Raramente demostrado (2), A veces demostrado (3), Frecuentemente demostrado (4), Siempre demostrado (5) 2605 PARTICIPACIÓN DE LA FAMILIA EN LA ASISTENCIA SANITARIA PROFESIONAL Definición: Implicación de la familia en la toma de decisiones, administra- ción y evaluación de la asistencia realizada por el personal sanitario. Escala Indicador Descripción 260506 Colabora en la determinación del tratamiento. 1 2 3 4 5 260508 Toma decisiones cuando el paciente es 1 2 3 4 5 incapaz de hacerlo. 260509 Participa en las decisiones con el paciente. 1 2 3 4 5 256 NOC
  • 258.
    Grave (1), Sustancial(2), Moderado (3), Leve (4), Ninguno (5) Gravemente comprometido (1), Sustancialmente comprometido (2), Moderadamente comprometido (3), Levemente comprometido (4), No comprometido (5) 2606 ESTADO DE SALUD DE LA FAMILIA Definición: Estado global y competencia social de la unidad familiar. Escala Indicador Descripción 260602 Proveedor de cuidados a los niños 1 2 3 4 5 260603 Proveedor de cuidados a adultos incapacitados 1 2 3 4 5 260605 Salud física de los miembros de la familia 1 2 3 4 5 260613 Desarrollo psicosocial de los miembros 1 2 3 4 5 de la familia 260615 Uso de los recursos sanitarios 1 2 3 4 5 260616 Uso de recursos sociales 1 2 3 4 5 260618 Salud mental de los miembros de la familia 1 2 3 4 5 Escala 260620 Violencia doméstica 1 2 3 4 5 260621 Abuso físico de los miembros de la familia 1 2 3 4 5 260624 Abuso psicológico de los miembros 1 2 3 4 5 260625 Abuso de alcohol 1 2 3 4 5 260626 Consumo de tabaco 1 2 3 4 5 260627 Consumo de drogas recreativas 1 2 3 4 5 257 NOC
  • 259.
    Nunca demostrado (1),Raramente demostrado (2), A veces demostrado (3), Frecuentemente demostrado (4), Siempre demostrado (5) 2609 APOYO FAMILIAR DURANTE EL TRATAMIENTO Definición: Presencia y apoyo emocional familiar a un individuo que está sometido a un tratamiento. Escala Indicador Descripción 260905 Piden información sobre el estado o 1 2 3 4 5 condición del paciente. 260907 Los miembros de la familia animan al 1 2 3 4 5 miembro enfermo. 260909 Buscan apoyo social y espiritual para 1 2 3 4 5 el miembro enfermo. 260910 Colaboran con el miembro enfermo 1 2 3 4 5 en la determinación de los cuidados. 258 NOC
  • 260.
  • 262.
    0200 FOMENTO DELEJERCICIO Definición: Facilitar, regularmente, la realización de ejercicios físicos con el fin de mantener o mejorar el estado físico y el nivel de salud. Actividades: 0200.01 Valorar las ideas del paciente sobre el efecto del ejercicio físico en la salud. 0200.04 Incluir a la familia/cuidadores del paciente en la planificación y mantenimiento del programa de ejercicios. 0200.05 Informar al paciente acerca de los beneficios para la salud y los efectos psicológicos del ejercicio. 0200.07 Instruir al paciente acerca de la frecuencia, duración e intensidad deseadas de los ejercicios del programa. 0200.15 Ayudar al paciente a integrar el programa de ejercicios en su ruti- na semanal. 0200.16 Reforzar el programa para potenciar la motivación del paciente (control del peso semanalmente).Controlar la respuesta del paciente al programa de ejercicios. 0200.17 Proporcionar una respuesta positiva a los esfuerzos del pacien- te. 0200.18 Explorar las barreras para el ejercicio. 0200.19 Ayudar al individuo a desarrollar un programa de ejercicios ade- cuado a sus necesidades. 0200.20 Ayudar al individuo a integrar el programa de ejercicios en su ruti- na semanal. 0200.21 Enseñar al individuo técnicas de respiración adecuadas para maximizar la absorción de oxígeno durante el ejercicio físico. 0201 FOMENTAR EL EJERCICIO: ENTRENAMIENTO DE EXTENSIÓN Definición: Facilitar el entrenamiento regular de músculos resistentes para mantener o aumentar la fuerza del músculo. Actividades: 0201.01 Examinar el estado general antes del ejercicio para identificar los 261 0000
  • 263.
    posibles riesgos delejercicio utilizando escalas estandarizadas de la pre- paración para la actividad física y / o el historial completo y un examen físico. 0201.07 Ayudar a fijar objetivos realistas a corto y largo plazo y a hacer propio el programa de ejercicios. 0201.10 Ayudar a desarrollar un entorno hogar / trabajo que facilite la dedicación al programa de ejercicios. 0201.12 Ayudar a desarrollar un programa de entrenamiento de fuerza consecuente con el nivel de forma física muscular, fuerza músculo-esque- lética, objetivos de salud funcional, recursos de equipamientos para ejer- cicios, preferencias personales y apoyo social. 0201.13 Especificar el nivel de resistencia, el número de repeticiones, el número de series y la frecuencia de las sesiones de entrenamiento de acuerdo con el nivel de forma física y la presencia / ausencia de factores de riesgo con el ejercicio. 0201.28 Establecer un programa de seguimiento para mantener la moti- vación, ayudar a resolver problemas controlando el progreso. 0201.30 Colaborar con la familia y otros profesionales de la salud (p.e. fisioterapeuta, fisiólogo del ejercicio, terapeuta ocupacional, terapeuta de recreo, terapeuta físico) en la planificación, enseñanza y control del pro- grama de entrenamiento muscular. 0202 FOMENTO DE EJERCICIOS: EXTENSIÓN Definición: Facilitar ejercicios sistemáticos de extensión muscular lenta y mantenimiento con posterior relajación con el fin de preparar los múscu- los y articulaciones para ejercicios más vigorosos o para aumentar o man- tener la flexibilidad corporal. Actividades: 0202.03 Ayudar a desarrollar metas realistas a corto y largo plazo en fun- ción del nivel de forma física y el estilo de vida actuales. 0202.04 Proporcionar información sobre los cambios en la estructura musculoesquelética relacionados con el envejecimiento en la estructura neuromusculoesquelética y los efectos de la falta de uso. 0202.05 Proporcionar información sobre las opciones de secuencia, acti- vidades de extensión específicas, tiempo y lugar. 262 0000
  • 264.
    0202.06 Ayudar adesarrollar un programa de ejercicios coherente con la edad, estado físico, metas, motivación y estilo de vida. 0202.07 Ayudar a desarrollar un plan de ejercicios que incorpore una secuencia ordenada de movimientos de extensión, aumentos en la fase de mantenimiento del movimiento y aumentos en el número de repeticio- nes de cada movimiento de extensión-mantenimiento lento, coherente con el nivel de estado físico musculoesquelético o de alguna patología presente. 0202.08 Enseñar que hay que comenzar la rutina de ejercicios por los gru- pos de músculos / articulaciones que estén menos rígidos o lesionados y cambiar gradualmente a los grupos de músculos/articulaciones más limi- tados. 0202.10 Enseñar a evitar movimientos rápidos, de fuerza o de rebote para impedir la estimulación excesiva del reflejo miostático o el dolor muscular excesivo. 0202.11 Enseñar la forma de controlar el propio seguimiento del progra- ma y su evolución hacia las metas fijadas (aumento del arco de movimien- to de articulaciones, conciencia de la liberación de la tensión muscular, aumento de la duración de la fase de «mantenimiento» y del número de repeticiones del ejercicio sin dolor ni fatiga, y aumento de la tolerancia al ejercicio vigoroso). 0202.12 Proporcionar instrucciones ilustradas, escritas, que puedan lle- varse a casa, de cada componente de los movimientos. 0202.13 Realizar demostraciones de los ejercicios, si es preciso. 0202.15 Controlar la tolerancia al ejercicio (presencia de síntomas tales como falta de aire, pulso rápido, palidez, mareos y dolor o inflamación muscular) durante el mismo. 0202.16 Volver a evaluar el plan si persisten los síntomas de poca tole- rancia al ejercicio después del cese del mismo. 0202.17 Colaborar con los miembros de la familia en la planificación, enseñanza y control de un plan de ejercicios. 0221 TERAPIA DE EJERCICIOS: DEAMBULACIÓN Definición: estímulo y asistencia en la deambulación para mantener o restablecer las funciones corporales autónomas y voluntarias durante el tratamiento y recuperación de una enfermedad o lesión. 263 0000
  • 265.
    Actividades: 0221.01 Vestir alpaciente con prendas cómodas. 0221.02 Aconsejar al paciente que use un calzado que facilite la deambu- lación. 0221.07 Consultar con el fisioterapeuta acerca del plan de deambulación, si es preciso. 0220.13 Aplicar/proporcionar un dispositivo de ayuda ( bastón, muletas o silla de ruedas, etc. ) para la deambulación si el paciente no camina bien. 0221.14 Ayudar al paciente con la deambulación inicial, si es necesario. 0221.15 Instruir al paciente/ cuidador acerca de las técnicas de traslado y deambulación seguras. 0221.16 Vigilar la utilización por parte del paciente de muletas u otros dis- positivos de ayuda para andar. 0221.17 Ayudar al paciente a ponerse de pie y a deambular distancias determinadas y con un número concreto de personal. 0221.18 Ayudar al paciente a establecer aumentos de distancia realistas con la deambulación. 0221.19 Fomentar una deambulación independiente dentro de los límites de la seguridad. 0222 TERAPIA DE EJERCICIOS: EQUILIBRIO Definición: Utilización de actividades, posturas y movimientos específi- cos para mantener, potenciar o restablecer el equilibrio. Actividades: 0222.01 Determinar la capacidad del paciente para participar en activida- des que requieran equilibrio. 0222.03 Consultar la terapia física en razón del tipo, número y secuencia de los patrones de movimientos necesarios para potenciar el equilibrio. 0222.04 Evaluar las funciones sensoriales (visión, oído y propiocepción). 0222.06 Facilitar un ambiente seguro para la práctica de los ejercicios. 0222.08 Proporcionar dispositivos de ayuda (bastón, barra de andar, almohadas o colchones de ejercicios) como apoyo del paciente al realizar los ejercicios. 264 0000
  • 266.
    0222.10 Reforzar oproporcionar instrucción sobre la posición y la realiza- ción de los movimientos para mantener o mejorar el equilibrio durante los ejercicios o actividades de la vida diaria. 0222.11 Ayudar al paciente a participar en los ejercicios de extensión en posición de decúbito supino, pedestación o bipedestación. 0222.12 Ayudar al paciente a moverse hasta la posición de sentado, esta- bilizar el tronco con los brazos colocados al lado de la cama/ silla y balan- cear el tronco apoyándose en los brazos. 0222.14 Utilizar un espejo para facilitar la alineación postural de sentado y de pie, si corresponde. 0222.15 Ayudarle a ponerse de pie (o sentarse) y balancear el cuerpo de lado a lado para estimular los mecanismos del equilibrio. 0222.17 Ayudar al paciente en la práctica de estar de pie con los ojos cerrados durante cortos períodos de tiempo a intervalos regulares para estimular la propiocepción. 0222.18 Vigilar la respuesta del paciente a los ejercicios de equilibrio. 0222.20 Ayudar al paciente a caminar a intervalos regulares. 0224 TERAPIA DE EJERCICIOS: MOVILIDAD ARTICULAR Definición: realizar movimientos corporales o pasivos para mantener o restablecer la flexibilidad articular. Actividades: 0224.01 Determinar las limitaciones del movimiento articular y actuar sobre la función. 0224.02 Colaborar con la fisioterapia en el desarrollo y ejecución de un programa de ejercicios. 0224.04 Explicar al paciente/ familia el objeto y el plan de ejercicio de las articulaciones. 0224.06 Poner en marcha medidas de control del dolor antes de comen- zar el ejercicio de las articulaciones. 0224.07 Vestir al paciente con prendas cómodas. 0224.11 Realizar ejercicios pasivos o asistidos si está indicado. 265 0000
  • 267.
    0224.15 Animarle avisualizar el movimiento corporal antes de comenzar el movimiento. 0224.17 Fomentar sentarse en la cama, en un lado de la cama o en una silla, según tolerancia. 0224.18 Fomentar la deambulación, si resulta oportuno. 0224.20 Dar un apoyo positivo al realizar los ejercicios de las articulacio- nes. 0226 TERAPIA DE EJERCICIOS: CONTROL MUSCULAR Definición: Utilización de protocolos de actividad o ejercicios específicos para mejorar o restablecer el movimiento controlado del cuerpo. Actividades: 0226.01 Determinar la disposición del paciente para comprometerse a realizar un protocolo de actividades o ejercicios. 0226.02 Colaborar con fisioterapeutas, terapeutas ocupacionales y de recreación en el desarrollo y ejecución de un programa de ejercicios, si procede. 0226.03 Consultar al fisioterapeuta para determinar la posición óptima del paciente durante el ejercicio y el número de veces que debe realizar cada movimiento. 0226.04 Evaluar las funciones sensoriales (la visión, audición y propio- cepción). 0226.05 Explicar el fundamento del tipo de ejercicio y el protocolo al paciente / familia. 0226.07 Ajustar la iluminación, la temperatura ambiente y el nivel de ruido, y así mejorar la capacidad de concentración del paciente en la actividad de ejercicios. 0226.08 Establecer una secuencia de actividades diarias de cuidados para potenciar los efectos de la terapia especifica de ejercicios. 0226.09 Poner en marcha medidas de control del dolor antes de comen- zar el ejercicio/ actividad. 0226.14 Ayudar al paciente a colocarse en las posiciones sedente/ anató- mica para el protocolo de ejercicios, si procede. 266 0000
  • 268.
    0226.15 Reforzar lasinstrucciones dadas al paciente respecto a la forma correcta de realizar los ejercicios para minimizar la aparición de lesiones y maximizar su eficacia. 0226.16 Determinar la imagen corporal exacta. 0226.17 Reorientar al paciente en cuanto a la conciencia de su cuerpo. 0226.18 Reorientar al paciente sobre las funciones de movimiento del cuerpo. 0226.19 Enseñar al paciente a explorar visualmente el lado afectado del cuerpo al realizar las actividades de la vida diaria o los ejercicios, si está indicado. 0226.20 Proporcionar instrucciones paso a paso para cada actividad motora durante el ejercicio o actividades de la vida diaria. 0226.24 Ayudar al paciente a desarrollar el protocolo de ejercicios para conseguir resistencia, fortaleza y flexibilidad. 0226.25 Ayudar al paciente a formular objetivos realistas, mensurables. 0226.26 Practicar actividades motoras que requieran atención y utilizar los dos costados del cuerpo. 0226.27 Incorporar actividades de la vida diaria en el protocolo de ejerci- cios, si corresponde. 0226.28 Animar al paciente a practicar ejercicios de forma independiente, si está indicado. 0226.29 Ayudar o animar al paciente a que practique actividades de pre- calentamiento y relajamiento antes y después del protocolo de ejercicios. 0226.32 Vigilar la respuesta emocional, cardiovascular y funcional del paciente al protocolo de ejercicios. 0226.33 Observar los ejercicios realizados por el paciente para su correc- ta ejecución. 0226.34 Evaluar el progreso del paciente en la mejora/ restablecimiento del movimiento y la función corporal. 0226.35 Proporcionar un apoyo positivo a los esfuerzos del paciente en la actividad física y en los ejercicios. 0226.36 Colaborar con los cuidadores a domicilio respecto al protocolo de ejercicios y las actividades de la vida diaria. 267 0000
  • 269.
    0226.37 Ayudar alpaciente / cuidador a realizar las revisiones prescritas en el plan de ejercicios en casa, si está indicado. 0410 CUIDADOS DE INCONTINENCIA INTESTINAL Definición: Estimulación de la continencia intestinal y mantenimiento de la integridad de la piel perianal. Actividades: 0410.01 Determinar la causa física o fisiológica de la incontinencia fecal. 0410.02 Explicar la etiología del problema y la base de las acciones. 0410.03 Determinar los objetivos del programa de manejo intestinal con el paciente / familia. 0410.05 Instruir al paciente / familia a que lleve un registro de defecación, si es preciso. 0410.06 Lavar la zona perianal con jabón y agua y secarla bien después de cada deposición. 0410.10 Llevar a cabo un programa de entrenamiento intestinal, si proce- de. 0410.12 Controlar la dieta y las necesidades de líquidos. 0410.16 Colocar pañales de incontinencia, sí es necesario. 0412 CUIDADOS EN LA INCONTINENCIA INTESTINAL: ENCOPRESIS Definición: Fomento de la continencia intestinal en niños. Actividades: 0412.01 Reunir información sobre el historial de educación acerca del uso del baño; duración de la encopresis, e intentos realizados para eliminar el problema. 0412.02 Determinar la causa del problema (estreñimiento e impactación fecal), si procede. 0412.06 Enseñar a la familia la fisiología de la defecación normal y la edu- cación sobre uso del baño. 0412.07 Recomendar cambios en la dieta o terapia de conducta, si procede. 268 0000
  • 270.
    0412.10 Investigar losesquemas de comunicación familiar, sus puntos fuertes y la capacidad de control. 0412.11 Animar a los padres a dar seguridad eliminando la ansiedad aso- ciada con el uso del baño. 0412.12 Animar a los padres a demostrar amor y aceptación en casa para contrarrestar el ridículo del niño frente a los niños. 0412.14 Discutir formas de recompensa a la conducta en el baño. 0420 IRRIGACIÓN INTESTINAL Definición: Instilación de sustancias en el tracto gastrointestinal infe- rior. Actividades: 0420.01 Determinar la razón del lavado intestinal. 0420.02 Evitar la aplicación si el paciente tiene un historial de colitis ulce- rosa o enteritis local. 0420.04 Elegir el tipo de enema adecuado. 0420.05 Explicar el procedimiento al paciente. 0420.06 Disponer intimidad de ambiente. 0420.07 Informar al paciente que pueden presentar retortijones abdomi- nales y urgencia de defecación. 0420.08 Preparar el equipo necesario. 0420.09 Colocar al paciente en posición, según el caso. 0420.12 Determinar la temperatura adecuada de la sustancia de irriga- ción. 0420.13 Lubricar el tubo antes de la inserción, cuando proceda. 0420.14 Insertar la sustancia por el recto, según indicación: 0420.17 Observar si hay signos y síntomas de diarrea, estreñimiento e impactación. 0420.18 Tomar nota sobre si los retornos del enema o laxante no son cla- ros.. 0420.19 Limpiar la zona anal. 269 0000
  • 271.
    0430 MANEJO INTESTINAL Definición:Establecimiento y mantenimiento de una evacuación intesti- nal de esquema regular. Actividades: 0430.01 Tomar nota de la fecha del último movimiento intestinal. 0430.02 Controlar los movimientos intestinales, incluyendo la frecuencia, consistencia, forma, volumen y color, si procede. 0430.03 Observar si hay sonidos intestinales. 0430.07 Observar si hay signos y síntomas de diarrea, estreñimiento e impactación. 0430.10 Enseñar al paciente las comidas específicas que ayudan a con- seguir un adecuado ritmo intestina. 0430.13 Poner en marcha un programa de entrenamiento intestinal, si resulta oportuno. 0430.15 Instruir al paciente sobre los alimentos de alto contenido en fibra. 0430.17 Evaluar el perfil de la medicación para determinar efectos secun- darios gastrointestinales. 0440 ENTRENAMIENTO DEL HÁBITO INTESTINAL Definición: Ayuda al paciente en la educación del intestino para que eva- cue a intervalos determinados. Actividades: 0440.01 Planificar un programa intestinal con el paciente y demás perso- nas relacionadas. 0440.03 Enseñar al paciente/familia los principios de la educación intestinal. 0440.04 Instruir al paciente acerca de alimentos con alto contenido en fibra. 0440.06 Asegurar una ingesta adecuada de líquidos. 0440.07 Asegurarse de que se realizan ejercicios adecuados. 0440.99 Administrar microlaxantes, supositorios de glicerina o enemas , si procede. 270 0000
  • 272.
    0450 MANEJO DELESTREÑIMIENTO / IMPACTACIÓN Definición: Prevención y alivio del estreñimiento / impactación. Actividades: 0450.01 Vigilar la aparición de signos y síntomas del estreñimiento. 0450.03 Comprobar movimientos intestinales, incluyendo frecuencia, con- sistencia, forma, volumen y color si procede. 0450.08 Identificar los factores (medicamentos, reposo en cama y dieta) que pueden ser causa del estreñimiento o que contribuyan al mismo. 0450.10 Fomentar el aumento de la ingesta de líquidos , a menos que esté contraindicado. 0450.12 Enseñar al paciente / familia que registre el color, volumen, fre- cuencia y consistencia de las deposiciones. 0450.14 Instruir al paciente / familia acerca de la dieta rica en fibra , si pro- cede. 0450.15 Instruir al paciente / familia sobre el uso correcto de laxantes. 0450.16 Instruir al paciente / familia sobre la relación entre dieta, ejercicio e ingesta de líquidos para el estreñimiento e impactación. 0450.21 Extraer la impactación fecal manualmente, si fuera necesario. 0450.22 Administrar el enema o la irrigación, cuando proceda. 0460 MANEJO DE LA DIARREA Definición: Prevención y alivio de la diarrea. Actividades: 0460.02 Evaluar el perfil de la medicación por si hubiera efectos secunda- rios gastrointestinales. 0460.04 Solicitar al paciente/miembro familiar que registre el color, volu- men, frecuencia y consistencia de las deposiciones. 0460.05 Evaluar la ingesta registrada para ver el contenido intestinal. 0460.06 Fomentar la realización de comidas en pequeñas cantidades, fre- cuentes y añadir fibras de forma gradual. 0460.09 Observar si hay signos y síntomas de diarrea. 271 0000
  • 273.
    0460.11 Observar laturgencia de la piel regularmente. 0460.16 Realizar consulta con el médico si persisten los signos y sínto- mas de diarrea. 0470 DISMINUCIÓN DE LA FLATULENCIA Definición: Evitar la formación de flato y facilitar la salida de gases exce- sivos. Actividades: 0470.01 Enseñar al paciente cómo se produce el flato y los métodos de alivio del mismo. 0470.02 Enseñar al paciente a evitar situaciones que ocasionan una deglución de aire en exceso, como masticar chicle, tomar medidas bebi- das carbonatadas, comer rápido, sorber con paja, masticar con la boca abierta o hablar con la boca llena. 0470.03 Enseñar al paciente a evitar aquellos alimentos que causen fla- tulencia, como alubias, repollo, rábanos, cebollas, coliflor y pepinos. 0470.05 Observar si hay sensación de hinchazón, distensión abdominal, dolores por retortijones, salida excesiva de gases por la boca o por el ano. 0470.06 Comprobar ruidos intestinales. 0470.08 Establecer la relación de ejercicios adecuados (deambulación). 0470.13 Colocar en posición lateral izquierda con las rodillas flexionadas, si no está contraindicado. 0480 CUIDADOS DE LA OSTOMÍA Definición: Asegurar la eliminación a través de un estoma y cuidados de un tejido circundante. Actividades: 0480.01 Instruir al paciente/ ser querido en la utilización del equipo de ostomía. 0480.03 Ayudar al paciente a obtener el equipo necesario. 0480.05 Observar la curación de la incisión/estoma. 272 0000
  • 274.
    0480.06 Vigilar posiblescomplicaciones postoperatorias, como la obstruc- ción intestinal, el íleo paralítico, fisura de la anastomosis o la separación de la mucosa cutánea. 0480.07 Vigilar la curación del estoma/tejido circundante y la adaptación al equipo de ostomía. 0480.10 Ayudar al paciente a practicar los autocuidados. 0480.11 Animar al paciente/ser querido a expresar los sentimientos e inquietudes acerca del cambio de imagen corporal. 0480.13 Ayudar al paciente a planificar en el tiempo la rutina de los cuida- dos. 0480.14 Enseñar al paciente a vigilar la presencia de posibles complica- ciones (rotura mecánica, rotura química, exantema, fugas, deshidrata- ción, infección). 0480.18 Enseñar al paciente a masticar concienzudamente, a evitar ali- mentos que antes le hubiesen causado trastornos digestivos, a añadir un alimento nuevo cada vez y a beber líquidos en abundancia. 0560 EJERCICIO DEL SUELO PÉLVICO Definición: Fortalecimiento y entrenamiento de los músculos elevador del ano y urogenital mediante la contracción voluntaria y repetida para dismi- nuir la incontinencia por estrés, de urgencia o tipos mezclados de inconti- nencia urinaria. Actividades: 0560.02 Enseñar al paciente a ajustar y luego relajar el anillo muscular de la uretra y el ano, como si intentara evitar orinar o el movimiento intes- tinal. 0560.03 Enseñar al paciente a evitar contraer lo músculos abdominales , músculos glúteos, los que participen en la respiración o estirarse durante la realización de los ejercicios. 0560.06 Enseñar al paciente a realizar ejercicios de contracción muscu- lar, entre 30 y 50 cada día, manteniendo la contracción durante 10 segun- dos cada vez descansando como mínimo 10 segundos entre cada con- tracción. 0560.07 Enseñar al paciente a detener y reiniciar el flujo de orina. 273 0000
  • 275.
    0560.08 Explicar elpaciente que la efectividad de los ejercicios se consi- gue a las 6-12 semanas. 0560.12 Dar instrucciones escritas donde se escriba la intervención y el número de repeticiones recomendadas. 0560.13 Comentar el registro diario de continencia con el paciente para proporcionar seguridad. 0570 ENTRENAMIENTO DE LA VEJIGA URINARIA Definición: Mejoría de la función de la vejiga en aquellas personas afec- tadas de incontinencia de urgencia aumentando la capacidad de la vejiga para mantener la orina y la capacidad del paciente para suprimir la mic- ción. Actividades 0570.04 Ayudar al paciente a identificar pautas de incontinencia. 0570.06 Establecer un intervalo de tiempo inicial para ir al aseo, en fun- ción del esquema de eliminación. 0570.07 Establecer una hora de inicio y finalización para ir al aseo, si no se realiza en 24 horas. 0570.08 Establecer un intervalo de tiempo para ir al aseo no inferior a 1 hora y preferiblemente no inferior a 2 horas. 0570.14 Mantener el intervalo de ir al aseo si se producen tres o menos episodios de incontinencia en 24 horas. 0570.17 Expresar confianza en la posibilidad de mejorar la continencia. 0570.18 Enseñar al paciente a controlar conscientemente la orina hasta la hora programada de ir al aseo. 0570.19 Estudiar el registro diario de continencia con el paciente para darle seguridad. 0580 SONDAJE VESICAL Definición: Inserción de un catéter en la vejiga para le drenaje temporal o permanente de la orina. Actividades: 274 0000
  • 276.
    0580.01 Explicar elprocedimiento y fundamento de la intervención. 0580.02 Reunir el equipo adecuado para la cateterización. 0580.03 Mantener una técnica aséptica estricta. 0580.04 Insertar el catéter urinario en la vejiga, si procede. 0580.05 Utilizar el catéter más pequeño, si procede. 0580.06 Conectar el catéter urinario a la bolsa de drenaje. 0580.07 Fijar el catéter a la piel si procede. 0580.08 Mantener un sistema de drenaje urinario cerrado. 0582.20 Explicar al paciente/familia los signos y síntomas de infección del tracto urinario. 0582 SONDAJE VESICAL INTERMITENTE Definición: Uso periódico de forma regular de un catéter para vaciar la vejiga. Actividades: 0582.01 Realizar una valoración urinaria exhaustiva, centrándose en las causas de la incontinencia (producción urinaria, esquema de eliminación de orina, función cognoscitiva y problemas urinarios anteriores). 0582.02 Enseñar al paciente/familia el propósito, suministros, método y fundamento de la cateterización intermitente. 0582.03 Enseñar al paciente/familia la técnica de cateterización intermi- tente limpia. 0582.20 Explicar al paciente/familia los signos y síntomas de infección del tracto urinario. 0590 MANEJO DE LA ELIMINACIÓN URINARIA Definición:Mantenimiento de un esquema de eliminación ruinaria óptimo. Actividades: 0590.02 Observar si hay signos de retención urinaria. 0590.08 Remitir al médico si se producen signos y síntomas de infección del tracto urinario. 275 0000
  • 277.
    0590.09 Enseñar alpaciente a obtener muestras de orina a mitad de la micción al primer signo y síntoma de infección. 0590.11 Enseñar al paciente a beber un cuarto de litro de líquido con las comidas, entre las comidas y al anochecer. 0600 ENTRENAMIENTO DEL HÁBITO URINARIO Definición: Establecer un esquema predecible de vaciado urinario de la vejiga para evitar la incontinencia en personas con la capacidad cognosci- tiva limitada, que padecen incontinencia de urgencia, de estrés o funcional. Actividades: 0600.01 Llevar un registro de especificación de continencia durante tres días para establecer el esquema de eliminación. 0600.02 Establecer un intervalo de horario inicial para ir al aseo, en fun- ción del esquema de eliminación y de la rutina habitual ( comer, levantar- se y acostarse). 0600.05 Proporcionar intimidad para ir al aseo. 0600.06 Utilizar el poder de la sugestión (hacer correr agua o dar a la cadena del aseo) para ayudar al paciente a eliminar. 0600.07 Evitar dejar al paciente en el aseo más de cinco minutos 0600.08 Reducir el intervalo de ir al aseo en media hora si se producen más de dos episodios de incontinencia en 24 hs. 0600.13 Dar una respuesta o refuerzo positivo ( cinco minutos de conver- sación social) al paciente cuando elimine a la hora programada y no rea- lizar ningún comentario cuando el paciente muestre incontinencia. 0610 CUIDADOS DE LA INCONTINENCIA URINARIA Definición: Ayudar al paciente a fomentar la continencia y mantener la integridad de la piel perineal. Actividades: 0610.01 Identificar las causas de los múltiples factores que producen incontinencia (producción urinaria, esquema de eliminación, función cog- noscitiva, problemas urinarios anteriores, residuo después de la elimina- ción y medicamentos). 276 0000
  • 278.
    0610.03 Explicar laetiología del problema y el fundamento de las acciones. 0610.04 Controlar periódicamente la eliminación urinaria, incluyendo la frecuencia, consistencia, olor, volumen y color. 0610.07 Ayudar a seleccionar la prenda/compresa de incontinencia ade- cuada para el manejo a corto plazo mientras se determina un tratamiento más definitivo. 0610.09 Limpiar la zona dérmica genital a intervalos regulares. 0610.11 Limitar los líquidos durante dos o tres horas antes de irse a la cama, si procede. 0610.14 Enseñar al paciente a beber un mínimo de 1500 cc de líquido al día. 0610.16 Limitar la ingestión de productos irritantes para la vejiga (colas, café, té y chocolate). 0612 CUIDADOS DE LA INCONTINENCIA URINARIA: ENURESIS Definición: Estimulación de la continencia urinaria en niños. Actividades: 0612.02 Entrevistar a los padres para obtener datos acerca del historial de entrenamiento para ir al aseo, esquemas de eliminación, infecciones del tracto urinario y sensibilidad a ciertos alimentos. 0612.03 Determinar la frecuencia, duración y circunstancias de la enuresis. 0612.04 Discutir los métodos eficaces e ineficaces del tratamiento anterior. 0612.07 Comentar las técnicas que se han de utilizar para disminuir la enuresis (luz nocturna, restricción de ingestión de líquidos, programa de uso nocturno del baño y de sistemas de alarmas). 0612.08 Animar al niño a manifestar los sentimientos. 0612.11 Analizar la dinámica psico - social de la enuresis con los padres (esquemas familiares, ruptura familiar, cuestiones de autoestima y carac- terísticas de auto-limitación). 0620 CUIDADOS DE LA RETENCIÓN URINARIA Definición: Ayudar a aliviar la distensión de la vejiga. 277 0000
  • 279.
    Actividades: 0620.01 Realizar unevaluación urinaria exhaustiva centrándose en la incontinencia (producción urinaria, esquema de eliminación urinaria, fun- ción cognoscitiva y problemas urinarios anteriores). 0620.04 Proporcionar intimidad para la eliminación. 0620.07 Proporcionar tiempo suficiente para el vaciado de la vejiga (10 min). 0620.11 Insertar catéter urinario, si procede. 0620.13 Enseñar modos de evitar el estreñimiento o la impactación de heces. 0620.14 Controlar periódicamente la ingesta y la eliminación. 0740 CUIDADOS DEL PACIENTE ENCAMADO Definición: fomento de la comodidad, la seguridad y la prevención de complicaciones en el paciente que no puede levantarse de la cama. Actividades: 0740.01 Explicar las razones del reposo en cama. 0740.02 Colocar al paciente sobre una cama/colchón terapéutico adecuado. 0740.04 Evitar utilizar ropa de cama con textura ásperas. 0740.05 Mantener la ropa de cama limpia, seca y libre de arrugas. 0740.06 Colocar en la cama una base de apoyo para los pies. 0740.07 Utilizar dispositivos en la cama, (p. Ejem. Piel de oveja) que pro- tejan al paciente. 0740.12 Colocar la mesilla de noche al alcance del paciente. 0740.15 Girar al paciente inmovilizado al menos cada dos horas, de acuerdo con un programa especifico. 0740.16 Vigilar el estado de la piel. 0740.19 Realizar ejercicios de margen de movimientos pasivos y/o acti- vos. 0740.21 Ayudar con las actividades de la vida diaria. 0740.23 Observar si se produce estreñimiento. 278 0000
  • 280.
    0740.24 Controlar lafunción urinaria. 0740.99 Enseñar a colocar compresas / dispositivos para proporcionar apoyo escrotal y prevenir el edema. 0762 CUIDADOS DEL PACIENTE ESCAYOLADO: MANTENIMIENTO Definición: cuidados de un paciente escayolado después del secado. Actividades: 0762.02 Inspeccionar la escayola por si hubiera signo de drenaje de las heridas situadas por debajo del yeso. 0762.04 Aplicar plástico a la escayola si esta cerca de la ingle. 0763.05 Instruir al paciente para que no se rasque la piel situada por debajo de la escayola con ningún objeto. 0762.06 Evitar humedecer el yeso. 0762.07 Colocar el yeso sobre almohadas para disminuir la tensión sobre otras partes del cuerpo. 0762.08 Comprobar si hay grietas o roturas de la escayola. 0762.09 Aplicar un soporte de brazo como apoyo, si corresponde. 0762.10 Acolchar los bordes ásperos y las conexiones de tracción del yeso, si procede 0840. CAMBIO DE POSICIÓN Definición: movimiento deliberado del paciente o de una parte corporal para proporcionar el bienestar fisiológico y/o psicológico. Actividades: 0840.01 Colocar sobre un colchón/ cama terapéuticos adecuados. 0840.02 Explicar al paciente que se le va a cambiar de posición si procede. 0840.04 Colocar en la posición terapéutica especificada. 0840.05 Incorporar en el plan de cuidados la posición preferida del paciente para dormir, si no está contraindicado. 0840.12 Realizar los giros según lo indique el estado de la piel. 279 0000
  • 281.
    0840.13 Desarrollar unprograma escrito para el reposicionamiento, si procede. 0840.14 Girar al paciente inmovilizado al menos cada dos horas, según el programa específico, si procede. 0844 CAMBIO DE POSICIÓN: NEUROLÓGICO Definición: Conseguir una alineación corporal óptima y adecuada para el paciente que experimenta o se encuentra en riesgo de padecer una lesión de columna vertebral o irritabilidad vertebral. Actividades: 0844.01 Inmovilizar o apoyar la parte corporal afectada, si procede. 0844.02 Colocar en la posición terapéutica designada. 0844.03 Abstenerse de aplicar presión a la parte corporal afectada. 0844.04 Apoyar la parte corporal afectada. 0844.05 Proporcionar apoyo adecuado para el cuello. 0844.06 Proporcionar un colchón firme. 0844.07 Colocar en una cama de flujo de aire, si fuera posible. 0844.08 Mantener la alineación corporal correcta. 0844.09 Colocar en una posición tal que el cuello y la cabeza estén aline- ados. 0844.11 Girar utilizando para ello la técnica de hacer rodar troncos. 0844.12 Aplicar la ortosis de collarín. 0844.13 Instruir sobre los cuidados a tener en cuenta con la ortosis de collarín, si es el caso. 0844.14 Comprobar la capacidad de autocuidados mientras se utiliza la ortosis de collarín / dispositivo ortopédico. 0844.16 Monitorizar la integridad de la piel por debajo del dispositivo orto- pédico / ortosis de collarín. 0844.17 Instruir acerca de los cuidados del dispositivo ortopédico, si es necesario. 0844.18 Colocar un rodillo de manos debajo de los dedos. 280 0000
  • 282.
    0844.19 Enseñar alpaciente a adoptar una buena postura y a utilizar una buena mecánica corporal mientras realiza cualquier actividad. 0846 CAMBIO DE POSICIÓN: SILLA DE RUEDAS Definición: Colocación de un paciente en una silla de ruedas correcta- mente seleccionada para potenciar la comodidad, promover la integridad de la piel y permitir independencia. Actividades: 0846.01 Seleccionar la silla de ruedas apropiada al paciente: para adulto normal, semirreclinable, totalmente reclinable o de amputación. 0846.02 Seleccionar un cojín hecho a medida según las necesidades del paciente. 0846.14 Observar si existe incapacidad por parte del paciente para man- tener la postura correcta en la silla de ruedas. 0846.16 Facilitar frecuentemente pequeños cambios del peso corporal. 0846.17 Determinar el espacio de tiempo adecuado de permanencia en la silla por parte del paciente, en función de su estado de salud. 0846.18 Enseñar al paciente a trasladarse desde la cama a la silla de rue- das, si es posible. 0846.20 Enseñar al paciente a manejar la silla de ruedas, si procede. 0846.21 Enseñar al paciente ejercicios para aumentar la fuerza de la parte superior del cuerpo, si está indicado. 0910 INMOVILIZACIÓN Definición: estabilización, inmovilización y/o protección de una parte cor- poral lesionada con unos dispositivos de soporte. Actividades: 7680.02 Explicar el motivo del procedimiento. 7680.14 Explicar al paciente cada paso del procedimiento. 7680.25 Instruir al paciente sobre los cuidados posteriores al procedi- miento. 281 0000
  • 283.
    0910.99 Comprobar indicacióny posibles contraindicaciones. 0910.01 Colocar la parte corporal con bolsas de arena u otros dispositi- vos, si procede. 0910.03 Colocar una férula, si se considera oportuno. 0910.04 Colocar un cabestrillo para el reposo de la parte corporal lesionada. 0910.05 Acolchar la parte lesionada para evitar la fricción por parte de otro dispositivo, si es el caso 0910.07 Mover la extremidad lesionada lo menos posible. 0910.09 Comprobar la circulación de la parte corporal afectada. 0910.10 Observar si hay hemorragia en el sitio de la lesión. 0910.11 Vigilar la integridad de la piel que esta debajo del dispositivo de apoyo. 0910.14 Fomentar los ejercicios isométricos, cuando proceda. 0910.15 Enseñar al paciente a observar y cuidar la férula. 0910.98 Realizar un vendaje funcional. 0910.97 Realizar un vendaje compresivo. 0910.96 Realizar un vendaje circular. 0910.95 Realizar un vendaje en espiga. 0910.94 Realizar un vendaje en ocho. 0910.93 Hidratar la piel después de retirar un vendaje. 0960 TRANSPORTE Definición: Traslado de un paciente de un lugar a otro. Actividades: 0960.01 Determinar la cantidad y tipo de asistencia necesarios. 0960.11 Utilizar una silla de ruedas para mover al paciente incapaz de caminar. 0960.16 Acompañar al paciente durante el transporte, si es necesario. 0960.17 Utilizar una ambulancia para el paciente gravemente lesionado. 0960.99 Solicitar una ambulancia. 282 0000
  • 284.
