Combinatoria


                                                                                                   No
                                                                                                importa el
                                       Importa el
                                         orden                                                    orden


                                                                                                Algunos
                      Todos los                         Algunos                                    los
                     elementos                         elementos                               elementos


         Con                   Sin                Con               Sin                   Con              Sin
      repetición            repetición         repetición        repetición            repetición       repetición


    PRn                     Pn                 VRm,n             Vm,n                  CRm,n               Cm,n
                                                                                          n m 1!
                  n!                                                              CRm,n                           m!
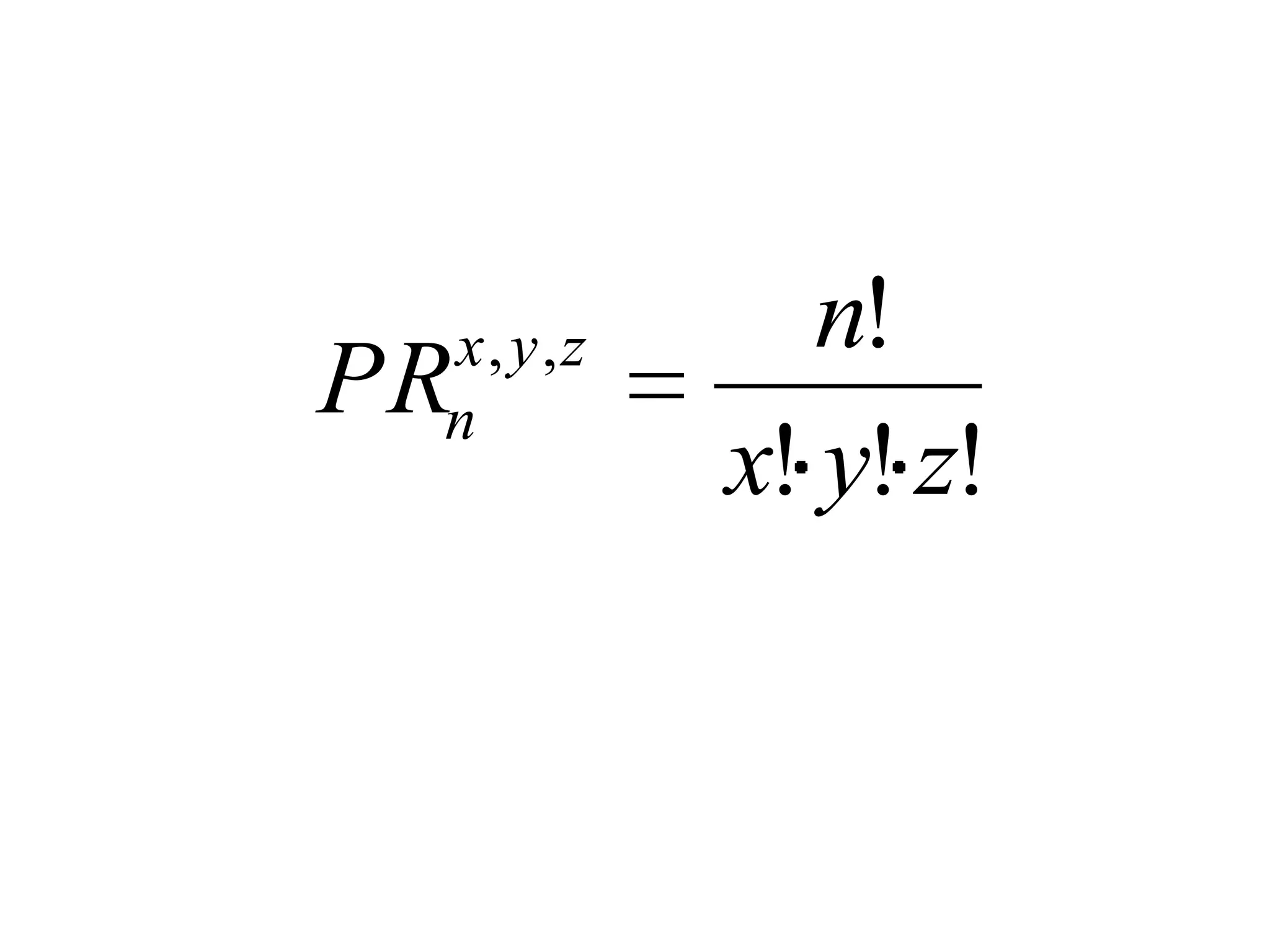
PRnx , y , z                                    m
                                              VRn    nm                                   m! (n 1)!   C m ,n
               x! y! z!    Pn     n!                                                                           n!(m n)!

