DISEÑO DE MIEMBROS EN TRACCIÓN

RESISTENCIA EN TRACCIÓN

La resistencia de diseño en tracción, φt Pn, y la resistencia admisible en
tracción, Pn/Ωt, de miembros solicitados a tracción debe ser el menor valor
obtenido de acuerdo a los estados límite de fluencia en tracción en la sección
bruta y fractura en tracción en la sección neta

(a) Para fluencia en tracción en la sección bruta:
Donde:

Ae = área neta efectiva, cm2 (mm2)
Ag = área bruta del miembro, cm2 (mm2)
Fy = tensión de fluencia mínima especificada del tipo de acero utilizado, kgf/cm2
(MPa )
Fu = tensión última mínima especificada del tipo de acero utilizado, kgf/cm2
(MPa)



DETERMINACIÓN DE ÁREAS

1. Área Bruta

El área bruta, Ag, de un miembro es el área total de la sección transversal.
2. Área Neta

El área neta de un miembro, An, es la suma de los productos que se obtienen de
multiplicar los espesores por los correspondientes anchos netos de los miembros
de cada elemento calculados de la siguiente manera:

Para calcular el área neta para tensión y corte, el ancho de una perforación se
tomará como 2 mm más grande que la dimensión nominal de la perforación.

Para una cadena de perforaciones que se extiende a través de una pieza, en una
línea en diagonal o zigzag, el ancho neto de esa parte se obtendrá deduciendo del
ancho bruto, la suma de diámetros de todas las perforaciones en una cadena, y
agregando, para cada cambio de línea perpendicular a la dirección de la fuerza, la
cantidad s2/4g.

donde:

s = espaciamiento longitudinal, medido entre centros (paso) de dos perforaciones
consecutivas, cm (mm)
g = espaciamiento transversal, medido entre centros (gramil) de dos perforaciones
consecutivas, cm (mm)
3. Área Neta Efectiva

El área neta efectiva de los miembros traccionados debe ser determinada de
la siguiente forma:




 Donde U, el factor de corte diferido (shear lag)




Miembros tales como ángulos simples, ángulos dobles y secciones T laminadas
(WT) deben tener conexiones diseñadas de manera tal que U es igual o mayor
que 0.60. Alternativamente, un valor menor que U es permitido si estos
miembros traccionados son diseñados incluyendo el efecto de excentricidad
MIEMBROS CONECTADOS POR PASADORES


1. Resistencia en Tracción

La resistencia de diseño en tracción, φt Pn , y la resistencia admisible en
tracción, Pn /Ωt, de miembros conectados por pasadores, debe ser el menor
valor determinado de acuerdo a los estados límite de rotura en tracción, rotura
en corte, aplastamiento y fluencia.


(a) Para rotura en tracción en el área neta efectiva será:
(b) Para rotura en corte en el área efectiva:




Donde     Asf = 2t (a + d/2), cm2 (mm2)

          a = distancia más corta desde el borde de la perforación del pasador
          hasta el borde del miembro medido paralelamente a la dirección de la
          fuerza, mm (cm)

          beff = 2t + 1.6, cm (= 2t + 16, mm ) pero no más que la distancia
          actual entre el borde de la perforación hasta el borde de la parte
          medida en la dirección normal a la fuerza aplicada

          d = diámetro del pasador, cm (mm)

          t = espesor de la placa, cm (mm)
2. Requerimientos Dimensionales
La perforación del pasador debe estar localizada a media distancia entre los
bordes del miembro en la dirección normal a la fuerza aplicada. Cuando se espera
que el pasador permita el movimiento relativo entre las partes conectadas bajo
máxima carga, el diámetro de la perforación del pasador no debe ser 1 mm más
grande que el diámetro del pasador.

El ancho de la placa donde se encuentra la perforación del pasador no debe ser
menor que 2beff + d. La mínima extensión, a, más allá del extremo sometido a
aplastamiento de la perforación del pasador, paralelo al eje del miembro, no debe
ser menor que 1.33 x beff.

