AULA POLITÈCNICA 15




Resistencia de materiales
Problemas resueltos
AULA POLITÈCNICA / ETSEIB




Resistencia de materiales
Problemas resueltos

Miquel Ferrer Ballester
José Luis Macías Serra
Frederic Marimón Carvajal
M. Magdalena Pastor Artigues
Francesc Roure Fernández
Lluís Vilaseca Vilanova




                               EDICIONS UPC
La presente obra fue galardonada en el quinto concurso
"Ajuts a l'elaboració de material docent" convocado por la UPC.




Primera edición: septiembre de 1999
Reimpresión: febrero de 2001
Segunda edición: septeimbre de 2002


Diseño de la cubierta: Manuel Andreu


©       los autores, 1999

©       Edicions UPC, 1999
        Edicions de la Universitat Politècnica de Catalunya, SL
        Jordi Girona Salgado 31, 08034 Barcelona
        Tel.: 934 016 883 Fax: 934 015 885
        Edicions Virtuals: www.edicionsupc.es
        E-mail: edicions-upc@upc.es


Producción:            CPDA
                       Av. Diagonal 647, ETSEIB, 08028 Barcelona


Depósito legal: B-30564-2002
ISBN: 84-8301-621-4


Quedan rigurosamente prohibidas, sin la autorización escrita de los titulares del copyright, bajo las san-
ciones establecidas en las leyes, la reproducción total o parcial de esta obra por cualquier medio o pro-
cedimiento, comprendidos la reprografía y el tratamiento informático, y la distribución de ejemplares de
ella mediante alquiler o préstamo públicos.
Prólogo                                                                                             7




Prólogo

El presente libro es una colección de problemas resueltos destinada a facilitar el aprendizaje de la
Resistencia de Materiales a través de su aplicación a la resolución de ejemplos concretos. Ha sido
elaborado pensando en su uso por parte de estudiantes de Ingeniería y de Arquitectura, como texto
complementario a un libro de teoría de Resistencia de Materiales. En concreto su estructura, enfoque y
nomenclatura se adapta especialmente al texto Resistencia de Materiales de F. Roure, F. Marimón y
X. Ayneto, que actualmente edita CPDA de la ETSEIB- UPC, en forma de fascículos.

Se supone que antes de abordar los problemas de cada capítulo, el lector habrá adquirido los
conocimientos de teoría correspondientes, y por ello no se repasan de forma explícita en el presente
libro. Se supone asimismo que el lector ha seguido previamente un curso de mecánica de medios
continuos, y que dispone de los conocimientos de elasticidad lineal necesarios. Al efecto se han
incluido en la Bibliografía textos de teoría sobre ambos aspectos.

Los temas que cubre este libro son los clásicos de un primer curso de Resistencia de Materiales: los
temas básicos relativos a la pieza prismática. Una rápida ojeada al índice ilustra perfectamente el
alcance del temario abordado. Se ha centrado el texto en estos temas básicos para adaptarlo
precisamente al desarrollo de un curso de duración cuatrimestral; aunque al final de algunos capítulos
se han introducido también problemas más complejos (van marcados con un asterisco), para aquellos
lectores que deseen profundizar en dichos temas.

Los casos más sencillos, introductorios de cada tema, no se han incluido en este libro como problemas,
porque ya suelen encontrarse como ejemplos introductorios en los libros de teoría, y no se ha
considerado necesario repetirlos. Tampoco se ha pretendido elaborar una colección exhaustiva de
problemas, sino seleccionar unos cuantos de cada tema, para ilustrar sus diversas facetas.

A pesar de las numerosas revisiones que hemos hecho del texto y de las pruebas de impresión,
estamos seguros de que algunos errores y erratas habrán conseguido colarse (confiamos en que sean
sólo algunas), y pedimos por ello disculpas al lector.

Finalmente queremos expresar nuestro agradecimiento a los siguientes estudiantes de la ETSEIB que,
como becarios del Departamento, han colaborado en la esmerada confección del texto, las fórmulas y
los dibujos: Pedro J. Campos San Facundo, Antonio Cerra Franco y Robert Gimeno Feu.



                                                               Los autores

                                                         Barcelona, junio de 1999
Índice                                                                                                                                            9




Índice

1     Diagramas de esfuerzos.......................................................................................................11

2     Esfuerzo normal...................................................................................................................25

3     Esfuerzo de cizalladura pura................................................................................................35

4     Características de secciones.................................................................................................45

5     Dimensionado de secciones a flexión..................................................................................53

6     Flexión desviada y flexión compuesta.................................................................................75

7     Torsión y esfuerzos combinados..........................................................................................89

8     Corrimientos en piezas prismáticas....................................................................................131

9     Piezas y sistemas hiperestáticos.........................................................................................139

10 Inestabilidad elástica...........................................................................................................161

Bibliografia................................................................................................................................185
Bibliografía                                                                                             185




Bibliografía


COURBON, J. Resistencia de materiales (I y II). Madrid, Aguilar, 1968.

LAROZE, S. Resistance des materiaux et Structures (I,II,III y IV). París, Eyrolles-Masson & Cia, 1974.

LOVE, A.E.H. A treatise on the mathematical Theory of Elasticity. New York, Dover, 1944.

NEUBER, H. Mecánica técnica (II). Madrid, Dossat, 1977.

ORTIZ, L. Elasticidad. Madrid, Mc Graw-Hill, 1998.

ORTIZ, L. Resistencia de materiales. Madrid, Mc Graw-Hill, 1991.

ROURE, F.; MARIMÓN, F.; AYNETO, X., Resistencia de materiales (Fascículos). Barcelona, CPDA-
ETSEIB, 1998

TIMOSHENKO, S.P., Resistencia de materiales. Madrid, Espasa-Calpe, 1967.

UGURAL, A.C.; FENSTER, S.K. Advanced Strength and applied Elasticity. New York, Elsevier, 1987.
1 Diagramas de esfuerzos   11




1 Diagramas de esfuerzos
12                                                                                         Resistencia de materiales. Problemas resueltos




Problema 1.1

Determinar los diagramas de esfuerzos en la estructura de la figura.


                                           600 2 N
                                   45o

                                                 E

                                                                                                                2m
                                                                       C                           800 Nm
              A                                                                              D

                                            B

                             3m                           3m                     2m




                                                                  2
                                                 FH      600 2             600 N
                                                                 2
                                                                  2
                                                 FV      600 2             600 N
                                                                 2
Resolución:

a) Descomposición de la fuerza exterior aplicada en el extremo de la barra BE.

b) Cálculo de las reacciones.

                                                     600 N
                                   600 N
Ejes globales                                        E



                  A                                                        C                   D       800 Nm

                                                 B

                        RAH                                                    RCV
          RAV


Tomamos momentos respecto al punto C:
                                                                                                 100
     Mc   0            R AV 6 600 3 600 2 800                    0                    R AV           N = -33,3 N
                                                                                                  3
Suma de fuerzas verticales y horizontales:
                                                                 100                         1900
     FV   0           R AV    600 RCV                0                     600       RCV          N
                                                                  3                            3
     FH   0                  RAH         600 N
1 Diagramas de esfuerzos                                                                                                   13




c) Cálculo de momentos en los tramos AB y BC.

                                            100
TramoAB:             M ( x)      R AV x         x                    MA       0       MB   100 Nm
                                             3
Tramo BC:

                     M ( x)      R AV x 600( x 3) 600 2
                                 100
                     MB              3 0 1200 1100 Nm
                                  3
                                 100
                     MC              6 600 3 600 2   800 Nm
                                  3

Diagramas.
                                                                                                       600 N       E

                                              600 N                                                                    -
           N                     +
                 A                               B                        C                D
                                                                                                               B

                                                                                                       600 N
                                                                                                                   E

                     A                       B                            C                D                           +
          T
                                                         -
                                                                                                               B
                                                                                  1900
            100                                                                        N
                N                                                                   3      -800 N·m
            3                                                                                                      E

                                          -100 N·m
                                                                                  -                       -
          M
                     A               -           B                        C                    D
                                                                                                   1200 N·m    B
                                                     +



                                                     1100 N·m

Equilibrio del nudo B.
                                                             600 N




                                              600 N

                                            100/3 N
                         600 N
                                                             B

                                                                 1900
                                                                      N
                                                                   3
14                                                                         Resistencia de materiales. Problemas resueltos




Problema 1.2

Determinar los diagramas de esfuerzos en la viga de la figura, apoyada en los extremos y sometida a
una carga repartida triangular.




                                                                                                   N
                                                                                           1600
                                                                                                   m


           A                                                                     B

                           x

                                          6m

                                      T




Resolución:

a) Cálculo de la reacciones.

                           1600 6
Resultante de la carga Q              4800 N .
                              2



                                                             4800 N

                   A                                                                  B

                                                    6m
                  RA                                                                 RB
                                      4m                              2m




                                 RA       RB       4800


                                      MA       0           RB 6       4800 4


                                          4800 4
                                 RB                      3200 N
                                             6
                                 RA       1600 N
1 Diagramas de esfuerzos                                                                                               15




b) Cálculo de los esfuerzos de sección.




                                                                                                                   N
                                                                                                            1600
                                                                                                                   m


                A                                                                                  B

                                          d
      1600 N                                                                                       3200 N

                                               x-

                                  x

                                                             L=6m



Sección situada a una distancia x del apoyo A:

T:
                                      x                          x   1600
                    T      1600           qd        1600                  d
                                      0                          0     6

                                                     x
                                      1600 2                              1600 2
                    T      1600                              1600             x
                                        6  2         0
                                                                           12

M:
                                           x                                       x   1600
                    M      1600 x              q x           d        1600 x                  x    d
                                          0                                    0         6

                                                                           x
                                                         2            3
                                          1600
                    M      1600 x                            x
                                            6            2            3
                                                                           0



                                          1600        x3         x3                     1600 x 3
                    M      1600 x                                          1600 x
                                            6         2          3                        6  6
16                                                                 Resistencia de materiales. Problemas resueltos




c) Diagramas.

                         1600 N


                                +
                          A                                             T
                                                               -
                                                                   3200 N


                                                                       M
                                               +


                                              3695 Nm
d) Punto de Mmáx



                    M
                         T          T   0
                    x
                                  1600 2
                T       0 1600         x       x     12   3,46 m
                                    12
                                       1600
                M máx        1600 3,46      3,46 2   3695 Nm
                                         12
1 Diagramas de esfuerzos                                                           17




Problema 1.3

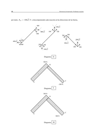
Determinar los diagramas de esfuerzos del pórtico inclinado de la figura.


                                             200 2 N
                                             B
                           400 2 N



                                                                             2m


                                                     45
                  A                                         C



                               2m                    2m




Resolución:

Para el cálculo de las reacciones, planteamos las ecuaciones de la estática.


                                                 200 2

                               400 2             B




                  A
                                   RAH                          C



                             RAV                                    RC



    FV     0          R AV     RC    200 2   0
    FH     0          R AH     400 2 N
    MA      0          RC 4 400 2 2 200 2 2 0                RC          300 2 N
18                                                                        Resistencia de materiales. Problemas resueltos




por tanto, RAV     100 2 N y descomponiendo cada reacción en las direcciones de las barras,


                                   400
                                                                  100 2


                                         400 2      100            100
                                   400
                                                                              300       300


             400                                                                                        300 2
     400 2
                                                                                  300 2
             400                      100   100
                                                                                                    300        300
                                            100 2



                                             Diagrama     N

                                            500 N
                                                     B




                                     +                        -



                                                                                    C
                               A
                                                                     -300 N

                                             Diagrama     T


                                            300 N
                                                     B




                                     +                        -



                                                                                    C
                               A
                                                                  300 N



                                             Diagrama     M
1 Diagramas de esfuerzos                                                                                          19




                                                                                         B
                                         B




                       x             +                                              +
          A                                                                                        x’        C

                                                                                                          300 N




                                     MA      0                                          MC    0
                    M = 300 · x                                         M = 300 · x’
                                     MB      600 2 Nm                                   MB    600 2 Nm



Método alternativo para hallar las reacciones: resolución gráfica.

Para que las tres fuerzas estén en equilibrio, sus líneas de acción deben cruzarse en punto O (ya que
    M0       0 ). A partir de la línea de acción vertical de RC, se obtiene O.



                             F
                                                 200 2                                   RA
                                                                            // OA
                                             B
                           400 2                                                                            RC
                                                                                         F

                                                                                                  // OC


        RA
                                                               C



                                                                   RC
20                                                                                   Resistencia de materiales. Problemas resueltos




Problema 1.4

Determinar los diagramas de esfuerzos en la viga de la figura.

                                                                  N
                                                        p = 600
            4000 N                                                ml                                 3000 N

                P1          B                                                                 C            P2       D
      A

                     a=2m                               L=6m                                      b=2m



Resolución:

Cálculo de las reacciones:

     FV : R B        RC   4000 600 6 3000 0


     M B : 4000 2 600 6 3               RC 6 3000 8                RC       4467 N
                                                                      RB        6133 N
Diagrama de momentos flectores:

Tramo AB:
                     M      4000 x
                     MA     0      MB      8000 Nm


Tramo BC:
                                                                            2
                                                                  x     2
                     M      4000 x      6133 x      2       600
                                                                       2
                     MB         8000 Nm        MC       6000 Nm

Tramo CD:
                     M      4000 x      6133 x      2       600 6 x 5             4467 x 8
                     MC         6000 Nm        MD       0


Diagrama de esfuerzos cortantes.

Tramo AB:
                     T    4000 N
                     TA     4000 N        TB     4000 N
1 Diagramas de esfuerzos                                                                            21




Tramo BC:
                    T        4000 x   6133 600 x          2
                    TB       2133 N         TC    1467 N


Tramo CD:
                    T        4000 6133 3600 4467
                    TC       3000 N         TD   3000 N



                                B                                            C             D
         A

                     a=2m                                 L=6m                   b=2m




                            -8000

                                                                               -6000
    M

  ( Nm )
                                                          -

                                                                 E

                                       xE


                            2133                                     3000                  3000

                                                                                    +
                                        +
     T
                                                                      -
                        -
  (N)
                                                                            -1467

         -4000                      -4000



El diagrama de momentos flectores pasa por un mínimo relativo en el punto E, donde la tangente es
horizontal, o sea:
          M
                T 0 :    4000 6133 600 x E 2 0                 x E 5,35 m
           x
                      ME = -4208 Nm
22                                                                    Resistencia de materiales. Problemas resueltos




Problema 1.5

En la viga en voladizo de la figura, calcular las reacciones en el empotramiento y dibujar los
diagramas de esfuerzos cortantes y de momentos flectores en toda la viga.




                                    4 KN
                                                   5 KN/m




                                  0,5m
                                     1m           2m             1m




Resolución:

a) Reacciones en el empotramiento.
Comenzaremos por buscar el sistema de fuerzas que ejerce el empotramiento, dibujamos el diagrama
de sólido libre y obligamos al equilibrio. Sumando fuerzas y tomando momentos obtenemos:




                  4 KN   5 KN/m                                    4 KN
                                                                                           10 KN



     ME                                                ME


                0.5m                                             0.5m
                   1m       2m                                             2m
           FE                                               FE



FE        14 KN
                                     Reacciones que ejerce el empotramiento sobre la viga.
ME         4 0,5 10 2    22 KN m
1 Diagramas de esfuerzos                                                                    23




b) Diagramas

                               4 KN                   5 KN/m




                           E     D           C                      B               A


                           0,5    0,5                   2m              1m


                                                                                x




                                     -

                                                                                        M




                                                                                        T
                                                 +




Tramo AB:           M=0                      T=0

Tramo BC:
                                             2
                                 x 1
                    M      5                         KN m      MB           0
                                  2
                                                               MC           0

                                         2
                    T      5 x 1                 KN            TB       0
                                                               TC           10 KN
24                                                                 Resistencia de materiales. Problemas resueltos




Tramo CD:

                M     10 x    2   KN m           MC     10 KN m
                                                MD     15 KN m


               T     10 KN                     TC     10 KN
                                                TD    10 KN


Tramo DE:

                M     10 x    2   4 x 3,5     KN m            MD       15 KN m
                                                              ME      22 KN m


               T     10 4     14 KN                           TD     14 KN
                                                              TE    14 KN


Estos diagramas se han obtenido tomando el origen de las x en el extremo A, de la derecha, porque en
este caso, es más cómodo. Si se determinan los diagramas tomando el origen de las x en el extremo de
la izquierda E, tal como se hace habitualmente, el diagrama de momentos flectores, M, sale idéntico;
pero el diagrama de esfuerzos cortantes sale opuesto (igual, pero de signo cambiado).
2 Esfuerzo normal   25




2 Esfuerzo normal
26                                                                  Resistencia de materiales. Problemas resueltos




Problema 2.1

Tenemos una barra rígida que está suspendida por dos cables de igual diámetro         4 mm , y cuyos
módulos de elasticidad son: E1=2.1·105 MPa y E2=0.7·105 MPa. La longitud de la barra es de 600 mm
y la de los cables 300 mm. Se considera despreciable el peso propio de la barra. Dicha barra está
sometida a una carga puntual P=500 N.
Calcular la posición x de la fuerza para que los puntos A y B tengan el mismo descenso.




                                                                      E2           300 mm
           4 mm                                      4 mm
                       E1
                   A                                                  B
                            x         P=500 N


                                          600 mm


Resolución:

Dibujamos el diagrama de sólido libre y obligamos el equilibrio. Además imponemos la igualdad de
deformaciones.



                                RA                                            RB




                       LA                                                          LB

                        A                                                   B
                                           P=500 N



                                     FV    0       RA   RB     P
                                     MB    0       RA L      P( L   x) 0
2 Esfuerzo normal                                                              27




  LA      LB


Ley de Hooke :

RA LA        RB LB                 R B E1     R B 210000
                             RA                                    RA   3R B
 S E1        S E2                     E2         70000


                                  500
3R B    RB     500         RB         125 N        RA      375 N
                                   4

De la ecuación de los momentos obtenemos x:

RA L      P( L      x) 0

375 600 500(600            x) 0       x 150 mm
28                                                                         Resistencia de materiales. Problemas resueltos




Problema 2.2

En la barra esquematizada en la figura adjunta los extremos A y D están empotrados. Determinar las
tensiones en ambas secciones, cuyas superficies son: Aa=40 cm2 y Ab=80 cm2 .
Hallar también el diagrama de esfuerzos axiles.

Datos: E=2·105 MPa.



                                                      A
            1m                                                         Aa=40 cm2
                                                      B

            3m
                                                                       Ab=80 cm2
                                                      C
            1m
                                        15 T
                                                                 D




Resolución:

                                                     FV      0


                                      RA+ RD = 15 T = 150000 N

Ecuación de deformación

El tramo AC está comprimido, por tanto RA es un esfuerzo de compresión, y el tramo CD está
traccionado, por lo que RD es un esfuerzo de tracción.

Al estar los dos extremos , A y D, empotrados la variación total de longitud es 0; y el acortamiento del
tramo superior es igual al alargamiento del tramo inferior:

                                          L AB        L BC           LCD

                                                     F L
Aplicando la ley de Hooke:                     L
                                                     A E

                                    R A L AB       R A L BC          R D LCD
                                     E Aa           E Ab              E Ab
2 Esfuerzo normal                                                                                                      29




                                    RA
                                                          R A 1000               R A 3000               R D 1000
                                           A           2 10   5
                                                                   40 10   2
                                                                               2 10   5
                                                                                          80 10   2
                                                                                                      2 10 5 80 10 2
      1m

                                                   B                R A 2000    R A 3000          R D 1000


      3m
                                                                  Resolviendo las ecuaciones, tenemos

                                                                        RA     25000 N       2.5 T
                                                   C
      1m
                                    15 T
                                                                        RB     125000 N 12.5 T
                                                   D
                                    RD

Cálculo de las tensiones.

                                                     25000 N
                        Tramo AB:        AB                            6.25 MPa (COMP.)
                                                   40 10 2 mm 2

                                                     25000 N
                        Tramo BC:     BC                              3.125 MPa (COMP.)
                                                   80 10 2 mm 2

                                                    125000 N
                        Tramo CD:     CD                              15.625 MPa (TRAC.)
                                                   80 10 2 mm 2

Diagrama de esfuerzos normales:


                2.5 T       A



                            B
                        -



                            C
                                                           12.5 T

                                               +

                        D
30                                                                               Resistencia de materiales. Problemas resueltos




Problema 2.3

a) Las dos barras de la figura articuladas en sus extremos, de acero, de 2 cm de diámetro y de 3.5 m
   de longitud, soportan un peso P=5 KN. Calcular el descenso del punto C, siendo =20º.
   Datos: E=2,1·105 MPa.
b) Resolver para =0º.



                      A                                                                      B

                                               L                     L
                                                        C




                                              C’
                                                   C1
                                                    P

Resolución:

a) Para =20º:


      N         N            P                     Del equilibrio del punto C se obtiene
                                  P

      N         N                                                            P
                                                             N sen
                                                                             2
           Equilibrio del punto C                                       P
                                                             N
                                                                     2 sen

Sea    (CC1) el descenso del punto C, entonces el alargamiento de la barra AC, L, será C’C1
                                                                          L
pudiendo considerarse el triángulo CC’C1 rectángulo en C’. Aquí es           . Como por otra
                                                                       sen
           NL
parte: L       , se tiene que:
           EA

                      NL             PL                    5000 3500
                                                                                                    1,13 mm
                    EA sen       2 EA sen 2        2 2.1 10 3,14 10 2 0.34202 2
                                                                 5



b) Para =0º:


                     A                 L            C                    L                  B




                                                        C1

                                                        P
2 Esfuerzo normal                                                                                                   31




De acuerdo con la estática de los sistemas rígidos, descomponiendo la fuerza P en las direcciones de
las barras, se encontrarían, para los esfuerzos en las barras y para las reacciones, valores infinitamente
grandes. La solución evidentemente es inaceptable, ya que ni las barras ni los apoyos resistirían.

A fin de hacer desaparecer la aparente imposibilidad basta con considerar los alargamientos de las
barras que toman direcciones no alineadas. Esto demuestra la necesidad de tener en cuenta las
deformaciones en este caso.

Poniendo


     tg             (para ángulos pequeños)
L

el alargamiento de las barras vale

                                                                              2                               2
                          AC1 AC        L2           2
                                                         L                                        2
                                                                 1                1       1           1
                            AC                   L                        L                                   2

Esta última igualdad proviene de la expresión:

                                            12           1       1 2           1 3         5 4
                             1 a     1 a             1     a       a             a            a
                                                         2       8            16          128

                                                                                                              a
Para a<<1 , pueden despreciarse las potencias de a y, por tanto, queda 1 a                                1     .
                                                                                                              2

El esfuerzo normal en una de las barras es:

                                                                                      2
                                                                          E A
                                        N            A E             A
                                                                            2

Por otra parte, del equilibrio del punto C se deduce

                                                                                              2
                                              P                       P               E A              P
                          N sen     N                        N
                                              2                      2                  2             2

Resulta


                                                             3
                                                                     P
                                                                 E A

                                                                           P
                                                         L       L   3
                                                                          E A
32                                                                 Resistencia de materiales. Problemas resueltos




Aplicando los datos numéricos del problema:

                                                    5000
                                3500      3                        148 mm
                                              2.1 10 5 3,14 10 2

                                              148
                                                     0,04229 rad 2,42º
                                     L        3500

                                          P       5000
                                 N                            59116 N
                                         2      2 0,04229

                                          N     59116
                                                      188 N/mm 2
                                          A      314
2 Esfuerzo normal                                                                                33




Problema 2.4

Hallar las reacciones del sistema y las tensiones en las barras articuladas AB y CB de la estructura
representada en la figura, suponiendo infinitamente rígida la barra horizontal DE, articulada en D.
Barra AB: sección 40 cm2
Barra CB: sección 80 cm2
Se considera el mismo módulo de elasticidad, para todas las barras.



                         A


            2m                                                       40 T

                         D                    B                      E



            2m


                                  2m                   4m
                    C




Resolución:
Se trata de un sistema hiperestático.
RBA y RBC siguen la dirección de la barra.


                                                                            40 T
                                              RBA
                    HD        D
                                                                            E

                               VD             RBC




Ecuaciones de la estática:
                                     2          2
    FV    0          VD       R BA     R BC         40 0
                                   2           2
                                    2          2
    FH     0        HD        R BC     R BA        0
                                   2          2
    MB      0       VD       2 40 4 V D        80 T
34                                                                  Resistencia de materiales. Problemas resueltos




          A



                                                                                      acort.          B
                                                                                      LBC
                                                                                               45º
                                                                                    B’’
                D                 B              E                                            ~45º
                        B’’                                                           LAB
                                                                                    alarg.
                                  B’                                                                  B’


          C


                A                                      L AB   BB            LCB      BB

                                                     Al ser deformaciones y ángulos pequeños:

                                                     BB       BB

                                                       L AB        L BC
                D

                                                     Alargamiento barra AB= Acortamiento barra BC

                                                     Aplicamos la ley de Hooke:

                                                      R BA 2 2            R BC 2 2
                                                                                             2 R BA    R BC
                 C                                       E 40                E 80

                                                     De la ecuación Fv = 0 tenemos:

                                                                    2                2
                                                      80 R BA              2 R BA         40     0
                                                                   2                2
con lo que,

R BA          56.73 T     R BC    113.47 T

De la otra ecuación despejamos: HD= - 40 T (sentido contrario al supuesto)
Cálculo de las tensiones:

              56730        Kp
     AB              1418
                40        cm 2
              113470        Kp
     AB               1418
                80         cm 2
3 Esfuerzo de cizalladura pural   35




3 Esfuerzo de cizalladura pura
36                                                                            Resistencia de materiales. Problemas resueltos




Problema 3.1

a) Determinar el diámetro mínimo con el que se puede perforar una chapa de acero A-42b ( e=260
N/mm2) de 5 mm de espesor suponiendo que el punzón tiene una tensión admisible a compresión,
                2
 adm= 500 N/mm .
b) ¿ Qué fuerza máxima se ejercerá ?
c) ¿ Qué adm debería tener el punzón para realizar un punzonado de   5 mm ?
Nota: Suponer que el extremo del punzón es plano y horizontal.


                                                                             Punzón
                                                                                     2
                                                                       adm = 500 N/mm



                                                                                  Chapa de acero
                                                                                e = 260 N/mm2




Resolución:

a)
  punzon                       d2
Fmax           adm    A   500      392,7 d 2
                               4
 chapa
Fmax       e    S     0.65 260   d 5 2654.6d

  punzon    chapa
Fmax       Fmax            392,7 d 2     2654.6d         d min    6,76 mm

                                            d2
b)             Fmax       adm    A 500             17945 N
                                            4
                            52
c)               punzon
                                  0.65 260         5 5                   676 N
                 adm
                            4
                                                                 adm
                                                                                 mm 2

                                             adm




                                                                       5 mm


                                              e
3 Esfuerzo de cizalladura pural                                                                          37




Problema 3.2

Dimensionar la cadena de una bicicleta con un coeficiente de seguridad       s   y suponiendo todo el peso
del ciclista sobre uno de los pedales.




                                      P

                                                            P = 800 N
                                                            R = 200 mm
                                      R                        Plato D=200 mm
                     D                                      Chapa eslabones: e=360 Mpa
                                                            Pasadores: e=260 Mpa

                     b
                                  a




                              e?
                                                       e?




                                          d?
                                                            cilindros “centradores”



Resolución:

                                               D   P
                              F                                  P R     800 N 200 mm
                 F
                                                             F                                1600 N
                                                                  D          100 mm
                                                                    2




                                               R
38                                                                                         Resistencia de materiales. Problemas resueltos




                                                                    Dimensionado de la garganta ‘a’ de la chapa a
                                                                    tracción pura:
     F/2
                                                     F/2               F                                F
                                                                        2                                    2      800
                                                                                    adm       a e                          3,3 mm 2
                                                                      a e                                   adm     240

                                                     F/2
     F/2                                                                           360 MPa
                                                                            adm             240 MPa
                                                                                      1 .5
                                                                           p.ej : a = 4mm e =1 mm


Dimensionado del pasador a cizalladura:

                    F                   d2              d2
           800                adm              138                            d min       2.7 mm
                    2                  4               4
                                             260
              adm       0.8     adm    0.8       138 N/mm 2
                                             1.5

Dimensionado del pasador a aplastamiento:

                    F         '
           800                adm     d e 347 d 1                          d min     2,3 mm
                    2
                              260
                        2             347 N
              adm
                              1.5              mm 2

           d min    máx 2,7 ; 2,3                          d min     2,7 mm

Dimensionado de la chapa en la zona del orificio del pasador


           a tracción:

                                F
                    800                b d e          adm          b 2,7 1 240                       bmin         6,0 mm
                                2

           a desgarro:

                                             t1   2d        5 .4            bmin      10.8 mm

                                        bmin      max 6,0 ; 10,8                   bmin   10,8 mm


El dimensionado final queda así:
3 Esfuerzo de cizalladura pural                                          39




                                             e 1 mm
                                             d 2,7 mm
                                             a 4 mm
                                             b 10,8 mm


                                  b=10,8 mm
                                          a= 4 mm




                                                                e=1 mm




                                                    d= 2,7 mm
40                                                                  Resistencia de materiales. Problemas resueltos




Problema 3.3

Dimensionar la unión esquematizada en la figura suponiendo que las chapas son de acero A-37b y las
uniones son roblonadas.



                                                e2                       t1’
          e1            t1            t1
                                                                                                   e3


                                                                                                   e3

                                 d1                            d2



                        t1            t1                                 t1’




                                                          N?

     b
                                                     d2
                       d1




Datos:

e1 = 5 mm      e2=e3

Chapas:                          Roblones:                      Tomar:         se=1,5


Acero A37b                        Acero A37b
           2                                 2
 e=240 N/mm                        e=240 N/mm




Resolución:

a) Unión 1
                                                     t1
                            e1
                                                                       F/2              e2
                   F
                                                                       F/2
                                                                                        e2

                                           d1
3 Esfuerzo de cizalladura pural                                                                                             41




Cizalladura:

                             2                            2                      2
      F                 d1                           d1              240    d1
T            adm
                                             e
                                                               0.8                    100,55 d 12       201.1 d1 2   Fmax
      2                 4                   seg      4               1.5    4

Aplastamiento:

            Fmax         Fmax                Fmax
d 1 e1                                                    d1 5         2000 d 1       Fmax
                                               240
             adm                 adm       2.5
                                               1.5

De las condiciones cizalladura y aplastamiento simultáneas obtenemos:

d1,optimo = 9.95 mm                    10 mm = d1 Fmax = 20000 N

                          ( fallará por aplastamiento de la chapa )

- Desgarramiento

t1   2d 1          t1     20 mm

Cálculo de la sección neta
                                                                       t1=2d=20 mm




                         Fmax
                                                                                        10 mm       b
                        20000 N




260/1.5 = 160 N/mm2

 Fmax            N                             20000 N
          160                          b                  10 mm = 35 mm
 Aneta          mm 2                             N
                                           160       5 mm
                                               mm 2

Dimensionado de e2: las dos chapas e2 son del mismo material que la chapa e1 , tiene las mismas
dimensiones y trabajan de la misma manera, por tanto:

                                                                            e1
                                                  2 e2        e1       e2            2,5 mm
                                                                            2
42                                                                                Resistencia de materiales. Problemas resueltos




b) Unión 2


                                           e2                                     t1’    e3
                                                                                              F/4
                                     F/2
                                                                                                          F/2
                                                                             e1

                                     F/2                            e2
                                                                                              F/4
                                                                                         e3




                                F                                                                   F
                                                                   N?
                                                    d2




                                                                                                                          e1
Atención: es un problema hiperestático. Aquí se presenta la solución concreta para el caso e2                                  2 ,y
con la hipótesis de roblón rígido; por lo que puede suponerse que la fuerza total se distribuye entre las
tres chapas de la derecha de la manera indicada en la figura: F/4, F/2 y F/4.

Cizalladura:

      F                               2                                    2
       4        F                    d2         20000              240    d2             49.74       2
T                         adm                                  0.8                                  d2
      N        4N                   4            4N                1.5   4                 N

Aplastamiento:

F
  2        F                               20000               240                  10
                    adm    d 2 e2                        2.5       d 2 2.5                 d2
 N        2N                                2N                 1.5                  N

De las condiciones de cizalladura y aplastamiento obtenemos

d2    4.97 mm             d2    5 mm       N    2

con lo que vemos que fallara antes por aplastamiento.

Desgarramiento:

t1    2d 10 mm

Tracción:

Seguro que cumple ya que b es igual y F es menor.
3 Esfuerzo de cizalladura pural                                                                      43




Problema 3.4

Hallar el coeficiente de seguridad seg de las piezas rectangulares de trabado para los perfiles de
estantería metálica representados en la figura.




                    s   ?




                                                                  Acero A-42b
                                                                              Kp
                                          20 mm                    e   2600
                                                                              cm 2


                                  10 mm
                                                        p = 100
                                                        N/cm




      h = 20 cm




                                                     L = 50 cm
44                                                                         Resistencia de materiales. Problemas resueltos




Resolución:

                                     p
                                                                   2Fh

     h                                                                      2Fv              h

                           L                                      2Fh
                                                                            2Fv



                                                pL2
                          FH             M          (momento a transmitir en la sección
                                                 2
                                                     de empotramiento)
                     FV
                                                                            M p L2            100 50 2
                                         2 FH h        M           FH
                                                                            2h     4h           4 20
            T                                                      FH       3125 N

                          FV             4 Fv       p L 100 50 5000 N                         Fv    1250 N


                                         T      FH 2       FV 2         3125 2    1250 2     3666 N
                FH
     FT
        (suponiendo una distribución constante de          en la sección)
     S

                                             3366
                                                   16,8 N/cm 2
                                             20 10

                                         e    0,6      e     0.6 260
                                 S                                          9,28
                                      máx        máx           16,8
4 Características de secciones   45




4 Características de secciones
46                                                                                          Resistencia de materiales. Problemas resueltos




Problema 4.1

Determinar las inercias resultantes Iz e Iy si partimos de cuatro perfiles L 45x45x5, para unas cotas b y
h genéricas.

                                               b
                                                   y




                     z                                                z
                                                                            h




                                                       y

Resolución:

De las tablas:                                                                          Iz’ = Iy’= 7,84 cm4
                                                   y’
                                                                                        A = 4,3 cm2
                           z’                                        z’
                                                                                        c = 1,28 cm
                            c
                                           c
                                                       y’

                                2
                         h
        Iz    I z'   A     c            (momento de inercia de una L, respecto al eje z)
                         2


                                                               c
                                                                      h/2

                                    z                                               z



                                2
                       b
        Iy    I y'   A   c              (momento de inercia de una L, respecto al eje y)
                       2
                                                                                y


                                                           c

                                                               b/2
                                                                                y
4 Características de secciones                                                                47




                                       2
                                 h
Iz    4I z    4I z'    4 A         c       59,54 4,30 h 2 5,12 h (momento de inercia de las
                                 2
                                                                       cuatro L)




                                       2
                                 b
Iy     4I y    4I y'   4 A         c       ( momento de inercia de las cuatro L)
                                 2




                                                Iz   4,30h 2   22h 59,54

                                                Iy   4,30b 2   22b 59,54
48                                                                        Resistencia de materiales. Problemas resueltos




Problema 4.2

 Dado un perfil “doble T”, determinar la magnitud a de la figura para que la inercia de la viga
aligerada resultante sea 4 veces la inercia inicial.