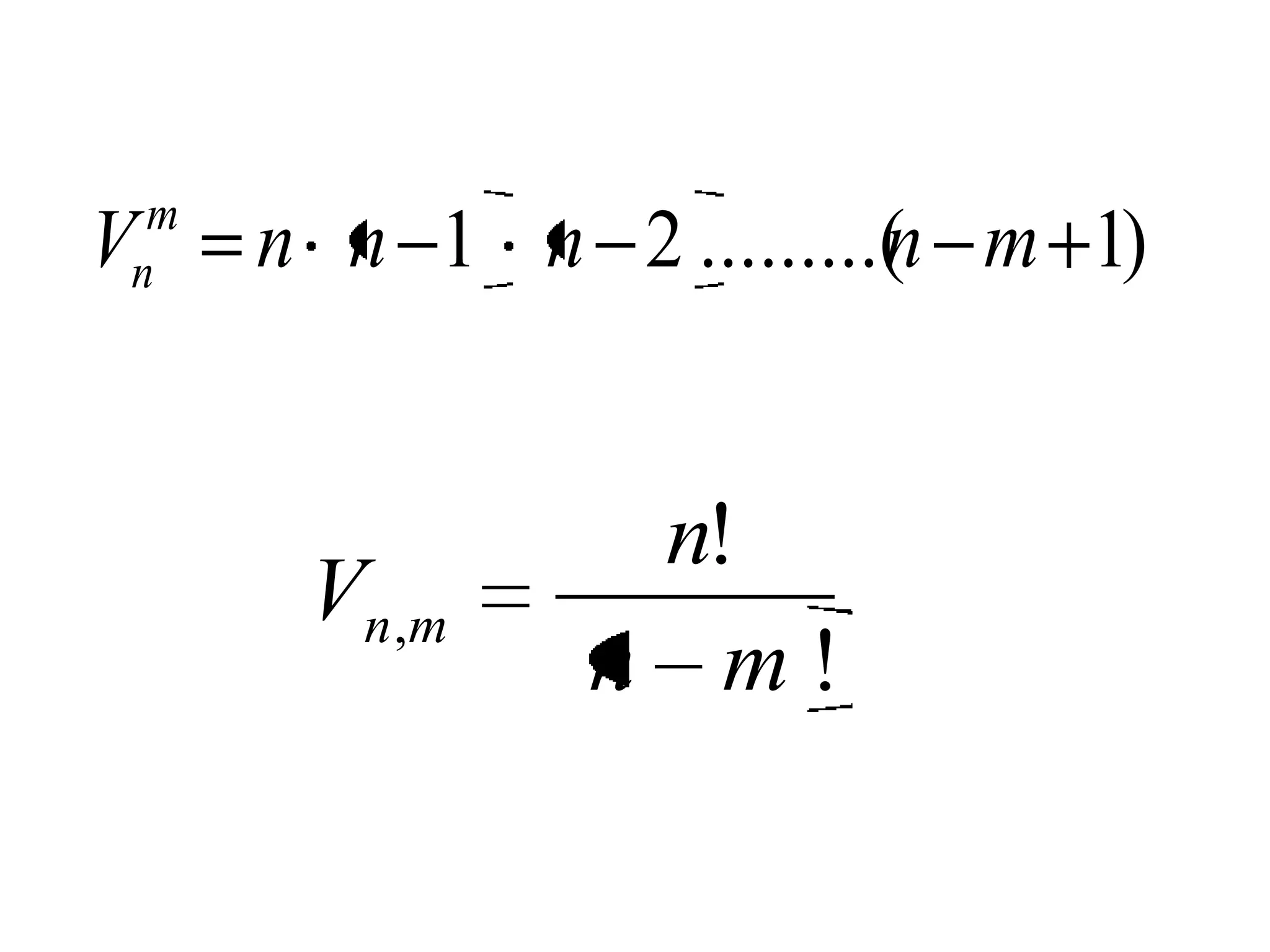
                                                          Vnm n n 1 n 2 ......... n!
Permutaciones: Llamaremos permutaciones de n elementos
  a cada una de las ordenaciones diferentes que podemos
 realizar con n elementos dados. No pueden faltar ni sobrar
                         elementos

