Ruber H Arias C
Profesor de Farmacología básica y clínica
Fundación universitaria Remington

 Siempre recordar que se requiere la acción adicional
del sistema inmune del hospedero
 Dosificación dependiendo de patologías de base y
efecto concentración o tiempo dependiente.
 Uso indicado.
 Mandell, G y otros. Principles and practice of infectious diseases. Séptima edición. Elsevier. 2010
Conceptos generales

 Malnutrición, incluyendo déficit de vitamina A y D.
 Edad (inmunidad celular)
 Estrés (corticoesteroides)
 Biota normal (bacterioscinas, estimulación inmune)
 Mandell, G y otros. Principles and practice of infectious diseases. Séptima edición. Elsevier. 2010
Factores que alteran la
respuesta inmune






 Biodisponibilidad.
 Volumen de distribución: relacionado con
solubilidad, flujo tisular, unión a proteínas.
 Fases alfa y beta y tiempo de vida media.
 Mandell, G y otros. Principles and practice of infectious diseases. Séptima edición. Elsevier. 2010
PK-PD antibióticos






BETA LACTAMICOS

 Fleming, 1928.
 Anillo b lactamico, anillo tiazolidina y cadenas
laterales.
 Inhibición de la síntesis de la pared bacteriana.
 Mandell, G y otros. Principles and practice of infectious diseases. Séptima edición. Elsevier. 2010
 Brunton L y otros. Goodman and Gilman, Bases farmacológicas de la terapeútica. Undecima edición, Mc
Graw Hill. 2007.
Penicilinas


 Peptidoglicano, diferente grosor en gram positivos.
 Pentapeptidos NAG y NAM que son enlazados en la
pared.
 La penicilina inhibe la enzima encargada de
entrelazar los peptidos.
 PBP: cataliza el proceso de las transpeptidasas.
 Mandell, G y otros. Principles and practice of infectious diseases. Séptima edición. Elsevier. 2010
 Brunton L y otros. Goodman and Gilman, Bases farmacológicas de la terapeútica. Undecima edición, Mc
Graw Hill. 2007.



 El beta lactamico se une a la PBP, la inhibe, pero en
algunos casos esta puede hidrolizar el antibiotico.
 Efecto osmótico, autolisinas e interrupción del
crecimiento bacteriano.
 Mecanismos de resistencia: efflux, modificación de
PBP, hidrolisis, incapacidad de penetración del
antibiotico.
 Mandell, G y otros. Principles and practice of infectious diseases. Séptima edición. Elsevier. 2010
 Brunton L y otros. Goodman and Gilman, Bases farmacológicas de la terapeútica. Undecima edición, Mc
Graw Hill. 2007.


 La ampicilina tiene una absorción del 30 al 60% y
disminuye con las comidas.
 La oxacilina tiene unión a proteínas de más del 90%.
 En el caso de la administración oral, hay pico de
concentración en 1 a 2 horas.
 Mandell, G y otros. Principles and practice of infectious diseases. Séptima edición. Elsevier. 2010
 Brunton L y otros. Goodman and Gilman, Bases farmacológicas de la terapeútica. Undecima edición, Mc
Graw Hill. 2007.

 En general poco metabolizadas.
 Excreción tubular renal.
 Vida media promedio de una hora.
 Necesidad de ajuste con depuracion renal menor de 30
ml/min.
 Mandell, G y otros. Principles and practice of infectious diseases. Séptima edición. Elsevier. 2010
 Brunton L y otros. Goodman and Gilman, Bases farmacológicas de la terapeútica. Undecima edición, Mc Graw
Hill. 2007.









 Recordar que cada millón de unidades de penicilina G
contiene 1.7 meq de potasio.
 La penicilina procaínica y la benzatínica se utilizan por
vía intramuscular.
 Con la procaína se retarda el pico de concentración hasta
las 12 horas.
 Mandell, G y otros. Principles and practice of infectious diseases. Séptima edición. Elsevier. 2010
 Brunton L y otros. Goodman and Gilman, Bases farmacológicas de la terapeútica. Undecima edición, Mc Graw
Hill. 2007.

 La fenoximetilpeniclina es solo para uso oral.
 Unos 500 mg de esta equivalen a 600.000 unidades
de penicilina procaínica.
 Mandell, G y otros. Principles and practice of infectious diseases. Séptima edición. Elsevier. 2010
 Brunton L y otros. Goodman and Gilman, Bases farmacológicas de la terapeútica. Undecima edición, Mc
Graw Hill. 2007.