                                                                           y’

                         y

                             e

               z
                                   h                      z’
                                                                                          2a        h’

      IZ
      A




                                         a ?




                    IZ

                                                                   I Z’ = 4 I Z

Resolución:



                                                                         a/2
                                                                                               a
           z             z                                     a/2




                                                                     3
               IZ                IZ/2          IZ    1         a
                                                       e                          IZ’/2
                                                2   12         2

                                               A    a                              A'     A        a
               A                 A/2                  e                                              e
                                               2    2                              2      2        2
4 Características de secciones                                                                                                    49




                                           3                                     2
                   IZ        1        a              A          a          a                   IZ      1   a3   A 2    a3
          IZ'                  e                                  e                   2                  e        a       e   2
                    2       12        2              2          2          2                    2     12   8    8      8
                                                 13   a3                  A 2                  a2   13
                                      IZ            e                       a         IZ          A    e a
                                                 12   4                   4                    4    12

                                                                               a2   13
                                                         IZ '     IZ              A    e a
                                                                               4    12

                                                                                     a2   13
Ha de ser :                                      IZ'       4I Z           IZ            A    e a
                                                                                     4    12

                                                 13                       A 2
                                                    e a3                    a 3I Z              0         a
                                                 48                       4


                                                 e

si suponemos que (e·a)                                                         es << A (área total del perfil IPE) :
                                                                  a




                                                                A a2                                   a2
                                          IZ '       IZ                                        3I Z       A
                                                                 4                                     4


                                                                     IZ                   IZ
                                                     a          12             2 3              2 3 iZ
                                                                     A                    A

                                 IZ
                     ( iZ             radio de giro de la sección respecto al eje z)
                                 A
50                                                                     Resistencia de materiales. Problemas resueltos




   Problema 4.3

   Determinar las siguientes características de la sección monosimétrica de la figura respecto del eje
   principal z:

   a) A , Iz , Wz,sup , Wz,inf , iz .
   b) El momento resistente elástico, Mel. z , para un acero   e=235   N/mm2.

                            y

                            400
                                                 30
# 400·30




                                                                                                           ysup
                # 800·10



   z                        G
                                                                                                                           Mel.z



                                                 800




                                10
           yG                                                                                              yinf




# 250·20
                            250                  20
                                                                                         e=   235 N/mm2

   Resolución:

   a) El área de la sección total será la suma de las áreas de las pletinas:

                            A        Ai   400 30 800 10 250 20 25000 mm 2

   Por simetría el centro de gravedad, G, está situado sobre el eje y (z = 0).
4 Características de secciones                                                                                           51




Para determinar la posición y del centro de gravedad de la sección, G, es cómodo calcular el momento
estático de cada elemento respecto de la fibra inferior. Así:

                                                                A yG          Ai y i

                                   Ai y i         400 30 835            800 10 420            250 20 10
                   yG                                                                                         537 mm
                                   A                                      25000

Se utiliza el teorema de Steiner para calcular el momento de inercia de la sección total respecto del eje
y-y:

                                                        1                              2
                                       Iz                 bi hi3   Ai    yi     yG
                                                       12

                                                  1                                               2
                                       Iz           400 30 3       400 30 835 537
                                                 12

                                                  1                                           2
                                                    10 800 3       800 10 420 537
                                                 12

                                                  1                                           2
                                                    250 20 3       250 20 10 537                      299154 10 4 mm 4
                                                 12


El módulo resistente respecto de la fibra superior, ysup:

                                                         Iz     299154 10 4
                                            W z ,sup                                 9558 10 3 mm 3
                                                        y sup    850 537

El módulo resistente respecto de la fibra inferior, yinf:

                                                         Iz     299154 10 4
                                            W z ,inf                              5571 10 3 mm 3
                                                        y inf      537

El radio de giro de la sección respecto del eje z, iz:

                                                           Iz      299154 10 4
                                                  iz                                       346 mm
                                                           A          25000

b) El momento resistente, Mel.z, se obtiene a partir de la tensión de límite elástico del material y del
módulo resistente mínimo de la sección:

                        M el . z       e    W z ,min    235 5571 10 3         1309 10 6 N mm 1309 kN m
5 Dimensionado de secciones o flexión   53




5 Dimensionado de secciones o flexión
54                                                                                   Resistencia de materiales. Problemas resueltos




Problema 5.1

Dimensionar la viga esquematizada suponiendo que disponemos de perfiles IPE 240 como máximo y
chapa de 10 mm de grosor.


                                      C        P
                  A                                                B                           P = 9500 Kp
                                                                                               L=6m
                              =                          =
                                                                                               Acero A 42b
                                          L
                                                                                               se   = 1,5

                  E       D               C




                                                                                     E                 D                     C
Resolución:

          Acero A 42 b                             2600 Kp                               2600
                                                                 cm 2                         1733 Kp 2
                                          e
                                                                              adm
                                                   1,5                                    1,5        cm
                                          se


             L2
           L1
                                  C
             E        D
      A



             x


                          +                                                              P x
                                          Momentos flectores                M ( x)             4750 x
                                                                                          2

                                                                                     P L
                                                                            MC           1425 103 Kp cm
                                                                                      4

Tramo A-E :

                 I    3890 cm 4
IPE 240                           3
                                               M max         W     adm   561 103 Kp cm
                W     324 cm
                                               561 · 103 = 4750·x            x = 118,2 cm           L1=115 cm
5 Dimensionado de secciones o flexión                                                                                   55




    Tramo E-D:          es necesario reforzar

                                                    1                       1
                                             I        b e3 b e d 2            12 13 12 12.52 1 1875            1876 cm 4
          b=120 mm                                 12                      12
                              e =10

d                                                                                                   7642
                                                        I2       3890   2(1876) 7642 cm 4      W2         588 cm 3
                                                                                                     13
                                                                                    M adm   588 1733 1019 10 3 kp cm

                                                        1019 · 103 = 4750·x          x = 214,6 cm

                                                                                       L1 = 210 cm

    Tramo D-C:

                               e                                  1
                               e                        I           b e3 b e d 2 1 12 13,52        2188 cm 4
                                                                 12
    d
                                                                                                   12018
                                                        I3       I2   2(2188) 12018 cm 4      W3         858 cm 3
                                                                                                    14
                                                                                    M adm   858 1733 1487 10 3 kp cm

                                                        1019 · 103 = 4750·x            x = 313 cm > 300 cm


                                                                                     no es necesario reforzar más
                                   300 cm
                          210 cm
                                                             P
                    115




                                                                                              M (m·Kp)
                              5460                  +
                                                             14250                                   Solicitación
                    5610                    9970
                                                                                                     Capacidad resistente
                               10180

                                                     14872
                      9500/2 = 4750 Kp
                                    +                                                         T (Kp)

                                                                             -

                                                                          4250 Kp
56                                                                Resistencia de materiales. Problemas resueltos




Problema 5.2

Dimensionar un segmento de pistón de radio R para que pueda ejercer sobre la pared del cilindro una
presión uniforme de 0,19 N/mm2 , sin que las tensiones superen el valor de max= 261,5 N/mm2 ( e =
340 N/mm2 , se = 1,3) (Fundición de grafito nodular).




                                                           Nota: Usar la simplificación de simetría,
                             R
                                                                             h
                                                           suponiendo que         es suficientemente
                                                                             R
                                                           pequeño.

                                                           R = 40 mm



                                               h
                                                       b




Resolución:
                                                                                               voladizo
Por razones de simetría consideramos:                                      R




Diagrama de momentos flectores :

Momento producido por dp en el punto genérico C                                               C          p

                                                                                                                   R·d
                                          2
dM c   b p R d       R sen    c    p b R sen       c        d
                                                                                               C                   dp

              (dp = p · R · d )
                                                                       B                O                    A


Momento total para el punto genérico C:
5 Dimensionado de secciones o flexión                                                                   57




             c
                 p b R 2 sen                    p b R 2 cos                     p b R 2 1 cos
                                                                            c
Mc                                 c       d                      c     0                       c
         0



Por tanto, si el momento flector para cualquier punto del segmento es :


Mc      p b R 2 1 cos          c
                                                                                                    M

tendremos el máximo:           c   = 180



Mmax = 2 · p ·b · R2
                                                          Mmax        = 180                 ==180
                                                                                               0




          M h         2 p b R2 h           12 p R 2
                                                                 261,5 N
  max
          I 2           1                     h2
                                                          adm
                                                                            mm 2
                          b h3 2
                       12

                   h 0,093R                3,7 mm     h               No depende de b
58                                                               Resistencia de materiales. Problemas resueltos




Problema 5.3

Un estudiante ha decidido instalar un estante para colocar sus libros y apuntes. Los ha colocado uno
junto al otro y ha medido la longitud total de estante que necesita y la anchura que debe tener. Al ir a
comprar el estante ve que para estas dimensiones puede escoger varios espesores distintos. No sabe
cuál escoger. Entonces recurre a un amigo suyo que está haciendo 3er curso de Ingeniería Industrial y
le expone el problema:
He decidido instalar un estante para libros, según el croquis de la figura:




                                                                                                          h
                                                                                         b

                  a                                               a




                  100 cm        a 15 cm           b 20 cm        p libros y apuntes   0,6 Kg/cm


En la tienda me han informado de que la madera de los estantes tiene las siguientes características
mecánicas:


                                 adm   4 N/mm 2        E 10 000 N/mm 2


La cuestión es:

     a) ¿De qué espesor h mínimo debo colocar el estante?
     b) Los dos apoyos los he colocado, simétricamente, a una distancia a = 15 cm del extremo por
        razones puramente estéticas. Pero, atendiendo a razones de comportamiento resistente, ¿cuál
        sería la distancia óptima de los apoyos a los extremos, que podría minimizar el espesor h del
        estante?
     c) Finalmente, me preocupa saber cuál será la flecha que tendrá el estante, una vez cargado, en su
        punto central (con la distancia a inicial).
5 Dimensionado de secciones o flexión                                                                                                                         59




Resolución:

a) Determinación de h mínima.

                                                         p




    A                           B                                      C                         D                                               h
                                                                                                                       b

               a                                                                        a




              x                                                                                                                              p
                                                                                                                      RB       RC
                                                                                                                                             2



                        -                                                       -                        Tramo AB:
  M
                                                     +                                                                             x2
                                                                                                                  M            p
                                                                                                                                   2
                                                                                                                                                         a2
                                                                                                                  MA           0 MB                  p
                                                                                                                                                         2
                            +
                                                                                    +
   T                                                                                                              T        p x
                   -                                                       -
                                                                                                                  TA       0            TB           p a




                                                     vE
    Tramo BC:

                       x2                                             a2                                 a2
        M          p            p       x   a                MB   p            p        a   a        p
                       2            2                                 2           2                      2
                                                                                 a2
                                                             MC   MB           p
                                                                                 2
                                                                       2            2                         2
                                                                                                 a                             a
                                            xE               ME   p            p            p            p             p
                                                 2                     8            4           2            8             2
60                                                                                                        Resistencia de materiales. Problemas resueltos




        T     p x        p                                       TB        p a        p
                             2                                                             2
                                                                 TC          p         a          p            p a             p
                                                                                                      2                            2

     Tramo CD:

                 x2                                                                   x2
        M      p             p        x   a        p       x           a         p                p       x     a          x               a
                 2               2                     2                              2               2
                                                                                                                       2
                 x2                                                                                             a                                          a2
        M      p             p       2x                                              MC               p                            p       2       a   p
                 2               2                                                                             2                       2                   2
                                                                                                           2
                                                                                     MD               p             p          2               0
                                                                                                          2             2

        T     p x        p                                                           TC           p            a p                     p a
                                                                                     TD           p             p  0

     Con = 100 cm, a = 15 cm y p = 0,6 Kg/cm, tenemos los siguientes resultados:

                                                   MB          MC          112,5 p                67,5 cmKg

                                                               ME     500 p 300 cmKg

                             M máx            ME                                                                                ME             b h2
                   máx                                     adm       40,77 Kg/cm 2                         W z , mín
                                 Wz           Wz                                                                               40.77             6

                                                                      ME 6
                                                       hmín                                       hmín         1,49 cm
                                          b 20                       40,77 20

b) Determinación de la distancia a óptima.

     Óptimo resistente:

                                                                     M máx           M máx




                                                                          MB         ME




                                                                     a2          2
                                                                                              a
                                                                 p           p            p
                                                                     2           8                2
5 Dimensionado de secciones o flexión                                                                                                                               61




                                            2
                     a2        a                    0
                                        4



                                                2            2
                     a
                           2            2                4


                                        2       2
                                                                           2                         0,207                      La segunda solución no
                     a                                                                      a                                   interesa, porque cae fuera
                           2                4                    2        2                            1,207
                                                                                                                                del intervalo analizado

    Así pues, la distancia ‘a’ óptima es:                                      a óptima     20,7 cm

    Y se tiene, un momento máximo:                                             M máx       128,7 cmKg

c) Cálculo de la flecha en el punto central, por el método de la fuerza unitaria.



                                                                     F=1

     A               B                                                                           C             D             Tramo BE:

                                                         E
                                                                                                                                            1
                                                                                                                                    M             x   a
                                                                                                                                            2

                                                                                                                             Tramo EC:
             a                                                                                            a

                                                                                                                                             1
                                                                                                                                    M             x   a    1    x
                                                                                                                                             2                      a
         x

                                                                                                                        M’
                                                             +




                 W        M                             1        a            x2                1                  x2                        1
                             M          dx                                p      0 dx                 2        p            p       x   a      x      a    dx   2
                 F        EI                            EI       o            a                 EI   a             2            2            2


                            2                       x3                                     a             a 2            a       x           a2
                                    2           p                p        x2      p          x       p     x       p                    p             dx
                          2 EI     a                2                 2                   2              2                  2                 2
62                                                      Resistencia de materiales. Problemas resueltos




            P     x4        x3      a x2    a x3    a       x2    a2       x   2

            EI    8        6         4       6          4              2       a


            0,6
                ( 781,25 2083 937,5 312,5 937,5 562,5 6,328
            EI

                                                      0,6 24724
     56,25 84,375 8,437 84,375 168,75) 10 3                                0,265 cm
                                                    100 000 5,513

                             bh 3   20 1,49 3
                       I                        5,513 cm 4
                             12        12
5 Dimensionado de secciones o flexión                                                                             63




Problema 5.4

Sea una viga de sección transversal en doble T, formada por 3 platabandas soldadas de dimensiones
las de la figura. Hallar el paso l de los cordones de soldadura a tramos de unión entre el alma y las
alas, si la garganta de soldadura es a= 5mm y la longitud de cada tramo de cordón es de ls = 10 cm. El
esfuerzo cortante máximo que soporta la viga es Ty= 40000 kg. La tensión cortante admisible en la
soldadura es adms = 1000 kg/cm2.



                              y

      12 mm
                                  6 mm

        600                   G                  x                  s           s                         x
  z                                      z




                        220




Resolución:

Esfuerzo cortante por unidad de longitud en la superficie de contacto entre alma y platabanda


                                                       T mZ 1
                                                            A
                                                 f                      mzA1 : momento estático del ala
                                                         IZ

            A
           mZ 1       22 1,2 30,6 807,84 cm 3
                         1                                       1
           IZ     2        22 1,2 3      22 1,2 30,6 2             0,6 60 3     49 446,14 10 800 60 246,14 cm 4
                        12                                      12


                                                     40 000 807,84
                                             f                          536,35 kg/cm
                                                      60 246,14 6
64                                                       Resistencia de materiales. Problemas resueltos




Esfuerzo cortante admitido por el cordón de soldadura,

Fadms       2   adms    s   a


Igualando esfuerzos

Fadms       f


                        T m zA1
2    adms       s   a
                          Iz


2 1000 10 0,5 536,35

     2 1000 10 0.5
                   18,64 cm 19 cm
         536,35
5 Dimensionado de secciones o flexión                                                                           65




Problema 5.5

Se ha construido una viga roblonando cuatro angulares 120*120*12 en los extremos de una
platabanda de 400*20 mm. Hallar el diámetro mínimo de los roblones si la viga está biapoyada en sus
extremos, tiene una longitud de 6 m, y soporta una carga puntual centrada P. Datos: separación entre
roblones e= 120 mm; tensión normal admisible de la platabanda y los angulares: admisible=173 Mpa;
tensión cortante admisible de los roblones adm roblón= 42 MPa.

                                     y

                 120                     120                        e                e



  60




                                     20          400
        z




Resolución:
                                 P
                                                                             M
                                                                   adm          y máx
                                                                             Iz
                                                                           3
                                                                             P 10 3
P                                                      P                   2
    2                                                      2   173                  200
                                                                             Iz
                           6m
                                                               Iz        I z ,alma   I z , angular
                                                                    1                                           2
                                                                      2 40 3 4 368 27,5 20 3,4
                                                           M       12
                             +                                     10666,7 4 7945,9 42450,3 cm 4
                                                               Iz        42450,3 10 3 mm 4
                                         P
                                 3
                                         2
                                                                         173 42450,3 10 3 2
P                                                              P                                     244796 N
    2             +                                                          200 3 10 3
                                                           T
                                             -
                                                       P
                                                           2
66                                                               Resistencia de materiales. Problemas resueltos




Esfuerzo cortante a transmitir por los roblones por unidad de longitud


        T mZ   122 398 913 10 3
 f                                  263,25 N/mm
         IZ      42450,3 10 4
        P
    T     122 398 N
        2
 mz      2 27,5 16,6 913 cm 3     913 10 3 mm 3

Esfuerzo cortante que ha de ser soportado por cada roblon

F       f e 263,25 120 31590 N
            d2
Fadm     2      42 31590 N
             4
        31590 4
d                21,9 mm
        2    42



Diámetro mínimo de los roblones : d = 21,9 mm
5 Dimensionado de secciones o flexión                                                                         67




Problema 5.6

Una viga armada tiene una sección compuesta por un alma rectangular de 800 12 mm, y cada ala
compuesta por una platabanda de 190 10 mm y 2 perfiles angulares 90 8 mm. Calcular el diámetro
mínimo de los roblones, sabiendo que el paso de remachado de los angulares con el alma es e1= 18
cm y el de la platabanda y angulares es e2= 40 cm. Esfuerzo cortante máximo que ha de soportar la
viga: T = 40 kN. Tensión de cortadura admisible en los roblones adm = 42 MPa.

                                                                                                    e2=40
                                190
                                                                  10



        d2

                 d1                                    800
                                                       (total)                         e1=18
                                           12


           z
                             ( simétrico )                                                ( simétrico )


Resolución:


IZ     I Z ( alma )   I Z ( angulares )    I Z ( platabandas )
        1                                                          2         1                            2
IZ        1,2 80 3           4 104 13,9 40 2,5                          2      19 13   19 1 40 0,5
       12                                                                   12
   51200 4 19650,8 2 31166,3 192135,9 cm 4

Esfuerzo cortante a transmitir por los roblones alma-angulares, por unidad de longitud

                                                                 T mZ 1
                                                                      A
                                                           f1
                                                                   IZ

(A1 = área angulares + área platabanda)


                                m Z 1 19 1 (40 0,5)
                                  A
                                                                       2 13,9 ( 40 2,5) 1812 cm 3
                                          40000 1812
                                 f1                              377,2 N/cm 37,72 N/mm
                                           192135,9
68                                                                            Resistencia de materiales. Problemas resueltos




Esfuerzo a transmitir por cada roblon:

                                                  d1 2
                               f 1 e1    2                     adm
                                                  4
                                              3,1416 d 1 2
                               377,2 180 2                 42
                                                   4
                                      4 37,72 180
                               d12                  102,9
                                      2 3,1416 42
                               d1    10,15 mm

Esfuerzo cortante a transmitir por los roblones angulares-ala, por unidad de longitud:

                                              T mZ 2
                                                   A
                                        f2
                                                IZ

(A2 = área ala)

                       mZ 2
                        A
                               19 1 (40 0.5) 769,5 cm 3
                              40000 769,5
                        f2                160,2 N/cm 16,02 N/mm
                               192135,9

Esfuerzo que debe transmitir cada roblón:

                                                  2
                              f 2 e2         d2
                                                         adm
                                 2           4
                                                                     2
                              16,02 400 3,1416 d 2
                                                                         42
                                  2          4
                              d 2 9,86 mm
5 Dimensionado de secciones o flexión                                                                             69




Problema 5.7 *

Se construye una viga cajón compuesta de dos tipos de madera:
                       - ALMA: tablero contrachapado e = 25 mm E2 = 8000 N/mm2
                       - ALAS : sección cuadrada 200 · 200 mm E1 = 10000 N/mm2


                                                                               p =10 KN/ m
            =
            =

                                           500
            25                                                                   10 m



                                           500        a) Calcular la distribución de tensiones en la sección central.
                                                      b) Calcular la tensión tangencial media en el adhesivo de
                                                         contacto ( adm = 1 N/mm2 ).
                                                      c) Calcular la flecha central
                  200 · 200

Resolución:

a) Se trata de una sección compuesta de dos materiales.
   Se decide homogeneizar la sección de madera maciza y, por tanto, trabajar con un espesor
   equivalente, e*, del tablero contrachapado. Así, la relación de equivalencia:

                       E1          10000
                 n                       1,25
                       E2           8000


     El espesor equivalente

                           e       25 mm
                 e*                           20 mm
                           n        1,25

     La posición del baricentro de la sección es inmediata por razón de simetría. El momento de
     inercia de la sección homogénea es:

                                    1                                           1
                      IZ       2      200 200 3       2 200 200 500 2      2      20 1000 3   236 10 8 mm 4
                                   12                                          12
                                                 Steiner

                                                                   1000
                                                                                e* = 20
                                   200 ·200
70                                                                              Resistencia de materiales. Problemas resueltos




                                                              x                     x1                          x2
                                                                        3,2
                                                                                                          2,1

                                                                              2,1
       e* =20                        e*   400

                  G

                                          500                                                2,1
                                                                                                                        2,1

                                                                                                   3,2




Tensión en la madera maciza:
                                                                                             M

                          MZ                                                                             1 2
            x1 ( y )         y                                                              Mmáx =         pL   125 KN m
                          IZ                                                                             8

                                                                                              T
Tensiones reales en el tablero:
                                                                                                         1
                                                                                             Tmáx =        pL 50 KN
                                    MZ          1                                                        2
                       x2 ( y)         y
                                    IZ          n


Así:
                                                      125 1000 1000 N mm
                                 x1 ( y   600 mm)                        600 mm 3,2 N/mm 2
                                                          236 10 8 mm 4

                                                      125 1000 1000 N mm
                                 x1 ( y   400 mm)                        400 mm             2,1 N/mm 2
                                                          236 10 8 mm 4


En el tablero contrachapado n = 1,25


                                                      1 125 10 6 N mm
                       x2 ( y      500 mm)                             500 mm 2,1 N/mm 2
                                                    1,25 236 10 8 mm 4
5 Dimensionado de secciones o flexión                                                                      71




b) Tensión media en el adhesivo



                           y                       100 mm


                       A                                         Fórmula de Collignon:
                                         med
                                                                                    A
                                                                                Ty mZ
                                                                          med
               d                                                                 IZ b
        z

                               G

                                                                 Ty: esfuerzo cortante en la sección
                   x                                             IZ: momento de inercia total respecto Z
                                                                 mZA: momento estático de la sección A
                                                                      respecto al eje Z
                                                                 b: linea AB



                               50000 N 200 200 mm 2 500 mm
                       med                                         0,2 N/mm 2
                                   236 10 8 mm 4    2 100 mm

Este valor es inferior a la tensión tangencial admisible en el adhesivo = 1 N/mm2

c)


                              5 P L4         5     10 10000
                   f                                             5,5 mm
                             384 E I Z      384 10000 236 10 8


                                       L       10000
Valor aceptable, ya que                              10 mm
                                     1000      1000
72                                                                                      Resistencia de materiales. Problemas resueltos




Problema 5.8 *

La figura representa una sección armada doblemente simétrica. Calcular Mel.z , Mpl.z y el coeficiente
para los dos casos.

                                        y
                                                                        a) Material alas: Fe E 235
                                                                           Material alma: Fe E 235
            == 300 · 25

                                                                        b) Material alas: Fe E 35
                                            == 800 · 12
                                                                           Material alma: Fe E 235

                 z                          G                           (Puede comprobarse que la sección se plastifica
                                                                        con la ausencia de abolladuras elásticas o
                                                                        elastoplásticas. No se consideran inestabilidades
             == 300 · 25                                                globales : pandeo, vuelco lateral)

Resolución:

a) Mismo acero.
                       y
                                                      e   = 235                           e   = 235                        A1 ·   e



                                                                                                                           A2 ·   e

                                                                                                                                              d2
                                                                                                                                         d1
                                   Eje neutro                                                                           Eje neutro
       z               G           elástico                                                                             plástico
                           G                                                  Mel.z
     12,5                                                                                                     Mpl.z


            25                                                    e   = 235                       e   = 235


Al tratarse de una sección doblemente simétrica el eje neutro plástico pasa por el baricentro G.

Caso elástico:

       1                             1
IZ       800 3 12              2       300 25 3           300 25 12,5 2        306484 10 4 mm 4
      12                            12
        IZ           306484 10 4 mm 4
WZ                                               7210 10 3 mm 3           ( = Wel.z )
       y max             12,5 mm
5 Dimensionado de secciones o flexión                                                                                              73




                                                                   N
M el . z   Wel . z      e       7210 10 3 mm 3 235                         1694 KN m
                                                                  mm 2

Caso plástico:

                                                                                                             400
M pl . z     2 A1           e   d1       A2       e   d2      2     300 25 235 12,5            400 12 235              1905 KN m
                                                                                                              2


Coeficiente :

       M pl . z       1905
                           1,12
       M el . z       1694


b) Diferente acero.

Caso elástico

Tiene las mismas constantes mecánicas IZ, WZ, pero la tensión en la fibra extrema
          425
  max 235     250 355
          400
M el . z    Wel . z      max     7210 10 3 250 1802 KN m


Caso plástico

                                          N                               N
M pl . z     2        A1 d 1 355              2
                                                      A2 d 2 235                   2648 KN m
                                         mm                              mm 2

Coeficiente :

       M pl . z       2648
                           1,47
       M el . z       1802


                         max                                       e   = 355                      A1 ·   e




                                                      e   = 235                                   A2 ·   e
 425                                                                                                              d2
                  400                                                                                        d1
                                                                                                Eje neutro
                                                                                                plástico
                                                      Mel.z
                                                                                       Mpl.z


                                     e   = 235                             e   = 235
6 Flexión desviada y flexión compuesta   75




6 Flexión desviada y flexión compuesta
76                                                                    Resistencia de materiales. Problemas resueltos




Problema 6.1 *

Hallar el punto de la sección con mayor tensión normal, y el valor de esta tensión.


                      q
                                                                      q = 2000 kg/ml




                                                                             4m

              30


                                            y’



                                                                1,5




              18
                            z’




                          1,5



                                      7,5    1,5

Resolución:

a) Determinación del momento flector máximo




               ql 2       2000 4 2
      M max                          4000 m kg
                8            8

       ( en la sección central x = 2 m )
6 Flexión desviada y flexión compuesta                                                                          77




                                                                q
                                                       30
                                             y’

                                                                            M es perpendicular a q y forma 30
                                                                           con el eje z’. Los ejes y’-z’ no son los
                                                                           ejes principales de inercia. Vamos a
                      M= 4000 m kg                                         determinarlos.

                                30

                    z’




b) Determinación de los momentos de inercia principales Iy’, Iz’

  Primero hallaremos el tensor de inercia en ejes y’-z’ (no principales) y a continuación lo
diagonalizaremos, para hallar los momentos de inercia principales y sus direcciones (ejes principales)

                                                                                             y’

                                                                                                        1
           1
 I 3z'       1,5 18 3      729 cm 4
          12                                                                     z’
           1                                                                                      3
 I 3 y'      18 1,5 3      5,06 cm       4
          12
                                                                2
                   1                                      1,5
 I 1z '   I 2z'      9 1,5 1,5 3             7,5 1,5    9           767,8 cm 4
                  12                                       2
                                                                                        2
78                                                                                              Resistencia de materiales. Problemas resueltos




                                                                         2
                               1                         1,5     7,5
I1y'            I 2 y'           1,5 7,5 3    7,5 1,5                         280,54 cm 4
                              12                          2       2
I z'        729            2 767,8 2264,6 cm 4
I y'        5,06              2 280,54 566,14 cm 4


I3y’z’=0 por tener eje de simetría.

                                                                         7,5
I1y'z '           I 2 y'z '        0 7,5 1,5 9 0,75            0,75                   417,65 cm 4
                                                                          2
I y 'z '           417,65 2              835,3 cm 4


Tensor de inercia


     I z'                I y'z'    2264,6     853,3
                                                               ( cm4 )
       I y'z'            I y'      853,3      566.14



Los momentos principales de inercia son los valores propios.


 2264,6                           835,3                                                             2
                                              0          2264,6              566,14         835,3       0
        835,3                   566,14

                                                           2
2264,6 566,14 2264,6                           566,14            835,32        0
  2
            2830,74                584 354,55 0


                                                                       2830,74        2382,36
            2830,74               2830,74 2       4 584 354,55                                  2606,55 cm 4
                                                                              2
                                          2                            2830,74 2382,36
                                                                                                224,19 cm 4
                                                                               2


        Momentos de inercia                       I z 2606,55 cm 4
        principales                                I y 224,19 cm 4
6 Flexión desviada y flexión compuesta                                                                                             79




Los vectores propios serán las direcciones principales.
El vector propio correspondiente al valor propio 2606,55 cm4.


                                       2264,6 2606,55                  835,3                       n1
                                                                                                    z        0
                                              835,3                566,14 2606,55                  n1
                                                                                                    y        0


                                                      314,95 n1 835,3 n1
                                                              z        y               0
                                                     835,3   n1
                                                              z    2040,41    n1
                                                                               y       0
                                                             n1
                                                              y     341,95
                                                     tg                           0,409
                                                             n1
                                                              z     835,3
                                                           arctg 0,409 22,24

                                         y’
                                                               y



                   7,76                                                           My       4000 sen 30 22,24
         z                                                                                 4000 sen 7,76          540 m kg
                            M
                                                                                  Mz       4000 cos 30 22,24               3963,36 m kg
        30
                   22,24                        My
                                                                                           Mz           My
  z’                             Mz                                                x          y              z
                                                                                           Iz           Iy
                                                                                           3963,36 10 2           540 10 2
                                                                                   x                    y                  z
                                                                                             2606,55               224,19


                                                                                   x       152,05 y 240,86 z

Ecuación del eje neutro.

                            y’                   y
                                      22,24
                                                                         0         152,05 y 240,86 z
                                                          A(-8.25,9)
                                                                                   240,86
                                                                         y                z
                                                                                   152,05
  z
22,24                                                                    y 1,58 z

                                                                       Angulo que forma el eje neutro con
  z’                                                                   el eje principal z:


                                                     Eje neutro                        y
                                                                             tg             1,58                 57,67 º
                                                                                       z
      B(8.25,-9)
80                                                                              Resistencia de materiales. Problemas resueltos




Relación entre coordenadas de ambas referencias.

                                    z      cos            sen       z'
                                    y          sen        cos       y'
                                    z      cos 22,24            sen 22,24       z'
                                    y       sen 22,24           cos 22,24       y'


                                           z     0,9256 z ' 0,3784 y '
                                           y     0,3784 z ' 0,9256 y '

Las tensiones máximas aparecen en los puntos más alejados del eje neutro ( A y B )

Para A

                          z'A       8.25             zA      0,9256 ( 8.25) 0,3784 9            4,230
                          y'A 9                      yA       0,3784 ( 8.25) 0,9256 9 11,452

Tensión en A:



                              A     152,05 11,452             240,86 ( 4,230)        2760,11 kg/cm 2


Tensión en B:

                                                      z 'B 8,25
                                                      y 'B      9

                          z       0,9256 (8,25) 0,3784 ( 9) 4,230
                          y        0,3784 (8,25)          0,9256 ( 9)       11,452


                              B     152,05 ( 11,452)             240,86 4,230 2760,11 kg/cm 2
6 Flexión desviada y flexión compuesta                                                                                  81




    Problema 6.2

    Una columna tiene la sección en cruz indicada en la figura. La fuerza resultante es de compresión (50
    Tn) y pasa por el punto A. Hallar la tensión normal en B y dibujar el eje neutro.
                                                                x
                                                                                                              ( cm )
                                                         15          10
                                                                                       15

                                                                           B

                                        y                                                                10

                                                     50 Tn                                          15


                                                 A                                           10



                                                     z


    Resolución:
                                                                          Trasladando la fuerza al centro de gravedad G
                                                                          de la sección, los esfuerzos equivalentes son:
                                             B



                                                                                 N          50 Tn
                                    -50 Tn                                                                    15
                                                                                 My          50 Tn       10      cm    875 cm Tn
                                    G                                                                          2
y                                                                                                    10
                                                          My= -875 cm Tn         Mz         50 Tn       cm    250 cm Tn
                                                                                                      2

                       A

                                          Mz= 250 cm Tn
                                                                              -50 Tn
                                                                                                      B

                                                          y
                                      z                                                                         My=-875 cm Tn




                                                                 A


                                                                                 Mz= 250 cm Tn
                                                                          z
82                                                                                          Resistencia de materiales. Problemas resueltos




              N    Mz           My
     x                y               z
              A    Iz            Iy


                  50 000          250 000                  875 000
     x                                    y                        z
                    A               Iz                       Iy
A            10 35      2 15 15             800 cm 2

              1             3                      1
Iz              15 15 10 15                     2    10 10 3     81667 cm 4
             12                                   12
              1             3                      1
Iy              10 10 15 10                     2    15 15 3      44 167 cm 4
             12                                   12


                  50 000        250 000         875 000
         x                              y               z                  x     62,5 3,06 y 19,81z kg/cm 2
                  800            81667           44167

a) Tensión normal en B


                                            y       5 cm
         Coordenadas de B
                                            z       17,5 cm



         xB       62,5 3,06 ( 5) 19,81 ( 17,5)                  299,47 kp/cm 2

b) Eje neutro
                                                                                                   y
     0        62,5 3,06 y 19,81z
                                                                                                                     zona
                                                                               zona                                  traccionada
              19,81            62,5                                            comprimida
     y              z                           y    6,47 z 20,42
               3,06            3,06

                                          20,42
         para       y      0     z                    3,15
                                          6,47
                                                                  z
                                                                 z     0                                                       B
         para       z   0        y        20,42                  y         20,42


                                                                                                                           z       3,15
                                                                                                                           y    0


                                                                                      eje neutro
6 Flexión desviada y flexión compuesta                                                                          83




Problema 6.3

Sobre una columna de sección rectangular ( 35 40 cm), se aplican dos fuerzas excéntricas: 30 Tn en el
punto P(y = 3, z = 4 cm) y 50 Tn en el punto Q (y = 0, z = -5 cm). Dibujar el eje neutro y hallar el
punto de máxima tensión normal.



