La entalpía de combustión, en condiciones estándar de la glucosa es –2813,1 Kj/mol.
 Las entalpías de formación estándar del agua líquida y del anhídrido carbónico son
 –285,8 Kj/mol y –393,3 Kj/mol, respectivamente.
 Calcular: a) La entalpía de formación estándar de la glucosa.
            b) El calor producido en la combustión de 500 gramos de glucosa.
 (Datos: Masas atómicas C=12; H=1; O=16 )

a)        C6H12O6 + 6 O2                     6 CO2 + 6 H2O

 ∆Hºc glucosa = 6∆Hºf CO2 + 6∆Hºf H2O – (∆Hºf glucosa + 6∆Hºf O2) = - 2813,1 Kj/mol
                 ∆           ∆           ∆               ∆

 ∆Hºf (Kj/mol): O2 = 0 ; H2O = - 285,8 ; CO2 = - 393,3 ; ∆Hºc glucosa = - 2813,1 Kj/mol

     6 x -393,3 Kj/mol + 6 x -285,8 Kj/mol – ∆Hºf glucosa - 0 = - 2813,1 Kj/mol

     -2359,8 Kj/mol – 1714,8 Kj/mol – ∆Hºf glucosa = - 2813,1 Kj/mol     / x (-1)

     2359,8 Kj/mol + 1714,8 Kj/mol + ∆Hºf glucosa = 2813,1 Kj/mol

     4074,6 Kj/mol + ∆Hºf glucosa = 2813,1 Kj/mol

     ∆Hºf glucosa = 2813,1 Kj/mol – 4074,6 Kj/mol

     ∆Hºf glucosa = – 1261,5 Kj/mol
La entalpía de combustión, en condiciones estándar de la glucosa es –2813,1 Kj/mol.
Las entalpías de formación estándar del agua líquida y del anhídrido carbónico son
–285,8 Kj/mol y –393,3 Kj/mol, respectivamente.
Calcular: a) La entalpía de formación estándar de la glucosa.
           b) El calor producido en la combustión de 500 gramos de glucosa.
(Datos: Masas atómicas C=12; H=1; O=16 )


 b)   180 gramos de glucosa corresponden a 1 mol
      500 gramos de glucosa corresponden a x moles
      x = 2,77 moles

      ∆Hºc glucosa = -2813,1 Kj/mol




       Con 1 mol de glucosa se produce          - 2813,1 Kj
       Con 2,77 moles de glucosa se produce          x
       x = - 7792,3 Kj
La transferencia de electrones en la cadena respiratoria mitocondrial se puede representar
 mediante la ecuación de la reacción neta:
  NADH + H+ + ½ O2                      H2O + NAD+
  NAD+ + H+ + 2e-                    NADH               ∆Eº’= -0,320 V
      ½ O2 + 2H+ + 2e-                H2O               ∆Eº’= 0,816 V
a) Calcular el valor de ∆Eº’ de la reacción neta de la transferencia electrónica mitocondrial.
b) Calcular ∆Gº’ de esta reacción.
c) ¿ Cuántos moles de ATP se pueden generar teóricamente por esta reacción si la
      energía libre estándar de la síntesis de ATP es 30,5 kJ/mol ?

 a)       NADH                     NAD+ + H+ + 2e-                         ∆Eº’= 0,320 V
 ½ O2 + 2H+ + 2e-                   H 2O                                   ∆Eº’= 0,816 V

b)        ∆Gº’= -nF∆Eº’
                   ∆          n=2       F= 96,485 kJ/V . mol               ∆Eº’= 1,136 V
          ∆Gº’= -2 x 96,485 kJ/V . mol x 1,136 V
          ∆Gº’= -219,2 kJ/mol

 c)       Con 30,5 kJ       se sintetiza 1 mol de ATP          x = 7,19 moles de ATP
          Con 219,2 kJ      se sintetiza x moles de ATP        x ≈ 7 moles de ATP
Si se incuba una solución 0,1 M de glucosa-1-fosfato con una cantidad catalítica de
fosfoglucomutasa, la glucosa-1-fosfato (G-1-P) se transforma en glucosa-6-fosfato (G-6-P)
hasta que se establece el equilibrio. Las concentraciones en el equilibrio son:
                 glucosa-1-fosfato                    glucosa-6-fosfato
                    4,5 x 10-3 M                         9,6 x 10-2 M
Calcular K’eq y ∆Gº’ para esta reacción a 25ºC.

                                   [glucosa-6-fosfato]
                      K’eq   =     [glucosa-1-fosfato]
                                   9,6 x 10-2 M
                      K’eq   =     4,5 x 10-3 M
                      K’eq   =     2,13 x 101

                      K’eq   =     21,3

                    ∆Gº’ = - RT ln K’eq           ln = 2,3 log

                    ∆Gº’ = - 2,3 RT log K’eq                              R = 8,315 J/mol . ºK
                                                                          T = 298ºK
                    ∆Gº’ = - 2,3 x 8,315 J/mol . 298ºK x log 21,3
                    ∆Gº’ = 7579,8 J/mol = 7,6 kJ/mol
D     I      P     L     O   M   A

    EN   CIENCIAS      DE LA     ACTIVIDAD FISICA
                           2009




UNIVERSIDAD DE CHILE




                                                              Aspectos generales
                                                              Clasificación
                                           CARBOHIDRATOS      Isomería
                                                              Derivados de monosacáridos: polisacáridos
                                                              Aspectos generales
                                                              Clasificación
                                           LÍPIDOS            Ácidos grasos y triacilgliceroles
                                                              Fosfolípidos
                                                              Aminoácidos
                                                              Enlace peptídico
                                           PROTEÍNAS
                                                              Estructura de proteínas
                                                              Nucleótidos                 Prof. BQ Jorge Soto Labbé
                                           ÁCIDOS NUCLEICOS   DNA
                                                                                     FACULTAD DE MEDICINA
                                                              RNA
                                                                                     UNIVERSIDAD DE CHILE
py   pz                   4 orbitales híbridos sp3
2S   px

          sp3                                              H
                     2S2 2px1 2py1 2pz0
                       1              1

1S                                                      C H
                                                      H
                                                         H


                             1S2
H                        H
             H
  C H      H C H       C H
H                    H
   H         H          H
ENERGÍAS DE ENLACE PROMEDIO
               (kJ/mol)
 _                        _
C C      607         Si Si    230
 _                        _
C N      754         Si N     470
 _                        _
C H      416         Si H     323
 _                        _
C O      336         Si O     368
H
  C H
H
   H
ALCANOS                      CnH2n+2
  H           H H              H H H         H H H H         H H H H H
H C H       H C C H          H C C C H     H C C C C H     H C C C C C H
  H           H H              H H H         H H H H         H H H H H
metano        etano            propano         butano         pentano
 CH 4         CH3CH3          CH3CH2 CH3    CH3CH2CH2CH3   CH3CH2CH2CH2CH3