 La amoxicilina presenta menores efectos adversos en
TGI vs ampicilina.
 Dosis más altas en otitis e infecciones por neumococo
(hasta 90 mg kg) por cubrimiento de algunas cepas
productoras de beta lactamasa.
 Mandell, G y otros. Principles and practice of infectious diseases. Séptima edición. Elsevier. 2010
 Brunton L y otros. Goodman and Gilman, Bases farmacológicas de la terapeútica. Undecima edición, Mc
Graw Hill. 2007.

 La piperacilina tiene un mejor efecto contra
pseudomonas y enterobacterias.
 Resistencia no inducible, por ampC.
 Efecto adverso de microembolismo.
 Mandell, G y otros. Principles and practice of infectious diseases. Séptima edición. Elsevier. 2010
 Brunton L y otros. Goodman and Gilman, Bases farmacológicas de la terapeútica. Undecima edición, Mc
Graw Hill. 2007.


 El clavulanato es más potente como inhibidor de b
lactamasas que el sulbactam.
 Altas concentraciones en fluido intesrsticial y
peritoneal.
 En dosis muy elevadas puede mostrar actividad
contra Acinetobacter b.
 El tazobactam es más potente que los dos anteriores.
 Mandell, G y otros. Principles and practice of infectious diseases. Séptima edición. Elsevier. 2010
 Brunton L y otros. Goodman and Gilman, Bases farmacológicas de la terapeútica. Undecima edición, Mc
Graw Hill. 2007.


 G. Brotzu, 1945, posteriormente trabajos de Florey y
Abrham, uso desde 1964.
 Nucleo cefo, con 6 sulfuros y anillo tiazolidina.
 Sustituciones acil y metoxi, en el C7 generan más
resistencia a las B lactamasas, pero con menor
afinidad a los PBP de gram positivos.
 Mandell, G y otros. Principles and practice of infectious diseases. Séptima edición. Elsevier. 2010
 Brunton L y otros. Goodman and Gilman, Bases farmacológicas de la terapeútica. Undecima edición, Mc
Graw Hill. 2007.
Cefalosporinas
 Cambio de aminobencilo en el C7 lleva a una mejor
absorción oral.
 La adición de grupos aminotiazol y metoximino en
la cadena lateral C7 lleva a las cefalosporinas de
tercera y cuarta generación.
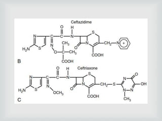
 En la ceftazidima se cambia el metoximino por una
molecula de diacetilacético.
 Mandell, G y otros. Principles and practice of infectious diseases. Séptima edición. Elsevier. 2010
 Brunton L y otros. Goodman and Gilman, Bases farmacológicas de la terapeútica. Undecima edición, Mc
Graw Hill. 2007.



 Efecto similar a las penicilinas, con interferencia en la
síntesis de la pared bacteriana.
 Inhibición de transpeptidasas (PBP)
 Pueden tener efecto pos antibiotico importante en las
bacterias gram positivas.
 Mandell, G y otros. Principles and practice of infectious diseases. Séptima edición. Elsevier. 2010
 Brunton L y otros. Goodman and Gilman, Bases farmacológicas de la terapeútica. Undecima edición, Mc
Graw Hill. 2007.






 Mecanismos de resistencia
 Modificación de PBP
 Cefalosporinasas
 Reducción de la penetración al LPS
 Efflux.
 Mandell, G y otros. Principles and practice of infectious diseases. Séptima edición. Elsevier. 2010
 Brunton L y otros. Goodman and Gilman, Bases farmacológicas de la terapeútica. Undecima edición, Mc
Graw Hill. 2007.

 Las preparaciones parenterales son estables en 24
horas (excepto cefradina)
 Transporte activo en intestino delgado.
 Preparaciones como profarmacos (ester, por ejemplo
cefuroxima)
 Mandell, G y otros. Principles and practice of infectious diseases. Séptima edición. Elsevier. 2010
 Brunton L y otros. Goodman and Gilman, Bases farmacológicas de la terapeútica. Undecima edición, Mc
Graw Hill. 2007.

