COLEGIO REPÚBLICA DE COLOMBIA
PROYECTO EMISORA ESCOLAR
TERCER MILENIO
AÑO 2013
INTRODUCCIÓN
La comunicación es el proceso que le permite a los seres humanos crecer como individuos dentro de
una sociedad, intercambiar conocimientos, experiencias, saberes, inquietudes, sentimientos, entre otros.
Gracias a este proceso el hombre ha trascendido en el tiempo. Se ha convertido es un eje fundamental
de las transformaciones históricas de las sociedades humanas.
Las interacciones comunicativas que se establecen entre los individuos y los grupos, y entre los
distintos grupos que se han dado a lo largo de la historia, se han convertido en objeto de estudio de
diferentes áreas como la filosofía, el arte, la publicidad, el periodismo, entre otras. En la actualidad y
como producto del desarrollo tecnológico, la comunicación de masas dada a través de la televisión, la
radio, el periódico, la Internet, entre otros ha sido el centro de atención de estudios sociales,
antropológicos, y lingüísticos.
La comunicación de masas según Merton (1957) se caracteriza por ser pública en la medida en que el
mensaje está dirigido a un público en general o a grandes auditorios en un tiempo pequeño. Dicho el
mensaje requiere poco tiempo para que tenga un impacto social. Por eso los datos la información que
se transmite está sometida a la inmediatez, a la censura y a las reacciones muy rápidas por parte del
auditorio. Esta comunicación según Wright (1963) cumple con los siguientes objetivos: a) la
supervisión del ambiente o manipulación de la información; b) la concordancia de las partes de la
sociedad como reacción a ese ambiente o preparación de la respuesta; c) la transmisión de la herencia
social y cultural, y d) el entretenimiento.
Como lo afirma Guinsberg (1999) la comunicación masiva es un poderoso medio de socialización al
igual que la familia, la escuela y el trabajo ya que contribuyen en que: a) modela los sentimientos y las
creencias; b) entrena los sentidos; c) ayuda a formar la imaginación social; y d) fomenta y facilita
algunas construcciones mentales a través de las cuales se pueden evidenciar las formas de pensamiento
de los individuos dentro de una sociedad. Este tipo de comunicación como lo afirma el autor representa
un espacio en el cual cada una de las personas pone en juego su posibilidad de construirse con otros.
En cuanto a una forma de comunicación masiva en el contexto escolar que es el contexto en el que se
desenvuelve este proyecto se puede afirmar al igual que Arcos (2003) la radio es uno de los
componentes escolares que se encuentra relacionado con el desarrollo de las actividades escolares con
alguna frecuencia. Sin embargo, ésta suele no está muy conceptualizada y dinamizada desde la
perspectiva de los estudios de juventud. Por eso se habla muy poco acerca de la posibilidad de emplear
la radio como un ejercicio y una forma de expresión propia de los jóvenes en las instituciones
educativas. La radio escolar debe convertirse en un instrumento para la transformación del espacio, la
gestión, las relaciones y las dinámicas conflictivas y de convivencia en el contexto escolar.
OBJETIVOS
GENERAL
Diseñar e implementar un programa de formación en radio en los estudiantes del colegio República de
Colombia que permita fortalecer la emisora escolar, desarrollar procesos comunicativos, de gestión, y
pedagógicos para mejorar las relaciones personales entre los distintos estamentos de la institución
educativa, potencializar valores como el respeto a la diversidad, a la producción artística colombiana y
universal, y a las subculturas que forman parte de la sociedad en general.
ESPECÍFICOS
1. Usar la emisora como un instrumento pedagógico y comunicativo que permita la difusión de las
diferentes manifestaciones artísticas, y de los diversos avances científicos nacionales e
internacionales hacia la comunidad.
2. Fomentar la participación de los estudiantes en un espacio de expresión para fortalecer las
habilidades orales, escritas, lectoras e investigativas.
3. Fomentar valores (convivencia, respeto a la diversidad cultural y a las manifestaciones artísticas de
las diferentes sociedades).