Las esquinas más allá de la perforación del pasador están permitidas para ser
cortadas en 45º al eje del miembro, siempre que el área neta mas allá de la
perforación del pasador, en un plano perpendicular al corte, no sea menor que la
requerida más allá de la perforación del pasador paralelo al eje del miembro.
DISEÑO DE MIEMBROS EN COMPRESIÓN

DISPOSICIONES GENERALES

La resistencia de diseño en compresión, φc Pn, y la resistencia admisible
en compresión, Pn/Ωc, deben ser determinadas de la siguiente manera:

La resistencia de compresión nominal, Pn, es el menor valor obtenido de
acuerdo con los estados límite de pandeo por flexión, pandeo torsional y
pandeo flexo-torsional.

(a) Para secciones de simetría doble y secciones de simetría simple se aplica
    el estado límite de pandeo por flexión.

(b) Para secciones de simetría simple, secciones asimétricas y ciertas
    secciones de simetría doble, tales como columnas cruciformes o columnas
    armadas, los estados límite de pandeo torsional y flexo-torsional también
    son aplicables.
LÍMITES DE ESBELTEZ Y LONGITUD EFECTIVA

 El factor de longitud efectiva, K , para calcular la esbeltez de columna, KL/r,
 debe ser determinado de acuerdo al Capítulo C del apunte, donde:


 L = longitud no arriostrada lateralmente del miembro, cm (mm)

 r = radio de giro, cm (mm)

 K = factor de longitud efectiva determinada de acuerdo con la Sección C

PANDEO POR FLEXIÓN DE MIEMBROS SIN ELEMENTOS ESBELTOS

 Esta sección aplica para miembros solicitados en compresión con secciones
 compactas y no compactas.
La resistencia de compresión nominal, Pn, debe ser determinada
basándose en el estado límite de pandeo por flexión:




La tensión de pandeo por flexión, Fcr , se determina como sigue:
donde

Fe = tensión crítica de pandeo elástico determinada de acuerdo a la Ecuación
siguiente, kgf/cm2 (MPa)
RESISTENCIA A COMPRESIÓN, PANDEO TORSIONAL Y FLEXO-
 TORSIONAL DE MIEMBROS SIN ELEMENTOS ESBELTOS

Esta sección se aplica a miembros con simetría simple y asimétricos y ciertos
miembros con simetría doble, tales como columnas cruciformes o armadas,
con secciones compactas y no compactas. No se requiere aplicar estas
disposiciones a ángulos simples.

La resistencia nominal a compresión, Pn, debe ser determinada basándose en
el estado límite de pandeo por flexo-torsión y torsión, de la siguiente manera:
(a) Para secciones doble ángulo y T en compresión:




 donde Fcry se toma como Fcr de la ecuación anteriormente mencionada

              y
(b) Para todos los otros casos, Fcr debe ser determinado de acuerdo a las
ecuaciones anteriores, usando la tensión de pandeo elástico torsional o flexo-
torsional, Fe , determinado de la siguiente manera:


(i) Para miembros con simetría doble:




(ii) Para miembros con simetría simple donde y es el eje de simetría:
(iii) Para miembros asimétricos, Fe es la menor raíz de la ecuación cúbica:




donde
                 Ag = área bruta de miembro, cm2 (mm2)
                 Cw = constante de alabeo, cm6 (mm6)
G = módulo elástico de corte del acero = 790.000 kgf/cm2 (77.200 MPa)

Ix , Iy = momento de inercia en torno de los ejes principales, cm4 (mm4)

J = constante torsional, cm4 (mm4)

Kz = factor de longitud efectiva para pandeo torsional

Xo ,Yo= coordenadas del centro de corte con respecto al centroide, cm (mm)

ro = radio de giro polar en torno al centro de corte, cm (mm)

ry = radio de giro en torno al eje y, cm (mm)
ÁNGULO SIMPLE EN COMPRESIÓN

La resistencia de compresión nominal, Pn , para miembros ángulos simples
debe ser determinada de acuerdo a la sección anterior, cargados axialmente,
de la misma manera, los miembros que cumplen el criterio
impuesto en secciones siguientes (a) y (b) pueden ser diseñados como
miembros cargados axialmente usando la razón de esbeltez efectiva
especificada, KL /r .