                                         30 Tn                 50 Tn
                                y


                                                       Q
                                           P
                                                           5
                                               3   4




                            z
               35
                                                                            40




Resolución:

Trasladando las dos fuerzas al centro de gravedad G de la sección obtenemos:

                                                                                     y
My         30 0,04 50 0,05                1,2 2.5 1,3 Tn m
                                                                                                     D
Mz      30 0,03 0,9 Tn m
                                                                       My= 1,3 Tn m
                                                                                                    80 Tn
 N      30 50          80 Tn                                                                                B
                                                                                 C
                                                                                                G



                                                                                            A
                                                                        z    Mz= 0,9 Tn m
84                                                                               Resistencia de materiales. Problemas resueltos




          N   Mz       My
     x           y           z
          A   Iz        Iy


          A 40 35 1400 cm 2

          1
Iz          40 35 3     142 916,7 cm 4                       80000        90000         130000
         12                                              x                         y             z (kg/cm 2 )
                                                             1400        142 916,7     186 666,7
          1
Iy          35 40 3     186 666,7 cm 4
         12



     x     57,14 0,630 y         0,696 z (kg/cm 2 )            x     5,71 0,0630 y        0,0696 z ( N/mm 2 )
                       ( y, z en cm)                                            ( y, z en mm)


Eje neutro:

0        57,14 0,630 y 0.696 z


         0,696      57,14
y              z                   y 1,1z 90,70
         0,630      0,630

y 0                z 82,46
z 0                y  90,70
                                                                y


                                                     C               D

                                          z


                        (0 ; 82,46)
                                                     A               B


                                              eje neutro



                                                               (-90,70 ; 0)
6 Flexión desviada y flexión compuesta                                          85




   A      57,14 0,630 ( 17,5) 0,696 20      32,19 kg/cm 2      3,219 N/mm 2


   B      57,14 0,630 ( 17,5) 0,696 ( 20)      60,04 kg/cm 2     6,004 N/mm 2


   C      57,14 0,630 17,5 0,696 20      54,24 kg/cm 2      5,424 N/mm 2


   D      57,14 0,630 17,5 0,696 ( 20)      82,08 kg/cm 2      8,208 N/mm 2
86                                                                  Resistencia de materiales. Problemas resueltos




Problema 6.4

Se ha proyectado una sencilla estructura para soportar el tablero y la canasta de una pista de
baloncesto. Se trata de un tubo de acero embebido en un bloque de hormigón a 45º de la horizontal
según se indica en la figura.
Se supone que el estado de carga más desfavorable es el que se produce cuando un jugador permanece
unos instantes sujeto al aro de la canasta, transmitiendo así todo su peso a la estructura en la forma
indicada en la figura.
Una vez estudiados los efectos dinámicos de esta acción, se estima que el esfuerzo máximo que el
jugador puede llegar a transmitir al aro es de F = 2000 N y M = 106 Nmm.
La estructura se quiere construir en tubo redondo de acero con espesor de pared de 4 mm.




        L=4000 mm
        L0=1000 mm                                                                                        P
        F=2000 N
        M=106 N·mm                                                                  M
        A1=0,5 A


        Tubo de acero.
        Espesor de pared:                       45º
        4mm
        E=2,1·105 MPa
        G=8·104 MPA                                                        F


                      x
             y




         z
                                         L1



                                           L                         L0




Calcular el diámetro necesario, según la tabla de perfiles normalizados, para que el descenso vertical
del punto P no exceda los 80 mm.

Notas importantes:
- Considerar todos los esfuerzos de sección para calcular el descenso de P.
- Trabajar con la carga trasladada al punto P, como se indica en la figura.
6 Flexión desviada y flexión compuesta                                                                           87




Resolución:
                                          x =0

                                                  F

                                 x = L0                                                               d   dx P
                                                      M



                                                                      d       2 dx


                                          x
x =L




Aplicamos el teorema de Castigliano al punto P en la dirección F:


                          M

                                                                                  -
                                                                                             M


                                              -



                                                                  M x         M       F x
                                                                  M
                                                                          x
                                                                  F




                             T                                                              T=F
                                                                                      -
                                                                                             T
                                                                                                  1
                                                                                             F


                                                      -


                                                              F
                                                          T
                                                              2
                                                          T   1
                                                          F       2
88                                                                                          Resistencia de materiales. Problemas resueltos




                                                                                               N=0
                        N

                                                                                               N
                                                                                                     0
                                                       -                                       F




                                                               F
                                                   N
                                                               2
                                                   N           1
                                                   F               2

                                       M M                     T T                N N
                                            d                       d                  d
                                       EI F                    GA F               EA F

                                                                                              F                             F
     L0    M      F x         L0    F         L    M        F x                        L      2 1                      L    2 1
                      x dx             dx                       x          2 dx                            2 dx                        2 dx
     0           EI           0      A        L0           EI                          L0     A 2                     L0   EA 2
                                   G                                                        G
                                     2                                                        2


               2         3                                 2                       3
          ML0         FL0    2 FL0      M L2       L0                  2 F L3 L0                  2F L     L0         F L       L0
          2 EI        3EI     GA                2 EI                      3EI                        2 GA                   2 EA

                                                   3,389 10 8             176,3
                                                       I                    A


Buscamos en las tablas de perfiles tubulares circulares:


                  Tubo                   A                                 I
               ( Dext x e)            ( cm2 )                            (cm4 )                      (mm)

                   135 x 4            16,46                              353,4                            96               ( >80 )
                   150 x 4            18,34                              489,2                           69,4              ( <80 )


Tomaremos pues un tubo Dext x e: 150 x 4 (mm).
7 Torsión y esfuerzos combinados   89




7 Torsión y esfuerzos combinados
90                                                                  Resistencia de materiales. Problemas resueltos




Problema 7.1

Una viga biempotrada está sometida a un momento torsor producido por una torsión uniformemente
repartida. Hallar el MT máx y el ángulo de torsión máximo.


               MA


                                             kg m/ml



                A                                                                                           h


                                                                                                  b
                                                            B                   MB
                                                                                                      ( b<h )




Resolución:

Por ser una viga simétrica   los momentos de empotramiento han de ser iguales.


                                       MA   MB
                                                  2




                                                 M T ( x)                  x,        en x              MT           0
                                                                2                             2                 2
                x



Diagrama de

momentos torsores:
                               2        +
                                                                                                  B

                                   A                                                     -

                                                                                                            2
7 Torsión y esfuerzos combinados                                                                                                           91




El ángulo de torsión máximo se tiene para la sección central, x                                      :
                                                                                                 2


                         2   M T ( x)              1                2                                        1                x2       2
                                          dx                                          x dx                                x
              2
                     0       GK 3 b 3 h        GK 3 b 3 h       0         2                              GK 3 b 3 h   2       2    0

                                                                                  2          2
                                                          1
                                                  2
                                                        GK 3 b 3 h            4          8
                                                                                 2
                                                                          1
                                                            2
                                                                        GK3b3h 8



                                                                                         E
G: módulo de rigidez a torsión del material del eje G
                                                                                      2 (1       )
                                                                                                                      h
K3 : coeficiente para secciones rectangulares, que depende de la relación                                               (ver tabla 5.87 del
                                                                                                                      b
capítulo 5. Torsión)
92                                                                                Resistencia de materiales. Problemas resueltos




Problema 7.2

Hallar los momentos en los empotramientos MA y MD. Dibujar el diagrama de momentos torsores.



                     MA
                                            MB=30000 N cm
                                                                              MC=20000 N cm


                                                                                                                 MD
                 A
                                                B
                                                                                  C

                          a=30 cm                                                                            D
                                                     b=50 cm
                                                                                          c=40 cm




Resolución:

Es un problema hiperestático.


                                M   T       0         M   A      M    B   M   C       M   D   0


                               MA       MD          30000        20000 50000 kg cm

Considerando por tramos:


     MA
                              -MA       B                         0
                                                            A
                                                                                  MA a            M A 30
      A                                                     BA        B   A
                                                                                  G Io            G I0
                          B
7 Torsión y esfuerzos combinados                                                                                        93




      MA-MB
                               -(MA-MB)
                                                                                  MA MB
                                                       CB       C       B                         50
                                                                                  G Io
          B
                               C




  -MD = MA-MB-MC

                                    MD
                                                                               M D 40
                                                       DC       D       C
          C                                                                     G I0
                               D                       D    0



                                         D      BA     CB       DC      0


                                   M A 30       M D 40          MA MB
                                                                      50              0
                                   G Io          G Io            G Io


                              M A 30         MA       30000 50          M D 40 0


                              M A 30 M A 50 1500000                         M D 40 0


                           80 M A        40 M D        1500000

            M A M D 50000                            40 M A         40 M D        2000000              3500000
                                                                                                 MA               29166,6 N cm
        80 M A 40 M D 1500000                        80 M A         40 M D        1500000                120

Diagrama de momentos torsores:

              29166,6
                                   +
                                                                                      MD        50000 29166,6 20833,4 N cm
                    A                           B                                                       D
                                                                             C
                                                                -
                                       -833,4                                               -
                                                                    -20833,4                           -20833,4

                                                                                 ( N cm )
94                                                                       Resistencia de materiales. Problemas resueltos




Problema 7.3

Calcular para cada una de las secciones abierta y cerrada de la figura adjunta, sometidas a un
momento torsor Mx = 1000 Nm :

a) el valor y la posición de la tensión tangencial máxima,         max   .
b) el momento de inercia a torsión, It .



                             y                                                              y




                        60
                  5
     200 mm

     z                                                        z
                             G                                                              G

                                 Mx                                                             Mx
          60                              60


         x
                                                                         x




Resolución:

Sección cerrada :
Am: área limitada por la curva media

a)
                          Mx                       1000 Nmm 10 3                              N           e
                  máx                                                                 5,77
                        2 Am e            1                                                  mm 2
                                      2     200 mm 200 mm cos 30             5 mm                                     max
                                          2

                                                                             2
                                                   1
                             2        2        4     200 200 cos 30
                        4 Am      4 Am             2
             c)   It                    e                                        5 mm 1000 10 4 mm 4
                           ds       s                   3 200
                         s
                           e
                                                       d)
Sección abierta:
7 Torsión y esfuerzos combinados                                                                 95




a)
                               Mx              1000 Nmm 10 3                     N
                  máx                 e                            5 mm   200
                              1     3         1                3                mm 2
                                bi ei     3      200 mm 5 mm
                              3               3                                        e


                                                                                           max
b)
                           1
                 It          bi ei3   2,5 10 4 mm 4
                           3
96                                                                      Resistencia de materiales. Problemas resueltos




Problema 7.4

Un panel está sujeto por un mástil horizontal, según el esquema de la figura. Teniendo en cuenta el
peso propio del panel, el peso propio del mástil y la acción del viento, hallar las tensiones máximas en
el empotramiento del mástil a la pared.
Datos: Peso propio del panel      P1= 90 kp
       Dimensiones                80 200 cm
       Diámetro del mástil        D =15 cm
       Empuje del viento          f = 80 kg/m2
                                                                            0,15 2
          (Peso propio del mástil de acero: P2 = 7850 kp/m 3 6 m                       832 kp )
                                                                            4
                               y




                                                D=15 cm
                                     x
               z



                                               P2


                                                F                              50
                                         520
                                                                                150

                                                          40
                                                                   40



Resolución:                                                    P1
                                                                                          y

          kg
F    80     0,8 2 128 kp
       m2                                                                                  My= 716,8 kp m
Sección en el empotramiento. Esfuerzos:
                                                                                              Tz =-128 kp
Nx    0
Ty    90 832         922 kp                          Mz= -3000 kp m
                                                                                                Mx= 64 kp m
Tz    128 kp
                                                               z

                                                                                                           x
                                                                               Ty= -922 kp
7 Torsión y esfuerzos combinados                                                                                   97




Mx      128 kp 0,5 m            64 kp m
My      128 kp (0,4 5,2) m              716,8 kp m
Mz         90 kp (5,2 0,4) m 832 3                  3000 kp m

Tensiones normales debidas a los momentos flectores:


                                    y
                   716,8 kp m
                                                             MF            3000 2    716.8 2    3084,4 kp m
                                                                                 716,8
                                                                        arctan         13,4
                                               3000 kp m                         3000
                   z




                                    y
                                           MF = 3084,4 kp m

                            B
                      z
                (+)                                                        MF D       3084,4 10 2 15
                                                                 xmax                                  930,9 kp/cm 2
                                                                           Iz 2            15 4    2
                                                                                          64



                          (-)



Tensiones tangenciales debidas al momento torsor:

                                     y

                                         max



                                                                                          15
                                                                                    6400
                   z                                                M x rmax                2
                                                           max                                  9,66 kp/cm 2
                           A                                           Io               15 4
                                                                                       32
98                                                                    Resistencia de materiales. Problemas resueltos




Tensiones tangenciales debidas a los esfuerzos cortantes:

                              y




         z                          -128
                                                T      T z2    T y2      128 2     922 2      930,8 kp
                                                         4T       4 930,8
                      A                          max                               7,0 kp/cm 2
                                                         3 A      3   15 2
                                     T
                                                                      4
                             -922
7 Torsión y esfuerzos combinados                                                                                         99




Problema 7.5

Hallar las tensiones máximas en el empotramiento A y el giro, alrededor del eje x, de la sección E. El
momento torsor de 8 Tn m está aplicado en la sección B.

                                                        A
                                                    y                B
                                                            1m             C
                                                                      1m             D
                                   M= 8 Tn m                                                  E
                                                                           1m
                                                                                     1m


                             z                                   x
                                                                                         x



                                        10 Tn
                           5 Tn




                                                                 2m
                                                F                                                  Tramo AC: = 40 cm
                                 4 Tn
                                                                                                   Tramo CE: = 10 cm
                                                                                                   Tramo DF: = 10 cm
                                                                                                   Material: acero
                                                                                                   G = 8,4 105 kgf/cm2


Resolución:

a) Tensiones máximas en el empotramiento A
                                                                               y
Sección A
                                                                                      My=22 Tn m
Nx       5 Tn
Ty      10 Tn                                                                                     Mz=30 Tn m

Tz      4 Tn                                                     Tz=4 Tn
                                                                                         Nx=5 Tn
Mx        8 10 2 12 Tn m                                                                      Mt=Mx=12 Tn m
My      4 3 5 2 22 Tn m                                           z
Mz        10 3       30 Tn m                                                                         x

                                                                                   Ty=10 Tn
100                                                                  Resistencia de materiales. Problemas resueltos




Tensión normal debida al esfuerzo axil:

                                 y




                                                            5000
              z                                     x                    3,97 kp/cm 2
                                                              40 2
                                                              4




Tensión normal debida a los momentos flectores:

                                 y
                            22        MF
                                              MF          22 2    30 2     37,20 Tn m
                                                             22
                                      30           arctan            36,25
                                                             30
              z




                                 y
                                     MF = 37,20 m Tn

                        P
                  z
            (+)                                                  M           3720000
                                                    x max          y max            4
                                                                                      20 592 kp/cm 2
                                                                 I               40
                                                                                64



                      (-)


                                                  Tensión normal máxima total:
                                                    max     592 3,97 596 kp/cm 2
7 Torsión y esfuerzos combinados                                                                                              101




Tensión tangencial debida a los esfuerzos cortantes:

                                   y

                                                                   T       42   10 2 10,77 Tn
                            Q
                                                                                 10
                                                                          arctan     68,2
      z                                    4                                      4

                                                                   Distribución parabólica de con una             max
                                                T

                                   10
                                                                            4T      4 10770
                                                                    max                           11,43 kp/cm 2
                                                                            3 A     3   40 2
                                                                                        4

Tensión tangencial debida al momento torsor
                                     y

                        B                max




            z
                    A



                            M x rmax           1200000 20
                  max                                          95,49 kp/cm 2
                               Io                   40 4
                                                   32



La tensión tangencial máxima total


                                               max   A   11,43 95,49 106,92 kp/cm 2


Aplicación del criterio de Von Mises en el punto P


                            max    N, M          596 kp/cm 2
                                                                                2       2
                                                                  equiv             3       618,5 kp/cm 2
                            M x ,T       95,49 kp/cm 2 (1)



    (1) En el punto P la tensión cortante debida al esfuerzo cortante T no es exactamente 0, pues es 0 en el punto Q, pero Q y P no
coinciden, ya que los ángulos y no son complementarios. Pero como están muy próximos, y por tanto debido a T será muy pequeño,
puede despreciarse frente a la debida a Mx.
102                                                                Resistencia de materiales. Problemas resueltos




b) Giro de la sección C (alrededor del eje x)

Dibujamos el diagrama de momentos torsores


                   20 mT                                20 mT

      12 mT                                                                 El giro alrededor del eje x en
                                                                            la sección E será el mismo
        A                                                                   que el de la sección D.
                       B               C          D                E
                  1m           1m            1m           1m




                               L   Mx      12 mT 1 m     20 mT 1 m     20 mT 1 m
                           x            dx
                               0   GI o      GI 40         GI 40         GI 10


                    1200000 100         2000000 100       2000000 100
              x                                                            0,244 rad 13,98
                             40 4                40 4              10 4
                   840000              840000            840000
                            32                  32                32
7 Torsión y esfuerzos combinados                                                                             103




Problema 7.6

Un árbol, de acero, debe de transmitir 120 CV a 600rpm desde la polea A a la B. La tensión cortante
admisible para el material del árbol es adm = 420 Kg/cm2 y la tensión normal admisible es adm=728
kp/cm2. Calcular el diámetro del árbol. Datos: F=2·F’ , Q=2·Q’ , rA=15 cm , rB=22 cm. (radios de las
poleas).

                        y

                                            50 cm


                                                            50 cm

                                   D                B
                                                                            40 cm
               z
                                                                      C                             F

                                                                                               rA
                                                    rB                                         rA
                                             rB                                                         F’
                                                                                    A

                                                            Q’
                                                                                               x
                                        Q

Resolución:


                                         P         1 CV 736 W                        120 736
           P       Mx              Mx                                         Mx               1405 Nm
                                                   1 rpm 2    rad s                      2
                                                           60                        600
                                                                                          60

                                              Mx     1405 Nm 14324 cmKg

                                        Mx= F·rA – F’·rA = (2F’ – F’)·rA = F’·rA

                                                                            14324
                               F 15 14324 cmKg                       F              955 Kg
                                                                              15

                                                    F      2F    1910 Kg


también                                                  Mx= Q·rB – Q’·rB

                                                                             14324
                            Q 22 14324 cmKg                           Q            1193,7 Kg
                                                                               12

                                                  Q 2 1193,7      2387,4 Kg
104                                                                              Resistencia de materiales. Problemas resueltos




Diagrama de momentos en el plano xy :

                                                         3Q’= 3581 Kg
                  y

                            x
                 D                                                                 C

                                                         B



               3581                                                                        3581
      RD                                                                            RC
                2                                                                           2
                                        50 cm                 50 cm




                                    x                                                     Mz



                                                     +
                                                                                 3582
                                                                        M z,B         50 89525 cmKg
                                                                                   2


Diagrama de momentos en el plano xz :

                                                                                                       3F      2865 Kg
                      x                         B                           C                                   A
           D

       z


                 RD       1146 Kg                                           RC       4011 Kg

                                            100 cm                                     40 cm

                                                                                                                            My
                                x




                                                                        +
               M x         1146 x                                                            Mc     114600 cmKg
               MB         1146 50 57300
7 Torsión y esfuerzos combinados                                                                                105




                                            RC          RD      2865 0
                                            R D 100 40 2865
                                                        40 2865
                                            RD                   1146 Kg
                                                          100
                                            RC           2865 1146    4011 Kg

Determinación del momento flector en B ( combinando Mz y My):

                                                         2                  2
                                   MB           89525            57300          106292,12 cmKg

El máximo está en C: M f            114600 cmKg

Diagrama de momentos torsores:



       y
                                        +14324 cmKg
                                           B                                                           A
                 x                                                                C
       D
                                                                                         -14324 cmKg




                                                                                                           Mx


                                                 M x,B        M x, A       14324 cmKg

Determinación del diámetro mínimo del eje.
Aplicando el criterio de Von Mises:

                                                  3            16
                                                d min                      4M 2
                                                                              f
                                                                                     2
                                                                                  3M x
                                                                     adm



                                          3             16
                                        d min                4 1146002            3 14324 2
                                                         728

                                                             d min     11.7 cm
106                                                                  Resistencia de materiales. Problemas resueltos




Problema 7.7

En la figura se ha esquematizado la pieza desmontable de un enganche tipo cuello de cisne para el
arrastre de caravanas de camping por parte de vehículos de turismo convencionales. La solicitación
sobre la bola corresponde a una hipótesis de carga de arrastre con fuerte pendiente.


a) Determinar para la sección circular   A   los esfuerzos de sección: normal, cortante, flector y torsor.

b) Dibujar para la misma sección A la distribución de tensiones normal y tangencial que provoca
   independientemente cada esfuerzo de sección. Indicar sobre el dibujo la posición de la tensiones
   máximas para cada una de dichas distribuciones y calcular numéricamente sus valores.

c) Como resumen del estudio, indicar la tensión normal máxima total y la tensión tangencial máxima
   total.



                                                                                                   Sección      A




                                                                                              G


                           75 Kp
                 50 Kp
                                                                 y                        40 mm
                                               z
                           O                                 A

        400 Kp



             150 mm




                 x

                                         250 mm
7 Torsión y esfuerzos combinados                                                                                   107




    Resolución:

    a) Esfuerzos de sección
                                   y


                                                                              N        400 Kp
                                                                              Ty           75 Kp
                                                                              Tz       50 Kp


z                   Tz                    Mz
                                                                              Mx           50 150 7500 mmKp
                               G                                              My            50 250         12500 mmKp
                                                                              Mz           400 150 75 250
x               N
                                                                                            78750 mmKp
        Mx
                                   Ty


                                   My



        Nota: El signo del valor numérico y el sentido del vector en el dibujo son redundantes.

    b) Determinación de las tensiones

              Esfuerzo normal N         400 Kp


                                                             Distribución uniforme de tensiones                   x:

                               G
                                                                                   N       400 Kp
                                                                    x , máx                         2
                                                                                                           0,32 Kp/mm 2
                                                                                   A          40
                                                                                               4
                                                    x


               Esfuerzo cortante T       Ty    Tz


                                                        T   Ty 2    Tz 2           75 2      50 2       90 Kp
                      Tz      G
                                                             Distribución parabólica de :
                              Ty
                  T                           máx                       4T             4    90
                                                              máx                                       0,1 Kp/mm 2
                                                                        3A             3    40 2
                                                                                             4
108                                                                               Resistencia de materiales. Problemas resueltos




               Momento torsor M x     7500 mmKp


                                    máx                   Distribución de tensión con una ley lineal radial:
              máx
                                                                               M x rmáx      7500 20
                                                                   máx                                       0,6 Kp/mm 2
                                                                                  I0            40 4
                                                                                                 32




               Momento flector M          My     Mz

                                                           2
                                                      M   My            M z2      12500 2      78750 2       79737 mmKp
                       x,máx


                                                          Distribución lineal de tensión                    x respecto   al eje de
                                                          giro:
                                           Mz
                                                                                                       40
                                                                                          79737
      x,máx                                                                M y máx                      2
                                                              x , máx                              4
                                                                                                            12,69 Kp/mm 2
                                           M
                                                                             I                  40
                               My
                                                                                                 64


c) La tensión normal máxima total vale:

                                      x , máx    0,32 12,69        13,01 Kp/mm 2

       La tensión tangencial máxima total vale:

                                           máx    0,6 0,1 0,7 Kp/mm 2
7 Torsión y esfuerzos combinados                                                                                       109




Problema 7.8

Un tubo de acero 200 mm y de bajo espesor, e, constituye el soporte para el arrollamiento
motorizado de una persiana según muestra la figura adjunta.
El peso propio de la persiana y el rozamiento de arrastre equivalen a una carga de q = 50 Kp/m, la
cual se aplica excéntricamente respecto de la directriz del tubo. La luz efectiva es L = 5 m, y se
supone simplemente apoyado en A y C.

    a) Representar gráficamente los diagramas de esfuerzos y calcular sus valores máximos.

    b) Determinar el espesor mínimo del tubo para que se cumplan los siguientes requisitos:

         - La tensión equivalente de von Mises en las secciones críticas                  A   y   B   sea inferior a
                           2
            adm=500 Kp/cm .
         - El corrimiento vertical B 1/1000 L.

NOTAS:

         - Resolución suponiendo el peso propio del tubo incluido en q.
         - Tubo de acero E = 2100000 Kp/cm2.
         - Valores aproximados para la sección tubular de bajo espesor:


                                                     3                 3
                                                e                 e
                                           I0            Iz                   A       e
                                                 4                 8




                                       e
                                                                                  B                      C

       200
                                                              A                       B                      C          Motor



                                   q
                                                                           q=50 Kp/m

                                                                             L= 5m
110                                                                      Resistencia de materiales. Problemas resueltos




 Resolución:

 a) Determinación de los diagramas de esfuerzos.


                           qy=50 Kp/m                                                                      y


                                                                         25 mKp            z


                        mx=50·0,1= 5 mKp/m
125 Kp                                                               125 Kp

                                                                                                                   qy=50 Kp/m

Mz
                                                                                                          /2 = 0,1 m
                                    +
                                                                                               1
                                                                            M z ,máx             q y L2
                                                                                               8
                                                                                1
                                                                                  50 5 2           156,25 mKp
           +                                                                    8
Ty
                                                                -
                                                                                                   L
                                                                           T y ,máx        qy        125 Kp
                                                                                                   2
                                                                           M x ,máx        25 mKp
                                                                +
Mx



 b) Características mecánicas de la sección.


                                              3         3                                  2
                                  e       m        e                      I0          e
                         I0                                         W0
                                      4             4                                  2
                                                                          2
                                                            3                                  2
                                              I0       e                   Iz          e
                         Iy    Iz                                   Wz
                                              2         8                               4
                                                                            2
                         A    2           e        e
                                      2
7 Torsión y esfuerzos combinados                                                                        111




c) Comprobación de tensiones en la sección central                      B.



                                                                                                  máx
                     Mz            156,25 mKp
                                                                    z                 z
                                       Mz
                         x , máx
                                       Wz
                                                                                                  máx




                    Ty       0



                     Mx            12,5 mKp                                                 máx

                                   Mx
                      máx
                                   W0

      Aplicando el criterio de falla de von Mises:


                         2                     2
          equiv          x , máx       3       máx      500 Kp/cm 2
                                           2


                         15625                       1250
          equiv                                 3             500 Kp/cm 2
                            20 2                       20 2
                          e                          e
                             4                          2
                  2474 11,8
      e                                0,1 cm                  e 1 mm
                    500

      Comprobación de tensiones en la sección extrema                        C


                    Mz         0
                                                                                 Ty

                    Ty        125 Kp                          máx                         máx

                      T
                                       Ty
                      máx          2
                                           A


                     Mx            25 mKp                                                  máx
                                   Mx
                      máx
                                   W0
112                                                                                Resistencia de materiales. Problemas resueltos




      Apliando el criterio de falla de von Mises:

                              T                   2
          equiv      0 3      máx           máx          500 Kp/cm 2
                                                         2


                         125 2                2500
          equiv      3                                       500 Kp/cm 2
                           e 20                  20 2
                                              e
                                                  2
                  47,5 47,5
      e                        0,02 cm                        e 0,2 mm
                     500

    Con el espesor anterior de e = 1 mm, las tensiones en la sección extrema                                      C   son de   equiv
100 Kp/cm2.


d) Comprobación del corrimiento vertical de la sección central                     B           L / 1000 = 5 mm.

                                    q


                                                                                                 5 q L4
                                        B                                              B                   5 mm
                                                                                                384 EI z
                                    L



                                                         5                     4
                                                            Kp/cm     500 cm
                                             5          100
                                    B                                                      3
                                                                                                 0,5 cm
                                            384                   2     e 20 cm
                                                  2100000 Kp/cm
                                                                          8

      Despejando el espesor de la ecuación e = 0,123 cm                    1,3 mm.

      En conclusión, para verificar los requisitos de resistencia y deformación el espesor e                              1,3 mm.
      Una solución comercial sería 200 x 1,5 mm.
7 Torsión y esfuerzos combinados                                                               113




Problema 7.9 *

Un perfil angular de alas iguales es utilizado como carril de rodadura.

a) Determinar las tensiones normales y tangenciales máximas en la sección del empotramiento.
b) Determinar el movimiento del perfil, calculando el corrimiento total del punto A.
c) Comentar el diseño y proponer mejoras.



                                 P = 500 N                  z       y



                                                                x

       y                                      L = 500 mm

z


                         A


                                   A’




                                        e=5


                                                                          Material: acero

                 100                                                       E = 210000 N/mm2
                                                                           G = 84000 N/mm2

                                                   G




                                        r
                                                                              A

                             C

                                                  b = 100
114                                                                                      Resistencia de materiales. Problemas resueltos




Resolución:


Por razones de simplicidad se trabaja con la curva media del perfil de espesor constante y acuerdo
recto. (*)




                                      70,7
          y
                                                                     - El eje de simetría proporciona las direcciones
                      =                                                principales centrales yy zz.
                                                                     - El baricentro G cumple la condición:
                              G                          70,7
                      =
                                                                                     0       y dA           0      z dA


                  C                                                  - El centro de cizalladura C ( ó de torsión )
                                  =               =      coincide
      z                                                                  con el punto de encuentro de los elementos.
                                                         35,35

                                                 35,35




                                                                                           C


- Los momentos de inercia y módulos resistentes.



                              ds

                          s
                                                                                                            2
                                                                                 2
                                                                                               b        2                 1 3
                                             y                      Iz       y       dA 2          s            e ds        b e
                                                                                               0       2                  3
              z                          G                                  Iz       1666666 mm 4
                                                                    Wz                                      23574 mm 3
                                                                           y máx       70,7 mm



(*) También, pueden obtenerse estas características de la tabla de perfiles del fabricante con mayor
precisión ( sin utilizar la simplificación inicial , v = 0 ).
7 Torsión y esfuerzos combinados                                                                                                115




                                    y

                       s
                                                                                              b            2
                  ds                                                    2                              2                1 3
                                                     Iy             z        dA 2             2   s             e ds      b e
                                    z                                                        0        2                12
                                                                 Iy           416666 mm 4
          z                         G                Wy                                                11786 mm 3
                                                                z máx          35,35 mm




                       bi

                                        ei

                                                            1                       3    2
                                                      It                    bi ei          b e3            8333 mm 4
                            C       G                       3                            3




a)

                                                      y                                                    Mz




                                                                                    G

                                             P
                                                           Mx

          C
                                z                    Tz
                                                                                        Ty
                                                                                                                My
                                                 z

                                                                P
116                                                                         Resistencia de materiales. Problemas resueltos




              2                                                                                         Ty , Tz
 Ty        P             353 N
             2
              2
 Tz        P             353 N
             2

 Mx        P b       50000 N mm                                                                         Mx



                        2
 M y máx             P    L 176777 N mm
                       2                                                                                My , Mz
                        2
 M z máx             P    L 176777 N mm
                       2
                                                                      L = 500 mm



      Tensiones normales         x   debidas a la flexión desviada My , Mz.


                                          +7,5 N/mm2
                 +15



                                                                           - Para My
                 y
                                                                                     My    176777 Nmm      N
                                                                           máx                       3
                                                                                                       15
-15                                      Mz
                                                                                     Wy     11786 mm      mm 2
                                                                  -7,5
                                     G
                                                                           - Para Mz

                                                                                     Mz   176777 Nmm                   N
                                              My                           máx                           3
                                                                                                                7,5
                                                                                     Wz    23574 mm                   mm 2



       z




      Tensiones tangenciales debidas a la torsión uniforme o de Saint Venant (ya que I                       0 en este tipo
      de secciones).


                                                        d x               d3     x
                                         Mx        GI t              EI         3
                                                         dx                dx
                                              TORSIÓN UNIFORME   TORSIÓN NO UNIFORME
7 Torsión y esfuerzos combinados                                                                                                     117




                               ¾       máx                                         máx




                                                                                                 máx   = 30 N/mm2


                                                                                   e




                                                                               ¾       máx   = 22,5 N/mm2
              Mx



                                               M x e máx      50000 N mm 5 mm                        N
                                    máx                                                        30
                                                  It              8333 mm 4                         mm 2
                                   3                3     N              N
                                        máx           30         22,5
                                   4                4    mm 2           mm 2


                               d x           Mx             50000 N mm                               5   rad
                                                                                        7,14 10
                                dx           GI t              N                                         mm
                                                        84000    2
                                                                   8333 mm 4
                                                              mm

     Tensiones tangenciales debidas al cortante Ty , Tz.

                                                                   Aplicamos superposición:                    TOTAL=     + ’

                                                                    Ty :
                               A1
                   y                                                       T y m zA1
                                                    y
                                                                                                 variable según y
                                                                              Iz e
                                                                    Para y       0,      máx .
  100
                                       G                                                                          2
                                                                                                         100        mm 3
                                                                               353 N 100 5                       2
                                                                                                                  2                   N
                        C                                               máx                                4
                                                                                                                              0,75
                                                                                        1666666 mm             5 mm                  mm 2
               0,75                                                                                                           3 P
                                                                    ó directamente se demuestra que                     máx
          z
                                                                                                                              4b e
                       0,75                  Ty
118                                                                            Resistencia de materiales. Problemas resueltos




                                                               Tz :
                                     A1
                                                                      A
                       y                                         Tz m y 1
      50
                                                                                        variable según z
                                                                      Iy e
                                     z                    Para z        0,      máx .

                                          G                                                          2
             0,75                                                                             50        mm 3
                                                                       353 N 50 5                   2
                                                                                                      2                     N
                             C                             máx                                 4
                                                                                                                   0,75
                                                                               416666 mm           5 mm                   mm 2
                                                                                                                   3 P
                                                          ó directamente se demuestra que                    máx
              Tz                                                                                                   4b e

              z                                   0,75


                                                               Se demuestra que



                                                                                       27 P
                                            TOTAL                            TOTAL max
                                                                                       20 b e
           1,35                                                                27 500 N        N
                                                                                         1,35
                                                                               20 100 5       mm 2

              0,75
                                 C
                                     0,75

                           500 N


Obsérvese que en el ala horizontal debe anularse la distribución de tensiones tangenciales, ya que solo
tenemos fuerza vertical de 500 N.