ALQUENOS                      CnH2n
              H H              H H H         H H H H         H H H H H
            H C C H          H C C C H     H C C C C H     H C C C C C H
                                     H       H       H       H       H H
              eteno            propeno        2-buteno         2-penteno


ALQUINOS                      CnH2n-2
                                     H       H        H      H      H H
            H C C H          H C C C H     H C C C C H     H C C C C C H
                                     H       H        H      H      H H
         etino (acetileno)      propino       2-butino         2-pentino
GLÚCIDOS
ASPECTOS GENERALES
ASPECTOS GENERALES
Glúcidos, azúcares, sacáridos, carbohidratos o hidratos de carbono


                                  DU LC E

     Griego glicos     Árabe hispano assúkkar       Latín sacaros       Cn(H2O)n




C     OH      Radical hidroxilo                 Alcohol



                                       H                            C
 C     O      Radical carbonilo
                                            C       O                    C     O
                                                Aldehido                     Cetona
                                       C                            C
ASPECTOS GENERALES
         PO LI H I D R O X IALD E H I D O S            O          H
                                                             C
                                     O        H
                                          C            H     C    OH
                    O          H
                          C          H    C   OH      HO     C    H
 O       H
     C              H     C    OH    H    C   OH       H     C    OH
 H   C   OH         H     C    OH    H    C   OH       H     C    OH
  H2 C   OH             H2 C   OH    H2 C     OH       H2 C       OH

gliceraldehido          eritrosa         ribosa            glucosa


         PO LI H I D R O X I C ETO NAS                     H2 C       OH
                                     H2 C      OH             C       O
                     H2 C      OH         C       O   HO      C   H
  H2 C   OH              C     O     H    C   OH       H      C      OH
     C   O          H    C     OH    H    C   OH       H      C      OH
  H2 C   OH          H2 C      OH    H2 C     OH           H2 C      OH

dihidroxicetona         eritrulosa       ribulosa           fructosa
CLASIFICACIÓN
MONOSACÁRIDOS O         gliceraldehido                            dihidroxiacetona
AZÚCARES SIMPLES        eritrosa                                  eritrulosa
                        ribosa                                    ribulosa
                        glucosa, galactosa, manosa                fructosa
                                                                  sedoheptulosa

OLIGOSACÁRIDOS          maltosa     sacarosa     lactosa

POLISACÁRIDOS O GLUCANOS

HOMOPOLISACÁRIDOS       celulosa   almidón      glucógeno     quitina

HETEROPOLISACÁRIDOS
  GLUCOSAMINOGLUCANOS   ácido hialurónico condroitinsulfato   dermatansulfato
  O MUCOPOLISACÁRIDOS
                        queratansulfato   heparansulfato      heparina
   PEPTIDOGLUCANOS

   PROTEOGLUCANOS
ISOMERÍA DE CARBOHIDRATOS
                                                                    CHO                            CHO

                                                             H      C     OH                HO     C     H

                                                                    CH2OH                          CH2OH
                                                                 D-gliceraldehido           L-gliceraldehido

                                                                     Fórmulas de proyección de Fisher

                                                                    CHO                            CHO

                                                             H      C     OH                HO     C     H

                                                                    CH2OH                          CH2OH
                                                                 D-gliceraldehido           L-gliceraldehido

 H           O     H        O     H        O                          Fórmulas de perspectiva
     C                 C              C
                        1
HO   C       H     H   C    OH    H   C    OH
         2              2                                                Estereoisomería
HO   C       H    HO   C    H    HO   C    H
                       3                                                 Isomería óptica
 H   C       OH    H   C    OH   HO   C    H
                       4               4                                 Carbono asimétrico o centro quiral
 H   C       OH    H   C    OH    H   C    OH                            Enantiómeros
                        5
     CH2OH             CH2OH          CH2OH
                                                                         Racemización
                        6

D-manosa           D-glucosa      D-galactosa                            Diasteroisómeros
                                                                         Epímeros
                                       Nº de estereoisómeros = 2n
FORMAS CÍCLICAS                                   H
                                                                        HO            CH2OH
     FURANO
                                               CH2OH                                          H
                                                                                                  o
                   H   C   OH                                                         H

                   H   C   OH
                                                       o    H
                                                                             HO
                                          H
                                O              H                                  H           OH
     PIRANO       HO   C   H                                                                               H
                                               OH      H
                   H   C   OH                               OH                                        OH
                                          OH
                                                                                      o
 H        O        H   C
      C                                        H       OH
                       CH2OH
 H    C   OH                            α-D-glucopiranosa (1/3)

HO    C   H
                 HEMIACETAL         Fórmulas de proyección de Haworth

 H    C   OH
                                                                                      o
 H    C   OH     HO    C   H                   CH2OH

      CH2OH        H   C   OH                          o
                                          H                 OH
                                O              H
     D-glucosa    HO   C   H
                                               OH      H                      H
                   H   C   OH                               H
                                          OH                            HO            CH2OH
                   H   C
                                                                                              H
                                                                                                  o
                                               H       OH                             H
                       CH2OH
                                         β-D-glucopiranosa (2/3)             HO

                                                                                  H           OH
                 mutarrotación            ANÓMEROS                                                         OH
                                                                                                      H
DERIVADOS DE MONOSACÁRIDOS
                               O        H           O           H
                                   C                     C
Gliceraldehido                 H   C     OH         H    C          OH              Gliceraldehido-3-P
                                H2 C       OH        H2 C           O       P



                               H2 C     OH          H2 C        OH
Dihidroxicetona                    C    O               C       O                   Dihidroxicetona-P

                               H2 C     OH          H2 C        O           P


      CH2OH      o        OH           CH2OH    o        OH          P O CH2              o        OH

           H         HO                     H       HO                               H        HO
       H                  H            H                    H                   H                  H

           OH    OH                         OH     H                              OH     OH
            Ribosa                      β -2-deoxirribosa                       Ribosa-5-P

                         CH2OH                                      CH2O P
                                   o                                            o     H
                     H                     H                    H
                          H                                         H
                          OH       H                                 OH         H
                  OH                    OH                   OH                       OH

                          H     OH                                      H       OH
                           Glucosa                                  Glucosa-6-P
OLIGOSACÁRIDOS
      CH2OH                        CH2OH
               o                                o
 H                  H         H                      H          α-D-Glucopiranosil-(1,4)-D-glucopiranosa
      H                            H

