República Bolivariana DeVenezuela
Ministerio Del Poder Popular Para La
Educación Universitaria
Táchira/San Cristóbal
Instituto Universitario Politécnico
“Santiago Mariño”
Integrantes:
González M Katherine P
C.I:26.534.384
Asignatura:
Matemática IVSan Cristóbal, Marzo 2018
¿QUÉ ES CONVOLUCIÓN?
En matemáticas y, en particular, análisis funcional, una convolución es un operador
matemático que transforma dos funciones f y g en una tercera función que en cierto
sentido representa la magnitud en la que se superponen f y una versión trasladada e
invertida de g. Una convolución es un tipo muy general de media móvil, como se
puede observar si una de las funciones se toma como la función característica de un
intervalo.
DEFINICIÓN
La convolución f y g se denota f*g . Se define como la integral del producto de ambas
funciones después de desplazar una de ellas una distancia t.
En el caso de un rango de integración finito, f y g se consideran a menudo como extendidas, periódicamente en
ambas direcciones, tal que el término g(t - η) no implique una violación en el rango. Cuando usamos estos
dominios periódicos la convolución a veces se llama cíclica.
APLICACIONES
La convolución y las operaciones relacionadas se encuentran en muchas aplicaciones de ingeniería y
matemáticas.
➢En estadística, como un promedio móvil ponderado.
➢En teoría de la probabilidad, la distribución de probabilidad de la suma de dos variables aleatorias
independientes es la convolución de cada una de sus distribuciones de probabilidad.
➢En óptica, muchos tipos de "manchas" se describen con convoluciones
➢En acústica, un eco es la convolución del sonido original con una función que represente los
objetos variados que lo reflejan.
➢En ingeniería eléctrica, electrónica y otras disciplinas, la salida de un sistema lineal es la
convolución de la entrada con la respuesta del sistema a un impulso.
➢En física, allí donde haya un sistema lineal con un "principio de superposición", aparece una
operación de convolución.
Tipos de Convolucion
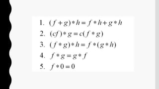
Propiedades
TEOREMA DE
CONVOLUCIÓN
Bajo determinadas circunstancias, la transformada de
Fourier de una convolución es el producto punto a punto de
las transformadas. En otras palabras, la convolución en un
dominio es equivalente al producto punto a punto en el otro
dominio.
T R A N S F O R M A D A D E
F O U R I E R
El concepto matemático que hoy conocemos como transformada de Fourier fue introducido por Joseph B.
Fourier en 1811, en conexión con un tratado sobre la propagación del calor, mediante un argumento de paso
al límite (del discreto al continuo) a partir de las series que también llevan su nombre. La transformada de
Fourier –y el análisis armónico en general– constituye hoy una de las herramientas más útiles para el estudio
y el tratamiento de múltiples aspectos de las ecuaciones en derivadas parciales. Podría decirse que en este
ámbito desempeña un papel análogo al de la transformada de Laplace en el campo de las ecuaciones
diferenciales ordinarias, permitiendo simplificaciones notables en las ecuaciones toda vez que contribuye a
transformar derivadas en potencias, esto es, operadores diferenciales en polinomios. Es también significativo
el papel que la transformada de Fourier juega en el terreno de las aplicaciones, fundamentalmente en teoría
de la señal, teoría cuántica de campos, tomografía y tratamiento y digitalización de imágenes.
De la Serie de Fourier a la Transformada de Fourier La serie de Fourier nos permite obtener una representación en
el dominio de la frecuencia de funciones periódicas f(t). ¿Es posible extender de alguna manera las series de Fourier para
obtener una representación en el dominio de la frecuencia de funciones no periódicas? Consideremos la siguiente función
periódica de periodo T: 1 Tren de pulsos de amplitud 1, ancho p y periodo T
Los coeficientes de la serie compleja de Fourier en este caso resultan puramente reales:
El espectro de frecuencia correspondiente lo obtenemos (en este caso) graficando
con contra w = nw0. 3
¿Qué pasa con los coeficientes de la serie de Fourier?
El razonamiento anterior nos lleva a reconsiderar la expresión de una función f(t) no periódica
en el dominio de la frecuencia, no como una suma de armónicos de frecuencia nw0, sino como
una función continua de la frecuencia w.
Así, la serie: al cambiar la "variable discreta" nw0 (cuando T??) por la variable continua w, se
transforma en una integral de la siguiente manera:
Algunas funciones no poseen transformada de Fourier La condición de suficiencia para
que la transformada de Fourier de f(x), F(w) exista es:
Es decir, que f(x) sea de cuadrado sumable. Funciones que no vayan asintóticamente a
cero cuando x tiende a +¥ y –¥ en general no tienen transformadas de Fourier.
