AMINAS


PROFESOR: QBA MIGUEL ÁNGEL CASTRO RAMÍREZ
1.- INTRODUCCIÓN


El átomo de nitrógeno está presente en muchas sustancias de interés biológico e
       industrial: aminas, aminoácidos, amidas, proteínas, vitaminas, etc.
Las aminas pueden entenderse como derivados del amoniaco


Se clasifican según el número de radicales alquilo o arilo unidos al átomos de nitrógeno




         amoniaco        amina primaria        amina secundaria    amina terciaria   amonio cuaternario



                           ¡Ojo! No confundir con los alcoholes

        Origen        Familia             1º               2º                3º            4º

         H2O        Alcoholes       CH3CH2OH          (CH3)2CHOH        (CH3)3COH      No existe


          NH3        Aminas         CH3CH2NH2          (CH3)2NH           (CH3)3N
                                                                                     Sal de amonio
2.- NOMENCLATURA




        IUPAC: el sustituyente más largo da nombre al compuesto
      Chemical Abstract: el sufijo amina se une a la cadena principal
     Nombre común: los sustituyentes se nombran en orden alfabético
Propilamina       Ciclohexilamina        Dietilamina




1,3-propano           N-metil-2-         N,N-dimetil-2-
  diamina            propilamina          propilamina




                Ácido 2-(N-metilamino)
2-aminoetanol
                     propanoico           Pirrolidina




 Piperidina          Piperazina            Morfolina
3.- ESPECTROSCOPÍA


 •IR   -NH una banda -NH2 dos bandas   Absorbancia(cm-1)   Interpretation

                                          3500 - 3100       NH tensión

                                          1350 - 1000       C-N tensión
         butilamina
•1H NMR - N es menos
                                   Resonancia (ppm)       Interpretación
electronegativo que O por
tanto desplaza menos la                0.5 - 5.0           -NH proton
señal.                                 1.5 - 3.0            CH2-NR2




•13C NMR
C-N típicamente 35 - 50 ppm



•Espectrometría de masas
Un átomo de nitrógeno produce una masa molecular impar
Como el N es un buen estabilizador de carga positiva, es habitual la rotura en .
4.- PROPIEDADES FÍSICAS


La naturaleza polar del enlace N-H provoca la formación de puentes de
hidrógeno entre las moléculas de las aminas




  Implicaciones:
  - Altos puntos de fusión y ebullición comparados con los alcanos
  - Alta solubilidad en medio acuoso

         Compuesto    P.eb.     P.f.     Compuesto      P.eb.        P.f.

         CH3CH2CH3     -42º    -188º       (CH3)3N       3º      -117º

       CH3CH2CH2NH2    48º      -83º   (CH3CH2CH2)2NH   110º         -40º

        CH3CH2CH2OH    97º     -126º    (CH3CH2CH2)3N   155º         -94º
Las aminas son piramidales y el
        nitrógeno posee hibridación sp3




Se produce inversión espontánea de la configuración
de las aminas. Consecuencia: racemización
En las aminas impedidas y en las sales de amonio cuaternario el átomo de
carbono puede mantener su configuración y, en consecuencia, constituirse
en centro estereogénico
5.- PROPIEDADES ÁCIDO-BASE DE LAS AMINAS


     Las aminas muestras un comportamiento moderadamente básico

    Para comparar la basicidad se usa             Las aminas son más
    el pKa del ácido conjugado                    básicas que los
    correspondiente. No olvidar que
    pKa+pKb=pKw
                                                  alcoholes


                                            R-NH3+ pKa~ 10, R-OH2+ pKa~ -3


Compuesto                                  NH3

   pKa         11.0      10.7       10.7   9.3    5.2    4.6       1.0        0.0

                                                  Las aminas aromáticas son
         Las alquilaminas son más                 menos básicas que el
         básicas que el amoniaco                  amoniaco
En las aminas aromáticas se produce la deslocalización del par de
electrones del nitrógeno por resonancia con los electrones π del anillo




   La presencia de grupos desactivantes en el anillo (-C≡N ; -NO2) disminuye el
   carácter básico de la amina aromática porque favorecen la deslocalización de
   los electrones del N
Las aminas se comportan como ácidos muy débiles, en todo caso son
      más fuertes que sus correspondientes alcanos (pKa = 50)


                                                      El ión amiduro formado es
                                                      más estable que el
                                                      carbocatión que formarían los
                                                      alcanos

Los mismos factores que disminuyen la basicidad de las aminas aumentan su acidez



      Compuesto                                         C6H5SO2NH2


          pKa       33      27        19         15           10              9.6
Para convertir estas sustancias en sus bases conjugadas es necesario
hacerlos reaccionar con bases fuertes.