Los efectos de excentricidad en ángulos simples pueden ser despreciados
cuando los miembros son evaluados como miembros cargados axialmente en
compresión usando una de las razones de esbeltez efectivas especificadas
más abajo, cuando se cumple que:
(1) los miembros son cargados en compresión en sus extremos a través de la
misma ala;
(2) miembros son conectados por soldadura o por lo menos con dos pernos; y
(3) no existen cargas transversales intermedias.
(a) Para ángulos con alas iguales o alas desiguales conectadas en el ala
más larga, que son almas de sección cajón o almas de enrejados planos con
miembros de alma adyacentes, conectados al mismo lado de la placa gusset
o cordón:
Para ángulos con alas desiguales y razón de longitud de ala menor que 1.7 y
conectadas a través del ala corta, KL /r de las ecuaciones anteriores deben
ser aumentados al sumarse

pero KL /r de los miembros no debe ser menor que 0.95L /rz .

(b) Para ángulos de alas iguales o alas desiguales conectadas a través del ala
más larga, que son miembros de alma de cajas o enrejados espaciales con
miembros de alma adyacentes conectados al mismo lado de la placa gusset o
cordón:
Para ángulos con alas desiguales y razón de longitud de ala menor que 1.7,
conectadas a través del ala corta, KL /r de las ecuaciones anetriores debe
ser aumentados al sumarse

pero KL /r de los miembros no deben ser menor que 0.82L /rz
donde
L = longitud del miembro entre puntos de trabajo, cm (mm)

b1 = ala larga del ángulo, cm (mm)

bs = ala corta del ángulo, cm (mm)

rx = radio de giro en torno del eje geométrico paralelo al ala conectada,cm (mm)

rz = radio de giro para el menor eje principal, cm (mm)
MIEMBROS ARMADOS

Resistencia a Compresión

 Esta sección aplica a los miembros constituidos por dos secciones que
 pueden ser: (a) interconectadas por pernos o soldadura; o (b) con por lo
 menos un lado abierto interconectado por placas de cubierta perforadas o
 enlaces con placa de asiento. Las conexiones en los extremos deben ser
 soldadas o con pernos pretensionados contra superficies de contacto Clase
 A o B.

(a) La resistencia de compresión nominal de miembros armados compuestos
por dos secciones que están interconectadas por pernos o soldaduras debe
ser determinada de acuerdo a secciones anteriores solicitados a las
siguientes modificaciones. En vez de realizar un análisis más preciso, si el
modo de pandeo involucra deformaciones relativas que producen fuerzas de
corte en los conectores entre secciones individuales, KL /r debe ser
reemplazado por (KL /r)m determinado de la siguiente manera:
i) Para conectores intermedios que son pernos de apriete calibrado:




ii) Para conectores intermedios soldados o con pernos pretensionados:
donde

            esbeltez modificada de columna para el miembro armado



            esbeltez de columna del miembro armado actuando como una
            unidad en la dirección de pandeo considerado


 a = distancia entre conectores, cm (mm)

 ri = radio de giro mínimo del componente individual, cm (mm)

 rib = radio de giro del componente individual relativo a su eje centroidal
 paralelo al eje de pandeo del miembro, cm (mm)

 α = razón de separación = h /2rib

 h = distancia entre centroides de los componentes individuales medida
 perpendicularmente al eje de pandeo del miembro, cm (mm)
MIEMBROS CON ELEMENTOS ESBELTOS

Esta sección aplica para miembros solicitados en compresión con elementos
esbeltos, y en compresión uniforme.

La resistencia de compresión nominal, Pn, debe ser determinada basándose en
el estado límite de pandeo por flexión, torsional o flexo-torsional.
donde

Fe = tensión crítica de pandeo elástico, calculada usando ecuaciones de las
secciones anteriores para miembros con simetría doble, con simetría simple y
para miembros asimétricos,

Q = 1.0 para miembros sin elementos esbeltos.

= Qs Qa para miembros con secciones de elementos esbeltos.
Nota: Para secciones compuestas solamente por elementos esbeltos no
atiesados, Q = Qs (Qa = 1.0) . Para secciones compuestas solamente por
elementos esbeltos atiesados, Q = Qa (Qs = 1.0). Para secciones compuestas
por ambos elementos esbeltos no atiesados y atiesados, Q = Qs Qa .