 Variaciones: Llamaremos variaciones de k elementos cada
 una, elegidos entre n elementos dados, a cada grupo que
 podemos formar con k elementos, de modo que 2 grupos
  diferentes tienen al menos un elemento distinto o están
                ordenados de forma distinta.

  Combinación: Llamaremos combinación de k elementos
elegidos entre n elementos dados, a cada uno de los grupos
   de k elementos que se pueden formar, de modo que 2
grupos son diferentes solo si tienen, al menos, un elemento
 distinto, sin considerar el orden en que estén dispuestos.
Ejemplos de Permutaciones
 ¿Cuántos números de 5 cifras diferentes se
 puede formar con los dígitos: 1, 2, 3, 4, 5.?
                 m=5 n=5
 Sí entran todos los elementos. De 5 dígitos
                entran sólo 3.
Sí importa el orden. Son números distintos el
                123, 231, 321.
No se repiten los elementos. El enunciado nos
     pide que las cifras sean diferentes.
Ejercicios
1) ¿Cuántas combinaciones diferentes se
   pueden realizar para ganar el premio mayor
   en el kino?
¿Importa el orden?
¿Se combinan todos o algunos elementos?
¿Se repiten los elementos?
n!
C n ,m
         m!(n m)!
2) Cuantos números de 5 cifras diferentes se
   pueden formar con el 1, 2, 3, 4 y 5
Importa el orden
¿Se combinan todos o algunos elementos?
¿Se repiten los elementos?
Pn   n!
3) Con los dígitos 2, 2, 2, 3, 3, 3, 3, 4, 4, cuantos
  números de 9 cifras se pueden formar
Importa el orden
¿Se combinan todos o algunos elementos?
¿Se repiten los elementos?
x, y,z      n!
PR
 n
          x! y! z!
4) Con los dígitos 1, 2 y 3 cuantos números de 5
  cifras puedo formar? ¿Cuántos serán pares?
Importa el orden
¿Se combinan todos o algunos elementos?
¿Se repiten los elementos?
m       m
VR
 n   n
5) De cuantas formas diferentes se pueden
  cubrir los puestos de presidente, vice-
  presidente y tesorero en un club de futbol
  sabiendo que hay 12 candidatos.
Importa el orden
¿Se combinan todos o algunos elementos?
¿Se repiten los elementos?
m
V
n    n n 1 n 2 .........( m 1)
                        n


               n!
      Vn,m
              n m!
6) En una pastelería hay 6 tipos distintos de
  pasteles ¿De cuantas formas se pueden elegir
  4 pasteles?
Importa el orden
¿Se combinan todos o algunos elementos?
¿Se repiten los elementos?
n m 1!
CRn,m             |
        m! (n 1)!
• ¿Cuántos números de 3 cifras distintas se
  pueden formar con 1,2,3,4,5,6?.