      C6H5SO2NH2 + KOH               C6H5SO2NH(–) K(+) + H2O
      (CH3)3COH + NaH              (CH3)3CO(–) Na(+) + H2
      (C2H5)2NH + C4H9Li            (C2H5)2N(–) Li(+) + C4H10



          Las sales de amonio son más ácidas que las aminas
6.- PREPARACIÓN DE AMINAS
6.1.- ALQUILACIÓN DE AMONIACO O AMINAS
CON HALUROS DE ALQUILO




       La reacción es una sustitución nucleofílica que produce mezclas porque
       la amina producida es, a su vez, un nucleófilo que participa en el proceso
Mecanismo alquilación amoniaco

Etapa 1:
El N nucleofílico del amoniaco ataca al
C del haluro de alquilo desplazando al
bromo y creando un nuevo enlace C-N




Etapa 2:
Reacción ácido/base. La base
(amoniaco en exceso) desprotona el
nitrógeno positivo (amonio) creando un
producto alquilado, amina primaria.
Mecanismo alquilación amina

Etapa 1:
El N nucleofílico de la amina ataca al
carbono C del haluro de alquilo
desplazando el bromo y creando un
nuevo enlace C-N




Etapa 2:
Reacción ácido-base. La base (amina en
exceso) desprotona el N positivo (amonio)
creando un producto alquilado, una amina
secundaria
La reacción puede tener lugar intramolecularmente
6.2.- ALQUILACIÓN DE FTALIMIDA. SÍNTESIS DE GABRIEL




                    Obtención de la ftalimida
Mecanismo de la síntesis de Gabriel

Etapa 1:
Reacción ácido-base. Desprotonation del grupo N-H por
la base hidróxido. Este protón es el más ácido que el de
una simple amina debido a la estabilización por
resonancia debida a los grupos C=O adyacentes. Esto
genera un nucleófilo fuerte


Etapa 2:
El N nucleofílico ataca el C del haluro de alquilo
desplazando el bromo y creando un nuevo enlace C-N.
Este producto puede ser comparado con una N-alquil
amida.


Etapa 3:
La imida puede ser rota por un mecanismo análogo al
de las amidas. La hidrólisis crea el ácido dicarboxílico y
la amina.
6.3.- REDUCCIÓN DE AZIDAS, NITRILOS, NITROCOMPUESTOS Y AMIDAS




                                El nitrógeno de las aminas
                                   está en un estado de
                                  oxidación muy bajo. Por
                                 tanto, las aminas pueden
                                obtenerse por reducción de
                               otras funciones nitrogenadas
                                       más oxidadas.
Tipo compuesto                 Estado
                               oxidación
R3N        (aminas)            -3
R4N(+)     (amonio)
C=N–R      (iminas)
C≡N        (nitrilos)
R2N–NR2     (hidrazinas)       -2
C=N–NR2    (hydrazonas)
RN=NR     (azocompuestos.)     -1
R2NOH       (hydroxilamina)
R3NO         (amina oxido)
N2          (nitrógeno)        0
R–N2(+)     (diazonio)
R–N=O        (nitroso)         +1

R-NO2        (nitro)           +3
RO–N=O       (nitrito ester)
Los grupos azida y cianuro son precursores del grupo amino. La
reducción de ambos grupos con hidruro de aluminio y litio o con
hidrógeno/Pd lo genera
Las azidas o los nitrilos pueden ser obtenidos a partir de haluros de
alquilo mediante sustitución nucleofílica usando como reactivos N3- o
CN-
Los nitrocompuestos son reducidos con Fe o Sn en medio ácido. Es el
método más usado para obtener anilinas.
Reducción de amidas




        El grupo C=O es convertido en -CH2- por LiAlH4 pero no el
        menos reactivo NaBH4