 Concentraciones intracelulares bajas.
 Solo la cefuroxima tiene penetración adecuada a
SNC en condiciones normales.
 Cefotaxime y cefalotina se metabolizan por
desacetilación.
 Eliminación renal, vida media entre una y dos horas.
 Mandell, G y otros. Principles and practice of infectious diseases. Séptima edición. Elsevier. 2010
 Brunton L y otros. Goodman and Gilman, Bases farmacológicas de la terapeútica. Undecima edición, Mc
Graw Hill. 2007.

 La ceftriaxona y la cefoperazona poseen eliminación
biliar.
 Reactividad cruzada en menos del 10%
 No sirven las pruebas de sensibilidad.
 Evaluar uso según la cefalosporina especifica y la
gravedad de la reacción previa.
 Mandell, G y otros. Principles and practice of infectious diseases. Séptima edición. Elsevier. 2010
 Brunton L y otros. Goodman and Gilman, Bases farmacológicas de la terapeútica. Undecima edición, Mc Graw
Hill. 2007.


 Riesgo de efecto disulfiram
 Riesgo de inhibición de la epoxido reductasa.
 La ceftriaxona se puede utilizar por vía
intramuscular.
 Mandell, G y otros. Principles and practice of infectious diseases. Séptima edición. Elsevier. 2010
 Brunton L y otros. Goodman and Gilman, Bases farmacológicas de la terapeútica. Undecima edición, Mc
Graw Hill. 2007.



 Derivados de streptomyces, espectro más amplio de
los Beta lactámicos.
 Remplazo de metileno y doble enlace en anillo
principal, además cadena lateral hidroxietil.
 Cilastatina: inhibidor de dehidropeptidasa renal.
 Otros tiopirrinilidilo no requieren cilastatina.
 Mandell, G y otros. Principles and practice of infectious diseases. Séptima edición. Elsevier. 2010
 Brunton L y otros. Goodman and Gilman, Bases farmacológicas de la terapeútica. Undecima edición, Mc
Graw Hill. 2007.
CARBAPENEMS


 Mayor afinidad por PBP, porina del LPS Oprd,
diferente a pencilinas y cefalosporinas.
 Resistencia a hidrolisis por B lactamasas de varios
germenes.
 Hidrolisis por B lactamasas tipo B y KPC.
 Mandell, G y otros. Principles and practice of infectious diseases. Séptima edición. Elsevier. 2010
 Brunton L y otros. Goodman and Gilman, Bases farmacológicas de la terapeútica. Undecima edición, Mc
Graw Hill. 2007.

 Usualmente la resistencia se da por combinación de
mecanismos.
 MexB: efflux, no afecta al imipenem.
 Alteración de PBP más frecuente en gram positivos.
 Mandell, G y otros. Principles and practice of infectious diseases. Séptima edición. Elsevier. 2010
 Brunton L y otros. Goodman and Gilman, Bases farmacológicas de la terapeútica. Undecima edición, Mc
Graw Hill. 2007.


 Concentraciones pico en promedio en 2 horas.
 Tiempo de vida media de una hora para doripenem,
imipenem y meropenem; el ertapenem tiene unas 4
horas.
 No requieren reajuste de dosis en pacientes con
disfunción hepática.
 Mandell, G y otros. Principles and practice of infectious diseases. Séptima edición. Elsevier. 2010
 Brunton L y otros. Goodman and Gilman, Bases farmacológicas de la terapeútica. Undecima edición, Mc
Graw Hill. 2007.

 Efectos adversos:
 Rash, urticaria, diarrea y nauseas.
 Disminución del umbral convulsivo, más con
meropenem y menos con doripenem.
 Disminuyen los niveles de acido valproico.
 Mandell, G y otros. Principles and practice of infectious diseases. Séptima edición. Elsevier. 2010
 Brunton L y otros. Goodman and Gilman, Bases farmacológicas de la terapeútica. Undecima edición, Mc
Graw Hill. 2007.

 Utiles para tratamiento de infecciones causadas por
enterobacterias productoras de AmpC.
 Tratamiento de pacientes con exposición previa a
multiples antibioticos.
 Posibilidad de tratamiento en infecciones por
Pseudomonas y Acinetobacter.
 Mandell, G y otros. Principles and practice of infectious diseases. Séptima edición. Elsevier. 2010
 Brunton L y otros. Goodman and Gilman, Bases farmacológicas de la terapeútica. Undecima edición, Mc
Graw Hill. 2007.