    1030 MANEJO DELOS TRASTORNOS DE LA ALIMENTACIÓN Definición: Prevención y tratamiento de restricciones severas en la dieta, los ejercicios en exceso y purga de alimentos y líquidos. Actividades: 1030.01 Colaborar con otros miembros del equipo de cuidados para des- arrollar un plan de tratamiento; implicar al paciente y/o ser querido, si pro- cede. 1030.05 Enseñar y reforzar los conceptos de buena nutrición con el paciente ( y seres queridos, si procede ). 1030.06 Animar al paciente a discutir preferencias alimentarias. 1030.07 Desarrollar una relación de apoyo con el paciente. 1030.12 Fomentar la autovigilancia por parte del paciente de la ingesta diaria de alimentos y la ganancia/mantenimiento del peso, si procede. 1030.13 Establecer expectativas sobre conductas de alimentos adecua- das, de ingesta comida/líquidos y de cantidad de actividad física. 1030.17 Acompañar al paciente al baño durante los momentos de obser- vación establecidos después de las comidas/tentempiés. 1030.20 Utilizar técnicas de modificación de la conducta para promover conductas que contribuyan a la ganancia de peso y para limitar las con- ductas de pérdida de peso. 1030.24 Limitar la actividad física, si es necesario, para promover la ganancia de peso. 1030.26 Dar la oportunidad de elegir de forma limitada el ejercicio y la ali- mentación, a medida que tiene lugar la ganancia de peso de una manera deseable. 1050 ALIMENTACIÓN Definición: Proporcionar la ingesta nutricional al paciente que no puede alimentarse por sí mismo. Actividades: 1050.01 Identificar la dieta prescrita. 1050.09 Preguntar al paciente sus preferencias en el orden de los alimentos. 283 1000
  • 285.
    1050.10 Establecer losalimentos según lo prefiera el paciente. 1050.12 Colocar la comida en el lado no afectado de la boca, cuando sea el caso. 1050.21 Evitar distraer al paciente durante la deglución. 1050.22 Realizar la alimentación sin prisas/lentamente. 1050.24 Animar a los padres/ familia a que alimenten al paciente. 1052 ALIMENTACIÓN POR BIBERON Definición: Preparación y administración de biberones. Actividades: 1052.02 Calentar la formula a la temperatura ambiente antes de proceder con la alimentación. 1053.04 Colocar al bebe en una posición semi-Fowler durante la alimen- tación. 1053.05 Hacer eructar al bebe frecuentemente en mitad de la toma y des- pués de la alimentación. 1054.12 Controlar la toma de alimento. 1054.14 Vigilar el peso del bebe, cuando procede. 1054.17 Instruir a la madre/padre o cuidador en las técnicas de esteriliza- ción del equipo de alimentación. 1054.18 Instruir a la madre/padre o cuidador acerca de la dilación correc- ta de la formula concentrada. 1054.19 Instruir a la madre/padre sobre el almacenamiento correcto de la formula. 1054.20 Determinar la fuente de agua utilizada para diluir la formula con- centrada o en polvo. 1054.23 Instruir y mostrar a la madre/padre sobre las técnicas de higiene bucal adecuadas a la dentición del bebe que han de utilizarse después de cada alimentación. 1056 ALIMENTACIÓN ENTERAL POR SONDA Definición: Aporte de nutrientes y de agua a través de una sonda gas- trointestinal. 284 1000
  • 286.
    Actividades: 1056.01 Insertar unasonda nasogástrica, nasoduodenal o nasoyeyunal, de acuerdo con el protocolo del centro. 1056.02 Aplicar sustancias de anclaje a la piel, y fijar el tubo de alimenta- ción con esparadrapo. 1056.03 Observar si la colocación de la sonda es correcta inspeccionan- do la cavidad bucal, comprobando si hay residuo gástrico o escuchando durante la inyección y extracción del aire, según el protocolo del centro. 1056.07 Consultar con otro miembro del equipo de cuidados acerca de la selección del tipo y concentración de la alimentación enteral. 1056.08 Elevar la cabecera de la cama durante la alimentación. 1056.11 Al finalizar la alimentación esperar de treinta a sesenta minutos antes de colocar al paciente en posición horizontal. 1056.16 Retrasar la frecuencia de la alimentación por sonda y/o disminuir la concentración para controlar la diarrea. 1056.17 Observar si hay sensación de plenitud, náuseas y vómitos. 1056.18 Comprobar la existencia de residuos cada cuatro a seis horas durante la alimentación continuada y antes de cada alimentación intermi- tente. 1056.21 Cambiar la sonda de alimentación enteral regularmente, según el protocolo del centro. 1056.26 Preparar al paciente para la alimentación por sonda en casa, si procede. 1080 SONDAJE NASOGÁSTRICO Definición: Inserción de una sonda en el tracto gastrointestinal. Actividades: 1080.01 Seleccionar el tipo y tamaño de la sonda nasogástrica que se ha de insertar, considerando el uso y razonamiento de la inserción. 1080.02 Explicar al paciente y a la familia la razón de que se utilice una sonda gastrointestinal. 1080.03 Insertar la sonda de acuerdo con el protocolo del centro. 285 1000
  • 287.
    1080.04 Proporcionar unvaso de agua o cubitos de hielo al paciente para que trague durante la inserción, si procede. 1080.05 Colocar al paciente en decúbito lateral derecho para facilitar el movimiento de la sonda en el duodeno, si es el caso. 1080.07 Comprobar la correcta colocación de la sonda observada si hay signos y síntomas de ubicación traqueal, comprobando el color y/o nivel de pH del aspirado, 1100 MANEJO DE LA NUTRICIÓN Definición: Ayudar a proporcionar una dieta equilibrada de sólidos y líqui- dos. Actividades: 1100.01 Preguntar al paciente si tiene alergia a algún alimento. 1100.02 Determinar las preferencias de comidas del paciente. 1100.04 Fomentar la ingesta de calorías adecuadas al tipo corporal y esti- lo de vida. 1100.06 Fomentar el aumento de ingesta de proteínas, hierro y vitamina C, si es el caso. 1100.10 Asegurarse de que la dieta incluye alimentos ricos en fibra para evitar el estreñimiento. 1100.14 Ajustar la dieta al estilo de vida del paciente, según cada caso. 1100.18 Animar al paciente a que utilice dentaduras de ajuste correcto y/o que obtenga cuidados dentales. 1100.19 Proporcionar información adecuada acerca de necesidades nutri- cionales y modo de satisfacerlas. 1100.21 Determinar la capacidad del paciente para satisfacer las necesi- dades nutricionales. 1120 TERAPIA NUTRICIONAL Definición: Administración de alimentos y líquidos para apoyar los proce- sos metabólicos en un paciente que está malnutrido o con alto riesgo de malnutrición. 286 1000
  • 288.
    Actividades: 1120.01 Controlar losalimentos líquidos ingeridos y calcular la ingesta calórica diaria, si procede. 1120.02 Comprobarla conveniencia de las órdenes dietéticas para cumplir con las necesidades nutricionales diarias, si procede. 1120.04 Determinar las preferencias de comidas del paciente consideran- do las preferencias culturales y religiosas. 1120.05 Determinar la necesidad de alimentación por sonda nasogástri- ca. 1120.07 Animar al paciente a que seleccione alimentos semiblandos si la falta de saliva dificulta la deglución. 1120.11 Proporcionar al paciente alimentos nutritivos, ricos en calorías y proteínas y bebidas que puedan consumirse fácilmente, si procede. 1120.15 Administrar líquidos de hiperalimentación, cuando lo requiera el caso. 1120.25 Explicar al paciente y a la familia la dieta prescrita. 1200 ADMINISTRACIÓN DE NUTRICIÓN PARENTERAL TOTAL (NPT) Definición: Preparación y aporte de nutrientes de forma intravenosa y monitorización de la capacidad de respuesta del paciente. Actividades: 1200.02 Insertar el catéter central intravenoso periférico, según el proto- colo de la institución. 1200.04 Mantener la permeabilidad y vendajes de la vía central, según el protocolo del centro. 1200.06 Comprobar la solución NPT para asegurarse de que se han incluido los nutrientes correctos, según órdenes. 1200.07 Mantener una técnica estéril al preparar y colgar las soluciones NPT. 1200.08 Utilizar una bomba de infusión para el aporte de las soluciones NPT. 1200.12 Controlar ingesta y eliminaciones. 287 1000
  • 289.
    1200.15 Comprobar laglucosa en orina para determinar glucosuria, cuer- pos cetónicos y proteínas. 1200.17 Informar al médico acerca de los signos y síntomas anormales asociados con la NPT y modificar los cuidados correspondientes. 1240 AYUDA PARA GANAR PESO Definición: Facilitar el aumento del peso corporal. Actividades: 1240.02 Pesar al paciente en los periodos establecidos, si procede. 1240.09 Fomentar el aumento de ingesta de calorías. 1240.10 Enseñar a aumentar la ingesta de calorías. 1240.12 Considerar las preferencias alimenticias del paciente, teniendo en cuesta su gusto personal, cultura y religión. 1240.19 Analizar con el paciente y la familia los factores socioeconómicos que contribuyen a una nutrición inadecuada. 1240.22 Enseñar al paciente y a la familia a planificar las comidas, si pro- cede. 1240.23 Enseñar al paciente y a la familia a comprar alimentos de bajo coste y nutritivos, si procede. 1240.25 Registrar el progreso de la ganancia de peso en una hoja y colo- carla en un sitio estratégico. 1260 MANEJO DEL PESO Definición: Facilitar el mantenimiento del peso corporal óptimo y el por- centaje de grasa corporal. Actividades: 1260.01 Tratar con el paciente la relación que hay entre la ingesta de ali- mentos, el ejercicio, la ganancia de peso y la pérdida de peso. 1260.03 Tratar con el paciente los hábitos, costumbres y factores cultura- les y hereditarios que ejercen su influencia sobre el peso. 1260.04 Discutir los riesgos asociados con el hecho de estar por encima o por debajo del peso. 288 1000
  • 290.
    1260.05 Determinar lamotivación del paciente para cambiar los hábitos en la alimentación. 1260.06 Determinar el porcentaje de grasa corporal ideal del paciente. 1260.08 Animar al paciente a escribir metas semanales realistas en cuan- to a ingesta de alimentos y ejercicios y colocarlas en un sitio en el que pueda revisarlas todos los días. 1260.09 Animar al paciente a registrar el peso semanalmente, si procede. 1260.11 Ayudar en el desarrollo de planes de comidas bien equilibradas, coherentes con el nivel de gasto energético. 1280 AYUDA PARA DISMINUIR EL PESO Definición: Facilitar la perdida de peso corporal y / o grasa corporal. Actividades: 1280.01 Determinar el deseo y motivación del paciente para reducir el peso o grasa corporal. 1280.02 Determinar con el paciente la cantidad de pérdida de peso dese- ada. 1280.03 Establecer una meta de pérdida de peso semanal. 1280.08 Fomentar el uso de sistemas de recompensa internos cuando se alcanzan las metas. 1280.09 Establecer un plan realista con el paciente que incluya la dismi- nución de la ingesta de alimentos y el aumento del gasto de energía. 1280.10 Determinar los esquemas de alimentación actuales haciendo que el paciente lleve un diario de lo que come, cuándo y dónde. 1280.12 Fomentar la sustitución de hábitos indeseables por hábitos favo- rables. 1280.19 Desarrollar un plan de comidas diarias con una dieta bien equili- brada, disminución de calorías y de grasas, si procede. 1280.22 Fomentar la asistencia a grupos de apoyo de pérdida de peso. 1280.24 Enseñar a leer etiquetas al comprar alimentos para controlar la cantidad de grasa y calorías de los alimentos obtenidos. 1280.26 Enseñar a seleccionar las comidas, en restaurantes y reuniones 289 1000
  • 291.
    sociales, que seancoherentes con la ingesta nutritiva y calórica planifi- cada. 1320 ACUPRESIÓN Definición: Aplicación de presión firme y sostenida en puntos determina- dos del cuerpo para disminuir el dolor, producir relajación y prevenir o reducir las náuseas. Actividades: 1320.02 Decidir si la acupresión es aplicable para el tratamiento de un paciente particular. 1320.03 Determinar el grado de comodidad psicológica del individuo con el contacto. 1320.06 Determinar el punto(s) de acupresión a estimular, dependiendo del resultado deseado. 1320.07 Explicar al paciente que se va buscar una zona(s) sensible. 1320.08 Animar al paciente a relajarse durante la estimulación. 1320.09 Investigar profundamente con el dedo, pulgar o nudillos un punto sensible a la presión en la ubicación general del punto de acupresión. 1320.10 Observar pistas verbales o gestuales para identificar el punto o ubicación deseados (como la emisión de un «¡ay!» de dolor). 1320.11 Estimular el punto de acupresión presionando con el dedo, pul- gar o nudillos y utilizando el peso del cuerpo para inclinarlo hacia el punto en el que se aplica la presión. 1320.12 Utilizar presión de dedos o muñequeras para aplicar presión en el punto de acupresión seleccionado para tratar la náusea. 1320.13 Aplicar una presión uniforme sobre el tejido muscular hipertónico buscando el dolor hasta que se sienta relajación o se observe la disminu- ción del dolor, normalmente de 15 a 20 segundos. 1320.19 Recomendar la utilización de técnicas de relajación progresivas y! o ejercicios de estiramiento entre tratamientos. 1340 ESTIMULACIÓN CUTÁNEA Definición: Estimulación de la piel y tejidos subyacentes con el objeto de 290 1000
  • 292.
    disminuir signos ysíntomas indeseables como dolor, espasmo muscular o inflamación. Actividades: 1340.02 Seleccionar una estrategia de estimulación cutánea especifica en función de la disponibilidad individual para participar, capacidad de parti- cipar, preferencias, apoyo de seres queridos y contraindicaciones. 1340.03 Seleccionar el tipo de estimulación cutánea más adecuada al paciente y a las condiciones (p. ej., masaje, frío, calor, mentol, vibración o estimulación eléctrica transcutánea nerviosa). 1340.04 Establecer indicaciones, frecuencia y procedimiento respecto de la aplicación. 1340.05 Aplicar la estimulación directamente sobre o alrededor del sitio afectado, según esté indicado. 1340.06 Seleccionar el sitio de estimulación, considerando sitios alterna- tivos cuando la aplicación directa no es posible (p. ej., sitios adyacentes, distales, entre las zonas afectadas y el cerebro). 1340.07 Considerar los puntos de acupresión como sitios de estimulación, si procede. 1340.08 Establecer la duración y frecuencia de la estimulación en función del método elegido. 1340.09 Fomentar el uso de un método de estimulación intermitente, si resulta oportuno. 1340.11 Seleccionar un método o sitio de estimulación alternativo, si no se consigue la alteración de la sensibilidad. 1340.12 Cancelar la estimulación si se produce un aumento del dolor o irritación de la piel. 1340.13 Valorar y registrar la respuesta a la estimulación. 1380 APLICACIÓN DE CALOR O FRIO Definición: Estimulación de la piel y tejidos subcutáneos con calor o frío con el fin de disminuir el dolor, espasmos musculares o inflamación. Actividades: 1380.01 Explicar la utilización del calor o del frío, la razón del tratamiento y la manera en que en que afectará a los síntomas del paciente. 291 1000
  • 293.
    1380.03 Seleccionar unmétodo de estimulación que resulte conveniente y de fácil disponibilidad, como bolsas de plástico herméticas con hielo derre- tido; paquetes de gel congelado; sobres de hielo químico; inmersión en hielo; paños o toallas en frigorífico para enfriarlas; botella de agua calien- te, almohadilla eléctrica; compresas húmedas calientes; inmersión en bañera o en piscina con movimiento de agua; cera de parafina; baño de asiento; bombilla radiante o envoltura de plástico para dar calor. 1380.04 Determinar la disponibilidad y el buen estado de funcionamiento de todos los equipos utilizados en la aplicación de calor o frío . 1380.05 Determinar el estado de la piel e identificar cualquier alteración que requiera un cambio de procedimiento o sea contraindicada la estimu- lación. 1380.07 Envolver el dispositivo de aplicación de calor/frío con un paño de protección, si corresponde. 1380.10 Comprobar la temperatura de la aplicación, especialmente cuan- do se utilice calor. 1380.11 Determinar la duración de la aplicación en función de las res- puestas verbales, de la conducta y los aspectos biológicos de la persona. 1380.13 Aplicar calor/frío directamente en, o cerca de, el sitio afectado, si fuera posible. 1380.14 Inspeccionar el sitio cuidadosamente por si hubiera signos de irri- tación dérmica o daño tísular durante los primeros cinco minutos y luego frecuentemente durante el tratamiento. 1380.20 Instruir acerca de las indicaciones, frecuencia y procedimiento de aplicación. 1400 MANEJO DEL DOLOR Definición: alivio del dolor o disminución del dolor a un nivel de toleran- cia que sea aceptable para el paciente. Actividades: 1400.01 Realizar una valoración exhaustiva del dolor que incluya la loca- lización, características, aparición /duración, frecuencia, calidad, intensi- dad o severidad del dolor y factores desencadenantes. 1400.02 Observar claves no verbales de molestias , especialmente en aquellos que no pueden comunicarse eficazmente. 292 1000
  • 294.
    1400.03 Asegurarse deque el paciente reciba los cuidados analgésicos correspondientes. 1400.06 Determinar el impacto de la experiencia del dolor sobre la calidad de vida (sueño, apetito, actividad, función cognoscitiva, humor, relaciones, trabajo y responsabilidad de roles). 1400.09 Ayudar al paciente y a la familia a obtener y proporcionar apoyo. 1400.12 Proporcionar información acerca del dolor, tales como causas del dolor, el tiempo que durara y las incomodidades que se esperan debido a los procedimientos. 1400.19 Enseñar el uso de técnicas no farmacológicas (retroalimenta- ción, estimulación nerviosa eléctrica transcutánea, hipnosis, relajación, capacidad de imaginación guiada, terapia musical, distracción, terapia de juegos, terapia de actividad, acupresión, aplicación de calor / frío y masa- jes) antes, después y, si fuera posible, durante las actividades dolorosas; antes de que se produzca el dolor o de que aumente; y junto con las otras medidas de alivio del dolor. 1400.20 Colaborar con el paciente, seres queridos y demás cuidadores para seleccionar y desarrollar las medidas no farmacológicas de alivio del dolor, si procede. de la sedación. 1400.29 Fomentar periodos de descanso/sueño adecuados que faciliten el alivio del dolor. 1400.34 Considerar la posibilidad de remitir el paciente, familia y seres queridos a grupos de apoyo y otros recursos asistentes, si procede. 1450 MANEJO DE LAS NÁUSEAS Definición: Prevención y alivio de las náuseas. Actividades: 1450.03 Realizar una valoración completa de las nauseas, incluyendo la frecuencia, la duración, la intensidad y los factores desencadenantes, uti- lizando herramientas como diario de autocuidados, escala analógica visual, escala descriptiva de Duke e Índice de Rodes de náuseas y vómi- tos. 1450.08 Evaluar el impacto de las náuseas sobre la calidad de vida. 293 1000
  • 295.
    1450.09 Identificar factoresque pueden causar o contribuir a las náu- seas. 1450.10 Asegurarse que han administrado antieméticos eficaces para evi- tar las náuseas siempre que haya sido posible (exceptuando en el caso de náuseas relacionadas con el embarazo). 1450.11 Controlar los factores ambientales que pueden provocar náuse- as (por ejemplo malos olores, ruido y estimulación visual desagradable). 1450.17 Enseñar el uso de técnicas no farmacológicas (por ej. biorretroa- limentación, hipnosis, relajación, imaginación simple dirigida, terapia musical, distracción, acupresión) para controlar las náuseas. 1450.20 Fomentar el descanso y el sueño adecuados para facilitar el ali- vio de las náuseas. 1450.26 Pesar al paciente con regularidad. 1480 MASAJE SIMPLE Definición: estimulación de la piel y tejidos subyacentes con diversos gra- dos de presión manual para disminuir el dolor, inducir la relajación y/o mejorar la circulación. Actividades: 1480.01 Determinar contraindicaciones, como disminución de plaquetas, disminución de la integridad de la piel, trombosis venosa profunda e hiper- sensibilidad al contacto. 1480.03 Seleccionar la zona o zonas del cuerpo que han de masajearse. 1480.06 Aplicar calor húmedo antes del masaje o durante el masaje en otras zonas del cuerpo, según se indique. 1480.08 Utilizar una loción cálida, aceite o polvo seco para reducir la fric- ción ( sin loción o polvos en la cabeza o cuero cabelludo), valorando cual- quier sensibilidad o contraindicación. 1480.09 Masajear con movimientos continuos, uniformes y rítmicos. 1480.12 Adaptar la zona del masaje, la técnica y la presión a la percep- ción de alivio del paciente y al propósito del masaje. 1480.16 Evitar masajear sobre zonas con lesión abierta o zonas sensibles de la piel. 294 1000
  • 296.
    1540 ESTIMULACIÓN NERVIOSAELÉCTRICA TRANSCUTÁNEA (TENS) Definición: Estimulación de la piel y tejidos subyacentes por medio de vibración eléctrica controlada de baja tensión mediante electrodos. Actividades: 1540.02 Determinar si la recomendación de la TENS es adecuada. 1540.03 Estudiar la terapia con el médico y obtener la prescripción de la TENS, si corresponde. 1540.04 Seleccionar el sitio de estimulación, considerando sitios alterna- tivos cuando la aplicación directa no sea posible (adyacente, distal o entre las zonas afectadas y el cerebro, y contralateral). 1540.05 Determinar el ámbito terapéutico, la frecuencia y amplitud del pulso. 1540.06 Dar instrucciones verbales y escritas sobre el uso de la TENS. 1540.07 Aplicar los electrodos en la zona de estimulación. 1540.08 Ajustar amplitud, frecuencia y anchura del pulso a los ajustes indicados predeterminados. 1540.09 Mantener la estimulación durante el intervalo predeterminado (continua o intermitente). 1540.10 Enseñar al paciente a controlar el sitio y los ajustes para conse- guir la respuesta deseada en función de la tolerancia individual, si corres- ponde. 1540.14 Evaluar y registrar periódicamente la efectividad de la TENS en la alteración de la sensibilidad al dolor. 1570 MANEJO DEL VÓMITO Definición: Prevención y alivio del vómito. Actividades: 1570.01 Valorar el color, la consistencia, la presencia de sangre, la dura- ción y el alcance de la emesis. 1570.03 Aconsejar que se lleven bolsas de plástico para recoger la emesis. 295 1000
  • 297.
    1570.08 Asegurarse quese han administrado antieméticos eficaces para prevenir el vómito siempre que haya sido posible. 1570.09 Controlar los factores ambientales que pueden evocar el vómito (malos olores, ruido y estimulación visual desagradable). 1570.10 Reducir o eliminar factores personales que desencadenen o aumenten el vómito (ansiedad, miedo y ausencia de conocimiento). 1570.11 Colocar al paciente de forma adecuada para prevenir la aspira- ción. 1570.13 Proporcionar apoyo físico durante el vómito (como por ejemplo ayudar a la persona a inclinarse o sujetarle la cabeza). 1570.16 Utilizar higiene oral para limpiar boca y nariz. 1570.18 Esperar como mínimo 30 minutos después del episodio del vómi- to antes de dar líquidos al paciente (dando por sentado un tracto gastroin- testinal normal y un peristaltismo normal). 1570.20 Aumentar gradualmente la ingesta de líquidos si durante un perí- odo de 30 minutos no se han producido vómitos. 1610 BAÑO Definición: Baño corporal a efectos de relajación, limpieza y curación. Actividades: 1610.01 Ayudar con la ducha de silla, bañera, ducha de pie o baño de asiento, si procede o se desea. 1610.02 Lavar el cabello, si es necesario o se desea. 1610.03 Realizar el baño con el agua a una temperatura agradable. 1610.05 Ayudar con el cuidado perianal, si es necesario. 1610.07 Administrar baños de pies, si es necesario. 1610.09 Aplicar ungüentos y crema hidratante en las zonas de piel seca. 1610.10 Ofrecer lavado de manos después de ir al baño o antes de las comidas. 1610.12 Inspeccionar el estado de la piel durante el baño. 1610.13 Controlar la capacidad funcional durante el baño. 296 1000
  • 298.
    1610.99 Informar alpaciente / familia de la importancia de realizar la higie- ne corporal de forma diaria, poniendo especial cuidado, en los pliegues corporales, genitales y órganos de los sentidos, realizando al final un buen secado de todas las partes. 1641 CUIDADOS DE LOS OIDOS: NIÑO Definición: Prevenir o minimizar las amenazas al oído o la audición. Actividades: 1640.06 Enseñar a los padres a limpiar los oídos del bebe. 1640.07 Enseñar a los padres a vigilar al niño con congestión nasal por si hubiera infección en los oídos. 1640.10 Enseñar a los padres a observar si hay infección de oídos en el bebe. 1640.11 Instruir a los padres sobre la importancia de completar cualquier tratamiento con antibióticos. 1640.13 Comprobar si el cerumen en el canal del oído de su hijo causa dolor o pérdida de audición. 1640.19 Aconsejar a los padres que eviten sumergir los oídos del bebe en agua cuando las sondas estén puestas. 1640.20 Enseñar a los padres a administrar gotas en los oídos, si proce- de. 1640.22 Enseñar a los niños a que no se introduzcan objetos extraños en los oídos. 1642 CUIDADOS DE LOS OIDOS: AUDICIÓN Definición: Prevenir o minimizar las amenazas al oído o la audición. Actividades: 1640.23 Enseñar a controlar y regular la exposición a ruidos de volumen alto. 1640.24 Aconsejar al paciente que use protección de oídos en la exposi- ción a ruidos de alta intensidad. 297 1000
  • 299.
    1640.25 Instruir aladolescente acerca del peligro potencial de la exposi- ción a la música con volumen alto, especialmente con auriculares. 1640.27 Fomentar el uso de tapones de oídos para nadar si el paciente es susceptible a las infecciones de oídos. 1643 CUIDADOS DE LOS OIDOS: LAVADO ÓTICO Definición: Realización de un lavado ótico. Actividades: 5618.08 Explicar el propósito del procedimiento. 1643.99 Proporcionar recomendaciones previas a la prueba, por escrito: Ponerse durante cinco días dos instilaciones de agua oxigenada rebaja- da al 50%. 1640.14 Instilar aceite mineral en el oído para ablandar el cerumen impac- tado antes de la irrigación. 7680.25 Instruir al paciente sobre los cuidados posteriores al procedi- miento. ( Si molestias acudir al médico y no mojar el oído durante 3 o 4 días) 7680.26 Vigilar al paciente después del procedimiento si se requiere. 1660 CUIDADOS DE LOS PIES Definición: limpieza e inspección de los pies con el objetivo de seguir la relajación, limpieza y salud en la piel. Actividades: 1660.01 Inspeccionar si hay irritación, grietas, lesiones, callosidades, deformidades o edema en los pies. 1660.02 Inspeccionar los zapatos del paciente para ver si calza correcta- mente. 1660.04 Secar cuidadosamente los espacios interdigitales. 1660.06 Limpiar las uñas. 1660.09 Instruir al paciente / familia en la importancia del cuidado de los pies. 298 1000
  • 300.
    1660.13 Enseñar alpaciente a que inspeccione el interior de los zapatos por si hay zonas ásperas. 1660.14 Comprobar el nivel de hidratación de los pies. 1660.19 Cortar las uñas de los pies de grosor normal cuando están blan- das, con un cortaúñas y utilizando la curva del dedo como guía. 1660.20 Remitir al podólogo para el corte de las mas gruesas, si procede. 1660.98 Instuir al paciente / familia en la importancia de la higiene, seca- do e hidratación de los pies. 1660.99 Instuir al paciente / familia en la importancia de la limpieza y corte de las uñas de los pies en línea recta. 1650 CUIDADOS DE LOS OJOS Definición: Prevenir o minimizar las posibles aresiones a los ojos o la integridad visual. Actividades: 1650.01 Observar si hay enrojecimiento, exudación o ulceración. 1650.02 Informar al paciente de que no se toque los ojos. 1650.06 Tapar los ojos con parches, si es necesario. 1650.08 Aplicar gotas lubricantes o si procede. 1650.10 Bajar el párpado y fijar con esparadrapo, cuando esté indicado. 1650.99 Realizar lavado de arrastre con suero fisiológico, si procede 1650.98 Aplicar gotas de fluoresceina 1680 CUIDADO DE LAS UÑAS Definición: fomentar el aspecto de las uñas y prevenir la aparición de lesiones en la piel relacionadas con un cuidado inadecuado de las uñas. Actividades: 1680.01 Controlar o ayudar en la limpieza de las uñas, de acuerdo con la capacidad de autocuidado del paciente. 299 1000
  • 301.
    1680.02 Controlar oayudar a cortar las uñas, de acuerdo con la capaci- dad de autocuidado del paciente. 1680.03 Mojar las uñas en agua caliente, jabonosa y empujar las cutícu- las hacia atrás con la ayuda de una herramienta para cutículas. 1680.04 Humedecer la zona alrededor de las uñas para evitar sequedad. 1680.05 Observar si se produce algún cambio en las uñas. 1710 MANTENIMIENTO DE LA SALUD BUCAL Definición: Mantenimiento y fomento de la higiene bucal y la salud den- tal en pacientes de riesgo de desarrollar lesiones bucales. Actividades: 1710.02 Aplicar lubricante para humedecer los labios y la mucosa oral, si es necesario. 1710.07 Enseñar y ayudar al paciente a realizar la higiene bucal después de las comidas y lo más a menudo que sea necesario. 1710.08 Observar si hay signos y síntomas de glositis y estomatitis. 1710.12 Establecer chequeos dentales, si es necesario. 1710.13 Ayudar con los cuidados de la dentadura postiza , si procede. 1710.99 Aconsejar el abandono del tabaco para mejorar la salud. 1720 FOMENTAR LA SALUD BUCAL Definición: Fomentar la higiene bucal y el cuidado dental en un paciente con salud bucal y dental normal. Actividades: 1720.01 Explicar la necesidad del cuidado bucal diario como rutina. 1720.02 Inspeccionar la mucosa bucal regularmente. 1720.03 Aconsejar no fumar ni mascar tabaco. 1720.04 Fomentar las revisiones dentales regulares. 1720.05 Enseñar y estimular el uso del hilo dental. 300 1000
  • 302.
    1720.08 Extraer, limpiary volver a colocar la dentadura postiza, si es necesario. 1720.09 Aplicar lubricante para humedecer los labios y la mucosidad bucal, si es necesario. 1720.97 Evitar las golosinas con azúcar. 1720.98 Evitar la administración con biberón de zumos o bebidas azuca- radas. 1720.99 Enseñar el cepillado, uso del hilo dental y el enjuague de la boca, de acuerdo con la capacidad de autocuidados del paciente. 1730 RESTABLECIMIENTO DE LA SALUD BUCAL Definición: Fomento de la curación de un paciente que tiene una lesión dental o de la mucosa bucal. Actividades: 1730.01 Extraer las dentaduras postizas en caso de estomatitis grave. 1730.02 Utilizar un cepillo de dientes suave para la extracción de restos alimenticios. 1730.03 Utilizar bastoncillos de limpieza dental o tapones de espuma des- echables para estimular las encías y limpiar la cavidad bucal. 1730.05 Fomentar enjuagues frecuentes de la boca con cualquiera de las siguientes sustancias: solución de bicarbonato de sodio, solución salina normal o solución de peróxido de hidrógeno. 1730.06 Desalentar del consumo de tabaco y alcohol. 1730.11 Aconsejar al paciente que informe inmediatamente al médico sobre cualquier signo de infección. 1730.13 Enseñar y ayudar al paciente a realizar la higiene bucal después de las comidas y lo más a menudo que sea necesario. 1730.17 Observar si hay signos y síntomas de glositis y estomatitis. 1730.18 Consultar con el médico si los signos y síntomas de glositis y estomatitis persisten o empeoran. 1730.19 Planificar comidas de poca cantidad, frecuentes; seleccionar ali- mentos suaves, y servir los alimentos a temperatura ambiente o fríos. 1730.20 Evitar el uso de limónglicerina para limpiar la lesión. 301 1000
  • 303.
    1750 CUIDADOS PERINEALES Definición:Manenimiento de la integridad de la piel perineal y alivio de las molestias perineales. Actividades: 1750.01 Ayudar con la higiene perineal. 1750.02 Recomendar mantener el perineo seco. 1750.06 Instruir al paciente acerca de la razón y utilización de los baños de asiento. 1750.99 Enseñar a colocar compresas / dispositivos para proporcionar apoyo escrotal y prevenir el edema. 1780 CUIDADO DE UNA PROTESIS Definición: cuidado de un dispositivo extraíble usado por un paciente y prevención de complicaciones asociadas con su utilización. Actividades: 1780.01 Supervisar el uso inicial y los cuidados del dispositivo. 1780.02 Inspeccionar el tejido circundante por si hubiera signos y sínto- mas de complicaciones. 1780.03 Determinar el potencial de alteraciones en la imagen corporal. 1780.04 Determinar las molestias de la vestimenta requerida. 1780.06 Enseñar al paciente y a la familia a cuidar y colocar el dispositivo. 1780.07 Guardar y proteger el dispositivo de una manera segura cuando no se use. 1800 AYUDA AL AUTOCUIDADO Definición: ayudar a otra persona a realizar las actividades de la vida dia- ria. Actividades: 1800.01 Comprobar la capacidad para ejercer autocuidados independien- tes. 302 1000
  • 304.
    1800.04 Proporcionar ayudahasta que el paciente sea totalmente capaz de asumir los autocuidados. 1800.05 Ayudar al paciente a aceptar las necesidades de dependencia. 1800.09 Enseñar a los padres/ familia a fomentar la independencia para intervenir solamente cuando el paciente no pueda realizar la acción dada. 1800.10 Establecer una rutina de actividades de autocuidados. 1800.11 Considerar la edad del paciente al promover las actividades de autocuidado. 1801 AYUDA EN LOS AUTOCUIDADOS: BAÑO/HIGIENE Definición: Ayudar al paciente a realizar la higiene personal. Actividades: 1801.01 Colocar toallas, jabón, desodorante, equipo de afeitadoy demás accesorios necesarios a pie de cama/en el baño. 1801.03 Facilitar que el paciente se cepille los dientes, si es el caso. 1801.04 Facilitar que el paciente se bañe el mismo, si procede. 1801.05 Comprobar la limpieza de uñas, según la capacidad de autocui- dados del paciente. 1801.06 Facilitar el mantenimiento de las rutinas del paciente a la hora de irse a la cama, indicios de presueño y objetos familiares (para los niños su manta/juguete favorito, ser merecidos, chupete o cuento;para los adul- tos leer un libro o disponer de una almohada de su casa), si procede. 1801.07 Fomentar la participación de los padres/familia en los rituales habituales a la hora de irse a la cama, si es el caso. 1801.08 Proporcionar ayuda hasta que el paciente sea totalmente capaz de asumir los autocuidados. 1804 AYUDA CON LOS AUTOCUIDADOS: ASEO Definición: Ayuda a otra personas en las eliminaciones. Actividades (efectuarlas o enseñar a la familia): 1804.01 Quitar la ropa esencial para permitir la eliminación. 303 1000
  • 305.
    1804.02 Ayudar alpaciente en el aseo /cuña/cuña de fractura/ orinal a intervalos especificados. 1804.03 Considerar la respuesta del paciente a la falta de intimidad. 1804.04 Disponer intimidad durante la eliminación. 1804.05 Facilitar le higiene de aseo después de terminar con la elimina- ción. 1804.06 Cambiar la ropa del paciente después de la eliminación. 1804.08 Instaurar un programa de aseo, si procede. 1804.09 Enseñar al paciente /otras personas significativas la rutina del aseo. 1804.10 Instaurar idas al baño, si procede y es necesario. 1805 AYUDA CON LOS AUTOCUIDADOS: AIVD Definición: Ayudar y enseñar a una persona a realizar actividades instru- mentales de la vida diaria(AIVD) necesarias para funcionar en el hogar o la comunidad Actividades (efectuarlas o enseñar a la familia): 1805.01 Determinar las necesidades de ayuda del individuo con las acti- vidades instrumentales de la vida diaria 1805.02 Determinar las necesidades de cambios relacionados con la seguridad en el hogar 1805.04 Proporcionar maneras de contactar con gente que suministre ayude y apoyo 1805.06 Proporcionar técnicas que fomenten las capacidades cogniti- vas 1805.13 Comprobar la presencia de equipo de seguridad en el hogar 1805.16 Ayudar al individuo a establecer métodos y rutinas para cocinar, limpiar y comprar. 1805.17 Enseñar al individuo y al cuidador lo que deben hacer en caso de que el individuo sufra una caída o cualquier otra lesión 1805.18 Determinar si la capacidad física o cognitiva es estable o dismi- nuye y si responde a los cambios realizados. 304 1000
  • 306.
    1850 MEJORAR ELSUEÑO Definición: Facilitar ciclos regulares de sueño/vigilia. Actividades: 1850.01 Determinar el esquema de sueño/vigilia del paciente. 1850.04 Determinar los efectos que tiene la medicación del paciente en el esquema del sueño. 1850.06 Comprobar el esquema de sueño del paciente y observar las cir- cunstancias físicas (apnea del sueño, vías aéreas obstruidas, dolor /molestias y frecuencia urinaria) y / o psicológicas (miedo o ansiedad) que interrumpen el sueño. 1850.08 Ajustar el ambiente (luz, ruido, temperatura, colchón y cama) para favorecer el sueño. 1850.09 Animar al paciente a que establezca una rutina a la hora de irse a la cama para facilitar la transición del estado de vigilia al de sueño. 1850.11 Ayudar a eliminar las situaciones estresantes antes de irse a la cama. 1850.12 Controlar la ingesta de alimentación y bebidas a la hora de irse a la cama para determinar los productos que faciliten o entorpezcan el sueño. 1850.14 Ayudar al paciente a limitar el sueño durante el día disponiendo una actividad que favorezca la vigilia, si procede. 1850.15 Enseñar al paciente a realizar una relajación muscular autogéni- ca u otras formas no farmacológicas de inducción del sueño. 1850.16 Disponer/llevar a cabo medidas agradables: masaje inductor del sueño, colocación y contacto afectuoso. 1850.24 Comentar con el paciente y la familia medidas de comodidad, técnicas para favorecer el sueño y cambios en el estilo de vida que con- tribuyan a un sueño óptimo. 1850.23 Identificar las medicaciones que el paciente está tomando para el sueño. 1850.25 Regular los estímulos del ambiente para mantener los ciclos día- noche normales 305 1000
  • 307.