        Esta reacción es diferente a la que se produce en otros
        compuestos con C=O en los que el grupo es reducido hasta
        alcohol (por ejemplo los ésteres)
La naturaleza de la amina obtenida depende de los sustituyentes de la amida
Mecanismo de la reducción de amidas


Etapa 1:
El H nucleofílico del hidruro se adiciona al carbono electrofílico
del grupo carbonilo. Los electrones del grupo C=O se
desplazan hacia el O electronegativo creando un complejo
metal alcóxido


 Etapa 2:
 El intermedio tetraédrico colapsa y desplaza el oxígeno como
 parte de un grupo metal alcóxido saliente. Esto produce un ión
 imonio altamente reactivo


 Etapa 3:
 El H nucleofílico del hidruro se adiciona (reducción rápida) al
 C electrofílico del sistema iminio. Los electrones π electrons
 de C=N se desplazan al N catiónico neutralizando la carga y
 creando la amina
6.4.- AMINACIÓN REDUCTIVA DE ALDEHIDOS Y CETONAS (VIA IMINAS)

  El amoníaco y las aminas son nucleófilos que pueden atacar a aldehídos y
  cetonas. Si en el medio de reacción se introduce un reductor, la imina
  intermedia puede reducirse, obteniéndose una nueva amina




Etapa 1.- buffer                       Etapa 2.-
ácido                                  hidrogenación
                                       catalítica
La etapa de hidrogenación se puede realizar con cianoborohidruro de sodio
6.5.- TRANSPOSICIÓN DE HOFMANN
PREPARACIÓN DE AMINAS PRIMARIAS (RESUMEN)



      Nitrogen       Carbon       1st Reaction                       2nd Reaction        2nd Reaction
Ex                                               Initial Product                                           Final Product
      Reactant       Reactant     Type                               Conditions          Type


                      RCH2-X or                       RCH2-N3 or         LiAlH4 or                            RCH2-NH2 or
 1.       N3(–)                       SN2                                                 Hydrogenolysis
                       R2CH-X                          R2CH-N3           4 H2 & Pd                             R2CH-NH2


                      RCH2-X or                  RCH2-NHSO2C6H5 or                                            RCH2-NH2 or
 2.   C6H5SO2NH(–)                    SN2                              Na in NH3 (liq)    Hydrogenolysis
                       R2CH-X                     R2CH-NHSO2C6H5                                               R2CH-NH2


                      RCH2-X or                       RCH2-CN or                                            RCH2-CH2NH2 or
 3.       CN(–)                       SN2                                  LiAlH4           Reduction
                       R2CH-X                          R2CH-CN                                               R2CH-CH2NH2


                      RCH=O or      Addition /        RCH=NH or            H2 & Ni                            RCH2-NH2 or
 4.       NH3                                                                               Reduction
                       R2C=O       Elimination         R2C=NH           or NaBH3CN                             R2CH-NH2


                                    Addition /
 5.       NH3           RCOX                           RCO-NH2             LiAlH4           Reduction          RCH2-NH2
                                   Elimination


       NH2CONH2
 6.                     R3C(+)        SN1           R3C-NHCONH2         NaOH soln.          Hydrolysis          R3C-NH2
         (urea)
PREPARACIÓN DE AMINAS PRIMARIAS (EJEMPLOS)
PREPARACIÓN DE AMINA SECUNDARIAS Y TERCIARIAS (EJEMPLOS)
7.- REACCIONES DE LAS AMINAS
                                                         DENSIDADES
                                                         ELECTRÓNICAS EN LA
                                                         METILAMINA

                                                             El N de la amina es una zona
                                                             de alta densidad electrónica
                                                             debido a su par de electrones
                                                             no compartidos



 Los H del grupo amino
 tienen baja densidad
 electrónica                                              El grupo –NH es mal grupo
                                                          saliente. Previamente necesita
                                                          reconvertirse

                 Las aminas pueden
                 reaccionar como       El N de la amina es una base Lewis
                 bases o nucleófilos
Las reacciones más importantes de las aminas (nucleófilos) se producen
con electrófilos:
-Sustitución nucleofílica con los haluros de alquilo
- Adición nucleofílica con aldehidos y cetonas
- Sustitución nucleofílica acílica con derivados de ácidos carboxílicos
7.1.- ALQUILACIÓN DE AMINAS