 El doripenem muestra mayor actividad contra
Pseudomonas.
 No siempre hay resistencia cruzada entre estos.
 Stenotrophomona tiene resistencia intrínseca a todos
los carbapenems.
 Mandell, G y otros. Principles and practice of infectious diseases. Séptima edición. Elsevier. 2010
 Brunton L y otros. Goodman and Gilman, Bases farmacológicas de la terapeútica. Undecima edición, Mc
Graw Hill. 2007.


 Dosificación:
 Imipenem: 250 a 500 mg IV cada 6 a 8 horas.
 Niños: 15 a 25 mg kg cada 6 a 8 horas.
 Meropenem: 500 a 1000 mg Iv cada 8 horas.
 Niños: 20 a 40 mg kg cada 8 horas.
 Doripenem: 500 mg IV cada 8 horas.
 Mandell, G y otros. Principles and practice of infectious diseases. Séptima edición. Elsevier. 2010
 Brunton L y otros. Goodman and Gilman, Bases farmacológicas de la terapeútica. Undecima edición, Mc Graw
Hill. 2007.

 Ertapenem
 Poca actividad contra pseudomonas y acinetobacter.
 Dosis única diaria por mayor tiempo de vida media.
 1 G IV cada 24 horas.
 Mandell, G y otros. Principles and practice of infectious diseases. Séptima edición. Elsevier. 2010
 Brunton L y otros. Goodman and Gilman, Bases farmacológicas de la terapeútica. Undecima edición, Mc
Graw Hill. 2007.

 Aztreonam
 Solo presenta actividad contra bacterias gram
negativas.
 Burkholderia, acinetobacter y stenotrophomona son
usualmente resistentes.
 Mandell, G y otros. Principles and practice of infectious diseases. Séptima edición. Elsevier. 2010
 Brunton L y otros. Goodman and Gilman, Bases farmacológicas de la terapeútica. Undecima edición, Mc
Graw Hill. 2007.
MONOBACTAMS


 Alcanza pico de concentración en una hora.
 Tiempo de vida media de unas 2 horas.
 En general no requiere ajuste de dosis en caso de
disfunción hepática.
 Mandell, G y otros. Principles and practice of infectious diseases. Séptima edición. Elsevier. 2010
 Brunton L y otros. Goodman and Gilman, Bases farmacológicas de la terapeútica. Undecima edición, Mc
Graw Hill. 2007.

 Dosis de 1 a 2 gramos cada 6 a 8 horas.
 Niños: 30 mg kg cada 6 a 8 horas.
 No presenta reacción cruzada con otros Beta
lactamicos.
 Mandell, G y otros. Principles and practice of infectious diseases. Séptima edición. Elsevier. 2010
 Brunton L y otros. Goodman and Gilman, Bases farmacológicas de la terapeútica. Undecima edición, Mc
Graw Hill. 2007.




 Paciente de 64 años, con antecedente de falla renal
crónica, depuración de creatinina estimada de 25 ml min
por MDRD; diabético, antecedente de cirugía abdominal
hace 4 semanas por ulcera péptica perforada. Sin otros
antecedentes relevantes, sin alergias previamente.
 Ahora ingresa con cuadro de 5 días de evolución de
fiebre, desorientación, dolor abdominal.
 Al evaluar con signos de irritación
peritoneal, hipotensión, taquicardia, alteración del estado
de conciencia.

 Llevado a laparotomía.
 Inicio de antibióticos ?, cual ?, dosis ?
 Paraclínicos ? Algún otro foco a evaluar ?
 Posibilidades de germen ?

 Encuentran fascitis e infección profunda, efectúan drenaje de
colección purulenta, la cual envían a cultivo.
 Luego de 3 días estable, disminución de leucocitosis, sin nuevos
episodios de fiebre, cultivo de colección que muestra:
 Serratia marcescens, más de 100.000 unidades formadoras de
colonia, antibiograma que reporta sensibilidad a
ceftazidima, levofloxacina, ertapenem, aztreonam y piperacilina
tazobactam; sensibilidad intermedia a ceftriaxona y ampicilina
sulbactam y resistencia a ciprofloxacina, ampiclina y otros.
 Tratamiento ideal ?, cambio en esquema antibiótico ?