1. Elementos Esbeltos No Atiesados, Qs

El factor de reducción Qs para elementos esbeltos no atiesados se define a
continuación:

(a) Para alas, ángulos y placas proyectadas de columnas laminadas u otro
miembro en compresión:
(b) Para alas, ángulos y placas proyectadas de columnas armadas u otro
miembro en compresión:
donde



               y para efectos de cálculo debe tomarse no menor que 0.35 ni
               mayor que 0.76.

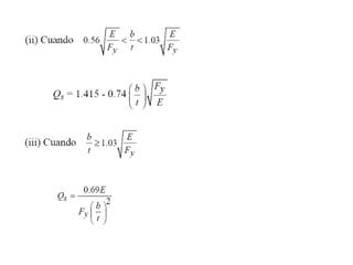
(c) Para ángulos simples:
donde



  b = ancho completo del ala de ángulo más larga, cm (mm)
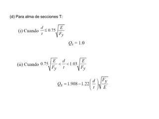
(d) Para alma de secciones T:
donde


        b = ancho del elemento no atiesado en compresión, cm (mm)

        d = profundidad nominal completa de la sección T, cm (mm)

        t = espesor del elemento, cm (mm)
2. Elementos Esbeltos Atiesados, Qa

El factor de reducción, Qa , para elementos esbeltos atiesados se define a
continuación:




donde


    A = área seccional total del miembro, cm2 (mm2)

    Aeff = suma de las áreas efectivas de las secciones basadas en el
    ancho efectivo reducido, be , cm2 (mm2)
El ancho efectivo reducido, be , se determina de la siguiente manera:


(a) Para elementos esbeltos en compresión uniforme, con

excepto para alas de tubos cuadrados y rectangulares de espesor uniforme:




 Donde

  f se toma como Fcr con Fcr calculada con Q = 1.0
(b) Para alas de elementos esbeltos de tubos cuadrados y rectangulares en
compresión uniforme con :




donde




 Nota: En vez de calcular f = Pn / Aeff , que requiere iteración, f puede ser
 tomada igual a Fy. Esto resulta en una estimación levemente conservadora
 en la capacidad de la columna.
(c) Para tubos circulares cargados axialmente, cuando




   donde

   D = diámetro exterior, cm (mm)

   t = espesor de pared, cm (mm)