    1860 TERAPIA DEDEGLUCIÓN Definición: Facilitar la deglución y prevenir complicaciones de una deglu- ción defectuosa. Actividades: 1860.02 Determinar la capacidad del paciente para centrar su atención en el aprendizaje/realización de las tareas de ingesta y deglución. 1860.06 Explicar el fundamento del régimen de deglución al paciente/familia. 1860.10 Ayudar al paciente a sentarse en una posición erecta (lo más posible de los 90º) para la alimentación/ejercicio. 1860.11 Ayudar al paciente a colocar la cabeza flexionada hacia delante, en preparación para la deglución (barbilla metida). 1860.13 Proporcionar un chupachús al paciente para que succione y así fomentar la fortaleza de la lengua, si no existe contraindicación. 1860.15 Ayudar a mantener una posición sentada durante 30 minutos después de terminar de comer. 1860.99 Utilizar espesantes en los líquidos. 1860.18 Ayudar al paciente a colocar la comida en la parte posterior de la boca y en el lado no afectado. 1860.27 Enseñar a la familia/cuidador a cambiar de posición, alimentar y vigilar al paciente. 1860.29 Enseñar a la familia/cuidador las medidas de emergencia para los ahogos. 1860.30 Enseñar a la familia/cuidador a comprobar si han quedado restos de comidas después de comer. 1860.38 Vigilar la hidratación corporal (ingesta, salida, turgencia de la piel y membranas mucosas). 1860.39 Proporcionar cuidados bucales, si es necesario. 1874 CUIDADOS DE LA SONDA NASOGÁSTRICA Definición: Actuación ante un paciente con una sonda gastrointestinal. 306 1000
  • 308.
    Actividades: 1874.01 Observar lacorrecta colocación del tubo, siguiendo el protocolo del centro. 1874.04 Fijar el tubo a la parte corporal correspondiente teniendo en cuenta la comodidad e integridad de la piel del paciente. 1874.07 Auscultar periódicamente los sonidos intestinales. 1874.08 Observar si se produce diarrea. 1874.10 Observar periódicamente la cantidad, color y consistencia del contenido nasogástrico. 1874.12 Proporcionar cuidados de nariz y boca de tres a cuatro veces al día o cuando sea necesario. 1874.15 Enseñar al paciente y a la familia los cuidados del tubo, si procede. 1874.16 Proporcionar cuidados de la piel alrededor de la zona de inser- ción del tubo. 1876 CUIDADOS DE LA SONDA VESICAL Definición: Actuación ante un paciente con un equipo de drenaje urinario. Actividades: 1876.01 Mantener un sistema de drenaje urinario: 1876.02 Mantener la permeabilidad del sistema de catéter urinario. 1876.04 Limpiar la zona dérmica genital a intervalos regulares. 1876.05 Cambiar el catéter urinario. a intervalos regulares. 1876.08 Anotar las características del líquido drenado. 1876.11 Vaciar el dispositivo de drenaje urinario en los intervalos especi- ficados. 1876.14 Mantener un cuidados de piel meticuloso en pacientes con bolsa de pierna. 2080 MANEJO DE LIQUIDOS / ELECTROLITOS Definición: regular y prevenir las complicaciones derivadas de niveles de líquidos y/o electrolitos alterados. 307 1000
  • 309.
    Actividades: 2080.05 Administrar líquidos,si esta indicado. 2080.06 Favorecer la ingesta oral ( proporcionar líquidos según preferen- cias del paciente, colocarlos a su alcance, proporcionar paja para beber y agua fresca), si resulta oportuno. 2080.07 Reponer líquidos por vía nasogástrica, si esta prescrito, en fun- ción de la eliminación, si procede. 2080.08 Administrar fibra según prescripción, al paciente alimentado por sonda para reducir la perdida de líquidos y electrolitos causada por la dia- rrea. 2080.11 Proporcionar agua libremente con la alimentación por sonda, si resulta oportuno. 2080.16 Llevar un registro preciso de ingesta y eliminación. 2080.17 Observar si hay signos y síntomas de retención de líquidos. 2080.19 Vigilar los signos vitales, si procede. 2080.26 Valorar las mucosas bucales del paciente, la esclerótica y la piel por si hubiera indicios de alteración de líquidos y del equilibrio de electro- litos / sequedad, cianosis e ictericia. 2080.33 Observar si existe perdida de líquidos ( hemorragia, vómitos, diarrea, transpiración y paquipnea). 2120 MANEJO DE LA HIPERGLUCEMIA Definición: Prevenir y tratar los niveles de glucosa en sangre superiores a lo normal. Actividades: 2120.01 Vigilar los niveles de glucosa en sangre, si está indicado. 2120.02 Observar si hay signos y síntomas de hiperglucemia: poliuria, polidipsia, polifagia, debilidad, malestar, letargia, visión borrosa o jaque- cas. 2120.03 Vigilar la presencia de cuerpos cetónicos en orina, según indica- ción. 2120.06 Administrar insulina, según prescripción. 308 2000
  • 310.
    2120.07 Potenciar laingesta oral de líquidos. 2120.12 Consultar con el médico si persisten o empeoran los signos y sín- tomas de hiperglucemia. 2120.15 Identificar las causas posibles de la hiperglucemia. 2120.18 Instruir al paciente y seres queridos en la prevención, reconoci- miento y actuación ante la hiperglucemia. 2120.19 Fomentar el autocontrol de los niveles de glucosa en sangre. 2120.20 Instruir sobre la prueba de cuerpos cetónicos en orina, si resulta oportuno. 2120.23 Instruir al paciente y seres queridos acerca de la actuación con la diabetes durante la enfermedad, incluyendo el uso de insulina y/o anti- diabéticos orales, control de la ingesta de líquidos, reemplazo de los car- bohidratos y cuándo debe solicitarse asistencia sanitaria profesional. 2120.25 Facilitar el seguimiento del régimen de dieta y ejercicios. 2130 MANEJO DE LA HIPOGLUCEMIA Definición: Prevenir y tratar los niveles de glucosa en sangre inferiores a lo normal. Actividades: 2130.02 Determinar signos y síntomas de la hipoglucemia. 2130.03 Vigilar los niveles de glucosa en sangre, si está indicado. 2130.04 Monitorizar si hay signos y síntomas de hipoglucemia (palidez, diaforesis, taquicardia, palpitaciones, hambre, parestesia, temblores, incapacidad de concentración, confusión, habla con mala articulación, conducta irracional o incontrolable, visión borrosa, somnolencia, incapaci- dad para despertarse del sueño o ataques convulsivos) (debilidad, nervio- sismo, ansiedad, irritabilidad, impaciencia, escalofríos, frío, mareos, náu- seas, cefaleas, cansancio, calor, pesadillas, gritos durante el sueño, mala coordinación, cambios de conducta, coma). 2130.05 Administrar carbohidratos simples, si está indicado. 2130.07 Administrar glucagón, si procede. 2130.08 Mantener una vía IV, si procede. 2130.09 Contactar con servicios médicos de urgencia, si es necesario. 309 2000
  • 311.
    2130.10 Administrar glucosaintravenosa, si está indicado. 2130.11 Mantener vías aéreas abiertas, si es el caso. 2130.13 Examinar sucesos anteriores a la hipoglucemia para determinar la posible causa. 2130.14 Proporcionar información sobre la conveniencia del autocontrol de la hipoglucemia. 2130.15 Enseñar al paciente y familia los signos y los síntomas, factores de riesgo y tratamiento de la hipoglucemia. 2130.16 Aconsejar al paciente que disponga de carbohidratos simples en todo momento. 2130.17 Indicar al paciente que debe obtener y llevar identificación médi- ca de emergencia adecuada. 2130.18 Instruir a los seres queridos en la utilización y administración de glucagón, si resulta oportuno. 2130.19 Instruir de las interacciones de la dieta, insulina /agentes orales y ejercicio. 2130.20 Proporcionar ayuda al paciente en la toma de decisiones para evitar la hipoglucemia. 2130.21 Fomentar el autocontrol de los niveles de glucosa en sangre. 2130.25 Informar al paciente del aumento del riesgo y/ o normalización de los niveles de glucosa en sangre tras el ejercicio intensivo. 2300 ADMINISTRACIÓN DE MEDICACIÓN Definición: Preparar, administrar y evaluar la efectividad de los medica- mentos prescritos y de libre dispensación. Actividades: 2300.04 Verificar la receta o la orden de medicación antes de administrar el fármaco. 2300.06 Observar si existen posibles alergias, interacciones y contraindi- caciones respecto de los medicamentos. 2300.07 Tomar nota de las alergias del paciente antes de la administra- ción de cada fármaco y suspender los medicamentos, si procede. 310 2000
  • 312.
    2300.08 Asegurarse deque los hipnóticos, narcóticos y antibióticos son suspendidos u ordenados nuevamente a la fecha de renovación. 2300.14 Ayudar al paciente a tomar la medicación. 2300.15 Administrar la medicación con la técnica y vía adecuadas. 2300.16 Utilizar las órdenes, normas y procedimientos como guía del método adecuado de administración de medicamentos. 2300.17 Instruir al paciente y a la familia acerca de las acciones y los efectos adversos esperados de la medicación. 2300.19 Observar los efectos terapéuticos de la medicación en el pacien- te. 2300.20 Observar si se producen efectos adversos, toxicidad e interac- ciones en el paciente por los medicamentos administrados. 2308 ADMINISTRACIÓN DE MEDICACIÓN: OTICA Definición: Preparación e instilación de medicamentos óticos. Actividades: 2308.03 Determinar el conocimiento del paciente sobre la medicación y la comprensión del paciente acerca del método de administración. 2308.04 Colocar al paciente en decúbito lateral. 2308.05 Poner recto el canal auditivo tirando del pabellón auricular hacia abajo y hacia atrás (niños) o hacia arriba y hacia atrás (adultos). 2308.06 Instilar la medicación sujetando el cuentagotas 1 cm por encima del canal auditivo. 2308.07 Enseñar al paciente que debe permanecer en la misma posición durante 2 o 3 minutos. 2308.09 Enseñar y controlar la técnica de auto-administración según sea conveniente. 2311 ADMINISTRACIÓN DE MEDICACIÓN: INHALACIÓN Definición: Preparación y administración de medicamentos por inhala- ción 311 2000
  • 313.
    Actividades: 2311.03 Determinar elconocimiento de la medicación y la comprensión del paciente del método de administración. 2311.04 Determinar la habilidad del paciente para manipular y administrar la medicación. 2311.05 Ayudar al paciente a utilizar el inhalador según esté prescrito. 2311.06 Enseñar al paciente a utilizar la cámara de aire (espaciador) con el inhalador según sea conveniente. 2311.07 Sacar la tapa del inhalador sujetándolo hacia arriba. 2311.08 Agitar el inhalador. 2311.10 Ayudar al paciente a colocarse el inhalador en la boca o la nariz. 2311.11 Enseñar al paciente a apretar el inhalador para liberar la medica- ción mientras inhala lentamente. 2311.12 Hacer que el paciente aguante la respiración durante 10 segun- dos, según sea conveniente. 2311.13 Enseñar al paciente a repetir los lanzamientos según tenga pres- crito, esperando 1 minuto entre uno y otro. 2311.14 Si se han prescrito dos inhaladores de dosis medidas, enseñar al cliente a esperar entre inhalaciones por protocolo de la institución. 2311.15 Enseñar al paciente a sacar el cartucho de la medicación y a lim- piar el inhalador con agua caliente. 2311.18 Enseñar y controlar la técnica de autoadministración, según sea conveniente. 4490.02 Aconsejar al fumador de forma clara y consistente dejar de fumar. 2311.99 Enseñar al paciente a utilizar el polvo seco. 2311.98 Fomentar el autocontrol de la medicación mediante el uso del peak-flow. 2311.97 Enseñar al paciente la técnica y registro en las gráficas del FEM obtenido con el peak-flow. 2312 ADMINISTRACIÓN DE MEDICACIÓN: INTRADÉRMICA (ID) Definición: Preparación y administración de medicamentos por vía intra- dérmica. 312 2000
  • 314.
    Actividades: 2312.01 Seguir loscinco principios de administración de medicación. 2312.04 Elegir la aguja y la jeringa correctas según el tipo de inyección. 2312.07 Elegir el lugar de inyección adecuado y examinar si en la piel hay contusiones, inflamaciones o edemas, lesiones o decoloración. 2312.08 Utilizar técnicas asépticas. 2312.09 Introducir la aguja en un ángulo de entre 5 y 15 grados. 2312.10 Inyectar la medicación mientras se observa si hay pequeñas ampollas en la superficie de la piel. 2312.12 Marcar el lugar de inyección y examinarlo pasado un intervalo de tiempo adecuado después de la inyección (p. ej., 48-72 horas). 2313 ADMINISTRACIÓN DE MEDICACIÓN: INTRAMUSCULAR (IM) Definición: Preparación y administración de medicamentos por vía intra- muscular. Actividades: 2313.01 Seguir los cinco principios de administración de medicación. 2313.05 Elegir la aguja y la jeringa correctas según la información del paciente y de la medicación. 2313.06 Comprobar posibles incompatibilidades entre fármacos. 2313.09 Elegir el lugar de inyección adecuado y palpar si en la piel hay edemas o masas o si está blanda; evitar zonas con cicatrices, contusio- nes, abrasiones o infecciones. 2313.11 Administrar la inyección utilizando técnicas asépticas y el proto- colo adecuado. 2313.12 Introducir la aguja rápidamente en un ángulo de 90 grados. 2313.13 Aspirar antes de inyectar. 2316 ADMINISTRACIÓN DE MEDICACIÓN: TOPICA Definición: preparación y aplicación de medicamentos en la piel. 313 2000
  • 315.
    Actividades. 2316.02 Tomar notadel historial medico y de alergias del paciente. 2310.03 Determinar el conocimiento de la medicación y la comprensión del paciente del método de administración. 2316.04 Determinar el estado de la piel del paciente en la zona donde se aplicara la medicación. 2316.05 Retirar los restos de medicación y limpiar la piel. 2316.07 Aplicar el fármaco tópico según este prescrito. 2316.08 Aplicar parches transdermicos y medicaciones tópicas en zonas de la piel sin vello, según sea conveniente. 2316.09 Extender la medicación uniformemente sobre la piel. 2316.11 Controlar si se producen efectos locales, sistémicos y adversos de la medicación. 2316.12 Enseñar y controlar la técnica de autoadministración, según sea conveniente. 2317 ADMINISTRACIÓN DE MEDICACIÓN: SUBCUTÁNEA (SC) Definición: Preparación y administración de medicaciones por vía subcu- tánea. Actividades: 2317.01 Seguir los cinco principios de administración de medicación. 2317.06 Elegir la aguja y la jeringa correctas según la información del paciente y de la medicación. 2317.09 Alternar sistemáticamente los lugares de inyección de insulina dentro de una zona anatómica. 2317.10 Valorar si en el lugar de inyección hay edemas o masas o si está blanda; evitar zonas con cicatrices, contusiones, abrasiones o infeccio- nes. 2317.11 Administrar la inyección utilizando técnicas asépticas. 2317.12 Introducir la aguja rápidamente en un ángulo de entre 45 y 90 grados en función del tamaño del paciente. 314 2000
  • 316.
    2317.14 Educar alpaciente, a los miembros de la familiar y a otras perso- nas relevantes en la técnica de la invección. 2380 MANEJO DE LA MEDICACIÓN Definición: Facilitar la utilización segura y efectiva de los medicamentos prescritos y de libre dispensación. Actividades: 2380.01 Determinar los fármacos necesarios y administrar de acuerdo con la prescripción médica y/o el protocolo. 2380.02 Comprobar la capacidad del paciente para automedicarse, si pro- cede. 2380.03 Vigilar la eficacia de la modalidad de administración de la medi- cación. 2380.04 Observar los efectos terapeúticos de la medicación en el paciente. 2380.06 Observar si se producen efectos adversos derivados de los fár- macos. 2380.09 Revisar periódicamente con el paciente y/ola familia los tipos y dosis de medicamentos tomados. 2380.12 Desarrollar estrategias con el paciente para potenciar el cumpli- miento del régimen de medicación prescrito. 2380.13 Determinar el conocimiento del paciente sobre la medicación. 2380.14 Controlar el cumplimiento del régimen de medicación. 2380.15 Enseñar al paciente y /o a la familia el método de administración de los fármacos, si procede. 2380.16 Proporcionar al paciente y /o a los miembros de la familia infor- mación escrita y visual para potenciar la autoadministración de los medi- camentos, según sea necesario. 2380.17 Proporcionar alternativas para la sincronización y modalidad de autoadministración de medicamentos con el propósito de minimizar los efectos en el estilo de vida del paciente. 2380.18 Animar al paciente a realizarse análisis para determinar los efec- tos de la medicación. 315 2000
  • 317.
    2400 ASISTENCIA ENLA ANALGESIA CONTROLADA POR EL PACIENTE (PCA) Definición: Facilitar el control por parte del paciente de la administración y regulación de los analgésicos. Actividades: 2400.04 Asegurarse de que el paciente no es alérgico al analgésico que ha de administrarse. 2400.05 Enseñar al paciente y a la familia a valorar la intensidad, calidad y duración del dolor. 2400.07 Establecer acceso nasogástrico, venoso, subcutáneo o vertebral, si procede. 2400.09 Colaborar con el paciente y a la familia para seleccionar el tipo de dispositivo de infusión controlado, adecuado para el paciente. 2400.10 Enseñar al paciente y a la familia la utilización del dispositivo PCA. 2400.12 Ayudar al paciente o a un miembro de la familia a administrar un bolo adecuado que lleve la dosis del analgésico. 2400.16 Consultar con el paciente, la familia y el médico para ajustar el intervalo de desactivación, la frecuencia basal y la dosis de demanda, de acuerdo con la capacidad de respuesta del paciente. 2400.18 Enseñar al paciente y a la familia la acción y los efectos secun- darios de los analgésicos. 2400.20 Recomendar un régimen intestinal para evitar el estreñimiento. 2400.21 Consultar con los expertos de la unidad del dolor, si el paciente presenta dificultad para controlar el dolor. 2440 MANTENIMIENTO DE DISPOSITIVOS DE ACCESO VENOSO (DAV) Definición: Manejo del paciente con acceso venoso prolongado median- te catéteres perforados o no perforados y los implantados. Actividades: 2440.01 Determinar el tipo de catéter venoso a colocar. 316 2000
  • 318.
    2440.02 Mantener unatécnica aséptica siempre que se manipule el caté- ter venoso. 2440.03 Mantener las precauciones universales. 2440.04 Verificar las órdenes de las soluciones a perfundir, si procede. 2440.07 Cambiar los sistemas vendajes y tapones, de acuerdo con el pro- tocolo del centro. 2440.10 Utilizar agentes fibrinolíticos para permeabilizar catéteres, si pro- cede y de acuerdo con las normas del centro. 2440.13 Controlar periódicamente el estado de líquidos, si procede. 2440.14 Observar si hay signos y síntomas asociados con infección local o sistémica (rojez, tumefacción, sensibilidad, fiebre, malestar). 2440.15 Determinar si el paciente y/o familia entienden el propósito, cui- dados y mantenimiento del DAV. 2440.16 Instruir al paciente y/o la familia en el mantenimiento del disposi- tivo. 2680 MANEJO DE LAS CONVULSIONES Definición: cuidados del paciente durante un ataque convulsivo y duran- te el estado postictal. Actividades: 2680.01 Guiar los movimientos para evitar lesiones. 2680.02 Vigilar la dirección de la cabeza y los ojos durante el ataque. 2680.03 Aflojar la ropa. 2680.04 Permanecer con el paciente durante el ataque. 2680.05 Mantener abierta una vía aérea. 2680.06 Canalizar una vía IV, según corresponda. 2680.07 Aplicar oxígeno, si procede. 2680.09 Vigilar los signos vitales. 2680.11 Registrar la duración del ataque. 2680.15 Administrar los anticonvulsivos prescritos. 317 2000
  • 319.
    2690 PRECAUCIONES CONTRACONVULSIONES Definición: Prevenir o minimizar lesiones potenciales sufridas por un paciente con un transtorno de ataques convulsivos conocido. Actividades: 2690.04 Comprobar el cumplimiento con la toma de medicamentos antie- pilépticos. 2690.07 Explicar al paciente la medicación y sus efectos secundarios. 2690.08 Instruir a la familia/ser querido acerca de los primeros auxilios en caso de ataque convulsivo. 2690.10 Ordenar al paciente que lleve una tarjeta de alerta de medica- mentos. 2690.11 Retirar los objetos potencialmente peligrosos del ambiente. 2690.17 Instruir al paciente acerca de los factores desencadenantes. 2690.98 Tener al alcance una cánula para mantener una vía aérea libre. 2690.99 Tener al alcance canuletas de medicación apropiada (diazepam) por si se precisa. 3140 MANEJO DE LAS VÍAS AÉREAS Definición: asegurar la permeabilidad de la vía aérea. Actividades: 3140.05 Realizar fisioterapia torácica, si está indicado. 3140.06 Eliminar las secreciones fomentando la tos o la succión. 3140.07 Fomentar una respiración lenta y profunda, giros y tos. 3140.08 Utilizar técnicas divertidas para estimular la respiración profunda en los niños (hacer burbujas, soplar un silbato, armónica, globos; hacer un concurso soplando pelotas de pimpón, plumas, etc.) 3140.09 Enseñar a toser de manera eficaz. 3140.14 Enseñar al paciente a utilizar los inhaladores prescritos, si es el caso. 3140.15 Administrar tratamiento con aerosoles, si está indicado. 318 2000
  • 320.
    3140.16 Administrar tratamientoscon nebulizador ultrasónico, si procede. 3140.17 Administrar aire u oxígeno humidificados, si procede. 3140.18 Regular la ingesta de líquidos para optimizar el equilibrio de líqui- dos. 3140.19 Colocar al paciente en posición tal que se alivie la disnea. 3140.20 Vigilar el estado respiratorio y de oxigenación, si procede. 3160 ASPIRACIÓN DE LAS VÍAS AÉREAS Definición: extracción de secreciones de las vías aéreas mediante la introducción de un catéter de aspiración en la vía aérea oral y/o la traquea del paciente. Actividades: 3160.01 Determinar la necesidad de la aspiración oral y/o traqueal. 3160.02 Auscultar los sonidos respiratorios antes y después de la aspira- ción. 3160.03 Informar al paciente y a la familia sobre la aspiración. 3160.04 Aspirar la nasofaríngea con una jeringa de ampolla o tirador o dispositivo de aspiración, si procede. 3160.06 Disponer precauciones universales; guantes, gafas y máscara, si es el caso. 3160.11 Utilizar equipo desechable estéril para cada procedimiento de aspiración traqueal. 3160.13 Enseñar al paciente a respirar lenta y profundamente durante la inserción del catéter de aspiración por ruta nasotraqueal. 3160.25 Enseñar al paciente y/o a la familia a succionar la vía aérea, si resulta adecuado. 4490.02 Aconsejar al fumador de forma clara y consistente dejar de fumar. 3210 MANEJO DEL ASMA Definición: Identificación, tratamiento y prevención de las reacciones inflamatorias de las vías aéreas. 319 3000
  • 321.
    Actividades: 3210.01 Determinar losdatos basales del estado respiratorio del pacien- te para utilizar como punto comparativo. 3210.04 Obtener mediciones de espirometría (FEV1, FVC, relación FEV1/FVC) antes y después del uso de un broncodilatador de corta dura- ción. 3210.05 Controlar el índice de flujo espiratorio máximo (peek-flow), si pro- cede. 3210.06 Enseñar al paciente el uso del medidor de peek-flow en casa. 3210.08 Determinar la comprensión de la enfermedad y del tratamiento por parte del cliente/ familia. 3210.09 Enseñar al cliente/familia las medicaciones antiinflamatorias y broncodilatadoras y su uso adecuado. 3210.10 Enseñar técnicas adecuadas para el uso de la medicación y del equipo (p. ej., inhalador, nebulizador, medidor de flujo máximo). 3210.13 Identificar desencadenantes conocidos y la reacción habitual. 3210.16 Ayudar a reconocer signos/síntomas inminentes de las crisis asmáticas y a implantar medidas de respuesta adecuadas. 3210.24 Enseñar técnicas de respiración/ relajación. 3210.29 Establecer un programa regular de seguimiento. 3230 FISIOTERAPIA RESPIRATORIA Definición: Ayudar al paciente a expulsar las secreciones de la vía aérea alta y facilitar la expectoración y / o aspiración de la vía aérea baja. Actividades: 3230.01 Determinar si existen contraindicaciones al uso de la fisioterapia respiratoria. 3230.02 Determinar el(los) segmento(s) pulmonar(es) que necesita ser drenado. 3230.03 Colocar al paciente con el segmento pulmonar que ha de drenar- se en la posición más alta. 3230.04 Utilizar almohadas para que el paciente se apoye en la posición determinada. 320 3000
  • 322.
    3230.05 Practicar percusióncon drenaje postural juntando las manos y golpeando la pared torácica en rápida sucesión para producir una serie de sonidos huecos. 3230.06 Practicar vibración torácica junto con el drenaje postural, si resul- ta oportuno. 3230.12 Estimular la tos durante y después del drenaje postural. 3250 MEJORANDO LA TOS Definición: fomento de la inhalación profunda en el paciente con la consiguiente generación de altas presiones intratorácicas y compren- sión del parénquima pulmonar subyacente para la expulsión forzada de aire. Actividades: 3250.01 Vigilar los resultados de pruebas de función pulmonar, especial- mente la capacidad vital, fuerza inspiratoria máxima, volumen respiratorio forzado en un segundo (FEV1) y FEV1 / FVC, si procede. 3250.02 Ayudar al paciente a sentarse con la cabeza ligeramente flexio- nada, los hombros relajados y las rodillas flexionadas. 3250.03 Animar al paciente a que realice varias respiraciones profundas. 3250.04 Animar al paciente a que realice una respiración profunda, la man- tenga durante dos segundos y tosa dos o tres veces de forma sucesiva. 3250.05 Ordenar al paciente a que inspire profundamente, se incline lige- ramente hacia delante y realice tres o cuatro soplidos (contra la glotis abierta). 3250.06 Enseñar al paciente a que inspire profundamente varias veces, expire lentamente y a que tosa al final de la exhalación. 3250.99 Fomentar la hidratación a través de la administración de líquidos, si procede. 4490.02 Aconsejar al fumador de forma clara y consistente dejar de fumar. 3320 OXIGENOTERAPIA Definición: administración de oxígeno y control de su eficacia. 321 3000
  • 323.
    Actividades: 3320.01 Eliminar lassecreciones bucales, nasales y traqueales, si procede. 3320.02 Restringir el fumar. 3320.06 Vigilar el flujo de litro de oxígeno. 3320.08 Instruir al paciente acerca de la importancia de dejar el dispositi- vo de aporte de oxígeno encendido. 3320.10 Controlar la eficacia de la oxigenoterapia (pulsioxímetro, gaso- metría de sangre arterial), si procede. 3320.17 Observar la ansiedad del paciente relacionadas con la necesidad de la terapia de oxígeno. 3320.18 Observar si se producen roturas de la piel por la fricción del dis- positivo de oxigeno. 3320.99 Valorar los conocimientos el paciente sobre el mantenimiento y uso del equipo en el domicilio. mantenimiento, uso 3320.98 Valorar las rupturas de la piel por fricción del dispositivo y el sis- tema de fijación, 3320.97 Recomendar al paciente que cambie de forma sistemática el cir- cuito de goma del equipo. 3320.96 Recomendar al paciente que coloque en su domicilio el disposi- tivo en una estancia ventilada a más de 1,5 m de una fuente de calor o aparatos eléctricos. 3320.23 Disponer el uso de dispositivos de oxigeno que faciliten la movi- lidad y enseñar al paciente en consecuencia. 4490.02 Aconsejar al fumador de forma clara y consistente dejar de fumar. 3350 MONITORIZACIÓN RESPIRATORIA, ESPIROMETRIA Y PULSIO- XIMETRIA Definición: Reunión y análisis de datos de un paciente para asegurar la permeabilidad de las vías aéreas y el intercambio de gas adecuado. Actividades: 3350.01 Vigilar la frecuencia, ritmo, profundidad y esfuerzo de las respira- ciones. 322 3000
  • 324.
    3350.03 Observar sise producen respiraciones ruidosas, como cacareos o ronquidos. 3350.05 Palpar para ver si la expansión pulmonar es igual. 3350.08 Observar si hay fatiga muscular diafragmática(movimiento para- dojico). 3350.12 Vigilar los valores PFT, sobre todo la capacidad vital, fuerza res- piratoria máxima, volumen respiratorio forzado en un segundo (FEV1) y FEV1/ FVC, según disponibilidad. 3350.16 Comprobar la capacidad del paciente para toser eficazmente. 3350.18 Vigilar las secreciones respiratorias del paciente. 3350.19 Observar si hay disnea y sucesos que la mejoran y empeoran. 3350.21 Observar si se producen crepitantes, si es el caso. 4490.02 Aconsejar al fumador de forma clara y consistente dejar de fumar. 3350.96 Comprobar indicación y posibles contraindicaciones de la espiro- metría. 3350.97 Proporcionar recomendaciones previas a la espirometría, por escrito: No fumar 3 o 4 horas antes, suprimir el café 1 hora antes, suspen- der medicación si procede y evitar el ejercicio vigoroso al menos en los 30 minutos anteriores. 3350.98 Explicar la espirometría al paciente para conseguir la máxima colaboración y comprensión del mismo. 3350.99 Realizar pulsioximetría si procede. 3440 CUIDADO DEL SITIO DE INCISIÓN Definición: Limpieza, seguimiento y fomento de la curación de una heri- da cerra mediante sutura, clips o grapas. Actividades: 3440.02 Inspeccionar el sitio de incisión por si hubiera enrojecimiento, inflamación o signos de dehiscencia o evisceración. 3440.99 Limpiar la zona que rodea la incisión con una solución de polivi- dona iodada. 3440.98 Limpiar la zona que rodea la incisión con una solución jabonosa. 323 3000
  • 325.
    3440.97 Limpiar lazona que rodea la incisión con clorhexidina. 3440.96 Limpiar la zona afectada con una solución salina a presión. 3440.11 Aplicar bandas o tiras de cierre estériles. 3440.95 Aplicar puntos de sutura o grapas. 3440.06 Limpiar desde la zona más limpia hacia la zona menos limpia. 3440.07 Observar si hay signos y síntomas de infección en la incisión. 3440.13 Retirar las suturas, grapas o clips, si está indicado. 3440.14 Cambiar el vendaje o apósito a intervalos adecuados. 3440.15 Aplicar un vendaje o apósito adecuado para proteger la incisión. 3440.16 Facilitar la visión de la incisión por parte del paciente. 3440.17 Instruir al paciente acerca de la forma de cuidar la incisión duran- te el baño o la ducha. 3440.19 Enseñar al paciente y/o a la familia a cuidar la incisión, incluyen- do signos y síntomas de infección. 3480 MONITORIZACIÓN DE LAS EXTREMIDADES INFERIORES Definición: Limpieza, seguimiento y fomento de la curación de una heri- da cerra mediante sutura, clips o grapas. Actividades: 3480.01 Examinar si en la piel hay evidencia de poca higiene. 3480.02 Examinar si en las extremidades inferiores hay presencia de edema. 3480.03 Examinar si hay cambios en las uñas de los dedos de los pies (p. ej., espesor, infección fúngica, uñero y evidencia de adornos inadecua- dos). 3480.04 Examinar el color, la temperatura, la hidratación, el crecimiento del vello, la textura y las grietas o las fisuras de la piel. 3480.05 Examinar si entre los dedos de los pies hay maceración, rotura o fisuras. 3480.06 Preguntar si se han observado cambios en los pies y la historia reciente o pasada de úlceras en el pie o amputación. 324 3000
  • 326.
    3480.07 Determinar elestado de movilidad (caminar sin ayuda, caminar con mecanismos de ayuda o no andar/utilizar silla de ruedas). 3480.10 Examinar si en el pie hay evidencias de presión (es decir, presen- cia de enrojecimiento localizado, aumento de la temperatura, ampollas). 3480.11 Preguntar si hay parestesias (entumecimiento, hormigueo o que- mazón). 3480.13 Palpar los pulsos pedios y tibial posterior. 3480.14 Determinar el índice de presión del tobillo, si está indicado. 3480.15 Examinar la presencia de claudicación intermitente, dolor en reposo o dolor nocturno. 3480.17 Controlar el nivel de sensación protectora utilizando monofila- mento de nailon Semmes-Weinstein. 3480.18 Determinar el umbral de percepción de vibración. 3480.20 Obtener reflejos tendinosos profundos (tobillo y rodilla), si está indicado. 3480.21 Observar la marcha y la distribución del peso sobre el pie (obser- var la deambulación y determinar la pauta de uso en los zapatos). 3480.22 Observar el estado de los zapatos y los calcetines (limpios y bien remendados) 3480.23 Observar la adecuación de los zapatos (tacón bajo con una horma del zapato que se adecue a la forma del pie; profundidad adecua- da de la caja del dedo; suelas realizadas con material que amortigüe los golpes; anchura ajustable con lazos y correas; parte superior realizada con materiales transpirables, suaves y flexibles; cambios realizados para trastornos de marcha o de longitud de la pierna, y posibilidades de modi- ficación, si es necesario). 3480.28 Dar información al paciente/familia sobre servicios especializa- dos de cuidados de los pies. 3500 MANEJO DE PRESIONES Definición: Minimizar la presión sobre las partes corporales. Actividades: 3500.04 Colocar al paciente sobre un colchón/cama terapéutica. 325 3000
  • 327.
    3500.11 Observar sihay zonas de enrojecimiento o solución de continui- dad de la piel. 3500.12 Comprobar la movilidad y actividad del paciente. 3500.13 Realizar test de Norton. 3500.14 Utilizar dispositivos adecuados para mantener los talones y pro- minencias óseas libres de presiones continuas. 3500.17 Vigilar el estado nutricional del paciente 3500.18 Observar si hay fuentes de cizallamiento. 3500.97 Enseñar al cuidador a detectar el enrojecimiento de las zonas de presión. 3500.98 Enseñar a masajear los puntos de presión si no hay eritema man- tenido. 3500.99 Enseñar al cuidador principal a realizar los cambios posturales, al menos cada dos horas según plan. 3520 CUIDADOS DE LAS ÚLCERAS POR PRESIÓN Definición: Facilitar la curación de úlceras por presión. Actividades: 3520.01 Medir y describir las características de la úlcera a intervalos regu- lares. 3520.02 Determinar el nivel de formación de úlcera: estadio I a IV. 3520.03 Mantener la úlcera humedecida para favorecer la curación. 3520.04 Limpiar la piel alrededor de la úlcera con jabón suave y agua. 3520.99 Proteger de la humedad la piel circundante de la lesión con apó- sitos hidrocoloides adhesivos protectores. 3520.06 Limpiar la úlcera con la solución no tóxica adecuada, con movi- mientos circulares, desde el centro. 3520.11 Mojar con solución salina, según corresponda. 3520.08 Anotar las características del drenaje. 3660.98 Desbridación quirúrgica de la herida. 3660.97 Desbridación enzimática de la herida: 326 3000
  • 328.
    3660.90 Desbridación autolíticade la herida: 3660.96 Aplicar apósito no adhesivo absorvente:. 3660.95 Aplicar apósito de poliuretano absorvente no adhesivo: 3660.94 Aplicar apósito adhesivo hidrocoloide: 3660.93 Aplicar apósito de gasas hidrófilas y banda adhesiva de espara- drapo. 3660.92 Aplicar pomada o sustancia cicatrizante: 3660.91 Obtener una muestra de exhudado para análisis y cultivo bacte- riano. 3520.13 Aplicar vendajes, si está indicado. 3520.14 Evitar la presión prolongada en otros sitios. 3520.15 Observar si hay signos y síntomas de infección en la herida. 3520.16 Aumentar la ingesta de proteínas para ayudar a reconstruir el teji- do epidérmico, si no existe contraindicación. 3660.22 Enseñar al paciente o miembro de la familia a realizar la cura de la herida. 3540 PREVENCIÓN DE LAS ÚLCERAS POR PRESIÓN Definición: Prevención de la formación de úlceras por presión en un paciente con alto riesgo de desarrollo. Actividades: 3540.03 Vigilar estrechamente cualquier zona enrojecida. 3540.04 Eliminar la humedad excesiva en la piel causada por la transpi- ración, drenaje de heridas y las incontinencias fecal o urinaria. 3540.05 Aplicar barreras de protección como cremas o compresas absor- bentes para eliminar el exceso de humedad, si procede. 3540.06 Girar continuamente cada 1-2 horas, si procede. 3540.11 Colocar al paciente en posición ayudándose con almohadas para elevar los puntos de presión encima del colchón. 3540.12 Mantener la ropa de a cama limpia y seca, sin arrugas. 3540.14 Utilizar camas y colchones antiescaras. 327 3000
  • 329.
    3540.20 Aplicar protectoresen los talones, si procede. 3540.24 Asegurar una nutrición adecuada, especialmente proteínas, vita- minas B y C, hierro y calorías por medio de suplementos, si procede. 3540.25 Enseñar a los miembros de la familia/ cuidador a vigilar si hay signos de ruptura de la piel, si procede. 3590 VIGILANCIA DE LA PIEL Definición: Recogida y análisis de datos del paciente con el propósito de manetener la integridad de la piel y de las membranas mucosas. Actividades: 3590.01 Inspeccionar el estado del sitio de incisión, si procede. 3590.02 Observar su color, calor, pulsos, textura y si hay inflamación, edema y ulceraciones en las extremidades. 3590.03 Observar si hay enrojecimiento, calor extremo o drenaje en la piel y membranas mucosas. 3590.04 Observar si hay enrojecimiento y pérdida de integridad de la piel. 3590.05 Observar si hay fuentes de presión y fricción. 3590.08 Observar si hay erupciones y abrasiones en la piel. 3590.10 Vigilar el color de la piel. 3590.11 Comprobar la temperatura de la piel. 3590.14 Instruir al miembro de la familia/cuidador acerca de los signos de pérdida de integridad de la piel, si procede. 3620 SUTURA Definición: Aproximación de los bordes de una herida mediante material de sutura estéril y una aguja. Actividades: 3620.01 Identificar las alergias a anestésicos, esparadrapo, povidona yodada y/ u otras soluciones tópicas. 3620.03 Remitir las heridas profundas, faciales, articulares o potencial- mente infectadas a un médico. 328 3000
  • 330.