 OH
      OH       H
                    OH
                         O
                              OH
                                   OH           H
                                                     OH
                                                                            Maltosa
         H     OH                  H            OH       Extremo reductor
             Enlace O-glucosídico
             ACETAL
     CH2OH                         H        OH
              o              OH
OH                 OH                               OH
                                                                β-D-Galactopiranosil-1,4-D-glucopiranosa
                        O
                        O
     H                             OH       H
     OH       H                    H
                                   H
H                  H
                   H         H
                                            O
                                            O
                                                     H                      Lactosa
                                                         Extremo reductor
     H        OH                   CH2OH

     CH2OH
              o
                             CH2OH              H
H                  H
                   H                   o        OH
     H
                                  H        HO                   α-D-Glucopiranosil-(1,2)-β-D-fructofuranosa
                                                                                         β
     OH       H          O
                         O
OH                 OH        H                  CH22OH
                                                CH OH
                                                                            Sacarosa
                                  OH       H
     H        OH
POLISACÁRIDOS O GLUCANOS
HOMOPOLISACÁRIDOS                                                                                         ALMIDÓN
        CH2OH                    CH2OH                      CH2OH                    CH2OH
                o    H       H
                                          o    H
                                                                    o    H
                                                                                             o    H
    H                                                   H                        H
        H                        H                          H                        H
O       OH      H        O       OH       H         O       OH      H        O       OH      H        O      25%
                                                                                                           AMILOSA
        H       OH               H        OH                H       OH               H       OH




                                               CH2OH
                                                        o   H
                                          H
                                               H
                                      O        OH       H


                                               H        OH O

        CH2OH                    CH2OH                      CH2                      CH2OH
                o    H       H
                                          o     H
                                                                    o    H
                                                                                             o    H
    H                                                   H                        H
        H                        H                          H                        H
O       OH      H        O       OH       H         O       OH      H        O       OH      H        O       75%
                                                                                                           AMILOPECTINA
        H       OH               H        OH                H       OH               H       OH
POLISACÁRIDOS O GLUCANOS
HOMOPOLISACÁRIDOS     GLUCÓGENO
POLISACÁRIDOS O GLUCANOS
HOMOPOLISACÁRIDOS                                                                          CELULOSA

         CH2OH                    H    OH                 CH2OH                    H    OH
                 o                                                o
     H                    O                   H       H                    O                   H
         H                        OH      H               H                        OH      H
 O       OH      H                H               O       OH      H                H               O
                      H       H                                        H       H
                                       O                                                O
         H       OH               CH2OH                   H       OH               CH2OH
LÍPIDOS
CH2OH
                                                                                                           CHOH
                                                                       CH3-(CH2)n-COOH                     CH2OH
                                                                          ácidos grasos                    glicerol


                                                                       CH3-(CH2)n-COOCH2           CH3-(CH2)n-COOCH2
                                              colesterol
                                                                       CH3-(CH2)n-COOCH             CH3-(CH2)n-COOCH
                                                                       CH3-(CH2)n-COOCH2                      R-O3P-OCH2

                                                                          triacilgliceroles                fosfolípidos




                                                                                       diacilglicerol (DAG)

                                                                                       inositoltrifosfato (IP3)

                                                                                                                      COOH
  ácido taurocólico                                                                                                       CH3


                                                                                        ácido araquidónico

                                                                                                   • prostaglandinas

                                                                                                   • leucotrienos
  ácido glicocólico
                                                                                                   • tromboxanos




1,25-dihidroxicolecalciferol


                               testosterona                estradiol                               progesterona
R CO O CH2                       CH2OH
R CO O CH + 3NaOH   3 R-COONa + HOCH
R CO O CH2                       CH2OH
Carbono

                                                                     Hidrógeno

                                                                     Oxígeno


                Glicerol                                               Fósforo


    H       H       H

H   C       C       C       H           Glicerol-3-P

    OH OH OH




        H       H       H   H   H   H     H    H       H       Acido graso
H       C       C       C   C   C   C     C    C       C   C   OH

        H       H       H   H   H   H     H    H       H   O
Acido
             Oleico        Linoleico α-linolénico γ-homolinolénico Araquidónico Eicosapentaenoico Docosahexaenoico
  graso


  Nº de
carbonos         18            18            18            20            20             20                22

  Nº de
 dobles          1             2             3             3             4              5                 6
 enlaces
                                                                                                      O        OH
                                                       O        OH   O        OH    O        OH
             O        OH   O        OH   O        OH




Estructura
ω6

                     ω3
                                            Araquidónico
                                                    COOH
                               Linolénico
     ω6
                                              COOH
                   Linoleico

                          COOH
          Oleico
ω9
                   COOH
ÁCIDOS GRASOS ESENCIALES

Omega 3
    Ácido α-linolénico, 18:3(9,12,15)
    Ácido eicosapentaenoico, 20:5(5,8,11,14,17)
    Ácido docosahexaenoico, 22:6(4,7,10,13,16,19)

Omega 6

    Ácido linoleico, 18:2(9,12)
    Ácido γ-linolénico, 18:3 (6,9,12)
    Ácido araquidónico, 20:4(5,8,11,14)
R’-OH + R-COOH   R-COOR’ + H2O
Monoacilglicerol-3-fosfato
Triacilglicerol
Diacilglicerol
Fosfatidato
Diacilglicerol-3-fosfato
CH3 (CH2)14    CO O   (CH2)15 CH3




              CO O
H   O                                               H   O
        H C OHC
            O                   (CH2)n CH3                  H C OHC
                                                                O                       (CH2)n CH3
                           O                                                        O
        H C OHC
            O                   (CH2)n CH3                  H C OHC
                                                                O                       (CH2)n CH3
                           O                                                        O
        H C OHC
            O                   (CH2)n CH3                  H C OHP
                                                                O                       O R
                                                                  O
          H                                                   H
                                                                               R CO O CH2
                                                    COO-
                                                +NH -CH-CH -OH                 R'   CO O CH              O
                                                   3      2
                                                                                             CH2 O P O H
                                           R CO O CH2                                                    O-
                                           R'   CO O CH      O
R CO O CH2
R'   CO O CH    O              CH3                    CH2 O P     O CH2 CH COO-
          CH2 O P O CH2 CH2 N+ CH3                           O-        NH3+
                O-             CH3


                     R CO O CH2
                     R'   CO O CH     O                                   R CO O CH2
                                                                          R'    CO O CH      O      OH        OH
                                CH2 O P O CH2 CH2 NH3+
                                                                                        CH2 O P O
                                      O-                                                     O-              OH
                                                                                                                   OH
                                                                                                    OH
Fosfatidilcolina