Clase Iv 2do Bi

  • 1.
    DISEÑO DE MIEMBROSEN TRACCIÓN RESISTENCIA EN TRACCIÓN La resistencia de diseño en tracción, φt Pn, y la resistencia admisible en tracción, Pn/Ωt, de miembros solicitados a tracción debe ser el menor valor obtenido de acuerdo a los estados límite de fluencia en tracción en la sección bruta y fractura en tracción en la sección neta (a) Para fluencia en tracción en la sección bruta:
  • 2.
    Donde: Ae = áreaneta efectiva, cm2 (mm2) Ag = área bruta del miembro, cm2 (mm2) Fy = tensión de fluencia mínima especificada del tipo de acero utilizado, kgf/cm2 (MPa ) Fu = tensión última mínima especificada del tipo de acero utilizado, kgf/cm2 (MPa) DETERMINACIÓN DE ÁREAS 1. Área Bruta El área bruta, Ag, de un miembro es el área total de la sección transversal.
  • 3.
    2. Área Neta Elárea neta de un miembro, An, es la suma de los productos que se obtienen de multiplicar los espesores por los correspondientes anchos netos de los miembros de cada elemento calculados de la siguiente manera: Para calcular el área neta para tensión y corte, el ancho de una perforación se tomará como 2 mm más grande que la dimensión nominal de la perforación. Para una cadena de perforaciones que se extiende a través de una pieza, en una línea en diagonal o zigzag, el ancho neto de esa parte se obtendrá deduciendo del ancho bruto, la suma de diámetros de todas las perforaciones en una cadena, y agregando, para cada cambio de línea perpendicular a la dirección de la fuerza, la cantidad s2/4g. donde: s = espaciamiento longitudinal, medido entre centros (paso) de dos perforaciones consecutivas, cm (mm) g = espaciamiento transversal, medido entre centros (gramil) de dos perforaciones consecutivas, cm (mm)
  • 4.
    3. Área NetaEfectiva El área neta efectiva de los miembros traccionados debe ser determinada de la siguiente forma: Donde U, el factor de corte diferido (shear lag) Miembros tales como ángulos simples, ángulos dobles y secciones T laminadas (WT) deben tener conexiones diseñadas de manera tal que U es igual o mayor que 0.60. Alternativamente, un valor menor que U es permitido si estos miembros traccionados son diseñados incluyendo el efecto de excentricidad
  • 5.
    MIEMBROS CONECTADOS PORPASADORES 1. Resistencia en Tracción La resistencia de diseño en tracción, φt Pn , y la resistencia admisible en tracción, Pn /Ωt, de miembros conectados por pasadores, debe ser el menor valor determinado de acuerdo a los estados límite de rotura en tracción, rotura en corte, aplastamiento y fluencia. (a) Para rotura en tracción en el área neta efectiva será:
  • 6.
    (b) Para roturaen corte en el área efectiva: Donde Asf = 2t (a + d/2), cm2 (mm2) a = distancia más corta desde el borde de la perforación del pasador hasta el borde del miembro medido paralelamente a la dirección de la fuerza, mm (cm) beff = 2t + 1.6, cm (= 2t + 16, mm ) pero no más que la distancia actual entre el borde de la perforación hasta el borde de la parte medida en la dirección normal a la fuerza aplicada d = diámetro del pasador, cm (mm) t = espesor de la placa, cm (mm)
  • 7.
    2. Requerimientos Dimensionales Laperforación del pasador debe estar localizada a media distancia entre los bordes del miembro en la dirección normal a la fuerza aplicada. Cuando se espera que el pasador permita el movimiento relativo entre las partes conectadas bajo máxima carga, el diámetro de la perforación del pasador no debe ser 1 mm más grande que el diámetro del pasador. El ancho de la placa donde se encuentra la perforación del pasador no debe ser menor que 2beff + d. La mínima extensión, a, más allá del extremo sometido a aplastamiento de la perforación del pasador, paralelo al eje del miembro, no debe ser menor que 1.33 x beff. Las esquinas más allá de la perforación del pasador están permitidas para ser cortadas en 45º al eje del miembro, siempre que el área neta mas allá de la perforación del pasador, en un plano perpendicular al corte, no sea menor que la requerida más allá de la perforación del pasador paralelo al eje del miembro.
  • 8.
    DISEÑO DE MIEMBROSEN COMPRESIÓN DISPOSICIONES GENERALES La resistencia de diseño en compresión, φc Pn, y la resistencia admisible en compresión, Pn/Ωc, deben ser determinadas de la siguiente manera: La resistencia de compresión nominal, Pn, es el menor valor obtenido de acuerdo con los estados límite de pandeo por flexión, pandeo torsional y pandeo flexo-torsional. (a) Para secciones de simetría doble y secciones de simetría simple se aplica el estado límite de pandeo por flexión. (b) Para secciones de simetría simple, secciones asimétricas y ciertas secciones de simetría doble, tales como columnas cruciformes o columnas armadas, los estados límite de pandeo torsional y flexo-torsional también son aplicables.