Gracias

Conceptos generales antibioticos y beta lactamicos

  • 1.
    Ruber H AriasC Profesor de Farmacología básica y clínica Fundación universitaria Remington
  • 2.
      Siempre recordarque se requiere la acción adicional del sistema inmune del hospedero  Dosificación dependiendo de patologías de base y efecto concentración o tiempo dependiente.  Uso indicado.  Mandell, G y otros. Principles and practice of infectious diseases. Séptima edición. Elsevier. 2010 Conceptos generales
  • 3.
      Malnutrición, incluyendodéficit de vitamina A y D.  Edad (inmunidad celular)  Estrés (corticoesteroides)  Biota normal (bacterioscinas, estimulación inmune)  Mandell, G y otros. Principles and practice of infectious diseases. Séptima edición. Elsevier. 2010 Factores que alteran la respuesta inmune
  • 4.
  • 5.
  • 6.
  • 7.
  • 8.
  • 9.
      Biodisponibilidad.  Volumende distribución: relacionado con solubilidad, flujo tisular, unión a proteínas.  Fases alfa y beta y tiempo de vida media.  Mandell, G y otros. Principles and practice of infectious diseases. Séptima edición. Elsevier. 2010 PK-PD antibióticos
  • 10.
  • 11.
  • 12.
  • 13.
  • 14.
  • 15.
  • 16.
      Fleming, 1928. Anillo b lactamico, anillo tiazolidina y cadenas laterales.  Inhibición de la síntesis de la pared bacteriana.  Mandell, G y otros. Principles and practice of infectious diseases. Séptima edición. Elsevier. 2010  Brunton L y otros. Goodman and Gilman, Bases farmacológicas de la terapeútica. Undecima edición, Mc Graw Hill. 2007. Penicilinas
  • 17.
  • 18.
      Peptidoglicano, diferentegrosor en gram positivos.  Pentapeptidos NAG y NAM que son enlazados en la pared.  La penicilina inhibe la enzima encargada de entrelazar los peptidos.  PBP: cataliza el proceso de las transpeptidasas.  Mandell, G y otros. Principles and practice of infectious diseases. Séptima edición. Elsevier. 2010  Brunton L y otros. Goodman and Gilman, Bases farmacológicas de la terapeútica. Undecima edición, Mc Graw Hill. 2007.
  • 19.
  • 20.
  • 21.
      El betalactamico se une a la PBP, la inhibe, pero en algunos casos esta puede hidrolizar el antibiotico.  Efecto osmótico, autolisinas e interrupción del crecimiento bacteriano.  Mecanismos de resistencia: efflux, modificación de PBP, hidrolisis, incapacidad de penetración del antibiotico.  Mandell, G y otros. Principles and practice of infectious diseases. Séptima edición. Elsevier. 2010  Brunton L y otros. Goodman and Gilman, Bases farmacológicas de la terapeútica. Undecima edición, Mc Graw Hill. 2007.
  • 22.
  • 23.
      La ampicilinatiene una absorción del 30 al 60% y disminuye con las comidas.  La oxacilina tiene unión a proteínas de más del 90%.  En el caso de la administración oral, hay pico de concentración en 1 a 2 horas.  Mandell, G y otros. Principles and practice of infectious diseases. Séptima edición. Elsevier. 2010  Brunton L y otros. Goodman and Gilman, Bases farmacológicas de la terapeútica. Undecima edición, Mc Graw Hill. 2007.
  • 24.
      En generalpoco metabolizadas.  Excreción tubular renal.  Vida media promedio de una hora.  Necesidad de ajuste con depuracion renal menor de 30 ml/min.  Mandell, G y otros. Principles and practice of infectious diseases. Séptima edición. Elsevier. 2010  Brunton L y otros. Goodman and Gilman, Bases farmacológicas de la terapeútica. Undecima edición, Mc Graw Hill. 2007.
  • 25.
  • 26.
  • 27.
  • 28.
  • 29.
  • 30.
  • 31.
  • 32.
  • 33.
      Recordar quecada millón de unidades de penicilina G contiene 1.7 meq de potasio.  La penicilina procaínica y la benzatínica se utilizan por vía intramuscular.  Con la procaína se retarda el pico de concentración hasta las 12 horas.  Mandell, G y otros. Principles and practice of infectious diseases. Séptima edición. Elsevier. 2010  Brunton L y otros. Goodman and Gilman, Bases farmacológicas de la terapeútica. Undecima edición, Mc Graw Hill. 2007.