4. Fortalecer un medio masivo de comunicación que sirva para difundir y transformar diversas
actividades y dinámicas de la comunidad educativa.
5. Generar un grupo de estudiantes con habilidades organizativas y de gestión que les posibilite dirigir
en forma autónoma la emisora.
6. Fomentar en los estudiantes la creatividad a través de la elaboración de guiones radiofónicos y el
manejo de las diferentes sesiones y programas radiales.
7. Construir con los estudiantes aprendizajes que sean aplicables a los contextos en los cuales se
desenvuelven.
8. Fortalecer el trabajo en grupo y colaborativo a través de la organización interna de los comités
correspondientes.
9. Actualizar a la comunidad educativa de manera objetiva, ágil y oportuna sobre los acontecimientos
nacionales e internacionales que se destacan cada semana en los campos económico, político,
deportivo, cultural, social y científico.
10. Favorecer la competencia lingüística de los estudiantes a nivel semántico, fonológico, y
morfosintáctico.
11. Apoyar los distintos proyectos institucionales a través de la difusión de las diferentes actividades
que se proponen y de los espacios que se le brindan a cada uno de ellos.
JUSTIFICACIÓN
La escuela como comunidad integrada por diversos grupos humanos la cual cumple con una función
social cuenta desde el punto de vista comunicativo con pocos espacios que le permiten crear y difundir
la producción artística, crítica y personal de los educandos. La norma por lo general establece que en el
escuela se transmiten y fortalecen valores sociales, cívicos y culturales que caracterizan a la sociedad
de la cual forma parte. Lo anterior desde un sentido académico, institucional, sociopolítico y
antropológico que asume la misma escuela. Por ésto muchos de esos valores no tienen en cuenta la
forma de pensar de las nuevas generaciones, sus gustos y sus expectativas.
La radio escolar en la institución educativa es un instrumento que se convierte en ese difusor de las
formas como el estudiante aprecia la realidad y la sociedad de la cual forma parte. Este espacio debe
convertirse en un contexto comunicativo que le permita a los educandos cumplir con una función de
emisor e interlocutores para superar las rupturas comunicativas entre los dos grupos de agentes
comunicativos (docentes y educandos). Entonces la emisora debe ser un proyecto comunicativo de tipo
escolar que se caracterice por ser abierto y alternativo en la medida en que le posibilita a los jóvenes y
niños(as) dar a conocer sus inquietudes, sus gustos, su visión del mundo. De allí que sea importante en
la medida en que: a) facilita las relaciones comunicativas entre los docentes y los estudiantes; b) le
asigna a los mensajes radiofónicos una forma de expresión juvenil e infantil; c) difunde los valores y
mensajes institucionales y los actualiza desde el punto de vista de los jóvenes y de los niños(as); d)
fomenta el trabajo en grupo y el respeto a los demás; e) contribuye al desarrollo de la creatividad, de las
habilidades de comunicación oral y lecto-escritas; f) inicia a los educandos en el proceso de
investigación y análisis crítico de la información; g) acerca a los jóvenes y niños(as) a la realidad
social, política, cultural que vive el país en un momento determinado; y h) hace más ágil la
comunicación entre los distintos miembros de la comunidad educativa. .
METODOLOGÍA
La emisora TERCER MILENIO plantea para el año 2013 las siguientes estrategias metodológicas con
el objetivo de alcanzar los logros propuestos:
1. Asignación de los distintos espacios radiales en el horario del descanso.
2. Organización del espacio en la mañana. Se trabajará en una reflexión centrada en valores y
mensajes de autosuperación, sesiones de actualización a nivel local, nacional e internacional, y
sobre datos curiosos.
3. Capacitación a los estudiantes sobre la elaboración de guiones radiofónicos.
4. Entrega de los guiones para su revisión con una semana antes. Revisión de los guiones para su
aprobación y posterior presentación.
5. Revisión de la lectura de los guiones y realización de las sugerencias necesarias.
6. Emplear otros medios de comunicación para difusión de la emisora. A saber: correo electrónico
y página social FACEBOOK.
