Bioenergética
Estudia:

    Cambios de energía que acompañan a los
    procesos biológicos.

    Procesamiento y consumo de energía dentro
    de los sistemas biológicos.

    Transformación y empleo de energía por las
    células vivientes.

    Utiliza ideas básicas de la termodinámica
    especialmente ΔG, que tienen que ver con la
    energía disponible en un sistema y ayudan a
    predecir si una reacción podrá suceder o no.
Termodinámica (Generalidades)

    Procede del griego: therme, calor + dynamis
    potencia)

    Describe las relaciones existentes entre las
    diversas formas de energía y como ésta afecta
    afecta a la materia a nivel macroscópico.

    En su forma original se desarrolló como una
    herranmienta    conceptual    para    poder
    comprender las máquinas y los procesos de
    ingeniería.
...Generalidades

    La termodinámica clásica solo es aplicable a
    sistemas aislados o cerrados.

    Conceptos:
    −   Sistema: parte del Universo objeto de estudio.
    −   Alrededores: porción del Universo que no se va a
        estudiar, pero que puede interacciónar con el
        sistema.
    −   Pared: separación real o imaginaria entre el
        sistema y los alrededores.


                 http://joule.qfa.uam.es/beta-2.0/temario/introduccion/introduccion.php
...Generalidades

    El tipo de pared determina que tipo de
    interacción se puede producir entre el sistema
    y los alrededores. Así las paredes pueden ser:

    Móvil o rígida, lo que permitirá o no un cambio
    de volumen del sistema,

    Permeable, impermeable o semipermeable, lo
    que permitirá o no el intercambio de materia
    entre el sistema y los alrededores.

    Adiabática o Diatérmica, que permite o impide,
    respectivamente, mantener una diferencia de
    temperatura entre el sistema y los alrededores.
              http://joule.qfa.uam.es/beta-2.0/temario/introduccion/introduccion.php

    Los sistemas termodinámicos que podemos
    estudiar, se pueden clasificar en:
    −   Cerrados: son aquellos que pueden intercambiar
        energía, con los alrededores.
    −   Abiertos: aquellos que pueden intercambiar materia
        y energía.
    −   Aislados: que no pueden intercambiar ni materia ni
        energía.




                 http://joule.qfa.uam.es/beta-2.0/temario/introduccion/introduccion.php
Termodinámica

    Según la primera ley de la termodinámica, la energía se puede
    transformar (cambiar de una forma a otra), pero no se puede
    crear ni destruir (ley de conservación de la energía). Como
    resultado de las transformaciones de energía, de acuerdo con
    la segunda ley de la termodinámica, el universo y sus partes
    (incluyendo los S. vivos) se desorganizan de manera creciente.
    Para describir este grado de desorganización se utiliza el
    término entropía. Las transformaciones de la energía
    aumentan por tanto la cantidad de entropía de un sistema.
    energía libre – puede ser empleada para producir trabajo.
    Como la entropía se incrementa en cada transformación
    energética, la cantidad de energía libre para realizar trabajo
    disminuye, con resultado de este aumento, los sistemas
    tienden a pasar de estados de energía libre mayores a estados
    de energía libre menores.
Clasificación de las reacciones

    Las reacciones que requieren un aporte de
    energía se conocen como reacciones
    endergónicas, dado que se añade energía, los
    productos de estas reacciones deben contener
    más energía libre que los reactivos.

    Las reacciones que convierten moléculas con
    más energía en moléculas con menor energía
    – y por tanto liberan energía a medida que se
    producen – se denominan reacciones
    exergónicas.
La energía liberada por las reacciones exergónicas se emplea para
impulsar los procesos celulares que consumen energía (reacciones
endergónicas). Dado que las células no pueden emplear la energía
calorífica para impulsar los procesos que consumen energía, la
energía de los enlaces químicos (energía química) que se libera en
las reacciones exergónicas debe de transferirse de forma directa a la
energía de enlace químico de los productos de las reacciones
endergónicas. Por tanto, las reacciones que liberan energía están
acopladas con las reacciones que consumen energía.
Esta relación es similar a la de dos engranajes unidos; el giro de uno (el que libera energía)
provoca el giro del otro (el engranaje que consume energía). De esta manera la energía se
almacena en la formación de ATP (trifosfato de adenosina.).
Por tanto cuando las enzimas invierten esta reacción y convierten el ATP en ADP + Pi, se
libera una gran cantidad de energía, esta energía se utiliza para impulsar los procesos que
consumen energía en las células. Como transportador universal de energía el ATP sirve para
acoplar de manera eficaz la energía liberada de las moléculas en su degradación con la
requerida por los diferentes procesos endergónicos de la célula
Metabolismo

    Conjunto    de    reacciones    catalizadas
    enzimáticamente que tienen lugar en célula
    viva.
    −   4 funciones específicas
         
             Obtener energía química de los nutrientes
         
             Transformar las moléculas de los nutrientes en unidades
             precursoras de macromoléculas en la célula
         
             Unir o ensamblar sillares de proteínas, ácidos nucleicos
             y lípidos, polisacáridos y otros componentes celulares.
         