    3620.04 Inmovilizar alniño asustado o al adulto confundido, según proceda. 3620.05 Afeitar el vello de las inmediaciones de la herida. 3620.06 Limpiar la piel circundante con jabón y agua u otra solución anti- séptica suave. 3620.10 Seleccionar un material de sutura del calibre adecuado. 3620.11 Determinar el método de sutura (continuo o interrumpido) más adecuado para la herida. 3620.13 Colocar la aguja siguiendo la línea o curva de la misma aguja. 3620.14 Ajustar la sutura lo suficiente como para que no se doble la piel. 3620.16 Fijar la línea de sutura con nudos ajustados. 3620.17 Limpiar la zona antes de aplicar un antiséptico o vendaje. 3620.18 Aplicar el vendaje, si procede. 3620.19 Enseñar al paciente a cuidar la línea de sutura, incluyendo los signos y síntomas de infección. 3620.20 Explicar al paciente cuándo deben quitarse las suturas. 3620.21 Extraer las suturas, según se indique. 3620.22 Programar la visita posterior, si procede. 3660 CUIDADOS DE LAS HERIDAS Definición: Prevención de complicaciones de las heridas y estimulación de la curación de las mismas. Actividades: 3660.01 Despegar los apósitos y limpiar los restos de la herida. 3660.03 Anotar las características de cualquier drenaje producido. 3660.04 Limpiar con jabón antibacteriano: 3660.05 Limpiar la zona afectada con una solución salina a presión. 3660.11 Masajear la zona alrededor de la herida para estimular la circula- ción. 3660.98 Desbridación quirúrgica de la herida. 3660.97 Desbridación enzimática de la herida: 329 3000
  • 331.
    3660.90 Desbridación autolíticade la herida. 3660.96 Aplicar apósito no adhesivo absorvente. 3660.95 Aplicar apósito de poliuretano absorvente no adhesivo: 3660.94 Aplicar apósito adhesivo hidrocoloide: 3660.93 Aplicar apósito de gasas hidrófilas y banda adhesiva de espara- drapo. 3660.92 Aplicar pomada o sustancia cicatrizante: 3660.91 Obtener una muestra de exhudado para análisis y cultivo bacte- riano. 3660.15 Vendar de forma adecuada. 3660.16 Aplicar un vendaje oclusivo, si procede. 3660.22 Enseñar al paciente o miembro de la familia a realizar la cura de la herida. 3660.89 Instruir al paciente acerca de la forma de cuidar la herida duran- te el baño o la ducha. 3662 CUIDADOS DE LAS HERIDAS: DRENAJE CERRADO Definición: Mantenimiento de un sistema de drenaje de presión negativa en una herida. Actividades: 3662.01 Vaciar el sistema de drenaje de heridas cerradas, de acuerdo con el procedimiento. 3662.02 Registrar el volumen y las características del drenaje a intervalos adecuados. 3662.03 Obtener muestras, si es necesario. 3662.05 Comprobar la permeabilidad de la unidad. 3662.06 Evitar acodar los tubos. 3662.07 Inspeccionar las suturas, manteniendo el dispositivo de recogida en su sitio. 3662.09 Fijar el aparato de drenaje cerrado a las ropas del paciente o de la cama, si procede. 330 3000
  • 332.
    3662.10 Eliminar losvendajes sucios, los suministros y el drenaje de manera adecuada. 3740 TRATAMIENTO DE LA FIEBRE Definición: Actuación ante un paciente con hipertermia causada por fac- tores no ambientales. Actividades: 3740.01 Tomar la temperatura lo más frecuentemente que sea oportuno. 3740.04 Observar el color de la piel y la temperatura. 3740.06 Vigilar los niveles por si hubiera descenso de los niveles de cons- ciencia. 3740.13 Administrar medicación antipirética, si procede. 3740.16 Administrar un baño tibio con una esponja, si procede. 3740.17 Fomentar el aumento de la toma de líquidos orales, si procede. 3740.19 Aplicar bolsas de hielo cubiertas con una toalla en las ingles y las axilas. 3780 TRATAMIENTO DE LA EXPOSICIÓN AL CALOR Definición: Manejo del paciente con golpe de calor debido a una exposi- ción ambiental excesiva de calor. Actividades: 3780.02 Aflojar o quitar la ropa, si procede. 3780.03 Mojar la superficie corporal y ventilar al paciente. 3780.04 Administrar líquidos orales fríos si el paciente puede tragar. 3780.05 Administrar líquidos IV, si procede. 3780.07 Trasladar a un ambiente fresco, si procede. 3780.08 Determinar la causa de la situación como resultante de ejercicios o no ejercicios. 3780.13 Vigilar el nivel de consciencia. 3780.16 Observar si hay hipotensión, disritmias cardíacas y signos de dis- trés respiratorios. 331 3000
  • 333.
    3780.19 Enseñar lasmedidas preventivas para evitar agotamientos por calor y golpes de calor . 3780.20 Instruir acerca de las señales precoces de agotamiento por calor y las acciones correspondientes que hay que tomar. 3900 REGULACIÓN DE LA TEMPERATURA Definición: Consecución y mantenimiento de la temperatura corporal dentro del margen normal. Actividades: 3900.01 Comprobar la temperatura al menos cada dos horas, si procede. 3900.04 Controlar la presión sanguínea, el pulso y la respiración, si pro- cede. 3900.05 Observar el color y la temperatura de la piel. 3900.06 Observar y registrar si hay signos y síntomas de hipotermia e hipertermia. 3900.07 Favorecer una ingesta nutricional y de líquidos adecuada. 3900.14 Enseñar al paciente, especialmente a los pacientes ancianos, acciones encaminadas a evitar la hipotermia por exposición al frío. 3900.15 Explicar los indicios de agotamiento por calor y el tratamiento de urgencia adecuado, si es el caso. 3900.16 Explicar los indicios de hipotermia y el tratamiento de urgencia adecuado, si procede. 3900.18 Ajustar la temperatura ambiental a las necesidades del paciente. 3900.20 Administrar medicamentos antipiréticos, si está indicado. 4020 DISMINUCIÓN DE LA HEMORRAGIA Definición: Limitación del volumen de pérdida de sangre durante un epi- sodio de hemorragia. Actividades: 4020.01 Identificar la causa de la pérdida de sangre. 4020.03 Determinar la cantidad y naturaleza de la pérdida de sangre. 332 3000
  • 334.
    4020.05 Determinar latendencia de la presión sanguínea y parámetros hemodinámicos, si se dispusiera de ellos (presión venosa central y pre- sión pulmonar capilar/arterial de cuña). 4020.09 Instruir al paciente y/o a la familia acerca de los signos de hemo- rragia y sobre las acciones apropiadas (avisar al cuidador), si se produje- ran más hemorragias. 4020.10 Instruir al paciente y a la familia sobre la gravedad de la pérdida de sangre y sobre las acciones adecuadas que han de tomarse. 4020.15 Aplicar presión directa o vendaje de presión, si procede. 4028 DISMINUCIÓN DE LA HEMORRAGIA: HERIDAS Definición: Limitación de la pérdida de sangre de heridas ocasionadas por traumas, incisiones o la colocación de una sonda o catéter. Actividades: 4028.01 Aplicar presión manual sobre la zona hemorrágica o potencial- mente hemorrágica. 4028.02 Aplicar hielo en la zona afectada. 4028.03 Aplicar vendajes de presión en el sitio de la hemorragia. 4028.05 Cambiar o reforzar el vendaje de presión, si procede. 4028.06 Colocar la extremidad afectada en una posición elevada. 4028.07 Vigilar el tamaño y carácter del hematoma, si lo hubiera. 4028.09 Controlar al paciente para que aplique presión al sitio cuando estornude, tosa, etc. 4028.10 Instruir al paciente sobre las restricciones de actividad, si corres- pondiera. 4028.11 Instruir al paciente y/o a la familia sobre los signos de hemorra- gia y las acciones adecuadas a tomar (avisar al cuidador), si se produje- ran más hemorragias. 4030 ADMINISTRACIÓN DE PRODUCTOS SANGUINEOS Definición: Administración de sangre y hemoderivados y monitorizar la respuesta del paciente. 333 4000
  • 335.
    Actividades: 4030.02 Obtener ocomprobar el consentimiento informado del paciente. 4030.03 Verificar que el producto sanguíneo ha sido preparado, clasifica- do y se ha realizado concordancia de cruce (si correspondiera) para el receptor. 4030.04 Enseñar al paciente los signos y síntomas de las reacciones a una transfusión. 4030.05 Conjuntar el sistema de administración con el filtro adecuado al producto sanguíneo y el estado inmune del receptor. 4030.08 Realizar venopuntura, con la técnica adecuada. 4030.11 Controlar signos vitales ( durante y después de la transfusión). 4030.13 Vigilar y regular el ritmo de flujo durante la transfusión 4030.18 Registrar la duración de tiempo de la transfusión . 4030.19 Registrar el volumen transfundido. 4030.21 Coordinar la devolución del contenedor de sangre al laboratorio después de luna reacción sanguínea. 4030.22 En caso de reacción sanguínea notificarlo inmediatamente al laboratorio. 4035 MUESTRA DE SANGRE CAPILAR Definición: Obtención por punción transcutánea de una muestra de san- gre periférica del cuerpo como el talón, un dedo u otro lugar. Actividades: 4035.01 Verificar la identificación correcta del paciente. 4035.02 Minimizar la ansiedad del paciente utilizando procedimientos adecuados a la edad. 4035.03 Mantener precauciones estándar. 4035.04 Elegir el lugar de punción (p. ej., cara inferior externa del talón, lados de los dedos de los pies o manos, lugares alternativos como el ante- brazo). 4035.07 Utilizar técnicas asépticas en la punción. 334 4000
  • 336.
    4035.09 Quitar laprimera gota de sangre con una gasa seca, según las indicaciones del fabricante o el protocolo de la institución. 4035.10 Recoger la sangre de la manera adecuada para la realización de la prueba (p. ej., dejar que una gota de sangre caiga en la zona del papel de filtro especificada para ello por el fabricante, colocar la sangre en tubos por capilaridad). 4035.11 Presionar de manera intermitente en el punto más alejado posi- ble del lugar de punción para favorecer el flujo de la sangre. 4035.14 Etiquetar la muestra, según el protocolo de la institución. 4035.15 Enviar la muestra al laboratorio, según sea necesario. 4035.17 Enseñar y dirigir la autoextracción de muestras de sangre capi- lar, si procede. 4039 ELECTROCARDIOGRAMA Definición: Proporcionar información y ayuda al individuo antes y duran- te la realización del electrocardiograma. Actividades: 5618.08 Explicar el procedimiento / tratamiento. 4039.99 Comprobar indicación y posibles contraindicaciones. 4039.98 Proporcionar recomendaciones previas a la prueba, por escrito: Ducharse el día anterior a la prueba, no traer puestas joyas y venir con ropa cómoda. 4039.97 Colocar al paciente en decúbito supino con el tórax desnudo, los tobillos y muñecas descubiertos y taparlo. 4039.96 Disponer de una camilla deberá ser amplia para que pueda aco- modar los brazos a lo largo del cuerpo. 4039.95 Acondicionar la habitación a una temperatura adecuada . 4039.93 Afeitar las zonas de colocación de los electrodos en el tórax, si procede. 4039.94 Preparar la piel con un gel conductor, agua jabonosa o suero fisiológico. y si el paciente tiene mucho vello en el tórax debe afeitarse. 4039.92 Colocar los cuatro electrodos en los brazos y piernas y los elec- trodos precordiales en el tórax. 335 4000
  • 337.
    4039.91 Recomendar alpaciente que permanezca lo más quieto posible mientras se realiza el electrocardiograma . 4039.90 Anotar en el ECG el nombre del paciente, la fecha y número de historia clínica 4040 CUIDADOS CARDIACOS Definición: Limitación de las complicaciones derivadas de un desequili- brio entre el aporte y la demanda de oxígeno miocárdico en pacientes con síntomas de deterioro de la función cardiaca. Actividades: 4040.01 Evaluar el dolor torácico (intensidad, localización, radiación, duración y factores precipitadores y de alivio. 4040.02 Realizar una valoración exhaustiva de la circulación periférica (comprobar pulso periférico, edema, llenado capilar, color y temperatura de las extremidades) 4040.03 Monitorizar el ritmo y frecuencia cardiaca. 4040.04 Registrar arritmias cardiacas. 4040.06 Observar si hay arritmias cardiacas, incluyendo tanto de ritmo como de conducción. 4040.07 Controlar el estado respiratorio por si se produce insuficiencia cardiaca. 4046 CUIDADOS CARDÍACOS: REHABILITACIÓN Definición: Fomento de un máximo nivel de actividad funcional en un paciente que ha sufrido un episodio de deterioro de la función cardíaca derivada de un desequilibrio entre el aporte y la demanda de oxígeno mio- cárdico. Actividades: 4046.02 Mantener el programa de ambulación, según se tolere. 4046.04 Instruir al paciente y a la familia sobre los fármacos adecuados, tanto prescritos como de libre adquisición. 4046.05 Instruir al paciente y a la familia sobre la modificación de los fac- tores de riesgo cardíacos (dejar de fumar, dieta y ejercicio), si procediera. 336 4000
  • 338.
    4046.06 Instruir alpaciente sobre el cuidado propio del dolor torácico (tomar nitroglicerina sublingual cada 5 minutos tres veces; si el dolor no remite recurrir a cuidados médicos de urgencia). 4046.07 Instruir al paciente y a la familia sobre el régimen de ejercicios, incluyendo el precalentamiento, la resistencia y la relajación, si procede. 4046.08 Instruir al paciente y a la familia sobre las limitaciones para levan- tar/ empujar peso, si procede. 4046.09 Instruir al paciente y a la familia sobre todas las consideraciones especiales correspondientes a las actividades de la vida diaria (aislar las actividades y permitir períodos de reposo), si procede. 4046.10 Instruir al paciente y a la familia sobre el cuidado de las heridas y las debidas precauciones (sitio de incisión del esternón o cateteriza- ción), si procede. 4046.13 Instruir al paciente y a la familia acerca del acceso a los servicios de urgencia disponibles en la comunidad pertinente, cuando proceda. 4062 CUIDADOS CIRCULATORIOS: INSUFICIENCIA ARTERIAL Definición: fomento de la circulación arterial. Actividades: 4062.01 Realizar una valoración global de la circulación periférica ( p. Ejem. Comprobar los pulsos periféricos, edemas, recambio capilar, color y temperatura). 4062.02 Evaluar los edemas y los pulsos periféricos. 4062.03 Examinar si en la piel hay ulcera arteriales o solución de continui- dad del tejido. 4062.07 Cambiar al paciente de posición como mínimo cada 2h., según sea conveniente. 4062.08 Animar al paciente a realizar ejercicio conforme a su tolerancia. 4062.09 Proteger la extremidad de lesiones ( p. Ejem. Suapel debajo de los pies y de la parte inferior de las piernas, estribo/soporte en los pies de la cama; zapatos a medida ). 4062.11 Enseñar al paciente los factores que afectan a la circulación ( p. Ejem. Fumar, utilizar ropas ceñidas, exposición a temperaturas frías y cru- zar las piernas y los pies. 337 4000
  • 339.
    4062.12 Enseñar alpaciente a cuidarse los pies adecuadamente. 4062.13 Evitar la aplicación directa de calor en la extremidad. 4062.14 Mantener una hidratación adecuada para disminuir la viscosidad de la sangre. 4062.15 Controlar el estado de los líquidos, incluyendo la ingesta y la eli- minación. 4062.16 Curar las heridas, según sea conveniente. 4066 CUIDADOS CIRCULATORIOS: INSUFICIENCIA VENOSA Definición: fomento de la circulación venosa. Actividades: 4066.01 Realizar una valoración global de la circulación periférica (p. Ejem. comprobar los pulsos periféricos, edemas, recambio capilar, color y temperatura). 4066.08 Elevar la pierna afectada 20º o más por encima del nivel del cora- zón, según sea conveniente. 4066.09 Cambiar al paciente de posición como mínimo cada 2h., según necesidad. 4066.10 Animar al paciente a realizar ejercicios de series de movimientos pasivos o activos mientras este en cama, en especial de las extremidades inferiores. 4066.12 Proteger la extremidad de lesiones ( p. Ejem. Suapel debajo de los pies y de la parte inferior de las piernas, estribo/soporte en los pies de la cama; zapatos a medida. 4066.13 Enseñar al paciente a cuidarse los pies adecuadamente. 4066.14 Mantener una hidratación adecuada para disminuir la viscosidad de la sangre. 4066.16 Curar las heridas, según sea conveniente. 4070 PRECAUCIONES CIRCULATORIAS Definición: protección de una zona localizada con limitación de la perfu- sión. 338 4000
  • 340.
    Actividades. 4070.01 Realizar unaexhaustiva valoración de la circulación periférica ( comprobar pulsos periféricos, edema, llenado capilar, color y temperatura de la extremidad). 4070.03 Abstenerse de sacar sangre en la extremidad afectada. 4070.04 Abstenerse de aplicar presión o realizar torniquetes en la extre- midad afectada. 4070.05 Mantener una hidratación adecuada para evitar el aumento de viscosidad de la sangre. 4070.06 Evitar lesiones en la zona afectada. 4070.08 Instruir al paciente para que compruebe el agua de baño antes de introducirse en la misma para evitar quemarse la piel. 4070.09 Instruir al paciente acerca del cuidado de uñas y pies. 4070.10 Instruir al paciente y a la familia acerca de la protección contra heridas de la zona afectada. 4070.11 Observar las extremidades para ver si hay color, rojeces, dolor o edema. 4120 MANEJO DE LÍQUIDOS Definición: Mantener el equilibrio de líquidos y prevenir las complicacio- nes derivadas de los niveles de líquidos anormales o deseados. Actividades: 4120.01 Pesar a diario y controlar la evolución. 4120.03 Realizar un registro preciso de ingesta y eliminación. 4120.04 Realizar sondaje vesical, si es preciso. 4120.05 Vigilar el estado de hidratación (membranas mucosas húmedas, pulso adecuado y presión sanguínea ortostática), según sea el caso. 4120.10 Evaluar la ubicación y extensión del edema, si lo hubiera. 4120.11 Controlar ingesta de alimentos/líquidos y calcular la ingesta caló- rica diaria, si procede. 4120.17 Favorecer la ingesta oral (proporcionar una pajita para beber, ofrecer líquidos entre las comidas, cambiar el agua con hielo de forma 339 4000
  • 341.
    rutinaria, preparar poloscon el zumo preferido del paciente, ofrecer gela- tinas y utilizar recipientes pequeños de medicamentos), si procede. 4120.20 Distribuir la ingesta de líquidos en 24 horas, si procede. 4120.21 Animar al ser querido a que ayude al paciente con las comidas, si procede. 4130 MONITORIZACIÓN DE LÍQUIDOS Definición: Recogida y análisis de los datos del paciente para regular el equilibrio de líquidos. Actividades: 4130.01 Determinar la cantidad y tipo de ingesta de líquidos y hábitos de eliminación. 4130.02 Identificar posibles factores de riesgo de desequilibrio de líquidos (p. ej., hipertermia, terapia diurética, patologías renales, insuficiencia car- díaca, diaforesis, disfunción hepática, ejercicio intenso, exposición al calor, infección, estado postoperatorio, poliuria, diarrea) 4130.03 Vigilar el peso. 4130.08 Vigilar presión sanguínea, frecuencia cardiaca y estado de la res- piración. 4130.12 Observar las mucosas, la turgencia de la piel y la sed. 4130.16 Observar si hay signos y síntomas de ascitis. 4130.18 Administrar líquidos, si procede. 4145 HIDRATACIÓN SUBCUTÁNEA Definición: Hidratar al paciente mediante la administración de líquidos por vía subcutánea Actividades: 4145.99 Explicar al paciente y familia la técnica que vamos a realizar. 4145.98 Preparar la perfusión pautada por el médico, adaptando el siste- ma y purgando toda la línea. 4145.97 Aplicar las medidas universales de asepsia. 340 4000
  • 342.
    4145.96 Desinfectar conantiséptico la piel de la zona de incisión, habi- tualmente en abdomen. 4145.95 Insertar palomita del 23G/25G en tejido celular subcutáneo y fijar con apósito trasparente para mejor vigilancia del punto de incisión. 4145.94 Colgar el sistema de goteo a la altura suficiente como para que el líquido pueda entrar por gravedad. 4145.93 Adaptar el sistema, ya purgado, a la conexión de la palomita y regular el ritmo de goteo para que pasen unos 1000 ml en 10-12 horas. 4145.92 Instruir a la familia en la vigilancia de la perfusión, como regular- la y desconectar, y cuando deben avisar: en caso de signos de infección/ inflamación o edema localizado mantenido. 4145.91 Respetar el descanso nocturno, desconectando el sistema y colocando el tapón de la palomita que habremos guardado en sitio limpio. 4145.90 Cambiar la palomita cada 3-4 días o en caso de signos de infla- mación o edema. 4145.89 Cambiar siempre la zona de punción, observando que no haya signos de inflamación o irritación. 4190 PUNCIÓN INTRAVENOSA (IV) Definición: Inserción de una aguja en una vena periférica al efecto de administrar líquidos, sangre o fármacos. Actividades: 4190.01 Verificar la orden de la terapia IV. 4190.02 Instruir al paciente acerca del procedimiento. 4190.03 Realizar una técnica aséptica estricta. 4190.04 Identificar si el paciente es alérgico a algún medicamento, el yodo o el esparadrapo. 4190.05 Identificar si el paciente tiene problemas de coagulación o está tomando algún fármaco que pudiera afectar a la coagulación. 4190.09 Seleccionar una vena apropiada para la venopunción. 4190.11 Elegir el tipo adecuado de aguja en función del propósito y la duración de uso. 341 4000
  • 343.
    4190.13 Aplicar eltorniquete 10 o 12 cm por encima del sitio de punción, si procede. 4190.17 Limpiar la zona con una solución adecuada, según el protocolo del centro. 4190.19 Insertar la aguja de acuerdo con las construcciones del fabricante. 4190.20 Determinar la correcta colocación mediante la observación de la sangre en la cámara o en el sistema . 4190.21 Retirar el torniquete lo antes posible. 4190.22 Fijar la aguja con esparadrapo en el sitio firmemente. 4190.23 Conectar la aguja al sistema IV, si procede. 4190.24 Aplicar un apósito transparente pequeño en el sitio de inserción IV. 4190.25 Etiquetar el apósito del sitio IV. 4200 TERAPIA INTRAVENOSA (IV) Definición: Administración y control de líquidos y fármacos por vía intra- venosa. Actividades: 4200.01 Verificar la orden de la terapia intravenosa. 4200.02 Instruir al paciente acerca del procedimiento. 4200.03 Realizar una técnica aséptica estricta. 4200.04 Examinar el tipo, cantidad,, fecha de caducidad y carácter de la solución y que no haya daños en el envase. 4200.07 Administrar los líquidos IV a temperatura ambiente. 4200.09 Administrar medicamentos IV, según prescripción, y observar los resultados. 4200.11 Observar si hay sobrecarga de líquidos y reacciones físicas. 4200.12 Observar la permeabilidad de la vía antes de la administración de la medicación IV. 4200.16 Realizar los cuidados del sitio IV de acuerdo con el protocolo del centro. 4200.17 Vigilar los signos vitales. 342 4000
  • 344.
    4200.20 Registrar losingresos y egresos. 4200.21 Observar si se presentan signos y síntomas asociados a la flebi- tis por la infusión e infecciones locales. 4340 ENTRENAMIENTO DE LA ASERTIVIDAD Definición: Ayuda en la expresión efectiva de sentimientos, necesidades e ideas a la vez que se respetan los derechos de los demás. Actividades: 4340.01 Identificar las barreras a la afirmación (p. ej., estado de desarro- llo, alguna condición médica o psiquiátrica crónica y socialización de la mujer). 4340.02 Ayudar al paciente a que reconozca y reduzca las distorsiones cognitivas que bloquean la afirmación. 4340.03 Diferenciar entre conductas afirmativas, agresivas y agresivas pasivas. 4340.06 Promover la expresión de pensamientos y sentimientos, tanto positivos como negativos. 4340.07 Ayudar a identificar los pensamientos autoderrotistas. 4340.08 Ayudar al paciente a distinguir entre pensamiento y realidad. 4340.10 Instruir al paciente sobre estrategias para la práctica de una con- ducta afirmativa (p. ej., realizando solicitudes, respondiendo que no a soli- citudes no razonables e iniciando y finalizando una conversación). 4340.13 Valorar los esfuerzos en la expresión de sentimientos e ideas. 4340.14 Monitorizar el nivel de ansiedad e incomodidad relacionados con el cambio. 4356 MANEJO DE LA CONDUCTA: SEXUAL Definición: Limitación y prevención de conductas sexuales socialmente inaceptables. Actividades: 4356.01 Identificar las conductas sexuales inaceptables, en función del ambiente particular y población de los pacientes. 343 4000
  • 345.
    4356.03 Discutir conel paciente las consecuencias de la conducta sexual socialmente inaceptable y de las manifestaciones verbales de la misma. 4356.04 Comentar el impacto negativo que puede tener sobre los demás la conducta sexual socialmente inaceptable. 4356.08 Comunicar el riesgo a los demás cuidadores. 4356.14 Enseñar/reforzar habilidades sociales apropiadas. 4356.15 Proporcionar educación sexual, correspondiente al nivel de des- arrollo. 4356.19 Proporcionar asesoramiento, si en necesario, al paciente que haya sufrido abusos sexuales. 4356.20 Ayudar a la familia en la comprensión y manejo de las conductas sexuales inaceptables. 4360 MODIFICACIÓN DE LA CONDUCTA Definición: Promoción de un cambio de conducta. Actividades: 4360.02 Ayudar al paciente a identificar su fortaleza. 4360.03 Fomentar la sustitución de hábitos indeseables por hábitos dese- ables. independientemente. 4360.10 Animar al paciente a que examine su propia conducta. 4360.99 Animar al paciente a examinar los valores y creencias persona- les y la satisfacción con ellos. 4360.11 Ayudar al paciente a identificar los más pequeños éxitos produci- dos. 4360.13 Identificar la conducta que ha de cambiar(conducta objetivo) en términos específicos concretos. 4360.14 Desglosar la conducta que ha de cambiarse en unidades de con- ducta más pequeñas, mensurables (dejar de fumar ; número de cigarri- llos fumados). 4360.15 Utilizar períodos de tiempo específicos al medir las unidades de conducta (número de cigarrillos fumados al día ) 344 4000
  • 346.
    4360.18 Establecer objetivosde conducta de forma escrita. 4360.21 Desarrollar un método (un gráfico o diagrama) para registrar la conducta y sus cambios. 4380 ESTABLECER LÍMITES Definición: Establecer los parámetros de una conducta deseable y acep- table del paciente. Actividades: 4380.01 Discutir las preocupaciones con el paciente acerca de su conducta. 4380.02 Identificar (con la participación del paciente, cuando correspon- da) la conducta indeseable del paciente. 4380.03 Discutir con el paciente, cuando proceda, cuál es la conducta deseable en cada situación. 4380.04 Establecer expectativas razonables de la conducta del paciente, en función de la situación y del paciente. 4380.05 Establecer las consecuencias (con la participación del paciente, cuando corresponda) de aparición/ausencia de conductas deseadas. 4380.09 Ayudar al paciente, cuando sea necesario y adecuado, a mostrar conductas deseadas. 4380.10 Observar si se producen o no las conductas deseadas del paciente. 4380.12 Poner en marcha las consecuencias establecidas para la apari- ción/ausencia de las conductas deseadas. 4400 TERAPIA MUSICAL Definición: Utilización de la música para ayudar a conseguir un cambio específico de conductas, sentimiento o fisiológico. Actividades: 4400.01 Definir el cambio de conducta específico y /o fisiológico que se desea (relajación, estimulación, concentración, disminución del dolor) 4400.02 Determinar el interés por la música. 4400.03 Identificar las preferencias musicales del paciente. 345 4000
  • 347.
    4400.11 Evitar músicadespués de una lesión aguda en la cabeza. 4400.99 Recomendar la utilización de música a intervalos regulares 4410 ESTABLECIMIENTO DE OBJETIVOS COMUNES Definición:. Colaboración con el paciente para identificar y dar prioridad a los objetivos de cuidados, desarrollar luego un plan para alcanzar estos objetivos. Actividades: 4410.03 Colaboración con el paciente para identificar y dar prioridad a los objetivos de cuidados, desarrollar luego un plan para alcanzar estos obje- tivos. 4410.06 Animar al paciente a identificar sus propias virtudes y habilidades. 4410.11 Ayudar al paciente a desglosar los objetivos complejos en pasos pequeños, manejables. 4410.23 Valorar el nivel de funcionamiento actual del paciente con respec- to a cada objetivo. 4410.27 Ayudar al paciente a centrarse en los resultados esperados más que en los deseados. 4410.33 Coordinar con el paciente fechas de revisión periódicas para valorar el progreso hacia los objetivos. 4420 ACUERDO CON EL PACIENTE Definición : Negocio (negociación) de un acuerdo con el paciente para reforzar un cambio de conducta específico. Actividades: 4420.01 Animar al paciente a que determine sus virtudes y habilidades. 4420.02 Ayudar al paciente a identificar las prácticas sobre la salud que desea cambiar. 4420.05 Alyudar al paciente a identificar las metas, evitar centrarse en el diagnóstico o proceso de enfermedad únicamente. 4420.07 Ayudar al paciente a establecer los objetivos a corto y largo plazo. 346 4000
  • 348.
    4420. Ayudar alpaciente a dividir las metas complejas en pasos pequeños, manejables. 4420.12 Clarificar con el paciente los papeles del cuidador y del paciente, respectivamente. 4420.15 Ayudar al paciente a desarrollar un plan para cumplir con los objetivos. 4420.17 Ayudar al paciente a identificar los métodos para superar las cir- cunstancias ambientales que pueden interferir en la consecución de los objetivos. 4420.20 Facilitar la implicación de los seres queridos en el proceso del acuerdo, si así lo desea el paciente 4420.24 Identificar, junto con el paciente, una fecha objetivo para la con- clusión del acuerdo. 4480 FACILITAR LA AUTORRESPONSABILIDAD Definición: Animar a un paciente a que asuma más responsabilidad de su propia conducta Actividades: 4480.01 Considerar responsable al paciente de sus propias conductas. 4480.02 Discutir con el paciente el grado de responsabilidad del estado de salud actual. 4480.03 Determinar si el paciente tiene conocimientos adecuados acerca del estado de los cuidados de salud. 4480.04 Fomentar la manifestación oral de sentimientos, percepciones y miedos por asumir la responsabilidad. 4480.11 Animar al paciente a que asuma tanta responsabilidad de sus propios autocuidados como sea posible. 4480.12 Ayudar a los padres a identificar las tareas propias de la edad de las que debe responsabilizarse el niño, si procede. 4480.14 Animar a los padres a realizar un seguimiento de la conducta res- ponsable del niño, si procede. 4480.15 Ayudar al paciente a identificar las áreas en las que podría fácil- mente asumir más responsabilidad. 347 4000
  • 349.
    4480.16 Facilitar elapoyo de la familia del nuevo nivel de responsabilidad buscado o conseguido por el paciente. 4480.17 Ayudar en la creación de un horario que guíe el aumento de res- ponsabilidad en el futuro. 4490 AYUDA PARA DEJAR DE FUMAR Definición: Ayudar a un paciente para que deje de fumar Actividades: 4490.01 Registrar el estado actual y el historial de la actividad de fumar. 4490.02 Aconsejar al fumador de forma clara y consistente dejar de fumar 4490.03 Ayudar al paciente a identificar las razones para dejar de fumar y las barreras. 4490.04 Ayudar a elegir el mejor método para dejar de fumar, cuando el paciente esté decidido a dejarlo. 4490.05 Ayudar a los fumadores motivados a fijar una fecha para dejar de fumar. 4490.06 Remitir a programas de grupo o a terapeutas individuales, según resulte oportuno. 4490.11 Informar al paciente que la boca seca, la tos, la garganta irritada y la sensación de desastre pueden ser síntomas que pueden producirse después de dejar de fumar. 4490.16 Realizar el seguimiento del paciente durante dos años después de dejar de fumar, si fuera posible, para dar ánimos. 4490.22 Ayudar al paciente a desarrollar métodos prácticos para resistir las ansias de fumar 4490.23 Ayudar al paciente a planificar las estrategias de enfrentamiento de problemas resultantes del hecho de dejar de fumar. 4490.24 Aconsejar al paciente que tenga una lista de deslices, de lo que los causa y de lo que el paciente ha aprendido de ellos. 4500 PREVENCIÓN DEL CONSUMO DE SUSTANCIAS NOCIVAS Definición: Potenciar un estilo de vida que evite el uso de alcohol drogas. 348 4000
  • 350.
    Actividades: 4500.08 Dirigir programasen la escuela sobre la supresión alcohol y las drogas como actividades recreativas. 4500.09 Fomentar la toma de decisiones responsables acerca de la elec- ción del propio estilo de vida. 4500.10 Recomendar campañas en los medios de comunicación acerca del tema de las drogas en la comunidad. 4500.11 Educar a los padres acerca de la importancia del ejemplo en el uso de sustancias nocivas. 4500.12 Instruir a los padres y profesores en la identificación de signos y síntomas de adicción. 4500.13 Ayudar al paciente a identificar estrategias sustitutorias para reducir tensiones. 4500.15 Aconsejar a los padres el apoyo de las normas escolares que prohiben el consumo de alcohol y drogas en las actividades extraescola- res. 4500.16 Ayudar en la organización de actividades después de las clases de los adolescentes, tales como paseos e irse a casa. 4500.18 Animar a los padres a participar en las actividades de sus hijos, desde la edad preescolar hasta la adolescencia. 4640 AYUDA PARA EL CONTROL DEL ENFADO. Definición: Facilitación de la expresión del enfado de manera adecuada y no violenta. Actividades: 4640.04 Limitar el acceso a situaciones estresantes hasta que el pacien- te sea capaz de expresar el enfado de una manera adaptada a las cir- cunstancias. 4640.08 Proporcionar salidas físicas a la expresión de enfado o tensión (bolsas para golpear, deportes, arcilla y escritura de un diario). 4640.12 Ayudar al paciente a identificar la causa del enfado. 4640.16 Identificar con los pacientes los beneficios de la manifestación de enfado de una forma no violenta, que se adapte a las circunstancias. 349 4000
  • 351.
    4640.18 Instruir alpaciente sobre las medidas que proporcionen calma (descansos y respiraciones profundas). 4640.22 Fortalecer al paciente para una expresión adecuada del enfado. 4700 REESTRUCUTRACION COGNITIVA Definición: .Estimular al paciente para que altere los esquemas ce pen- samientos desordenados y se vea a si mismo al mundo de forma más rea- lista Actividades: 4700.03 Ayudar al paciente a cambiar afirmaciones (autoafirmaciones) irracionales autoinducidas por afirmaciones (autoafirmaciones) racionales. 4700.04 Señalar los estilos de pensamiento disfuncionales (pensamiento polarizado, generalización exagerada, magnificación y personalización). 4700.05 Ayudar al paciente a identificar la emoción dolorosa (ira, ansie- dad y desesperanza) que está sintiendo. 4700.06 Ayudar al paciente a identificar los factores estresantes percibi- dos (situaciones, sucesos e interacciones con otras personas) que contri- buyen al estado de estrés. 4700.07 Ayudar al paciente a identificar las propias interpretaciones equi- vocadas sobre los factores estresantes percibidos. 4700.08 Ayudar al paciente a reconocer la irracionalidad de ciertas creen- cias comparándolas con la realidad actual. 4700.09 Ayudar al paciente a reemplazar las interpretaciones equivoca- das de las situaciones, sucesos e interacciones estresantes por interpre- taciones basadas más en la realidad. 4700.11 Realizar afirmaciones que describan la forma alternativa de observar la situación 4700.13 Utilizar el sistema de creencias habitual del paciente para ver la situación de manera distinta. 4720 ESTIMULACIÓN COGNOSCITIVA Definición: Favorecer la conciencia y comprensión del entorno por medio de la utilización de estímulos planificados. 350 4000
  • 352.
    Actividades: 4720.01 Consulta conla familia para establecer las guías cognoscitivas anteriores a la lesión del paciente. 4720.04 Presentar los cambios de manera gradual. 4720.05 Proporcionar un calendario. 4720.06 Estimular la memoria repitiendo los últimos pensamientos expre- sados por el paciente. 4720.07 Orientar con respecto al tiempo, lugar y personas. 4720.08 Hablar con el paciente. 4720.10 Utilizar la televisión, radio ó música como parte del programa de estímulos planificado. 4720.12 Colocar objetos familiares y fotografías en el ambiente del paciente. 4720.15 Utilizar ayudas de memoria: listas, programas y notas recordato- rias. 4720.18 Solicitar al paciente que repita la información. 4720.20 Disponer instrucciones orales y escritas. 4760 ENTRENAMIENTO DE LA MEMORIA Definición: Mejorar la memoria. Actividades: 4760.02 Estimular la memoria mediante la repetición del último pensa- miento expresado por el paciente, si procede. 4760.03 Recordar experiencias pasadas con el paciente, si procede. 4760.04 Llevar a cabo técnicas de memoria adecuadas, como imagina- ción visual, lemas mnemotécnicos, juegos de memoria, pistas de memo- ria, técnicas de asociación, realizar listas, utilización de ordenadores o uti- lización de etiquetas con nombres o practicar información. 4760.06 Proporcionar entrenamiento de orientación, como que el pacien- te practique información y fechas personales, si procede. 4760.08 Facilitar oportunidades de utilizar la memoria para sucesos recientes, como preguntar al paciente acerca de salidas recientes. 351 4000
  • 353.
    4760.10 Facilitar eluso de la memoria de reconocimiento de imágenes, si procede. 4760.11 Estructurar los métodos de enseñanza de acuerdo con la organi- zación de la información por parte del paciente. 4760.12 Remitir a terapia ocupacional, si procede. 4760.13 Animar al paciente a que participe en grupos de programas de entrenamiento de la memoria, si procede. 4820 ORIENTACIÓN DE LA REALIDAD Definición: fomento de la conciencia del paciente acerca de la identidad personal, tiempo y ambiente. Actividades: 4820.01 Disponer un enfoque de la situación que sea consistente (firme- za amable, amistad activa, amistad pasiva, hechos concretos y nada de exigencias) al interactuar con el paciente y que refleje sus necesidades y capacidades particulares. 4820.08 Evitar las situaciones no familiares, cuando sea posible. 4820.09 Preparar al paciente para los cambios que se avecinen en la ruti- na y ambiente habitual antes de que se produzca. 4820.10 Asignar cuidadores que sean familiares para el paciente. 4820.11 Utilizar señales ambientales ( signos, cuadros, relojes, calenda- rios y codificación en color del ambiente) 4820.15 Establecer un ambiente de baja estimulación para el paciente en el que la desorientación aumente debido a la sobrestimulacion. 4820.22 Hablar al paciente de una manera suave y distinta, a un volu- men adecuado. 4820.28 Hacer las preguntas de una en una. 4820.31 Dar ordenes de una en una. 4820.32 Utilizar señales con dibujos para favorecer el uso adecuado de los objetos. 4920 ESCUCHA ACTIVA Definición: gran atención y determinación de la importancia de los men- sajes verbales y no verbales del paciente. 352 4000
  • 354.