7. Los estudiantes estarán organizados en grupos (manejo del equipo radiofónico, periodistas y
locutores). Se propone la elección de un representante de la emisora.
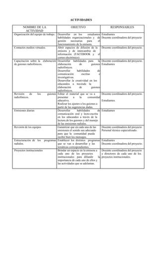
ACTIVIDADES
NOMBRE DE LA OBJETIVO RESPONSABLES
ACTIVIDAD
Organización del equipo de trabajo. Desarrollar en los estudiantes Estudiantes
habilidades organizacionales y de Docente coordinadora del proyecto
gestión necesarias para el
funcionamiento de la emisora.
Contactos medios virtuales. Abrir espacios de difusión de la Docente coordinadora del proyecto.
emisora y de intercambio de
información (FACEBOOK y el
correo electrónico)
Capacitación sobre la elaboración Desarrollar habilidades para la Docente coordinadora del proyecto.
de guiones radiofónicos. elaboración de guiones Estudiantes
radiofónicos.
Desarrollar habilidades de
comunicación escritas e
investigativas.
Desarrollar la creatividad en los
educandos a travésde la
elaboración de guiones
radiofónicos.
Revisión de los guiones Editar el material que se va a Docente coordinadora del proyecto.
radiofónicos. presentar a la comunidad
educativa. Estudiantes.
Realizar los ajustes a los guiones a
partir de las sugerencias dadas.
Emisiones diarias Desarrollar habilidades de Estudiantes
comunicación oral y lecto-escrita
en los educandos a través de la
lectura de los guiones y del manejo
de las emisiones radiales.
Revisión de los equipos Garantizar que en cada una de las Docente coordinadora del proyecto
emisiones el sonido sea adecuado Personal técnico especializado.
para que la comunidad pueda
recibir bien los mensajes.
Estructuración de los programas Establecer los distintos programas Estudiantes
radiales. que se van a desarrollar y las Docente coordinadora del proyecto.
temáticas correspondientes.
Proyectos institucionales Brindar un espacio en la emisora a Docente coordinadora del proyecto
cada uno de los proyectos y directores de cada uno de los
institucionales para difundir la proyectos institucionales.
importancia de cada uno de ellos y
las actividades que se adelantan.
EMISORA ESCOLAR TERCER MILENIO
El Colegio República de Colombia cuenta desde hace varios años con el proyecto PILEO. Una de
las estrategias de trabajo es la Emisora Escolar Tercer Milenio que se ha venido consolidando
como una de los espacios en los que los estudiantes podemos desarrollar nuestras habilidades
orales.
Hace cinco años ingresé a la institución educativa y me incorporé al grupo de la emisora con mi
hermano. Para nosotros fue una buena experiencia estar en este proyecto porque aprendimos a
manejar equipos, a redactar guiones radiofónicos, a estructurar entrevistas, a participar en
eventos locales en los que se promueven las habilidades orales y escritas.
La emisora Tercer Milenio tiene como visión convertirse en un instrumento de construcción de la
identidad juvenil desde la perspectiva de valores como la creatividad, la disciplina, el respeto y la
diversidad cultural que pretende consolidarse como un espacio cultural. Su misión es convertirse
en una herramienta pedagógica para la socialización de la vida escolar, a través de la difusión de
programas radiales que recojan las iniciativas de todos los miembros de la comunidad educativa.
Tenemos dos emisiones diarias, una por la mañana y otra en el descanso en las cuales se
difunden y apoyan los proyectos institucionales y se le da un espacio los compañeros para
escuchar la música que desean y enviar mensajes.