     Etapa 1:
     El N nucleofílico de la amina ataca al carbono
     C del haluro de alquilo desplazando el bromo y
     creando un nuevo enlace C-N



     Etapa 2:
     Reacción ácido-base. La base (amina en exceso)
     desprotona el N positivo (amonio) creando un
     producto alquilado, una amina secundaria
7.2.- REACCIÓN DE AMINAS PRIMARIAS CON ALDEHIDOS Y CETONAS
La catálisis ácida produce la protonación de algunas moléculas de cetona,
                aumentando la electrofilia del carbono carbonílico.
   Se produce entonces la adición nucleófila del nitrógeno amínico sobre el
            carbono carbonílico, que cambia de hibridación sp2 a sp3.




  El intermedio tetraédrico protonado cede un protón a la amina que aun no ha
reaccionado, produciendose un aminoalcohol geminal (ambas funciones sobre el
                       mismo carbono) de alta estabilidad.




Parte de las moléculas de aminoalcohol sufren protonación en el OH, que es otro
centro básico, dando lugar a un intermedio con un buen grupo saliente: el agua.
El enlace C-O debilitado por la protonación se rompe heterolíticamente,
   produciéndose la eliminación de agua y dando lugar a una sal de
 imonio intermedia. El carbono vuelve a recuperar la hibridación sp2.




 La amina en exceso desprotona la sal de imonio, obteniendose así la
                            imina final.
El mecanismo de formación de la imina por ataque de una amina
  a una cetona se denomina de adición nucleófila-eliminación.




La reacción no es termodinámicamente favorable en muchos casos, así
que hay que desplazar los equilibrios retirando el agua mediante algún
   agente desecante (tamiz molecular) o de un aparato Dean-Stark.
7.3.- PREPARACIÓN DE AMIDAS




                   Sustitución nucleofílica acílica
7.4.- ELIMINACIÓN DE HOFMANN
Las aminas se convierten en             Las sales de amonio cuaternario sufren
  ioduro de amonio cuaternario            eliminación E2 cuando son calentadas
  cuando son tratadas con                 con Ag2O disuelto en agua
  exceso de ioduro de metilo




El calentamiento del hidróxido promueve   La regioselectividad es Hofmann. El
una 1-2 eliminación dando lugar a un      alqueno mayoritario es el menos
alqueno y una amina                       sustituido
Mecanismo de la eliminación de HOFMANN


La etapa inicial es un
ejemplo de la alquilación de
una amina con ioduro de
metilo. La eliminación tiene
lugar cuando se calienta,
entonces el hidróxido ataca
el protón más accesible, se
forma el enlace π del
alqueno C=C y el grupo
saliente, un grupo amino
neutro, se desprende
7.5.- SUSTITUCIÓN AROMÁTICA ELECTROFÍLICA




                            Para evitar la polisustitución se protege
                            el grupo amino convirtiéndolo en amido
7.6.- NITROSACIÓN DE AMINAS

 Se denomina nitrosación a la reacción de las aminas con el ácido nitroso.
 Dependiendo del tipo de amina, la reacción da lugar a un tipo u otro de
 producto




                                      El ácido nitroso se descompone
                                      en medio ácido, dando lugar al
                                        catión nitrosilo, fuertemente
                                                  electrófilo.
Dependiendo de si la amina es primaria, secundaria o terciaria, la sal
       de N-nitrosoamonio evoluciona de manera diferente.
Aminas primarias y aminas aromáticas




1°-Aminas + HONO (solución ácida fría)    Nitrogeno Gas Evolucion desde una solución clara
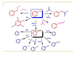
Las sales de diazonio aromáticas, derivadas de anilinas, son
más estables y pueden reaccionar de forma controlada con una
                gran cantidad de nucleófilos.
Se consigue así la sustitución formal del grupo NH2 por una gran
                variedad de grupos funcionales:


             Nu-                       Nu-



            H2O                       HBF4



             KI                       H3PO2




         CuX (Cl, Br
           ó CN)
                       (X=Cl, Br ó
                          CN)
Aminas secundarias




   La presencia de un sólo hidrógeno sobre la amina hace que la reacción
   se detenga en la N-nitrosoamina.