Fosfolipasa A2     Ca++


       Ácido araquidónico


                                                 Fosfatidilinositol-4’,5’-bisfosfato (PIP2)

                                                              Fosfolipasa C

                                        1,2-diacilglicerol (DAG)        Inositol trifosfato (IP3)


                                           Diacilglicerol lipasa

                            Ácido araquidónico                     Monoacilglicerol
H
                          C OH
                    H 2N C H
Esfingosina               CH2OH



              OH
              C H
    CO NH CH         O            CH3
              CH2 O P O CH2 CH2 N+ CH3
                     O-           CH3




Esfingomielina
Ester de colesterol
    Colesterol
PROTEÍNAS
                    clasificación

COMPOSICIÓN                          FORMA
     SIMPLES                         GLOBULARES
  CONJUGADAS                          FIBROSAS


  Lipoproteínas
                     FUNCIÓN
  Glucoproteínas
                      ENZIMÁTICA
  Fosfoproteínas
  Hemoproteínas
                     ESTRUCTURAL
                      CONTRÁCTIL
                    TRANSPORTADORA
                     REGULADORA
                       DEFENSIVA
PROTEÍNAS
                           aminoácidos

                                      ácido

               carbono α      COOH
    amino             H2N     C   H
                                      radical sustituyente
                              R
    CHO

H   C     OH          α-L-aminoácidos
    CH2OH
PROTEÍNAS
                             aminoácidos

                        PUNTO ISOELÉCTRICO (pI o pHi)
           COOH              pH en que el aa está como zwiterion
  +
 H2N
  3        C     H                   pIaa ácidos :    2,8 – 3,2
                                     aa monoamino dicarboxílicos
           R
                                     pIaa neutros :    5 – 6,3
    zwitterion                       aa monoamino monocarboxílicos

(carga eléctrica neta = 0)           pIaa básicos : 7,5 – 11,2
                                     aa diamino monocarboxílicos
Glucogénicos
Aminoácidos     Glucogénicos   Cetogénicos
                                             y cetogénicos

No esenciales   Alanina                      Tirosina
                Arginina
                Aspartato
                Asparragina
                Cisteína
                Glutamato
                Glutamina
                Glicina
                Prolina
                Serina

Esenciales      Histidina      Leucina       Isoleucina
                Metionina                    Fenilalanina
                Treonina                     Triptofano
                Valina                       Lisina
PROTEÍNAS
       el enlace peptídico
       COOH                      COOH
H2N    C        H   +    H2N     C     H
       R1                        R2
       aa1                       aa2
                     H2O

                O           H    O
           H
                C           C    C     OH
 H2N       C         N
                            R2
           R2        H
                dipéptido
PROTEÍNAS
el enlace peptídico




        NO

              SI
  SI
PROTEÍNAS
                                          péptidos
tyr   ser   dipéptido

tyr   ser   met   tripéptido

tyr   ser   met glu                                                               proteínas
tyr   ser   met glu     his                                                  (100 y más aa)

tyr   ser   met glu     his   phe

tyr   ser   met glu     his   phe   arg                           oligopéptidos
                                                                    (4 a 10 aa)
tyr   ser   met glu     his   phe   arg   trp

tyr   ser   met glu     his   phe   arg   trp   gly

tyr   ser   met glu     his   phe   arg   trp   gly   lys

tyr   ser   met glu     his   phe   arg   trp   gly   lys   ala
                                                                              polipéptidos
tyr   ser   met glu     his   phe   arg   trp   gly   lys   ala   leu
                                                                              (10 a 100 aa)
PROTEÍNAS
  estructura
PROTEÍNAS
Estructura primaria

ser   gly   cys   ala   gly
PROTEÍNAS
Estructura secundaria
PROTEÍNAS
Estructura terciaria
PROTEÍNAS
Estructura cuaternaria
NUCLEÓTIDOS
Y ÁCIDOS NUCLEICOS
Los nucleótidos de Adenina son constituyentes de tres importantes
     co-enzimas: FAD, NAD y Co-A
     Los nucleótidos son reguladores metabólicos:
     - AMPc : Activador de proteína quinasa A
     - ATP: fosforilación de enzimas y proteínas




         NH2
                         O                   O            NH2           O
N                  N                   H3C
               N              NH                 NH          N              NH

NH
                   NH     N      NH2         NH    O      NH      O     NH      O
         N

    Adenina            Guanina          Timina         Citosina       Uracilo
ESTRUCTURA DE NUCLEÓTIDOS




                                     Adenina           Adenosina
                                 (base nitrogenada)   (nucleósido)
Fosfato

                            Ribosa
                           (azúcar)


          Adenosina-trifosfato (ATP)
                (nucleótido)
Nomenclatura de Bases
       Nucleósidos y Nucleótidos

    Base         Nucleósido               Nucleótido
Adenina (A)    Adenosina         Ácido adenílico (AMP)
               Desoxiadenosina   Ácido desoxiadenílico (dAMP)
Guanina (G)    Guanosina         Ácido guanílico (GMP)
               Desoxiguanosina   Ácido desoxiguanílico (dGMP)
Citosina (C)   Citidina          Ácido citidílico (CMP)
               Desoxicitidina    Ácido desoxicitidílico (dCMP)
Timina (T)     Timidina          Ácido timidílico (TMP)
               Desoxitimidina    Ácido desoxitimidílico (dTMP)
Uracilo (U)    Uridina           Ácido uridílico (UMP)
               Desoxiuridina     Ácido desoxiuridílico (dUMP)
FAD (FMN)




NAD+              NADH + H+     H++ e-


                              FADH. (FMNH.)