    Actividades: 4920.02 Mostrar interésen el paciente. 4920.03 Favorecer la expresión de sentimientos. 4920.04 Centrarse completamente en la interacción eliminando prejuicios, presunciones, preocupaciones personales y otras distracciones. 4920.06 Estar atento a la propia actitud física en la comunicación de men- sajes no verbales. 4920.08 Estar atento a las palabras que se evitan, así como los mensa- jes no verbales que acompañan a las palabras no expresadas. 4920.09 Estar atento al tono, tiempo, volumen, entonación e inflexión de la voz. 4920.12 Calcular una respuesta de forma que refleje la comprensión del mensaje recibido. 4920.13 Aclarar el mensaje mediante el uso de preguntas y retroalimen- tación. 4920.14 Verificar la comprensión del mensaje. 4920.16 Evitar barreras a la escucha activa ( minimizar sentimientos, ofre- cer soluciones sencillas, interrumpir, hablar de uno mismo y terminar de manera prematura ). 4974 FOMENTO DE LA COMUNICACIÓN: DÉFICIT AUDITIVO Definición: Ayuda en la aceptación y aprendizaje de los métodos alter- nativos para vivir con una disminución de la capacidad auditiva. Actividades: 4974.01 Facilitar cita para el examen de la agudeza auditiva, si procede. 4974.03 Enseñar al paciente que los sonidos se experimentarán de forma diferente con un dispositivo de audición 4974.04 Mantener el dispositivo de audición limpio. 4974.06 Dar instrucciones sencillas, de una en una. 4974.07 Escuchar atentamente. 4974.08 Abstenerse de gritar al paciente con problemas de comunicación. 4974.10 Mirar directamente al paciente, hablar despacio, claro y conciso. 353 4000
  • 355.
    4974.11 Utilizar palabrassimples y frases cortas, si procede. 4974.13 No cubrirse la boca, fumar, hablar con la boca llena o masticar chicle al hablar. 4974.14 Llamar la atención del paciente mediante contacto físico. 4974.15 Comprobar la comprensión de los mensajes pidiendo al pacien- te que repita lo que se ha dicho. 4974.18 Facilitar la ubicación del teléfono para el disminuido auditivo, si resulta oportuno. 4974.16 Utilizar papel, lápiz o comunicación por ordenador cuando sea necesario. 4976 MEJORAR LA COMUNICACIÓN: DÉFICIT DEL HABLA Definición: Ayuda en la aceptación y aprendizaje de los métodos alterna- tivos para vivir con trastornos del habla Actividades: 4976.01 Solicitar la ayuda de la familia en la comprensión del lenguaje del paciente, si procede 4976.02 Permitir que el paciente oiga lenguaje hablado con frecuencia, si es preciso. 4976.03 Disponer guías/ recordatorios verbales. 4976.04 Dar una orden simple cada vez, si es el caso. 4976.0 Escuchar con atención. 4976.06 Utilizar palabras simples y fases cortas, si procede. 4976.07 Abstenerse de gritar al paciente con trastornos de comunicación 4976.10 Utilizar cartones con dibujos, si es preciso. 4976.11 Utilizar gestos con las manos, si procede. 4976.99 Enseñar a la familia las recomendaciones sobre cómo se han de comunicar con el paciente. 4978 MEJORAR LA COMUNICACIÓN: DÉFICIT VISUAL Definición: Ayuda en la aceptación y aprendizaje de los métodos alterna- tivos para vivir con la disminución de la agudeza visual. 354 4000
  • 356.
    Actividades: 4978.01 Identificarse alentrar en el espacio del paciente. 4978.02 Observar la reacción del paciente a la disminución de la visión (depresión, abandono o negación) 4978.04 Ayudar al paciente a establecer nuevas metas para aprender a <<ver>, con los otros sentidos. 4978.08 No mover los objetos del cuarto del paciente sin informar al mismo. 4978.09 Leer el correo, diarios y demás información pertinente al paciente. 5100 POTENCIACIÓN DE LA SOCIALIZACIÓN Definición: facilitar la capacidad de una persona para interactuar con otros. Actividades: 5100.01 Fomentar la implicación en relaciones potenciadas ya establecidas. 5100.03 Fomentar las relaciones con personas que tengan intereses y objetivos comunes. 5100.04 Fomentar las actividades sociales y comunitarias. 5100.07 Fomentar la implicación en intereses totalmente nuevos. 5100.11 Responder a la mejora del cuidado del aspecto personal y demás actividades. 5100.13 Utilizar el juego de roles para practicar las habilidades y técnicas de comunicación mejoradas. 5100.14 Proporcionar modelos de roles que expresen la ira de forma ade- cuada. 5100.18 Animar al paciente a cambiar de ambiente, como salir a caminar o al cine. 5100.19 Facilitar el entusiasmo y la planificación de actividades futuras por parte del paciente. 5210 GUÍA DE ANTICIPACIÓN Definición: Preparación del paciente en anticipación a una crisis en des- arrollo y/o circunstancial. 355 5000
  • 357.
    Actividades: 5210.01 Ayudar alpaciente a identificar la posible aparición de crisis en desarrollo y/o circunstancial y los efectos que tal crisis podría tener en la vida personal y familiar. 5210.02 Enseñar acerca del desarrollo y comportamiento normal, si pro- cede. 5210.05 Ayudar la paciente a decidir la forma de solucionar el problema. 5210.08 Ayudar al paciente a identificar los recursos y opciones disponi- bles durante el curso de acción, si procede. 5210.09 Ensayar las técnicas necesarias para enfrentarse a la aparición de crisis de desarrollo o circunstancial con el paciente, si resulta adecua- do. 5210.11 Proporcionar al paciente una referencia preparada (materiales/panfletos educativos), si en el caso. 5210.12 Sugerir libros/literatura para que el paciente los lea, si resulta oportuno. 5210.13 Remitir al paciente a centros comunitarios, si procede. 5210.17 Involucrar a la familia/seres queridos, si procede. 5220 POTENCIACIÓN DE LA IMAGEN CORPORAL Definición: mejora de las percepciones y actitudes conscientes e incons- ciente del paciente hacia su cuerpo. Actividades: 5220.04 Ayudar al paciente a discutir los cambios causados por la enfer- medad o cirugía, si procede. 5220.05 Ayudar al paciente a determinar el alcance de los cambios reales producidos en el cuerpo o en su nivel de funcionamiento. 5220.07 Ayudar al paciente a separar el aspecto físico de los sentimien- tos de valía personal, si procede. 5220.09 Ayudar al paciente a discutir los cambios causados por la puber- tad, si resulta oportuno. 5220.10 Ayudar al paciente a discutir los cambios causados por un emba- razo normal, si procede. 356 5000
  • 358.
    5220.12 Enseñar alpaciente los cambios normales del cuerpo asociados a los diversos estadios del envejecimiento, si procede. 5220.16 Observar si el paciente puede mirar la parte corporal que ha sufri- do el cambio. 5220.25 Determinar si un cambio de imagen corporal ha contribuido a aumentar el aislamiento social. 5220.28 Ayudar al paciente a identificar acciones que mejoren su aspecto. 5220.31 Identificar grupos de apoyo disponibles para el paciente. 5220.32 Ayudar al paciente con riesgo de padecer anorexia o bulimia a desarrollar unas expectativas de imagen corporal más realistas. 5230 AUMENTAR EL AFRONTAMIENTO Definición: Ayudar al paciente a adaptarse a los factores estresantes, cambios, o amenazas perceptibles que interfieran en el cumplimiento de las exigencias y papeles de la vida cotidiana. Actividades: 5230.01 Valorar la aceptación del paciente a los cambios de imagen cor- poral, si está indicado. 5230.02 Valorar el impacto de la situación vital del paciente en los pape- les y relaciones. 5230.03 Alentar al paciente a encontrar una descripción realista del cam- bio de papel. 5230.04 Valorar la comprensión del paciente del proceso de enfermedad. 5230.08 Ayudar al paciente a desarrollar una valoración objetiva del acon- tecimiento. 5230.13 Evaluar la capacidad del paciente para tomar decisiones. 5230.15 Desalentar la toma de decisiones cuando el paciente se encuen- tre bajo un fuerte estrés 5230.17 Animar al paciente a desarrollar relaciones. 5230.22 Alentar el uso de fuentes espirituales, si resulta adecuado. 5230.35 Animar al paciente a identificar sus puntos fuertes y sus capaci- dades. 357 5000
  • 359.
    5230.44 Alentar ala familia a manifestar sus sentimientos por el miembro familiar enfermo. 5230.48 Instruir al paciente en el uso de técnicas de relajación, si resul- ta necesario. 5240 ASESORAMIENTO Definición: Utilización de un proceso de ayuda interactiva centrado en las necesidades, problemas o sentimientos del paciente y sus seres queridos para fomentar o apoyar la capacidad de resolver problemas y las relacio- nes interpersonales. Actividades: 5240.01 Establecer una relación terapéutica basada en la confianza y en el respeto. 5240.04 Establecer metas. 5240.05 Disponer la intimidad para asegurar la confidenciabilidad. 5240.06 Proporcionar información objetiva, según sea necesario y si pro- cede. 5240.07 Favorecer la expresión de sentimientos. 5240.08 Ayudar al paciente a identificar el problema o la situación causan- te del trastorno. 5240.17 Ayudar al paciente a que identifique sus puntos fuertes y refor- zarlos. 5240.19 Fomentar la situación de hábitos indeseados por hábitos desea- dos. 5240.20 Reforzar nuevas habilidades. 5240.21 Desaconsejar la toma de decisiones cuando el paciente se encuentre bajo un estrés severo. 5244 ASESORAMIENTO DE LACTANCIA Definición: Utilización de un proceso interactivo de asistencia para ayudar en el mantenimiento de una alimentación de pecho satisfacto- ria. 358 5000
  • 360.
    Actividades: 5244.01 Determinar elconocimiento de la alimentación de pecho. 5244.02 Instruir a la madre/padre acerca de la alimentación del bebé para que pueda realizar una toma de decisión informada. 5244.03 Proporcionar información acerca de la ventajas y desventajas de la alimentación de pecho. 5244.04 Corregir conceptos equivocados mala información e imprecisio- nes acerca de la alimentación de pecho. 5244.05 Determinar el deseo de la madre para dar de mamar. 5244.06 Proporcionar apoyo a la decisión de la madre. 5244.08 Remitir a los padres acerca de clases o grupos adecuados de ali- mentación de pecho (Liga La Leche). 5244.09 Evaluar la comprensión de la madre de las pautas alimentarias del bebé (sujeción, succión, y estado de alerta). 5244.11 Monitorizar la habilidad materna al acercar al bebé al pezón. 5244.12 Evaluar la forma de succión/ deglución del recién nacido. 5244.13 Mostrar la forma de amamantar si procede. 5244.17 Enseñar los patrones de evacuación urinaria e intestinal en el niño, si procede. 5244.21 Fomentar a la madre que utilice los ambos pechos en cada toma. 5244.39 Enseñar a la madre a consultar a su cuidador antes de tomar cualquier medicamento, con receta o de venta libre durante el período de lactancia. 5246 ASESORAMIENTO NUTRICIONAL Definición: Utilización de un proceso de ayuda interactivo centrado en la necesidad de modificación de la dieta. Actividades: 5246.01 Establecer una relación terapéutica basada en la confianza y el respeto. 5246.03 Determinar la ingesta y los hábitos alimentarios del paciente. 5246.04 Facilitar la identificación de las conductas alimentarias que se desean cambiar. 359 5000
  • 361.
    5246.05 Establecer metasrealistas a corto y largo plazo para el cambio del estado nutricional. 5246.07 Proporcionar información, si es necesario, acerca de la necesi- dad de modificación de la dieta por razones de salud: pérdida de peso, ganancia de peso, restricción del sodio, reducción del colesterol, restric- ción de líquidos, etc. 5246.10 Determinar el conocimiento por parte del paciente de los cuatro grupos alimenticios básicos, así como la percepción de la necesaria modi- ficación de la dieta. 5246.19 Ayudar al paciente a expresar sentimientos e inquietudes acerca de la consecución de las metas. 5246.20 Valorar los esfuerzos realizados para conseguir los objetivos. 5248 ASESORAMIENTO SEXUAL Definición: Utilización de un proceso de ayuda interactivo que se centre en la necesidad de realizar ajustes de la práctica sexual o para potenciar la resolución de un suceso/trastorno sexual. Actividades: 5248.01 Establecer una relación terapéutica basada en la confianza y el respeto. 5248.02 Establecer la duración de la relación de asesoramiento. 5248.03 Proporcionar intimidad y asegurar la confidencialiddad 5248.04 Informar al paciente al principio de la relación que la sexualidad constituye una parte importante de la vida y que las enfermedades, los medicamentos y el estrés (u otros problemas/sucesos que experimenta el paciente ) a menudo alteran el funcionamiento sexual. 5248.06 Proporcionar información acerca del funcionamiento sexual. 5248.12 Discutir el nivel de conocimiento del paciente acerca de la sexua- lidad en general. 5248.13 Animar al paciente a expresar los miedos y a hacer preguntas. 5248.25 Incluir al esposo/compañero sexual en el asesoramiento lo máxi- mo posible, si es el caso. 5248.29 Derivar a otros miembros del equipo de cuidados, si procede. 360 5000
  • 362.
    5250 APOYO ENTOMA DE DECISIONES Definición: Proporcionar información y apoyo a un paciente que debe tomar una decisión sobre cuidados sanitarios. Actividades: 5250.01 Determinar si hay diferencias entre el punto de vista del pacien- te y el punto de vista de los cuidadores sanitarios sobre la condición del paciente. 5250.03 Ayudar al paciente a identificar las ventajas y desventajas de cada alternativa. 5250.05 Facilitar al paciente la articulación de los objetivos de los cuidados. 5250.07 Facilitar la toma de decisiones en colaboración. 5250.09 Respetar el derecho del paciente a recibir o no información. 5250.10 Proporcionar la información solicitada por el paciente. 5250.12 Servir de enlace entre paciente y familia. 5250.15 Remitir a grupos de apoyo, si procede. 5260 CUIDADOS EN LA AGONIA Definición: Prestar comodidad física y paz psicológica en la fase final de la vida. Actividades: 5260.01 Disminuir la demanda de funcionamiento cognitivo cuando el paciente esté enfermo o fatigado. 5260.02 Observar si el paciente padece ansiedad. 5260.03 Observar los cambios de humor. 5260.05 Animar al paciente y a la familia a compartir los sentimientos sobre la muerte. 5260.07 Observar si hay dolor. 5260.09 Administrar la medicación por vías alternativas cuando se des- arrollen problemas con la deglución. 5260.10 Posponer la alimentación cuando el paciente se encuentre fati- gado. 361 5000
  • 363.
    5260.11 Ofrecer líquidosy comidas blandas frecuentemente. 5260.13 Vigilar el deterioro de la capacidad física y/o mental. 5260.16 Quedarse físicamente cerca del paciente atemorizado. 5260.23 Incluir a la familia en las decisiones y actividades de cuidados, según se desee. 5270 APOYO EMOCIONAL Definición: Proporcionar seguridad aceptación y animo en momentos de tensión. Actividades: 5270.01 Comentar la experiencia emocional con el paciente. 5270.03 Ayudar al paciente a reconocer sentimientos tales como la ansie- dad, ira o tristeza. 5270.04 Animar al paciente a que exprese los sentimientos de ansiedad, ira o tristeza. 5270.06 Escuchar las expresiones de sentimientos y creencias. 5270.07 Facilitar la identificación por parte del paciente de esquemas de respuesta habituales a los miedos. 5270.08 Proporcionar apoyo durante la negación, ira, negociación y acep- tación de las fases del sentimiento de pena. 5270.10 Favorecer la conversación o el llanto como medio de disminuir la respuesta emocional. 5270.11 Permanecer con el paciente y proporcionar sentimientos de seguridad durante los periodos de mas ansiedad. 5270.12 Proporcionar ayuda en la toma de decisiones. 5270.14 Remitir a servicios de asesoramiento, si se precisa. 5280 FACILITAR EL PERDÓN Definición: Ayudar a un individuo a olvidar y / o perdonar en sus relacio- nes con él mismo, con los otros y con los superiores. 362 5000
  • 364.
    Actividades: 5280.01 Identificar lasopiniones del pacientes que pueden dificultar/ ayu- dar a «salir» de un problema. 5280.04 Investigar el perdón como un proceso. 5280.05 Ayudar al paciente a explorar sus sentimientos de ira, odio y resentimiento. 5280.07 Explorar las posibilidades de enmienda y reconciliación con uno mismo, con los otros y/ o con los superiores. 5280.08 Ayudar al paciente a examinar la dimensión saludable y curativa del perdón. 5280.10 Enseñar el arte de la liberación y de la relajación emocional. 5290 FACILITAR EL DUELO Definición: Ayuda a la resolución de una perdida importante. Actividades: 5290.02 Ayuda al paciente a identificar la naturaleza de la unión al objeto o persona perdida. 5290.06 Animar al paciente a que manifieste verbalmente los recuerdos de la perdida. 5290.07 Fomentar la identificación de los miedos más profundos respec- to de la pérdida. 5290.10 Incluir a los seres queridos en las discusiones y decisiones. Si procede. 5290.14 Responder a las preguntas de los niños relacionadas con las per- didas. 5290.15 Utilizar palabras claras, como muerte o muerto, en lugar de eufe- mismos. 5290.17 Fomentar la expresión de sentimientos de una forma cómoda para el niño, escribiendo, dibujando o jugando. 5290.18 Ayudar al niño a clarificar los conceptos erróneos. 5290.19 Identificar fuentes de apoyo comunitario. 5290.22 Ayudar a identificar las modificaciones necesarias del estilo de vida. 363 5000
  • 365.
    5300 FACILITAR LAEXPRESIÓN DEL SENTIMIENTO DE CULPA Definición: Ayuda a una persona a enfrentarse con sentimientos doloro- sos de responsabilidad, real o percibida. Actividades: 5300.01 Guiar al paciente/familia en la identificación de sentimientos dolo- rosos de culpa. 5300.02 Ayudar al paciente/familia a identificar y examinar las situaciones en las que se experimentan o generan estos sentimientos. 5300.03 Ayudar al paciente/ miembros de la familia a identificar su com- portamiento en la situación de culpa. 5300.05 Utilizar una prueba de realidad para ayudar al paciente/familia a identificar posibles creencias irracionales. 5300.07 Facilitar la discusión del impacto de la situación sobre las relacio- nes familiares. 5300.09 Facilitar el apoyo espiritual, si procede. 5310 DAR ESPERANZA Definición: Facilitar el desarrollo de una perspectiva positiva en una situación dada. Actividades: 5310.01 Ayudar al paciente/familia a identificar las areas de esperanza en la vida. 5310.03 Mostrar esperanza reconociendo la valía intrínseca del paciente y viendo la enfermedad del paciente solo como una faceta de la persona. 5310.05 Enseñar a reconocer la realidad estudiando la situación y hacien- do planes para casos de emergencias. 5310.08 Evitar disfrazar la verdad. 5310.10 Facilitar el alivio y disfrute de éxitos y experiencias y experiencias pasadas del paciente/familia. 5310.13 Implicar al paciente activamente en sus propios cuidados. 5310.14 Desarrollar un plan de cuidados que implique un grado de conse- cución de metas, yendo desde matas sencillas hasta otras más complejas. 364 5000
  • 366.
    5310.15 Fomentar lasrelaciones terapéuticas con los seres queridos. 5310.16 Explicar a la familia los aspectos positivos de la esperanza (des- arrollar temas de conversación que tengan sentido y que reflejen el amor y la necesidad del paciente). 5310.17 Proporcionar al paciente/familia la oportunidad de implicarse en grupos de apoyo. 5340 PRESENCIA Definición: Permanecer con otra persona durante los momentos de nece- sidad, tanto física como psicológica Actividades: 5340.01 Mostrar una actitud de aceptación. 5340.03 Ser sensible con las tradiciones y creencias del paciente. 5340.05 Escuchar las preocupaciones del paciente. 5340.06 Permanecer en silencio, si procede. 5340.07 Establecer contacto físico con el paciente para expresar la con- sideración, si resulta oportuno. 5340.12 Ayudar al paciente a darse cuenta de que se esta disponible, pero sin reforzar conductas dependientes. 5340.13 Permanecer con el paciente para fomentar seguridad y disminuir miedos. 5340.14 Reafirmar y ayudar a los padres en su papel de apoyo de un niño. 5340.15 Permanecer con el paciente y transmitirles sentimientos de segu- ridad y confianza durante los periodos de ansiedad. 5340.16 Ofrecerse a entrar en contacto con otras personas de apoyo (cura), si procede. 5360 TERAPIA DE ENTRETENIMIENTO Definición: Utilización intencionada de actividades recreativas para fomentar la relajación y potenciar las capacidades sociales. Actividades: 5360.03 Comprobar las capacidades físicas y mentales para participar en actividades recreativas. 365 5000
  • 367.
    5360.05 Ayudar alpaciente a elegir actividades recreativas coherentes con sus capacidades físicas, psicológicas y sociales. 5360.07 Ayudar al paciente a identificar las actividades recreativas que tengan sentido, 5360.16 Comprobar la respuesta emocional, física y social a la actividad recreacional. 5370 POTENCIACIÓN DE ROLES Definición: Ayudar a un paciente, a un ser querido y/o a la familia a mejo- rar sus relaciones clarificando y complementando las conductas de pape- les específicos. Actividades: 5370.01 Ayudar al paciente a identificar los diversos papeles en la vida. 5370.02 Ayudar al paciente a identificar los roles habituales en la fami- lia. 5370.05 Ayudarle a identificar las conductas necesarias para el cambio de roles o a roles nuevos. 5370.06 Ayudar al paciente a identificar los cambios de roles específicos necesarios debido a enfermedades o discapacitados. 5370.10 Facilitar la discusión sobre la adaptación de los roles de la fami- lia para compensar los cambios de rol del miembro enfermo. 5370.12 Facilitar el ensayo de roles consiguiendo que el paciente se anti- cipe a las reacciones de los demás a la representación. 5370.13 Facilitar la discusión del cambio de roles de los hermanos con la llegada del bebé. 5370.15 Facilitar la discusión de las adaptaciones de roles relacionadas con los hijos que se marchan de casa (síndrome del nido vacío), si resul- ta oportuno. 5370.19 Enseñar las nuevas conductas que necesita el padre / madre para cumplir con un rol. 5370.20 Facilitar las interacciones grupales de referencia como parte del aprendizaje de los nuevos roles. 366 5000
  • 368.
    5380 POTENCIACIÓN DELA SEGURIDAD Definición: Intensificar el sentido de seguridad física y psicológica de un paciente. Actividades: 5380.01 Disponer un ambiente no amenazador. 5380.03 Pasar tiempo con el paciente. 5380.12 Facilitar el mantenimiento de los rituales habituales del paciente a la hora de irse a la cama. 5380.14 Escuchar los miedos del paciente / familia. 5380.16 Dejar la luz encendida durante la noche, si es necesario. 5380.18 Explicar al paciente / familia todas las pruebas y procedimientos. 5380.19 Responder a las preguntas sobre su salud de una manera sincera. 5380.20 Ayudar al paciente / familia a identificar los factores que aumen- ten el sentido de seguridad. 5380.22 Ayudar al paciente a utilizar las respuestas de capacidad de reso- lución de problemas que han resultado con éxito en el pasado. 5400 POTENCIACIÓN DE LA AUTOESTIMA Definición: Ayudar a un paciente a que aumente el juicio personal de su propia vida. Actividades: 5400.01 Observar las frases del paciente sobre su propia valía. 5400.06 Reafirmar las virtudes personales que identifique el paciente. 5400.09 Abstenerse de realizar criticas negativas y de quejarse. 5400.11 Mostrar confianza en la capacidad del paciente para controlar una situación. 5400.12 Ayudar a establecer objetivos realistas para conseguir una auto- estima más alta. 5400.17 Explorar las consecuencias con éxitos anteriores. 5400.19 Animar al paciente a evaluar su propia conducta. 367 5000
  • 369.
    5400.21 Recompensar oalabar el progreso del paciente en la consecuen- cia de objetivos. 5400.25 Enseñar a los padres a establecer expectativas claras y a defi- nir limites con sus hijos. 5400.26 Enseñar a los padres a reconocer las conquistas de sus hijos. 5420 APOYO ESPIRITUAL Definición: Ayuda al paciente a conseguir el equilibrio a través de sus creencias. Actividades: 5420.01 Estar abierto a las expresiones del paciente de soledad e impo- tencia. 5420.02 Alentar la asistencia a servicios religiosos, si se desea. 5420.03 Fomentar el uso de recursos espirituales, si se desea. 5420.04 Proporcionar los objetos espirituales deseados, de acuerdo con las preferencias del paciente. 5420.05 Remitir al asesor espiritual de la elección del paciente. 5420.07 Estar dispuesto a escuchar los sentimientos del paciente. 5420.09 Facilitar el uso de la meditación, oración y demás tradiciones y rituales religiosos por parte del paciente. 5420.11 Asegurar al paciente que el cuidador estará disponible para apo- yarle en los momentos de sufrimiento. 5420.12 Estar abierto a los sentimientos del paciente acerca de la enfer- medad y la muerte. 5420.13 Ayudar al paciente a expresar y liberar la ira de forma adecuada. 5426 FACILITACIÓN DEL CRECIMIENTO ESPIRITUAL Definición: Facilitar el crecimiento de la capacidad del paciente para identificar, comunicarse y evocar la fuente de significado, propósito, con- suelo, fuerza y esperanza en su vida. 368 5000
  • 370.
    Actividades: 5426.04 Ayudar alpaciente a identificar barreras y actitudes que dificultan el crecimiento y el autodescubrimiento. 5426.08 Fomentar el uso de celebraciones y rituales espirituales. 5426.11 Ayudar al paciente a explorar las creencias en relación a la cura- ción del cuerpo, la mente y el espíritu. 5426.12 Remitir a grupos de apoyo, de autoayuda mutua o a programas que se basen en la espiritualidad, según sea conveniente. 5426.13 Remitir a la atención pastoral o a cuidadores espirituales como garantía de resultados. 5430 GRUPO DE APOYO Definición: uso de un ambiente grupal para proporcionar apoyo emocio- nal e información relacionada con la salud a sus miembros. Actividades: 5430.02 Utilizar un grupo de apoyo durante las etapas transicionales para ayudar al paciente a que se adapte a un nuevo estilo de vida. 5430.03 Determinar el objeto del grupo y la naturaleza del proceso grupal. 5430.04 Crear una atmósfera relajada y de aceptación. 5430.05 Clarificar desde el principio las metas del grupo y las responsa- bilidades de sus miembros y de su líder. 5430.06 Utilizar un acuerdo por escrito, se se considera adecuado. 5430.07 Elegir los miembros que puedan contribuir y beneficiarse de la interacción del grupo. 5430.08 Formar un grupo de tamaño optimo: de 5 a 12 miembros. 5430.09 Tratar la cuestión de asistencia obligatoria. 5430.10 Establecer una hora y lugar para las reuniones grupales. 5430.11 Reunirse en sesiones de una a dos horas, si procede. 5430.12 Comenzar y terminar a la hora, y esperar que los participantes permanezcan hasta la conclusión de la reunión. 5430.13 Disponer sillas en un circulo cerca unas de las otras. 5430.14 Programar un numero limitado de sesiones ( normalmente de 6 a 12)en las que se cumplirá el trabajo del grupo. 369 5000
  • 371.
    5430.15 Hacer públicaslas normas de admisión para evitar problemas que puedan aparecer a medida que el grupo consigue los progresos. 5430.18 Fomentar la expresión de ayudas mutuas. 5430.22 Enfatizar la importancia de la capacidad activa de enfrentarse a los problemas. 5430.25 Ayudar al grupo a progresar en las etapas del desarrollo grupal: desde la orientación, pasando por la cohesión hasta la conclusión. 5440 AUMENTAR LOS SISTEMAS DE APOYO. Definición: Facilitar el apoyo del paciente por parte de la familia, los ami- gos y la comunidad. Actividades: 5440.02 Determinar la conveniencia de las redes sociales existentes. 5440.03 Determinar el grado de apoyo familiar. 5440.05 Determinar los sistemas de apoyo actualmente en uso. 5440.08 Animar al paciente a participar en las actividades sociales y comunitarias. 5440.10 Remitir a un grupo de autoayuda , si se considera oportuno. 5440.14 Implicar a la familia/seres queridos/amigos en los cuidados y la planificación. 5450 TERAPIA GRUPO Definición: Aplicación de técnicas psicoterapéuticas a un grupo, incluyen- do la utilización de interacciones entre los miembros del grupo. Actividades: 5450.01 Determinar el propósito del grupo (mantenimiento de pruebas de la realidad, facilitar la comunicación, examen de las habilidades persona- les y apoyo) y la naturaleza del proceso grupal. 5450.02 Formar un grupo de tamaño óptimo: de cinco a doce miembros. 5450.03 Elegir los miembros del grupo que estén dispuestos a participar activamente y hacerse responsables de sus propios problemas. 370 5000
  • 372.
    5450.06 Tratar lacuestión de la asistencia obligatoria. 5450.07 Tratar la cuestión de si se admitirán nuevos miembros en cual- quier momento. 5450.08 establecer la hora y lugar de las reuniones de grupo. 5450.09 Reunirse en sesiones de 1 a 2 horas, si resulta óptimo. 5450.13 Ayudar al grupo a establecer normas terapéuticas. 5450.14 Ayudar al grupo a trabajar en la resistencia a los cambios. 5450.19 Animar a los miembros a compartir cosas que tengan en común unos con otros. 5450.23 Proporcionar refuerzo social (verbales y no verbales) para con- seguir las conductas / respuestas deseadas. 5450.25 Ayudar a los miembros a darse afirmación unos a otros de forma que puedan desarrollar consciencia de sus propias conductas. 5450.33 Disponer una sesión de orientación individualizada para cada nuevo miembro del grupo antes de la primera sesión grupal. 5470 DECLARAR LA VERDAD AL PACIENTE. Definición: Uso de toda la verdad, verdad parcial o el retardo de decisio- nes para fomentar la autodeterminación y el bienestar del paciente. Actividades: 5470.01 Clarificar los propios valores de la situación particular. 5470.03 Clarificar la base de conocimientos y habilidades de comunica- ción propios acerca de la situación. 5470.04 Determinar el deseo del paciente de sinceridad en la situación. 5470.09 Establecer una relación de confianza. 5470.10 Decir la verdad con sensibilidad, calidez y franqueza. 5470.12 Remitir a otro cuidador si la persona tiene mejor relación, mas conocimientos y habilidades para decir la verdad o más tiempo y capaci- dad para tratar con las consecuencias de decir la verdad. 5470.13 Permanecer con el paciente al que se le haya dicho la verdad y estar preparado para clarificar, dar apoyo y recibir las desaprobaciones. 371 5000
  • 373.
    5470.14 Estar físicamentepresente para comunicar aprecio y apoyo, si se ha tomado la decisión de retener la información. 5470.15 Elegir el retardo de la decisión cuando haya falta de información, falta de conocimientos y falta de relación. 5470.16 Atender a las señales verbales y no verbales durante el proceso de comunicación. 5480 CLARIFICACIÓN DE VALORES Definición: Ayuda a una persona a clarificar sus valores con el objeto de facilitar la toma de decisiones efectivas. Actividades: 5480.02 Crear una atmósfera de aceptación, sin juicios. 5480.06 Animar al paciente a hacer una lista de valores que guíen la con- ducta en distintos ambientes y tipos de situaciones. 5480.08 Ayudar al paciente a definir alternativas y sus ventajas y desven- tajas. 5480.10 Ayudar al paciente a evaluar si los valores están de acuerdo o en conflicto con los miembros de la familia / seres queridos. 5480.11 Apoyar la decisión del paciente, si procede. 5480.14 Evitar el uso de interrogatorios de corroboración. 5510 REALIZAR UN PROGRAMA DE EDUCACIÓN SANITARIA Definición: Desarrollar y proporcionar instrucción y experiencias de ense- ñanza que faciliten la adaptación voluntaria de la conducta para conseguir la salud en personas, familias, grupos o comunidades. Actividades: 5510.01 Determinar grupos de riesgo y márgenes de edad que se bene- ficien más de la educación sanitaria. 5510.03 Identificar los factores internos y externos que puedan mejorar o disminuir la motivación en conductas sanitarias. 5510.04 Determinar el conocimiento sanitario actual y las conductas del estilo de vida de los individuos,familia o grupo objetivo 372 5000
  • 374.
    5510.05 Ayudar alas personas, familia y comunidades para clarificar las creencias y valores sanitarios. 5510.06 Identificar las características de la población objetivo que afectan la selección de las estrategias de enseñanza. 5510.08 Formular los objetivos del programa de educación sanitaria. 5510.13 Centrarse en beneficios de salud positivos inmediatos o a corto plazo para conductas de estilo de vida positivas, en lugar de beneficios a largo plazo o efectos negativos derivados de incumplimientos. 5510.15 Desarrollar materiales educativos escritos en un nivel de lectura adecuado a la audiencia objetivo. 5510.16 Enseñar estrategias que puedan utilizarse para resistir conduc- tas insalubres o que entrañen riesgos, en vez de dar consejos para evitar o cambiar la conducta. 5510.21 Utilizar debates de grupo y juego de roles para influir en las cre- encias, actitudes y valores que existen sobre la salud. 5510.23 Utilizar instrucción apoyada por ordenador, televisión, videos interactivos y demás tecnologías para proporcionar la información. 5510.26 Determinar el apoyo de la familia, semejantes y comunidad a conductas que induzcan la salud. 5510.27 Destacar la importancia de formas saludables de comer, dormir, hacer ejercicios, etc., a las familias personas y grupos que servirán de modelo de estos valores y conductas para otros, sobre todo para los niños. 5510.29 Planificar un seguimiento a largo plazo para reforzar la adapta- ción de estilos de vida y conductas saludables. 5510.30 Determinar e implementar estrategias para medir los resultados en los pacientes a intervalos regulares durante y después de terminar el programa. 5562 EDUCACIÓN PATERNA: ADOLESCENTE Definición: Asistencia a los padres para que comprendan y ayuden a sus hijos adolescentes. Actividades: 5562.01 Solicitar a los padres que describan las características de su hijo adolescente. 373 5000
  • 375.
    5562.04 Enseñar lascaracterísticas fisiológicas, emocionales y cognosci- tivas normales de los adolescentes. 5562.06 Identificar los mecanismos de defensa más comúnmente utiliza- dos por los adolescentes, como negación e intelectualización. 5562.11 Enseñar a los padres técnicas de comunicación esenciales que aumenten su capacidad de simpatizar con sus hijos adolescentes y ayu- dar a sus hijos a solucionar problemas. 5562.13 Explorar los paralelismos entre la dependencia del niño en edad escolar de los padres y la dependencia que tiene el adolescente del grupo de compañeros. 5562.14 Reforzar la normalidad de la vacilación del adolescente entre el deseo de independencia y la regresión a la dependencia. 5562.20 Enseñar a los padres a utilizar los conflictos para una mutua comprensión y el crecimiento familiar. 5562.23 Discutir la necesidad y legitimidad de establecer límites a los adolescentes. 5566 EDUCACIÓN PATERNA: CRIANZA FAMILIAR DE LOS NIÑOS Definición: Ayuda a los padres a comprender y fomentar el crecimiento y desarrollo físico, psicológico y social de su bebé, niño/s en edad preesco- lar o escolar. Actividades: 6530.01 Explicar a los padres el programa de inmunización recomendado necesario para los niños, su vía de administración, razones y beneficios de su uso, reacciones adversas y efectos secundarios. 5566.95 Monitorizar el peso y la altura del preescolar y escolar. 5566.07 Enseñar la importancia de una dieta equilibrada, tres comidas al día y tentempiés nutritivos. 5566.96 Proporcionar consejos acerca de los cambios en los patrones de control de esfínteres. 5566.09 Revisar el tema de la higiene dental con los padres. 5566.10 Revisar el tema del aseo personal con los padres 5566.97 Proporcionar consejos acerca de los cambios en los patrones del sueño. 374 5000
  • 376.
    5566.98 Animar aestablecer hábitos horarios estables. 5566.99 Lavar las manos antes de las comidas. 5566.02 Discutir la relación padre / hijo. 5566.03 Enseñar las características fisiológicas, emocionales y la conduc- ta del niño. 5560.04 Identificar las tareas u objetivos de desarrollo adecuados para el niño. 5566.20 Remitir a los padres a grupos de apoyo o clases de paternidad, si procede. 5566.21 Proporcionar a los padres lecturas/ otros materiales que sean úti- les en la realización del papel de padre. 5566.99 Proporcionar a los padres habilidades para manejar diferentes situaciones o conductas como rabietas, negativas, querer ser el centro... 5568 EDUCACIÓN PATERNA: NIÑO (primeros años de vida) Definición: Enseñanza de los cuidados de nutrición y físicos durante los primeros años de vida. Actividades: 5568.01 Determinar los conocimientos y la buena disposición y la habili- dad de los padres para aprender los cuidados del bebé. 5568.03 Proporcionar consejos acerca de los cambios en el desarrollo durante los primeros años de vida: Test de Denver 5568.04 Ayudar a los padres a encontrar maneras de integrar al bebé en el sistema familiar. 5568.07 Dar información a los padres sobre los chupetes. 5568.12 Proporcionar consejos acerca de los cambios en los patrones de control de esfínteres durante el primer año. 5568.90 Enseñar a los padres el baño y cuidado de la piel. 5568.91 Asesorar sobre la higiene del cordón umbilical. 5568.13 Enseñar a los padres cómo tratar y evitar la erupción de los pañales. 5568.14 Proporcionar consejos acerca de los cambios en los patrones del sueño durante el primer año. 375 5000
  • 377.
    5568.15 Mostrar comolos padres pueden estimular el desarrollo del bebé 5568.16 Alentar a los padres a coger, abrazar, dar masajes y tocar al bebé 5568.17 Animar a los padres a hablar y a leer al bebé. 5568.27 Proporcionar información acerca de las características conduc- tuales del recién nacido. 6530.01 Explicar a los padres el programa de inmunización recomendado necesario para los niños, su vía de administración, razones y beneficios de su uso, reacciones adversas y efectos secundarios. 5568.92 Realizar el seguimiento del resultado de la prueba de detección precoz de metabolopatías. 5568.93 Fomentar paseos. 5568.94 A partir de los dos meses iniciar hábitos horarios estables. 5568.95 Asesorar sobre las próximas etapas de locomoción del niño y cal- zado adecuado a ellas, a partir de los 8 meses. 7104.47 Proporcionar información a la familia sobre las medidas que ayuden a los hermanitos a sentirse importantes para la familia, si resulta oportuno. 7104.48 Animar a los padres a que observen las reacciones de los her- manitos hacia el recién nacido, si es el caso. 5602 ENSEÑANZA: PROCESO DE ENFERMEDAD Definición: Ayudar al paciente a comprender la información relacionada con un proceso de enfermedad específico. Actividades: 5602.01 Evaluar el nivel actual de conocimientos del paciente relaciona- dos con el proceso de enfermedad específico. 5602.03 Describir los signos y síntomas comunes de la enfermedad, si procede. 5602.04 Describir el proceso de la enfermedad. 5602.10 Comentar los cambios en el estilo de vida que puedan ser nece- sarios para evitar futuras complicaciones y/o controlar el proceso de enfermedad. 5602.14 Describir las posibles complicaciones crónicas, si procede. 376 5000
  • 378.