2°-Aminas + HONO (solución ácida fía)        Aceite insoluble (N-Nitrosoamina)
Aminas terciarias




   Las aminas terciarias no tienen ningún hidrógeno sobre el nitrógeno y la
   sal de N-nitrosoamonio no puede evolucionar. Sin embargo, se
   descomponen con facilidad. La reacción no tiene utilidad sintética.




  3°-Aminas + HONO (solución ácida fría)   Solución clara (formación sal amonio)

AMINAS

  • 1.
    AMINAS PROFESOR: QBA MIGUELÁNGEL CASTRO RAMÍREZ
  • 2.
    1.- INTRODUCCIÓN El átomode nitrógeno está presente en muchas sustancias de interés biológico e industrial: aminas, aminoácidos, amidas, proteínas, vitaminas, etc.
  • 3.
    Las aminas puedenentenderse como derivados del amoniaco Se clasifican según el número de radicales alquilo o arilo unidos al átomos de nitrógeno amoniaco amina primaria amina secundaria amina terciaria amonio cuaternario ¡Ojo! No confundir con los alcoholes Origen Familia 1º 2º 3º 4º H2O Alcoholes CH3CH2OH (CH3)2CHOH (CH3)3COH No existe NH3 Aminas CH3CH2NH2 (CH3)2NH (CH3)3N Sal de amonio
  • 4.
    2.- NOMENCLATURA IUPAC: el sustituyente más largo da nombre al compuesto Chemical Abstract: el sufijo amina se une a la cadena principal Nombre común: los sustituyentes se nombran en orden alfabético
  • 5.
    Propilamina Ciclohexilamina Dietilamina 1,3-propano N-metil-2- N,N-dimetil-2- diamina propilamina propilamina Ácido 2-(N-metilamino) 2-aminoetanol propanoico Pirrolidina Piperidina Piperazina Morfolina
  • 6.
    3.- ESPECTROSCOPÍA •IR -NH una banda -NH2 dos bandas Absorbancia(cm-1) Interpretation 3500 - 3100 NH tensión 1350 - 1000 C-N tensión butilamina
  • 7.
    •1H NMR -N es menos Resonancia (ppm) Interpretación electronegativo que O por tanto desplaza menos la 0.5 - 5.0 -NH proton señal. 1.5 - 3.0 CH2-NR2 •13C NMR C-N típicamente 35 - 50 ppm •Espectrometría de masas Un átomo de nitrógeno produce una masa molecular impar Como el N es un buen estabilizador de carga positiva, es habitual la rotura en .
  • 8.
    4.- PROPIEDADES FÍSICAS Lanaturaleza polar del enlace N-H provoca la formación de puentes de hidrógeno entre las moléculas de las aminas Implicaciones: - Altos puntos de fusión y ebullición comparados con los alcanos - Alta solubilidad en medio acuoso Compuesto P.eb. P.f. Compuesto P.eb. P.f. CH3CH2CH3 -42º -188º (CH3)3N 3º -117º CH3CH2CH2NH2 48º -83º (CH3CH2CH2)2NH 110º -40º CH3CH2CH2OH 97º -126º (CH3CH2CH2)3N 155º -94º
  • 9.
    Las aminas sonpiramidales y el nitrógeno posee hibridación sp3 Se produce inversión espontánea de la configuración de las aminas. Consecuencia: racemización
  • 10.
    En las aminasimpedidas y en las sales de amonio cuaternario el átomo de carbono puede mantener su configuración y, en consecuencia, constituirse en centro estereogénico
  • 11.
    5.- PROPIEDADES ÁCIDO-BASEDE LAS AMINAS Las aminas muestras un comportamiento moderadamente básico Para comparar la basicidad se usa Las aminas son más el pKa del ácido conjugado básicas que los correspondiente. No olvidar que pKa+pKb=pKw alcoholes R-NH3+ pKa~ 10, R-OH2+ pKa~ -3 Compuesto NH3 pKa 11.0 10.7 10.7 9.3 5.2 4.6 1.0 0.0 Las aminas aromáticas son Las alquilaminas son más menos básicas que el básicas que el amoniaco amoniaco
  • 12.
    En las aminasaromáticas se produce la deslocalización del par de electrones del nitrógeno por resonancia con los electrones π del anillo La presencia de grupos desactivantes en el anillo (-C≡N ; -NO2) disminuye el carácter básico de la amina aromática porque favorecen la deslocalización de los electrones del N