Composición de tensiones:

                   1
                                                         Punto             1


                                                                            N                  N
                                                           x          15                7,5            ( My Mz )
                                                                           mm 2               mm 2

                                                                                N
                                                                      22,5                            ( Mx )
                                              3                                mm 2

       2
7 Torsión y esfuerzos combinados                                                                                          119




Punto          2                                                       Punto            3

                N                                                                        N              N
     x    15                                       ( My )                    x    15             7,5          ( My Mz )
               mm 2                                                                     mm 2           mm 2

               N               N                                                         N
         30            0,75                        ( M x , Ty , Tz )             22,5                         ( Mx )
              mm 2            mm 2                                                      mm 2


De los puntos estudiados, el               1        es el más desafavorable.
Aplicando Von Mises


                                   2           2                                       N
                   equiv       x       3                22,5 2    3 22,5 2       45
                                                                                      mm 2

Ante la duda que exista un punto con una combinación más desfavorable y dada la complejidad del
problema, es posible tomar los valores máximos correspondientes a cada esfuerzo (aunque
físicamente no estén en el mismo punto). Así


                                   2           2                                                       N
                   equiv       x       3                (15 7,5) 2     3 (30 1,35) 2           58,8
                                                                                                      mm 2

Esta operativa está contemplada en diferentes normativas.

b)



                                                                             F
                      Mx                           d x
                                       x               L
                                                    dx
                       C
                                           x

                                                                                             F L3
                                                                                            3 E I



Se desprecian los corrimientos debidos al esfuerzo cortante Ty , Tz.
120                                                                        Resistencia de materiales. Problemas resueltos




                                     y




                                                           G

                                                                                  A
                                                   C      G1
                                                                                       y

                                                                             z



                             z            C1
                                                                                           ( x)


                                                                     A1




Corrimiento según el eje y debido a la flexión Mz:


                                                              2
                                               3        500     (500) 3
                                          F L                2
                                 y                                           0,04 mm
                                         3 E Iz        3 210000 1666 666


Corrimiento según el eje z debido a la flexión My:


                                                             2
                                                        500    (500) 3
                                          F L3              2
                                  y                                         0,17 mm
                                         3 E Iz        3 210000 416666




Amplificación del giro debido al torsor Mx:

                                           d x                      5
                         x       100           L 100 7,14 10            500 100 3,57 mm
                                            dx
7 Torsión y esfuerzos combinados                                                             121




d) Posibles modificaciones en el diseño.



     1   Cerrar los extremos de los voladizos.

La barra adicional trabaja a flexión y limita considerablemente el giro a torsión del extremo del
angular. Sin embargo, para otra posición del carro se reproduce el problema.
                                            0




                                   0




                                          barra adicional

     2   Cambiar la posición del angular.

     La carga vertical ( y horizontal ) se realiza en el centro de cizalladura.

                                                    P



                                                            C
                                                G




     3    Elegir otro perfil con mayor rigidez torsional (perfil cerrado).        G C



     4    Elegir un perfil de guiado simétrico




                                                    C
122                                                                     Resistencia de materiales. Problemas resueltos




Problema 7.10 *

a) Determinar las tensiones normales y tangenciales en el perfil HEA-500 sometido a torsión
   constante Mx = 20 KN · m y con coacción total al alabeo en el extremo empotrado.
b) Calcular el giro x en la sección A.


                                                                                                           y
                                                            A
              B

                                                                            x
                                                                                              z
                                                                  Mx = 20 KN·m

                                   L=5m



              E = 210000 N/mm2               e    = 355 N/mm2



Resolución:

Se trata de un problema de torsión no uniforme, ya que está impedido el alabeo en el empotramiento.
Ecuación diferencial de gobierno:
                                                                             23
                                            3
                              d            d
              Mx   G It             E Iw
                              dx           dx 3                                          12           490



                                                                                   300


donde :

Momento de inercia a torsión o constante de Saint Venant:

                        1             1
              It          bi ei3        2 300 23 3       467 12     270 10 4 mm 4
                        3             3

Módulo de alabeo o momento de inercia sectorial:


                         h2         1 3   h2         1          467 2
              Iw   If                 b e              300 3 23            5643 10 9 mm 6
                         2         12     2         12            2
7 Torsión y esfuerzos combinados                                                                                                    123




El reparto del momento torsor total Mx = Mt1 +Mt2 ( para L =                          ):

                                                  x
                                                                                                                 Mx = 20 KN·m
  Torsión uniforme    M t1              Mx 1 e
                                                                                               Mt1
  Torsión no uniforme M t 2             Mx e x

                                                                                               Mt2                      2,03
                                                                          x                                             ( 3,9 exacto )
                                                                                  x


                                               N
                                        80000        309,3 10 4 mm 4
                        G It                  mm 2
                                                                                               4           1
                                                                                  4,57 10          mm
                        E Iw                    N
                                        210000     2
                                                      5,64 1012 mm 4
                                               mm

El angulo girado por unidad de longitud es variable:
                                                                                                              d x
d x      Mx              x    M t1                                                                             dx
              1 e                                                                                                           x
 dx      G It                 G It

                                                                                                                                x

Para encontrar el ángulo de giro total en el extremo:

                 L   d x            L    Mx             x           Mx                 1       x                  Mx        1
           x             dx                     1 e           dx              L            e         1                L
                0     dx            0   G It                       G It                                          G It


                                                                                                       5000
                            20000 10 3 Nmm                                        1                4 , 57 10 4
                                                5000 mm                                 e                           1
                              N           4   4                               4,57 10 4
                      81000       309,3 10 mm
                            mm 2


                              x     0,4 0,17 rad 23           10     13   ( valor muy elevado )


     Tensiones tangenciales debidas a la torsión uniforme o de Saint Venant en el extremo del
     voladizo Mt1 Mx.
                       max          Alas:
                                                            M t1          20000 10 3 Nmm                                    N
                                                 Vmax            e max                     4       4
                                                                                                         23 mm 149
                                                            It            309,3 10 mm                                      mm 2
         Mt1                 Sección A
                                                Alma:
                                                            M t1          20000 10 3 Nmm                                   N
                                                 Vmax            e alma                    4       4
                                                                                                         12 mm 78
                              max                           It            309,3 10 mm                                     mm 2
124                                                                             Resistencia de materiales. Problemas resueltos




      En el empotramiento la torsión no uniforme provoca tensiones tangenciales                            w       y normales    w,

      donde Mt2 Mx :

                                                                                            20 KN m
                               max                              Mt2 = Vf · h      Vf                         42,8 KN
                                          Vf                                                 0,467 m


              Mt2                                           Por aplicación de Collignon en la sección rectangular
                              Sección B
 h = 467                                                    del ala :


                                          Vf                          3 Vf      3 42800 N                 N
                                                              w max                                9,3
                                                                      2 Af      2 300 23                 mm 2

                              max
                                                                                         N         3 Mx
                                                            (el valor exacto es 9,3                       )
                                                                                        mm 2       4 b
                                                                                                    e   h
                                                                                                      2


                               w
                                               Mf
                                                                      Obsérvese el autoequilibrio de los esfuerzos
                                                         Vf
                                                                      en las alas, Mf , Vf , respecto a la sección
              w
                                                                      global:


                          w                                                    M t2          20000 10 3 N mm
                                     Mf                               Mf                            4          1
                                                                                  h    4,57 10          mm          467 mm
                                                       Vf
                                                                                        6
                                                                               93,7 10 N mm 93,7 KN m
                     w                                                valor superior al momento torsor aplicado

La tensión normal en la sección rectangular del ala por aplicación de Navier:

                                          b                            300
                                Mf              93,6 10 6 Nmm              mm
                                          2                             2                    N
                          w                                                           272
                                     If              1                                      mm 2
                                                       23 mm (300 mm) 3
                                                    12

(el valor exacto por aplicación de las fórmulas del bimomento es                  w   = 261 N/mm2 )
7 Torsión y esfuerzos combinados                                                                                       125




     Aplicación del criterio de Von Mises

Sección A: punto contorno del ala


                                         2         2                         2                     N
                             equiv           3               0 3                      3 149 258                e
                                                                                                  mm 2

Sección B: punto extremo del ala (               w max   ,   w   = 0)



                                     2       2                           2                               N
                     equiv               3               w       3   w            272 2     3 0   272              e
                                                                                                        mm 2

Comentarios:

- La tensión equivalente es parecida en ambos casos.
- Si existe N, My, Mz , para secciones tipo    :

                                                                     N           My    Mz
                                                             max                              w
                                                                     A           Wy    Wz
126                                                               Resistencia de materiales. Problemas resueltos




Problema 7.11 *

Una viga IPE-300 está sometida a una carga vertical F = 30 KN con una excentricidad accidental de
50 mm.

a) Determinar, en la sección del empotramiento, la distribución de tensiones normales x debidas a
   la flexión y a la torsión no uniforme (bimomento). Calcular el valor máximo.
b) Determinar, en la sección del extremo del voladizo, la distribución de tensiones tangenciales
   debidas a la torsión no uniforme o de Saint Venant. Calcular el valor máximo.

Acero S 355
E = 210000 N/mm2
G = 80000 N/mm2
             2
 e = 355 N/mm



Notas:
- Se supone la viga arriostrada convenientemente para evitar el vuelco lateral.
- Puede utilizarse la tabla de la serie normalizada IPE para determinar las características mecánicas de
  la sección.




                                                 L=3m



                                                                 y




                                                                 G    C
                            IPE - 300


                                             z                                x

                                                                50 mm

                                                     F

                                                 30 KN
7 Torsión y esfuerzos combinados                                                                                        127




Resolución:

Diagramas de esfuerzos
                                                       90000 Nm ( máx )
                      1500 Nm
                                                                    -

                                                                                                       -
                                                                    x
                                                                                                                     30000 N



            Mx = F · 0,05 m                                Mz = - F · (L – x )                   Ty = - F
            Momento torsor                                Momento flector eje z            Esfuerzo cortante eje y



Características mecánicas sección IPE – 300.


                          y                                                                 A      53,81 cm 2
        tf = 10,7
                                                                                              Iy     603,8 cm 4
        z                                                                                     Iz     8356 cm 4
                                               300                                           Wel y     80,5 cm 3
                          tw = 7,1
                                                                                             Wel z     557,1 cm 3
                    150                                                                     IT     20,12 cm 4
                                                                                            Iw     125,9 10 3 cm 6


Análisis de la torsión mixta

Ecuación general de gobierno de la torsión mixta:


                                       d x                d3 x
                 Mx       G IT                  E Iw
                                        dx                dx 3
                              Uniforme M t 1    No uniforme M t 2




                                                                              1355 Nm
                                                                        Mt1
                  1500

                                                                        Mt2       145 Nm
                                                  x

                                                       L= 3m
128                                                                                          Resistencia de materiales. Problemas resueltos




                                                            x                                                  0 , 78 3
 Torsión uniforme :    M t1                   Mx 1 e             , para x L M t1 1500 1 e                                 1355 N m
 Torsión no uniforme : M t 2                  Mx e x             , para x L M t 2 145 N m


                                  N
                              80000     20,12 cm 4
       G It                      mm 2                                           3        1               1
                                                                       7,8 10       cm         0,78 m
       E Iw                      N
                         210000       125,9 10 3 cm 6
                                mm 2

a) Tensiones normales máximas: x = 0


                                          w                                         x
                                                       Mf



               w                                                                                    Mz


                                      w
                                              Mf



                              w




Debidas al bimomento Mf : ( If Iy / 2 )

        M t2              1500 N m
Mf                                1
                                                   6654 N m
           h          0,78 m          0,289 m


                  b
       Mf
                  2     6654 10 3 Nmm 75 mm                            N
  w                                                4
                                                                165
          If                      6038000 mm                          mm 2
                                       2

Debidas al momento flector Mz :


                      Mz          90000 10 3 N mm      N
  x max ( M z )                             3   3
                                                  162
                      Wel z        557,1 10 mm        mm 2
7 Torsión y esfuerzos combinados                                                                   129




Así, la tensión normal máxima:
                                                        N
  x max      w      x max ( M z )   165 162 327
                                                       mm 2

b) Tensiones tangenciales debidas a la torsión uniforme en la sección x = L:


                                    max

                                                         Alas superior e inferior:

                                    Mt1 = 1355 N·m                               M t1
                                                                           máx        e máx
                                                                                 It
                                    max   = 72 N/mm2
                                                                        1355 1000
                                                                  máx             10.7 72 N/mm 2
                                                                          201200
8 Corrimientos en piezas prismáticas   131




8 Corrimientos en piezas prismáticas
132                                                                       Resistencia de materiales. Problemas resueltos




Problema 8.1

En la viga quebrada de la figura, sometida a las cargas que se indican, determinar:

a) La distribución de tensiones en la sección mn.
b) El corrimiento vertical en B, vB.
   (Se prescindirá del posible efecto del pandeo)
                                                                                                     y

                                      3000 Kp

                             B
                                                                             C       z
                    m                                                                              G            h= 0.6 m

2m
                              n
       A
                                                                                             b= 0.3 m

                                                                                            Material :
                                                        4m                                   =2,1·104 Mpa
            1m               1m
                                                                                             =0,2
                                                                                            G=8750 MPa
Resolución:

a) Diagramas de esfuerzos
                    3000 Kp                 x’

                                  B                                        C

            x                                    1000   2                      N
       2m                                                    RC = 1000
                    A                                                                     Reacciones :

                                                                                          RA     2000 kp       2 P
  RA = 1000                                                                                                     3
                                                                                          RC     1000 kp       1 P
                                                                                                                3
                                                                                           P 3000 Kp
                                      1000 2
                                        B                                  C                                 RA= 2000

                                                                                 T
                                  -1000                              RC    1000
                                        B                                  C             1000 2                  1000 2
      1000 2            A

                                                 4000mKp                       M

                A

                            4000mKp
8 Corrimientos en piezas prismáticas                                                                              133




                                                    N                         T                     M
                    Tramo AB                      1000 2               1000 2             1000 2 x
                    Tramo BC                        0                   -1000           4000 1000 x


Esfuerzos en la sección mn:
                                                   N mn      1000 2 Kp
                                                  Tmn     1000 2 Kp
                                                  M mn      2000 mKp

Tensiones provocadas por cada esfuerzo, por separado:

                    Y                                                      max,C


        m

                                                                                                                max
                G                      M
    Z                   N
                            T



    n                                        N                         M                        T




                                                                                            3T     y2
                                                             M                     xy           1 4 2
                                                    x           y                           2 A    h
                N                                            I
            x
                A                                            2000 100                       3   1000 2     y2
                                                    x                  y           xy                  1 4 2
                 1000 2                                       540000                        2    1800     60
                                0,8 Kp
            x
                  1800                     cm 2                11,1 Kp 2
                                                     x   max
                                                                      cm                        1,2 Kp
                                                                                   xy max
                                                                                                         cm 2



                                                  A 1800 cm 2
                                                      5
                                                  A1    A 1500 cm 2
                                                      6
                                                  I z 540000 cm 4
                                                  Wz      18000 cm 3
134                                                                                               Resistencia de materiales. Problemas resueltos




Suma de tensiones normales           x   :



                      N   M
              x              y   0,8 0,37 y
                      A   I
              x máx       0,8 0.37   30 10,3 Kp/cm 2 (máxima ténsión de tracción)

              x mín       0,8 0,37 30                       11,9 Kp/cm 2 (máxima tensión de compresión)

b) Corrimiento vertical en B

                                              W                     N N                T T         M M
                          vB                                                                            dl
                                              P        TOTAL        EA P              GA1 P        EI P


                                              2                               2                2
                                                   P                            P                P x
                          200 2
                                             3                  2            3    2           3       2
                                                                                                        x dx
                          0                  EA             3                GA1 3              EI   3


                                           P                        4P     P '
                                                                              x
                          400
                                          3             1            3      3   4            x'
                                0                                                                  dx '
                          0              GA1           3                 EI     3            3



          200 2   2000        2000           2000 x 2                    400        1000    16000 8000 x ' 1000( x ' ) 2
                                                             dx                                                                   dx
          0       3EA         3GA1            3EI                        0          3GA1             3EI

                                                                                                                      200 2
                                                                                                  x3
                                                                                            2000
                           2000 x                         2000 x                                  3
                      3 2,1 10 5 1800                  3 87500 1500                    3 2,1 10 5 540000
                                                                                                                      0


                                                                                                                400
                                                                                       x2      x3
                                                                   16000 x           8000 1000
                                   1000 x                                              2       3
                                                                                     5
                                3 87500 1500                                 3 2,1 10 540000
                                                                                                               0


                                             0,0005 0,0014 0,0442 0,001 0,0608


                                     0,0005 0,0024 0,105 0,108 cm 1,08 mm
                                             (N)            (T )             (M )
8 Corrimientos en piezas prismáticas                                                                                135




Problema 8.2

Para la pieza quebrada de la figura, hallar :


               Sección                     Q
                                                                   a) El desplazamiento vertical de la sección A.
                   4 cm
                                      1m
                                               y                   b) El desplazamiento transversal de la sección
        4 cm                               A                          C (en la dirección Z).
                                                           x


                                                           z
                                                                   Aplicación a :    P=300 N
                                                                                     Q=2P=600 N
                                               1m                                    E=2,1·105 Mpa
                                                               x                     G=0,4E
    D
                                                   y

                              P
                                       C               z

                    1m

           Y

Z
                   X

Resolución :

Determinación de esfuerzos:


                                                                             Ty     Q      600 N
                                                   A           Tramo AB
                                  x                                           Mz     Qx     600 x mN

                                                   Q                          Nx     Q
                                       B
                                                               Tramo BC
                          x                                                   My    Q 1 600 mN

                                                                             Ty     Q      600 N

               D                                                             Tz     P     300 N
                                       C
                                                               Tramo CD M x          Q 1     600 mN
                          P                                                   Mz     Qx     600 x mN
                                                                              My    P x 300 x mN
                              x
136                                                                                       Resistencia de materiales. Problemas resueltos




a) Desplazamiento vertical de la sección A:

      Wtotal    B       Ty        Ty     Mz Mz               C    Nx Nx            My My
 A                                              dx                                                  dx
       Q       A    GA1 Q                EI z Q              B    EA Q             EI y       Q


                         D        Ty     Ty       Tz Tz      Mx Mx            My My               Mz Mz
                                                                                                         dx
                        C        GA1 Q            GA1 Q      GKt Q            EI y        Q       EI z Q


                            1m     Q                Q x                   1m        Q                Q
                                              1              x dx                             1          1 dx
                         0        GA1               EI z                  0        EA               EI y


                             1m     Q               P     Q                   Px               Q x
                                              1        0             1             0                     x    dx
                             0     GA1             GA1   GKt                  EI y             EI z


                    1m            1       1                 1            1            1
                                    Q        Q Q               Q             Q            Q x2 Q x2                dx
                    0            EA      GA1               GKt          EI y         EI z



                         1               1           1            1            1 2
                           Q                2Q           Q            Q              Q 0,042 m                4,2 cm
                        EA              GA1         GK t         EI y         EI z 3


Términos de la sección:

                                                                    Q 600 N
                                   y
                                                                    E     2,1 1011 N/m 2
                                                                    G     0,4 2,1 1011 N/m 2
           z                                                        A 16 cm 2 16 10 4 m 2
                                                   4 cm
                                                                       5      40
                                                                    A1    A       10 4 m 2
                                                                       6       3
                                                                             1 4           43
                                                                    Iy Iz        4 cm 4       10                   8
                                                                                                                        m4
                                                                            12             3
                         4 cm                                       Kt        K3     2a    3
                                                                                               2b     0,141 4 4 10       8
                                                                                                                             m4


                                                                          b          1                   K3    0,141
                                                                              a
8 Corrimientos en piezas prismáticas                                                                               137




b) Desplazamiento transversal de la sección C.

                               Wtotal           1m    Q        Q x            1m    Q      Q
                     C   z                               0          0 dx              0        0 dx
                                P           0        GA1       EI z           0    EA     EI y



                1m    Q     P                         Q       P x        Q x            1             1 P
                         0                  1             0        x          0 dx         P
                0    GA1   GA1                       GK k     EI y       EI z          GA1           EI y 3




                                                          P
                         P                                3             12 P 10 4 P              3
                                                                                      2,235 10       m 0,2235 cm
                         11   40        4                   43          64 2,1 10 7
         0,4 2,1 10              10              2,1 1011      10   8
                              3                             3
9 Piezas y sistemas hiperestáticos   139




9 Piezas y sistemas hiperestáticos
140                                                                                     Resistencia de materiales. Problemas resueltos




Problema 9.1

En la viga de la figura, determinar el perfil IPE necesario para que se verifique la condición de
resistencia y para que el desplazamiento vertical en el extremo volado (punto C) sea inferior a 0,3 cm.
                                                                                                         5000 kp

          A                                                                     B
                                                                                                         C

                                                                                                                          Kp/cm2
                                                                                                                     adm=1600
                                           4m                                             1m                     E=2,1·10 Kp/cm2
                                                                                                                            6




Resolución :


a) Se descompone el problema, con un grado de hiperestaticidad, en uno isostático más un momento
   de empotramiento (incógnita) MA .



                                           P                                             P
      A                                              A                                     MA        A                             B
                                   B                                            B
                                           C =                                           C +                                                 C

                 4m                1m                                                                RA’
                                                         RA                                                                  RB’
                                                                          RB
                                                              x                                              x

                      -5000mKp=MB

                                                          RA x                          RA x      RB     x       4
              MA-RA·x
                               -                                          -
M                                          = M                                           +   M’
      +                                                                                              +
                                                                                                                     M’A-RA’·x
     MA                                                                                           M’A
                        5000                                             5000

                         RB            +                                  RB        +
                                           = T                                           +   T’
T
                                                                  -                                                  -
RA               -                              RA                                             RA’                                     RB’


                I)                                                II )                                               III )

                     Estado final ( I ) = Estado isostático ( II ) + Estado hiperestático ( III )
9 Piezas y sistemas hiperestáticos                                                                                           141




- Estado isostático (II):

                 RA         RB    5 000
                                                                                             5 000
                                                                                   RA                1250 Kp
                 RA 4            5 000 1                                                       4
                                                                                   RB      6250 Kp

                 MA         0                         MB        5 000 mKp                             MC      0

- Estado momento hiperestático (III):

                                                               RA        RB
                                                               MA        RB 4
                                                               MB        0

       Para encontrar M’A , aplicaremos el 2º teorema de Mohr entre A y B , en el estado final (I):

                      2
                1                     1 L MB 1                   L MA 2                               MB          5000
      0                     Ai y i             L                        L                    MA                        mKp
                EI    i 1             EI  2  3                     2  3                                2           2

          Ai = área diagrama momentos flectores
          yi = distancia desde el baricentro Ai hasta B                                       MA     2500 mKp
          L=4m

                                                                                      MA     2500
                             MA      MA      2500 mKp                        RB                      625 Kp
                                                                                       4       4

- Estado final (I):

                                      MA         MA       MA     0       MA       MA     2 500 mKp
                                      MB         MB       MB         5 000 0           5 000 mKp
                                      MC         0


                                      RA     RA       RA        1 250 625              1875 Kp
                                      RB     RB       RB       6 250 625 6 875 Kp

                                                                             MA       MB     2500 5000
                M x         4    MA       4R A       MB             RA                                 1875Kp
                                                                                  4              4

                                                           RB        6875 Kp
142                                                                           Resistencia de materiales. Problemas resueltos




b) Para el cálculo de vC , vamos a aplicar el 2º teorema de Mohr entre A y C .

                      1    3
                                          1 4M B 4            1M B 2   4M A 8                    20000 kg m 3
        vC                       Ai y i            1                          1
                      EI   i 1            EI 2   3             2 3      2   3                  3EI Kg/m 2 m 4

              2 10 4 10 6                                2 10 4                 TABLAS                Iz     11770 cm 4
                                    0,3 cm      I min             10582 cm 4             IPE 330
             3 2,1 10 6 I                               3 2,1 0,3                                     Wz         713 cm 3

c) Comprobación del perfil a resistencia :

                M max       5000 mKp
        max                                  7,01 Kp/mm 2    701 Kp/cm 2   1600 Kp/cm 2             adm
                 Wz          713 cm 3
               Tmax          5000 Kp
       max                                     2,46 Kp/mm 2     246 Kp/cm 2      923,8 Kp/cm 2             adm
                                                                                                                        adm
                A1         271 7,5 mm 2                                                                            3

      El perfil IPE 330 cumple la condición de resistencia y la condición de rigidez.
9 Piezas y sistemas hiperestáticos                                                                                             143




Problema 9.2

Dada la viga de la figura,
                                     p = 20000 N/ml                                                       20000 N


                                                                              B
                                                                                                                 C
           A

                                        4m                                                2m



determinar :
      a) Diagramas de momentos flectores y esfuerzos cortantes.
                                                                                                   Material:
      b) Valores de las reacciones.
      c) El perfil IPN necesario para adm=140 MPa.                                                 Acero
      d) La pendiente en el apoyo B.                                                               E=2,1·106 MPa


Resolución:

a) Descomposición en un problema isostático, más una incógnita hiperestática ( R’B).
                   p                                               p
                                           P       MA                                  P MA’

                                               =                                          +
                                           C
     A                          B                                                                                        R’B
                  4m                  1m
                                                            RA                                   RA’

                                                             x                                     x

                                                       MA        280 000 Nm
                                                                    R Ax MA       px 2 / 2
     MA                    MB=-40000 Nm
                                                                                     RAx         MA       4p x       2
       -                        -                                   -
M                                                  =                                      +
                   +
                                                                                                   +

                                                                                                                 MA’- RA’x
                                                   RA       10 000 N                          MA’= 4R’B
                                                                        RA   px

                                               P                                      P
                       +                                                +
 T                                                     =                                  +
                                                                                                          -
                                                                                       RA’                               R’B
144                                                                                    Resistencia de materiales. Problemas resueltos




b) Determinación de la incógnita hiperestática y de las reacciones totales.


                                                                             x2
             M x   A, B    MA           RA x        RA x       MA       p
                                                                             2
             M x   B ,C    RA x            MA       4 p x          2


Para hallar R’B , aplicaremos el 2º teorema de Mohr entre A y B :

                                                           BM    x
                                                0                  xB        x dx
                                                           A   EI

                          1         B                              x2                          MA 2
                                        RA x         MA        p         4   x dx          4        4
                          EI     A                                 2                            2 3

                                                                                                      RA     100000 N
                                                                                                      MA        280000 Nm
                                                                                                      MA       4RB

                          1     B                                                                 64
                                    100000 x         280000 10000 x 2             4     x dx         RB
                          EI    A                                                                  3

                                                                                                      4m
                 1                                    x2                  x3            x4                   64
                           1120000 x           680000              140000         10000                         RB
                 EI                                   2                   3             4             0
                                                                                                              3


                                1          4160000         64
                                                              RB        0             RB       65000 N
                                EI           3              3

      RA - 80000 + 65000 - 20000 = 0                                    RA = 35000 N
      MA = - 20000·6 + 65000·4 - 80000·2                                MA= -20000 Nm


c) Determinación del IPN.

                                            M max         40000 100
                                     max                            14000 N/cm 2
                                               Wz            Wz


                                 4 10 6                                                          Iz        4250 cm 4
                      WZ ,min                   285,7 cm 3                        IPN 240
                                 14000                                                          Wz         354 cm 3
                                                                   TABLAS
9 Piezas y sistemas hiperestáticos                                                                                145




d) Pendiente en B.

                                               M x     A, B          20000 35000 x 10000 x 2

                                                                     d 2 v1
                                                                              M x   A, B
                                                                     dx 2

                                     dv1         1                                  x2              x3
                                                           20000 x 35000                   10000         C1
                                     dx          EI                                 2               3

                                dv1
                 x 0:                      0               C1        0
                                dx
                                           dv1        1                                     16        64
                 x    4:             B                          20 000 4 35 000                10 000         0
                                           dx         EI                                     2         3


                                            240 000 840 000 640 000                                 40 000
                                 B                              11              8
                                               3 2,1 10               4250 10               3 2,1 10 3 4250



                                                       B         0,00149 rad             0,0856 0
146                                                                    Resistencia de materiales. Problemas resueltos




Problema 9.3

a) Determinar el valor máximo de la carga uniformemente repartida, p, que se puede aplicar en la
viga de la figura, si la tensión máxima admisible es de 140 MPa (tanto para la viga AB como para el
tirante CD).

b) Calcular asimismo el descenso que tendrá el punto C.




                                 D                                     - La viga AB es un perfil IPN 400.
                                                                       - El tirante CD tiene una sección
                                                                         de 5 cm2.
                                                       4m              - Módulo de elasticidad :
                                                                         E = 2,1·107 N/cm2 ( para la viga y el
                                                                         tirante ).


          A                  C                 B
                 4m                   4m




Resolución :

a)
Se trata de un problema hiperestático. Para resolver la hiperestaticidad, impondremos la siguiente
condición :


                                                   C     vC


donde :        C = corrimiento del punto C del tirante CD.

              vC = corrimiento vertical de la viga AB en el punto C.
9 Piezas y sistemas hiperestáticos                                                                                                                    147




Cálculo de      C   :


              RD
       D                                                                                                          RD        CD
                                                       C            CD                 CD               CD
                                                                                                E                      EA

                                                                                                RD
                        4m                                      (                  ,               )
                                                                               E                 A


       C                                                                 R D 400 cm                                         6
                                                       C                                                        3,81 10          RD   cm   R D en N
                                                               2,1 10 7 N/cm 2 5 cm 2
              RD



Cálculo de vC :

Aplicaremos el Teorema de Castigliano:

                                                                                   x
                                                       p




                    A                                      C                                        B
                                                  RD
                                     4m                                   4m


                             2
   RD x      400        px
                                 2                                                      2
                                                                                   px
                                                                                            2
                                                   -                                                                   MA= 400 RD- 320 000·p ( Ncm )
                                                                                                        M              MC= -80 000·p         ( Ncm )
                                                                                                        mKp




                                                  WTOTAL            CM      x          M                AM        x    M
                                         vC                                               dx                              dx
                                                   RD               B     EI           RD               C       EI     RD


                                                x2                                                              x2
                                     400
                                              p                             R x
                                                                         800 D
                                                                                            400             p
                                                 2 0 dx                                                         2 x     400 dx
                                     0        EI                         400                    EI
148                                                                                                Resistencia de materiales. Problemas resueltos




                                                           x2
                                               800
                                                       p             RD x      400 RD
                                                           2                                x     400 dx
                                              400                     EI

                                                                                                                           800
                        1       p 4                 200 p RD 3
                                 x                           x               400 RD x 2               160000 RD x
                        EI     8                         3                                                                 400



                        1                                                            18133 10 6 p            21,3 10 6 R D
                               18133 10 6 p                21,3 10 6 R D
                        EI                                                                      2,1 10 7 29210

                                                                                                  6
                                                           29561,5 p 34,8 R D 10                      cm

                                                                 6                                                     6
Entonces:               C      vC                   3,81 10          RD            29561,5 p 34,8 R D 10


                                            38,61 RD             29561,5 p                        RD       766 p


                                                       (1) R D         766 p      (RD en N)
                                                       (2) p         0,13 RD (p en N/cml)


Determinación de pmáx :

  Para el tirante:

                                            R D ,max
                                                                     140 10 2 N                   R D ,max    70 000 N
                        max ,tirante
                                            5 cm 2
                                                             am
                                                                                     cm 2                                    2




                                            p max      0,13 R D ,max        0,13 70 000 9 100 N
                                       2                                                                      m


      Para el perfil:

                                                                               M max
                                                                max ,viga                        adm
                                                                            W z , IPN 400


                             MA            400 R D      320 000 p           400 766 p 320 000 p                    13 600 p
                             MC             80 000 p
                             M máx           80 000 p
9 Piezas y sistemas hiperestáticos                                                                  149




                                                M max          80000 p
                                                                                  14 000 N
                                 max , viga
                                              W z , IPN 400      1460
                                                                           adm
                                                                                             cm 2




                                              140 000 1460
                                     p máx                         255,5 N/cm     25 550 N/m
                                                 80 000


Por tanto: p max        9100 N            ( la menor de ambas).
                                     m

b) Cálculo del descenso de C.

                                                         6
                                     vc       3,81 10         70 000   0,267 cm     2,7 mm
150                                                              Resistencia de materiales. Problemas resueltos




Problema 9.4

Las vigas AB y BC de la figura están perfectamente empotradas en los extremos A y C. Cuando están
descargadas, sus extremos B están en contacto, pero sin transmitirse ningún esfuerzo.
                           p
                                                                     Material: Acero A42b



                                                                IPN 220                         C
          A           IPN 200              B




                           3m                                     4m



      Determinar:

          a) La carga uniformemente repartida máxima que puede soportar la viga AB, estando sometida
             la viga BC solamente al efecto producido por la AB.
          b) El descenso vertical del punto B.

Resolución:

a) Determinación de pmáx.
    En este tipo de problemas de interacciones, la resolución se basa en plantear la igualdad de
corrimientos (ecuación de compatibilidad de deformación en la sección B):
                      p

                                                       R
                                                                                                         C

      A                            B
                                                       B
                                       R
                      3m                                                    4m




                                           1   =   2



                                                                                             M max           R
                                   x                       x   M x       R x

                                                                                                     -
      -
                               +
                       1
          M x   R x      p x2
                       2
9 Piezas y sistemas hiperestáticos                                                                                            151




Cálculo de      1:   Aplicamos el 2º teorema de Mohr entre A y B :

                                                                                    1 2
                                                                       Rx               px
                                                                                    2      x dx
                                                   1
                                                                   0               EI z
                                                        1 R            3           p        4
                                                                                                             3m
                                                       EI z 3                      8

Cálculo de      2:   Aplicamos el 2º teorema de Mohr entre C y B:

                                                                                        Rx
                                                           2                                x dx
                                                                               0       EI z
                                                                1 R                3
                                                                                                             4m
                                                               EI z 3

Condición:       1= 2


                                                        81                                  64
                                                   9R      p                                    R
                                                        8                                    3
                                                  E 2 140 cm 4                          E 3 060 cm 4

                            216 3060 512 2140 R                            243 3060 p                        p     2,3624 R
                                                                                                           N m           N



Cálculo de Rmax (           pmax ):

    IPN 200 a flexión:

                                         M máx                 M máx                    260 N
                               máx                                                             2             173,3 N/mm 2
                                       W z , IPN 200       214 cm          3
                                                                                        1,5 mm

                                                           M máx               37093,3 Nm
    Mmáx:

                                              M                                                 R
                                                       0       R   px                   x             0,4233 m
                                              x                                                 p

                                     M x 0,4233 0,211649 R
                                               1                                                           M máx    MA
                                     MA R        p 2   7,6308R
                                               2


                                      M máx       7,6308R 37093,3                                   Rmáx     4861,0 N
152                                                                         Resistencia de materiales. Problemas resueltos




IPN 220 a flexión:

                                 M máx          M máx            260 N
                       máx                                              2    173,3 N/mm 2
                             W z , IPN 220     278cm       3
                                                                 1,5 mm

                                               M máx           48186,6 Nm

                                      M máx            R          4R   48186,6

                                                Rmáx           12046,6 N

                                 Rmáx        mín       12 046,6 ; 4 861,0        4861,0 dN

      Por lo tanto:              p máx       2,3624 Rmáx         2,3624 4861,0 11483 N
                                                                                              m

b) Descenso vertical del punto B.