  • 9.
    LÍMITES DE ESBELTEZY LONGITUD EFECTIVA El factor de longitud efectiva, K , para calcular la esbeltez de columna, KL/r, debe ser determinado de acuerdo al Capítulo C del apunte, donde: L = longitud no arriostrada lateralmente del miembro, cm (mm) r = radio de giro, cm (mm) K = factor de longitud efectiva determinada de acuerdo con la Sección C PANDEO POR FLEXIÓN DE MIEMBROS SIN ELEMENTOS ESBELTOS Esta sección aplica para miembros solicitados en compresión con secciones compactas y no compactas.
  • 10.
    La resistencia decompresión nominal, Pn, debe ser determinada basándose en el estado límite de pandeo por flexión: La tensión de pandeo por flexión, Fcr , se determina como sigue:
  • 11.
    donde Fe = tensióncrítica de pandeo elástico determinada de acuerdo a la Ecuación siguiente, kgf/cm2 (MPa)
  • 12.
    RESISTENCIA A COMPRESIÓN,PANDEO TORSIONAL Y FLEXO- TORSIONAL DE MIEMBROS SIN ELEMENTOS ESBELTOS Esta sección se aplica a miembros con simetría simple y asimétricos y ciertos miembros con simetría doble, tales como columnas cruciformes o armadas, con secciones compactas y no compactas. No se requiere aplicar estas disposiciones a ángulos simples. La resistencia nominal a compresión, Pn, debe ser determinada basándose en el estado límite de pandeo por flexo-torsión y torsión, de la siguiente manera:
  • 13.
    (a) Para seccionesdoble ángulo y T en compresión: donde Fcry se toma como Fcr de la ecuación anteriormente mencionada y
  • 14.
    (b) Para todoslos otros casos, Fcr debe ser determinado de acuerdo a las ecuaciones anteriores, usando la tensión de pandeo elástico torsional o flexo- torsional, Fe , determinado de la siguiente manera: (i) Para miembros con simetría doble: (ii) Para miembros con simetría simple donde y es el eje de simetría:
  • 15.
    (iii) Para miembrosasimétricos, Fe es la menor raíz de la ecuación cúbica: donde Ag = área bruta de miembro, cm2 (mm2) Cw = constante de alabeo, cm6 (mm6)
  • 16.
    G = móduloelástico de corte del acero = 790.000 kgf/cm2 (77.200 MPa) Ix , Iy = momento de inercia en torno de los ejes principales, cm4 (mm4) J = constante torsional, cm4 (mm4) Kz = factor de longitud efectiva para pandeo torsional Xo ,Yo= coordenadas del centro de corte con respecto al centroide, cm (mm) ro = radio de giro polar en torno al centro de corte, cm (mm) ry = radio de giro en torno al eje y, cm (mm)
  • 17.
    ÁNGULO SIMPLE ENCOMPRESIÓN La resistencia de compresión nominal, Pn , para miembros ángulos simples debe ser determinada de acuerdo a la sección anterior, cargados axialmente, de la misma manera, los miembros que cumplen el criterio impuesto en secciones siguientes (a) y (b) pueden ser diseñados como miembros cargados axialmente usando la razón de esbeltez efectiva especificada, KL /r . Los efectos de excentricidad en ángulos simples pueden ser despreciados cuando los miembros son evaluados como miembros cargados axialmente en compresión usando una de las razones de esbeltez efectivas especificadas más abajo, cuando se cumple que: (1) los miembros son cargados en compresión en sus extremos a través de la misma ala; (2) miembros son conectados por soldadura o por lo menos con dos pernos; y (3) no existen cargas transversales intermedias.
  • 18.
    (a) Para ánguloscon alas iguales o alas desiguales conectadas en el ala más larga, que son almas de sección cajón o almas de enrejados planos con miembros de alma adyacentes, conectados al mismo lado de la placa gusset o cordón:
  • 19.
    Para ángulos conalas desiguales y razón de longitud de ala menor que 1.7 y conectadas a través del ala corta, KL /r de las ecuaciones anteriores deben ser aumentados al sumarse pero KL /r de los miembros no debe ser menor que 0.95L /rz . (b) Para ángulos de alas iguales o alas desiguales conectadas a través del ala más larga, que son miembros de alma de cajas o enrejados espaciales con miembros de alma adyacentes conectados al mismo lado de la placa gusset o cordón:
  • 20.