  • 34.
      La fenoximetilpeniclinaes solo para uso oral.  Unos 500 mg de esta equivalen a 600.000 unidades de penicilina procaínica.  Mandell, G y otros. Principles and practice of infectious diseases. Séptima edición. Elsevier. 2010  Brunton L y otros. Goodman and Gilman, Bases farmacológicas de la terapeútica. Undecima edición, Mc Graw Hill. 2007.
  • 35.
  • 36.
      La amoxicilinapresenta menores efectos adversos en TGI vs ampicilina.  Dosis más altas en otitis e infecciones por neumococo (hasta 90 mg kg) por cubrimiento de algunas cepas productoras de beta lactamasa.  Mandell, G y otros. Principles and practice of infectious diseases. Séptima edición. Elsevier. 2010  Brunton L y otros. Goodman and Gilman, Bases farmacológicas de la terapeútica. Undecima edición, Mc Graw Hill. 2007.
  • 37.
      La piperacilinatiene un mejor efecto contra pseudomonas y enterobacterias.  Resistencia no inducible, por ampC.  Efecto adverso de microembolismo.  Mandell, G y otros. Principles and practice of infectious diseases. Séptima edición. Elsevier. 2010  Brunton L y otros. Goodman and Gilman, Bases farmacológicas de la terapeútica. Undecima edición, Mc Graw Hill. 2007.
  • 38.
  • 39.
      El clavulanatoes más potente como inhibidor de b lactamasas que el sulbactam.  Altas concentraciones en fluido intesrsticial y peritoneal.  En dosis muy elevadas puede mostrar actividad contra Acinetobacter b.  El tazobactam es más potente que los dos anteriores.  Mandell, G y otros. Principles and practice of infectious diseases. Séptima edición. Elsevier. 2010  Brunton L y otros. Goodman and Gilman, Bases farmacológicas de la terapeútica. Undecima edición, Mc Graw Hill. 2007.
  • 40.
  • 41.
      G. Brotzu,1945, posteriormente trabajos de Florey y Abrham, uso desde 1964.  Nucleo cefo, con 6 sulfuros y anillo tiazolidina.  Sustituciones acil y metoxi, en el C7 generan más resistencia a las B lactamasas, pero con menor afinidad a los PBP de gram positivos.  Mandell, G y otros. Principles and practice of infectious diseases. Séptima edición. Elsevier. 2010  Brunton L y otros. Goodman and Gilman, Bases farmacológicas de la terapeútica. Undecima edición, Mc Graw Hill. 2007. Cefalosporinas
  • 42.
     Cambio deaminobencilo en el C7 lleva a una mejor absorción oral.  La adición de grupos aminotiazol y metoximino en la cadena lateral C7 lleva a las cefalosporinas de tercera y cuarta generación.  En la ceftazidima se cambia el metoximino por una molecula de diacetilacético.  Mandell, G y otros. Principles and practice of infectious diseases. Séptima edición. Elsevier. 2010  Brunton L y otros. Goodman and Gilman, Bases farmacológicas de la terapeútica. Undecima edición, Mc Graw Hill. 2007.
  • 43.
  • 44.
  • 45.
      Efecto similara las penicilinas, con interferencia en la síntesis de la pared bacteriana.  Inhibición de transpeptidasas (PBP)  Pueden tener efecto pos antibiotico importante en las bacterias gram positivas.  Mandell, G y otros. Principles and practice of infectious diseases. Séptima edición. Elsevier. 2010  Brunton L y otros. Goodman and Gilman, Bases farmacológicas de la terapeútica. Undecima edición, Mc Graw Hill. 2007.
  • 46.
  • 47.
  • 48.
  • 49.
  • 50.
  • 51.
      Mecanismos deresistencia  Modificación de PBP  Cefalosporinasas  Reducción de la penetración al LPS  Efflux.  Mandell, G y otros. Principles and practice of infectious diseases. Séptima edición. Elsevier. 2010  Brunton L y otros. Goodman and Gilman, Bases farmacológicas de la terapeútica. Undecima edición, Mc Graw Hill. 2007.
  • 52.
      Las preparacionesparenterales son estables en 24 horas (excepto cefradina)  Transporte activo en intestino delgado.  Preparaciones como profarmacos (ester, por ejemplo cefuroxima)  Mandell, G y otros. Principles and practice of infectious diseases. Séptima edición. Elsevier. 2010  Brunton L y otros. Goodman and Gilman, Bases farmacológicas de la terapeútica. Undecima edición, Mc Graw Hill. 2007.