       2H++ 2e-



                                H++ e-


                              FADH2 (FMNH2)
Acetil-CoA




β-mercapto-etilamina   ácido pantoténico vit B5   3’-fosfoadenosina difosfato



                                                      O
           Acetil-CoA                         CH3 C
                                                      S CoA
ORGANIZACIÓN DEL MATERIAL GENÉTICO
REPLICACIÓN DEL DNA

                                 Horquilla de replicación
                                 Hebra continua o líder
                                 Hebra discontinua o rezagada
                                 (fragmentos de Okasaki)
         3’                                         5’
         5’                                         3’




 Semiconservadora (Meselson y Stahl, 1957)
 Comienza en un origen y es bidireccional
 Sentido 5’→ 3’ y es semidiscontinua
 Gran exactitud (un error cada 109- 1010 nucleótidos)
 Tres etapas: iniciación, elongación y terminación
TRANSCRIPCIÓN DEL DNA
                RNA polimerasa
(NMP)n + NTP                     (NMP)n+1 + PPi
                     Mg+2




Misma polaridad de síntesis
Usa como templado DNA
Mismas etapas: iniciación, elongación y terminación

No requiere primer
Involucra sólo algunos segmentos del DNA
Usa como templado sólo una hebra del DNA
Segunda letra
                                 U            C           A            G
                                                                                  U
                               UUU   phe    UCU         UAU   tyr    UGU   cys
                               UUC          UCC   ser   UAC          UGC          C
                             U UUA   leu    UCA         UAA   stop   UGA   stop   A
                               UUG          UCG         UAG   stop   UGG   trp
                                                                                  G




                                                                                      Tercera letra (extremo 3’)
Primera letra (extremo 5’)




                               CUU          CCU         CAU          CGU          U
                                                              his
                                            CCC         CAC          CGC          C
                             C CUC
                               CUA
                                     leu
                                            CCA
                                                  pro
                                                        CAA          CGA
                                                                           arg
                                                                                  A
                                                              gln
                               CUG          CCG         CAG          CGG          G
                               AUU          ACU         AAU          AGU          U
                                                              asn          ser
                                            ACC         AAC          AGC          C
                             A AUC
                                     ileu         thr
                               AUA          ACA         AAA   lys    AGA   arg    A
                               AUG   met    ACG         AAG          AGG          G
                               GUU          GCU         GAU          GGU          U
                                                              asp
                                            GCC         GAC          GGC          C
                             G GUC
                               GUA
                                     val
                                            GCA
                                                  ala
                                                        GAA          GGA
                                                                           gly
                                                              glu                 A
                               GUG          GCG         GAG          GGG          G
(74 – 95 nucleótidos)


       aminoácido




tRNA



                    mRNA
                                        brazo aceptor de aa




                           ψ
                    brazo TψC
                                                brazo DHU




                         brazo extra




                                           brazo anticodón
Activación de aminoácidos
                    20 aa     20 aa-tRNA sintetasas      32 ó más tRNA      ATP      Mg+2
TRAD U C CI ÓN




                 Iniciación
                    mRNA (codón AUG)         tRNAfmet    30S y 50S    GTP     Mg+2       IF-1   IF-2      IF-3


                 Elongación
                    Complejo de iniciación     tRNAaa     EF-Tu       EF-Ts       EF-G      GTP        Mg+2


                 Terminación y liberación
                    Codón UAG, UAA o UGA          RF-1     RF-2      RF-3


                 Plegamiento y modificaciones postraduccionales
                    Múltiples factores
Aminoácido + ATP                       Aminoácido adenilado + PPi

                      aminoacil-tRNA sintetasa

Aminoácido adenilado + tRNA                 Aminoacil-tRNA + AMP
IF2
         IF3

                       IF1

     Subunidad ribosomal 30S                     Subunidad ribosomal 50S         Aminoacil tRNA
                                                                           IF2

         IF3

                      IF1
                                                               IF2


          IF3

                      IF1
                                                  IF2



          IF3
                                            Pi
                      IF1         GDP
        codón de inicio
                  IF2
                      GTP                                                                    codón de término
                                          IF2
5’              IF3                                                                                             3’
                            IF1     IF3
                                                 IF1        mRNA
EF-Tu   EF-Tu
                                                        GTP     GTP




     Peptidil-transferasa (23S)          EF-Tu
                                         GTP
                                          GTP
                                         EF-Tu
                                     EF-Tu
                                           Ts
                                EF-Tu GDP Ts
                                                 GDP
                        EF-Tu         EF-Tu
                         GTP     GTP
                                       GDP