    5602.15 Instruir alpaciente sobre las medidas para prevenir/minimizar los efectos secundarios de la enfermedad, si procede 5602.18 Instruir al paciente sobre cuáles son los signos y síntomas de los que debe informarse al cuidador, si procede. 5602.19 Proporcionar el número de teléfono al que llamar si surgen com- plicaciones. 5603 ENSEÑANZA: CUIDADO DE LOS PIES Definición: Preparar al paciente de riesgo y /o familia para proporcionar cuidados preventivos en los pies. Actividades: 5603.01 Determinar el nivel actual de conocimiento y las habilidades rela- tivas al cuidado de los pies. 5603.04 Recomendar que sea un especialista quien arregle las uñas de los pies y los callos, si procede. 5603.05 Dar información escrita de las pautas del cuidado de los pies. 5603.08 Si existe una alteración visual o problemas de movilidad, reco- mendar la ayuda de algún familiar para el cuidado de los pies. 5603.09 Recomendar que se explore diariamente toda la superficie de los pies y entre los dedos buscando la presencia de enrojecimiento, tumefac- ción, calor, sequedad, maceración, sensibilidad y zonas abiertas. 5603.10 Instruir al individuo a utilizar un espejo o la ayuda de otra perso- na para realizar la exploración, si es necesario. 5603.11Recomendar el lavado diario de los pies con agua caliente y un jabón suave. 5603.12 Recomendar que se sequen completamente los pies después de lavarlos, especialmente entre los dedos. 5603.13 Instruir al individuo a hidratar diariamente la piel poniendo los pies en remojo o realizando un baño con agua a temperatura ambiente, aplicando posteriormente una crema hidratante. 5603.15 Aconsejar al individuo la visita a un profesional cuando sea ade- cuado (p. ej., la presencia de lesión infectada o que no se cura). 5603.16 Aconsejar medidas de autocuidado adecuadas ante problemas menores de los pies. 377 5000
  • 379.
    5603.17 Prevenir posiblescausas de lesión en los pies (p. ej., calor, frío, corte de callos, productos químicos, uso de antisépticos y astringentes fuertes, tintas y andar descalzo o usar calzado abierto o sandalias). 5603.18 Enseñar la técnica adecuada para arreglarse las uñas de los pies (es decir, cortar las uñas rectas, seguir el contorno del dedo y limpiar el borde con lima de uñas). 5603.21 Describir los zapatos adecuados (es decir, tacón bajo con una forma adecuada al pie y profundidad de la zona de los dedos; suelas rea- lizadas con material que amortigüe los golpes; anchura ajustable con correas o cordones; parte superior realizada con materiales transpirables, suaves y flexibles; plantillas para trastornos de la marcha y de la longitud de la pierna, y posibilidad de modificaciones en caso necesario). 5603.22 Describir los calcetines adecuados (es decir, de material absor- bente y que no aprieten). 5603.29 Aconsejar al individuo que deje de fumar, si procede. 5603.30 Incluir a la familia y a otros en la enseñanza, si procede. 5604 ENSEÑANZA: GRUPO Definición: Desarrollo, puesta en práctica y evaluación de un programa de educación para un grupo de personas que experimentan el mismo estado de salud. Actividades: 5604.95 Incluir al paciente en el programa de formación: (especificar) 5604.19 Proporcionar un programa escrito – que incluya fechas, horas y lugares de las sesiones / clases de enseñanza - para el persona y / o el paciente, si procede. 5604.23 Orientar al paciente / ser querido al programa educativo y a los objetivos diseñados que hay que conseguir. 5604.27 Evaluar el progreso del paciente en el programa y el dominio del contenido. 5604.28 Registrar el progreso del paciente en el registro médico perma- nente. 5604.94 Incluir en el registro del paciente la evaluación pretest y/o pos- test del programa de formacion. 378 5000
  • 380.
    5604.98 Diseñar unprograma de formación (teórico – práctico)que conten- ga temas referentes a la patología crónicas (diabetes, hipertensión, EPOC, Asma, Obesidad, cardiopatías, dislipemias...), el tratamiento, conductas de estilo de vida positivas que mejoran el control de su enfermedad. 5604.97 Diseñar un programa de formación (teórico – práctico) que con- tenga temas referentes a hábitos saludables en la infancia, pubertad, ado- lescencia y juventud, para los niños, padres o profesores. Incluir temas referentes a alimentación equilibrada, higiene, higiene bucal, ejercicio saludable, sexualidad, prevención de accidentes en el colegio y en el ámbito doméstico, prevención de accidentes de tráfico, prevención de toxicomanías y ludopatías... 5604.96 Diseñar un programa de formación (teórico – práctico) para cui- dadores que contenga temas referentes a la patología del paciente a su cargo, el tratamiento, conductas de estilo de vida positivas que mejoran su calidad de vida. 5604.08 Definir la población diana potencial: (escolares, pacientes con patologías crónicas, cuidadores, …). 5604.09 Escribir los objetivos del programa. 5604.10 Definir las áreas de contenido importante. 5604.14 Prever los materiales educativos disponibles. 5604.20 Determinar los días / horas adecuados para conseguir el máximo número de pacientes. 5604.21 Preparar anuncios / notas para hacer públicos los resultados, si procede. 5604.22 Controlar el tamaño y las competencias del grupo, si procede. 5604.25 Adaptar los métodos / materiales educativos a las necesidades / características del grupo si procede. 5604.31 Disponer una instrucción individual adicional, si procede. 5604.32 Evaluar el grado de consecución de objetivos del programa. 5604.99 Dentro de cada sesión establecer un tiempo para que cada uno exprese sus sentimientos, pensamientos y conocimientos a cerca del tema. 5606 ENSEÑANZA: INDIVIDUAL Definición: Planificación, puesta en práctica y evaluación de un progra- 379 5000
  • 381.
    ma de enseñanzadiseñado para tratar las necesidades particulares del paciente. Actividades: 5606.03 Determinar las necesidades de enseñanza del paciente. 5606.04 Valorar el nivel actual de conocimientos y comprensión de conte- nidos del paciente. 5606.06 Valorar las capacidades/incapacidades cognoscitivas, psicomo- toras y afectivas. 5606.08 Determinar la motivación del paciente para asimilar información específica (creencias sobre la salud, incumplimientos pasados, malas experiencias con cuidados/aprendizaje de salud y metas conflictivas). 5606.10 Establecer metas de aprendizaje mutuas y realistas con el paciente. 5606.15 Seleccionar los materiales educativos adecuados. 5606.16 Ajustar el contenido de acuerdo con las capacidades/incapacida- des cognoscitivas, psicomotoras y afectivas del paciente. 5606.20 Evaluar la consecución de los objetivos establecidos por parte del paciente. 5606.21 Reforzar la conducta, si se considera oportuno. 5606.22 Corregir las malas interpretaciones de la información, si procede. 5606.23 Dar tiempo al paciente para que haga preguntas y discuta sus inquietudes. 5606.27 Incluir a la familia/ser querido, si es posible. 5612 ENSEÑANZA: ACTIVIDAD/ EJERCICIO PRESCRITO Definición: Preparar a un paciente para que consiga y /o mantenga el nivel de actividad prescrito. Actividades: 5612.01 Evaluar el nivel actual del paciente de ejercicio y conocimiento de la actividad/ ejercicio prescrito. 5612.02 Informar al paciente del propósito y los beneficios de la actividad/ ejercicio prescrito. 380 5000
  • 382.
    5612.03 Enseñar alpaciente a realizar la actividad/ ejercicio prescrito. 5612.05 Enseñar al paciente a llevar un diario de ejercicios, si resulta posible. 5612.07 Instruir al paciente para avanzar de forma segura en la actividad/ ejercicio. 5612.13 Enseñar al paciente una buena postura y la mecánica corporal, si procede. 5612.15 Ayudar al paciente a incorporar la actividad/ ejercicio en la rutina diaria/estilo de vida. 5612.18 Ayudar al paciente a alternar correctamente los periodos de des- canso y actividad. 5614 ENSEÑANZA: DIETA PRESCRITA Definición: Preparación de un paciete para seguir correctamente una dieta prescrita. Actividades: 5614.01 Evaluar el nivel actual de conocimientos del paciente acerca de la dieta prescrita. 5614.02 Conocer los sentimientos/actitud del paciente/ser queridos acerca de la dieta prescrita y del grado de cumplimiento dietético espe- rado. 5614.04 Explicar el propósito de la dieta. 5614.05 Informar al paciente del tiempo durante el que debe seguirse la dieta. 5614.06 Enseñar al paciente a llevar un diario de comidas, si resulta posi- ble. 5614.07 Instruir al paciente sobre las comidas permitidas y prohibidas. 5614.10 Ayudar al paciente a sustituir ingredientes que se acomoden a sus recetas favoritas en la dieta prescrita. 5614.13 Enseñar al paciente a planificar las comidas adecuadas. 5614.14 Proporcionar un plan escrito de comidas, si procede. 5614.18 Incluir a la familia/ser querido, según el caso. 381 5000
  • 383.
    5616 ENSEÑANZA: MEDICAMENTOSPRESCRITOS Definición: Preparación de un paciente para que tome de forma segura los medicamentos prescritos y observar sus efectos. Actividades: 5616.01 Enseñar al paciente a reconocer las características distintivas del (de los) medicamento(s). 5616.02 Informar al paciente acerca del propósito y acción de cada medi- camento. 5616.04 Instruir al paciente acerca de la dosis, vía y duración de los efec- tos de cada medicamento. 5616.06 Evaluar la capacidad del paciente para administrarse los medica- mentos él mismo. 5616.10 Informar al paciente sobre las consecuencias de no tomar o sus- pender bruscamente la medicación. 5616.12 Instruir al paciente acerca de los posibles efectos secundarios adversos de cada medicamento. 5616.15 Instruir al paciente sobre los signos y síntomas de sobredosis y subdosis. 5616.19 Instruir al paciente acerca de la eliminación adecuada de las agujas y jeringas en casa, y dónde deshacerse de los recipientes de obje- tos afilados en la comunidad. 5616.21 Ayudar al paciente a desarrollar un horario de medicación escrito. 5616.28 Incluir a la familia/ser querido, si procede. 5618 ENSEÑANZA: PROCEDIMIENTO / TRATAMIENTO Definición: Preparación de un paciente para que comprenda y se prepa- re mentalmente para un procedimiento o tratamiento prescrito. Actividades: 5618.01 Informar al paciente / ser querido acerca de cuándo y dónde ten- drá lugar el procedimiento / tratamiento. 5618.02 Informar al paciente / ser querido acerca de la duración espera- da del procedimiento / tratamiento. 382 5000
  • 384.
    5618.03 Informar alpaciente / ser querido sobre la persona que realizará el procedimiento / tratamiento. 5618.06 Explicar el propósito del procedimiento / tratamiento. 5618.07 Describir las actividades del procedimiento / tratamiento. 5618.08 Explicar el procedimiento / tratamiento. 5618.10 Enseñar al paciente como cooperar / participar durante el proce- dimiento / tratamiento, si procede. 5618.17 Describir las valoraciones / actividades posteriores al procedi- miento / tratamiento y el fundamento de las mismas. 5618.18 Informar al paciente sobre la forma en que puede ayudar en la recuperación. 5618.22 Proporcionar distracción al niño para que desvíe su atención del procedimiento. 5618.23 Proporcionar información sobre cuándo y donde estarán disponi- bles los resultados y la persona que los explicará. 5622 ENSEÑANZA: SEXO SEGURO Definición: Proporcionar instrucciones acerca de medidas de protección durante la relación sexual. Actividades: 5622.01 Discutir las actitudes del paciente acerca de los diversos méto- dos de control de la natalidad. 5622.02 Instruir al paciente sobre el uso de métodos de control de la nata- lidad efectivos, según cada caso. 5622.07 Instruir al paciente en las prácticas sexuales de bajo riesgo, como las que evitan la penetración corporal o el intercambio de fluidos corporales. 5622.08 Instruir al paciente sobre la importancia de una buena higiene , lubricación y eliminación de orina después de la relación, para disminuir la susceptibilidad a infecciones. 5622.09 Fomentar el uso de preservativos. 5622.10 Enseñar al paciente a elegir preservativos y mantenerlos intac- tos, si procede. 383 5000
  • 385.
    5622.11 Instruir alpaciente sobre la colocación y extracción correcta de los preservativos. 5622.12 Discutir con el paciente las formas de convencer al compañero para que use preservativos. 5622.15 Animar al paciente con alto riesgo de padecer enfermedades de transmisión sexual a pasar exámenes regulares.Remitir al paciente con problemas o preguntas sexuales al cuidador sanitario correspondiente, si procede. 5622.16 Planificar clases de educación sexual para grupos de pacientes. 5624 ENSEÑANZA: SEXUALIDAD Definición: Ayudar a las personas a comprender las dimensiones físicas y psicosociales del crecimiento y desarrollo sexual. Actividades: 5624.02 Explicar la anatomía y fisiología humanas del cuerpo masculino y femenino. 5624.03 Explicar la anatomía y fisiología de la reproducción humana. 5624.04 Discutir los signos de fertilidad (relacionados con la ovulación y el ciclo menstrual). 5624.07 Apoyar el papel de los padres como principales educadores sexuales de sus hijos. 5624.08 Educar a los padres sobre el crecimiento y desarrollo sexual a lo largo de la vida. 5624.09 Proporcionar a los padres bibliografía de material de educación sexual. 5624.13 Discutir las presiones sociales y de los iguales en la actividad sexual. 5624.17 Educar a los niños y adolescentes en las consecuencias negati- vas del embarazo precoz (pobreza y pérdida de la educación y de opor- tunidades de hacer carrera). 5624.18 Enseñar a los niños y adolescentes las enfermedades de trans- misión sexual y el SIDA. 5624.21 Informar a los niños y adolescentes acerca de medios anticon- ceptivos eficaces. 384 5000
  • 386.
    5624.22 Explicar laaccesibilidad a los anticonceptivos y la forma de obte- nerlos. 5624.23 Ayudar a los adolescentes a elegir un anticonceptivo adecuado, si procede. 5624.24 Facilitar el juego de roles en los que se puedan practicar la toma de decisiones y las habilidades de comunicación para resistir las presio- nes sociales y de sus iguales sobre la actividad sexual. 5626 ENSEÑANZA: NUTRICIÓN INFANTIL(0-12 meses) Definición: Enseñanza de las practicas de nutrición y alimentación duran- te el primer año de vida. Actividades: 6820.01 Monitorizar el peso y la altura del bebé. 5626.02 Enseñar a los padres/cuidador del bebé de 0-3 meses a alimen- tar sólo con leche materna o de formula el primer año (no dar alimentos sólidos antes de los 4 meses). 5626.04 Enseñar a los padres/cuidador del bebé de 0-3 meses a evitar introducir cereales en el biberón (sólo leche de formula o materna), si no procede. 5626.05 Enseñar a los padres/cuidador del bebé de 0-3 meses a evitar el uso de miel o de jarabe de cereales. 5626.06 Enseñar a los padres/cuidador del bebé de 0-3 meses a desechar las sobras de leche de formula y limpiar el biberón después de cada toma. 5626.07 Advertir a los padres/cuidador del bebé de 0-3 meses sobre las características deposiciones. 5626.08 Informar a los padres/cuidador del bebé de 0-3 meses sobre la perdida de peso fisiológica. 5626.09 Asesorar a los padres/cuidador del bebé de 0-3 sobre suplemen- tos de vitaminas y minerales. 5626.10 Enseñar a los padres/cuidador del bebé de 4-6 meses a introdu- cir alimentos sólidos (en forma de purés) sin añadir sal o azúcar y un nuevo alimento cada vez. 5626.11 Enseñar a los padres/cuidador del bebé de 4-6 meses a evitar dar zumos o bebidas azucaradas. 385 5000
  • 387.
    5626.12 Enseñar alos padres/cuidador del bebé de 4-6 meses a iniciar la alimentación con la cuchara . 5626.13 Enseñar a los padres/cuidador del bebé de 7-9 meses a introdu- cir alimentos con la cuchara y a bebér en taza cuando el bebé pueda sen- tarse. 5626.14 Enseñar a los padres/cuidador del bebé de 7-9 meses a tener al bebé junto a la familia durante las comidas. 5626.15 Enseñar a los padres/cuidador del bebé de 7-9 meses a dejar que él bebé empiece a comer sólo y vigilar para evitar que se atragante. 5626.16 Enseñar a los padres/cuidador del bebé de 7-9 meses a que des- pués de los alimentos sólidos hay que ofrecer líquidos. 5626.17 Enseñar a los padres/cuidador del bebé de 7-9 meses a evitar los postres dulces y las bebidas carbónicas. 5626.18 Enseñar a los padres/cuidador del bebé de 7-9 meses a ofrecer una variedad de alimentos de acuerdo con la pirámide de alimentos. 5626.19 Enseñar a los padres/cuidador del bebé de 7-9 meses a lavarle las manos antes de las comidas. 5626.20 Enseñar a los padres/cuidador del bebé de 10-12 meses a ofre- cer tres comidas principales y tentempiés saludables. 5626.21 Enseñar a los padres/cuidador del bebé de 10-12 meses a empe- zar el destete del biberón. 5626.22 Enseñar a los padres/cuidador del bebé de 10-12 meses a evitar bebidas de frutas y leche con gustos. 5626.23 Enseñar a los padres/cuidador del bebé de 10-12 meses a empe- zar a comer a la mesa. 5626.24 Enseñar a los padres/cuidador del bebé de 10-12 meses a per- mitirle que coma sólo con la cuchara. 5628 ENSEÑAR: SEGURIDAD INFANTIL(0-12 meses) Definición: Enseñanza de la seguridad durante el primer año de vida. Actividades: 5628.01 Proporcionar a los padres por escrito materiales adecuados a las necesidades de conocimientos identificados. 386 5000
  • 388.
    5628.02 Enseñar alos padres/cuidador del bebé de 0-3 meses a instalar y utilizar la silla para el coche de acuerdo con las instrucciones del fabri- cante. 5628.05 Enseñar a los padres/cuidador del bebé de 0-3 meses a evitar el uso de joyas o cadenas en él bebé. 5628.06 Enseñar a los padres/cuidador del bebé de 0-3 meses a utilizar y mantener correctamente todo el equipo (hamaca, cochecito, parque, cuna portátil). 5628.07 Evitar cogerle mientras se fuma o se toman bebidas calientes. 5628.08 Enseñar a los padres/cuidador del bebé de 0-3 meses a evitar caídas. 5628.09 Enseñar a los padres/cuidador del bebé de 0-3 meses a compro- bar la temperatura del agua del baño. 5628.10 Enseñar a los padres/cuidador del bebé de 0-3 meses a mante- ner los animales de compañía a una distancia prudencial del bebé. 5628.11 Enseñar a los padres/cuidador del bebé de 0-3 meses a no agi- tar, sacudir o balancearlo en el aire. 5628.12 Enseñar a los padres/cuidador del bebé de 0-3 meses a evitar exposición al humo de tabaco. 5628.13 Enseñar a los padres/cuidador del bebé de 0-3 meses a evitar exposición solar excesiva 5628.14 Enseñar a los padres/cuidador del bebé de 0-3 meses a ofrecer juguetes seguros 5628.15 Enseñar a los padres / cuidadores del bebé de 4-6 meses a evi- tar el uso de andadores o de saltadores debido al peligro de lesiones y de los efectos perjudiciales sobre el desarrollo muscular. 5628.16 Enseñar a los padres / cuidadores del bebé de 4-6 meses a no dejarlo nunca desatendido en el baño, en el carro del supermercado, en la silla alta, sobre el sofá, etcétera. 5628.17 Enseñar a los padres / cuidadores del bebé de 4-6 meses a eva- luar los juguetes que cuelguen de la cuna. 5628.18 Enseñar a los padres / cuidadores del bebé de 4-6 meses a uti- lizar la silla alta cuando sea capaz de sentarse. 5628.19 Enseñar a los padres / cuidadores del bebé de 4-6 meses a ali- mentarlo únicamente con alimentos blandos o hechos puré. 387 5000
  • 389.
    5628.20 Enseñar alos padres / cuidadores del bebé de 4-6 meses a qui- tar todos los objetos pequeños al alcance del bebé. 5628.21 Enseñar a los padres / cuidadores del bebé de 4-6 meses a esta- blecer medidas de seguridad en el hogar: Líquidos calientes, bolsas de plástico, enchufes, alargaderas, tóxicos, medicamentos. 5628.22 Enseñar a los padres / cuidadores del bebé de 7-9 meses a man- tener los objetos peligrosos fuera de su alcance.Proveer de barreras las zonas peligrosas y supervisar su actividad continuamente. 5628.23 Enseñar a los padres / cuidadores del bebé de 10-12 meses a proteger los muebles de cristal, los bordes afilados, los muebles inesta- bles y los aparatos. 5628.24 Enseñar a los padres / cuidadores del bebé de 10-12 meses a almacenar los productos de limpieza, los medicamentos y los productos de aseo personal fuera del alcance del bebé. 5628.25 Enseñar a los padres / cuidadores del bebé de 10-12 meses a utilizar pestillos a prueba de niños en los armarios y evitar el acceso del bebé a ventanas, balcones o escaleras. 5628.26 Enseñar a los padres / cuidadores del bebé de 10-12 meses a mantenerlos lejos de estanques, piscinas, váter y cualquier recipiente con liquido para evitar que se ahogue. Asegurar las zonas de la piscina / bañeras calientes con múltiples barreras 5628.27 Enseñar a los padres / cuidadores del bebé de 10-12 meses a elegir los juguetes de acuerdo con las recomendaciones del fabricante respecto a la edad. 5632 ENSEÑANZA: SEGURIDAD NIÑO PEQUEÑO Y ESCOLAR Definición: Enseñanza de la seguridad entre los 2 y 11 años. Actividades: 5632.01 Proporcionar a los padres por escrito materiales adecuados a las necesidades de conocimiento identificados. 5632.02 Enseñar a los padres / cuidador del bebé de 13-18 meses a: 5632.03 Enseñar a los padres / cuidador del bebé de 13-18 meses a supervisar al niño cuando este al aire libre y enseñarle los peligros de lan- zar objetos y dar golpes. 388 5000
  • 390.
    5632.04 Enseñar alos padres / cuidador del bebé de 13-18 meses a Evitar el acceso a enchufes, cables y equipos / herramientas eléctricas. 5632.06 Enseñar a los padres / cuidador del bebé de 13-18 meses a enseñar a los niños maneras seguras de tratar a los animales domésticos. 5632.07 Enseñar a los padres / cuidador del bebé de 13-18 meses a ase- gurar puertas / rejas para evitar el acceso del niño a zonas peligrosas(calle, calzada, piscina). 5632.09 Enseñar a los padres / cuidador del bebé de 13-18 meses a uti- lizar quemadores de la cocina, instalar protecciones en los botones y / o restringir el acceso del niño a la cocina. 5632.14 Enseñar a los padres / cuidador del bebé de 19-24 meses a ins- talar sillas y utilizarlas siguiendo las instrucciones del fabricante. 5632.15 Enseñar a los padres / cuidador del bebé de 19-24 meses a Guardar los objetos afilados y de cocina fuera del alcance del niño. 5632.16 Enseñar a los padres / cuidador del bebé de 19-24 meses a Enseñar al niño los peligros de la calle. 5632.17 Enseñar a los padres / cuidador del bebé de 19-24 meses a Guardar todos los productos de limpieza, medicamentos y productos de aseo personal fuera del alcance del niño. 5632.18 Enseñar a los padres / cuidador del bebé de 19-24 meses a Asegurar con múltiples barreras las zonas de la piscina / baños calientes. 5632.19 Enseñar a los padres / cuidadores del bebé de 25-36 meses a Enseñar al niño los peligros de las armas. 5632.20 Enseñar a los padres / cuidadores del bebé de 25-36 meses a Elegir los juguetes de acuerdo con las instrucciones del fabricante respec- to a la edad. 5632.21 Enseñar a los padres / cuidadores del bebé de 25-36 meses a Supervisar y enseñar la utilización segura de toboganes altos y juguetes para montar. 5632.22 Enseñar a los padres / cuidadores del bebé de 25-36 meses a Guardar cerillas / encendedores fuera del alcance del niño y enseñarle los peligros del fuego y de los encendedores. 5632.23 Enseñar a los padres / cuidadores del bebé de 25-36 meses a Supervisar siempre al niño cuando este cerca de piscinas, estanques y baños calientes. 389 5000
  • 391.
    5632.24 Enseñar alos padres / cuidadores del bebé de 25-36 meses a Enseñar al niño los peligros de los desconocidos y a distinguir entre el contacto bueno y el malo. 5632.25 Enseñar a los padres / cuidadores del bebé de 25-36 meses a Proporcionar un casco homologado para montar en bicicleta y enseñar al niño a ponérselo siempre. 5632.26 Enseñar a los padres / cuidadores del bebé de 25-36 meses a Evitar el acceso del niño a ventanas, balcones y escaleras. 5632.27 Enseñar a los padres / cuidadores del bebé de 25-36 meses a Supervisar de cerca al niño cuando este al aire libre. 5632.28 Enseñar a los padres / cuidadores del bebé de 25-36 meses a Enseñar al niño como pedir ayuda a un adulto cuando este asustado o en peligro. 5632.29 Enseñar a los padres / cuidadores del bebé del niño a partir de 36 meses elegir los juguetes de acuerdo con las instrucciones del fabri- cante respecto a la edad. 5632.30 Enseñar a los padres / cuidadores del bebé del niño a partir de 36 meses supervisar y enseñar la utilización segura de toboganes altos y juguetes para montar. 5632.31 Enseñar a los padres / cuidadores del bebé del niño a partir de 36 meses guardar cerillas / encendedores fuera del alcance del niño y enseñarle los peligros del fuego y de los encendedores. 5632.32 Enseñar a los padres / cuidadores del bebé del niño a partir de 36 meses supervisar siempre al niño cuando este cerca de piscinas, estanques y baños calientes. 5632.33 Enseñar a los padres / cuidadores del bebé del niño a partir de 36 meses Enseñar al niño los peligros de los desconocidos y a distinguir entre el contacto bueno y el malo. 5632.34 Enseñar a los padres / cuidadores del bebé del niño a partir de 36 meses proporcionar un casco homologado para montar en bicicleta y enseñar al niño a ponérselo siempre. 5632.35 Enseñar a los padres / cuidadores del bebé del niño a partir de 36 meses evitar el acceso del niño a ventanas, balcones y escaleras. 5632.36 Enseñar a los padres / cuidadores del bebé del niño a partir de 36 meses Supervisar de cerca al niño cuando este al aire libre. 390 5000
  • 392.
    5632.37 Enseñar alos padres / cuidadores del bebé del niño a partir de 36 meses enseñar al niño como pedir ayuda a un adulto cuando este asustado o en peligro. 5820 DISMINUCIÓN DE LA ANSIEDAD Definición: minimizar la aprensión, temor, presagios relacionados con una fuente no identificada de peligro por adelantado. Actividades: 5820.01 Utilizar un enfoque sereno que de seguridad. 5820.04 Tratar de comprender la perspectiva del paciente sobre una situación estresante. 5820.05 Proporcionar información objetiva respecto al diagnóstico, trata- miento y pronóstico 5820.06 Permanecer con el paciente para promover la seguridad y redu- cir el miedo.. 5820.09 Administrar masajes en la espalda/ cuello, si procede. 5820.12 Escuchar con atención. 5820.14 Crear un ambiente que facilite la confianza. 5820.15 Animar la manifestación de sentimientos, percepciones y miedos. 5820.18 Ayudar al paciente a identificar las situaciones que precipitan la ansiedad. 5820.23 Instruir al paciente sobre el uso de técnicas de relajación. 5880 TÉCNICA PARA TRANQUILIZAR Definición: Disminución de la ansiedad del paciente que experimenta dis- trés agudo. Actividades: 5880.01 Coger y calmar al bebé o niño. 5880.04 Ofrecer tranquilidad al bebé, si procede. 5880.05 Mantener contacto visual con el paciente. 5880.07 Mantener la calma de un manera deliberada. 391 5000
  • 393.
    5880.08 Sentarse yhablar con el paciente. 5880.09 Favorecer una respiración lenta, profunda, intencionalmente. 5880.11 Acariciar la frente, si procede. 5880.12 Disminuir los estímulos que crean miedo o ansiedad. 5880.13 Identificar seres queridos cuya presencia pueda ayudar al paciente. 5880.18 Frotar la espalda, si procede. 5880.21 instruir al paciente sobre métodos que disminuyan la ansiedad, si procede. 5880.22 Instruir al paciente sobre técnicas que han de utilizarse para cal- mar al bebé que llora (hablar al bebé, ponerle la mano en la tripita, liberar los brazos, levantarlo, sostenerlo y mecerlo). 5900 DISTRACCIÓN Definición: Enfoque intencionado de la atención para alejarla de sensa- ciones indeseables. Actividades: 5900.01 Describir el motivo y los beneficios, límites y tipos de las técnicas de distracción disponibles. 5900.02 Describir los beneficios de estimular una variedad de modalida- des sensoriales(música, contar, televisión y lectura). 5900.03 Animar al individuo a que elija la técnica de distracción deseada, como música, participar en una conversación o contar detalladamente un suceso o cuento, imaginación dirigida o el humor. 5900.05 Sugerir técnicas coherentes con el nivel de energía y la capacidad. 5900.06 Individualizar el contenido de la técnica de distracción en función de las técnicas utilizadas con éxito anteriormente y de la edad o el nivel de desarrollo. 5900.11 Fomentar la participación de la familia y los seres queridos y enseñarles, si resulta oportuno. 5900.12 Dar instrucciones escritas sobre el modo y el momento de utilizar la estrategia dada, si procede. 5900.14 Evaluar y registrar la respuesta a la distracción. 392 5000
  • 394.
    6040 TERAPIA DERELAJACIÓN SIMPLE Definición: Uso de técnicas para favorecer e inducir la relajación con objeto de disminuir los signos y síntomas indeseables como dolor, tensión muscular simple o ansiedad. Actividades: 6040.01 Explicar el fundamento y beneficios, limites y tipos de relajación disponibles (terapia musical, meditación y relajación muscular progresiva). 6040.03 Considerar la voluntad y la capacidad de la persona para partici- par, preferencias, experiencias pasadas y contraindicaciones antes de seleccionar una estrategia de relajación determinada. 6040.05 Crear un ambiente tranquilo, sin interrupciones, con luces suaves y una temperatura agradable, cuando sea posible. 6040.06 Enseñar a la persona a adoptar una posición cómoda sin ropas restrictivas y con los ojos cerrados. 6040.11 Mostrar y practicar la técnica de relajación con el paciente. 6040.15 Fomentar la repetición o práctica frecuente de la(s) técnica(s) seleccionada(s). 6040.16 Dejarle un tiempo sin molestar ya que el paciente puede quedar- se dormido. 6040.19 Grabar una cinta sobre la técnica de relajación para uso de la persona, según proceda. 6160 INTERVENCIÓN EN CASO DE CRISIS Definición: Utilización de asesoramiento de corto plazo para ayudar al paciente a enfrentarse a las crisis y retomar un estado de funcionamiento mejor o igual al estado previo a la crisis. Actividades: 6160.02 Determinar si el paciente presenta riesgo de seguridad par sí mismo o para otros. 6160.04 Ayudar en la identificación de factores desencadenantes y diná- mica de la crisis. 6160.05 Ayudar en la identificación de habilidades pasadas/presentes para enfrentarse a la crisis y su eficacia. 393 6000
  • 395.
    6160.06 Ayudar enla identificación de valores y habilidades personales que puedan utilizarse en la resolución de la crisis. 6160.07 Ayudar en el desarrollo de nuevas habilidades para solucionar problemas, si resulta necesario. 6160.08 Ayudar en la identificación de sistemas de apoyo disponibles. 6160.11 Ayudar en la identificación de actuaciones alternativas para resol- ver la crisis. 6160.14 Evaluar con el paciente si se ha resuelto la crisis con el curso de acción elegido. 6160.15 Planificar con el paciente la forma en que pueden utilizarse las habilidades de adaptación para tratar la crisis en el futuro. 6200 CUIDADOS EN LA EMERGENCIA Definición: Puesta en práctica de las medidas de salvamento en aquellas situaciones que resulten amenazadoras para la vida. Actividades: 6200.02 Activar el sistema de urgencia médica. 6200.04 Mantener la vía aérea abierta. 6200.05 Realizar resucitación cardiopulmonar, si procede. 6200.06 Realizar maniobra de Heimlich, si es el caso. 6200.09 Aplicar presión manual sobre el sitio de hemorragia, cuando corresponda. 6200.12 Comprobar si hay signos y síntomas de neumotórax o tórax gra- nado. 6200.15 Vigilar los signos vitales. 6200.21 Vigilar el nivel de conciencia. 6200.22 Inmovilizar las fracturas, heridas grandes y cualquier parte lesio- nada. 6200.23 Controlar el estado neurológico por si hubiera posibles lesiones en la cabeza o columna. 6200.24 Aplicar un collar cervical, si procede. 394 6000
  • 396.
    6200.25 Mantener laalineación del cuerpo si se sospechan lesiones medulares. 6340 PREVENCIÓN DEL SUICIDIO Definición: disminución del riesgo de daños autoinfligidos con la inten- ción de acabar con la vida. Actividades: 6340.01 Determinar la existencia y el grado de riesgo de suicidio. 6340.02 Determinar si el paciente dispone de medios para llevar adelan- te el plan de suicidio. 6340.03 Considerar la hospitalización del paciente que tiene un alto ries- go de conducta suicida. 6340.10 Implicar al paciente en la planificación de su tratamiento, si pro- cede. 6340.12 Acordar con el paciente (verbalmente o por escrito), si procede, que no se auto lesionara durante un periodo especificado de tiempo, vol- viéndolo a acordar a intervalos de tiempo especificados. 6340.19 Utilizar una forma de hablar directa y sin emitir juicios para comentar el suicidio. 6340.22 Discutir planes para hacer frente a las ideas suicidas en el futu- ro (factores precipitantes, a quién contactar, dónde buscar ayuda, mane- ras de aliviar los impulsos de autolesión). 6340.23 Ayudar al paciente a identificar las personas y los recursos de apoyo (clero, familia, proveedores de cuidados). 6340.24 Iniciar precauciones para el suicidio (observación y vigilancia continua del paciente, proveerse de un entorno protector) para el pacien- te que tiene un alto riesgo de suicidio. 6340.2 Examinar de forma rutinaria el entorno y eliminar los peligros para mantenerlo libre de riesgos. 6340.39 Explicar las precauciones contra el suicidio y los aspectos rele- vantes de seguridad al paciente/familia/seres queridos (propósito, dura- ción, expectativas conductuales y consecuencias de la conducta). 6340.4 Remitir al paciente a un especialista de cuidados de salud (psi- quiatra o enfermera experimentada en la salud mental/psiquiátrica) para 395 6000
  • 397.
    la evaluación yel tratamiento de las ideas y conductas de suicidio, según sea necesario. 6400 APOYO EN LA PROTECCIÓN CONTRA ABUSOS Definición: Identificación de las relaciones y acciones dependientes de alto riesgo para evitar que aumenten los daños físicos o emocionales. Actividades: 6400.01 Identificar al adulto con un historial de infancia infeliz asociada con abusos, rechazo, exceso de critica, o sentimientos de inutilidad y falta de amor cuando fue niño. 6400.02 Identificar al adulto que tenga dificultad para confiar en los demás o que sienta que no es apreciado por los demás. 6400.08 Determinar si los adultos son capaces de hacerse cargo el uno del otro cuando uno de ellos se encuentra demasiado tenso, cansado o irascible para tratar con el miembro de la familia dependiente. 6400.10 Identificar las situaciones de crisis que pueden desencadenar los abusos, tales como pobreza, desempleo, divorcio o muerte de un ser querido. 6400.12 Observar si el niño/adulto dependiente enfermo o lesionado pre- senta signos de abuso. 6400.22 Escuchar los sentimientos de la embarazada sobre el embarazo y sobre las expectativas del niño no nacido aún. 6400.26 Observar si hay un deterioro progresivo del cuidado físico y emo- cional del niño/adulto dependiente en el seno familiar. 6400.32 Instruir a los miembros adultos de la familia sobre los signos de abusos. 6400.35 Informar de cualquier situación en la que se sospeche de abusos a las autoridades correspondientes. 6400.36 Remitir al adulto(s) a casas de acogida en el caso de esposas maltratadas, si procede. 6402 APOYO EN LA PROTECCIÓN CONTRA ABUSOS: NIÑOS Definición : Identificación de las relaciones y acciones del niño depen- 396 6000
  • 398.
    diente de altoriesgo para evitar la posibilidad de que se inflijan daños físi- cos, sexuales o emocionales, o se abandonen las necesidades vitales básicas. Actividades: 6402.01 Identificar a las madres con un historial de cuidados prenatales tardíos (cuatro meses o más ) o ningún cuidado prenatal. 6402.02 Identificar a los padres a quienes hayan retirado la custodia de otro niño o que hayan dejado a niños con parientes durante prolongados periodos de tiempo. 6402.03 Identificar a los padres con un historial de abusos, depresión o enfermedad psiquiátrica importante 6402.05 Identificar a los padres con un historial de violencia doméstica o una madre con historial de numerosas lesiones “accidentales”. 6402.08 Determinar si la familia dispone de una red de apoyo social intac- ta que ayude con los problemas familiares con la falta de cuidados al niño y los cuidados del niño en crisis. 6402.11 Determinar si el niño muestra señales de abuso físico, incluyen- do numerosas lesiones en distintas etapas de curación, hematoma y señales de azotes sin explicación ; comportamiento sin explicación, inmersión y quemaduras por fricción, fracturas faciales, espirales, de caña o múltiples, laceraciones, y abrasiones faciales sin explicación marcas de mordedura humana ; hemorragia intracraneal, subdural, intravemtricular, e intraocular : síndrome del niño sacudido por latigazos y enfermedades que sean resistentes al tratamiento y /o tengan signos y síntomas cam- biantes. 6402.16 Determinar si el niño muestra signos de abuso emocional, inclu- yendo retrasos en el desarrollo físico, trastornos de hábitos, trastornos de aprendizaje de conducta, reacciones de características neuróticas/psico- neuróticas, comportamientos extremos, retraso del desarrollo cognitivo, e intentos de suicidio. 6402.25 Observar si se repiten las visitas a la clínica, urgencias, o consul- tas del médico por problemas menores. 6402.32 Proporcionar a los padres método de castigo (limites o correc- ción) no corporal para disciplinar al niño. 6402.37 Proporcionar a los niños afirmaciones positivas de su valía, cui- dado de nutrición comunicación y estimulación del desarrollo. 397 6000
  • 399.