  • 13.
    Las aminas secomportan como ácidos muy débiles, en todo caso son más fuertes que sus correspondientes alcanos (pKa = 50) El ión amiduro formado es más estable que el carbocatión que formarían los alcanos Los mismos factores que disminuyen la basicidad de las aminas aumentan su acidez Compuesto C6H5SO2NH2 pKa 33 27 19 15 10 9.6
  • 14.
    Para convertir estassustancias en sus bases conjugadas es necesario hacerlos reaccionar con bases fuertes. C6H5SO2NH2 + KOH C6H5SO2NH(–) K(+) + H2O (CH3)3COH + NaH (CH3)3CO(–) Na(+) + H2 (C2H5)2NH + C4H9Li (C2H5)2N(–) Li(+) + C4H10 Las sales de amonio son más ácidas que las aminas
  • 15.
  • 17.
    6.1.- ALQUILACIÓN DEAMONIACO O AMINAS CON HALUROS DE ALQUILO La reacción es una sustitución nucleofílica que produce mezclas porque la amina producida es, a su vez, un nucleófilo que participa en el proceso
  • 18.
    Mecanismo alquilación amoniaco Etapa1: El N nucleofílico del amoniaco ataca al C del haluro de alquilo desplazando al bromo y creando un nuevo enlace C-N Etapa 2: Reacción ácido/base. La base (amoniaco en exceso) desprotona el nitrógeno positivo (amonio) creando un producto alquilado, amina primaria.
  • 19.
    Mecanismo alquilación amina Etapa1: El N nucleofílico de la amina ataca al carbono C del haluro de alquilo desplazando el bromo y creando un nuevo enlace C-N Etapa 2: Reacción ácido-base. La base (amina en exceso) desprotona el N positivo (amonio) creando un producto alquilado, una amina secundaria
  • 20.
    La reacción puedetener lugar intramolecularmente
  • 21.
    6.2.- ALQUILACIÓN DEFTALIMIDA. SÍNTESIS DE GABRIEL Obtención de la ftalimida
  • 22.
    Mecanismo de lasíntesis de Gabriel Etapa 1: Reacción ácido-base. Desprotonation del grupo N-H por la base hidróxido. Este protón es el más ácido que el de una simple amina debido a la estabilización por resonancia debida a los grupos C=O adyacentes. Esto genera un nucleófilo fuerte Etapa 2: El N nucleofílico ataca el C del haluro de alquilo desplazando el bromo y creando un nuevo enlace C-N. Este producto puede ser comparado con una N-alquil amida. Etapa 3: La imida puede ser rota por un mecanismo análogo al de las amidas. La hidrólisis crea el ácido dicarboxílico y la amina.
  • 23.
    6.3.- REDUCCIÓN DEAZIDAS, NITRILOS, NITROCOMPUESTOS Y AMIDAS El nitrógeno de las aminas está en un estado de oxidación muy bajo. Por tanto, las aminas pueden obtenerse por reducción de otras funciones nitrogenadas más oxidadas.
  • 24.
    Tipo compuesto Estado oxidación R3N (aminas) -3 R4N(+) (amonio) C=N–R (iminas) C≡N (nitrilos) R2N–NR2 (hidrazinas) -2 C=N–NR2 (hydrazonas) RN=NR (azocompuestos.) -1 R2NOH (hydroxilamina) R3NO (amina oxido) N2 (nitrógeno) 0 R–N2(+) (diazonio) R–N=O (nitroso) +1 R-NO2 (nitro) +3 RO–N=O (nitrito ester)
  • 25.
    Los grupos aziday cianuro son precursores del grupo amino. La reducción de ambos grupos con hidruro de aluminio y litio o con hidrógeno/Pd lo genera
  • 26.
    Las azidas olos nitrilos pueden ser obtenidos a partir de haluros de alquilo mediante sustitución nucleofílica usando como reactivos N3- o CN-
  • 27.
    Los nitrocompuestos sonreducidos con Fe o Sn en medio ácido. Es el método más usado para obtener anilinas.
  • 28.