EMISIONES
6:15 a.m a 6:30 a.m
LUNES MARTES MIÉRCOLES JUEVES VIERNES
REFLEXIÓN PARA REFLEXIÓN PARA REFLEXIÓN PARA REFLEXIÓN PARA REFLEXIÓN PARA
LA MAÑANA LA MAÑANA LA MAÑANA LA MAÑANA LA MAÑANA
PARA ESTAR PARA ESTAR PARA ESTAR PARA ESTAR PARA ESTAR
ACTUALIZADOS: ACTUALIZADOS: ACTUALIZADOS: ACTUALIZADOS: ACTUALIZADOS:
TITULARES DEL TITULARES DEL TITULARES DEL TITULARES DEL TITULARES DEL
PERIÓDICO EL PERIÓDICO EL PERIÓDICO EL PERIÓDICO EL PERIÓDICO EL
TIEMPO YEL TIEMPO YEL TIEMPO YEL TIEMPO YEL TIEMPO YEL
ESPECTADOR ESPECTADOR ESPECTADOR ESPECTADOR ESPECTADOR
10:00 a.m a 10:30 a.m
APOYO A LOS PROYECTOS
LUNES MARTES MIÉRCOLES JUEVES VIERNES
MOVILIDAD AFROCOLOMBIANIDAD TIEMPO LIBRE PILEO VALORES
PREVENCIÓN DE PRAE
DESASTRES
ROCK EN SALSA MÚSICA CLÁSICA COLOMBIANA VALLENATO
ESPAÑOL Y MERENGUE Y EUROPEA BALADAS Y ROCK POP
BALADAS CUMBIA EN INGLÉS
MAPALÉ REGGAE
BACHATA
La emisora cuenta con un equipo muy responsable integrado por estudiantes de bachillerato.
El coordinador, Juan David Sánchez Páez (1004), fue elegido por el equipo de la emisora, los
reporteros son Daniel Felipe Sánchez Páez (602), María Fernanda Parada (805), Christian
Gamboa (1003), Nicolle Dayana Cruz (704) y Laura Camila Fonseca (704). Este año también
nos acompañan los estudiantes Lorena Andrea Montenegro y Jorge Alfredo Melo del curso
903 quienes prestan su servicio social.
A todos mis compañeros les quiero agradecer por el trabajo, la responsabilidad, el
compromiso, el entusiasmo con el que hacen cada uno de los programas. Sí están interesados
en saber algo más de la emisora nos pueden escribir a emisoratercermilenio@gmail.com y
también estamos en el Facebook.
Juan David Sánchez Páez (1004)
Coordinador estudiantil Emisora Escolar Tercer Milenio

Emisoraloc

  • 1.
    COLEGIO REPÚBLICA DECOLOMBIA PROYECTO EMISORA ESCOLAR TERCER MILENIO AÑO 2013 INTRODUCCIÓN La comunicación es el proceso que le permite a los seres humanos crecer como individuos dentro de una sociedad, intercambiar conocimientos, experiencias, saberes, inquietudes, sentimientos, entre otros. Gracias a este proceso el hombre ha trascendido en el tiempo. Se ha convertido es un eje fundamental de las transformaciones históricas de las sociedades humanas. Las interacciones comunicativas que se establecen entre los individuos y los grupos, y entre los distintos grupos que se han dado a lo largo de la historia, se han convertido en objeto de estudio de diferentes áreas como la filosofía, el arte, la publicidad, el periodismo, entre otras. En la actualidad y como producto del desarrollo tecnológico, la comunicación de masas dada a través de la televisión, la radio, el periódico, la Internet, entre otros ha sido el centro de atención de estudios sociales, antropológicos, y lingüísticos. La comunicación de masas según Merton (1957) se caracteriza por ser pública en la medida en que el mensaje está dirigido a un público en general o a grandes auditorios en un tiempo pequeño. Dicho el mensaje requiere poco tiempo para que tenga un impacto social. Por eso los datos la información que se transmite está sometida a la inmediatez, a la censura y a las reacciones muy rápidas por parte del auditorio. Esta comunicación según Wright (1963) cumple con los siguientes objetivos: a) la supervisión del ambiente o manipulación de la información; b) la concordancia de las partes de la sociedad como reacción a ese ambiente o preparación de la respuesta; c) la transmisión de la herencia social y cultural, y d) el entretenimiento. Como lo afirma Guinsberg (1999) la comunicación masiva es un poderoso medio de socialización al igual que la familia, la escuela y el trabajo ya que contribuyen en que: a) modela los sentimientos y las creencias; b) entrena los sentidos; c) ayuda a formar la imaginación social; y d) fomenta y facilita algunas construcciones mentales a través de las cuales se pueden evidenciar las formas de pensamiento de