                                      R 3            4861 400 3
                             2                                                1,61 cm
                                      3EI z        3 2,1 10 7 3060
9 Piezas y sistemas hiperestáticos                                                                                                                            153




Problema 9.5

a) Determinar el valor máximo de la carga uniformemente repartida, pmáx , que se puede aplicar a la
viga de la figura.
b) Calcular asimismo el descenso que tendrá el punto C.


           D                                                                                    E                                 Datos:

                             A 5cm 2                              A 5cm 2                                                        Viga AB: IPN 300
                                                                                                                                   adm= 160 MPa
                                                                                                            h=6m                 E = 2,1·105 MPa
                                          45º                 45º                                                                ( tanto para la viga
                                                                                                                                 AB como para los
                                                                                                                                 tirantes CD y CE )

          A                                                   C                                 B




                             4m                   p                     4m

                                                  8m

Resolución:

a) Imponemos la condición de compatibilidad de deformación en C, es decir, planteamos igualdad de
corrimientos.

                                 R                                                                              R
                                      2                                                                             2
                                                                             p



                                 A                                               C                                  B

                                 p                                               R                                           p
                                          2                                                                                      2
                                                R         x                                     R       x   Rx
                                                    2                                               2                    2
                                                                         -
                 M
                                                                             +


                                  x                                              1
                                                                        px               px 2
                                                                    2                2
                                                                                                                    px   R       x   1       px 2   R x
               px    R       x    1        px 2                                                             2                2           2
           2             2            2                                                                                                                   2
                                                                             -
                                                      +                                             +
154                                                                                                           Resistencia de materiales. Problemas resueltos




                     D                                                                                                              E




                                                              45º                          45º


                                                                                   C



                                                                                       C




                                                                       C           2



Cálculo de   C   :


Aplicamos el 2º teorema de Mohr entre C                            x               yA x               0 :
                                                                           2

                                             R       p 2
                             p       x          x      x
                         2       2           2       2                              1             2                R 2        p 3
                                                               x dx                                       p          x          x       dx
                     0                       EI z                                  EI z       o               2    2          2



                              1                     R x3      p x4             2
                                                                                        1                     R 3        p 4
                                         p                                                        p
                             EI Z             2     2 3       2 4                      EI z           2       2 24       2 64
                                                                           0



                                  1           R 3         4   1         1                   1         R 3         5p 4
                                                      p                                                                         C
                                 EI z         48              48       128                 EI z       48          384


                                                                                   R

                                         A                                         C                              B




                                                          2                                       2
9 Piezas y sistemas hiperestáticos                                                                               155




Cálculo de         :



     2       R
         2                                                    2               2
                 D, E                                            R              R 600 2
                                                             2               2                   120 R
                                                                                                       cm
                                                                EA              E 5                E

                                                               600 2 cm ,           A 5 cm 2
                                        6 2m




                 C
     2       R
         2



                                                                    1       R 3     5p 4       120 2 R
                             C       2                     C                                               2
                                                                   EI z     48       384          E


                                                               8 m 800 cm
                                                          I z , IPN 300   9800 cm 4



                                               83 106        5 84 108
                                                      R               p       9800 120 2 R
                                                 48            384



                       64 R 32000 p          9,98 R            p     2,312 10 3 R        ( p en N/ml , R en N)


    Cálculo de Rmáx (             pmáx ) :


     Cables a tracción:

                                              2
                                                 Rmáx
                                 Pmáx        2                        16 000 N                 Rmáx   113137 N
                       máx
                                  A           5 cm 2
                                                             adm
                                                                                  cm 2
156                                                                                            Resistencia de materiales. Problemas resueltos




       IPN 300 a flexión:

                                    M máx                  M máx
                                                                           16000 N                   M máx         104480 Nm
                         máx
                                  W z , IPN 300       653cm 3                          cm 2

       |Mmáx|:

                                   1      2                 1                     3                               800
                       MC            p            R           2,312 10                 R 8 2 10 4             R             15 R
                                   8                  4     8                                                      4

                                                                   p        2,312 10 3 R
                                                                           800 cm

                   M               p          R                              R                   R
                             0                        px      x                                                           183,74 cm
                   x               2          2                        2     2p       2    2 2,31 10 3 R



                                                                  p        R          1 2                         x2       R
                 M máx         M x 183,74 cm                                 x          px       p        x                  x
                                                                  2        2          2               2           2        2

                                                          800        183,742                   R
                                 2,312 10 3 R                 183,74                             183,74            39 R
                                                           2            2                      2



Así que Mmáx = 104480·102 N·cm = 39 Rmáx                                   Rmáx = 267897 N

                                       Radm , sistema        mín 113137,267897                    113137 N

Por lo tanto, el valor máximo de la carga uniformemente repartida que se puede aplicar a la viga AB,
admitida por el sistema, es:

                       p máx       2,312 10           3
                                                           113137 261,57 N                         26157 N
                                                                                          cm                       m

b) El descenso del punto C es.

                                                           120 113137
                         C         2              2                   cm                              C       0,9 cm
                                                             2,1 10 7
9 Piezas y sistemas hiperestáticos                                                                157




Problema 9.6

Determinar el desplazamiento vertical de la sección C, C , en la pieza de la figura, admitiendo que la
sección en todos los tramos del sistema es circular y el material es el mismo.




                                           A
                           a
                                                                                   D


                                                   p



                                                                                           B
               C

                                               a


Datos:

    G = 0.4·E
    p =1000 N/ml
    D = 50 mm
    a=1m
    E = 2,1·105 Mpa

Resolución:

a) Determinación de esfuerzos .
   Es un problema hiperestático. Consideraremos RB como incógnita hiperestática a determinar.

                               y
                                     A                           Esfuerzos:
                   z
                                                                    Tramo BC:
                       x
                                                       x
                                                                    Ty   RB        px
                                       p                                                1 2
    x                                                               MZ     RB x           px
                                                                                        2

                                                                    Tramo CA:
                                                            B
         C
                           y                                        Ty   RB        p a
                                                       RB           Mz        RB       p a x
               z               x                                                        1
                                                                    Mx     RB a           p a2
                                                                                        2
158                                                                                                 Resistencia de materiales. Problemas resueltos




Aplicaremos el teorema de Castigliano para hallar la incógnita hiperestática RB :


                           Wtotal       C     Ty      Ty     Mz       Mz                  A    Ty      Ty     Mx       M       Mz       Mz
          0       B                                                             dx                                                                   dx
                            RB         B    GA1 R B          EI z     RB                 C    GA1 R B         GK t     RB      EI z     RB



                                                1 2                                                            1 2
                                       RB x        px                                                 RB a        pa
          C a     RB px                         2                        A a     R B pa                        2                RB      pa x
 B                      1                             x dx                              1                            a                               x dx
          B 0      GA1                        EI z                       C 0       GA1                       GI 0                    EI z



       1                       a2                           1                       a4         1      a3              a4         a3             a4
          RB a             p         RB a      pa 2             RB a 3          p                  RB             p         RB              p
      GA1                      2                           GI 0                     2         EI z    3               8          3              3



                            1                  3 2            1                      a4          1         2 3         11 4
                               2aR B             a p              a 3 RB                p                    a RB         a p
                           GA1                 2             GI 0                    2          EI z       3           24


                                                            G       0,4 E
                                                                       9    9 D2
                                                             A1          A
                                                                      10   10 4
                                                                       4
                                                                     D
                                                            I0
                                                                     32
                                                                     D4
                                                            Iz
                                                                     64


                      1                        3 2                   1                         a4              1        2 3           11 4
      B                         2
                                    2aR B        a p                        4
                                                                                 a 3 RB           p                       a RB           a p
                       9    D                  2                         D                     2                D4      3             24
              0.4 E                                          0.4 E                                           E
                      10    4                                            32                                      64



                  40 D 2 2aR B         3 a2 p         32 9 a 3 R B          a4       p        64 3.6 2 a 3 R B 11 a 4 p
                                        2                                        2                    3          24
                                                                                                                                        0
                                                                  3.6 E          D4

                            D 50 mm 0,05 m
                            a 1m
                            p 1000 N/ml
                            E       2,1 1011 N/m 2
                                                                                                      RB      565.3N
9 Piezas y sistemas hiperestáticos                                                                                                      159




b) Determinación de                   C.


           Para calcular              C   , aplicaremos el método de la fuerza ficticia:


                                                                                    Esfuerzos (debidos a F):

                                                             A                          Tramo BC:

                                                                                         Ty      RB
                  x
                                                                                          Mz         RB x

                      C                                                 B                Tramo CA:
                                                              x         RB
                              F
                                                                                          Ty     RB         F
                                                                                          Mz         RB         F     x
                                                                                          Mx         RB a


                                                                                                                    2 3      a3
                                              40 D 2 2aR B        aF        32 9 a 3 R B         64 3.6               a RB      F
                           Wtotal                                                                                   3        3
                  0
                            RB                                                   3.6 E          D4

                                                                            RB     0.174 F


                                                                                                  1 2
                                                                                         RB x       px    0,174 F x
                  Wtotal          a           RB    px 0,174 F                                    2
       C                                  (                    0.174                                                0.174 x ) dx
                   F              0                  GA1                                             EI z
              para F 0



              a       RB      pa            0,174 F      F                        1                  1 2
                  (                                               0.826                  RB a          pa            0,174 F a 0.174a
             0                            GA1                                    GI 0                2

                                                    RB       pa x        0,174 F        F x
                                                                                                 0.826 x ) dx
                                                                       EI z


   Integrando, entre límites, y tomando F= 0:

                           1                                 a2                                        1                        1 4
                 C            0.174 R B a                p             0.826 R B a       pa 2              0.174 R B a 3          pa
                          GA1                                2                                        GI 0                      2
160                                                                   Resistencia de materiales. Problemas resueltos




                            1            a3       1 a4                RB a 3        a4
                                0.174 RB           p          0.826             p
                           EI Z          3        2 4                  3            3




  40 D 2   0.652 R B   0.739 p       32 9 0.174 R B     0.087 p   64 3.6        0.217 R B     0.254 p
                                                          4
                                                                                                            0,00225 m
                                           3 .6   E D


                                 C     0,225 cm       (en vertical, hacia abajo:
                                                      igual dirección y sentido que F)
10 Inestabilidad elástica   161




10 Inestabilidad elástica
162                                                                            Resistencia de materiales. Problemas resueltos




    Problema 10.1

    Determinar la carga máxima P que puede soportar el sistema de la figura, si la tensión máxima
    admisible es de 160 MPa.

                                     3m                                 6m



                         A                    B         IPN 500                                          C

                             P

                                                                                                   30º       30º
          4                                       HEB 120                          IPN 100                           IPN 100




                  E = 2,1·106 Kp/cm2

    Resolución:

              x

                                                                                       Reacciones:
     A                           B                                  C

                   3                      6
                                                                                                                              P
                                                                                   MB         0    P 3 RC 6            RC
     P                            3 P                       P                                                                 2
                                   2                            2
                                                                                                          3
                                                                                       FV     0    Rb       P
                                                                                                          2
                                                                        P
                                                                            2
P                                         +

                                                                            T
                    -             3 P
                                   2
                                                                                            3
                                                                                Tmáx          P    Kp
                                                                                            2
                                                                                  M máx       3P     mKp
                             3P
                                              P x    3 Px 3
              P x                                     2
                             -

                                                                        M
10 Inestabilidad elástica                                                                                                           163




     IPN 500.Cálculo a flexión.

                              M máx           3P Nm
                :                                                                 160 N                  Pmáx, IPN 500   146667 N
                    máx
                            W z , IPN 500    2750 cm 3
                                                                       adm
                                                                                           mm 2


     Puntal HEB 120. Cálculo a esfuerzo normal y a pandeo.
                                                                                                                 y


                       A 34 cm 2
                       Iz     864 cm 4 ; I y            318 cm 4
         HEB 120
                       Wz      144 cm 3 ; W y            52.9 cm 3                            z

                       iz    5.04 cm ; i y          3.06 cm


                                   Esfuerzo normal:
                    3 P
                     2
                                                        N máx         N máx
                                   -                                               16000 N              N máx        544000 N
                                            máx
                                                          A            34                      cm 2

                                                                            3
                                                         544000               P             Pmáx    362667 N
                                                                            2
                                   Pandeo:

                                                    L      400
                                   -                            131 105                      min   ( acero estructural )
                                               i min       3.06

                                                                    el pandeo se produce en la zona
                    3 P                                          de validez de la ecuación de Euler
                     2

                                                                        2
                                                                         EI
                                                                                      2
                                                        N crit          L   2              2.1 10 7 318
                                    N adm , H 120                                                       117700 N
                                                          sp                sp            16 10 4 3.5


                                                           I        I min        318 cm 4
                                                           L            4 m 400 cm
                                                               sp     3.5   100
                                                           E         2.1 10 7 N
                                                                                     cm 2
164                                                                          Resistencia de materiales. Problemas resueltos




                                        3
                          117700          P            Pmáx   78466 N
                                        2


          Puntales IPN 100. Comprobación a esfuerzo normal.(Tracción)


                                P                                         P
                            4 cos 30º                                 4 cos 30º




                            P                                                  P
                        4 cos 30º                                          4 cos 30º

                                      N máx    N máx
                                                         16000 N            N máx      169600 N
                            máx
                                        A      10,6                cm 2


                                                    P
                                      169600                        Pmáx    587511 N
                                                4 cos 30º

      Por lo tanto, la carga máxima que puede soportar el sistema es:

                                  P     min 14667 , 78466 , 587511              78466 N
10 Inestabilidad elástica                                                                                            165




Problema 10.2

Dado el esquema de la figura, donde B, C y D son articulaciones perfectas; si la tensión máxima
admisible y el módulo de Young son los mismos para las tres barras, e iguales respectivamente a adm
= 160 MPa y E = 2,1·105 MPa.
                                                                                         C




                                             P             IPN 100                                  2m


                        A
                                                                       B
                                         IPN 360

                                                                                                    2m
                                                               IPN 140



                                                                                         D

                                2m                 2m                       2m



Determinar:

a) Diagramas de momentos flectores, esfuerzos cortantes y esfuerzos normales para cada barra.
b) El máximo valor admisible de P.

Resolución:

a) Diagramas.
                                                           R               Rc
                                                                   4

                N                                                               P
                                                                                    2 2
                                        TRACCIÓN                       C
                                                       +                                                   B
         x
                            P                              P
                                                               2 2                             P                      P
                                2 2                                                                  45º       45º
    A                                                                                         2 2                    2 2
                                                   B
                            P                                  P                                           P
                                2 2                                2 2
                                                                                                           2
                                                       -
                                      COMPRESIÓN                       D
                                                                                    P
                                                                                        2 2

                                                                       R        Rc
                                                                           4
166                                                                             Resistencia de materiales. Problemas resueltos




                                     T                                                             C




                                                         P
              RA       P                 +                   2
                           2
                                                                                   B
                               A                                     -
                                                 P
                                                     2                        RB


                                                                                                   D




                                     M                                                             C




                               A
                                                                                   B


                                                         +


                                   P x                             P x Px 2                        D
                                    2                               2




b) Cálculo de Padm :

          IPN 360 a flexión:

                                              M máx              P 1 Nm
                                                                             160 N
                                   máx
                                             W z , IPN 360       1090 cm 3             mm 2

                                                                  Padm   174400 N
10 Inestabilidad elástica                                                                                    167




              IPN 100 a tracción:

                                                                  P
                                                  N máx       2 2
                                            máx                           160 N/mm 2
                                                    A         10,6

                               Padm    160 10,6 10 2 2              2          Padm      479 701 N


              IPN 140 a compresión:


              P
                  2 2                                                                      2
                                                                                            EI
                                                                              N crit      L2
                                                                      N adm
                                                                              C sp        3.5


                                                                    200 2
                                                                                 202 100          Cs   3.5
                                                          i min      1.4
                            200 2 cm
                                                                      2
                                                                          2,1 10 7 35.2
                                                     N adm                                     2605,6 N
                                                                          3,5 8 10 4




              P
                  2 2
                                                             Padm
                                    N adm   2605,6 N                          Padm      73700 N
                                                             2 2

        Por tanto :

                             Pmáx     mín 174 400 , 479 701 , 73 700                   73 700 N




Problema 10.3
168                                                              Resistencia de materiales. Problemas resueltos




Calcular la carga axial máxima que puede soportar una broca de     3 mm,

      a) sin pretaladro
      b) con pretaladro o marcado.

           E       210000 N/mm 2
               e    320 N/mm 2




                                                                              a)


                             3
                                     150 mm
                                                                              b)




Resolución:

a)                                                   b)




                            Lp=2L

                                                                                               Lp=0,7L
                                                                                       R



                    Ncr                                                         Ncr



                                                      2
                                                          EI z
                                              N cr
                                                      Lp2
10 Inestabilidad elástica                                                                       169




                                                 2                   32
                                                      210000
a)                                                                  64    91 N
                                                                2
                                                       2 150
                                                2                    32
                                                     210000
b)                                                                  64    747 N
                                                                2
                                                      0,7 150


Comprobación de la validez de la fórmula de Euler ( para b):

                                 N cr   747 N          N                         N
                            cr             2
                                                105                   e   320          cumple
                                  A       3           mm 2                      mm 2
                                           4

NOTAS: - Se ha simplificado la obtención de I,A sin utilizar reducciones de la sección.
       - A los valores de 91 N y 747 N hay que aplicarles un adecuado coeficiente de seguridad.
170                                                                          Resistencia de materiales. Problemas resueltos




  Problema 10.4

  Calcular la sección rectangular más eficiente para la pieza de aluminio sometida a compresión
  centrada.
                         x
                                                          L = 500 mm , seg. pandeo= 3
              N=20 kN                                     Datos del Al:
                                                          E = 70000 N/mm2
                                                           e= 20000 N




                                                                                        b



                                                            y
                                       L
                                                                                            h

               y


                                                                                   z


                   z

  Resolución:

  La relación b-h debe ser la óptima para que la Ncr sea la misma en ambas direcciones.
                        x

                                                          Flexión eje y:
                                                                                        2     1 3
                                                                      2
                                                                          EI y              E    bh
                                                           N cr ,1                           12           1
                               LPz=0,7·L                                       2               2
                                                                      L py                  2L

                                                          Flexión eje z:
                                                                                        2       1 3
                                                                       2                    E     bh
   y                                                                       EI z                12
                                                           N cr , 2            2                  2
                                                                                                           2
                                                                      L pz                  0,7 L

LPy=2·L   z                                               Igualando Ncr,1= Ncr,2

                                                  2       1 3              2        1 3
                                                      E      bh                E      bh
                                                         12                       12                  h     2
                                                      2 2 L2                   0,7 2 L2               b    0,7
10 Inestabilidad elástica                                                                                  171




Con esta relación, puede elegirse la fórmula (1) o (2):
                                                                       2     1 3
                                                                           E    bh
                                                                            12
                                                N cr                       2L 2
                               seg . pandeo                3                              3
                                                 N                          N

                                                 3
                  2            1         2
                      70000      b          b
                              12        0,7                    b 14,5 mm
                                          2
                                                       3                           se tomará : 50 x15 mm
                       20000 2 500                             h 41,5 mm

Comprobación:

                                       N cr       60000
                                cr                        100 N/mm 2           e    cumple
                                        A       14,5 41,5
172                                                                                          Resistencia de materiales. Problemas resueltos




 Problema 10.5 *

 Calcular la carga máxima, Nmáx, en los tres casos:


                 Ncr =Nmáx ?                                    Nmáx ?                                      Nmáx ?




                           A)                                             B)                                     C)

                                                                         10 mm                                   100 mm
10m = 10000 mm




                                                              v0=L/1000                                     v0=L/100




                                                Acero S260


            e                                                           260 N/mm2


                            E=210000 N/mm2
                                                                                                                          200x5 mm




 Resolución:

 a) En el primer caso, Nmáx=Ncr , suponiendo que la                            cr        e



                                                  2                             200 2 190 2
                                       2                  210000
                                           EI                                      64
                       N cr                                                                          301952 N
                                       L2p                              10000
                                                                                    2




                                N cr              301952 N
                      cr                              2             2
                                                                                        99 N/mm 2       e     cumple
                                 A              200           190              2
                                                                         mm
                                                          4
10 Inestabilidad elástica                                                                                     173




                                                                        L                       L
b) El momento flector en el centro del vano: M x                                   N vTOTAL x     .
                                                                        2                       2

                                                                        1
                                               v           L                       v0
                                                   TOTAL x               N
                                                           2        1
                                                                        N cr

                                                                               1
                                       Factor de amplificación:
                                                                                N
                                                                        1
                                                                               N cr
                                                        N
El corrimiento total depende de la relación                 .
                                                       N cr                                N
                                              N      M
Por la ecuación de la flexión           máx                     e                                        A)
                                              A      W
                                                                                                          B)
                                                                                                            C)
                                           1
                              N máx               v0
                                           N máx
                                     1
        N máx                             301952
            2             2
                                                          260 N/mm 2
      200           190        2   200 190 2
                                       2
                                                                                                10 100           v
                                                 100
                4                        64

Para v0 = 10 mm tenemos Nmáx=269500 N



c) Para v0 = 100 mm tenemos Nmáx=152000 N
174                                                               Resistencia de materiales. Problemas resueltos




Problema 10.6 *

Calcular el valor de la imperfección geométrica inicial, v0, que provoca el fallo elástico del perfil
tubular 100x4 mm sometido a N = 125 kN.

Resolver el problema utilizando dos modelos de cálculo:

a) Análisis de 1er orden, con la geometría caracterizada por el valor inicial v0.
b) Análisis de 2º orden, considerando la amplificación del valor inicial de v0.

                                               x




                                                    N = 125 kN




                                100x4




                                 v0 ?
          L = 3500 mm




                                                                             Material S235:
                                                                                            2
                                                                               e=235 N/mm
                                                                              E= 210000 N/mm2

                                                                             Tubo 100x4:
                                                                              A= 1206 mm2
      y                                                                       I= 1392000 mm2
                                                                              W=27840 mm2



                                                    N
10 Inestabilidad elástica                                                                                                     175




Resolución:

a) Análisis de 1er orden:

                                  M   N v0
                                                          N                                                        L
                                                                           La sección más desfavorable x             :
N                                                                 N                                                2
                            v0                                                            N   N
                                                                                          M   N v0
                     =                =



                                                      N      M
                                              x                        e    235 N/mm 2
                                                      A      W


                                       125000             125000 v 0
                                                                             235 N/mm 2
                                        1206                27840

Despejando el valor de v0:

                                                          125000          27840
                                      v0          235                                  29 mm
                                                           1206          125000

b) Análisis de 2º orden:


                                                       1
                                  M       N                       v0
                                                  1   N N cr                                  N          1      N v0
                                                                                          x                              e
                                                                                              A          N       W
                                                  N                                                1
                                                                                                         N cr
                             v0


                     =                =                                     La carga crítica de Euler, Ncr:

                                                                              2           2
                                                                                  EI          210000 1392000
                                                                  N cr                                             235517 N
                                                                             L2p                  3500
                                                                                                         2



Así, el factor de amplificación vale

                                                      1             1
                                                                                   2,13
                                                       N           125000
                                                  1              1
                                                      N cr           235
176                                                                Resistencia de materiales. Problemas resueltos




Sustituyendo en la fórmula:

                                   125000          125000 v 0
                                            2,13                235 N/mm 2
                                    1206             27840

Despejando el valor de v0:

                                            125000     27840  1
                              v0     235                          13,7 mm
                                             1206     125000 2,13
10 Inestabilidad elástica                                                                       177




    Problema 10.7 *

    Un tubo de acero 140x140x5 mm tiene una imperfección inicial de 50 mm respecto a la directriz
    teórica y está sometido a una leve carga de viento q = 300 N/m y a una carga axial de compresión N =
    100 kN.

    a) Calcular la tensión normal máxima en la sección central en un análisis de 1er orden.

    b) Calcular la tensión normal máxima en la sección central en una análisis de 2on orden, es decir,
       considerando la interacción N – M (esfuerzo normal – momento flector).

    Tubo 140x140x5 mm:

    A=               26,70 cm2
    Iy = Iz =       821,25 cm2
    iy = iz =         5,51 cm                                       x
    Wel·y = Wel·z = 117,32 cm3
                                                                         N = 100 kN
    Acero S235:

    E = 210000 N/mm2
     e=    235 N/mm2


                    y


                           qy

      5
                         G                                                v0 = 50 mm
                                   140      L=5m
z                                                                                                qy = 300 N/m



                    140 mm




                                    y




                                                                         N = 100 kN
178                                                                                   Resistencia de materiales. Problemas resueltos




 Resolución:


               N                  N
                                                                 En un análisis de 2on orden el diagrama de momentos
                                                                 flectores se ve amplificado por el efecto de la
2on orden      1er orden                                         preflecha inicial (v0) y de la interacción N-M.


                      v0
                                                    q




               N              N


 a) Análisis de 1er orden (sin considerar pandeo, con la geometría inicial del enunciado).

                                                                              1 2
                                                                                pL N v 0
                                                N      Mz             N       8
                                      x , máx                                                    1
                                                A      Wz             A           Wz

                                                       1          2
                                                         0,3 5000    100000 50
                                        100000         8
                                         2670                  117320

                                                                       N
                              37,45 7,99 42,62 88                                      e       cumple
                                                                      mm 2

 b) Análisis de 2on orden (amplificación de la preflecha inicial e interacción N-M).

                                                            1 2
                                                              pL
                                                N           8                  1       N v0
                                  x , máx           K2                                            2
                                                A            Wz                  N      Wz
                                                                          1
                                                                                N cr

 Cálculo de la carga crítica elástica de Euler, Ncr:

                                                             2            2
                                                                 EI            210000 8212500
                   L pz    5000 mm              N cr                                                   680855 N
                                                            L2p z                  5000
                                                                                           2
10 Inestabilidad elástica                                                                          179




Para el factor de amplificación K2, se elige la expresión aproximada (*):

                                                     1          1
                                            K2                            1,172
                                                      N        100000
                                                 1           1
                                                     N cr      680855

Así, finalmente (2):

                                                                           N
                        x , máx   37,45 1,17 7,99 1,17 42,62 96,7                     e   cumple
                                                                          mm 2

(*) Cálculo exacto de K:

                                                  N           100000
                                        u                               0,602 rad
                                             2   N cr       2 680855

                                        2 1 cos u            2 1 cos 0,602
                                   K2                                             1,177
                                         u 2 cos u           0,602 2 cos 0,602
180                                                                Resistencia de materiales. Problemas resueltos




Problema 10.8 *

Un tubo circular      100x4 mm de acero está sometido permanentemente a una carga puntual
transversal, F = 5kN, en el centro del vano.

Mediante un cilindro hidráulico se puede aplicar una carga axial variable en el extremo.

Suponiendo un comportamiento ideal de elasticidad indefinida para el material:

a) Calcular la carga axial máxima soportada por el sistema, al poder producirse su colapso por
   inestabilidad elástica.

b) Representar gráficamente la relación N-v, mediante un modelo teórico de 2º orden, es decir,
   considerando la interacción entre el esfuerzo normal y el momento flector.

A continuación, suponiendo un comportamiento real de material, con una tensión de límite elástico
             2
 e=380 N/mm .


c) Calcular la carga N que provoca el fallo elástico del perfil.

                      Material S380:     E = 210000 N/mm2           e   = 380 N/mm2


 y




                                         F=5 kN

                                                                                         N variable
           100x4
                                                                                                                x
                                         v




                     =                                  =

                                   L = 5000 mm
10 Inestabilidad elástica                                                                                              181




Resolución:

a)
                                                2           2
                                                    EI           210000 1392000
                                     N cr                                                115403 N
                                             L2p                        5000
                                                                               2



Hipótesis: Elasticidad indefinida.
                                                                                         N               N
                                                                                   N

                                                                                                             Ncr
                                                                                   115403 N
                                                    2
                            E = 210000 N/mm

                                                                                                                   v



b) Considerando la interacción N – M.

                                                                               3
                                 F L3                     5000 5000 K 3
                             v         K3                                               44,54 K 3   mm
                                 48 EI                   48 210000 1392000

donde K3 es el factor de amplificación.

Cálculo exacto de K3:

                                              N                           N
                             3   tg
          3 tg u      u                2    115403              2       115403
K3
              u3                                          N
                                                                    3


                                            2           115403
             N                 N
u
      2      N cr     2      115403

Cálculo aproximado de K3:

            1                1
K3
            N                 N
       1             1
            N cr            115403
182                                                                  Resistencia de materiales. Problemas resueltos




  Tabla de valores de la función N – v

                                  N                  veaxct.                 vaprox.
                                  0                  44,54                 44,54 mm
                            Ncr/4=28851 N                                  59,39 mm
                            Ncr/2=57701 N                                  89,08 mm
                            3Ncr/4=86552 N                                 178,16 mm



  La representación gráfica de la función N – v:


  (N)      N



115403      N cr

            3
 86552        N cr
            4
                                                                           N                        5 kN            N
 57701      N cr
             2                                                                                  v
28851       N cr
             4
                                                                                                                           v

                                                                                                                        ( mm )
                       50                100            150                    200                  250



  La curva de respuesta N – v, considerando la interacción entre el esfuerzo normal y el momento
  flector, es asintótica al valor de la carga crítica de Euler Ncr = 115403 N.