    6402.38 Proporcionar alos niños que hayan sufrido abuso sexual la afir- mación de que el abuso no ha sido por su culpo y permitirles expresar sus preocupaciones a través de la terapia adecuada a su edad. 6403 APOYO EN LA PROTECCIÓN CONTRA ABUSOS: CÓNYUGE Definición: Identificar las relaciones y acciones domésticas dependientes de alto riesgo para prevenir que se inflija posterior daño físico, sexual o emocional, o la explotación de uno de los cónyuges. Actividades: 6403.01 Investigar si existen factores de riesgo asociados con el abuso domestico (p ej. historial de violencia doméstica, abusos, rechazo, exceso de critica o sentimientos de inutilidad y falta de amor ; dificultad para con- fiar en los demás o sentimientos de falta de aprecio de los demás : sensa- ción de que la solicitud de ayuda constituye un indicio de incompetencia personal ; necesidad de cuidado físico : muchas responsabilidades de cui- dado familiar, abuso de sustancias ; depresión ; enfermedades psiquiátri- cas importantes ; aislamiento social ; mala relación entre los cónyuges ; muchos matrimonios ; embarazo, pobreza desempleo, dependencia finan- ciera, falta de hogar, infidelidad, divorcio, o muerte de un ser querido). 6403.03 Observar si hay signos y síntomas de abusos físicos (p. j. nume- rosas lesiones en distinta etapa de curación ; laceraciones, hematomas o contusiones en cara (especialmente periorbitarios), boca, torso, espal- da, nalgas o extremidades superiores sin explicación ; fracturas inexpli- cables de cráneo, nariz, costillas o cadera ; partes sin cabellos en la cabeza o un cuero cabelludo dolorido ; magulladuras o excoriaciones en las muñecas o en los tobillos u otras marcas de ataduras, contusiones “defensivas “ en los antebrazos, y marcas de mordeduras humanas. 6403.05 Observar si hay signos y síntomas de abuso emocional (p. ej. baja autoestima, depresión, humillación, y sentimientos de derrota ; com- portamiento muy precavido respecto al cónyuge ; agresión contra si mismo o actitudes suicidas). 6403.06 Observar si hay signos y síntomas de explotación (p. ej. provisión inadecuada de las necesidades básicas cuando se dispone de recursos adecuados ; privación de posesiones personales : pérdida inexplicable de los cheques de apoyo social ; evidencia de que los activos personales son cogidos sin consentimiento o aprobación o por medio de utilización de una influencia indebida, o falta de conocimiento de las finanzas persona- les o asuntos legales). 398 6000
  • 400.
    6403.09 Identificar incongruenciasen la explicación de la causa de las lesiones. 6403.11 Entrevistar al paciente en ausencia del cónyuge, y /o a alguna otra persona que conozca la situación acerca del presunto abuso en ausencia del cónyuge. 6403.16 Observar si se repiten las visitas a clínicas, urgencias o consul- tas al médico por problemas de los individuos. 6403.19 Animar la expresión de y sentimientos, incluyendo miedo culpa- bilidad, desconcierto y autoculpabilidad. 6403.25 Proporcionar información confidencial respecto a los albergues para personas que sufren violencia doméstica, según corresponda. 6403.27 Informar de cualquier situación donde se sospeche de abuso de acuerdo con las leyes de información obligatoria. 6404 APOYO EN LA PROTECCIÓN CONTRA ABUSOS: ANCIANOS Definición: Identificación de las relaciones y acciones de alto riesgo de del anciano dependiente para evitar posibles daños físicos, sexuales o emocionales; abandono de las necesidades vitales básicas, o la explota- ción. Actividades: 6404.03 Identificar las situaciones de crisis en la familia que puedan des- encadenar el abuso, como la pobreza, el desempleo, el divorcio, la falta de hogar, ola muerte de un ser querido. 6404.04 Determinar si el paciente mayor y el cuidador disponen de una red de apoyo social funcional para asistir al paciente, realizar las activida- des de la vida diaria y obtener cuidados sanitarios, transporte, terapia, medicinas, información de recursos, asesoramiento financiero, y ayuda con los problemas personales. 6404.05 Identificar a los pacientes ancianos que dependen de un solo cui- dador o unidad familiar para disponer de asistencia y control de cuidados físicos amplios. 6404.06 Identificar a los cuidadores que muestren una salud física o men- tal disminuida, abusos de sustancias. depresión, fatiga, problemas o dependencia económica, lesiones que hayan sido infligidas por el pacien- te, falta de comprensión de las necesidades o estado del paciente, 399 6000
  • 401.
    intolerancia o actitudesmuy críticas hacia el paciente, agotamiento del cuidador, lesiones de espalda ocasionadas por levantar objetos sin ayuda, abandono del paciente, o que lo amenacen con la hospitalización o con procedimientos dolorosos. 6404.10 Observar las interacciones paciente - cuidador y registrarlas. 6404.11 Determinar si el paciente mayor muestra signos de abandono, incluyendo problemas de higiene, vestimenta inadecuada (rota, sucia) o privación de ropa o calzado abrigados ; lesiones de la piel sin tratar, con- tracturas, integridad de la piel disminuida ; problemas por posición decú- bito, malnutrición o falta de adhesión a la dieta prescrita, falta de ayuda o inadecuada, en la movilidad y percepción (bastones, vasos, asistencia con la audición ) falta de dentadura postiza o dientes fracturados o caria- dos ; excoriaciones pèrianales o raspones en la piel ; problemas de salud sin tratar o ingresos repetidos debido a inadecuada vigilancia de cuidados sanitarios ; infestación con bichos ; falta de medicación o admi- nistración de sedante en exceso, y falta de contacto social. 6410 MANEJO DE LA ALERGIA Definición: Identificación, tratamiento y prevención de las respuestas alérgicas a alimentos, medicamentos, picaduras de insectos, material de contraste, sangre u otras sustancias. Actividades: 6410.03 Registrar todas las alergias en registros clínicos, de acuerdo con el protocolo. 6410.05 Observar si el paciente presenta reacciones alérgicas a nuevos medicamentos, fórmulas, alimentos y/ tinturas de tests. 6410.98 Identificar si han esxistido agudizaciones del proceso alérgico. 6410.15 Administrar inyecciones para alergias, si es necesario. 6410.07 Mantener al paciente en observación durante 30 minutos des- pués de la administración de un agente conocido capaz de inducir una respuesta alérgica. 6410.16 Observar si hay respuestas alérgicas durante las inmunizacio- nes. 6410.99 Recomendar que se evite la realización de ejreccio en las seis horas siguientes a la administración de la vacuna antialérgica. 400 6000
  • 402.
    6412 MANEJO DELA ANAFILAXIA Definición: Fomento de la ventilación y de la perfusión de los tejidos ade- cuadas para un paciente con una reacción alérgica (antígeno – anticuer- po) grave. Actividades: 6412.01 Colocar al paciente en posición de Fowler o de Fowler alta. 6412.02 Aplicar un torniquete inmediatamente junto al punto alérgeno de entrada (p. ej., sitio de inyección, sitio IV, picadura de insecto, etc.), cuan- do sea posible. 6412.03 Administrar epinefrina acuosa subcutánea al 1:1.000 (0, 30, 5 ml) en el sitio de contacto si es aplicable, yh junto al torniquete y repetir cada 3 minutos, según sea necesario y por prescripción médica. 6412.04 Establecer y mantener la vía aérea despejada. 6412.05 Administrar oxígeno mediante mascarilla. 6412.06 Iniciar una infusión IV de solución salina normal, de Ringer lacta- to o de un dilatador del volumen plasmático, según corresponda. 6412.07 Tranquilizar al paciente y a los miembros de su familia. 6412.08 Observar si hay señales de shock, obstrucción de las vías aére- as, arritmias cardíacas, aspiración del contenido gástrico y convulsiones. 6412.11 Administrar espasmolíticos, antihistamínicos o corticosteroides, según prescripción médica, y documentar si existe urticaria, angiedema o broncospasmo. 6412.12 Consultar con otros y remitir, según sea necesario. 6450 MANEJO DE IDEAS ILUSORIAS Definición: Fomento de la comodidad, seguridad y orientación de la rea- lidad de un paciente que experimenta creencias falsas, fijas, que tienen poca o ninguna base real. Actividades: 6450.02 Dar al paciente oportunidades de discutir las ilusiones con el cui- dador. 6450.04 Centrar la discusión en sentimientos subyacentes, en vez de en el contenido de la ilusión (“parece como si usted sintiera miedo”). 401 6000
  • 403.
    6450.06 Animar alpaciente a que fundamente las creencias ilusorias con las personas en quienes confía (prueba de realidad). 6450.07 Animar al paciente a que cuente las ilusiones a los cuidadores, antes de actuar sobre ellas. 6450.09 Establecer actividades recreativas y de diversión que requieran atención o habilidad. 6450.10 Comprobar la capacidad de cuidados de sí mismo. 6450.12 Vigilar el estado psíquico del paciente. 6450.14 Realizar el seguimiento de las ilusiones por si hubiera presencia de contenidos que resulten dañinos o violentos para el paciente mismo. 6450.17 Proporcionar un nivel adecuado de vigilancia / supervisión para controlar al paciente. 6450.22 Mantener una rutina diaria coherente. 6450.28 Informar sobre la enfermedad al paciente / seres queridos, si las ilusiones están fundadas en una enfermedad (delirio, esquizofrenia o depresión). 6460 MANEJO DE LA DEMENCIA Definición: Proveer un ambiente modificado para el paciente que experi- menta un estado de confusión crónico. Actividades: 6460.01 Incluir a los miembros de la familia en la planificación, provisión y evaluación de cuidados, en el grado deseado. 6460.02 Establecer los esquemas usuales de comportamiento para acti- vidades como dormir, utilización de medicamentos, eliminación, ingesta de alimentos y cuidados propios. 6460.03 Determinar el historial físico, social y psicológico del paciente, hábitos corrientes y rutinas. 6460.04 Identificar el tipo y grado de déficit cognitivo, mediante herra- mientas de evaluación normalizadas. 6460.11 Disponer un ambiente físico estable y una rutina diaria. 6460.14 Dirigirse al paciente por su nombre al iniciar la interacción y hablar despacio. 402 6000
  • 404.
    6460.15 Dar unaorden simple por vez. 6460.16 Hablar con un tono de voz claro, bajo y respetuoso. 6460.22 Establecer periodos de reposo para evitar la fatiga y reducir el estrés. 6460.25 Evitar frustra al paciente interrogándolo con preguntas de orien- tación que no pueden ser respondidas. 6460.36 Solicitar a los miembros de la familia y amigos que vean al paciente de uno a dos por vez, si fuera necesario, para disminuir la esti- mulación. 6460.42 Utilizar símbolos, que no sean los escritos, para ayudar al paciente a localizar la habitación, el baño u otros equipos. 6482 MANEJO AMBIENTAL: COMODIDAD Definición: Manipulación del entorno del paciente para facilitar una como- didad óptima. Actividades: 6482.03 Evitar interrupciones innecesarias y permitir periodos de reposo. 6482.05 Proporcionar una cama limpia, cómoda. 6482.06 Ajustar la temperatura ambiental que sea más cómoda para la persona, si fuera posible. 6482.07 Proporcionar o retirar las mantas para fomentar comodidad en cuanto a la temperatura, si es el caso. 6482.08 Evitar exposiciones innecesarias, corrientes, exceso de calefac- ción o frío. 6482.09 Ajustar la iluminación de forma que se adapte a las necesidades de la persona, evitando la luz directa en los ojos. 6482.10 Controlar o evitar ruidos indeseables o excesivos, en lo posible. 6482.11 Facilitar medidas de higiene para mantener la comodidad de la persona. 6482.12 Colocar al paciente de forma que se facilite la comodidad (utili- zando principios de alineación corporal, apoyo con almohadas, apoyo de las articulaciones durante el movimiento, tablillas inmovilizadoras para la parte dolorosa del cuerpo). 403 6000
  • 405.
    6486 MANEJO AMBIENTAL:SEGURIDAD Definición: Vigilar y actuar sobre el ambiente físico para fomentar la seguridad. Actividades: 6486.01 Identificar las necesidades de seguridad, según la función física, cognoscitiva y el historial de conducta del paciente. 6486.03 Eliminar los factores de peligro del ambiente, cuando sea posible. 6486.04 Modificar el ambiente para minimizar los peligros y riesgos. 6486.05 Disponer dispositivos de adaptación (barandillas) para aumentar la seguridad del ambiente. 6486.06 Utilizar dispositivos de protección para limitar físicamente la movilidad o acceder a situaciones peligrosas. 6486.08 Proporcionar al paciente números tefefónicos de urgencias (poli- cía, toxicología, etc.). 6480.03 Eliminar los factores de peligro del ambiente (alfombras o man- tas flojas, y muebles pequeños, móviles). 6480.11 Colocar los objetos de uso frecuente al alcance del paciente. 6490 PREVENCIÓN DE CAÍDAS Definición: Establecer precauciones especiales en pacientes con alto riesgo de lesiones por caídas. Actividades: 6490.01 Identificar déficits cognoscitivos o físicos del paciente que pue- dan aumentar la posibilidad de caídas en un ambiente dado. 6490.02 Identificar las características del ambiente que puedan aumentar las posibilidades de caídas (suelos resbaladizos y escaleras sin barandillas). 6490.05 Proporcionar dispositivos de ayuda (bastón o barra de apoyo para caminar) para conseguir una deambulación estable. 6490.09 Instruir al paciente para que pida ayuda al moverse, si lo precisa. 6490.10 Enseñar al paciente cómo caer para minimizar el riesgo de lesio- nes. 404 6000
  • 406.
    6490.17 Utilizar barandillaslaterales de longitud y altura adecuadas para evitar caídas de la cama, si es necesario. 6490.31 Disponer luz nocturna en la mesilla de noche. 6490.32 Disponer barandillas y apoya manos visibles. 6490.33 Colocar puertas en los accesos que conduzcan a escaleras. 6490.34 Disponer superficies de suelo antideslizantes, antí-caídas. 6490.41 Asegurar que el paciente lleve zapatos que se ajusten correcta- mente, firmemente atados y con suelas antideslizantes. 6490.45 Ayudar a la familia a identificar los peligros del hogar y a modifi- carlos. 6490.46 Animar al paciente a utilizar un bastón o un andador, si procede. 6490.47 Enseñar al paciente a utilizar un bastón o un andador, si procede. 6490.48 Utilizar la técnica adecuada para colocar y levantar al paciente de la silla de medas, cama, baño, etc. 6490.49 Colaborar con otros miembros del equipo de cuidados sanitarios para minimizar los efectos secundarios de los medicamentos que contribu- yen a la posibilidad de caídas (hipotensión ortostática y andar inestable). 6520 CHEQUEO SANITARIO Definición: Detección de riesgos o problemas para la salud por medio de historiales, exámenes y demás procedimientos. Actividades: 6520.03 Establecer un acceso sencillo a los servicios de análisis (tiempo y lugar). 6520.04 Programar las citas para mejorar un cuidado eficaz e individuali- zado 6520.11 Realizar valoración física, cuando corresponda. 6520.12 Medir la presión sanguínea, peso, altura, porcentaje de grasa corporal, niveles de colesterol y azúcar en sangre, y realizar análisis de orina, si procede 6520.13 Realizar (o remitir para su realización) frotis, mamografía, examen de próstata, ECG, examen testicular y examen de la visión, si procede 405 6000
  • 407.
    6520.14 Obtener muestraspara análisis 6520.15 Completar los registros correspondientes del Departamento de Salud y demás registros para realizar el seguimiento de los resultados anormales, como presión sanguínea alta… 6520.16 Proporcionar información adecuada sobre el autoseguimiento durante los análisis. 6520.17 Proporcionar los resultados de los análisis sanitarios al paciente. 6520.19 Asesorar al paciente en el que se han hallado anormalidades sobre las alternativas de tratamiento o sobre la necesidad de realizar más evaluaciones 6520.20 Remitir al paciente a otros cuidadores sanitanos, cuando lo requiera el caso 6522 EXPLORACIÓN DE MAMA Definición: Inspección y palpación de las mamas y zonas afines. Actividades: 6522.02 Averiguar si la paciente ha notado o no algún dolor, endureci- miento o ablandamiento de la distorsión, retracción o escamación del pezón. mama, secreción, 6522.03 Ayudar a la paciente a colocarse cómodamente según el proce- dimiento de exploración, permitiendo siempre la intimidad y la sensibilidad necesarias. 6522.07 Inspeccionar la medida, la forma y los cambios en la textura o el color de las mamas, incluyendo cualquier enrojecimiento, hoyuelo, arru- ga, escamación o retracción de la piel. I 6522.08 Observar la simetría y el contorno de las mamas y la posición bilateral de los pezones por si hay cualquier desviación o anormalidad. 6522.09 Dar instrucciones a la paciente para utilizar cuatro posiciones diferentes para la exploración visual -brazos a los lados, manos en la cin- tura empujando hacia dentro y hacia las caderas, manos detrás de la cabeza y brazos cruzados en la cintura con el pecho hacia delante. 6522.10 Valorar la existencia de la secreción del pezón mediante una suave presión en cada pezón. 6522.11 Inspeccionar y palpar posibles anormalidades de las cadenas de 406 6000
  • 408.
    nódulos linfáticos, incluyendolos nódulos supraclaviculares, infraclavicu- lares, laterales, centrales, subescapulares y anteriores. 6522.14 Utilizando un método sistemático, palpar el tejido de la mama con la superficie palmar de los tres primeros dedos de la mano dominante del examinador. 6522.15 Mover de manera rotativa y comprimir el tejido de la mama con- tra la pared del tórax. 6522.21 Informar al médico o a la enfermera encargados de las anorma- lidades, según corresponda. 6522.23 Enseñar a la paciente la importancia de una autoexploración regular de la mama. 6522.24 Aconsejar la realización de mamografías regulares, según corresponda a la edad, el estado y el riesgo. 6530 MANEJO DE LA INMUNIZACIÓN / VACUNACIÓN Definición: Control del estado de inmunización, facilitando el acceso a la inmunizaciones y suministro de vacunas para evitar enfermedades conta- giosas. Actividades: 6530.01 Explicar a los padres el programa de inmunización recomendado necesario para los niños, su vía de administración, razones y beneficios de su uso, reacciones adversas y efectos secundarios. 6530.04 Proporcionar una cartilla de vacunación para registrar fecha y tipo de las inmunizaciones administradas. 6530.07 Administrar inyectables a los bebes en la parte anterolateral del muslo, cuando proceda. 6530.14 Conocer las contraindicaciones de la inmunización (reacción anafiláctica a vacunas anteriores y enfermedades moderadas o graves con o sin fiebre). 6530.19 Informar al paciente acerca de las medidas de alivio útiles des- pués de la administración de fármacos en un niño. 6530.22 Programar las inmunizaciones a intervalos adecuados. 6530.99 Programar la vacunación acelerada. 407 6000
  • 409.
    6550 PROTECCIÓN CONTRALAS INFECCIONES Definición: Prevención y detección precoz de la infección en un paciente de riesgo. Actividades: 6550.01 Observar los signos y síntomas de infección sistémica y localizada. 6550.07 Mantener las normas de asepsia para el paciente de riesgo. 6550.08 Realizar técnicas de aislamiento, si es preciso. 6550.10 Inspeccionar la existencia de enrojecimiento, calor extremo o drenaje en la piel y las membranas mucosas. 6550.11 Obtener muestras para realizar un cultivo, si es necesario. 6550.17 Fomentar la respiración y tos profunda, si está indicado. 6550.18 Administrar un agente de inmunización, si resulta oportuno. 6550.19 Enseñar al paciente a tomar los antibióticos tal como se ha pres- crito. 6550.20 Instruir al paciente y a la familia acerca de los signos síntomas de infección y cuándo debe informar de ellos al cuidador. 6550.21 Enseñar al paciente y a la familia a evitar infecciones. 6680 MONITORIZACIÓN DE LOS SIGNOS VITALES Definición: Recogida y análisis de datos sobre el estado cardiovascular, respiratorio y de temperatura corporal para determinar y prevenir compli- caciones. Actividades: 6680.01 Controlar periódicamente presión sanguínea, pulso, temperatura y estado respiratorio, si procede. 6680.03 Controlar la presión sanguínea mientras el paciente esta acosta- do, sentado y de pie, si procede. 6680.04 Auscultar las presiones sanguíneas en ambos brazos y compa- rar, si procede. 6680.05 Controlar la presión sanguínea, pulso, y respiraciones antes, durante y después de la actividad, si procede. 408 6000
  • 410.
    6680.07 Observar yregistrar si hay signos y síntomas de hipotermia e hipertermia. 6680.08 Observar la presencia y calidad de los pulsos. 6680.19 Observar periódicamente el color, la temperatura y la humedad de la piel. 6680.23 Identificar causas posibles de los cambios en los signos vitales. 6680.24 Comprobar periódicamente la precisión de los instrumentos utili- zados para la recogida de los datos del paciente. 6680.98 Realizar oscilometría. según protocolo. 6680.99 Realizar la toma de la presión arterial, según protocolo. 6820 CUIDADOS DE BEBES Definición: Fomento de cuidados adecuados al nivel de desarrollo y cen- trados en la familia para el bebe de menos de un año de edad. Actividades: 6820.01 Monitorizar el peso y la altura del bebé. 6820.02 Monitorizar la ingesta y eliminación, si procede. 6820.07 Monitorizar la seguridad del ambiente del bebé. 6820.09 Proporcionar información a los padres acerca del desarrollo y crianza de niños. 6820.10 Disponer actividades adecuadas al nivel de desarrollo para esti- mular el desarrollo cognoscitivo. 6820.15 Animar a los padres a que realicen los cuidados diarios del bebe, si procede. 6820.18 Informar a los padres acerca de los progresos del bebé. 6820.22 Explicar a los padres que la regresión es normal en momentos de estrés, como enfermedad u hospitalización. 6820.26 Disponer un ambiente tranquilo, sin interrupciones, durante los períodos de sueño y por la noche, si procede. 6870 SUPRESIÓN DE LA LACTANCIA Definición: Facilitar el cese de producción de leche y minimizar la con- gestión de los pechos después de dar a luz. 409 6000
  • 411.
    Actividades: 6870.01 Administrar porprescripción médica el fármaco para el cese de la lactación, si corresponde. 6870.04 Aplicar paquetes de hielo a la zona axilar de los pechos durante 20 minutos, cuatro veces al día y en casa, si es necesario. 6870.07 Animar a la paciente a que lleve sujetador de soporte, de buena sujeción, hasta que se suprima la lactancia. 6870.08 Aplicar vendajes compresivos en los pechos, si procede. 6870.98 Aconsejar a la paciente la sustitución alterna de las tomas entre lactancia materna y lactancia artificial, incrementando progresivamente las tomas con biberón. 6870.99 Aconsejar espaciar las tomas de forma progresiva sustituyendo las tetadas por el biberón. 6900 SUCCIÓN NO NUTRITIVA Definición: Disponer oportunidades de succión al bebé. Actividades: 6900.05 Colocar el dedo pulgar y el índice en la mandíbula del bebé para apoyar el reflejo de succión, si fuera necesario. 6900.06 Mover la lengua del bebé rítmicamente con el chupete, si fuera necesario, para fomentar la succión. 6900.07 Acariciar suavemente la mejilla del bebé para estimular el reflejo de succión. 6900.13 Informar a los padres de la importancia de satisfacer las necesi- dades de succión. 6900.14 Animar a la madre que dé el pecho a permitir la succión no nutri- tiva del pecho después de finalizar la toma. 6900.99 Evitar el uso del chupete en caso de lactancia materna. 7040 APOYO AL CUIDADOR PRINCIPAL Definición: Suministro de la necesaria información, recomendación y apoyo para facilitar los cuidados primarios al paciente por parte de una persona distinta del profesional de cuidados sanitarios. 410 6000
  • 412.
    Actividades: 7040.01 Determinar elnivel de conocimientos del cuidador. 7040.02 Determinar la aceptación del cuidador de su papel. 7040.03 Aceptar las expresiones de emoción negativa. 7040.04 Estudiar junto al cuidador los puntos fuertes y débiles. 7040.05 Reconocer la dependencia que tiene el paciente del cuidador, si procede. 7040.11 Proporcionar ayuda sanitaria de seguimiento al cuidador median- te llamadas de teléfono y /o cuidados de enfermería comunitarios. 7040.12 Observar si hay indicios de estrés. 7040.13 Enseñar al cuidador técnicas de manejo del estrés. 7040.16 Animar al cuidador a participar en grupos de apoyo. 7040.17 Enseñar al cuidador estrategias de mantenimiento de cuidados sanitarios para sostener la propia salud física y mental. 7040.20 Enseñar al cuidador estrategias para acceder y sacar el máximo provecho de los recursos de cuidados sanitarios y comunitarios. 7040.23 Realizar afirmaciones positivas sobre los esfuerzos del cuidador. 7050 FOMENTO DEL DESARROLLO: NIÑOS Definición: Facilitar o enseñar a los padres / cuidadores a conseguir un crecimiento lingüístico, cognitivo, social, emocional y motor total de los niños en edad preescolar y escolar. Actividades: 7050.01 Desarrollar una relación de confianza con el niño. 7050.11 Asegurarse de que el lenguaje corporal concuerda con la comu- nicación oral. 7050.14 Ayudar al niño a compartir y establecer turnos. 7050.16 Abrazar o mecer y consolar al niño, especialmente cuando esté angustiado. 7050.19 Enseñar al niño a solicitar ayuda de los demás, cuando sea nece- sario. 411 7000
  • 413.
    7050.21 Ofrecer jugueteso materiales apropiados a la edad. 7050.22 Ayudar al niño a que aprenda habilidades de autoayuda (alimen- tarse, arreglarse, cepillarse los dientes, lavarse las manos y vestirse). 7050.26 Enseñar al niño a que obedezca instrucciones. 7050.28 Ser coherente y estructurado con las estrategias de manejo / modificación de la conducta. 7050.31 Proporcionar oportunidades y materiales para construir, dibujar, modelar con arcilla, pintar y colorear. 7050.33 Proporcionar la oportunidad de armar puzzles y laberintos. 7050.37 Contar o leer cuentos al niño. 7050.38 Trabajar en el orden y secuencia de las letras, números y objetos. 7050.41 Proporcionar oportunidades y animar al ejercicio y actividades motoras de los músculos mayores. 7050.97 Comprobar el desarrollo psicomotor: Test Denver 7050.98 No abusar de tiempo de televisión y seleccionar losa programas que se van a ver. 7050.99 Tomar la presión arterial a los 6 años 7052 FOMENTO DEL DESARROLLO: ADOLESCENTES Definición: Facilitar el crecimiento físico, cognitivo, social y emocional ópti- mo de los individuos durante la transición de la infancia a la edad adulta. Actividades: 7052.97 Monitorización de peso, estatura y presión arterial. 7052.02 Animar al adolescente para que se implique activamente en las decisiones respecto a su propio cuidado de la salud. 7052.09 Fomentar una dieta saludable. 7052.07 Fomentar la higiene personal. 1720.01 Explicar la necesidad del cuidado dental diario como rutina 1720.04 Fomentar las revisiones dentales regulares. 7052.08 Favorecer la participación en ejercicios seguros sobre una base regular. 412 7000
  • 414.
    7052.98 Fomentar lalectura. 7052.99 No abusar de ver la televisión y videojuegos. 7052.16 Promover las habilidades comunicativas. 7052.17 Fomentar las habilidades de asertividad 7052.19 Promover las respuestas no violentas para la resolución de con- flictos. 5624.07 Apoyar el papel de los padres como principales educadores sexuales de sus hijos. 7052.10 Facilitar el desarrollo de la identidad sexual. 7052.11 Favorecer la conducta sexual responsable. 5624.17 Educar a los niños y adolescentes en las consecuencias negati- vas del embarazo precoz (pobreza y perdida de la educación y de opor- tunidades de hacer carrera). 5624.18 Enseñar a los niños y adolescentes las enfermedades de trans- misión sexual y el SIDA. 5624.21 Informar a los niños y adolescentes acerca de medios anticon- ceptivos eficaces. 7052.21 Promover el desarrollo y el mantenimiento de las relaciones sociales. 7052.22 Favorecer la participación en las actividades escolares, extraes- colares y de la comunidad. 7052.13 Fomentar la evitación del alcohol, el tabaco y las drogas. 4490.02 Ayudar al fumador de forma clara y consistente dejar de fumar. 7052.14 Impulsar la seguridad en la conducción. 7052.05 Proporcionar inmunización adecuada. 7052.24 Remitir a servicios de asesoramiento, según sea necesario. 7052.01 Crear una relación de confianza con el adolescente y sus tuto- res. 7100 ESTIMULACIÓN DE LA INTEGRIDAD FAMILIAR Definición: Favorecer la cohesión y unidad familiar. 413 7000
  • 415.
    Actividades: 7100.01 Escuchar alos miembros de la familia. 7100.02 Establecer una relación de confianza con los miembros de la familia. 7100.03 Determinar la compresión familiar sobre las causas de la enfer- medad. 7100.05 Ayudar a la familia a resolver los sentimientos de culpa. 7100.07 Comprobar las relaciones familiares actuales. 7100.08 Identificar los mecanismos típicos de la familia para enfrentarse a situaciones problemáticas. 7100.09 Identificar las prioridades opuestas entre los miembros de la familia. 7100.10 Ayudar a la familia en la resolución de conflictos. 7100.17 Colaborar con la familia en la solución de problemas. 7100.22 Remitir a la familia a grupos de apoyo de otras familias que expe- rimenten problemas similares. 7110 FOMENTO DE LA IMPLICACIÓN FAMILIAR Definición: Facilitar la participación de la familia en el cuidado emocional y físico del paciente. Actividades: 7110.01 Identificar la capacidad de los miembros de la familia para impli- carse en el cuidado del paciente. 7110.02 Apreciar los recursos, físicos, emocionales y educativos del cui- dador principal. 7110.03 Identificar los déficit de cuidados propios del paciente. 7110.09 Facilitar la comprensión por parte de la familia de los aspectos médicos de la enfermedad. 7110.12 Apreciar otros factores de estrés sobre la situación para la familia. 7110.13 Reconocer los síntomas físicos de estrés de los miembros de la familia (llanto, náuseas, vómitos y estado de distracción). 7110.18 Ayudar al cuidador principal a conseguir el material para propor- cionar los cuidados necesarios. 414 7000
  • 416.
    7110.19 Reconocer lanecesidad del cuidador principal de ser relevado de las responsabilidades de cuidados continuos. 7110.20 Apoyar al cuidador principal en el aprovechamiento de oportuni- dades de servicios de relevo. 7110.22 Animar a la familia a que se centre en cualquier aspecto positivo de la situación del paciente. 7110.23 Informar a los miembros de la familia de los factores que pueden mejorar el estado del paciente. 7110.24 Comentar las opciones existentes según el tipo de cuidados necesarios en casa, como vida en p grupo o , cuidados de residencia y cuidados intermitentes, si procede. 7120 MOVILIZACIÓN FAMILIAR Definición: Utilización de la fuerza familiar para influenciar sobre la salud del paciente de una manera positiva Actividades: 7120.02 Establecer una relación de confianza con los miembros de la familia. 7120.03 Ver a los miembros de la familia como posibles expertos en el cuidado del paciente. 7120.04 Identificar las capacidades y los recursos dentro de la familia, en los miembros de la familia y en su sistemade apoyo y la comunidad. 7120.05 Determinar la disposición y capacidad de los miembros de la familia para aprender. 7120.07 Compartir la toma de decisiones con los miembros de la familia relacionadas con el plan de cuidados del paciente. 7120.08 Enseñar a los cuidadores en domicilio la terapia del paciente, según proceda. 7120.10 Colaborar con los miembros de la familia en la planificación y desarrollo de terapias o en los cambios en el estilo de vida del paciente. 7140 APOYO A LA FAMILIA Definición: Estimulación de los valores, intereses y objetivos familiares 415 7000
  • 417.
    Actividades: 7140.01 Asegurar ala familia que al paciente se le brindan los mejores cuidados posibles. 7140.02 Valorar la reacción emocional de la familia frente a la enfermedad del paciente. 7140.04 Ofrecer una esperanza realista. 7140.05 Escuchar las inquietudes, sentimientos y preguntas de la familia. 7140.07 Favorecer una relación de confianza con la familia. 7140.08 Aceptar los valores familiares sin emitir juicios. 7140.14 Reducir las discrepancias entre las expectativas del paciente, de la familia y de los profesionales de cuidados. 7140.20 Enseñar a la familia los planes médicos y de cuidados. 7140.24 Animar la toma de decisiones familiares en la planificación de los cuidados del paciente a largo plazo que afecten a la estructura y a la eco- nomía familiar. 7140.26 Ayudar a la familia a adquirir el conocimiento, técnica y equipo necesarios para apoyar su decisión acerca de los cuidados del paciente. 7140.36 Ayudar a los miembros de la familia durante los procesos de muerte 7150 TERAPIA FAMILIAR Definición: Ayudar a los miembros de la familia a conseguir un modo de vida más positivo para vivir mejor. Actividades: 7150.02 Determinar los roles habituales del paciente dentro del sistema familiar. 7150.04 Determinar los conflictos y ver si los miembros de la familia quie- ren resolverlos. 7150.05 Utilizar la realización del historial familiar para fomentar el deba- te familiar. 7150.12 Solicitar a los miembros de la familia su participación en la pues- ta en práctica de actividades de experiencia hogareña, como hacer algu- na de las comidas juntos. 416 7000
  • 418.
    7150.13 Facilitar eldebate familiar a medida que los miembros den prio- ridad a los datos y seleccionen la cuestión familiar más inmediata que ha de tratarse. 7150.14 Ayudar a los miembros de la familia a clarificar qué necesitan y esperan unos de otros. 7150.16 Permitir a los miembros de la familia reconocer y recompensar aspectos positivos. 7150.17 Disponer retos dentro del debate familiar para romper o ampliar contextos y para estimular la aparición de nuevas posibilidades. 7150.20 Ayudar a los miembros de la familia a cambiar, mediante el cam- bio de sí mismos, en su relación con otros miembros de la familia. 7180 ASISTENCIA EN EL MANTENIMIENTO DEL HOGAR Definición: Ayudar al paciente o familia a mentener el hogar como un sitio limpio, seguro y placentero. Actividades: 7180.01 Determinar las necesidades de mantenimiento en casa del paciente. 7180.02 Implicar al paciente/familiar en la decisión de las necesidades de mantenimiento de la casa. 7180.03 Aconsejar las alteraciones estructurales necesarias para que el hogar sea accesible. 7180.04 Proporcionar información sobre la manera de convertir el hogar en un sitio seguro y limpio. 7180.05 Ayudar a los miembros de la familia a desarrollar expectativas realistas de ellos mismos en la realización de sus papeles. 7180.12 Solicitar servicios asistenta/e, si procede. 7180.13 Ayudar a la familia a utilizar la red de apoyo social 7180.14 Proporcionar información sobre cuidados intermitentes, si es necesario. 7200 FOMENTO DE LA NORMALIZACIÓN FAMILIAR Definición: Ayudar a los padres y demás miembros de la familia con 417 7000
  • 419.
    niños con enfermedadcrónica o discapacidades a tener experiencias vita- les normales para sus niños y familias. Actividades: 7200.01 Fomentar el desarrollo de la integración del niño en el sistema familiar sin que el niño se convierta en el centro de la familia. 7200.04 Fomentar la interacción con otros niños normales. 7200.11 Comunicar la información acerca del estado del niño a aquellos que la precisan para realizar una supervisión de seguridad u oportunida- des educativas adecuadas al niño. 7200.13 Ayudar a la familia a solicitar un sistema escolar que asegure el acceso a programas educativos adecuados. 7200.19 Establecer los recurso de cuidados intermitentes comunitarios. 7200.20 Animar a los padres a que dispongan de tiempo para el cuidado de su necesidades personales. 7200.21 Proporcionar información a la familia acerca del estado del niño, tratamiento y grupos de apoyo asociados para la familia. 7260 CUIDADOS INTERMITENTES Definición: Provisión de cuidados de corta duración para proporcionar descanso a un cuidador familiar. Actividades: 7260.02 Controlar la capacidad de resistencia del cuidador. 7260.04 Coordinar el voluntariado para los servicios en casa, so procede. 7260.06 Seguir la rutina habitual de cuidados. 7260.07 Proporcionar cuidados, como ejercicios, deambulacion e higiene, si se requiere. 7260.08 Conseguir los números de teléfonos de urgencias. 7280 APOYO DE HERMANOS Definición : Ayudar al hermano del paciente con una enfermedad /esta- do crónico/discapacidad a enfrentarse a ello. 418 7000
  • 420.
    Actividades: 7280.01 Explorar losconocimientos del hermano acerca de la enferme- dad del paciente. 7280.02 Estimar el estrés del hermano relacionado con el estado de la enfermedad del paciente 7280.03 Estimar la capacidad de hacer frente a la enfermedad / discapa- cidad del paciente. 7280.05 Proporcionar información acerca de las respuestas del hermano y de lo que los demás miembros de la familia pueden hacer para ayudar. 7280.08 Animar a los padres u otros miembros de la familia a proporcio- nar información sincera la hermano. 7280.11 Fomentar la comunicación entre el hermano y enfermo. 7280.14 Animar al hermano a visitar al hermano o hermana enferma. 7280.26 Enseñar la patología de la enfermedad al hermano, según la etapa de desarrollo y el estilo de aprendizaje. 7320 GESTIÓN DE CASOS Definición: Coordinar la asistencia y defensa de individuos concretos y poblaciones de pacientes respecto al marco de actuaciones en programa para reducir costes, disminuir el uso de recursos, mejorar la calidad de la asistencia sanitaria y conseguir los resultados deseados. Actividades 7320.1 Identificar los individuos o las poblaciones de pacientes que se beneficiarían de la gestión de casos. 7320.3 Explicar el papel del gestor del caso al paciente y a la familia. 7320.5 Obtener el permiso del paciente o de la familia para incluirle en un programa de gestión del caso. 7320.6 Desarrollar relaciones con el paciente, la familia y otros provee- dores de asistencia sanitaria. 7320.9 Procurar la confidencialidad y la intimidad del paciente y de la familia. 7320.10 Valorar el estado físico y mental, la capacidad funcional, los sis- 419 7000
  • 421.
    temas formales einformales de apoyo, los recursos financieros y las con- diciones del entorno del paciente, según sea necesario. 7320.11 Determinar el plan del tratamiento con los recursos del paciente y/o de la familia. 7320.12 Explicar las trayectorias clínicas al paciente y a la familia. 7320.13 Individualizar las trayectorias clínicas para el paciente. 7320.14 Determinar los resultados que deben obtenerse con los recursos del paciente y /o de la familia. 7320.15 Debatir el plan de asistencia y los resultados deseados con el médico del paciente. 7320.16 Negociar el esquema de trabajo con la supervisora o con la coor- dinadora de enfermería para asistir semanalmente a las sesiones prácti- cas de grupo, según sea necesario. 7320.18 Evaluar de forma continuada el progreso hacia los objetivos fija- dos. 7320.19 Revisar las intervenciones y los objetivos, según sea necesario, para satisfacer las necesidades del paciente. 7320.20 Identificar los recursos y/o los servicios necesarios. 7320.21 Coordinar la disposición de los recursos y de los servicios preci- sos. 7320.22 Coordinar la asistencia con otros proveedores de atención sani- taria que puedan resultar oportunos. 7320.23 Proporcionar asistencia directa según necesidades. 7320.24 Enseñar al paciente y /o a la familia la importancia del autocuida- do. 7320.25 Fomentar actividades de toma de decisiones adecuadas en el paciente y/o la familia. 7320.26 Documentar todas las actividades de gestión del caso. 7320.27 Controlar la calidad, la cantidad, las oportunidades y la efectivi- dad de los servicios del programa. 7320.28 Facilitar el acceso a servicios sanitarios y sociales necesarios. 7320.29 Ayudar al paciente o la familia a acceder a los sistemas de salud existentes. 420 7000
  • 422.