los individuos dentro de una sociedad. Este tipo de comunicación como lo afirma el autor representa un espacio en el cual cada una de las personas pone en juego su posibilidad de construirse con otros. En cuanto a una forma de comunicación masiva en el contexto escolar que es el contexto en el que se desenvuelve este proyecto se puede afirmar al igual que Arcos (2003) la radio es uno de los componentes escolares que se encuentra relacionado con el desarrollo de las actividades escolares con alguna frecuencia. Sin embargo, ésta suele no está muy conceptualizada y dinamizada desde la perspectiva de los estudios de juventud. Por eso se habla muy poco acerca de la posibilidad de emplear la radio como un ejercicio y una forma de expresión propia de los jóvenes en las instituciones educativas. La radio escolar debe convertirse en un instrumento para la transformación del espacio, la gestión, las relaciones y las dinámicas conflictivas y de convivencia en el contexto escolar.
  • 2.
    OBJETIVOS GENERAL Diseñar e implementarun programa de formación en radio en los estudiantes del colegio República de Colombia que permita fortalecer la emisora escolar, desarrollar procesos comunicativos, de gestión, y pedagógicos para mejorar las relaciones personales entre los distintos estamentos de la institución educativa, potencializar valores como el respeto a la diversidad, a la producción artística colombiana y universal, y a las subculturas que forman parte de la sociedad en general. ESPECÍFICOS 1. Usar la emisora como un instrumento pedagógico y comunicativo que permita la difusión de las diferentes manifestaciones artísticas, y de los diversos avances científicos nacionales e internacionales hacia la comunidad. 2. Fomentar la participación de los estudiantes en un espacio de expresión para fortalecer las habilidades orales, escritas, lectoras e investigativas. 3. Fomentar valores (convivencia, respeto a la diversidad cultural y a las manifestaciones artísticas de las diferentes sociedades). 4. Fortalecer un medio masivo de comunicación que sirva para difundir y transformar diversas actividades y dinámicas de la comunidad educativa. 5. Generar un grupo de estudiantes con habilidades organizativas y de gestión que les posibilite dirigir en forma autónoma la emisora. 6. Fomentar en los estudiantes la creatividad a través de la elaboración de guiones radiofónicos y el manejo de las diferentes sesiones y programas radiales. 7. Construir con los estudiantes aprendizajes que sean aplicables a los contextos en los cuales se desenvuelven. 8. Fortalecer el trabajo en grupo y colaborativo a través de la organización interna de los comités correspondientes. 9. Actualizar a la comunidad educativa de manera objetiva, ágil y oportuna sobre los acontecimientos nacionales e internacionales que se destacan cada semana en los campos económico, político, deportivo, cultural, social y científico. 10. Favorecer la competencia lingüística de los estudiantes a nivel semántico, fonológico, y morfosintáctico. 11. Apoyar los distintos proyectos institucionales a través de la difusión de las diferentes actividades que se proponen y de los espacios que se le brindan a cada uno de ellos. JUSTIFICACIÓN La escuela como comunidad integrada por diversos grupos humanos la cual cumple con una función social cuenta desde el punto de vista comunicativo con pocos espacios que le permiten crear y difundir la producción artística, crítica y personal de los educandos. La norma por lo general establece que en el escuela se transmiten y fortalecen valores sociales, cívicos y culturales que caracterizan a la sociedad de la cual forma parte. Lo anterior desde un sentido académico, institucional, sociopolítico y antropológico que asume la misma escuela. Por ésto muchos de esos valores no tienen en cuenta la forma de pensar de las nuevas generaciones, sus gustos y sus expectativas.
  • 3.