  Suponiendo una elasticidad indefinida del material el fallo de la pieza se produce con el mismo valor
  de Ncr.

  c) Sin embargo, antes de llegar a esta situación el material habrá superado la tensión del límite
  elástico. Para el material real:

                                               N        M
                                                    K          e
                                               A        W

                                  N      M                              1
                                               e   , donde M       K      F L
                                  A      W                              4
10 Inestabilidad elástica                                                                                                      183




                                                                        1
                                                                          5000 5000
                                       N                1               4                         N
                                                                                           380
                                      1206            N                    27840                 mm 2
                                               1
                                                    115403

Resolución de la ecuación de 2º grado:

                                                 N            115403
                                                                     225 380
                                               1206         115403 N

                                                                               N
                                         115403 225                 380              115043 N
                                                                              1206

                                                                                                   N2
                                   25965675 43853140 95,69 N                             380 N
                                                                                                  1206

                                                 1
                                           0        N2                  475,69 N 17887465
                                               1206                           b            c
                                                    a



                                                                      1
                      2                  476       476 2        4        1788746
             b      b       4ac                                     1206                       40425 N
     N
                    2a                                      1                                  533630 N   sin sentido   N cr
                                                        2
                                                          1206

Se cumplen la hipótesis de aproximación para el cálculo del factor de amplificación K:

                                  N      0,6 N cr                       40425 0,6 115403 69242

                                                                          1
                                                            K                     1,54
                                                                           N
                                                                    1
                                                                          N cr

Representación gráfica del apartado c):

    (N) N
                                    N          M
                                           K            380
                                    A          W

    115403
                                                                                                            Ncr


   40425




                          44,5    68,5                                                                       v (mm)
184                                                                                 Resistencia de materiales. Problemas resueltos




c’) Un planteamiento parecido del problema es considerar que v0=44,5 mm constituye una preflecha
inicial.
                   1
El momento flector    F L resta constante y la amplificación es debida al termino
                   4
                                                   1
                                      N v N               v0
                                                     N
                                                1
                                                    N cr

Los resultados obtenidos no difieren excesivamente de la solución exacta:


                                 N       M                                  1
                                                 e   , donde M         K      F L            N v
                                 A       W                                  4

                              1                                             1
                                5000 5000             N 44,54
                              4                                              N
                                                                   1
                      N                                                    115403                 N
                                                                                           380
                     1206                            27840                                       mm 2

Resolución de la ecuación de 2º grado:


                                   N                 44,54 115403 N
                                             225                                       380
                                 1206                27840 115403 N

                         44,54 115403 N                      N
                                                     380               225          115043        N
                              27840                         1206

                                                        N2
                            184,6 N          115 N          17887465 95,69 N
                                                       1206

                                            1
                                     0         N2          435 N 17887465
                                          1206              b                   c
                                             a



                             b       b2      4ac           44977 N
                     N
                                     2a                    479633 N         sin sentido           N cr

Problemas resueltos resistencia(1)