             Sintetizar y degradar biomoléculas con funciones
             especializadas.
...Metabolismo


    Funciones anteriores se realizan de manera
    coordinada y organizada.

    Para su estudio se divide en:
    −   Catabolismo: Secuencia       de   reacciones      de
        degradación de sustancias.
    −   Anabolismo: Secuencia de reacciones sintéticas.
Reacciones de óxido-reducción

    Cuando un átomo o molécula gana electrones,
    se dice que se ha reducido, si pierde electrones
    se dice que se ha oxidado.

    Las reacciones de oxido-reducción, están
    acopladas porque para que un átomo se oxide
    necesita donar sus electrones a otro átomo que
    se reduzca. El átomo que dona electrones a
    otro es conocido como reductor y el que acepta
    electrones de otro es un oxidante.

    El término oxidación no implica la participación
    del oxígeno en la reacción.
Reacciones de óxido-reducción

    Las reacciones de oxido-reducción en las células,
    implican la transferencia de átomos de hidrógeno en
    lugar de electrones libres. Dado que un átomo de
    hidrógeno contiene un electrón (y un protón en el
    núcleo) una molécula que pierde oxígeno se oxida y
    una molécula que gana hidrógeno se reduce.

    Dos moléculas que participan activamente en la
    transferencia de hidrógeno son el dinucleótido de
    nicotinamida y adenina (NAD) que deriva de la
    vitamina niacina (B3) y el dinucleótido de flavina y
    adenina que deriva de la flavina (vitamina B2).
Metabolismo oxidativo




Transferencia de equivalentes de reducción durante el catabolismo y el
anabolismo utilizando NADPH y NADP+.
Compuestos de alta energía

    Los compuestos se clasifican de acuerdo a la
    energía liberada en la hidrólisis de estos
    compuestos.

    Alta energía no es sinónimo de estabilidad del
    enlace químico en cuestión, ni se refiere a la
    energía requerida para romper los enlaces.

    Los compuestos de alta energía implica, que
    los productos de la ruptura hidrolítica del
    enlace rico en energía se encuentran en
    formas más estables que el compuesto original.

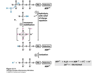
    Los productos de la hidrólisis de un enlace de alta energía, pueden
    más formas resonantes que la molécula precursora
Bioenergetica
Bioenergetica
Bioenergetica
Bioenergetica
Bioenergetica
Bioenergetica
Bioenergetica
Bioenergetica