• En una urna hay 9 bolas, 3 blancas, 2 rojas y 4
  negras. ¿De cuantas formas distintas se
  pueden extraer las bolas de la urna?

• José tiene 9 amigos y desea invitarlos a
  cenar, pero sólo puede invitar a 6
  simultáneamente. ¿Cuántos grupos distintos
  de invitados puede tener?.
• ¿De cuántas formas se pueden sentar 5
  personas en un coche?

• En la final de unas olimpiadas corren la final
  de 100m 8 atletas. ¿De cuántas formas se
  puede configurar el podium?

• ¿Cuántos números de 8 cifras que empiecen
  por 6 se pueden formar?
• Ocho vecinas guardan cola en una panadería para
  comprar pan. ¿De cuántas formas distintas se
  pueden colocar en la cola?

• En una competición deportiva participan 4
  equipos de 3 atletas cada uno. ¿De cuántas
  formas diferentes pueden llegar los equipos?

• El juego de la Primitiva consiste en acertar 6
  números naturales a elegir entre el 1 y el 49.
  ¿Cuántas posibles combinaciones hay? Si cada
  combinación nos cuesta 1€ ¿Cuánto nos
  tendremos que gastar para asegurar que vamos a
  acertar seguro los 6 números?
•
    1. ¿Cuántos números de tres cifras se pueden formar con los dígitos 0, 1, 2, 3, 4, 5, 6, 7, 8 y 9? Las cifras se pueden repetir. La cifra de las centenas no puede ser cero.
•
     Variaciones con repetición. Solución: se forman 900 números diferentes.
•
    2. Un entrenador de fútbol dispone en la plantilla de su equipo de 7 delanteros de la misma calidad y que pueden actuar indistintamente en los tres puestos de ataque del equipo.
    ¿Cuántas delanteras distintas podría confeccionar?
•
     Variaciones sin repetición. Solución: 210 delanteras de ataque.
•
    3. ¿De cuántas maneras diferentes se pueden repartir tres premios distintos entre Juan, Pedro, María, Alicia y Pilar?
•
     Variaciones sin repetición. Solución: 60 formas distintas de reparto.
•
    4. ¿Cuántos resultados diferentes se producen al lanzar 5 dados de distinto color y anotar los resultados de la cara superior?
•
     Variaciones con repetición. Solución: 7776 resultados diferentes.
•
    5. Con un punto y una raya (símbolos clásicos del alfabeto Morse) ¿Cuántas señales distintas de 5 dígitos pueden hacerse?
•
     Variaciones con repetición. Solución: 32 señales distintas.
•
    6. ¿De cuántas formas pueden sentarse 8 amigos en una fila de butacas de un cine?
•
     Permutaciones sin repetición. Solución: 40320 formas diferentes de sentarse.
•
    7. Un técnico de sonido tiene que unir 6 terminales en 6 conexiones. Si lo hiciera al azar, ¿de cuántas formas diferentes podría completar las conexiones?
•
    Permutaciones sin repetición. Solución: 720 conexiones diferentes.
•
    8. Con las letras de la palabra PELUCA:
•      a) ¿Cuántas ordenaciones distintas se pueden hacer?
•      b) ¿Cuántas empiezan por PEL?
•
     Permutaciones sin repetición. Solución: a) 720 b) 6 (sólo jugamos con las letras UCA)
•
    9. Una persona está interesada en contar todos los posibles resultados en el juego de la LOTERÍA PRIMITIVA. ¿Podrías ayudarle? (Tenemos 49 números del 1 al 49, debemos elegir 6)
•
    Combinaciones sin repetición. Solución: 13983816 boletos diferentes.
•
    10. Siete amigos hacen cola para el cine. Al llegar sólo quedan 4 entradas. ¿De cuántas formas podrían repartirse estas entradas para ver la película?
•
     Combinaciones sin repetición. Solución: 35 formas distintas de reparto.
Ejercicios
1) ¿Cuántas combinaciones diferentes se
   pueden realizar para ganar el premio mayor
   en el kino?
¿Importa el orden?
¿Se combinan todos o algunos elementos?
¿Se repiten los elementos?
Combinatoria
Combinatoria
Combinatoria
Combinatoria
Combinatoria