5’                                                                     3’
                 GTP

                 EF-G
RF
RF--2
    3
    1

Clase biomoléculas 2010

  • 2.
    La entalpía decombustión, en condiciones estándar de la glucosa es –2813,1 Kj/mol. Las entalpías de formación estándar del agua líquida y del anhídrido carbónico son –285,8 Kj/mol y –393,3 Kj/mol, respectivamente. Calcular: a) La entalpía de formación estándar de la glucosa. b) El calor producido en la combustión de 500 gramos de glucosa. (Datos: Masas atómicas C=12; H=1; O=16 ) a) C6H12O6 + 6 O2 6 CO2 + 6 H2O ∆Hºc glucosa = 6∆Hºf CO2 + 6∆Hºf H2O – (∆Hºf glucosa + 6∆Hºf O2) = - 2813,1 Kj/mol ∆ ∆ ∆ ∆ ∆Hºf (Kj/mol): O2 = 0 ; H2O = - 285,8 ; CO2 = - 393,3 ; ∆Hºc glucosa = - 2813,1 Kj/mol 6 x -393,3 Kj/mol + 6 x -285,8 Kj/mol – ∆Hºf glucosa - 0 = - 2813,1 Kj/mol -2359,8 Kj/mol – 1714,8 Kj/mol – ∆Hºf glucosa = - 2813,1 Kj/mol / x (-1) 2359,8 Kj/mol + 1714,8 Kj/mol + ∆Hºf glucosa = 2813,1 Kj/mol 4074,6 Kj/mol + ∆Hºf glucosa = 2813,1 Kj/mol ∆Hºf glucosa = 2813,1 Kj/mol – 4074,6 Kj/mol ∆Hºf glucosa = – 1261,5 Kj/mol
  • 3.
    La entalpía decombustión, en condiciones estándar de la glucosa es –2813,1 Kj/mol. Las entalpías de formación estándar del agua líquida y del anhídrido carbónico son –285,8 Kj/mol y –393,3 Kj/mol, respectivamente. Calcular: a) La entalpía de formación estándar de la glucosa. b) El calor producido en la combustión de 500 gramos de glucosa. (Datos: Masas atómicas C=12; H=1; O=16 ) b) 180 gramos de glucosa corresponden a 1 mol 500 gramos de glucosa corresponden a x moles x = 2,77 moles ∆Hºc glucosa = -2813,1 Kj/mol Con 1 mol de glucosa se produce - 2813,1 Kj Con 2,77 moles de glucosa se produce x x = - 7792,3 Kj
  • 4.
    La transferencia deelectrones en la cadena respiratoria mitocondrial se puede representar mediante la ecuación de la reacción neta: NADH + H+ + ½ O2 H2O + NAD+ NAD+ + H+ + 2e- NADH ∆Eº’= -0,320 V ½ O2 + 2H+ + 2e- H2O ∆Eº’= 0,816 V a) Calcular el valor de ∆Eº’ de la reacción neta de la transferencia electrónica mitocondrial. b) Calcular ∆Gº’ de esta reacción. c) ¿ Cuántos moles de ATP se pueden generar teóricamente por esta reacción si la energía libre estándar de la síntesis de ATP es 30,5 kJ/mol ? a) NADH NAD+ + H+ + 2e- ∆Eº’= 0,320 V ½ O2 + 2H+ + 2e- H 2O ∆Eº’= 0,816 V b) ∆Gº’= -nF∆Eº’ ∆ n=2 F= 96,485 kJ/V . mol ∆Eº’= 1,136 V ∆Gº’= -2 x 96,485 kJ/V . mol x 1,136 V ∆Gº’= -219,2 kJ/mol c) Con 30,5 kJ se sintetiza 1 mol de ATP x = 7,19 moles de ATP Con 219,2 kJ se sintetiza x moles de ATP x ≈ 7 moles de ATP
  • 5.
    Si se incubauna solución 0,1 M de glucosa-1-fosfato con una cantidad catalítica de fosfoglucomutasa, la glucosa-1-fosfato (G-1-P) se transforma en glucosa-6-fosfato (G-6-P) hasta que se establece el equilibrio. Las concentraciones en el equilibrio son: glucosa-1-fosfato glucosa-6-fosfato 4,5 x 10-3 M 9,6 x 10-2 M Calcular K’eq y ∆Gº’ para esta reacción a 25ºC. [glucosa-6-fosfato] K’eq = [glucosa-1-fosfato] 9,6 x 10-2 M K’eq = 4,5 x 10-3 M K’eq = 2,13 x 101 K’eq = 21,3 ∆Gº’ = - RT ln K’eq ln = 2,3 log ∆Gº’ = - 2,3 RT log K’eq R = 8,315 J/mol . ºK T = 298ºK ∆Gº’ = - 2,3 x 8,315 J/mol . 298ºK x log 21,3 ∆Gº’ = 7579,8 J/mol = 7,6 kJ/mol
  • 6.
    D I P L O M A EN CIENCIAS DE LA ACTIVIDAD FISICA 2009 UNIVERSIDAD DE CHILE Aspectos generales Clasificación CARBOHIDRATOS Isomería Derivados de monosacáridos: polisacáridos Aspectos generales Clasificación LÍPIDOS Ácidos grasos y triacilgliceroles Fosfolípidos Aminoácidos Enlace peptídico PROTEÍNAS Estructura de proteínas Nucleótidos Prof. BQ Jorge Soto Labbé ÁCIDOS NUCLEICOS DNA FACULTAD DE MEDICINA RNA UNIVERSIDAD DE CHILE
  • 7.
    py pz 4 orbitales híbridos sp3 2S px sp3 H 2S2 2px1 2py1 2pz0 1 1 1S C H H H 1S2
  • 8.
    H H H C H H C H C H H H H H H ENERGÍAS DE ENLACE PROMEDIO (kJ/mol) _ _ C C 607 Si Si 230 _ _ C N 754 Si N 470 _ _ C H 416 Si H 323 _ _ C O 336 Si O 368
  • 9.
    H CH H H
  • 10.
    ALCANOS CnH2n+2 H H H H H H H H H H H H H H H H C H H C C H H C C C H H C C C C H H C C C C C H H H H H H H H H H H H H H H H metano etano propano butano pentano CH 4 CH3CH3 CH3CH2 CH3 CH3CH2CH2CH3 CH3CH2CH2CH2CH3 ALQUENOS CnH2n H H H H H H H H H H H H H H H C C H H C C C H H C C C C H H C C C C C H H H H H H H eteno propeno 2-buteno 2-penteno ALQUINOS CnH2n-2 H H H H H H H C C H H C C C H H C C C C H H C C C C C H H H H H H H etino (acetileno) propino 2-butino 2-pentino
  • 11.
  • 12.
  • 13.
    ASPECTOS GENERALES Glúcidos, azúcares,sacáridos, carbohidratos o hidratos de carbono DU LC E Griego glicos Árabe hispano assúkkar Latín sacaros Cn(H2O)n C OH Radical hidroxilo Alcohol H C C O Radical carbonilo C O C O Aldehido Cetona C C
  • 14.
    ASPECTOS GENERALES PO LI H I D R O X IALD E H I D O S O H C O H C H C OH O H C H C OH HO C H O H C H C OH H C OH H C OH H C OH H C OH H C OH H C OH H2 C OH H2 C OH H2 C OH H2 C OH gliceraldehido eritrosa ribosa glucosa PO LI H I D R O X I C ETO NAS H2 C OH H2 C OH C O H2 C OH C O HO C H H2 C OH C O H C OH H C OH C O H C OH H C OH H C OH H2 C OH H2 C OH H2 C OH H2 C OH dihidroxicetona eritrulosa ribulosa fructosa