    Reducción de amidas El grupo C=O es convertido en -CH2- por LiAlH4 pero no el menos reactivo NaBH4 Esta reacción es diferente a la que se produce en otros compuestos con C=O en los que el grupo es reducido hasta alcohol (por ejemplo los ésteres)
  • 29.
    La naturaleza dela amina obtenida depende de los sustituyentes de la amida
  • 30.
    Mecanismo de lareducción de amidas Etapa 1: El H nucleofílico del hidruro se adiciona al carbono electrofílico del grupo carbonilo. Los electrones del grupo C=O se desplazan hacia el O electronegativo creando un complejo metal alcóxido Etapa 2: El intermedio tetraédrico colapsa y desplaza el oxígeno como parte de un grupo metal alcóxido saliente. Esto produce un ión imonio altamente reactivo Etapa 3: El H nucleofílico del hidruro se adiciona (reducción rápida) al C electrofílico del sistema iminio. Los electrones π electrons de C=N se desplazan al N catiónico neutralizando la carga y creando la amina
  • 31.
    6.4.- AMINACIÓN REDUCTIVADE ALDEHIDOS Y CETONAS (VIA IMINAS) El amoníaco y las aminas son nucleófilos que pueden atacar a aldehídos y cetonas. Si en el medio de reacción se introduce un reductor, la imina intermedia puede reducirse, obteniéndose una nueva amina Etapa 1.- buffer Etapa 2.- ácido hidrogenación catalítica
  • 32.
    La etapa dehidrogenación se puede realizar con cianoborohidruro de sodio
  • 33.
  • 34.
    PREPARACIÓN DE AMINASPRIMARIAS (RESUMEN) Nitrogen Carbon 1st Reaction 2nd Reaction 2nd Reaction Ex Initial Product Final Product Reactant Reactant Type Conditions Type RCH2-X or RCH2-N3 or LiAlH4 or RCH2-NH2 or 1. N3(–) SN2 Hydrogenolysis R2CH-X R2CH-N3 4 H2 & Pd R2CH-NH2 RCH2-X or RCH2-NHSO2C6H5 or RCH2-NH2 or 2. C6H5SO2NH(–) SN2 Na in NH3 (liq) Hydrogenolysis R2CH-X R2CH-NHSO2C6H5 R2CH-NH2 RCH2-X or RCH2-CN or RCH2-CH2NH2 or 3. CN(–) SN2 LiAlH4 Reduction R2CH-X R2CH-CN R2CH-CH2NH2 RCH=O or Addition / RCH=NH or H2 & Ni RCH2-NH2 or 4. NH3 Reduction R2C=O Elimination R2C=NH or NaBH3CN R2CH-NH2 Addition / 5. NH3 RCOX RCO-NH2 LiAlH4 Reduction RCH2-NH2 Elimination NH2CONH2 6. R3C(+) SN1 R3C-NHCONH2 NaOH soln. Hydrolysis R3C-NH2 (urea)
  • 35.
    PREPARACIÓN DE AMINASPRIMARIAS (EJEMPLOS)
  • 36.
    PREPARACIÓN DE AMINASECUNDARIAS Y TERCIARIAS (EJEMPLOS)
  • 37.
    7.- REACCIONES DELAS AMINAS DENSIDADES ELECTRÓNICAS EN LA METILAMINA El N de la amina es una zona de alta densidad electrónica debido a su par de electrones no compartidos Los H del grupo amino tienen baja densidad electrónica El grupo –NH es mal grupo saliente. Previamente necesita reconvertirse Las aminas pueden reaccionar como El N de la amina es una base Lewis bases o nucleófilos
  • 38.
    Las reacciones másimportantes de las aminas (nucleófilos) se producen con electrófilos: -Sustitución nucleofílica con los haluros de alquilo - Adición nucleofílica con aldehidos y cetonas - Sustitución nucleofílica acílica con derivados de ácidos carboxílicos
  • 41.
    7.1.- ALQUILACIÓN DEAMINAS Etapa 1: El N nucleofílico de la amina ataca al carbono C del haluro de alquilo desplazando el bromo y creando un nuevo enlace C-N Etapa 2: Reacción ácido-base. La base (amina en exceso) desprotona el N positivo (amonio) creando un producto alquilado, una amina secundaria
  • 42.
    7.2.- REACCIÓN DEAMINAS PRIMARIAS CON ALDEHIDOS Y CETONAS
  • 43.