    La radio escolaren la institución educativa es un instrumento que se convierte en ese difusor de las formas como el estudiante aprecia la realidad y la sociedad de la cual forma parte. Este espacio debe convertirse en un contexto comunicativo que le permita a los educandos cumplir con una función de emisor e interlocutores para superar las rupturas comunicativas entre los dos grupos de agentes comunicativos (docentes y educandos). Entonces la emisora debe ser un proyecto comunicativo de tipo escolar que se caracterice por ser abierto y alternativo en la medida en que le posibilita a los jóvenes y niños(as) dar a conocer sus inquietudes, sus gustos, su visión del mundo. De allí que sea importante en la medida en que: a) facilita las relaciones comunicativas entre los docentes y los estudiantes; b) le asigna a los mensajes radiofónicos una forma de expresión juvenil e infantil; c) difunde los valores y mensajes institucionales y los actualiza desde el punto de vista de los jóvenes y de los niños(as); d) fomenta el trabajo en grupo y el respeto a los demás; e) contribuye al desarrollo de la creatividad, de las habilidades de comunicación oral y lecto-escritas; f) inicia a los educandos en el proceso de investigación y análisis crítico de la información; g) acerca a los jóvenes y niños(as) a la realidad social, política, cultural que vive el país en un momento determinado; y h) hace más ágil la comunicación entre los distintos miembros de la comunidad educativa. . METODOLOGÍA La emisora TERCER MILENIO plantea para el año 2013 las siguientes estrategias metodológicas con el objetivo de alcanzar los logros propuestos: 1. Asignación de los distintos espacios radiales en el horario del descanso. 2. Organización del espacio en la mañana. Se trabajará en una reflexión centrada en valores y mensajes de autosuperación, sesiones de actualización a nivel local, nacional e internacional, y sobre datos curiosos. 3. Capacitación a los estudiantes sobre la elaboración de guiones radiofónicos. 4. Entrega de los guiones para su revisión con una semana antes. Revisión de los guiones para su aprobación y posterior presentación. 5. Revisión de la lectura de los guiones y realización de las sugerencias necesarias. 6. Emplear otros medios de comunicación para difusión de la emisora. A saber: correo electrónico y página social FACEBOOK. 7. Los estudiantes estarán organizados en grupos (manejo del equipo radiofónico, periodistas y locutores). Se propone la elección de un representante de la emisora.
  • 4.
    ACTIVIDADES NOMBRE DE LAOBJETIVO RESPONSABLES ACTIVIDAD Organización del equipo de trabajo. Desarrollar en los estudiantes Estudiantes habilidades organizacionales y de Docente coordinadora del proyecto gestión necesarias para el funcionamiento de la emisora. Contactos medios virtuales. Abrir espacios de difusión de la Docente coordinadora del proyecto. emisora y de intercambio de información (FACEBOOK y el correo electrónico) Capacitación sobre la elaboración Desarrollar habilidades para la Docente coordinadora del proyecto. de guiones radiofónicos. elaboración de guiones Estudiantes radiofónicos. Desarrollar habilidades de comunicación escritas e investigativas. Desarrollar la creatividad en los educandos a travésde la elaboración de guiones radiofónicos. Revisión de los guiones Editar el material que se va a Docente coordinadora del proyecto. radiofónicos. presentar a la comunidad educativa. Estudiantes. Realizar los ajustes a los guiones a partir de las sugerencias dadas. Emisiones diarias Desarrollar habilidades de Estudiantes comunicación oral y lecto-escrita en los educandos a través de la lectura de los guiones y del manejo de las emisiones radiales. Revisión de los equipos Garantizar que en cada una de las Docente coordinadora del proyecto emisiones el sonido sea adecuado Personal técnico especializado. para que la comunidad pueda recibir bien los mensajes. Estructuración de los programas Establecer los distintos programas Estudiantes radiales. que se van a desarrollar y las Docente coordinadora del proyecto. temáticas correspondientes. Proyectos institucionales Brindar un espacio en la emisora a Docente coordinadora del proyecto cada uno de los proyectos y directores de cada uno de los institucionales para difundir la proyectos institucionales. importancia de cada uno de ellos y las actividades que se adelantan.