Convolucion y transformada de fourier
Convolucion y transformada de fourier
Convolucion y transformada de fourier

Convolucion y transformada de fourier

  • 1.
    República Bolivariana DeVenezuela MinisterioDel Poder Popular Para La Educación Universitaria Táchira/San Cristóbal Instituto Universitario Politécnico “Santiago Mariño” Integrantes: González M Katherine P C.I:26.534.384 Asignatura: Matemática IVSan Cristóbal, Marzo 2018
  • 2.
    ¿QUÉ ES CONVOLUCIÓN? Enmatemáticas y, en particular, análisis funcional, una convolución es un operador matemático que transforma dos funciones f y g en una tercera función que en cierto sentido representa la magnitud en la que se superponen f y una versión trasladada e invertida de g. Una convolución es un tipo muy general de media móvil, como se puede observar si una de las funciones se toma como la función característica de un intervalo.
  • 3.
    DEFINICIÓN La convolución fy g se denota f*g . Se define como la integral del producto de ambas funciones después de desplazar una de ellas una distancia t. En el caso de un rango de integración finito, f y g se consideran a menudo como extendidas, periódicamente en ambas direcciones, tal que el término g(t - η) no implique una violación en el rango. Cuando usamos estos dominios periódicos la convolución a veces se llama cíclica.
  • 4.
    APLICACIONES La convolución ylas operaciones relacionadas se encuentran en muchas aplicaciones de ingeniería y matemáticas. ➢En estadística, como un promedio móvil ponderado. ➢En teoría de la probabilidad, la distribución de probabilidad de la suma de dos variables aleatorias independientes es la convolución de cada una de sus distribuciones de probabilidad. ➢En óptica, muchos tipos de "manchas" se describen con convoluciones ➢En acústica, un eco es la convolución del sonido original con una función que represente los objetos variados que lo reflejan. ➢En ingeniería eléctrica, electrónica y otras disciplinas, la salida de un sistema lineal es la convolución de la entrada con la respuesta del sistema a un impulso. ➢En física, allí donde haya un sistema lineal con un "principio de superposición", aparece una operación de convolución.
  • 5.
  • 6.
  • 8.
    TEOREMA DE CONVOLUCIÓN Bajo determinadascircunstancias, la transformada de Fourier de una convolución es el producto punto a punto de las transformadas. En otras palabras, la convolución en un dominio es equivalente al producto punto a punto en el otro dominio.
  • 9.
    T R AN S F O R M A D A D E F O U R I E R El concepto matemático que hoy conocemos como transformada de Fourier fue introducido por Joseph B. Fourier en 1811, en conexión con un tratado sobre la propagación del calor, mediante un argumento de paso al límite (del discreto al continuo) a partir de las series que también llevan su nombre. La transformada de Fourier –y el análisis armónico en general– constituye hoy una de las herramientas más útiles para el estudio y el tratamiento de múltiples aspectos de las ecuaciones en derivadas parciales. Podría decirse que en este ámbito desempeña un papel análogo al de la transformada de Laplace en el campo de las ecuaciones diferenciales ordinarias, permitiendo simplificaciones notables en las ecuaciones toda vez que contribuye a transformar derivadas en potencias, esto es, operadores diferenciales en polinomios. Es también significativo el papel que la transformada de Fourier juega en el terreno de las aplicaciones, fundamentalmente en teoría de la señal, teoría cuántica de campos, tomografía y tratamiento y digitalización de imágenes.
  • 10.
    De la Seriede Fourier a la Transformada de Fourier La serie de Fourier nos permite obtener una representación en el dominio de la frecuencia de funciones periódicas f(t). ¿Es posible extender de alguna manera las series de Fourier para obtener una representación en el dominio de la frecuencia de funciones no periódicas? Consideremos la siguiente función periódica de periodo T: 1 Tren de pulsos de amplitud 1, ancho p y periodo T Los coeficientes de la serie compleja de Fourier en este caso resultan puramente reales:
  • 11.
    El espectro defrecuencia correspondiente lo obtenemos (en este caso) graficando con contra w = nw0. 3
  • 13.
    ¿Qué pasa conlos coeficientes de la serie de Fourier?
  • 14.
    El razonamiento anteriornos lleva a reconsiderar la expresión de una función f(t) no periódica en el dominio de la frecuencia, no como una suma de armónicos de frecuencia nw0, sino como una función continua de la frecuencia w. Así, la serie: al cambiar la "variable discreta" nw0 (cuando T??) por la variable continua w, se transforma en una integral de la siguiente manera:
  • 19.
    Algunas funciones noposeen transformada de Fourier La condición de suficiencia para que la transformada de Fourier de f(x), F(w) exista es: Es decir, que f(x) sea de cuadrado sumable. Funciones que no vayan asintóticamente a cero cuando x tiende a +¥ y –¥ en general no tienen transformadas de Fourier.