    Para ángulos conalas desiguales y razón de longitud de ala menor que 1.7, conectadas a través del ala corta, KL /r de las ecuaciones anetriores debe ser aumentados al sumarse pero KL /r de los miembros no deben ser menor que 0.82L /rz donde L = longitud del miembro entre puntos de trabajo, cm (mm) b1 = ala larga del ángulo, cm (mm) bs = ala corta del ángulo, cm (mm) rx = radio de giro en torno del eje geométrico paralelo al ala conectada,cm (mm) rz = radio de giro para el menor eje principal, cm (mm)
  • 21.
    MIEMBROS ARMADOS Resistencia aCompresión Esta sección aplica a los miembros constituidos por dos secciones que pueden ser: (a) interconectadas por pernos o soldadura; o (b) con por lo menos un lado abierto interconectado por placas de cubierta perforadas o enlaces con placa de asiento. Las conexiones en los extremos deben ser soldadas o con pernos pretensionados contra superficies de contacto Clase A o B. (a) La resistencia de compresión nominal de miembros armados compuestos por dos secciones que están interconectadas por pernos o soldaduras debe ser determinada de acuerdo a secciones anteriores solicitados a las siguientes modificaciones. En vez de realizar un análisis más preciso, si el modo de pandeo involucra deformaciones relativas que producen fuerzas de corte en los conectores entre secciones individuales, KL /r debe ser reemplazado por (KL /r)m determinado de la siguiente manera:
  • 22.
    i) Para conectoresintermedios que son pernos de apriete calibrado: ii) Para conectores intermedios soldados o con pernos pretensionados:
  • 23.
    donde esbeltez modificada de columna para el miembro armado esbeltez de columna del miembro armado actuando como una unidad en la dirección de pandeo considerado a = distancia entre conectores, cm (mm) ri = radio de giro mínimo del componente individual, cm (mm) rib = radio de giro del componente individual relativo a su eje centroidal paralelo al eje de pandeo del miembro, cm (mm) α = razón de separación = h /2rib h = distancia entre centroides de los componentes individuales medida perpendicularmente al eje de pandeo del miembro, cm (mm)
  • 24.
    MIEMBROS CON ELEMENTOSESBELTOS Esta sección aplica para miembros solicitados en compresión con elementos esbeltos, y en compresión uniforme. La resistencia de compresión nominal, Pn, debe ser determinada basándose en el estado límite de pandeo por flexión, torsional o flexo-torsional.
  • 25.
    donde Fe = tensióncrítica de pandeo elástico, calculada usando ecuaciones de las secciones anteriores para miembros con simetría doble, con simetría simple y para miembros asimétricos, Q = 1.0 para miembros sin elementos esbeltos. = Qs Qa para miembros con secciones de elementos esbeltos.
  • 26.
    Nota: Para seccionescompuestas solamente por elementos esbeltos no atiesados, Q = Qs (Qa = 1.0) . Para secciones compuestas solamente por elementos esbeltos atiesados, Q = Qa (Qs = 1.0). Para secciones compuestas por ambos elementos esbeltos no atiesados y atiesados, Q = Qs Qa . 1. Elementos Esbeltos No Atiesados, Qs El factor de reducción Qs para elementos esbeltos no atiesados se define a continuación: (a) Para alas, ángulos y placas proyectadas de columnas laminadas u otro miembro en compresión:
  • 28.
    (b) Para alas,ángulos y placas proyectadas de columnas armadas u otro miembro en compresión:
  • 29.
    donde y para efectos de cálculo debe tomarse no menor que 0.35 ni mayor que 0.76. (c) Para ángulos simples:
  • 30.
    donde b= ancho completo del ala de ángulo más larga, cm (mm)
  • 31.
    (d) Para almade secciones T:
  • 32.
    donde b = ancho del elemento no atiesado en compresión, cm (mm) d = profundidad nominal completa de la sección T, cm (mm) t = espesor del elemento, cm (mm)
  • 33.
    2. Elementos EsbeltosAtiesados, Qa El factor de reducción, Qa , para elementos esbeltos atiesados se define a continuación: donde A = área seccional total del miembro, cm2 (mm2) Aeff = suma de las áreas efectivas de las secciones basadas en el ancho efectivo reducido, be , cm2 (mm2)
  • 34.
    El ancho efectivoreducido, be , se determina de la siguiente manera: (a) Para elementos esbeltos en compresión uniforme, con excepto para alas de tubos cuadrados y rectangulares de espesor uniforme: Donde f se toma como Fcr con Fcr calculada con Q = 1.0
  • 35.
    (b) Para alasde elementos esbeltos de tubos cuadrados y rectangulares en compresión uniforme con : donde Nota: En vez de calcular f = Pn / Aeff , que requiere iteración, f puede ser tomada igual a Fy. Esto resulta en una estimación levemente conservadora en la capacidad de la columna.
  • 36.
    (c) Para tuboscirculares cargados axialmente, cuando donde D = diámetro exterior, cm (mm) t = espesor de pared, cm (mm)