  • 1.
    AULA POLITÈCNICA 15 Resistenciade materiales Problemas resueltos
  • 2.
    AULA POLITÈCNICA /ETSEIB Resistencia de materiales Problemas resueltos Miquel Ferrer Ballester José Luis Macías Serra Frederic Marimón Carvajal M. Magdalena Pastor Artigues Francesc Roure Fernández Lluís Vilaseca Vilanova EDICIONS UPC
  • 3.
    La presente obrafue galardonada en el quinto concurso "Ajuts a l'elaboració de material docent" convocado por la UPC. Primera edición: septiembre de 1999 Reimpresión: febrero de 2001 Segunda edición: septeimbre de 2002 Diseño de la cubierta: Manuel Andreu © los autores, 1999 © Edicions UPC, 1999 Edicions de la Universitat Politècnica de Catalunya, SL Jordi Girona Salgado 31, 08034 Barcelona Tel.: 934 016 883 Fax: 934 015 885 Edicions Virtuals: www.edicionsupc.es E-mail: edicions-upc@upc.es Producción: CPDA Av. Diagonal 647, ETSEIB, 08028 Barcelona Depósito legal: B-30564-2002 ISBN: 84-8301-621-4 Quedan rigurosamente prohibidas, sin la autorización escrita de los titulares del copyright, bajo las san- ciones establecidas en las leyes, la reproducción total o parcial de esta obra por cualquier medio o pro- cedimiento, comprendidos la reprografía y el tratamiento informático, y la distribución de ejemplares de ella mediante alquiler o préstamo públicos.
  • 4.
    Prólogo 7 Prólogo El presente libro es una colección de problemas resueltos destinada a facilitar el aprendizaje de la Resistencia de Materiales a través de su aplicación a la resolución de ejemplos concretos. Ha sido elaborado pensando en su uso por parte de estudiantes de Ingeniería y de Arquitectura, como texto complementario a un libro de teoría de Resistencia de Materiales. En concreto su estructura, enfoque y nomenclatura se adapta especialmente al texto Resistencia de Materiales de F. Roure, F. Marimón y X. Ayneto, que actualmente edita CPDA de la ETSEIB- UPC, en forma de fascículos. Se supone que antes de abordar los problemas de cada capítulo, el lector habrá adquirido los conocimientos de teoría correspondientes, y por ello no se repasan de forma explícita en el presente libro. Se supone asimismo que el lector ha seguido previamente un curso de mecánica de medios continuos, y que dispone de los conocimientos de elasticidad lineal necesarios. Al efecto se han incluido en la Bibliografía textos de teoría sobre ambos aspectos. Los temas que cubre este libro son los clásicos de un primer curso de Resistencia de Materiales: los temas básicos relativos a la pieza prismática. Una rápida ojeada al índice ilustra perfectamente el alcance del temario abordado. Se ha centrado el texto en estos temas básicos para adaptarlo precisamente al desarrollo de un curso de duración cuatrimestral; aunque al final de algunos capítulos se han introducido también problemas más complejos (van marcados con un asterisco), para aquellos lectores que deseen profundizar en dichos temas. Los casos más sencillos, introductorios de cada tema, no se han incluido en este libro como problemas, porque ya suelen encontrarse como ejemplos introductorios en los libros de teoría, y no se ha considerado necesario repetirlos. Tampoco se ha pretendido elaborar una colección exhaustiva de problemas, sino seleccionar unos cuantos de cada tema, para ilustrar sus diversas facetas. A pesar de las numerosas revisiones que hemos hecho del texto y de las pruebas de impresión, estamos seguros de que algunos errores y erratas habrán conseguido colarse (confiamos en que sean sólo algunas), y pedimos por ello disculpas al lector. Finalmente queremos expresar nuestro agradecimiento a los siguientes estudiantes de la ETSEIB que, como becarios del Departamento, han colaborado en la esmerada confección del texto, las fórmulas y los dibujos: Pedro J. Campos San Facundo, Antonio Cerra Franco y Robert Gimeno Feu. Los autores Barcelona, junio de 1999
  • 5.
    Índice 9 Índice 1 Diagramas de esfuerzos.......................................................................................................11 2 Esfuerzo normal...................................................................................................................25 3 Esfuerzo de cizalladura pura................................................................................................35 4 Características de secciones.................................................................................................45 5 Dimensionado de secciones a flexión..................................................................................53 6 Flexión desviada y flexión compuesta.................................................................................75 7 Torsión y esfuerzos combinados..........................................................................................89 8 Corrimientos en piezas prismáticas....................................................................................131 9 Piezas y sistemas hiperestáticos.........................................................................................139 10 Inestabilidad elástica...........................................................................................................161 Bibliografia................................................................................................................................185
  • 6.
    Bibliografía 185 Bibliografía COURBON, J. Resistencia de materiales (I y II). Madrid, Aguilar, 1968. LAROZE, S. Resistance des materiaux et Structures (I,II,III y IV). París, Eyrolles-Masson & Cia, 1974. LOVE, A.E.H. A treatise on the mathematical Theory of Elasticity. New York, Dover, 1944. NEUBER, H. Mecánica técnica (II). Madrid, Dossat, 1977. ORTIZ, L. Elasticidad. Madrid, Mc Graw-Hill, 1998. ORTIZ, L. Resistencia de materiales. Madrid, Mc Graw-Hill, 1991. ROURE, F.; MARIMÓN, F.; AYNETO, X., Resistencia de materiales (Fascículos). Barcelona, CPDA- ETSEIB, 1998 TIMOSHENKO, S.P., Resistencia de materiales. Madrid, Espasa-Calpe, 1967. UGURAL, A.C.; FENSTER, S.K. Advanced Strength and applied Elasticity. New York, Elsevier, 1987.
  • 7.
    1 Diagramas deesfuerzos 11 1 Diagramas de esfuerzos
  • 8.
    12 Resistencia de materiales. Problemas resueltos Problema 1.1 Determinar los diagramas de esfuerzos en la estructura de la figura. 600 2 N 45o E 2m C 800 Nm A D B 3m 3m 2m 2 FH 600 2 600 N 2 2 FV 600 2 600 N 2 Resolución: a) Descomposición de la fuerza exterior aplicada en el extremo de la barra BE. b) Cálculo de las reacciones. 600 N 600 N Ejes globales E A C D 800 Nm B RAH RCV RAV Tomamos momentos respecto al punto C: 100 Mc 0 R AV 6 600 3 600 2 800 0 R AV N = -33,3 N 3 Suma de fuerzas verticales y horizontales: 100 1900 FV 0 R AV 600 RCV 0 600 RCV N 3 3 FH 0 RAH 600 N
  • 9.
    1 Diagramas deesfuerzos 13 c) Cálculo de momentos en los tramos AB y BC. 100 TramoAB: M ( x) R AV x x MA 0 MB 100 Nm 3 Tramo BC: M ( x) R AV x 600( x 3) 600 2 100 MB 3 0 1200 1100 Nm 3 100 MC 6 600 3 600 2 800 Nm 3 Diagramas. 600 N E 600 N - N + A B C D B 600 N E A B C D + T - B 1900 100 N N 3 -800 N·m 3 E -100 N·m - - M A - B C D 1200 N·m B + 1100 N·m Equilibrio del nudo B. 600 N 600 N 100/3 N 600 N B 1900 N 3
  • 10.
    14 Resistencia de materiales. Problemas resueltos Problema 1.2 Determinar los diagramas de esfuerzos en la viga de la figura, apoyada en los extremos y sometida a una carga repartida triangular. N 1600 m A B x 6m T Resolución: a) Cálculo de la reacciones. 1600 6 Resultante de la carga Q 4800 N . 2 4800 N A B 6m RA RB 4m 2m RA RB 4800 MA 0 RB 6 4800 4 4800 4 RB 3200 N 6 RA 1600 N
  • 11.
    1 Diagramas deesfuerzos 15 b) Cálculo de los esfuerzos de sección. N 1600 m A B d 1600 N 3200 N x- x L=6m Sección situada a una distancia x del apoyo A: T: x x 1600 T 1600 qd 1600 d 0 0 6 x 1600 2 1600 2 T 1600 1600 x 6 2 0 12 M: x x 1600 M 1600 x q x d 1600 x x d 0 0 6 x 2 3 1600 M 1600 x x 6 2 3 0 1600 x3 x3 1600 x 3 M 1600 x 1600 x 6 2 3 6 6
  • 12.
    16 Resistencia de materiales. Problemas resueltos c) Diagramas. 1600 N + A T - 3200 N M + 3695 Nm d) Punto de Mmáx M T T 0 x 1600 2 T 0 1600 x x 12 3,46 m 12 1600 M máx 1600 3,46 3,46 2 3695 Nm 12
  • 13.
    1 Diagramas deesfuerzos 17 Problema 1.3 Determinar los diagramas de esfuerzos del pórtico inclinado de la figura. 200 2 N B 400 2 N 2m 45 A C 2m 2m Resolución: Para el cálculo de las reacciones, planteamos las ecuaciones de la estática. 200 2 400 2 B A RAH C RAV RC FV 0 R AV RC 200 2 0 FH 0 R AH 400 2 N MA 0 RC 4 400 2 2 200 2 2 0 RC 300 2 N
  • 14.
    18 Resistencia de materiales. Problemas resueltos por tanto, RAV 100 2 N y descomponiendo cada reacción en las direcciones de las barras, 400 100 2 400 2 100 100 400 300 300 400 300 2 400 2 300 2 400 100 100 300 300 100 2 Diagrama N 500 N B + - C A -300 N Diagrama T 300 N B + - C A 300 N Diagrama M
  • 15.
    1 Diagramas deesfuerzos 19 B B x + + A x’ C 300 N MA 0 MC 0 M = 300 · x M = 300 · x’ MB 600 2 Nm MB 600 2 Nm Método alternativo para hallar las reacciones: resolución gráfica. Para que las tres fuerzas estén en equilibrio, sus líneas de acción deben cruzarse en punto O (ya que M0 0 ). A partir de la línea de acción vertical de RC, se obtiene O. F 200 2 RA // OA B 400 2 RC F // OC RA C RC
  • 16.
    20 Resistencia de materiales. Problemas resueltos Problema 1.4 Determinar los diagramas de esfuerzos en la viga de la figura. N p = 600 4000 N ml 3000 N P1 B C P2 D A a=2m L=6m b=2m Resolución: Cálculo de las reacciones: FV : R B RC 4000 600 6 3000 0 M B : 4000 2 600 6 3 RC 6 3000 8 RC 4467 N RB 6133 N Diagrama de momentos flectores: Tramo AB: M 4000 x MA 0 MB 8000 Nm Tramo BC: 2 x 2 M 4000 x 6133 x 2 600 2 MB 8000 Nm MC 6000 Nm Tramo CD: M 4000 x 6133 x 2 600 6 x 5 4467 x 8 MC 6000 Nm MD 0 Diagrama de esfuerzos cortantes. Tramo AB: T 4000 N TA 4000 N TB 4000 N
  • 17.
    1 Diagramas deesfuerzos 21 Tramo BC: T 4000 x 6133 600 x 2 TB 2133 N TC 1467 N Tramo CD: T 4000 6133 3600 4467 TC 3000 N TD 3000 N B C D A a=2m L=6m b=2m -8000 -6000 M ( Nm ) - E xE 2133 3000 3000 + + T - - (N) -1467 -4000 -4000 El diagrama de momentos flectores pasa por un mínimo relativo en el punto E, donde la tangente es horizontal, o sea: M T 0 : 4000 6133 600 x E 2 0 x E 5,35 m x ME = -4208 Nm
  • 18.
    22 Resistencia de materiales. Problemas resueltos Problema 1.5 En la viga en voladizo de la figura, calcular las reacciones en el empotramiento y dibujar los diagramas de esfuerzos cortantes y de momentos flectores en toda la viga. 4 KN 5 KN/m 0,5m 1m 2m 1m Resolución: a) Reacciones en el empotramiento. Comenzaremos por buscar el sistema de fuerzas que ejerce el empotramiento, dibujamos el diagrama de sólido libre y obligamos al equilibrio. Sumando fuerzas y tomando momentos obtenemos: 4 KN 5 KN/m 4 KN 10 KN ME ME 0.5m 0.5m 1m 2m 2m FE FE FE 14 KN Reacciones que ejerce el empotramiento sobre la viga. ME 4 0,5 10 2 22 KN m
  • 19.
    1 Diagramas deesfuerzos 23 b) Diagramas 4 KN 5 KN/m E D C B A 0,5 0,5 2m 1m x - M T + Tramo AB: M=0 T=0 Tramo BC: 2 x 1 M 5 KN m MB 0 2 MC 0 2 T 5 x 1 KN TB 0 TC 10 KN
  • 20.
    24 Resistencia de materiales. Problemas resueltos Tramo CD: M 10 x 2 KN m MC 10 KN m MD 15 KN m T 10 KN TC 10 KN TD 10 KN Tramo DE: M 10 x 2 4 x 3,5 KN m MD 15 KN m ME 22 KN m T 10 4 14 KN TD 14 KN TE 14 KN Estos diagramas se han obtenido tomando el origen de las x en el extremo A, de la derecha, porque en este caso, es más cómodo. Si se determinan los diagramas tomando el origen de las x en el extremo de la izquierda E, tal como se hace habitualmente, el diagrama de momentos flectores, M, sale idéntico; pero el diagrama de esfuerzos cortantes sale opuesto (igual, pero de signo cambiado).
  • 21.
    2 Esfuerzo normal 25 2 Esfuerzo normal
  • 22.
    26 Resistencia de materiales. Problemas resueltos Problema 2.1 Tenemos una barra rígida que está suspendida por dos cables de igual diámetro 4 mm , y cuyos módulos de elasticidad son: E1=2.1·105 MPa y E2=0.7·105 MPa. La longitud de la barra es de 600 mm y la de los cables 300 mm. Se considera despreciable el peso propio de la barra. Dicha barra está sometida a una carga puntual P=500 N. Calcular la posición x de la fuerza para que los puntos A y B tengan el mismo descenso. E2 300 mm 4 mm 4 mm E1 A B x P=500 N 600 mm Resolución: Dibujamos el diagrama de sólido libre y obligamos el equilibrio. Además imponemos la igualdad de deformaciones. RA RB LA LB A B P=500 N FV 0 RA RB P MB 0 RA L P( L x) 0
  • 23.
    2 Esfuerzo normal 27 LA LB Ley de Hooke : RA LA RB LB R B E1 R B 210000 RA RA 3R B S E1 S E2 E2 70000 500 3R B RB 500 RB 125 N RA 375 N 4 De la ecuación de los momentos obtenemos x: RA L P( L x) 0 375 600 500(600 x) 0 x 150 mm
  • 24.
    28 Resistencia de materiales. Problemas resueltos Problema 2.2 En la barra esquematizada en la figura adjunta los extremos A y D están empotrados. Determinar las tensiones en ambas secciones, cuyas superficies son: Aa=40 cm2 y Ab=80 cm2 . Hallar también el diagrama de esfuerzos axiles. Datos: E=2·105 MPa. A 1m Aa=40 cm2 B 3m Ab=80 cm2 C 1m 15 T D Resolución: FV 0 RA+ RD = 15 T = 150000 N Ecuación de deformación El tramo AC está comprimido, por tanto RA es un esfuerzo de compresión, y el tramo CD está traccionado, por lo que RD es un esfuerzo de tracción. Al estar los dos extremos , A y D, empotrados la variación total de longitud es 0; y el acortamiento del tramo superior es igual al alargamiento del tramo inferior: L AB L BC LCD F L Aplicando la ley de Hooke: L A E R A L AB R A L BC R D LCD E Aa E Ab E Ab
  • 25.
    2 Esfuerzo normal 29 RA R A 1000 R A 3000 R D 1000 A 2 10 5 40 10 2 2 10 5 80 10 2 2 10 5 80 10 2 1m B R A 2000 R A 3000 R D 1000 3m Resolviendo las ecuaciones, tenemos RA 25000 N 2.5 T C 1m 15 T RB 125000 N 12.5 T D RD Cálculo de las tensiones. 25000 N Tramo AB: AB 6.25 MPa (COMP.) 40 10 2 mm 2 25000 N Tramo BC: BC 3.125 MPa (COMP.) 80 10 2 mm 2 125000 N Tramo CD: CD 15.625 MPa (TRAC.) 80 10 2 mm 2 Diagrama de esfuerzos normales: 2.5 T A B - C 12.5 T + D
  • 26.
    30 Resistencia de materiales. Problemas resueltos Problema 2.3 a) Las dos barras de la figura articuladas en sus extremos, de acero, de 2 cm de diámetro y de 3.5 m de longitud, soportan un peso P=5 KN. Calcular el descenso del punto C, siendo =20º. Datos: E=2,1·105 MPa. b) Resolver para =0º. A B L L C C’ C1 P Resolución: a) Para =20º: N N P Del equilibrio del punto C se obtiene P N N P N sen 2 Equilibrio del punto C P N 2 sen Sea (CC1) el descenso del punto C, entonces el alargamiento de la barra AC, L, será C’C1 L pudiendo considerarse el triángulo CC’C1 rectángulo en C’. Aquí es . Como por otra sen NL parte: L , se tiene que: EA NL PL 5000 3500 1,13 mm EA sen 2 EA sen 2 2 2.1 10 3,14 10 2 0.34202 2 5 b) Para =0º: A L C L B C1 P
  • 27.
    2 Esfuerzo normal 31 De acuerdo con la estática de los sistemas rígidos, descomponiendo la fuerza P en las direcciones de las barras, se encontrarían, para los esfuerzos en las barras y para las reacciones, valores infinitamente grandes. La solución evidentemente es inaceptable, ya que ni las barras ni los apoyos resistirían. A fin de hacer desaparecer la aparente imposibilidad basta con considerar los alargamientos de las barras que toman direcciones no alineadas. Esto demuestra la necesidad de tener en cuenta las deformaciones en este caso. Poniendo tg (para ángulos pequeños) L el alargamiento de las barras vale 2 2 AC1 AC L2 2 L 2 1 1 1 1 AC L L 2 Esta última igualdad proviene de la expresión: 12 1 1 2 1 3 5 4 1 a 1 a 1 a a a a 2 8 16 128 a Para a<<1 , pueden despreciarse las potencias de a y, por tanto, queda 1 a 1 . 2 El esfuerzo normal en una de las barras es: 2 E A N A E A 2 Por otra parte, del equilibrio del punto C se deduce 2 P P E A P N sen N N 2 2 2 2 Resulta 3 P E A P L L 3 E A
  • 28.
    32 Resistencia de materiales. Problemas resueltos Aplicando los datos numéricos del problema: 5000 3500 3 148 mm 2.1 10 5 3,14 10 2 148 0,04229 rad 2,42º L 3500 P 5000 N 59116 N 2 2 0,04229 N 59116 188 N/mm 2 A 314
  • 29.
    2 Esfuerzo normal 33 Problema 2.4 Hallar las reacciones del sistema y las tensiones en las barras articuladas AB y CB de la estructura representada en la figura, suponiendo infinitamente rígida la barra horizontal DE, articulada en D. Barra AB: sección 40 cm2 Barra CB: sección 80 cm2 Se considera el mismo módulo de elasticidad, para todas las barras. A 2m 40 T D B E 2m 2m 4m C Resolución: Se trata de un sistema hiperestático. RBA y RBC siguen la dirección de la barra. 40 T RBA HD D E VD RBC Ecuaciones de la estática: 2 2 FV 0 VD R BA R BC 40 0 2 2 2 2 FH 0 HD R BC R BA 0 2 2 MB 0 VD 2 40 4 V D 80 T
  • 30.
    34 Resistencia de materiales. Problemas resueltos A acort. B LBC 45º B’’ D B E ~45º B’’ LAB alarg. B’ B’ C A L AB BB LCB BB Al ser deformaciones y ángulos pequeños: BB BB L AB L BC D Alargamiento barra AB= Acortamiento barra BC Aplicamos la ley de Hooke: R BA 2 2 R BC 2 2 2 R BA R BC C E 40 E 80 De la ecuación Fv = 0 tenemos: 2 2 80 R BA 2 R BA 40 0 2 2 con lo que, R BA 56.73 T R BC 113.47 T De la otra ecuación despejamos: HD= - 40 T (sentido contrario al supuesto) Cálculo de las tensiones: 56730 Kp AB 1418 40 cm 2 113470 Kp AB 1418 80 cm 2
  • 31.
    3 Esfuerzo decizalladura pural 35 3 Esfuerzo de cizalladura pura
  • 32.
    36 Resistencia de materiales. Problemas resueltos Problema 3.1 a) Determinar el diámetro mínimo con el que se puede perforar una chapa de acero A-42b ( e=260 N/mm2) de 5 mm de espesor suponiendo que el punzón tiene una tensión admisible a compresión, 2 adm= 500 N/mm . b) ¿ Qué fuerza máxima se ejercerá ? c) ¿ Qué adm debería tener el punzón para realizar un punzonado de 5 mm ? Nota: Suponer que el extremo del punzón es plano y horizontal. Punzón 2 adm = 500 N/mm Chapa de acero e = 260 N/mm2 Resolución: a) punzon d2 Fmax adm A 500 392,7 d 2 4 chapa Fmax e S 0.65 260 d 5 2654.6d punzon chapa Fmax Fmax 392,7 d 2 2654.6d d min 6,76 mm d2 b) Fmax adm A 500 17945 N 4 52 c) punzon 0.65 260 5 5 676 N adm 4 adm mm 2 adm 5 mm e
  • 33.
    3 Esfuerzo decizalladura pural 37 Problema 3.2 Dimensionar la cadena de una bicicleta con un coeficiente de seguridad s y suponiendo todo el peso del ciclista sobre uno de los pedales. P P = 800 N R = 200 mm R Plato D=200 mm D Chapa eslabones: e=360 Mpa Pasadores: e=260 Mpa b a e? e? d? cilindros “centradores” Resolución: D P F P R 800 N 200 mm F F 1600 N D 100 mm 2 R
  • 34.
    38 Resistencia de materiales. Problemas resueltos Dimensionado de la garganta ‘a’ de la chapa a tracción pura: F/2 F/2 F F 2 2 800 adm a e 3,3 mm 2 a e adm 240 F/2 F/2 360 MPa adm 240 MPa 1 .5 p.ej : a = 4mm e =1 mm Dimensionado del pasador a cizalladura: F d2 d2 800 adm 138 d min 2.7 mm 2 4 4 260 adm 0.8 adm 0.8 138 N/mm 2 1.5 Dimensionado del pasador a aplastamiento: F ' 800 adm d e 347 d 1 d min 2,3 mm 2 260 2 347 N adm 1.5 mm 2 d min máx 2,7 ; 2,3 d min 2,7 mm Dimensionado de la chapa en la zona del orificio del pasador a tracción: F 800 b d e adm b 2,7 1 240 bmin 6,0 mm 2 a desgarro: t1 2d 5 .4 bmin 10.8 mm bmin max 6,0 ; 10,8 bmin 10,8 mm El dimensionado final queda así:
  • 35.
    3 Esfuerzo decizalladura pural 39 e 1 mm d 2,7 mm a 4 mm b 10,8 mm b=10,8 mm a= 4 mm e=1 mm d= 2,7 mm
  • 36.
    40 Resistencia de materiales. Problemas resueltos Problema 3.3 Dimensionar la unión esquematizada en la figura suponiendo que las chapas son de acero A-37b y las uniones son roblonadas. e2 t1’ e1 t1 t1 e3 e3 d1 d2 t1 t1 t1’ N? b d2 d1 Datos: e1 = 5 mm e2=e3 Chapas: Roblones: Tomar: se=1,5 Acero A37b Acero A37b 2 2 e=240 N/mm e=240 N/mm Resolución: a) Unión 1 t1 e1 F/2 e2 F F/2 e2 d1
  • 37.
    3 Esfuerzo decizalladura pural 41 Cizalladura: 2 2 2 F d1 d1 240 d1 T adm e 0.8 100,55 d 12 201.1 d1 2 Fmax 2 4 seg 4 1.5 4 Aplastamiento: Fmax Fmax Fmax d 1 e1 d1 5 2000 d 1 Fmax 240 adm adm 2.5 1.5 De las condiciones cizalladura y aplastamiento simultáneas obtenemos: d1,optimo = 9.95 mm 10 mm = d1 Fmax = 20000 N ( fallará por aplastamiento de la chapa ) - Desgarramiento t1 2d 1 t1 20 mm Cálculo de la sección neta t1=2d=20 mm Fmax 10 mm b 20000 N 260/1.5 = 160 N/mm2 Fmax N 20000 N 160 b 10 mm = 35 mm Aneta mm 2 N 160 5 mm mm 2 Dimensionado de e2: las dos chapas e2 son del mismo material que la chapa e1 , tiene las mismas dimensiones y trabajan de la misma manera, por tanto: e1 2 e2 e1 e2 2,5 mm 2
  • 38.
    42 Resistencia de materiales. Problemas resueltos b) Unión 2 e2 t1’ e3 F/4 F/2 F/2 e1 F/2 e2 F/4 e3 F F N? d2 e1 Atención: es un problema hiperestático. Aquí se presenta la solución concreta para el caso e2 2 ,y con la hipótesis de roblón rígido; por lo que puede suponerse que la fuerza total se distribuye entre las tres chapas de la derecha de la manera indicada en la figura: F/4, F/2 y F/4. Cizalladura: F 2 2 4 F d2 20000 240 d2 49.74 2 T adm 0.8 d2 N 4N 4 4N 1.5 4 N Aplastamiento: F 2 F 20000 240 10 adm d 2 e2 2.5 d 2 2.5 d2 N 2N 2N 1.5 N De las condiciones de cizalladura y aplastamiento obtenemos d2 4.97 mm d2 5 mm N 2 con lo que vemos que fallara antes por aplastamiento. Desgarramiento: t1 2d 10 mm Tracción: Seguro que cumple ya que b es igual y F es menor.
  • 39.
    3 Esfuerzo decizalladura pural 43 Problema 3.4 Hallar el coeficiente de seguridad seg de las piezas rectangulares de trabado para los perfiles de estantería metálica representados en la figura. s ? Acero A-42b Kp 20 mm e 2600 cm 2 10 mm p = 100 N/cm h = 20 cm L = 50 cm
  • 40.
    44 Resistencia de materiales. Problemas resueltos Resolución: p 2Fh h 2Fv h L 2Fh 2Fv pL2 FH M (momento a transmitir en la sección 2 de empotramiento) FV M p L2 100 50 2 2 FH h M FH 2h 4h 4 20 T FH 3125 N FV 4 Fv p L 100 50 5000 N Fv 1250 N T FH 2 FV 2 3125 2 1250 2 3666 N FH FT (suponiendo una distribución constante de en la sección) S 3366 16,8 N/cm 2 20 10 e 0,6 e 0.6 260 S 9,28 máx máx 16,8
  • 41.
    4 Características desecciones 45 4 Características de secciones
  • 42.
    46 Resistencia de materiales. Problemas resueltos Problema 4.1 Determinar las inercias resultantes Iz e Iy si partimos de cuatro perfiles L 45x45x5, para unas cotas b y h genéricas. b y z z h y Resolución: De las tablas: Iz’ = Iy’= 7,84 cm4 y’ A = 4,3 cm2 z’ z’ c = 1,28 cm c c y’ 2 h Iz I z' A c (momento de inercia de una L, respecto al eje z) 2 c h/2 z z 2 b Iy I y' A c (momento de inercia de una L, respecto al eje y) 2 y c b/2 y
  • 43.
    4 Características desecciones 47 2 h Iz 4I z 4I z' 4 A c 59,54 4,30 h 2 5,12 h (momento de inercia de las 2 cuatro L) 2 b Iy 4I y 4I y' 4 A c ( momento de inercia de las cuatro L) 2 Iz 4,30h 2 22h 59,54 Iy 4,30b 2 22b 59,54
  • 44.
    48 Resistencia de materiales. Problemas resueltos Problema 4.2 Dado un perfil “doble T”, determinar la magnitud a de la figura para que la inercia de la viga aligerada resultante sea 4 veces la inercia inicial. y’ y e z h z’ 2a h’ IZ A a ? IZ I Z’ = 4 I Z Resolución: a/2 a z z a/2 3 IZ IZ/2 IZ 1 a e IZ’/2 2 12 2 A a A' A a A A/2 e e 2 2 2 2 2
  • 45.
    4 Características desecciones 49 3 2 IZ 1 a A a a IZ 1 a3 A 2 a3 IZ' e e 2 e a e 2 2 12 2 2 2 2 2 12 8 8 8 13 a3 A 2 a2 13 IZ e a IZ A e a 12 4 4 4 12 a2 13 IZ ' IZ A e a 4 12 a2 13 Ha de ser : IZ' 4I Z IZ A e a 4 12 13 A 2 e a3 a 3I Z 0 a 48 4 e si suponemos que (e·a) es << A (área total del perfil IPE) : a A a2 a2 IZ ' IZ 3I Z A 4 4 IZ IZ a 12 2 3 2 3 iZ A A IZ ( iZ radio de giro de la sección respecto al eje z) A
  • 46.
    50 Resistencia de materiales. Problemas resueltos Problema 4.3 Determinar las siguientes características de la sección monosimétrica de la figura respecto del eje principal z: a) A , Iz , Wz,sup , Wz,inf , iz . b) El momento resistente elástico, Mel. z , para un acero e=235 N/mm2. y 400 30 # 400·30 ysup # 800·10 z G Mel.z 800 10 yG yinf # 250·20 250 20 e= 235 N/mm2 Resolución: a) El área de la sección total será la suma de las áreas de las pletinas: A Ai 400 30 800 10 250 20 25000 mm 2 Por simetría el centro de gravedad, G, está situado sobre el eje y (z = 0).
  • 47.
    4 Características desecciones 51 Para determinar la posición y del centro de gravedad de la sección, G, es cómodo calcular el momento estático de cada elemento respecto de la fibra inferior. Así: A yG Ai y i Ai y i 400 30 835 800 10 420 250 20 10 yG 537 mm A 25000 Se utiliza el teorema de Steiner para calcular el momento de inercia de la sección total respecto del eje y-y: 1 2 Iz bi hi3 Ai yi yG 12 1 2 Iz 400 30 3 400 30 835 537 12 1 2 10 800 3 800 10 420 537 12 1 2 250 20 3 250 20 10 537 299154 10 4 mm 4 12 El módulo resistente respecto de la fibra superior, ysup: Iz 299154 10 4 W z ,sup 9558 10 3 mm 3 y sup 850 537 El módulo resistente respecto de la fibra inferior, yinf: Iz 299154 10 4 W z ,inf 5571 10 3 mm 3 y inf 537 El radio de giro de la sección respecto del eje z, iz: Iz 299154 10 4 iz 346 mm A 25000 b) El momento resistente, Mel.z, se obtiene a partir de la tensión de límite elástico del material y del módulo resistente mínimo de la sección: M el . z e W z ,min 235 5571 10 3 1309 10 6 N mm 1309 kN m
  • 49.
    5 Dimensionado desecciones o flexión 53 5 Dimensionado de secciones o flexión
  • 50.
    54 Resistencia de materiales. Problemas resueltos Problema 5.1 Dimensionar la viga esquematizada suponiendo que disponemos de perfiles IPE 240 como máximo y chapa de 10 mm de grosor. C P A B P = 9500 Kp L=6m = = Acero A 42b L se = 1,5 E D C E D C Resolución: Acero A 42 b 2600 Kp 2600 cm 2 1733 Kp 2 e adm 1,5 1,5 cm se L2 L1 C E D A x + P x Momentos flectores M ( x) 4750 x 2 P L MC 1425 103 Kp cm 4 Tramo A-E : I 3890 cm 4 IPE 240 3 M max W adm 561 103 Kp cm W 324 cm 561 · 103 = 4750·x x = 118,2 cm L1=115 cm
  • 51.
    5 Dimensionado desecciones o flexión 55 Tramo E-D: es necesario reforzar 1 1 I b e3 b e d 2 12 13 12 12.52 1 1875 1876 cm 4 b=120 mm 12 12 e =10 d 7642 I2 3890 2(1876) 7642 cm 4 W2 588 cm 3 13 M adm 588 1733 1019 10 3 kp cm 1019 · 103 = 4750·x x = 214,6 cm L1 = 210 cm Tramo D-C: e 1 e I b e3 b e d 2 1 12 13,52 2188 cm 4 12 d 12018 I3 I2 2(2188) 12018 cm 4 W3 858 cm 3 14 M adm 858 1733 1487 10 3 kp cm 1019 · 103 = 4750·x x = 313 cm > 300 cm no es necesario reforzar más 300 cm 210 cm P 115 M (m·Kp) 5460 + 14250 Solicitación 5610 9970 Capacidad resistente 10180 14872 9500/2 = 4750 Kp + T (Kp) - 4250 Kp
  • 52.
    56 Resistencia de materiales. Problemas resueltos Problema 5.2 Dimensionar un segmento de pistón de radio R para que pueda ejercer sobre la pared del cilindro una presión uniforme de 0,19 N/mm2 , sin que las tensiones superen el valor de max= 261,5 N/mm2 ( e = 340 N/mm2 , se = 1,3) (Fundición de grafito nodular). Nota: Usar la simplificación de simetría, R h suponiendo que es suficientemente R pequeño. R = 40 mm h b Resolución: voladizo Por razones de simetría consideramos: R Diagrama de momentos flectores : Momento producido por dp en el punto genérico C C p R·d 2 dM c b p R d R sen c p b R sen c d C dp (dp = p · R · d ) B O A Momento total para el punto genérico C:
  • 53.
    5 Dimensionado desecciones o flexión 57 c p b R 2 sen p b R 2 cos p b R 2 1 cos c Mc c d c 0 c 0 Por tanto, si el momento flector para cualquier punto del segmento es : Mc p b R 2 1 cos c M tendremos el máximo: c = 180 Mmax = 2 · p ·b · R2 Mmax = 180 ==180 0 M h 2 p b R2 h 12 p R 2 261,5 N max I 2 1 h2 adm mm 2 b h3 2 12 h 0,093R 3,7 mm h No depende de b
  • 54.
    58 Resistencia de materiales. Problemas resueltos Problema 5.3 Un estudiante ha decidido instalar un estante para colocar sus libros y apuntes. Los ha colocado uno junto al otro y ha medido la longitud total de estante que necesita y la anchura que debe tener. Al ir a comprar el estante ve que para estas dimensiones puede escoger varios espesores distintos. No sabe cuál escoger. Entonces recurre a un amigo suyo que está haciendo 3er curso de Ingeniería Industrial y le expone el problema: He decidido instalar un estante para libros, según el croquis de la figura: h b a a 100 cm a 15 cm b 20 cm p libros y apuntes 0,6 Kg/cm En la tienda me han informado de que la madera de los estantes tiene las siguientes características mecánicas: adm 4 N/mm 2 E 10 000 N/mm 2 La cuestión es: a) ¿De qué espesor h mínimo debo colocar el estante? b) Los dos apoyos los he colocado, simétricamente, a una distancia a = 15 cm del extremo por razones puramente estéticas. Pero, atendiendo a razones de comportamiento resistente, ¿cuál sería la distancia óptima de los apoyos a los extremos, que podría minimizar el espesor h del estante? c) Finalmente, me preocupa saber cuál será la flecha que tendrá el estante, una vez cargado, en su punto central (con la distancia a inicial).
  • 55.
    5 Dimensionado desecciones o flexión 59 Resolución: a) Determinación de h mínima. p A B C D h b a a x p RB RC 2 - - Tramo AB: M + x2 M p 2 a2 MA 0 MB p 2 + + T T p x - - TA 0 TB p a vE Tramo BC: x2 a2 a2 M p p x a MB p p a a p 2 2 2 2 2 a2 MC MB p 2 2 2 2 a a xE ME p p p p p 2 8 4 2 8 2
  • 56.
    60 Resistencia de materiales. Problemas resueltos T p x p TB p a p 2 2 TC p a p p a p 2 2 Tramo CD: x2 x2 M p p x a p x a p p x a x a 2 2 2 2 2 2 x2 a a2 M p p 2x MC p p 2 a p 2 2 2 2 2 2 MD p p 2 0 2 2 T p x p TC p a p p a TD p p 0 Con = 100 cm, a = 15 cm y p = 0,6 Kg/cm, tenemos los siguientes resultados: MB MC 112,5 p 67,5 cmKg ME 500 p 300 cmKg M máx ME ME b h2 máx adm 40,77 Kg/cm 2 W z , mín Wz Wz 40.77 6 ME 6 hmín hmín 1,49 cm b 20 40,77 20 b) Determinación de la distancia a óptima. Óptimo resistente: M máx M máx MB ME a2 2 a p p p 2 8 2
  • 57.
    5 Dimensionado desecciones o flexión 61 2 a2 a 0 4 2 2 a 2 2 4 2 2 2 0,207 La segunda solución no a a interesa, porque cae fuera 2 4 2 2 1,207 del intervalo analizado Así pues, la distancia ‘a’ óptima es: a óptima 20,7 cm Y se tiene, un momento máximo: M máx 128,7 cmKg c) Cálculo de la flecha en el punto central, por el método de la fuerza unitaria. F=1 A B C D Tramo BE: E 1 M x a 2 Tramo EC: a a 1 M x a 1 x 2 a x M’ + W M 1 a x2 1 x2 1 M dx p 0 dx 2 p p x a x a dx 2 F EI EI o a EI a 2 2 2 2 x3 a a 2 a x a2 2 p p x2 p x p x p p dx 2 EI a 2 2 2 2 2 2
  • 58.
    62 Resistencia de materiales. Problemas resueltos P x4 x3 a x2 a x3 a x2 a2 x 2 EI 8 6 4 6 4 2 a 0,6 ( 781,25 2083 937,5 312,5 937,5 562,5 6,328 EI 0,6 24724 56,25 84,375 8,437 84,375 168,75) 10 3 0,265 cm 100 000 5,513 bh 3 20 1,49 3 I 5,513 cm 4 12 12
  • 59.
    5 Dimensionado desecciones o flexión 63 Problema 5.4 Sea una viga de sección transversal en doble T, formada por 3 platabandas soldadas de dimensiones las de la figura. Hallar el paso l de los cordones de soldadura a tramos de unión entre el alma y las alas, si la garganta de soldadura es a= 5mm y la longitud de cada tramo de cordón es de ls = 10 cm. El esfuerzo cortante máximo que soporta la viga es Ty= 40000 kg. La tensión cortante admisible en la soldadura es adms = 1000 kg/cm2. y 12 mm 6 mm 600 G x s s x z z 220 Resolución: Esfuerzo cortante por unidad de longitud en la superficie de contacto entre alma y platabanda T mZ 1 A f mzA1 : momento estático del ala IZ A mZ 1 22 1,2 30,6 807,84 cm 3 1 1 IZ 2 22 1,2 3 22 1,2 30,6 2 0,6 60 3 49 446,14 10 800 60 246,14 cm 4 12 12 40 000 807,84 f 536,35 kg/cm 60 246,14 6
  • 60.
    64 Resistencia de materiales. Problemas resueltos Esfuerzo cortante admitido por el cordón de soldadura, Fadms 2 adms s a Igualando esfuerzos Fadms f T m zA1 2 adms s a Iz 2 1000 10 0,5 536,35 2 1000 10 0.5 18,64 cm 19 cm 536,35
  • 61.
    5 Dimensionado desecciones o flexión 65 Problema 5.5 Se ha construido una viga roblonando cuatro angulares 120*120*12 en los extremos de una platabanda de 400*20 mm. Hallar el diámetro mínimo de los roblones si la viga está biapoyada en sus extremos, tiene una longitud de 6 m, y soporta una carga puntual centrada P. Datos: separación entre roblones e= 120 mm; tensión normal admisible de la platabanda y los angulares: admisible=173 Mpa; tensión cortante admisible de los roblones adm roblón= 42 MPa. y 120 120 e e 60 20 400 z Resolución: P M adm y máx Iz 3 P 10 3 P P 2 2 2 173 200 Iz 6m Iz I z ,alma I z , angular 1 2 2 40 3 4 368 27,5 20 3,4 M 12 + 10666,7 4 7945,9 42450,3 cm 4 Iz 42450,3 10 3 mm 4 P 3 2 173 42450,3 10 3 2 P P 244796 N 2 + 200 3 10 3 T - P 2
  • 62.
    66 Resistencia de materiales. Problemas resueltos Esfuerzo cortante a transmitir por los roblones por unidad de longitud T mZ 122 398 913 10 3 f 263,25 N/mm IZ 42450,3 10 4 P T 122 398 N 2 mz 2 27,5 16,6 913 cm 3 913 10 3 mm 3 Esfuerzo cortante que ha de ser soportado por cada roblon F f e 263,25 120 31590 N d2 Fadm 2 42 31590 N 4 31590 4 d 21,9 mm 2 42 Diámetro mínimo de los roblones : d = 21,9 mm
  • 63.
    5 Dimensionado desecciones o flexión 67 Problema 5.6 Una viga armada tiene una sección compuesta por un alma rectangular de 800 12 mm, y cada ala compuesta por una platabanda de 190 10 mm y 2 perfiles angulares 90 8 mm. Calcular el diámetro mínimo de los roblones, sabiendo que el paso de remachado de los angulares con el alma es e1= 18 cm y el de la platabanda y angulares es e2= 40 cm. Esfuerzo cortante máximo que ha de soportar la viga: T = 40 kN. Tensión de cortadura admisible en los roblones adm = 42 MPa. e2=40 190 10 d2 d1 800 (total) e1=18 12 z ( simétrico ) ( simétrico ) Resolución: IZ I Z ( alma ) I Z ( angulares ) I Z ( platabandas ) 1 2 1 2 IZ 1,2 80 3 4 104 13,9 40 2,5 2 19 13 19 1 40 0,5 12 12 51200 4 19650,8 2 31166,3 192135,9 cm 4 Esfuerzo cortante a transmitir por los roblones alma-angulares, por unidad de longitud T mZ 1 A f1 IZ (A1 = área angulares + área platabanda) m Z 1 19 1 (40 0,5) A 2 13,9 ( 40 2,5) 1812 cm 3 40000 1812 f1 377,2 N/cm 37,72 N/mm 192135,9
  • 64.
    68 Resistencia de materiales. Problemas resueltos Esfuerzo a transmitir por cada roblon: d1 2 f 1 e1 2 adm 4 3,1416 d 1 2 377,2 180 2 42 4 4 37,72 180 d12 102,9 2 3,1416 42 d1 10,15 mm Esfuerzo cortante a transmitir por los roblones angulares-ala, por unidad de longitud: T mZ 2 A f2 IZ (A2 = área ala) mZ 2 A 19 1 (40 0.5) 769,5 cm 3 40000 769,5 f2 160,2 N/cm 16,02 N/mm 192135,9 Esfuerzo que debe transmitir cada roblón: 2 f 2 e2 d2 adm 2 4 2 16,02 400 3,1416 d 2 42 2 4 d 2 9,86 mm
  • 65.
    5 Dimensionado desecciones o flexión 69 Problema 5.7 * Se construye una viga cajón compuesta de dos tipos de madera: - ALMA: tablero contrachapado e = 25 mm E2 = 8000 N/mm2 - ALAS : sección cuadrada 200 · 200 mm E1 = 10000 N/mm2 p =10 KN/ m = = 500 25 10 m 500 a) Calcular la distribución de tensiones en la sección central. b) Calcular la tensión tangencial media en el adhesivo de contacto ( adm = 1 N/mm2 ). c) Calcular la flecha central 200 · 200 Resolución: a) Se trata de una sección compuesta de dos materiales. Se decide homogeneizar la sección de madera maciza y, por tanto, trabajar con un espesor equivalente, e*, del tablero contrachapado. Así, la relación de equivalencia: E1 10000 n 1,25 E2 8000 El espesor equivalente e 25 mm e* 20 mm n 1,25 La posición del baricentro de la sección es inmediata por razón de simetría. El momento de inercia de la sección homogénea es: 1 1 IZ 2 200 200 3 2 200 200 500 2 2 20 1000 3 236 10 8 mm 4 12 12 Steiner 1000 e* = 20 200 ·200
  • 66.
    70 Resistencia de materiales. Problemas resueltos x x1 x2 3,2 2,1 2,1 e* =20 e* 400 G 500 2,1 2,1 3,2 Tensión en la madera maciza: M MZ 1 2 x1 ( y ) y Mmáx = pL 125 KN m IZ 8 T Tensiones reales en el tablero: 1 Tmáx = pL 50 KN MZ 1 2 x2 ( y) y IZ n Así: 125 1000 1000 N mm x1 ( y 600 mm) 600 mm 3,2 N/mm 2 236 10 8 mm 4 125 1000 1000 N mm x1 ( y 400 mm) 400 mm 2,1 N/mm 2 236 10 8 mm 4 En el tablero contrachapado n = 1,25 1 125 10 6 N mm x2 ( y 500 mm) 500 mm 2,1 N/mm 2 1,25 236 10 8 mm 4
  • 67.
    5 Dimensionado desecciones o flexión 71 b) Tensión media en el adhesivo y 100 mm A Fórmula de Collignon: med A Ty mZ med d IZ b z G Ty: esfuerzo cortante en la sección x IZ: momento de inercia total respecto Z mZA: momento estático de la sección A respecto al eje Z b: linea AB 50000 N 200 200 mm 2 500 mm med 0,2 N/mm 2 236 10 8 mm 4 2 100 mm Este valor es inferior a la tensión tangencial admisible en el adhesivo = 1 N/mm2 c) 5 P L4 5 10 10000 f 5,5 mm 384 E I Z 384 10000 236 10 8 L 10000 Valor aceptable, ya que 10 mm 1000 1000
  • 68.
    72 Resistencia de materiales. Problemas resueltos Problema 5.8 * La figura representa una sección armada doblemente simétrica. Calcular Mel.z , Mpl.z y el coeficiente para los dos casos. y a) Material alas: Fe E 235 Material alma: Fe E 235 == 300 · 25 b) Material alas: Fe E 35 == 800 · 12 Material alma: Fe E 235 z G (Puede comprobarse que la sección se plastifica con la ausencia de abolladuras elásticas o elastoplásticas. No se consideran inestabilidades == 300 · 25 globales : pandeo, vuelco lateral) Resolución: a) Mismo acero. y e = 235 e = 235 A1 · e A2 · e d2 d1 Eje neutro Eje neutro z G elástico plástico G Mel.z 12,5 Mpl.z 25 e = 235 e = 235 Al tratarse de una sección doblemente simétrica el eje neutro plástico pasa por el baricentro G. Caso elástico: 1 1 IZ 800 3 12 2 300 25 3 300 25 12,5 2 306484 10 4 mm 4 12 12 IZ 306484 10 4 mm 4 WZ 7210 10 3 mm 3 ( = Wel.z ) y max 12,5 mm
  • 69.
    5 Dimensionado desecciones o flexión 73 N M el . z Wel . z e 7210 10 3 mm 3 235 1694 KN m mm 2 Caso plástico: 400 M pl . z 2 A1 e d1 A2 e d2 2 300 25 235 12,5 400 12 235 1905 KN m 2 Coeficiente : M pl . z 1905 1,12 M el . z 1694 b) Diferente acero. Caso elástico Tiene las mismas constantes mecánicas IZ, WZ, pero la tensión en la fibra extrema 425 max 235 250 355 400 M el . z Wel . z max 7210 10 3 250 1802 KN m Caso plástico N N M pl . z 2 A1 d 1 355 2 A2 d 2 235 2648 KN m mm mm 2 Coeficiente : M pl . z 2648 1,47 M el . z 1802 max e = 355 A1 · e e = 235 A2 · e 425 d2 400 d1 Eje neutro plástico Mel.z Mpl.z e = 235 e = 235
  • 70.
    6 Flexión desviaday flexión compuesta 75 6 Flexión desviada y flexión compuesta
  • 71.
    76 Resistencia de materiales. Problemas resueltos Problema 6.1 * Hallar el punto de la sección con mayor tensión normal, y el valor de esta tensión. q q = 2000 kg/ml 4m 30 y’ 1,5 18 z’ 1,5 7,5 1,5 Resolución: a) Determinación del momento flector máximo ql 2 2000 4 2 M max 4000 m kg 8 8 ( en la sección central x = 2 m )
  • 72.
    6 Flexión desviaday flexión compuesta 77 q 30 y’ M es perpendicular a q y forma 30 con el eje z’. Los ejes y’-z’ no son los ejes principales de inercia. Vamos a M= 4000 m kg determinarlos. 30 z’ b) Determinación de los momentos de inercia principales Iy’, Iz’ Primero hallaremos el tensor de inercia en ejes y’-z’ (no principales) y a continuación lo diagonalizaremos, para hallar los momentos de inercia principales y sus direcciones (ejes principales) y’ 1 1 I 3z' 1,5 18 3 729 cm 4 12 z’ 1 3 I 3 y' 18 1,5 3 5,06 cm 4 12 2 1 1,5 I 1z ' I 2z' 9 1,5 1,5 3 7,5 1,5 9 767,8 cm 4 12 2 2
  • 73.
    78 Resistencia de materiales. Problemas resueltos 2 1 1,5 7,5 I1y' I 2 y' 1,5 7,5 3 7,5 1,5 280,54 cm 4 12 2 2 I z' 729 2 767,8 2264,6 cm 4 I y' 5,06 2 280,54 566,14 cm 4 I3y’z’=0 por tener eje de simetría. 7,5 I1y'z ' I 2 y'z ' 0 7,5 1,5 9 0,75 0,75 417,65 cm 4 2 I y 'z ' 417,65 2 835,3 cm 4 Tensor de inercia I z' I y'z' 2264,6 853,3 ( cm4 ) I y'z' I y' 853,3 566.14 Los momentos principales de inercia son los valores propios. 2264,6 835,3 2 0 2264,6 566,14 835,3 0 835,3 566,14 2 2264,6 566,14 2264,6 566,14 835,32 0 2 2830,74 584 354,55 0 2830,74 2382,36 2830,74 2830,74 2 4 584 354,55 2606,55 cm 4 2 2 2830,74 2382,36 224,19 cm 4 2 Momentos de inercia I z 2606,55 cm 4 principales I y 224,19 cm 4
  • 74.
    6 Flexión desviaday flexión compuesta 79 Los vectores propios serán las direcciones principales. El vector propio correspondiente al valor propio 2606,55 cm4. 2264,6 2606,55 835,3 n1 z 0 835,3 566,14 2606,55 n1 y 0 314,95 n1 835,3 n1 z y 0 835,3 n1 z 2040,41 n1 y 0 n1 y 341,95 tg 0,409 n1 z 835,3 arctg 0,409 22,24 y’ y 7,76 My 4000 sen 30 22,24 z 4000 sen 7,76 540 m kg M Mz 4000 cos 30 22,24 3963,36 m kg 30 22,24 My Mz My z’ Mz x y z Iz Iy 3963,36 10 2 540 10 2 x y z 2606,55 224,19 x 152,05 y 240,86 z Ecuación del eje neutro. y’ y 22,24 0 152,05 y 240,86 z A(-8.25,9) 240,86 y z 152,05 z 22,24 y 1,58 z Angulo que forma el eje neutro con z’ el eje principal z: Eje neutro y tg 1,58 57,67 º z B(8.25,-9)