  • 5.
    EMISORA ESCOLAR TERCERMILENIO El Colegio República de Colombia cuenta desde hace varios años con el proyecto PILEO. Una de las estrategias de trabajo es la Emisora Escolar Tercer Milenio que se ha venido consolidando como una de los espacios en los que los estudiantes podemos desarrollar nuestras habilidades orales. Hace cinco años ingresé a la institución educativa y me incorporé al grupo de la emisora con mi hermano. Para nosotros fue una buena experiencia estar en este proyecto porque aprendimos a manejar equipos, a redactar guiones radiofónicos, a estructurar entrevistas, a participar en eventos locales en los que se promueven las habilidades orales y escritas. La emisora Tercer Milenio tiene como visión convertirse en un instrumento de construcción de la identidad juvenil desde la perspectiva de valores como la creatividad, la disciplina, el respeto y la diversidad cultural que pretende consolidarse como un espacio cultural. Su misión es convertirse en una herramienta pedagógica para la socialización de la vida escolar, a través de la difusión de programas radiales que recojan las iniciativas de todos los miembros de la comunidad educativa. Tenemos dos emisiones diarias, una por la mañana y otra en el descanso en las cuales se difunden y apoyan los proyectos institucionales y se le da un espacio los compañeros para escuchar la música que desean y enviar mensajes. EMISIONES 6:15 a.m a 6:30 a.m LUNES MARTES MIÉRCOLES JUEVES VIERNES REFLEXIÓN PARA REFLEXIÓN PARA REFLEXIÓN PARA REFLEXIÓN PARA REFLEXIÓN PARA LA MAÑANA LA MAÑANA LA MAÑANA LA MAÑANA LA MAÑANA PARA ESTAR PARA ESTAR PARA ESTAR PARA ESTAR PARA ESTAR ACTUALIZADOS: ACTUALIZADOS: ACTUALIZADOS: ACTUALIZADOS: ACTUALIZADOS: TITULARES DEL TITULARES DEL TITULARES DEL TITULARES DEL TITULARES DEL PERIÓDICO EL PERIÓDICO EL PERIÓDICO EL PERIÓDICO EL PERIÓDICO EL TIEMPO YEL TIEMPO YEL TIEMPO YEL TIEMPO YEL TIEMPO YEL ESPECTADOR ESPECTADOR ESPECTADOR ESPECTADOR ESPECTADOR 10:00 a.m a 10:30 a.m APOYO A LOS PROYECTOS LUNES MARTES MIÉRCOLES JUEVES VIERNES MOVILIDAD AFROCOLOMBIANIDAD TIEMPO LIBRE PILEO VALORES PREVENCIÓN DE PRAE DESASTRES ROCK EN SALSA MÚSICA CLÁSICA COLOMBIANA VALLENATO ESPAÑOL Y MERENGUE Y EUROPEA BALADAS Y ROCK POP BALADAS CUMBIA EN INGLÉS MAPALÉ REGGAE BACHATA
  • 6.
    La emisora cuentacon un equipo muy responsable integrado por estudiantes de bachillerato. El coordinador, Juan David Sánchez Páez (1004), fue elegido por el equipo de la emisora, los reporteros son Daniel Felipe Sánchez Páez (602), María Fernanda Parada (805), Christian Gamboa (1003), Nicolle Dayana Cruz (704) y Laura Camila Fonseca (704). Este año también nos acompañan los estudiantes Lorena Andrea Montenegro y Jorge Alfredo Melo del curso 903 quienes prestan su servicio social. A todos mis compañeros les quiero agradecer por el trabajo, la responsabilidad, el compromiso, el entusiasmo con el que hacen cada uno de los programas. Sí están interesados en saber algo más de la emisora nos pueden escribir a emisoratercermilenio@gmail.com y también estamos en el Facebook. Juan David Sánchez Páez (1004) Coordinador estudiantil Emisora Escolar Tercer Milenio