Combinatoria

  • 1.
    Combinatoria No importa el Importa el orden orden Algunos Todos los Algunos los elementos elementos elementos Con Sin Con Sin Con Sin repetición repetición repetición repetición repetición repetición PRn Pn VRm,n Vm,n CRm,n Cm,n n m 1! n! CRm,n m! PRnx , y , z m VRn nm m! (n 1)! C m ,n x! y! z! Pn n! n!(m n)! Vnm n n 1 n 2 ......... n!
  • 2.
    Permutaciones: Llamaremos permutacionesde n elementos a cada una de las ordenaciones diferentes que podemos realizar con n elementos dados. No pueden faltar ni sobrar elementos Variaciones: Llamaremos variaciones de k elementos cada una, elegidos entre n elementos dados, a cada grupo que podemos formar con k elementos, de modo que 2 grupos diferentes tienen al menos un elemento distinto o están ordenados de forma distinta. Combinación: Llamaremos combinación de k elementos elegidos entre n elementos dados, a cada uno de los grupos de k elementos que se pueden formar, de modo que 2 grupos son diferentes solo si tienen, al menos, un elemento distinto, sin considerar el orden en que estén dispuestos.
  • 3.
    Ejemplos de Permutaciones ¿Cuántos números de 5 cifras diferentes se puede formar con los dígitos: 1, 2, 3, 4, 5.? m=5 n=5 Sí entran todos los elementos. De 5 dígitos entran sólo 3. Sí importa el orden. Son números distintos el 123, 231, 321. No se repiten los elementos. El enunciado nos pide que las cifras sean diferentes.
  • 4.
    Ejercicios 1) ¿Cuántas combinacionesdiferentes se pueden realizar para ganar el premio mayor en el kino? ¿Importa el orden? ¿Se combinan todos o algunos elementos? ¿Se repiten los elementos?
  • 5.
    n! C n ,m m!(n m)!
  • 6.
    2) Cuantos númerosde 5 cifras diferentes se pueden formar con el 1, 2, 3, 4 y 5 Importa el orden ¿Se combinan todos o algunos elementos? ¿Se repiten los elementos?
  • 7.
    Pn n!
  • 8.
    3) Con losdígitos 2, 2, 2, 3, 3, 3, 3, 4, 4, cuantos números de 9 cifras se pueden formar Importa el orden ¿Se combinan todos o algunos elementos? ¿Se repiten los elementos?
  • 9.
    x, y,z n! PR n x! y! z!
  • 10.
    4) Con losdígitos 1, 2 y 3 cuantos números de 5 cifras puedo formar? ¿Cuántos serán pares? Importa el orden ¿Se combinan todos o algunos elementos? ¿Se repiten los elementos?
  • 11.
    m m VR n n
  • 12.
    5) De cuantasformas diferentes se pueden cubrir los puestos de presidente, vice- presidente y tesorero en un club de futbol sabiendo que hay 12 candidatos. Importa el orden ¿Se combinan todos o algunos elementos? ¿Se repiten los elementos?
  • 13.
    m V n n n 1 n 2 .........( m 1) n n! Vn,m n m!
  • 14.
    6) En unapastelería hay 6 tipos distintos de pasteles ¿De cuantas formas se pueden elegir 4 pasteles? Importa el orden ¿Se combinan todos o algunos elementos? ¿Se repiten los elementos?
  • 15.
    n m 1! CRn,m | m! (n 1)!
  • 16.
    • ¿Cuántos númerosde 3 cifras distintas se pueden formar con 1,2,3,4,5,6?. • En una urna hay 9 bolas, 3 blancas, 2 rojas y 4 negras. ¿De cuantas formas distintas se pueden extraer las bolas de la urna? • José tiene 9 amigos y desea invitarlos a cenar, pero sólo puede invitar a 6 simultáneamente. ¿Cuántos grupos distintos de invitados puede tener?.
  • 17.