  • 53.
      Concentraciones intracelularesbajas.  Solo la cefuroxima tiene penetración adecuada a SNC en condiciones normales.  Cefotaxime y cefalotina se metabolizan por desacetilación.  Eliminación renal, vida media entre una y dos horas.  Mandell, G y otros. Principles and practice of infectious diseases. Séptima edición. Elsevier. 2010  Brunton L y otros. Goodman and Gilman, Bases farmacológicas de la terapeútica. Undecima edición, Mc Graw Hill. 2007.
  • 54.
      La ceftriaxonay la cefoperazona poseen eliminación biliar.  Reactividad cruzada en menos del 10%  No sirven las pruebas de sensibilidad.  Evaluar uso según la cefalosporina especifica y la gravedad de la reacción previa.  Mandell, G y otros. Principles and practice of infectious diseases. Séptima edición. Elsevier. 2010  Brunton L y otros. Goodman and Gilman, Bases farmacológicas de la terapeútica. Undecima edición, Mc Graw Hill. 2007.
  • 55.
  • 56.
      Riesgo deefecto disulfiram  Riesgo de inhibición de la epoxido reductasa.  La ceftriaxona se puede utilizar por vía intramuscular.  Mandell, G y otros. Principles and practice of infectious diseases. Séptima edición. Elsevier. 2010  Brunton L y otros. Goodman and Gilman, Bases farmacológicas de la terapeútica. Undecima edición, Mc Graw Hill. 2007.
  • 57.
  • 58.
  • 59.
      Derivados destreptomyces, espectro más amplio de los Beta lactámicos.  Remplazo de metileno y doble enlace en anillo principal, además cadena lateral hidroxietil.  Cilastatina: inhibidor de dehidropeptidasa renal.  Otros tiopirrinilidilo no requieren cilastatina.  Mandell, G y otros. Principles and practice of infectious diseases. Séptima edición. Elsevier. 2010  Brunton L y otros. Goodman and Gilman, Bases farmacológicas de la terapeútica. Undecima edición, Mc Graw Hill. 2007. CARBAPENEMS
  • 60.
  • 61.
      Mayor afinidadpor PBP, porina del LPS Oprd, diferente a pencilinas y cefalosporinas.  Resistencia a hidrolisis por B lactamasas de varios germenes.  Hidrolisis por B lactamasas tipo B y KPC.  Mandell, G y otros. Principles and practice of infectious diseases. Séptima edición. Elsevier. 2010  Brunton L y otros. Goodman and Gilman, Bases farmacológicas de la terapeútica. Undecima edición, Mc Graw Hill. 2007.
  • 62.
      Usualmente laresistencia se da por combinación de mecanismos.  MexB: efflux, no afecta al imipenem.  Alteración de PBP más frecuente en gram positivos.  Mandell, G y otros. Principles and practice of infectious diseases. Séptima edición. Elsevier. 2010  Brunton L y otros. Goodman and Gilman, Bases farmacológicas de la terapeútica. Undecima edición, Mc Graw Hill. 2007.
  • 63.
  • 64.
      Concentraciones picoen promedio en 2 horas.  Tiempo de vida media de una hora para doripenem, imipenem y meropenem; el ertapenem tiene unas 4 horas.  No requieren reajuste de dosis en pacientes con disfunción hepática.  Mandell, G y otros. Principles and practice of infectious diseases. Séptima edición. Elsevier. 2010  Brunton L y otros. Goodman and Gilman, Bases farmacológicas de la terapeútica. Undecima edición, Mc Graw Hill. 2007.
  • 65.
      Efectos adversos: Rash, urticaria, diarrea y nauseas.  Disminución del umbral convulsivo, más con meropenem y menos con doripenem.  Disminuyen los niveles de acido valproico.  Mandell, G y otros. Principles and practice of infectious diseases. Séptima edición. Elsevier. 2010  Brunton L y otros. Goodman and Gilman, Bases farmacológicas de la terapeútica. Undecima edición, Mc Graw Hill. 2007.
  • 66.