    La catálisis ácidaproduce la protonación de algunas moléculas de cetona, aumentando la electrofilia del carbono carbonílico. Se produce entonces la adición nucleófila del nitrógeno amínico sobre el carbono carbonílico, que cambia de hibridación sp2 a sp3. El intermedio tetraédrico protonado cede un protón a la amina que aun no ha reaccionado, produciendose un aminoalcohol geminal (ambas funciones sobre el mismo carbono) de alta estabilidad. Parte de las moléculas de aminoalcohol sufren protonación en el OH, que es otro centro básico, dando lugar a un intermedio con un buen grupo saliente: el agua.
  • 44.
    El enlace C-Odebilitado por la protonación se rompe heterolíticamente, produciéndose la eliminación de agua y dando lugar a una sal de imonio intermedia. El carbono vuelve a recuperar la hibridación sp2. La amina en exceso desprotona la sal de imonio, obteniendose así la imina final.
  • 45.
    El mecanismo deformación de la imina por ataque de una amina a una cetona se denomina de adición nucleófila-eliminación. La reacción no es termodinámicamente favorable en muchos casos, así que hay que desplazar los equilibrios retirando el agua mediante algún agente desecante (tamiz molecular) o de un aparato Dean-Stark.
  • 46.
    7.3.- PREPARACIÓN DEAMIDAS Sustitución nucleofílica acílica
  • 47.
  • 48.
    Las aminas seconvierten en Las sales de amonio cuaternario sufren ioduro de amonio cuaternario eliminación E2 cuando son calentadas cuando son tratadas con con Ag2O disuelto en agua exceso de ioduro de metilo El calentamiento del hidróxido promueve La regioselectividad es Hofmann. El una 1-2 eliminación dando lugar a un alqueno mayoritario es el menos alqueno y una amina sustituido
  • 49.
    Mecanismo de laeliminación de HOFMANN La etapa inicial es un ejemplo de la alquilación de una amina con ioduro de metilo. La eliminación tiene lugar cuando se calienta, entonces el hidróxido ataca el protón más accesible, se forma el enlace π del alqueno C=C y el grupo saliente, un grupo amino neutro, se desprende
  • 50.
    7.5.- SUSTITUCIÓN AROMÁTICAELECTROFÍLICA Para evitar la polisustitución se protege el grupo amino convirtiéndolo en amido
  • 51.
    7.6.- NITROSACIÓN DEAMINAS Se denomina nitrosación a la reacción de las aminas con el ácido nitroso. Dependiendo del tipo de amina, la reacción da lugar a un tipo u otro de producto El ácido nitroso se descompone en medio ácido, dando lugar al catión nitrosilo, fuertemente electrófilo.
  • 52.
    Dependiendo de sila amina es primaria, secundaria o terciaria, la sal de N-nitrosoamonio evoluciona de manera diferente.
  • 53.
    Aminas primarias yaminas aromáticas 1°-Aminas + HONO (solución ácida fría) Nitrogeno Gas Evolucion desde una solución clara
  • 54.
    Las sales dediazonio aromáticas, derivadas de anilinas, son más estables y pueden reaccionar de forma controlada con una gran cantidad de nucleófilos.
  • 55.
    Se consigue asíla sustitución formal del grupo NH2 por una gran variedad de grupos funcionales: Nu- Nu- H2O HBF4 KI H3PO2 CuX (Cl, Br ó CN) (X=Cl, Br ó CN)
  • 57.
    Aminas secundarias La presencia de un sólo hidrógeno sobre la amina hace que la reacción se detenga en la N-nitrosoamina. 2°-Aminas + HONO (solución ácida fía) Aceite insoluble (N-Nitrosoamina)
  • 58.
    Aminas terciarias Las aminas terciarias no tienen ningún hidrógeno sobre el nitrógeno y la sal de N-nitrosoamonio no puede evolucionar. Sin embargo, se descomponen con facilidad. La reacción no tiene utilidad sintética. 3°-Aminas + HONO (solución ácida fría) Solución clara (formación sal amonio)