    • ¿De cuántasformas se pueden sentar 5 personas en un coche? • En la final de unas olimpiadas corren la final de 100m 8 atletas. ¿De cuántas formas se puede configurar el podium? • ¿Cuántos números de 8 cifras que empiecen por 6 se pueden formar?
  • 18.
    • Ocho vecinasguardan cola en una panadería para comprar pan. ¿De cuántas formas distintas se pueden colocar en la cola? • En una competición deportiva participan 4 equipos de 3 atletas cada uno. ¿De cuántas formas diferentes pueden llegar los equipos? • El juego de la Primitiva consiste en acertar 6 números naturales a elegir entre el 1 y el 49. ¿Cuántas posibles combinaciones hay? Si cada combinación nos cuesta 1€ ¿Cuánto nos tendremos que gastar para asegurar que vamos a acertar seguro los 6 números?
  • 19.
    1. ¿Cuántos números de tres cifras se pueden formar con los dígitos 0, 1, 2, 3, 4, 5, 6, 7, 8 y 9? Las cifras se pueden repetir. La cifra de las centenas no puede ser cero. • Variaciones con repetición. Solución: se forman 900 números diferentes. • 2. Un entrenador de fútbol dispone en la plantilla de su equipo de 7 delanteros de la misma calidad y que pueden actuar indistintamente en los tres puestos de ataque del equipo. ¿Cuántas delanteras distintas podría confeccionar? • Variaciones sin repetición. Solución: 210 delanteras de ataque. • 3. ¿De cuántas maneras diferentes se pueden repartir tres premios distintos entre Juan, Pedro, María, Alicia y Pilar? • Variaciones sin repetición. Solución: 60 formas distintas de reparto. • 4. ¿Cuántos resultados diferentes se producen al lanzar 5 dados de distinto color y anotar los resultados de la cara superior? • Variaciones con repetición. Solución: 7776 resultados diferentes. • 5. Con un punto y una raya (símbolos clásicos del alfabeto Morse) ¿Cuántas señales distintas de 5 dígitos pueden hacerse? • Variaciones con repetición. Solución: 32 señales distintas. • 6. ¿De cuántas formas pueden sentarse 8 amigos en una fila de butacas de un cine? • Permutaciones sin repetición. Solución: 40320 formas diferentes de sentarse. • 7. Un técnico de sonido tiene que unir 6 terminales en 6 conexiones. Si lo hiciera al azar, ¿de cuántas formas diferentes podría completar las conexiones? • Permutaciones sin repetición. Solución: 720 conexiones diferentes. • 8. Con las letras de la palabra PELUCA: • a) ¿Cuántas ordenaciones distintas se pueden hacer? • b) ¿Cuántas empiezan por PEL? • Permutaciones sin repetición. Solución: a) 720 b) 6 (sólo jugamos con las letras UCA) • 9. Una persona está interesada en contar todos los posibles resultados en el juego de la LOTERÍA PRIMITIVA. ¿Podrías ayudarle? (Tenemos 49 números del 1 al 49, debemos elegir 6) • Combinaciones sin repetición. Solución: 13983816 boletos diferentes. • 10. Siete amigos hacen cola para el cine. Al llegar sólo quedan 4 entradas. ¿De cuántas formas podrían repartirse estas entradas para ver la película? • Combinaciones sin repetición. Solución: 35 formas distintas de reparto.
  • 23.
    Ejercicios 1) ¿Cuántas combinacionesdiferentes se pueden realizar para ganar el premio mayor en el kino? ¿Importa el orden? ¿Se combinan todos o algunos elementos? ¿Se repiten los elementos?