    7320.31 Notificar alpaciente y /o a la familia cualquier cambio en el ser- vicio, la finalización del servicio y la eliminación del programa de gestión del caso. 7320.32 Promover la utilización eficaz de los recursos. 7320.33 Controlar la eficacia del coste de la asistencia. 7320.34 Modificar la asistencia para aumentar la eficacia del coste, según sea necesario. 7320.35 Establecer programas de mejora de la calidad para evaluar las actividades de gestión del caso. 7320.36 Documentar la eficacia del coste del control del caso. 7330 INTERMEDIACIÓN CULTURAL Definición: Utilizar a propósito estrategias culturalmente adecuadas para establece un puente o mediar entre la cultura del paciente y el sistema sanitario biomédico. Actividades: 7330.01 Determinar la naturaleza de las diferencias conceptuales que tie- nen el paciente el profesional de enfermería sobre los problemas de salud o plan de tratamiento. 7330.03 Identificar con el paciente, las prácticas culturales que pueden afectar negativamente a la salud, de manera que el paciente pueda elegir de manera informada. 7330.05 Conseguir, cuando no se puedan resolver los conflictos, un com- promiso de tratamiento aceptable e función del conocimiento biomédico, del conocimiento del punto de vista del paciente y de las normas éticas. 7330.10 Incluir a la familia, cuando corresponda, en el plan para su adhe- sión al régimen prescrito. 7330.14 Proporcionar información al paciente sobre el sistema de cuida- dos sanitarios. 7340 PLANIFICACIÓN DEL ALTA Definición: Preparación para trasladar al paciente desde un nivel de cui- dados a otro dentro o fuera del centro de cuidados actual. 421 7000
  • 423.
    Actividades 7370.1 Ayudar alpaciente, familiar o ser querido a preparar el alta 7370.2 Colaborar con el médico, paciente/familiar/ser querido y demás miembros del equipo sanitario en la planificación de la continuidad de los cuidados. 7370.3 Coordinar los esfuerzos de distintos profesionales sanitarios para asegurar un alta oportuna. 7370.4 Identificar la comprensión de los conocimientos o habilidades necesarios por parte del paciente y del cuidador principal para poner en práctica después del alta. 7370.5 Identificar lo que debe aprender el paciente para los cuidados posteriores al alta. 7370.6 Observar si todo está listo para el alta. 7370.7 Comunicar al paciente los planes de alta, si procede. 7370.8 Registrar los pIanes de alta. 7370.9 Formular un plan de mantenimiento para el seguimiento poste- rior al alta. 7370.10 Ayudar al paciente/familiar/ser querido en la planificación de los ambientes de apoyo necesarios para proveer los cuidados fuera del hospital. 7370.11 Desarrollar un plan que considere las necesidades de cuidado, sociales y económicas, del paciente. 7370.12 Disponer la evaluación posterior al alta, cuando sea posible. 7370.13 Fomentar los cuidados de sí mismo, si procede. 7370.14 Establecer el alta al siguiente nivel de cuidados. 7370.15 Buscar el apoyo de un cuidador, si procede. 7370.16 Discutir los recursos económicos y, si fuera necesario, disponer de cuidados después del alta. 7370.17 Coordinar las derivaciones relevantes para la vinculación entre los cuidadores. 7400 GUÍAS DEL SISTEMA SANITARIO Definición: Facilitar al paciente la localización y la utilización adecuada de los servicios sanitarios 422 7000
  • 424.
    Actividades: 7400.01 Explicar elsistema de cuidados sanitarios inmediato, su funcio- namiento y lo que puede esperar el paciente / familia. 7400.02 Instruir al paciente sobre el tipo de servicio que se puede espe- rar de cada clase de cuidador sanitario. 7400.05 Informar sobre los recursos comunitarios adecuados y las perso- nas de contacto 7400.08 Proporcionar al paciente un copia de la carta de derechos del paciente. 7400.10 Determinar y facilitar la comunicación entre los proveedores de cuidados y el paciente, familia, si procede. 7400.17 Disponer un sistema de seguimiento con el paciente, si procede. 7400.19 Animar al paciente / familia a que haga preguntas sobre los ser- vicios y costes. 7400.21 Ayudar a los pacientes a rellenar los formularios de asistencia, tales como alojamiento y ayuda económica, si lo precisan. 7400.22 Revisar y reforzar la información proporcionada por otros profe- sionales de asistencia sanitaria. 7440 FACILITACIÓN DE PERMISOS Definición: Organizar una salida de la institución sanitaria para un paciente. Actividades: 7440.03 Proporcionar información acerca de las restricciones y duración del permiso. 7440.04 Proporcionar la información necesaria para el uso de permisos en caso de emergencias. 7440.05 Establecer la persona responsable del paciente, si procede. 7440.06 Discutir el permiso con la persona responsable describiendo los cuidados/autocuidados, si es necesario. 7440.07 Preparar la medicación que debe llevarse con el permiso y avi- sar a la persona responsable. 7440.08 Proporcionar los dispositivos/equipos de asistencia, sise precisan. 423 7000
  • 425.
    7440.13 Explicar ala persona correspondiente que será necesario dispo- ner de información acerca de la medicación, comidas e ingesta de alco- hol mientras esté de permiso. 7440.14 Evaluar al regreso si se han cumplido los objetivos del permiso. 7460 PROTECCIÓN DE LOS DERECHOS DEL PACIENTE Definición: Protección de los derechos a cuidados sanitarios de un paciente incapaz de tomar decisiones, especialmente si el paciente es menor, está incapacitado o es incompetente. Actividades: 7460.01 Proporcionar al paciente la “Carta de derechos del paciente”. 7460.03 Proteger la intimidad del paciente durante las actividades de higiene, eliminación y aseo personal. 7460.04 Determinar si los deseos del paciente acerca de los cuidados son conocidos. 7460.06 Trabajar con el médico y la administración hospitalaria para cum- plir con los deseos del paciente y de la familia. 7460.07 Abstenerse de forzar el tratamiento. 7460.08 Tomar nota de la preferencia religiosa. 7460.09 Conocer la situación legal de las últimas voluntades en vida. 7460.10 Cumplir con los deseos del paciente expresados en un testamen- to en vida o en un poder en vigor de un abogado referente a los cuidados sanitarios, si procede. 7460.11 Cumplir con las órdenes de «no resucitar». 7460.12 Ayudar a la persona agonizante con los asuntos sin acabar. 7560 FACILITAR LAS VISITAS Definición: Estimulación beneficiosa de las visitas por parte de la familia y amigos. Actividades: 7560.01 Determinar las preferencias del paciente en cuanto a visitas e informar de ellas. 424 7000
  • 426.
    7560.03 Determinar lanecesidad de la limitación de las visitas, como, por ejemplo, demasiados visitantes, que el paciente está impaciente o cansa- do o su estado físico no lo permite. 7560.04 Determinar la necesidad de favorecer las visitas de familiares y amigos. 7560.11 Establecer las responsabilidades y actividades de la familia/seres queridos para ayudar al paciente como, por ejemplo, alimentar al pacien- te. 7560.32 Responder a las preguntas y dar explicaciones de los cuidados en términos que los visitantes puedan entender. 7680 AYUDA EN LA EXPLORACIÓN Definición: Proporcionar ayuda al paciente y al cuidador durante un pro- cedimiento o examen. Actividades: 7680.01 Asegurarse de que se ha obtenido el consentimiento si proce- de. 7680.02 Explicar el motivo del procedimiento. 7680.04 Utilizar un lenguaje adecuado al explicar los procedimientos a los niños. 7680.06 Reunir el equipo correspondiente. 7680.08 Crear un ambiente de intimidad. 7680.09 Dejar permanecer junto al paciente la padre / ser querido, si pro- cede. 7680.10 Colocar en la posición adecuada y tapar al paciente, si es el caso. 7680.14 Explicar al paciente cada paso del procedimiento. 7680.16 Proporcionar apoyo emocional al paciente, si está indicado. 7680.19 Reforzar la conducta esperada durante el examen de un niño. 7680.20 Facilita la utilización del equipo, si procede. 7680.25 Instruir al paciente sobre los cuidados posteriores al procedi- miento. 425 7000
  • 427.
    7960 INTERCAMBIO DEINFORMACIÓN DE CUIDADOS DE SALUD Definición: proporcionar información a otros profesionales de salud Actividades: 7960.01 Identificar al cuidador con el que se intercambia la información y el lugar donde se encuentra. 7960.03 Describir el historial de salud pertinente. 7960.05 Determinar los diagnósticos médico y de cuidados resueltos, si procede. 7960.06 Describir el plan de cuidados, incluyendo la dieta, las medicacio- nes y el ejercicio. 7960.07 Describir las intervenciones de Enfermería llevadas a cabo. 7960.08 Identificar el equipo y el material necesario para los cuidados. 7960.09 Resumir los progresos del paciente en las metas fijadas. 7960.11 Fijar la cita de retorno para el seguimiento de los cuidados. 7960.12 Describir el papel de la familia en la continuación de los cuida- dos. 7960.16 Coordinar los cuidados con otros profesionales de la salud. 7960.19 Compartir la información de otros profesionales de la salud con el paciente y la familia, si procede. 8100 DERIVACIÓN Definición: Disponer los arreglos para el suministro de servicios por parte de otros cuidadores o institución. Actividades: 8100.04 Establecer los cuidados necesarios. 8100.05 Determinar si se dispone de cuidados de apoyo en el hogar/comunidad. 8100.12 Ponerse en contacto con el centro/cuidador correspondiente. 8100.13 Cumplimentar el informe de derivación correspondiente. 8100.15 Comentar el plan de cuidados del paciente con el siguiente pro- veedor de cuidados. 426 8000
  • 428.
    8190 SEGUIMIENTO TELEFÓNICO Definición:Dar los resultados de una prueba o evaluar la respuesta del paciente y determinar posibles problemas por teléfono. Actividades: 8190.01 Determinar que realmente se está hablando con el paciente, si hay alguien más, que tiene permiso para darle la información. 8190.02 Identificarse con nombre, credenciales, organización; hacer saber al oyente que se está grabando la conversación (mediante receptor de calidad). 8190.04 Notificar al paciente los resultados de las pruebas , según esté indicado (resultados positivos con implicaciones importantes para la salud, como por ejemplo, resultados de biopsias, no debería darlos la enfermera por teléfono) 8190.06 Ayudar con cambios de prescripciones, de acuerdo con las nor- mas establecidas. 8190.07 Hacer preguntas. 8190.08 Proporcionar información acerca de los recursos de la comuni- dad, programas educativos, grupos de apoyo y de autoayuda, según esté indicado. 8190.09 Establecer un fecha y una hora para el seguimiento o una cita. 8190.10 Proporcionar información acerca del régimen de tratamiento y de las responsabilidades resultantes de los autocuidados, según sea necesario de acuerdo con la aplicación práctica y las normas estableci- das. 8190.11 Mantener la confidencialidad. 8190.14 Determinar cómo puede localizarse al paciente o a algún miembro de la familia para devolver la llamada programada según con- venga. 8190.99 Proporcionar información a las preguntas requeridas. 8300 FOMENTO DE LA PATERNIDAD EN FAMILIAS DE ALTO RIESGO Definición: Proporcionar información sobre la paternidad, apoyo y coor- dinación de servicios globales en familias de alto riesgo. 427 8000
  • 429.
    Actividades: 8300.04 Realizar visitasa domicilio, según esté indicado por el nivel de riesgo. 8300.05 ayudar a los padres a tener esperanzas realistas adecuadas al nivel de desarrollo y de las capacidades del niño. 8300.07 Debatir las estrategias de control de conducta adecuadas a cada edad. 8300.09 Enseñar a los padres a responder a las conductas mostradas por el niño. 8300.12 Escuchar los problemas y las preocupaciones de los padres sin juzgarlos. 8300.18 Controlar el estado de salud el niño, si los reconocimientos son correctos y el estado de inmunizaciones es el adecuado. 8300.21 Remitir a los recursos de la comunidad , si procede. 8300.24 Informar a los padres sobre dónde encontrar servicios de planifi- cación familiar. 8300.26 Ayudar a organizar el cuidado diario, según sea necesario. 8300.28 Remitir a un centro de atención de la violencia doméstica, según sea necesario. 8300.29 Remitir a un centro para el tratamiento de abuso de sustancias, según sea necesario. 428 8000
  • 430.
  • 432.
    Referencias bibliográficas 1. AlfaroR. Aplicación del proceso de enfermería. Guía práctica. Barcelona: Doyma, 1988 2. Busquet Duran L, Naberán Toña K, Hernández Huet E. Protocolos de asma y enferme- dad pulmonar obstructiva crónica (EPOC) en atención primaria. Barcelona: Ediciones Doyma, 1994. 3. Bustos Lozano G. Protocolo de actividades preventivas en la infancia y la adolescencia. Grupo de Expertos de Actividades Preventivas de 0 a 14 años del PAPPS. 4. Carpenito – Moyet LJ. Nursing diagnosis. Application to clinical practice. (11 ed). Philadelphia: Lippincot Williams & Wilkins, 2006. 5. Carpenito LJ. Diagnósticos de enfermería. Aplicaciones a la práctica clínica. ( 9 ed). Madrid: McGraw-Hill - Interamericana, 2003. 6. Clements M. Cuidados geriátricos en enfermería. Barcelona: Doyma, 1986 7. Cuesta A, Guirao JA, Benavent A. Diagnóstico de Enfermería. Adaptación al contexto español. Diaz de Santos. Madrid. 1994. 8. Del Pino Casado R, Cantón Ponce D, Alarcón Juárez A, Fuentes Martínez A, Navas Anguis V, Rincón Montilla MC, Ruiz Cejudo R. Poder de explicación del diagnóstico enfermero en la actividad desarrollada en consulta de enfermería de pacientes crónicos en atención primaria. Enfermería Clínica. 2001; 11:3-8 9. Ferrer Ferrandis E. Taxonomía NIC: implicaciones en el proceso de cuidados. El Correo AENTDE. 2003;6(1):10-11 10. Dirección de Enfermería Área 9. Atención Primaria [Internet]. Fines de enfermería y marco conceptual. Madrid: INSALUD. [Consultado 15 enero 2002]. Disponible en http://www.hso.es/primaria/enfermeria/pdf/Anexo1.pdf. 11. GedapS. Guía para el tratamiento de la Diabetes tipo 2 en atención primaria. 3ª ed. Madrid: Harcourt; 2000. 12. Gordon M. Diagnóstico enfermero. Proceso y aplicación. 3ª Ed. Madrid: Mosby; 1996. 13. Sociedad Española de Medicina Familiar y Comunitaria[Internet]. Guía para ayudar a promover una Alimentación Saludable. Barcelona: PAPPS – SEMFYC. [Consultado 25 de octubre de 2006].Disponible en http://www.papps.org/publicaciones/g4.htm . 14. Guirao-Goris JA, Ruiz A, Alonso A, Cardona JV, Costa E, Dasí MJ, Soler J, Perpiñá MA. Metodología de cuidados en Atención Domiciliaria. Valencia: Generalitat Valenciana. Conselleria de Sanitat, 2004. 15. Guirao-Goris JA, Camaño, RE, Cuesta A. Diagnóstico de enfermería. Categorías, formu- lación e investigación. Sevilla: Ediversitas Multimedia; 2001 16. Henderson V. La naturaleza de la Enfermería. Madrid: Interamericana-McGraw-Hill; 1994. 17. Illinworth RD. El niño normal. Problemas de los primeros años y su tratamiento. México: Churchill- Livingston; 1993 18. Iyer PW, Taptich BJ, Bernocchi-Losey D. Proceso y diagnóstico de enfermería. México: McGraw-Hill Interamericana; 1995 431
  • 433.
    19. Loveman E,Royle P, Waugh N. Specialist nurses in diabetes mellitus (Cochrane Review). En: The Cochrane Library, Issue 2 2003. Oxford: Update Software. 20. Luis MT. Los diagnósticos enfermeros. Revisión crítica y guía práctica. 2ª ed. Barcelona :Masson; 2002. 21. Figuera M, Wichman V. Hipertensión arterial en atención primaria Grupo de trabajo en Hipertensión Arterial. Barcelona: Societat Catalana de Medicina Familiar i Comunitària; 2001. 22. Manual de Examenes de Salud escolar. Valencia: Conselleria de Sanitat i Consum; 2002. 23. Manual del niño sano. Valencia: Conselleria de Sanitat i Consum; 1998. 24. Marriner A, Raile Alligood M. Modelos y teorías de enfermería. 4. ed. Barcelona: Harcourt Brace; 1999. 25. McCloskey JC, Bulechek GM. Clasificación de Intervenciones de Enfermería (CIE). Nursing Interventions Classification (NIC) 3ª ed. Madrid: Harcourt; 2001. 26. McCloskey JC, Bulechek GM. Clasificación de Intervenciones de Enfermería (NIC). 4ª ed. Madrid: Elsevier; 2004. 27. Monografías de Educación para la salud en la escuela. Valencia: Conselleria de Sanitat i Consum;1999. 28. Moorhead S, Johnson M, Maas M. Clasificación de resultados de enfermería (NOC)3ª Ed. Madrid: Elsevie; 2004. 29. NANDA Internacional. Diagnósticos enfermeros. Definiciones y clasificación. 2005- 2006.Madrid: Elsevier; 2005. 30. North American Nursing Diagnoses Association. Diagnósticos enfermeros. Definiciones y clasificación. 2001-2002. Madrid: Harcour; 2001. 31. Orem DE. Modelo de Orem. Conceptos de enfermería en la práctica. Barcelona: Masson;1993. 32. Pedraza M, Germán Bes C, Luna JD, Arana M, Peralta M,Pedrosa R y col. Autonomía funcional en ancianos: evaluación de un instrumento de medida. Rev ROL Enferm. 1992 dic. 172:15-19. 33. Pedraza M, Germán Bes C, Luna JD, Arana M, Peralta M,Pedrosa R y col. E.V.A. Escala de valoración de la autonomía funcional para el autocuidado. Index Enferm. 1992 vera- no. I(2):35-39. 34. Plan para la Mejora de Atención Domiciliaria de la Comunidad Valenciana 2004-2007. Valencia: Generalitat Valenciana. Conselleria de Sanitat; 2004 35. Belenguer Tarín MV, Aliaga Abad F. Autonomía funcional y ocupación del tiempo libre en personas mayores. Rev ROL Enferm. 2000 mar. 23(3):231-234. 36. Renders CM, Valk GD, Griffin S, Wagner EH, Eijk JThM van, Assendelft WJJ. Interventions to improve the management of diabetes mellitus in primary care, outpatient and community settings (Cochrane Review). In: The Cochrane Library, Issue 2 2003. Oxford: Update Software. 37. Córdoba R, Delgado MT, Botaya M, Barberá C, Lacarta P, Sanz C. Protocolo de tabaco en atención primaria. FMC 1995; 2 (Supl 3): 6-13 432
  • 434.
    38. Rodríguez AlonsoJJ, Holgado Catalán S, León Vázquez F, Cabello Suárez-Guanes J. Protocolo de vendajes funcionales (I). FMC 1998; Supl. 5 y 6:26-35 39. Smith B, Appleton S, Adams R, Southcott A, Ruffin R. Atención domiciliaria por medio de enfermería a distancia para la enfermedad pulmonar obstructiva crónica (Revisión Cochrane). In: La Cochrane Library Plus, Número 2, 2002. Oxford: Update Software. 40. Strauch, P. Atención Primaria Cuidados de Enfermería.Barcelona:Doyma; 1986. 41. Ugalde Apalategui,M; Rigol i Cuadra,A. Diagnósticos de Enfermería. Taxonomía NANDA. 1ª ed. Barcelona: Masson; 1995 (reimpresión 1999). Lecturas recomendadas Taxonomías Carpenito LJ. Diagnósticos de enfermería. Aplicaciones a la práctica clíni- ca. ( 9 ed). Madrid: McGraw-Hill – Interamericana; 2003. McCloskey JC, Bulechek GM. Clasificación de Intervenciones de Enfermería (NIC). 4ª ed. Madrid: Elsevier; 2004. Moorhead S, Johnson M, Maas M. Clasificación de resultados de enfer- mería (NOC)3ª Ed. Madrid: Elsevier; 2004. NANDA Internacional. Diagnósticos enfermeros. Definiciones y clasifica- ción. 2005-2006.Madrid: Elsevier; 2005. Metodología de cuidados Gordon M. Diagnóstico enfermero. Proceso y aplicación. 3ª Ed. Mosby, Madrid, 1996. Iyer PW, Taptich BJ, Bernocchi-Losey D. Proceso y diagnóstico de enfer- mería. Mexico: McGraw-Hill Interamericana. 1995 433
  • 436.
    Clasificación NOC –Orden alfabético 1820 Conocimiento: control de la diabetes .........................................230 1802 Conocimiento: dieta ....................................................................224 1808 Conocimiento: medicación..........................................................228 1803 Conocimiento: proceso de la enfermedad..................................225 1806 Conocimiento: recursos sanitarios..............................................227 1813 Conocimiento: régimen terapéutico ............................................229 0204 Consecuencias de la inmovilidad: fisiológicas............................182 0205 Consecuencias de la inmovilidad: psicocognitivas.....................183 0500 Continencia intestinal..................................................................192 0502 Continencia urinaria....................................................................194 1612 Control de peso ..........................................................................222 1605 Control del dolor .........................................................................221 1902 Control del riesgo........................................................................232 1915 Control del riesgo: deterioro auditivo..........................................236 1916 Control del riesgo: deterioro visual .............................................236 1914 Control del riesgo: salud cardiovascular.....................................235 1608 Control del síntoma.....................................................................221 1700 Creencias sobre la salud ............................................................223 1102 Curación de herida: por primera intención .................................205 1103 Curación de herida: por segunda intención................................206 0003 Descanso ....................................................................................177 1206 Deseo de vivir .............................................................................210 2101 Dolor: efectos nocivos ................................................................242 1306 Dolor: respuesta psicológica adversa.........................................213 1501 Ejecución del rol .........................................................................217 0501 Eliminación intestinal ..................................................................193 0113 Envejecimiento físico ..................................................................179 0202 Equilibrio .....................................................................................181 1204 Equilibrio emocional....................................................................209 1201 Esperanza...................................................................................207 1012 Estado de deglución: fase oral ...................................................202 2606 Estado de salud de la familia......................................................257 1004 Estado nutricional .......................................................................200 435
  • 437.
    1008 Estado nutricional:ingestión alimentaria y de líquidos...............201 1009 Estado nutricional: ingestión de nutrientes.................................201 0403 Estado respiratorio: ventilación...................................................190 2209 Factores estresantes del cuidador familiar.................................247 2004 Forma física ................................................................................239 2401 Función sensitiva: auditiva..........................................................251 2400 Función sensitiva: cutánea .........................................................250 2404 Función sensitiva: visión.............................................................252 2602 Funcionamiento de la familia......................................................255 0602 Hidratación..................................................................................195 1100 Higiene bucal ..............................................................................203 1200 Imagen corporal..........................................................................207 1503 Implicación social........................................................................218 1101 Integridad tisular: piel y membranas mucosas ...........................204 0908 Memoria ......................................................................................200 1305 Modificación psicosocial: cambio de vida...................................212 0208 Movilidad.....................................................................................183 2007 Muerte confortable......................................................................240 1307 Muerte digna...............................................................................214 0313 Nivel de autocuidado ..................................................................189 2100 Nivel de comodidad ....................................................................241 2102 Nivel de dolor..............................................................................243 2300 Nivel de glucemia .......................................................................249 2605 Participación de la familia en la asistencia sanitaria profesional256 1604 Participación en actividades de ocio ..........................................220 0405 Perfusión tisular: cardiaca ..........................................................191 0407 Perfusión tisular: periférica .........................................................192 2210 Posible resistencia al cuidado familiar........................................248 0203 Posición corporal autoiniciada ....................................................181 2202 Preparación del cuidador familiar domiciliario ............................244 1918 Prevención de la aspiración........................................................237 0700 Reacción transfusional sanguínea..............................................196 2204 Relación entre cuidador familiar y paciente................................245 2205 Rendimiento del cuidador familiar: cuidados directos ...............246 436
  • 438.
    0001 Resistencia ................................................................................177 1304Resolución de la aflicción ...........................................................212 2506 Salud emocional del cuidador familiar........................................253 2001 Salud espiritual ...........................................................................238 2507 Salud física del cuidador familiar ...............................................253 1913 Severidad de la lesión física......................................................235 1203 Severidad de la soledad .............................................................208 1504 Soporte social .............................................................................218 0004 Sueño .........................................................................................178 0800 Termorregulación ........................................................................198 0005 Tolerancia a la actividad ............................................................178 0906 Toma de decisiones ....................................................................199 437
  • 439.
  • 440.
    Clasificación NIC –Orden alfabético 4420 Acuerdo con el paciente .............................................................346 1320 Acupresión ..................................................................................290 2300 Administración de medicación ....................................................310 2311 Administración de medicación: inhalación..................................311 2312 Administración de medicación: intradérmica (IC) .......................312 2313 Administración de medicación: intramuscular (IM).....................313 2308 Administración de medicación: ótica...........................................311 2317 Administración de medicación: subcutánea (SC).......................314 2316 Administración de medicación: tópica ........................................313 1200 Administración de nutrición parenteral total (NPT).....................287 4030 Administración de productos sanguíneos...................................333 1050 Alimentación ...............................................................................283 1056 Alimentación enteral por sonda ..................................................284 1052 Alimentación por biberón. ...........................................................284 1380 Aplicación de calor y/o frío .........................................................291 7140 Apoyo a la familia .......................................................................415 7040 Apoyo al cuidador principal.........................................................410 7280 Apoyo de hermanos....................................................................418 5270 Apoyo emocional ........................................................................362 6400 Apoyo en la protección contra abusos .......................................396 6404 Apoyo en la protección contra abusos: ancianos.......................399 6403 Apoyo en la protección contra abusos: cónyuge........................398 6402 Apoyo en la protección contra abusos: niños ..........................396 5250 Apoyo en toma de decisiones ...................................................361 5420 Apoyo espiritual ..........................................................................368 5240 Asesoramiento ............................................................................358 5244 Asesoramiento de lactancia .......................................................358 5246 Asesoramiento nutricional...........................................................359 5248 Asesoramiento sexual.................................................................360 7180 Asistencia en el mantenimiento del hogar..................................417 2400 Asistencia en la analgesia controlada por el paciente (PCA) ....316 3160 Aspiración de las vías aéreas.....................................................319 5230 Aumentar el afrontamiento .........................................................357 439
  • 441.
    5440 Aumentar lossistemas de apoyo. .............................................370 1800 Ayuda al autocuidado .................................................................302 1805 Ayuda con los autocuidados: AIVD.............................................304 1804 Ayuda con los autocuidados: aseo.............................................303 7680 Ayuda en la exploración .............................................................425 1801 Ayuda en los autocuidados: baño/higiene..................................303 4490 Ayuda para dejar de fumar .........................................................348 1280 Ayuda para disminuir de peso ....................................................289 4640 Ayuda para el control del enfado ...............................................349 1240 Ayuda para ganar peso ..............................................................288 1610 Baño............................................................................................296 0840 Cambio de posición ....................................................................280 0844 Cambio de posición: neurológico................................................281 0846 Cambio de posición: paciente en silla de ruedas.......................281 6520 Chequeo sanitario.......................................................................405 5480 Clarificación de valores...............................................................372 4040 Cuidados cardiacos ....................................................................336 4046 Cuidados cardíacos: rehabilitación.............................................336 4062 Cuidados circulatorios: insuficiencia arterial ..............................337 4066 Cuidados circulatorios: insuficiencia venosa .............................338 6820 Cuidados de bebés.....................................................................409 0410 Cuidados de incontinencia intestinal ..........................................268 0610 Cuidados de la incontinencia urinaria ........................................276 0612 Cuidados de la incontinencia urinaria: enuresis ........................277 0480 Cuidados de la ostomía..............................................................272 0620 Cuidados de la retención urinaria...............................................277 1874 Cuidados de la sonda nasogástrica ...........................................306 1876 Cuidados de la sonda vesical.....................................................307 3660 Cuidados de las heridas .............................................................329 3662 Cuidados de las heridas: drenaje cerrado..................................330 3520 Cuidados de las ulceras por presión ..........................................326 1680 Cuidados de las uñas .................................................................299 1642 Cuidados de los oídos: audición.................................................297 1643 Cuidados de los oídos: lavado ótico...........................................298 440
  • 442.
    1641 Cuidados delos oídos: niño .......................................................297 1650 Cuidados de los ojos ..................................................................299 1660 Cuidados de los pies ..................................................................298 1780 Cuidados de una prótesis...........................................................302 0762 Cuidados del paciente escayolado: mantenimiento ...................279 0740 Cuidados del paciente: encamado .............................................278 3440 Cuidados del sitio de incisión .....................................................323 5260 Cuidados en la agonía................................................................361 6200 Cuidados en la emergencia........................................................394 0412 Cuidados en la incontinencia intestinal: encopresis...................268 7260 Cuidados intermitentes ...............................................................418 1750 Cuidados perineales ...................................................................302 5310 Dar esperanza. ...........................................................................364 5470 Declarar la verdad al paciente....................................................371 8100 Derivación ...................................................................................426 5820 Disminución de la ansiedad........................................................391 0470 Disminución de la flatulencia ......................................................272 4020 Disminución de la hemorragia ....................................................332 4028 Disminución de la hemorragia: heridas .....................................333 5900 Distracción ..................................................................................392 5562 Educación paterna: adolescentes ..............................................373 5566 Educación paterna: crianza familiar de los niños ......................374 5568 Educación paterna: niño (primeros años de vida)......................375 0560 Ejercicio del suelo pélvico...........................................................273 4039 Electrocardiograma.....................................................................335 5612 Enseñanza: actividad / ejercicio prescrito .................................380 5603 Enseñanza: cuidado de los pies.................................................377 5614 Enseñanza: dieta prescrita .........................................................381 5604 Enseñanza: grupo.......................................................................378 5606 Enseñanza: individual.................................................................379 5616 Enseñanza: medicamentos prescritos .......................................382 5626 Enseñanza: nutrición infantil (0-12 meses). ...............................385 5618 Enseñanza: procedimiento tratamiento ......................................382 5602 Enseñanza: proceso de enfermedad..........................................376 441
  • 443.
    5628 Enseñanza: seguridadinfantil (0-12 meses) .............................386 5632 Enseñanza: seguridad niño pequeño y escolar..........................388 5622 Enseñanza: sexo seguro ............................................................383 5624 Enseñanza: sexualidad...............................................................384 4340 Entrenamiento de la asertividad .................................................343 4760 Entrenamiento de la memoria.....................................................351 0570 Entrenamiento de la vejiga urinaria ............................................274 0440 Entrenamiento del hábito intestinal.............................................270 0600 Entrenamiento del hábito urinario...............................................276 4920 Escucha activa............................................................................352 4380 Establecer límites........................................................................345 4410 Establecimiento de objetivos comunes.......................................346 4720 Estimulación cognoscitiva...........................................................350 1340 Estimulación cutánea..................................................................290 7100 Estimulación de la integridad familiar .........................................413 1540 Estimulación nerviosa eléctrica transcutánea (TENS) ...............295 6522 Exploración de la mama .............................................................406 7440 Facilitación de permisos .............................................................423 5426 Facilitación del crecimiento espiritual .........................................368 5290 Facilitar el duelo..........................................................................363 5280 Facilitar el perdón .......................................................................362 4480 Facilitar la autoresponsabilidad ..................................................347 5300 Facilitar la expresión del sentimiento de culpa...........................364 7560 Facilitar las visitas.......................................................................424 3230 Fisioterapia respiratoria ..............................................................320 0201 Fomentar el ejercicio: entrenamiento de extensión...................261 1720 Fomentar la salud bucal .............................................................300 0202 Fomento de ejercicios: extensión ...............................................262 4974 Fomento de la comunicación: déficit auditivo.............................353 7200 Fomento de la normalización familiar.........................................417 8300 Fomento de la paternidad en familias de alto riesgo .................427 7052 Fomento del desarrollo: adolescentes........................................412 7050 Fomento del desarrollo: niños.....................................................411 0200 Fomento del ejercicio..................................................................261 442
  • 444.
    7110 Fomento implicaciónfamiliar ......................................................414 7320 Gestión de casos ........................................................................419 5430 Grupo de apoyo ..........................................................................369 5210 Guía de anticipación ...................................................................355 7400 Guías del sistema sanitario ........................................................422 4145 Hidratación subcutánea ..............................................................340 0910 Inmovilización .............................................................................281 7960 Intercambio de información de cuidados de salud .....................426 7330 Intermediación cultural................................................................421 6160 Intervención en caso de crisis .................................................393 0420 Irrigación intestinal......................................................................269 6482 Manejo ambiental: comodidad....................................................403 6486 Manejo ambiental: seguridad......................................................404 6450 Manejo de ideas ilusorias ...........................................................401 6410 Manejo de la alergia ...................................................................400 6412 Manejo de la anafilaxia...............................................................401 4356 Manejo de la conducta: sexual ................................................343 6460 Manejo de la demencia...............................................................402 0460 Manejo de la diarrea...................................................................271 0590 Manejo de la eliminación urinaria ...............................................275 2120 Manejo de la hiperglucemia........................................................308 2130 Manejo de la hipoglucemia.........................................................309 6530 Manejo de la inmunización / vacunación ...................................407 2380 Manejo de la medicación............................................................315 1100 Manejo de la nutrición.................................................................286 2680 Manejo de las convulsiones........................................................317 1450 Manejo de las náuseas...............................................................293 3140 Manejo de las vías aéreas..........................................................318 4120 Manejo de líquidos .....................................................................339 2080 Manejo de líquidos/electrólitos ...................................................307 1030 Manejo de los trastornos de la alimentación ..............................283 3500 Manejo de presiones ..................................................................325 3210 Manejo del asma ........................................................................319 1400 Manejo del dolor .........................................................................292 443
  • 445.
    0450 Manejo delestreñimiento / impactación .....................................271 1260 Manejo del peso .........................................................................288 1570 Manejo del vómito.......................................................................295 0430 Manejo intestinal.........................................................................270 2440 Mantenimiento de dispositivos de acceso venoso (DAV)...........316 1710 Mantenimiento de la salud bucal ................................................300 1480 Masaje simple.............................................................................294 3250 Mejorando la tos .........................................................................321 1850 Mejorar el sueño .........................................................................305 4976 Mejorar la comunicación: déficit del habla..................................354 4978 Mejorar la comunicación: déficit visual .......................................354 4360 Modificación de la conducta .......................................................344 3480 Monitorización de las extremidades inferiores ...........................324 4130 Monitorización de líquidos .........................................................340 6680 Monitorización de los signos vitales ...........................................408 3350 Monitorización respiratoria, espirometría y pulsioximetría .........322 7120 Movilización familiar....................................................................415 4035 Muestra de sangre capilar ..........................................................334 4820 Orientación de la realidad ..........................................................352 3320 Oxigenoterapia............................................................................321 7340 Planificación del alta ...................................................................421 5400 Potenciación de la autoestima....................................................367 5220 Potenciación de la imagen corporal ...........................................356 5380 Potenciación de la seguridad......................................................367 5100 Potenciación de la socialización.................................................355 5370 Potenciación de roles ................................................................366 4070 Precauciones circulatorias .........................................................338 2690 Precauciones contra las convulsiones........................................318 5340 Presencia ....................................................................................365 6490 Prevención de caídas .................................................................404 3540 Prevención de las ulceras por presión .......................................327 4500 Prevención del consumo de sustancias nocivas........................348 6340 Prevención del suicidio ...............................................................395 6550 Protección contra las infecciones ...............................................408 444
  • 446.
    7460 Protección delos derechos del paciente....................................424 4190 Punción intravenosa (IV) ............................................................341 5510 Realización de un programa de educación sanitaria .................372 4700 Reestructuración cognitiva..........................................................350 3900 Regulación de la temperatura.....................................................332 1730 Restablecimiento de la salud bucal ............................................301 8190 Seguimiento telefónico................................................................427 1080 Sondaje nasogástrico .................................................................285 0580 Sondaje vesical...........................................................................274 0582 Sondaje vesical: intermitente......................................................275 6900 Succión no nutritiva ....................................................................410 6870 Supresión de la lactancia............................................................409 3620 Sutura .........................................................................................328 5880 Técnica para tranquilizar ............................................................391 0226 Terapia de ejercicios: control muscular ......................................266 0221 Terapia de ejercicios: deambulación...........................................263 0222 Terapia de ejercicios: equilibrio...................................................264 0224 Terapia de ejercicios: movilidad articular....................................265 5360 Terapia de entretenimiento .........................................................365 5450 Terapia de grupo.........................................................................370 1860 Terapia de la deglución...............................................................306 6040 Terapia de relajación simple .......................................................393 7150 Terapia familiar............................................................................416 4200 Terapia intravenosa (IV)..............................................................342 4400 Terapia musical ..........................................................................345 1120 Terapia nutricional.......................................................................286 0960 Transporte...................................................................................282 3780 Tratamiento de la exposición al calor .........................................331 3740 Tratamiento de la fiebre..............................................................331 3590 Vigilancia de la piel.....................................................................328 445
  • 448.
    Agradecimientos Desde aquí deseamosreconocer a todas las personas que ha impulsado, estimulado o han colaborado en algún Grupo de Elaboración de Mejoras (GEM). Servicio de protocolización e integración asistencial Juan Gallud Dolores Cuevas Grupo redactor Manual Metodología de Cuidados (2004) Josep Adolf Guirao-Goris Adela Alonso Pepa Soler Mª José Dasí Elena Costa Victoria Novales Antonio Ruiz GEM del cuidador Nelly Carrasco Rosana Mayor Amparo Coscollá Javier Blanquer Juan Gallud Josep Adolf Guirao-Goris GEM Consenso Valoración enfermería UHD Mª Victoria Ballesteros Vicente Ramos Mati Saurí Isabel Hermoso Amparo Bahamontes Mª Ángeles Perpiñá Josep Adolf Guirao-Goris GEM Enfermería Seguimiento pilotaje IMAD Amparo Coscollá Ramón Sánchez 447
  • 449.
    Adela Alonso Mª LuisaLlopis Mª Luz Paz Pardo Mª José Lloria Concepción Calaforra Ana López Josep Adolf Guirao-Goris Grupo de trabajo Fisioterapia Adela Alonso José Antonio Morante Manuel Mayor Juana María Montiel Antonio Redero Pedro Mayor Enfermeras participantes en el pilotaje de la IMAD de: CS San Blas (Alicante) CS Florida (Alicante) UHD Hospital General de Alicante CS Nazaret (Valencia) CS Trafalgar (Valencia) UHD Hospital Clínico CS Economista Gay(Valencia) CA Tendetes (Valencia) UHD Hospital La Fe 448