Bioenergetica

  • 1.
  • 2.
    Estudia:  Cambios de energía que acompañan a los procesos biológicos.  Procesamiento y consumo de energía dentro de los sistemas biológicos.  Transformación y empleo de energía por las células vivientes.  Utiliza ideas básicas de la termodinámica especialmente ΔG, que tienen que ver con la energía disponible en un sistema y ayudan a predecir si una reacción podrá suceder o no.
  • 3.
    Termodinámica (Generalidades)  Procede del griego: therme, calor + dynamis potencia)  Describe las relaciones existentes entre las diversas formas de energía y como ésta afecta afecta a la materia a nivel macroscópico.  En su forma original se desarrolló como una herranmienta conceptual para poder comprender las máquinas y los procesos de ingeniería.
  • 4.
    ...Generalidades  La termodinámica clásica solo es aplicable a sistemas aislados o cerrados.  Conceptos: − Sistema: parte del Universo objeto de estudio. − Alrededores: porción del Universo que no se va a estudiar, pero que puede interacciónar con el sistema. − Pared: separación real o imaginaria entre el sistema y los alrededores. http://joule.qfa.uam.es/beta-2.0/temario/introduccion/introduccion.php
  • 5.
    ...Generalidades  El tipo de pared determina que tipo de interacción se puede producir entre el sistema y los alrededores. Así las paredes pueden ser:  Móvil o rígida, lo que permitirá o no un cambio de volumen del sistema,  Permeable, impermeable o semipermeable, lo que permitirá o no el intercambio de materia entre el sistema y los alrededores.  Adiabática o Diatérmica, que permite o impide, respectivamente, mantener una diferencia de temperatura entre el sistema y los alrededores. http://joule.qfa.uam.es/beta-2.0/temario/introduccion/introduccion.php
  • 6.
    Los sistemas termodinámicos que podemos estudiar, se pueden clasificar en: − Cerrados: son aquellos que pueden intercambiar energía, con los alrededores. − Abiertos: aquellos que pueden intercambiar materia y energía. − Aislados: que no pueden intercambiar ni materia ni energía. http://joule.qfa.uam.es/beta-2.0/temario/introduccion/introduccion.php
  • 9.
    Termodinámica  Según la primera ley de la termodinámica, la energía se puede transformar (cambiar de una forma a otra), pero no se puede crear ni destruir (ley de conservación de la energía). Como resultado de las transformaciones de energía, de acuerdo con la segunda ley de la termodinámica, el universo y sus partes (incluyendo los S. vivos) se desorganizan de manera creciente. Para describir este grado de desorganización se utiliza el término entropía. Las transformaciones de la energía aumentan por tanto la cantidad de entropía de un sistema. energía libre – puede ser empleada para producir trabajo. Como la entropía se incrementa en cada transformación energética, la cantidad de energía libre para realizar trabajo disminuye, con resultado de este aumento, los sistemas tienden a pasar de estados de energía libre mayores a estados de energía libre menores.
  • 12.
    Clasificación de lasreacciones  Las reacciones que requieren un aporte de energía se conocen como reacciones endergónicas, dado que se añade energía, los productos de estas reacciones deben contener más energía libre que los reactivos.  Las reacciones que convierten moléculas con más energía en moléculas con menor energía – y por tanto liberan energía a medida que se producen – se denominan reacciones exergónicas.
  • 14.
    La energía liberadapor las reacciones exergónicas se emplea para impulsar los procesos celulares que consumen energía (reacciones endergónicas). Dado que las células no pueden emplear la energía calorífica para impulsar los procesos que consumen energía, la energía de los enlaces químicos (energía química) que se libera en las reacciones exergónicas debe de transferirse de forma directa a la energía de enlace químico de los productos de las reacciones endergónicas. Por tanto, las reacciones que liberan energía están acopladas con las reacciones que consumen energía.
  • 15.
    Esta relación essimilar a la de dos engranajes unidos; el giro de uno (el que libera energía) provoca el giro del otro (el engranaje que consume energía). De esta manera la energía se almacena en la formación de ATP (trifosfato de adenosina.). Por tanto cuando las enzimas invierten esta reacción y convierten el ATP en ADP + Pi, se libera una gran cantidad de energía, esta energía se utiliza para impulsar los procesos que consumen energía en las células. Como transportador universal de energía el ATP sirve para acoplar de manera eficaz la energía liberada de las moléculas en su degradación con la requerida por los diferentes procesos endergónicos de la célula
  • 17.
    Metabolismo  Conjunto de reacciones catalizadas enzimáticamente que tienen lugar en célula viva. − 4 funciones específicas  Obtener energía química de los nutrientes  Transformar las moléculas de los nutrientes en unidades precursoras de macromoléculas en la célula  Unir o ensamblar sillares de proteínas, ácidos nucleicos y lípidos, polisacáridos y otros componentes celulares.  Sintetizar y degradar biomoléculas con funciones especializadas.
  • 18.
    ...Metabolismo  Funciones anteriores se realizan de manera coordinada y organizada.  Para su estudio se divide en: − Catabolismo: Secuencia de reacciones de degradación de sustancias. − Anabolismo: Secuencia de reacciones sintéticas.
  • 23.
    Reacciones de óxido-reducción  Cuando un átomo o molécula gana electrones, se dice que se ha reducido, si pierde electrones se dice que se ha oxidado.  Las reacciones de oxido-reducción, están acopladas porque para que un átomo se oxide necesita donar sus electrones a otro átomo que se reduzca. El átomo que dona electrones a otro es conocido como reductor y el que acepta electrones de otro es un oxidante.  El término oxidación no implica la participación del oxígeno en la reacción.
  • 24.
    Reacciones de óxido-reducción  Las reacciones de oxido-reducción en las células, implican la transferencia de átomos de hidrógeno en lugar de electrones libres. Dado que un átomo de hidrógeno contiene un electrón (y un protón en el núcleo) una molécula que pierde oxígeno se oxida y una molécula que gana hidrógeno se reduce.  Dos moléculas que participan activamente en la transferencia de hidrógeno son el dinucleótido de nicotinamida y adenina (NAD) que deriva de la vitamina niacina (B3) y el dinucleótido de flavina y adenina que deriva de la flavina (vitamina B2).
  • 25.
    Metabolismo oxidativo Transferencia deequivalentes de reducción durante el catabolismo y el anabolismo utilizando NADPH y NADP+.
  • 27.
    Compuestos de altaenergía  Los compuestos se clasifican de acuerdo a la energía liberada en la hidrólisis de estos compuestos.  Alta energía no es sinónimo de estabilidad del enlace químico en cuestión, ni se refiere a la energía requerida para romper los enlaces.  Los compuestos de alta energía implica, que los productos de la ruptura hidrolítica del enlace rico en energía se encuentran en formas más estables que el compuesto original.
  • 28.
    Los productos de la hidrólisis de un enlace de alta energía, pueden más formas resonantes que la molécula precursora