      Utiles paratratamiento de infecciones causadas por enterobacterias productoras de AmpC.  Tratamiento de pacientes con exposición previa a multiples antibioticos.  Posibilidad de tratamiento en infecciones por Pseudomonas y Acinetobacter.  Mandell, G y otros. Principles and practice of infectious diseases. Séptima edición. Elsevier. 2010  Brunton L y otros. Goodman and Gilman, Bases farmacológicas de la terapeútica. Undecima edición, Mc Graw Hill. 2007.
  • 67.
      El doripenemmuestra mayor actividad contra Pseudomonas.  No siempre hay resistencia cruzada entre estos.  Stenotrophomona tiene resistencia intrínseca a todos los carbapenems.  Mandell, G y otros. Principles and practice of infectious diseases. Séptima edición. Elsevier. 2010  Brunton L y otros. Goodman and Gilman, Bases farmacológicas de la terapeútica. Undecima edición, Mc Graw Hill. 2007.
  • 68.
  • 69.
      Dosificación:  Imipenem:250 a 500 mg IV cada 6 a 8 horas.  Niños: 15 a 25 mg kg cada 6 a 8 horas.  Meropenem: 500 a 1000 mg Iv cada 8 horas.  Niños: 20 a 40 mg kg cada 8 horas.  Doripenem: 500 mg IV cada 8 horas.  Mandell, G y otros. Principles and practice of infectious diseases. Séptima edición. Elsevier. 2010  Brunton L y otros. Goodman and Gilman, Bases farmacológicas de la terapeútica. Undecima edición, Mc Graw Hill. 2007.
  • 70.
      Ertapenem  Pocaactividad contra pseudomonas y acinetobacter.  Dosis única diaria por mayor tiempo de vida media.  1 G IV cada 24 horas.  Mandell, G y otros. Principles and practice of infectious diseases. Séptima edición. Elsevier. 2010  Brunton L y otros. Goodman and Gilman, Bases farmacológicas de la terapeútica. Undecima edición, Mc Graw Hill. 2007.
  • 71.
      Aztreonam  Solopresenta actividad contra bacterias gram negativas.  Burkholderia, acinetobacter y stenotrophomona son usualmente resistentes.  Mandell, G y otros. Principles and practice of infectious diseases. Séptima edición. Elsevier. 2010  Brunton L y otros. Goodman and Gilman, Bases farmacológicas de la terapeútica. Undecima edición, Mc Graw Hill. 2007. MONOBACTAMS
  • 72.
  • 73.
      Alcanza picode concentración en una hora.  Tiempo de vida media de unas 2 horas.  En general no requiere ajuste de dosis en caso de disfunción hepática.  Mandell, G y otros. Principles and practice of infectious diseases. Séptima edición. Elsevier. 2010  Brunton L y otros. Goodman and Gilman, Bases farmacológicas de la terapeútica. Undecima edición, Mc Graw Hill. 2007.
  • 74.
      Dosis de1 a 2 gramos cada 6 a 8 horas.  Niños: 30 mg kg cada 6 a 8 horas.  No presenta reacción cruzada con otros Beta lactamicos.  Mandell, G y otros. Principles and practice of infectious diseases. Séptima edición. Elsevier. 2010  Brunton L y otros. Goodman and Gilman, Bases farmacológicas de la terapeútica. Undecima edición, Mc Graw Hill. 2007.
  • 75.
  • 76.
  • 77.
  • 78.
      Paciente de64 años, con antecedente de falla renal crónica, depuración de creatinina estimada de 25 ml min por MDRD; diabético, antecedente de cirugía abdominal hace 4 semanas por ulcera péptica perforada. Sin otros antecedentes relevantes, sin alergias previamente.  Ahora ingresa con cuadro de 5 días de evolución de fiebre, desorientación, dolor abdominal.  Al evaluar con signos de irritación peritoneal, hipotensión, taquicardia, alteración del estado de conciencia.
  • 79.
      Llevado alaparotomía.  Inicio de antibióticos ?, cual ?, dosis ?  Paraclínicos ? Algún otro foco a evaluar ?  Posibilidades de germen ?
  • 80.
      Encuentran fascitise infección profunda, efectúan drenaje de colección purulenta, la cual envían a cultivo.  Luego de 3 días estable, disminución de leucocitosis, sin nuevos episodios de fiebre, cultivo de colección que muestra:  Serratia marcescens, más de 100.000 unidades formadoras de colonia, antibiograma que reporta sensibilidad a ceftazidima, levofloxacina, ertapenem, aztreonam y piperacilina tazobactam; sensibilidad intermedia a ceftriaxona y ampicilina sulbactam y resistencia a ciprofloxacina, ampiclina y otros.  Tratamiento ideal ?, cambio en esquema antibiótico ?
  • 81.