  • 15.
    CLASIFICACIÓN MONOSACÁRIDOS O gliceraldehido dihidroxiacetona AZÚCARES SIMPLES eritrosa eritrulosa ribosa ribulosa glucosa, galactosa, manosa fructosa sedoheptulosa OLIGOSACÁRIDOS maltosa sacarosa lactosa POLISACÁRIDOS O GLUCANOS HOMOPOLISACÁRIDOS celulosa almidón glucógeno quitina HETEROPOLISACÁRIDOS GLUCOSAMINOGLUCANOS ácido hialurónico condroitinsulfato dermatansulfato O MUCOPOLISACÁRIDOS queratansulfato heparansulfato heparina PEPTIDOGLUCANOS PROTEOGLUCANOS
  • 16.
    ISOMERÍA DE CARBOHIDRATOS CHO CHO H C OH HO C H CH2OH CH2OH D-gliceraldehido L-gliceraldehido Fórmulas de proyección de Fisher CHO CHO H C OH HO C H CH2OH CH2OH D-gliceraldehido L-gliceraldehido H O H O H O Fórmulas de perspectiva C C C 1 HO C H H C OH H C OH 2 2 Estereoisomería HO C H HO C H HO C H 3 Isomería óptica H C OH H C OH HO C H 4 4 Carbono asimétrico o centro quiral H C OH H C OH H C OH Enantiómeros 5 CH2OH CH2OH CH2OH Racemización 6 D-manosa D-glucosa D-galactosa Diasteroisómeros Epímeros Nº de estereoisómeros = 2n
  • 17.
    FORMAS CÍCLICAS H HO CH2OH FURANO CH2OH H o H C OH H H C OH o H HO H O H H OH PIRANO HO C H H OH H H C OH OH OH OH o H O H C C H OH CH2OH H C OH α-D-glucopiranosa (1/3) HO C H HEMIACETAL Fórmulas de proyección de Haworth H C OH o H C OH HO C H CH2OH CH2OH H C OH o H OH O H D-glucosa HO C H OH H H H C OH H OH HO CH2OH H C H o H OH H CH2OH β-D-glucopiranosa (2/3) HO H OH mutarrotación ANÓMEROS OH H
  • 18.
    DERIVADOS DE MONOSACÁRIDOS O H O H C C Gliceraldehido H C OH H C OH Gliceraldehido-3-P H2 C OH H2 C O P H2 C OH H2 C OH Dihidroxicetona C O C O Dihidroxicetona-P H2 C OH H2 C O P CH2OH o OH CH2OH o OH P O CH2 o OH H HO H HO H HO H H H H H H OH OH OH H OH OH Ribosa β -2-deoxirribosa Ribosa-5-P CH2OH CH2O P o o H H H H H H OH H OH H OH OH OH OH H OH H OH Glucosa Glucosa-6-P
  • 19.
    OLIGOSACÁRIDOS CH2OH CH2OH o o H H H H α-D-Glucopiranosil-(1,4)-D-glucopiranosa H H OH OH H OH O OH OH H OH Maltosa H OH H OH Extremo reductor Enlace O-glucosídico ACETAL CH2OH H OH o OH OH OH OH β-D-Galactopiranosil-1,4-D-glucopiranosa O O H OH H OH H H H H H H H O O H Lactosa Extremo reductor H OH CH2OH CH2OH o CH2OH H H H H o OH H H HO α-D-Glucopiranosil-(1,2)-β-D-fructofuranosa β OH H O O OH OH H CH22OH CH OH Sacarosa OH H H OH
  • 20.
    POLISACÁRIDOS O GLUCANOS HOMOPOLISACÁRIDOS ALMIDÓN CH2OH CH2OH CH2OH CH2OH o H H o H o H o H H H H H H H H O OH H O OH H O OH H O OH H O 25% AMILOSA H OH H OH H OH H OH CH2OH o H H H O OH H H OH O CH2OH CH2OH CH2 CH2OH o H H o H o H o H H H H H H H H O OH H O OH H O OH H O OH H O 75% AMILOPECTINA H OH H OH H OH H OH
  • 21.
  • 22.
    POLISACÁRIDOS O GLUCANOS HOMOPOLISACÁRIDOS CELULOSA CH2OH H OH CH2OH H OH o o H O H H O H H OH H H OH H O OH H H O OH H H O H H H H O O H OH CH2OH H OH CH2OH
  • 24.
  • 25.
    CH2OH CHOH CH3-(CH2)n-COOH CH2OH ácidos grasos glicerol CH3-(CH2)n-COOCH2 CH3-(CH2)n-COOCH2 colesterol CH3-(CH2)n-COOCH CH3-(CH2)n-COOCH CH3-(CH2)n-COOCH2 R-O3P-OCH2 triacilgliceroles fosfolípidos diacilglicerol (DAG) inositoltrifosfato (IP3) COOH ácido taurocólico CH3 ácido araquidónico • prostaglandinas • leucotrienos ácido glicocólico • tromboxanos 1,25-dihidroxicolecalciferol testosterona estradiol progesterona
  • 26.
    R CO OCH2 CH2OH R CO O CH + 3NaOH 3 R-COONa + HOCH R CO O CH2 CH2OH
  • 28.
    Carbono Hidrógeno Oxígeno Glicerol Fósforo H H H H C C C H Glicerol-3-P OH OH OH H H H H H H H H H Acido graso H C C C C C C C C C C OH H H H H H H H H H O
  • 29.
    Acido Oleico Linoleico α-linolénico γ-homolinolénico Araquidónico Eicosapentaenoico Docosahexaenoico graso Nº de carbonos 18 18 18 20 20 20 22 Nº de dobles 1 2 3 3 4 5 6 enlaces O OH O OH O OH O OH O OH O OH O OH Estructura
  • 30.
    ω6 ω3 Araquidónico COOH Linolénico ω6 COOH Linoleico COOH Oleico ω9 COOH
  • 31.
    ÁCIDOS GRASOS ESENCIALES Omega3 Ácido α-linolénico, 18:3(9,12,15) Ácido eicosapentaenoico, 20:5(5,8,11,14,17) Ácido docosahexaenoico, 22:6(4,7,10,13,16,19) Omega 6 Ácido linoleico, 18:2(9,12) Ácido γ-linolénico, 18:3 (6,9,12) Ácido araquidónico, 20:4(5,8,11,14)
  • 33.
    R’-OH + R-COOH R-COOR’ + H2O
  • 34.
  • 35.
    CH3 (CH2)14 CO O (CH2)15 CH3 CO O
  • 37.
    H O H O H C OHC O (CH2)n CH3 H C OHC O (CH2)n CH3 O O H C OHC O (CH2)n CH3 H C OHC O (CH2)n CH3 O O H C OHC O (CH2)n CH3 H C OHP O O R O H H R CO O CH2 COO- +NH -CH-CH -OH R' CO O CH O 3 2 CH2 O P O H R CO O CH2 O- R' CO O CH O R CO O CH2 R' CO O CH O CH3 CH2 O P O CH2 CH COO- CH2 O P O CH2 CH2 N+ CH3 O- NH3+ O- CH3 R CO O CH2 R' CO O CH O R CO O CH2 R' CO O CH O OH OH CH2 O P O CH2 CH2 NH3+ CH2 O P O O- O- OH OH OH
  • 38.
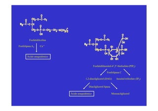
    Fosfatidilcolina Fosfolipasa A2 Ca++ Ácido araquidónico Fosfatidilinositol-4’,5’-bisfosfato (PIP2) Fosfolipasa C 1,2-diacilglicerol (DAG) Inositol trifosfato (IP3) Diacilglicerol lipasa Ácido araquidónico Monoacilglicerol
  • 39.
    H C OH H 2N C H Esfingosina CH2OH OH C H CO NH CH O CH3 CH2 O P O CH2 CH2 N+ CH3 O- CH3 Esfingomielina
  • 40.
  • 42.
    PROTEÍNAS clasificación COMPOSICIÓN FORMA SIMPLES GLOBULARES CONJUGADAS FIBROSAS Lipoproteínas FUNCIÓN Glucoproteínas ENZIMÁTICA Fosfoproteínas Hemoproteínas ESTRUCTURAL CONTRÁCTIL TRANSPORTADORA REGULADORA DEFENSIVA
  • 43.
    PROTEÍNAS aminoácidos ácido carbono α COOH amino H2N C H radical sustituyente R CHO H C OH α-L-aminoácidos CH2OH
  • 44.
    PROTEÍNAS aminoácidos PUNTO ISOELÉCTRICO (pI o pHi) COOH pH en que el aa está como zwiterion + H2N 3 C H pIaa ácidos : 2,8 – 3,2 aa monoamino dicarboxílicos R pIaa neutros : 5 – 6,3 zwitterion aa monoamino monocarboxílicos (carga eléctrica neta = 0) pIaa básicos : 7,5 – 11,2 aa diamino monocarboxílicos
  • 45.
    Glucogénicos Aminoácidos Glucogénicos Cetogénicos y cetogénicos No esenciales Alanina Tirosina Arginina Aspartato Asparragina Cisteína Glutamato Glutamina Glicina Prolina Serina Esenciales Histidina Leucina Isoleucina Metionina Fenilalanina Treonina Triptofano Valina Lisina
  • 46.
    PROTEÍNAS el enlace peptídico COOH COOH H2N C H + H2N C H R1 R2 aa1 aa2 H2O O H O H C C C OH H2N C N R2 R2 H dipéptido
  • 47.
  • 48.
    PROTEÍNAS péptidos tyr ser dipéptido tyr ser met tripéptido tyr ser met glu proteínas tyr ser met glu his (100 y más aa) tyr ser met glu his phe tyr ser met glu his phe arg oligopéptidos (4 a 10 aa) tyr ser met glu his phe arg trp tyr ser met glu his phe arg trp gly tyr ser met glu his phe arg trp gly lys tyr ser met glu his phe arg trp gly lys ala polipéptidos tyr ser met glu his phe arg trp gly lys ala leu (10 a 100 aa)
  • 49.
  • 50.
  • 51.
  • 52.
  • 54.
  • 55.
  • 56.
    Los nucleótidos deAdenina son constituyentes de tres importantes co-enzimas: FAD, NAD y Co-A Los nucleótidos son reguladores metabólicos: - AMPc : Activador de proteína quinasa A - ATP: fosforilación de enzimas y proteínas NH2 O O NH2 O N N H3C N NH NH N NH NH NH N NH2 NH O NH O NH O N Adenina Guanina Timina Citosina Uracilo
  • 57.
    ESTRUCTURA DE NUCLEÓTIDOS Adenina Adenosina (base nitrogenada) (nucleósido) Fosfato Ribosa (azúcar) Adenosina-trifosfato (ATP) (nucleótido)
  • 58.
    Nomenclatura de Bases Nucleósidos y Nucleótidos Base Nucleósido Nucleótido Adenina (A) Adenosina Ácido adenílico (AMP) Desoxiadenosina Ácido desoxiadenílico (dAMP) Guanina (G) Guanosina Ácido guanílico (GMP) Desoxiguanosina Ácido desoxiguanílico (dGMP) Citosina (C) Citidina Ácido citidílico (CMP) Desoxicitidina Ácido desoxicitidílico (dCMP) Timina (T) Timidina Ácido timidílico (TMP) Desoxitimidina Ácido desoxitimidílico (dTMP) Uracilo (U) Uridina Ácido uridílico (UMP) Desoxiuridina Ácido desoxiuridílico (dUMP)
  • 59.
    FAD (FMN) NAD+ NADH + H+ H++ e- FADH. (FMNH.) 2H++ 2e- H++ e- FADH2 (FMNH2)
  • 60.
    Acetil-CoA β-mercapto-etilamina ácido pantoténico vit B5 3’-fosfoadenosina difosfato O Acetil-CoA CH3 C S CoA
  • 61.
  • 63.
    REPLICACIÓN DEL DNA Horquilla de replicación Hebra continua o líder Hebra discontinua o rezagada (fragmentos de Okasaki) 3’ 5’ 5’ 3’ Semiconservadora (Meselson y Stahl, 1957) Comienza en un origen y es bidireccional Sentido 5’→ 3’ y es semidiscontinua Gran exactitud (un error cada 109- 1010 nucleótidos) Tres etapas: iniciación, elongación y terminación
  • 65.
    TRANSCRIPCIÓN DEL DNA RNA polimerasa (NMP)n + NTP (NMP)n+1 + PPi Mg+2 Misma polaridad de síntesis Usa como templado DNA Mismas etapas: iniciación, elongación y terminación No requiere primer Involucra sólo algunos segmentos del DNA Usa como templado sólo una hebra del DNA
  • 67.
    Segunda letra U C A G U UUU phe UCU UAU tyr UGU cys UUC UCC ser UAC UGC C U UUA leu UCA UAA stop UGA stop A UUG UCG UAG stop UGG trp G Tercera letra (extremo 3’) Primera letra (extremo 5’) CUU CCU CAU CGU U his CCC CAC CGC C C CUC CUA leu CCA pro CAA CGA arg A gln CUG CCG CAG CGG G AUU ACU AAU AGU U asn ser ACC AAC AGC C A AUC ileu thr AUA ACA AAA lys AGA arg A AUG met ACG AAG AGG G GUU GCU GAU GGU U asp GCC GAC GGC C G GUC GUA val GCA ala GAA GGA gly glu A GUG GCG GAG GGG G
  • 68.
    (74 – 95nucleótidos) aminoácido tRNA mRNA brazo aceptor de aa ψ brazo TψC brazo DHU brazo extra brazo anticodón
  • 69.
    Activación de aminoácidos 20 aa 20 aa-tRNA sintetasas 32 ó más tRNA ATP Mg+2 TRAD U C CI ÓN Iniciación mRNA (codón AUG) tRNAfmet 30S y 50S GTP Mg+2 IF-1 IF-2 IF-3 Elongación Complejo de iniciación tRNAaa EF-Tu EF-Ts EF-G GTP Mg+2 Terminación y liberación Codón UAG, UAA o UGA RF-1 RF-2 RF-3 Plegamiento y modificaciones postraduccionales Múltiples factores
  • 70.
    Aminoácido + ATP Aminoácido adenilado + PPi aminoacil-tRNA sintetasa Aminoácido adenilado + tRNA Aminoacil-tRNA + AMP
  • 71.
    IF2 IF3 IF1 Subunidad ribosomal 30S Subunidad ribosomal 50S Aminoacil tRNA IF2 IF3 IF1 IF2 IF3 IF1 IF2 IF3 Pi IF1 GDP codón de inicio IF2 GTP codón de término IF2 5’ IF3 3’ IF1 IF3 IF1 mRNA
  • 72.
    EF-Tu EF-Tu GTP GTP Peptidil-transferasa (23S) EF-Tu GTP GTP EF-Tu EF-Tu Ts EF-Tu GDP Ts GDP EF-Tu EF-Tu GTP GTP GDP 5’ 3’ GTP EF-G
  • 73.