  • 75.
    80 Resistencia de materiales. Problemas resueltos Relación entre coordenadas de ambas referencias. z cos sen z' y sen cos y' z cos 22,24 sen 22,24 z' y sen 22,24 cos 22,24 y' z 0,9256 z ' 0,3784 y ' y 0,3784 z ' 0,9256 y ' Las tensiones máximas aparecen en los puntos más alejados del eje neutro ( A y B ) Para A z'A 8.25 zA 0,9256 ( 8.25) 0,3784 9 4,230 y'A 9 yA 0,3784 ( 8.25) 0,9256 9 11,452 Tensión en A: A 152,05 11,452 240,86 ( 4,230) 2760,11 kg/cm 2 Tensión en B: z 'B 8,25 y 'B 9 z 0,9256 (8,25) 0,3784 ( 9) 4,230 y 0,3784 (8,25) 0,9256 ( 9) 11,452 B 152,05 ( 11,452) 240,86 4,230 2760,11 kg/cm 2
  • 76.
    6 Flexión desviaday flexión compuesta 81 Problema 6.2 Una columna tiene la sección en cruz indicada en la figura. La fuerza resultante es de compresión (50 Tn) y pasa por el punto A. Hallar la tensión normal en B y dibujar el eje neutro. x ( cm ) 15 10 15 B y 10 50 Tn 15 A 10 z Resolución: Trasladando la fuerza al centro de gravedad G de la sección, los esfuerzos equivalentes son: B N 50 Tn -50 Tn 15 My 50 Tn 10 cm 875 cm Tn G 2 y 10 My= -875 cm Tn Mz 50 Tn cm 250 cm Tn 2 A Mz= 250 cm Tn -50 Tn B y z My=-875 cm Tn A Mz= 250 cm Tn z
  • 77.
    82 Resistencia de materiales. Problemas resueltos N Mz My x y z A Iz Iy 50 000 250 000 875 000 x y z A Iz Iy A 10 35 2 15 15 800 cm 2 1 3 1 Iz 15 15 10 15 2 10 10 3 81667 cm 4 12 12 1 3 1 Iy 10 10 15 10 2 15 15 3 44 167 cm 4 12 12 50 000 250 000 875 000 x y z x 62,5 3,06 y 19,81z kg/cm 2 800 81667 44167 a) Tensión normal en B y 5 cm Coordenadas de B z 17,5 cm xB 62,5 3,06 ( 5) 19,81 ( 17,5) 299,47 kp/cm 2 b) Eje neutro y 0 62,5 3,06 y 19,81z zona zona traccionada 19,81 62,5 comprimida y z y 6,47 z 20,42 3,06 3,06 20,42 para y 0 z 3,15 6,47 z z 0 B para z 0 y 20,42 y 20,42 z 3,15 y 0 eje neutro
  • 78.
    6 Flexión desviaday flexión compuesta 83 Problema 6.3 Sobre una columna de sección rectangular ( 35 40 cm), se aplican dos fuerzas excéntricas: 30 Tn en el punto P(y = 3, z = 4 cm) y 50 Tn en el punto Q (y = 0, z = -5 cm). Dibujar el eje neutro y hallar el punto de máxima tensión normal. 30 Tn 50 Tn y Q P 5 3 4 z 35 40 Resolución: Trasladando las dos fuerzas al centro de gravedad G de la sección obtenemos: y My 30 0,04 50 0,05 1,2 2.5 1,3 Tn m D Mz 30 0,03 0,9 Tn m My= 1,3 Tn m 80 Tn N 30 50 80 Tn B C G A z Mz= 0,9 Tn m
  • 79.
    84 Resistencia de materiales. Problemas resueltos N Mz My x y z A Iz Iy A 40 35 1400 cm 2 1 Iz 40 35 3 142 916,7 cm 4 80000 90000 130000 12 x y z (kg/cm 2 ) 1400 142 916,7 186 666,7 1 Iy 35 40 3 186 666,7 cm 4 12 x 57,14 0,630 y 0,696 z (kg/cm 2 ) x 5,71 0,0630 y 0,0696 z ( N/mm 2 ) ( y, z en cm) ( y, z en mm) Eje neutro: 0 57,14 0,630 y 0.696 z 0,696 57,14 y z y 1,1z 90,70 0,630 0,630 y 0 z 82,46 z 0 y 90,70 y C D z (0 ; 82,46) A B eje neutro (-90,70 ; 0)
  • 80.
    6 Flexión desviaday flexión compuesta 85 A 57,14 0,630 ( 17,5) 0,696 20 32,19 kg/cm 2 3,219 N/mm 2 B 57,14 0,630 ( 17,5) 0,696 ( 20) 60,04 kg/cm 2 6,004 N/mm 2 C 57,14 0,630 17,5 0,696 20 54,24 kg/cm 2 5,424 N/mm 2 D 57,14 0,630 17,5 0,696 ( 20) 82,08 kg/cm 2 8,208 N/mm 2
  • 81.
    86 Resistencia de materiales. Problemas resueltos Problema 6.4 Se ha proyectado una sencilla estructura para soportar el tablero y la canasta de una pista de baloncesto. Se trata de un tubo de acero embebido en un bloque de hormigón a 45º de la horizontal según se indica en la figura. Se supone que el estado de carga más desfavorable es el que se produce cuando un jugador permanece unos instantes sujeto al aro de la canasta, transmitiendo así todo su peso a la estructura en la forma indicada en la figura. Una vez estudiados los efectos dinámicos de esta acción, se estima que el esfuerzo máximo que el jugador puede llegar a transmitir al aro es de F = 2000 N y M = 106 Nmm. La estructura se quiere construir en tubo redondo de acero con espesor de pared de 4 mm. L=4000 mm L0=1000 mm P F=2000 N M=106 N·mm M A1=0,5 A Tubo de acero. Espesor de pared: 45º 4mm E=2,1·105 MPa G=8·104 MPA F x y z L1 L L0 Calcular el diámetro necesario, según la tabla de perfiles normalizados, para que el descenso vertical del punto P no exceda los 80 mm. Notas importantes: - Considerar todos los esfuerzos de sección para calcular el descenso de P. - Trabajar con la carga trasladada al punto P, como se indica en la figura.
  • 82.
    6 Flexión desviaday flexión compuesta 87 Resolución: x =0 F x = L0 d dx P M d 2 dx x x =L Aplicamos el teorema de Castigliano al punto P en la dirección F: M - M - M x M F x M x F T T=F - T 1 F - F T 2 T 1 F 2
  • 83.
    88 Resistencia de materiales. Problemas resueltos N=0 N N 0 - F F N 2 N 1 F 2 M M T T N N d d d EI F GA F EA F F F L0 M F x L0 F L M F x L 2 1 L 2 1 x dx dx x 2 dx 2 dx 2 dx 0 EI 0 A L0 EI L0 A 2 L0 EA 2 G G 2 2 2 3 2 3 ML0 FL0 2 FL0 M L2 L0 2 F L3 L0 2F L L0 F L L0 2 EI 3EI GA 2 EI 3EI 2 GA 2 EA 3,389 10 8 176,3 I A Buscamos en las tablas de perfiles tubulares circulares: Tubo A I ( Dext x e) ( cm2 ) (cm4 ) (mm) 135 x 4 16,46 353,4 96 ( >80 ) 150 x 4 18,34 489,2 69,4 ( <80 ) Tomaremos pues un tubo Dext x e: 150 x 4 (mm).
  • 84.
    7 Torsión yesfuerzos combinados 89 7 Torsión y esfuerzos combinados
  • 85.
    90 Resistencia de materiales. Problemas resueltos Problema 7.1 Una viga biempotrada está sometida a un momento torsor producido por una torsión uniformemente repartida. Hallar el MT máx y el ángulo de torsión máximo. MA kg m/ml A h b B MB ( b<h ) Resolución: Por ser una viga simétrica los momentos de empotramiento han de ser iguales. MA MB 2 M T ( x) x, en x MT 0 2 2 2 x Diagrama de momentos torsores: 2 + B A - 2
  • 86.
    7 Torsión yesfuerzos combinados 91 El ángulo de torsión máximo se tiene para la sección central, x : 2 2 M T ( x) 1 2 1 x2 2 dx x dx x 2 0 GK 3 b 3 h GK 3 b 3 h 0 2 GK 3 b 3 h 2 2 0 2 2 1 2 GK 3 b 3 h 4 8 2 1 2 GK3b3h 8 E G: módulo de rigidez a torsión del material del eje G 2 (1 ) h K3 : coeficiente para secciones rectangulares, que depende de la relación (ver tabla 5.87 del b capítulo 5. Torsión)
  • 87.
    92 Resistencia de materiales. Problemas resueltos Problema 7.2 Hallar los momentos en los empotramientos MA y MD. Dibujar el diagrama de momentos torsores. MA MB=30000 N cm MC=20000 N cm MD A B C a=30 cm D b=50 cm c=40 cm Resolución: Es un problema hiperestático. M T 0 M A M B M C M D 0 MA MD 30000 20000 50000 kg cm Considerando por tramos: MA -MA B 0 A MA a M A 30 A BA B A G Io G I0 B
  • 88.
    7 Torsión yesfuerzos combinados 93 MA-MB -(MA-MB) MA MB CB C B 50 G Io B C -MD = MA-MB-MC MD M D 40 DC D C C G I0 D D 0 D BA CB DC 0 M A 30 M D 40 MA MB 50 0 G Io G Io G Io M A 30 MA 30000 50 M D 40 0 M A 30 M A 50 1500000 M D 40 0 80 M A 40 M D 1500000 M A M D 50000 40 M A 40 M D 2000000 3500000 MA 29166,6 N cm 80 M A 40 M D 1500000 80 M A 40 M D 1500000 120 Diagrama de momentos torsores: 29166,6 + MD 50000 29166,6 20833,4 N cm A B D C - -833,4 - -20833,4 -20833,4 ( N cm )
  • 89.
    94 Resistencia de materiales. Problemas resueltos Problema 7.3 Calcular para cada una de las secciones abierta y cerrada de la figura adjunta, sometidas a un momento torsor Mx = 1000 Nm : a) el valor y la posición de la tensión tangencial máxima, max . b) el momento de inercia a torsión, It . y y 60 5 200 mm z z G G Mx Mx 60 60 x x Resolución: Sección cerrada : Am: área limitada por la curva media a) Mx 1000 Nmm 10 3 N e máx 5,77 2 Am e 1 mm 2 2 200 mm 200 mm cos 30 5 mm max 2 2 1 2 2 4 200 200 cos 30 4 Am 4 Am 2 c) It e 5 mm 1000 10 4 mm 4 ds s 3 200 s e d) Sección abierta:
  • 90.
    7 Torsión yesfuerzos combinados 95 a) Mx 1000 Nmm 10 3 N máx e 5 mm 200 1 3 1 3 mm 2 bi ei 3 200 mm 5 mm 3 3 e max b) 1 It bi ei3 2,5 10 4 mm 4 3
  • 91.
    96 Resistencia de materiales. Problemas resueltos Problema 7.4 Un panel está sujeto por un mástil horizontal, según el esquema de la figura. Teniendo en cuenta el peso propio del panel, el peso propio del mástil y la acción del viento, hallar las tensiones máximas en el empotramiento del mástil a la pared. Datos: Peso propio del panel P1= 90 kp Dimensiones 80 200 cm Diámetro del mástil D =15 cm Empuje del viento f = 80 kg/m2 0,15 2 (Peso propio del mástil de acero: P2 = 7850 kp/m 3 6 m 832 kp ) 4 y D=15 cm x z P2 F 50 520 150 40 40 Resolución: P1 y kg F 80 0,8 2 128 kp m2 My= 716,8 kp m Sección en el empotramiento. Esfuerzos: Tz =-128 kp Nx 0 Ty 90 832 922 kp Mz= -3000 kp m Mx= 64 kp m Tz 128 kp z x Ty= -922 kp
  • 92.
    7 Torsión yesfuerzos combinados 97 Mx 128 kp 0,5 m 64 kp m My 128 kp (0,4 5,2) m 716,8 kp m Mz 90 kp (5,2 0,4) m 832 3 3000 kp m Tensiones normales debidas a los momentos flectores: y 716,8 kp m MF 3000 2 716.8 2 3084,4 kp m 716,8 arctan 13,4 3000 kp m 3000 z y MF = 3084,4 kp m B z (+) MF D 3084,4 10 2 15 xmax 930,9 kp/cm 2 Iz 2 15 4 2 64 (-) Tensiones tangenciales debidas al momento torsor: y max 15 6400 z M x rmax 2 max 9,66 kp/cm 2 A Io 15 4 32
  • 93.
    98 Resistencia de materiales. Problemas resueltos Tensiones tangenciales debidas a los esfuerzos cortantes: y z -128 T T z2 T y2 128 2 922 2 930,8 kp 4T 4 930,8 A max 7,0 kp/cm 2 3 A 3 15 2 T 4 -922
  • 94.
    7 Torsión yesfuerzos combinados 99 Problema 7.5 Hallar las tensiones máximas en el empotramiento A y el giro, alrededor del eje x, de la sección E. El momento torsor de 8 Tn m está aplicado en la sección B. A y B 1m C 1m D M= 8 Tn m E 1m 1m z x x 10 Tn 5 Tn 2m F Tramo AC: = 40 cm 4 Tn Tramo CE: = 10 cm Tramo DF: = 10 cm Material: acero G = 8,4 105 kgf/cm2 Resolución: a) Tensiones máximas en el empotramiento A y Sección A My=22 Tn m Nx 5 Tn Ty 10 Tn Mz=30 Tn m Tz 4 Tn Tz=4 Tn Nx=5 Tn Mx 8 10 2 12 Tn m Mt=Mx=12 Tn m My 4 3 5 2 22 Tn m z Mz 10 3 30 Tn m x Ty=10 Tn
  • 95.
    100 Resistencia de materiales. Problemas resueltos Tensión normal debida al esfuerzo axil: y 5000 z x 3,97 kp/cm 2 40 2 4 Tensión normal debida a los momentos flectores: y 22 MF MF 22 2 30 2 37,20 Tn m 22 30 arctan 36,25 30 z y MF = 37,20 m Tn P z (+) M 3720000 x max y max 4 20 592 kp/cm 2 I 40 64 (-) Tensión normal máxima total: max 592 3,97 596 kp/cm 2
  • 96.
    7 Torsión yesfuerzos combinados 101 Tensión tangencial debida a los esfuerzos cortantes: y T 42 10 2 10,77 Tn Q 10 arctan 68,2 z 4 4 Distribución parabólica de con una max T 10 4T 4 10770 max 11,43 kp/cm 2 3 A 3 40 2 4 Tensión tangencial debida al momento torsor y B max z A M x rmax 1200000 20 max 95,49 kp/cm 2 Io 40 4 32 La tensión tangencial máxima total max A 11,43 95,49 106,92 kp/cm 2 Aplicación del criterio de Von Mises en el punto P max N, M 596 kp/cm 2 2 2 equiv 3 618,5 kp/cm 2 M x ,T 95,49 kp/cm 2 (1) (1) En el punto P la tensión cortante debida al esfuerzo cortante T no es exactamente 0, pues es 0 en el punto Q, pero Q y P no coinciden, ya que los ángulos y no son complementarios. Pero como están muy próximos, y por tanto debido a T será muy pequeño, puede despreciarse frente a la debida a Mx.
  • 97.
    102 Resistencia de materiales. Problemas resueltos b) Giro de la sección C (alrededor del eje x) Dibujamos el diagrama de momentos torsores 20 mT 20 mT 12 mT El giro alrededor del eje x en la sección E será el mismo A que el de la sección D. B C D E 1m 1m 1m 1m L Mx 12 mT 1 m 20 mT 1 m 20 mT 1 m x dx 0 GI o GI 40 GI 40 GI 10 1200000 100 2000000 100 2000000 100 x 0,244 rad 13,98 40 4 40 4 10 4 840000 840000 840000 32 32 32
  • 98.
    7 Torsión yesfuerzos combinados 103 Problema 7.6 Un árbol, de acero, debe de transmitir 120 CV a 600rpm desde la polea A a la B. La tensión cortante admisible para el material del árbol es adm = 420 Kg/cm2 y la tensión normal admisible es adm=728 kp/cm2. Calcular el diámetro del árbol. Datos: F=2·F’ , Q=2·Q’ , rA=15 cm , rB=22 cm. (radios de las poleas). y 50 cm 50 cm D B 40 cm z C F rA rB rA rB F’ A Q’ x Q Resolución: P 1 CV 736 W 120 736 P Mx Mx Mx 1405 Nm 1 rpm 2 rad s 2 60 600 60 Mx 1405 Nm 14324 cmKg Mx= F·rA – F’·rA = (2F’ – F’)·rA = F’·rA 14324 F 15 14324 cmKg F 955 Kg 15 F 2F 1910 Kg también Mx= Q·rB – Q’·rB 14324 Q 22 14324 cmKg Q 1193,7 Kg 12 Q 2 1193,7 2387,4 Kg
  • 99.
    104 Resistencia de materiales. Problemas resueltos Diagrama de momentos en el plano xy : 3Q’= 3581 Kg y x D C B 3581 3581 RD RC 2 2 50 cm 50 cm x Mz + 3582 M z,B 50 89525 cmKg 2 Diagrama de momentos en el plano xz : 3F 2865 Kg x B C A D z RD 1146 Kg RC 4011 Kg 100 cm 40 cm My x + M x 1146 x Mc 114600 cmKg MB 1146 50 57300
  • 100.
    7 Torsión yesfuerzos combinados 105 RC RD 2865 0 R D 100 40 2865 40 2865 RD 1146 Kg 100 RC 2865 1146 4011 Kg Determinación del momento flector en B ( combinando Mz y My): 2 2 MB 89525 57300 106292,12 cmKg El máximo está en C: M f 114600 cmKg Diagrama de momentos torsores: y +14324 cmKg B A x C D -14324 cmKg Mx M x,B M x, A 14324 cmKg Determinación del diámetro mínimo del eje. Aplicando el criterio de Von Mises: 3 16 d min 4M 2 f 2 3M x adm 3 16 d min 4 1146002 3 14324 2 728 d min 11.7 cm
  • 101.
    106 Resistencia de materiales. Problemas resueltos Problema 7.7 En la figura se ha esquematizado la pieza desmontable de un enganche tipo cuello de cisne para el arrastre de caravanas de camping por parte de vehículos de turismo convencionales. La solicitación sobre la bola corresponde a una hipótesis de carga de arrastre con fuerte pendiente. a) Determinar para la sección circular A los esfuerzos de sección: normal, cortante, flector y torsor. b) Dibujar para la misma sección A la distribución de tensiones normal y tangencial que provoca independientemente cada esfuerzo de sección. Indicar sobre el dibujo la posición de la tensiones máximas para cada una de dichas distribuciones y calcular numéricamente sus valores. c) Como resumen del estudio, indicar la tensión normal máxima total y la tensión tangencial máxima total. Sección A G 75 Kp 50 Kp y 40 mm z O A 400 Kp 150 mm x 250 mm
  • 102.
    7 Torsión yesfuerzos combinados 107 Resolución: a) Esfuerzos de sección y N 400 Kp Ty 75 Kp Tz 50 Kp z Tz Mz Mx 50 150 7500 mmKp G My 50 250 12500 mmKp Mz 400 150 75 250 x N 78750 mmKp Mx Ty My Nota: El signo del valor numérico y el sentido del vector en el dibujo son redundantes. b) Determinación de las tensiones Esfuerzo normal N 400 Kp Distribución uniforme de tensiones x: G N 400 Kp x , máx 2 0,32 Kp/mm 2 A 40 4 x Esfuerzo cortante T Ty Tz T Ty 2 Tz 2 75 2 50 2 90 Kp Tz G Distribución parabólica de : Ty T máx 4T 4 90 máx 0,1 Kp/mm 2 3A 3 40 2 4
  • 103.
    108 Resistencia de materiales. Problemas resueltos Momento torsor M x 7500 mmKp máx Distribución de tensión con una ley lineal radial: máx M x rmáx 7500 20 máx 0,6 Kp/mm 2 I0 40 4 32 Momento flector M My Mz 2 M My M z2 12500 2 78750 2 79737 mmKp x,máx Distribución lineal de tensión x respecto al eje de giro: Mz 40 79737 x,máx M y máx 2 x , máx 4 12,69 Kp/mm 2 M I 40 My 64 c) La tensión normal máxima total vale: x , máx 0,32 12,69 13,01 Kp/mm 2 La tensión tangencial máxima total vale: máx 0,6 0,1 0,7 Kp/mm 2
  • 104.
    7 Torsión yesfuerzos combinados 109 Problema 7.8 Un tubo de acero 200 mm y de bajo espesor, e, constituye el soporte para el arrollamiento motorizado de una persiana según muestra la figura adjunta. El peso propio de la persiana y el rozamiento de arrastre equivalen a una carga de q = 50 Kp/m, la cual se aplica excéntricamente respecto de la directriz del tubo. La luz efectiva es L = 5 m, y se supone simplemente apoyado en A y C. a) Representar gráficamente los diagramas de esfuerzos y calcular sus valores máximos. b) Determinar el espesor mínimo del tubo para que se cumplan los siguientes requisitos: - La tensión equivalente de von Mises en las secciones críticas A y B sea inferior a 2 adm=500 Kp/cm . - El corrimiento vertical B 1/1000 L. NOTAS: - Resolución suponiendo el peso propio del tubo incluido en q. - Tubo de acero E = 2100000 Kp/cm2. - Valores aproximados para la sección tubular de bajo espesor: 3 3 e e I0 Iz A e 4 8 e B C 200 A B C Motor q q=50 Kp/m L= 5m
  • 105.
    110 Resistencia de materiales. Problemas resueltos Resolución: a) Determinación de los diagramas de esfuerzos. qy=50 Kp/m y 25 mKp z mx=50·0,1= 5 mKp/m 125 Kp 125 Kp qy=50 Kp/m Mz /2 = 0,1 m + 1 M z ,máx q y L2 8 1 50 5 2 156,25 mKp + 8 Ty - L T y ,máx qy 125 Kp 2 M x ,máx 25 mKp + Mx b) Características mecánicas de la sección. 3 3 2 e m e I0 e I0 W0 4 4 2 2 3 2 I0 e Iz e Iy Iz Wz 2 8 4 2 A 2 e e 2
  • 106.
    7 Torsión yesfuerzos combinados 111 c) Comprobación de tensiones en la sección central B. máx Mz 156,25 mKp z z Mz x , máx Wz máx Ty 0 Mx 12,5 mKp máx Mx máx W0 Aplicando el criterio de falla de von Mises: 2 2 equiv x , máx 3 máx 500 Kp/cm 2 2 15625 1250 equiv 3 500 Kp/cm 2 20 2 20 2 e e 4 2 2474 11,8 e 0,1 cm e 1 mm 500 Comprobación de tensiones en la sección extrema C Mz 0 Ty Ty 125 Kp máx máx T Ty máx 2 A Mx 25 mKp máx Mx máx W0
  • 107.
    112 Resistencia de materiales. Problemas resueltos Apliando el criterio de falla de von Mises: T 2 equiv 0 3 máx máx 500 Kp/cm 2 2 125 2 2500 equiv 3 500 Kp/cm 2 e 20 20 2 e 2 47,5 47,5 e 0,02 cm e 0,2 mm 500 Con el espesor anterior de e = 1 mm, las tensiones en la sección extrema C son de equiv 100 Kp/cm2. d) Comprobación del corrimiento vertical de la sección central B L / 1000 = 5 mm. q 5 q L4 B B 5 mm 384 EI z L 5 4 Kp/cm 500 cm 5 100 B 3 0,5 cm 384 2 e 20 cm 2100000 Kp/cm 8 Despejando el espesor de la ecuación e = 0,123 cm 1,3 mm. En conclusión, para verificar los requisitos de resistencia y deformación el espesor e 1,3 mm. Una solución comercial sería 200 x 1,5 mm.
  • 108.
    7 Torsión yesfuerzos combinados 113 Problema 7.9 * Un perfil angular de alas iguales es utilizado como carril de rodadura. a) Determinar las tensiones normales y tangenciales máximas en la sección del empotramiento. b) Determinar el movimiento del perfil, calculando el corrimiento total del punto A. c) Comentar el diseño y proponer mejoras. P = 500 N z y x y L = 500 mm z A A’ e=5 Material: acero 100 E = 210000 N/mm2 G = 84000 N/mm2 G r A C b = 100
  • 109.
    114 Resistencia de materiales. Problemas resueltos Resolución: Por razones de simplicidad se trabaja con la curva media del perfil de espesor constante y acuerdo recto. (*) 70,7 y - El eje de simetría proporciona las direcciones = principales centrales yy zz. - El baricentro G cumple la condición: G 70,7 = 0 y dA 0 z dA C - El centro de cizalladura C ( ó de torsión ) = = coincide z con el punto de encuentro de los elementos. 35,35 35,35 C - Los momentos de inercia y módulos resistentes. ds s 2 2 b 2 1 3 y Iz y dA 2 s e ds b e 0 2 3 z G Iz 1666666 mm 4 Wz 23574 mm 3 y máx 70,7 mm (*) También, pueden obtenerse estas características de la tabla de perfiles del fabricante con mayor precisión ( sin utilizar la simplificación inicial , v = 0 ).
  • 110.
    7 Torsión yesfuerzos combinados 115 y s b 2 ds 2 2 1 3 Iy z dA 2 2 s e ds b e z 0 2 12 Iy 416666 mm 4 z G Wy 11786 mm 3 z máx 35,35 mm bi ei 1 3 2 It bi ei b e3 8333 mm 4 C G 3 3 a) y Mz G P Mx C z Tz Ty My z P
  • 111.
    116 Resistencia de materiales. Problemas resueltos 2 Ty , Tz Ty P 353 N 2 2 Tz P 353 N 2 Mx P b 50000 N mm Mx 2 M y máx P L 176777 N mm 2 My , Mz 2 M z máx P L 176777 N mm 2 L = 500 mm Tensiones normales x debidas a la flexión desviada My , Mz. +7,5 N/mm2 +15 - Para My y My 176777 Nmm N máx 3 15 -15 Mz Wy 11786 mm mm 2 -7,5 G - Para Mz Mz 176777 Nmm N My máx 3 7,5 Wz 23574 mm mm 2 z Tensiones tangenciales debidas a la torsión uniforme o de Saint Venant (ya que I 0 en este tipo de secciones). d x d3 x Mx GI t EI 3 dx dx TORSIÓN UNIFORME TORSIÓN NO UNIFORME
  • 112.
    7 Torsión yesfuerzos combinados 117 ¾ máx máx máx = 30 N/mm2 e ¾ máx = 22,5 N/mm2 Mx M x e máx 50000 N mm 5 mm N máx 30 It 8333 mm 4 mm 2 3 3 N N máx 30 22,5 4 4 mm 2 mm 2 d x Mx 50000 N mm 5 rad 7,14 10 dx GI t N mm 84000 2 8333 mm 4 mm Tensiones tangenciales debidas al cortante Ty , Tz. Aplicamos superposición: TOTAL= + ’ Ty : A1 y T y m zA1 y variable según y Iz e Para y 0, máx . 100 G 2 100 mm 3 353 N 100 5 2 2 N C máx 4 0,75 1666666 mm 5 mm mm 2 0,75 3 P ó directamente se demuestra que máx z 4b e 0,75 Ty
  • 113.
    118 Resistencia de materiales. Problemas resueltos Tz : A1 A y Tz m y 1 50 variable según z Iy e z Para z 0, máx . G 2 0,75 50 mm 3 353 N 50 5 2 2 N C máx 4 0,75 416666 mm 5 mm mm 2 3 P ó directamente se demuestra que máx Tz 4b e z 0,75 Se demuestra que 27 P TOTAL TOTAL max 20 b e 1,35 27 500 N N 1,35 20 100 5 mm 2 0,75 C 0,75 500 N Obsérvese que en el ala horizontal debe anularse la distribución de tensiones tangenciales, ya que solo tenemos fuerza vertical de 500 N. Composición de tensiones: 1 Punto 1 N N x 15 7,5 ( My Mz ) mm 2 mm 2 N 22,5 ( Mx ) 3 mm 2 2
  • 114.
    7 Torsión yesfuerzos combinados 119 Punto 2 Punto 3 N N N x 15 ( My ) x 15 7,5 ( My Mz ) mm 2 mm 2 mm 2 N N N 30 0,75 ( M x , Ty , Tz ) 22,5 ( Mx ) mm 2 mm 2 mm 2 De los puntos estudiados, el 1 es el más desafavorable. Aplicando Von Mises 2 2 N equiv x 3 22,5 2 3 22,5 2 45 mm 2 Ante la duda que exista un punto con una combinación más desfavorable y dada la complejidad del problema, es posible tomar los valores máximos correspondientes a cada esfuerzo (aunque físicamente no estén en el mismo punto). Así 2 2 N equiv x 3 (15 7,5) 2 3 (30 1,35) 2 58,8 mm 2 Esta operativa está contemplada en diferentes normativas. b) F Mx d x x L dx C x F L3 3 E I Se desprecian los corrimientos debidos al esfuerzo cortante Ty , Tz.
  • 115.
    120 Resistencia de materiales. Problemas resueltos y G A C G1 y z z C1 ( x) A1 Corrimiento según el eje y debido a la flexión Mz: 2 3 500 (500) 3 F L 2 y 0,04 mm 3 E Iz 3 210000 1666 666 Corrimiento según el eje z debido a la flexión My: 2 500 (500) 3 F L3 2 y 0,17 mm 3 E Iz 3 210000 416666 Amplificación del giro debido al torsor Mx: d x 5 x 100 L 100 7,14 10 500 100 3,57 mm dx
  • 116.
    7 Torsión yesfuerzos combinados 121 d) Posibles modificaciones en el diseño. 1 Cerrar los extremos de los voladizos. La barra adicional trabaja a flexión y limita considerablemente el giro a torsión del extremo del angular. Sin embargo, para otra posición del carro se reproduce el problema. 0 0 barra adicional 2 Cambiar la posición del angular. La carga vertical ( y horizontal ) se realiza en el centro de cizalladura. P C G 3 Elegir otro perfil con mayor rigidez torsional (perfil cerrado). G C 4 Elegir un perfil de guiado simétrico C
  • 117.
    122 Resistencia de materiales. Problemas resueltos Problema 7.10 * a) Determinar las tensiones normales y tangenciales en el perfil HEA-500 sometido a torsión constante Mx = 20 KN · m y con coacción total al alabeo en el extremo empotrado. b) Calcular el giro x en la sección A. y A B x z Mx = 20 KN·m L=5m E = 210000 N/mm2 e = 355 N/mm2 Resolución: Se trata de un problema de torsión no uniforme, ya que está impedido el alabeo en el empotramiento. Ecuación diferencial de gobierno: 23 3 d d Mx G It E Iw dx dx 3 12 490 300 donde : Momento de inercia a torsión o constante de Saint Venant: 1 1 It bi ei3 2 300 23 3 467 12 270 10 4 mm 4 3 3 Módulo de alabeo o momento de inercia sectorial: h2 1 3 h2 1 467 2 Iw If b e 300 3 23 5643 10 9 mm 6 2 12 2 12 2
  • 118.
    7 Torsión yesfuerzos combinados 123 El reparto del momento torsor total Mx = Mt1 +Mt2 ( para L = ): x Mx = 20 KN·m Torsión uniforme M t1 Mx 1 e Mt1 Torsión no uniforme M t 2 Mx e x Mt2 2,03 x ( 3,9 exacto ) x N 80000 309,3 10 4 mm 4 G It mm 2 4 1 4,57 10 mm E Iw N 210000 2 5,64 1012 mm 4 mm El angulo girado por unidad de longitud es variable: d x d x Mx x M t1 dx 1 e x dx G It G It x Para encontrar el ángulo de giro total en el extremo: L d x L Mx x Mx 1 x Mx 1 x dx 1 e dx L e 1 L 0 dx 0 G It G It G It 5000 20000 10 3 Nmm 1 4 , 57 10 4 5000 mm e 1 N 4 4 4,57 10 4 81000 309,3 10 mm mm 2 x 0,4 0,17 rad 23 10 13 ( valor muy elevado ) Tensiones tangenciales debidas a la torsión uniforme o de Saint Venant en el extremo del voladizo Mt1 Mx. max Alas: M t1 20000 10 3 Nmm N Vmax e max 4 4 23 mm 149 It 309,3 10 mm mm 2 Mt1 Sección A Alma: M t1 20000 10 3 Nmm N Vmax e alma 4 4 12 mm 78 max It 309,3 10 mm mm 2
  • 119.
    124 Resistencia de materiales. Problemas resueltos En el empotramiento la torsión no uniforme provoca tensiones tangenciales w y normales w, donde Mt2 Mx : 20 KN m max Mt2 = Vf · h Vf 42,8 KN Vf 0,467 m Mt2 Por aplicación de Collignon en la sección rectangular Sección B h = 467 del ala : Vf 3 Vf 3 42800 N N w max 9,3 2 Af 2 300 23 mm 2 max N 3 Mx (el valor exacto es 9,3 ) mm 2 4 b e h 2 w Mf Obsérvese el autoequilibrio de los esfuerzos Vf en las alas, Mf , Vf , respecto a la sección w global: w M t2 20000 10 3 N mm Mf Mf 4 1 h 4,57 10 mm 467 mm Vf 6 93,7 10 N mm 93,7 KN m w valor superior al momento torsor aplicado La tensión normal en la sección rectangular del ala por aplicación de Navier: b 300 Mf 93,6 10 6 Nmm mm 2 2 N w 272 If 1 mm 2 23 mm (300 mm) 3 12 (el valor exacto por aplicación de las fórmulas del bimomento es w = 261 N/mm2 )
  • 120.
    7 Torsión yesfuerzos combinados 125 Aplicación del criterio de Von Mises Sección A: punto contorno del ala 2 2 2 N equiv 3 0 3 3 149 258 e mm 2 Sección B: punto extremo del ala ( w max , w = 0) 2 2 2 N equiv 3 w 3 w 272 2 3 0 272 e mm 2 Comentarios: - La tensión equivalente es parecida en ambos casos. - Si existe N, My, Mz , para secciones tipo : N My Mz max w A Wy Wz
  • 121.
    126 Resistencia de materiales. Problemas resueltos Problema 7.11 * Una viga IPE-300 está sometida a una carga vertical F = 30 KN con una excentricidad accidental de 50 mm. a) Determinar, en la sección del empotramiento, la distribución de tensiones normales x debidas a la flexión y a la torsión no uniforme (bimomento). Calcular el valor máximo. b) Determinar, en la sección del extremo del voladizo, la distribución de tensiones tangenciales debidas a la torsión no uniforme o de Saint Venant. Calcular el valor máximo. Acero S 355 E = 210000 N/mm2 G = 80000 N/mm2 2 e = 355 N/mm Notas: - Se supone la viga arriostrada convenientemente para evitar el vuelco lateral. - Puede utilizarse la tabla de la serie normalizada IPE para determinar las características mecánicas de la sección. L=3m y G C IPE - 300 z x 50 mm F 30 KN
  • 122.
    7 Torsión yesfuerzos combinados 127 Resolución: Diagramas de esfuerzos 90000 Nm ( máx ) 1500 Nm - - x 30000 N Mx = F · 0,05 m Mz = - F · (L – x ) Ty = - F Momento torsor Momento flector eje z Esfuerzo cortante eje y Características mecánicas sección IPE – 300. y A 53,81 cm 2 tf = 10,7 Iy 603,8 cm 4 z Iz 8356 cm 4 300 Wel y 80,5 cm 3 tw = 7,1 Wel z 557,1 cm 3 150 IT 20,12 cm 4 Iw 125,9 10 3 cm 6 Análisis de la torsión mixta Ecuación general de gobierno de la torsión mixta: d x d3 x Mx G IT E Iw dx dx 3 Uniforme M t 1 No uniforme M t 2 1355 Nm Mt1 1500 Mt2 145 Nm x L= 3m
  • 123.
    128 Resistencia de materiales. Problemas resueltos x 0 , 78 3 Torsión uniforme : M t1 Mx 1 e , para x L M t1 1500 1 e 1355 N m Torsión no uniforme : M t 2 Mx e x , para x L M t 2 145 N m N 80000 20,12 cm 4 G It mm 2 3 1 1 7,8 10 cm 0,78 m E Iw N 210000 125,9 10 3 cm 6 mm 2 a) Tensiones normales máximas: x = 0 w x Mf w Mz w Mf w Debidas al bimomento Mf : ( If Iy / 2 ) M t2 1500 N m Mf 1 6654 N m h 0,78 m 0,289 m b Mf 2 6654 10 3 Nmm 75 mm N w 4 165 If 6038000 mm mm 2 2 Debidas al momento flector Mz : Mz 90000 10 3 N mm N x max ( M z ) 3 3 162 Wel z 557,1 10 mm mm 2
  • 124.
    7 Torsión yesfuerzos combinados 129 Así, la tensión normal máxima: N x max w x max ( M z ) 165 162 327 mm 2 b) Tensiones tangenciales debidas a la torsión uniforme en la sección x = L: max Alas superior e inferior: Mt1 = 1355 N·m M t1 máx e máx It max = 72 N/mm2 1355 1000 máx 10.7 72 N/mm 2 201200
  • 125.
    8 Corrimientos enpiezas prismáticas 131 8 Corrimientos en piezas prismáticas
  • 126.
    132 Resistencia de materiales. Problemas resueltos Problema 8.1 En la viga quebrada de la figura, sometida a las cargas que se indican, determinar: a) La distribución de tensiones en la sección mn. b) El corrimiento vertical en B, vB. (Se prescindirá del posible efecto del pandeo) y 3000 Kp B C z m G h= 0.6 m 2m n A b= 0.3 m Material : 4m =2,1·104 Mpa 1m 1m =0,2 G=8750 MPa Resolución: a) Diagramas de esfuerzos 3000 Kp x’ B C x 1000 2 N 2m RC = 1000 A Reacciones : RA 2000 kp 2 P RA = 1000 3 RC 1000 kp 1 P 3 P 3000 Kp 1000 2 B C RA= 2000 T -1000 RC 1000 B C 1000 2 1000 2 1000 2 A 4000mKp M A 4000mKp
  • 127.
    8 Corrimientos enpiezas prismáticas 133 N T M Tramo AB 1000 2 1000 2 1000 2 x Tramo BC 0 -1000 4000 1000 x Esfuerzos en la sección mn: N mn 1000 2 Kp Tmn 1000 2 Kp M mn 2000 mKp Tensiones provocadas por cada esfuerzo, por separado: Y max,C m max G M Z N T n N M T 3T y2 M xy 1 4 2 x y 2 A h N I x A 2000 100 3 1000 2 y2 x y xy 1 4 2 1000 2 540000 2 1800 60 0,8 Kp x 1800 cm 2 11,1 Kp 2 x max cm 1,2 Kp xy max cm 2 A 1800 cm 2 5 A1 A 1500 cm 2 6 I z 540000 cm 4 Wz 18000 cm 3
  • 128.
    134 Resistencia de materiales. Problemas resueltos Suma de tensiones normales x : N M x y 0,8 0,37 y A I x máx 0,8 0.37 30 10,3 Kp/cm 2 (máxima ténsión de tracción) x mín 0,8 0,37 30 11,9 Kp/cm 2 (máxima tensión de compresión) b) Corrimiento vertical en B W N N T T M M vB dl P TOTAL EA P GA1 P EI P 2 2 2 P P P x 200 2 3 2 3 2 3 2 x dx 0 EA 3 GA1 3 EI 3 P 4P P ' x 400 3 1 3 3 4 x' 0 dx ' 0 GA1 3 EI 3 3 200 2 2000 2000 2000 x 2 400 1000 16000 8000 x ' 1000( x ' ) 2 dx dx 0 3EA 3GA1 3EI 0 3GA1 3EI 200 2 x3 2000 2000 x 2000 x 3 3 2,1 10 5 1800 3 87500 1500 3 2,1 10 5 540000 0 400 x2 x3 16000 x 8000 1000 1000 x 2 3 5 3 87500 1500 3 2,1 10 540000 0 0,0005 0,0014 0,0442 0,001 0,0608 0,0005 0,0024 0,105 0,108 cm 1,08 mm (N) (T ) (M )
  • 129.
    8 Corrimientos enpiezas prismáticas 135 Problema 8.2 Para la pieza quebrada de la figura, hallar : Sección Q a) El desplazamiento vertical de la sección A. 4 cm 1m y b) El desplazamiento transversal de la sección 4 cm A C (en la dirección Z). x z Aplicación a : P=300 N Q=2P=600 N 1m E=2,1·105 Mpa x G=0,4E D y P C z 1m Y Z X Resolución : Determinación de esfuerzos: Ty Q 600 N A Tramo AB x Mz Qx 600 x mN Q Nx Q B Tramo BC x My Q 1 600 mN Ty Q 600 N D Tz P 300 N C Tramo CD M x Q 1 600 mN P Mz Qx 600 x mN My P x 300 x mN x
  • 130.
    136 Resistencia de materiales. Problemas resueltos a) Desplazamiento vertical de la sección A: Wtotal B Ty Ty Mz Mz C Nx Nx My My A dx dx Q A GA1 Q EI z Q B EA Q EI y Q D Ty Ty Tz Tz Mx Mx My My Mz Mz dx C GA1 Q GA1 Q GKt Q EI y Q EI z Q 1m Q Q x 1m Q Q 1 x dx 1 1 dx 0 GA1 EI z 0 EA EI y 1m Q P Q Px Q x 1 0 1 0 x dx 0 GA1 GA1 GKt EI y EI z 1m 1 1 1 1 1 Q Q Q Q Q Q x2 Q x2 dx 0 EA GA1 GKt EI y EI z 1 1 1 1 1 2 Q 2Q Q Q Q 0,042 m 4,2 cm EA GA1 GK t EI y EI z 3 Términos de la sección: Q 600 N y E 2,1 1011 N/m 2 G 0,4 2,1 1011 N/m 2 z A 16 cm 2 16 10 4 m 2 4 cm 5 40 A1 A 10 4 m 2 6 3 1 4 43 Iy Iz 4 cm 4 10 8 m4 12 3 4 cm Kt K3 2a 3 2b 0,141 4 4 10 8 m4 b 1 K3 0,141 a
  • 131.
    8 Corrimientos enpiezas prismáticas 137 b) Desplazamiento transversal de la sección C. Wtotal 1m Q Q x 1m Q Q C z 0 0 dx 0 0 dx P 0 GA1 EI z 0 EA EI y 1m Q P Q P x Q x 1 1 P 0 1 0 x 0 dx P 0 GA1 GA1 GK k EI y EI z GA1 EI y 3 P P 3 12 P 10 4 P 3 2,235 10 m 0,2235 cm 11 40 4 43 64 2,1 10 7 0,4 2,1 10 10 2,1 1011 10 8 3 3
  • 133.
    9 Piezas ysistemas hiperestáticos 139 9 Piezas y sistemas hiperestáticos
  • 134.
    140 Resistencia de materiales. Problemas resueltos Problema 9.1 En la viga de la figura, determinar el perfil IPE necesario para que se verifique la condición de resistencia y para que el desplazamiento vertical en el extremo volado (punto C) sea inferior a 0,3 cm. 5000 kp A B C Kp/cm2 adm=1600 4m 1m E=2,1·10 Kp/cm2 6 Resolución : a) Se descompone el problema, con un grado de hiperestaticidad, en uno isostático más un momento de empotramiento (incógnita) MA . P P A A MA A B B B C = C + C 4m 1m RA’ RA RB’ RB x x -5000mKp=MB RA x RA x RB x 4 MA-RA·x - - M = M + M’ + + M’A-RA’·x MA M’A 5000 5000 RB + RB + = T + T’ T - - RA - RA RA’ RB’ I) II ) III ) Estado final ( I ) = Estado isostático ( II ) + Estado hiperestático ( III )
  • 135.
    9 Piezas ysistemas hiperestáticos 141 - Estado isostático (II): RA RB 5 000 5 000 RA 1250 Kp RA 4 5 000 1 4 RB 6250 Kp MA 0 MB 5 000 mKp MC 0 - Estado momento hiperestático (III): RA RB MA RB 4 MB 0 Para encontrar M’A , aplicaremos el 2º teorema de Mohr entre A y B , en el estado final (I): 2 1 1 L MB 1 L MA 2 MB 5000 0 Ai y i L L MA mKp EI i 1 EI 2 3 2 3 2 2 Ai = área diagrama momentos flectores yi = distancia desde el baricentro Ai hasta B MA 2500 mKp L=4m MA 2500 MA MA 2500 mKp RB 625 Kp 4 4 - Estado final (I): MA MA MA 0 MA MA 2 500 mKp MB MB MB 5 000 0 5 000 mKp MC 0 RA RA RA 1 250 625 1875 Kp RB RB RB 6 250 625 6 875 Kp MA MB 2500 5000 M x 4 MA 4R A MB RA 1875Kp 4 4 RB 6875 Kp
  • 136.
    142 Resistencia de materiales. Problemas resueltos b) Para el cálculo de vC , vamos a aplicar el 2º teorema de Mohr entre A y C . 1 3 1 4M B 4 1M B 2 4M A 8 20000 kg m 3 vC Ai y i 1 1 EI i 1 EI 2 3 2 3 2 3 3EI Kg/m 2 m 4 2 10 4 10 6 2 10 4 TABLAS Iz 11770 cm 4 0,3 cm I min 10582 cm 4 IPE 330 3 2,1 10 6 I 3 2,1 0,3 Wz 713 cm 3 c) Comprobación del perfil a resistencia : M max 5000 mKp max 7,01 Kp/mm 2 701 Kp/cm 2 1600 Kp/cm 2 adm Wz 713 cm 3 Tmax 5000 Kp max 2,46 Kp/mm 2 246 Kp/cm 2 923,8 Kp/cm 2 adm adm A1 271 7,5 mm 2 3 El perfil IPE 330 cumple la condición de resistencia y la condición de rigidez.
  • 137.
    9 Piezas ysistemas hiperestáticos 143 Problema 9.2 Dada la viga de la figura, p = 20000 N/ml 20000 N B C A 4m 2m determinar : a) Diagramas de momentos flectores y esfuerzos cortantes. Material: b) Valores de las reacciones. c) El perfil IPN necesario para adm=140 MPa. Acero d) La pendiente en el apoyo B. E=2,1·106 MPa Resolución: a) Descomposición en un problema isostático, más una incógnita hiperestática ( R’B). p p P MA P MA’ = + C A B R’B 4m 1m RA RA’ x x MA 280 000 Nm R Ax MA px 2 / 2 MA MB=-40000 Nm RAx MA 4p x 2 - - - M = + + + MA’- RA’x RA 10 000 N MA’= 4R’B RA px P P + + T = + - RA’ R’B
  • 138.
    144 Resistencia de materiales. Problemas resueltos b) Determinación de la incógnita hiperestática y de las reacciones totales. x2 M x A, B MA RA x RA x MA p 2 M x B ,C RA x MA 4 p x 2 Para hallar R’B , aplicaremos el 2º teorema de Mohr entre A y B : BM x 0 xB x dx A EI 1 B x2 MA 2 RA x MA p 4 x dx 4 4 EI A 2 2 3 RA 100000 N MA 280000 Nm MA 4RB 1 B 64 100000 x 280000 10000 x 2 4 x dx RB EI A 3 4m 1 x2 x3 x4 64 1120000 x 680000 140000 10000 RB EI 2 3 4 0 3 1 4160000 64 RB 0 RB 65000 N EI 3 3 RA - 80000 + 65000 - 20000 = 0 RA = 35000 N MA = - 20000·6 + 65000·4 - 80000·2 MA= -20000 Nm c) Determinación del IPN. M max 40000 100 max 14000 N/cm 2 Wz Wz 4 10 6 Iz 4250 cm 4 WZ ,min 285,7 cm 3 IPN 240 14000 Wz 354 cm 3 TABLAS
  • 139.
    9 Piezas ysistemas hiperestáticos 145 d) Pendiente en B. M x A, B 20000 35000 x 10000 x 2 d 2 v1 M x A, B dx 2 dv1 1 x2 x3 20000 x 35000 10000 C1 dx EI 2 3 dv1 x 0: 0 C1 0 dx dv1 1 16 64 x 4: B 20 000 4 35 000 10 000 0 dx EI 2 3 240 000 840 000 640 000 40 000 B 11 8 3 2,1 10 4250 10 3 2,1 10 3 4250 B 0,00149 rad 0,0856 0
  • 140.
    146 Resistencia de materiales. Problemas resueltos Problema 9.3 a) Determinar el valor máximo de la carga uniformemente repartida, p, que se puede aplicar en la viga de la figura, si la tensión máxima admisible es de 140 MPa (tanto para la viga AB como para el tirante CD). b) Calcular asimismo el descenso que tendrá el punto C. D - La viga AB es un perfil IPN 400. - El tirante CD tiene una sección de 5 cm2. 4m - Módulo de elasticidad : E = 2,1·107 N/cm2 ( para la viga y el tirante ). A C B 4m 4m Resolución : a) Se trata de un problema hiperestático. Para resolver la hiperestaticidad, impondremos la siguiente condición : C vC donde : C = corrimiento del punto C del tirante CD. vC = corrimiento vertical de la viga AB en el punto C.
  • 141.
    9 Piezas ysistemas hiperestáticos 147 Cálculo de C : RD D RD CD C CD CD CD E EA RD 4m ( , ) E A C R D 400 cm 6 C 3,81 10 RD cm R D en N 2,1 10 7 N/cm 2 5 cm 2 RD Cálculo de vC : Aplicaremos el Teorema de Castigliano: x p A C B RD 4m 4m 2 RD x 400 px 2 2 px 2 - MA= 400 RD- 320 000·p ( Ncm ) M MC= -80 000·p ( Ncm ) mKp WTOTAL CM x M AM x M vC dx dx RD B EI RD C EI RD x2 x2 400 p R x 800 D 400 p 2 0 dx 2 x 400 dx 0 EI 400 EI
  • 142.
    148 Resistencia de materiales. Problemas resueltos x2 800 p RD x 400 RD 2 x 400 dx 400 EI 800 1 p 4 200 p RD 3 x x 400 RD x 2 160000 RD x EI 8 3 400 1 18133 10 6 p 21,3 10 6 R D 18133 10 6 p 21,3 10 6 R D EI 2,1 10 7 29210 6 29561,5 p 34,8 R D 10 cm 6 6 Entonces: C vC 3,81 10 RD 29561,5 p 34,8 R D 10 38,61 RD 29561,5 p RD 766 p (1) R D 766 p (RD en N) (2) p 0,13 RD (p en N/cml) Determinación de pmáx : Para el tirante: R D ,max 140 10 2 N R D ,max 70 000 N max ,tirante 5 cm 2 am cm 2 2 p max 0,13 R D ,max 0,13 70 000 9 100 N 2 m Para el perfil: M max max ,viga adm W z , IPN 400 MA 400 R D 320 000 p 400 766 p 320 000 p 13 600 p MC 80 000 p M máx 80 000 p
  • 143.
    9 Piezas ysistemas hiperestáticos 149 M max 80000 p 14 000 N max , viga W z , IPN 400 1460 adm cm 2 140 000 1460 p máx 255,5 N/cm 25 550 N/m 80 000 Por tanto: p max 9100 N ( la menor de ambas). m b) Cálculo del descenso de C. 6 vc 3,81 10 70 000 0,267 cm 2,7 mm
  • 144.
    150 Resistencia de materiales. Problemas resueltos Problema 9.4 Las vigas AB y BC de la figura están perfectamente empotradas en los extremos A y C. Cuando están descargadas, sus extremos B están en contacto, pero sin transmitirse ningún esfuerzo. p Material: Acero A42b IPN 220 C A IPN 200 B 3m 4m Determinar: a) La carga uniformemente repartida máxima que puede soportar la viga AB, estando sometida la viga BC solamente al efecto producido por la AB. b) El descenso vertical del punto B. Resolución: a) Determinación de pmáx. En este tipo de problemas de interacciones, la resolución se basa en plantear la igualdad de corrimientos (ecuación de compatibilidad de deformación en la sección B): p R C A B B R 3m 4m 1 = 2 M max R x x M x R x - - + 1 M x R x p x2 2
  • 145.
    9 Piezas ysistemas hiperestáticos 151 Cálculo de 1: Aplicamos el 2º teorema de Mohr entre A y B : 1 2 Rx px 2 x dx 1 0 EI z 1 R 3 p 4 3m EI z 3 8 Cálculo de 2: Aplicamos el 2º teorema de Mohr entre C y B: Rx 2 x dx 0 EI z 1 R 3 4m EI z 3 Condición: 1= 2 81 64 9R p R 8 3 E 2 140 cm 4 E 3 060 cm 4 216 3060 512 2140 R 243 3060 p p 2,3624 R N m N Cálculo de Rmax ( pmax ): IPN 200 a flexión: M máx M máx 260 N máx 2 173,3 N/mm 2 W z , IPN 200 214 cm 3 1,5 mm M máx 37093,3 Nm Mmáx: M R 0 R px x 0,4233 m x p M x 0,4233 0,211649 R 1 M máx MA MA R p 2 7,6308R 2 M máx 7,6308R 37093,3 Rmáx 4861,0 N
  • 146.
    152 Resistencia de materiales. Problemas resueltos IPN 220 a flexión: M máx M máx 260 N máx 2 173,3 N/mm 2 W z , IPN 220 278cm 3 1,5 mm M máx 48186,6 Nm M máx R 4R 48186,6 Rmáx 12046,6 N Rmáx mín 12 046,6 ; 4 861,0 4861,0 dN Por lo tanto: p máx 2,3624 Rmáx 2,3624 4861,0 11483 N m b) Descenso vertical del punto B. R 3 4861 400 3 2 1,61 cm 3EI z 3 2,1 10 7 3060
  • 147.
    9 Piezas ysistemas hiperestáticos 153 Problema 9.5 a) Determinar el valor máximo de la carga uniformemente repartida, pmáx , que se puede aplicar a la viga de la figura. b) Calcular asimismo el descenso que tendrá el punto C. D E Datos: A 5cm 2 A 5cm 2 Viga AB: IPN 300 adm= 160 MPa h=6m E = 2,1·105 MPa 45º 45º ( tanto para la viga AB como para los tirantes CD y CE ) A C B 4m p 4m 8m Resolución: a) Imponemos la condición de compatibilidad de deformación en C, es decir, planteamos igualdad de corrimientos. R R 2 2 p A C B p R p 2 2 R x R x Rx 2 2 2 - M + x 1 px px 2 2 2 px R x 1 px 2 R x px R x 1 px 2 2 2 2 2 2 2 2 - + +
  • 148.
    154 Resistencia de materiales. Problemas resueltos D E 45º 45º C C C 2 Cálculo de C : Aplicamos el 2º teorema de Mohr entre C x yA x 0 : 2 R p 2 p x x x 2 2 2 2 1 2 R 2 p 3 x dx p x x dx 0 EI z EI z o 2 2 2 1 R x3 p x4 2 1 R 3 p 4 p p EI Z 2 2 3 2 4 EI z 2 2 24 2 64 0 1 R 3 4 1 1 1 R 3 5p 4 p C EI z 48 48 128 EI z 48 384 R A C B 2 2
  • 149.
    9 Piezas ysistemas hiperestáticos 155 Cálculo de : 2 R 2 2 2 D, E R R 600 2 2 2 120 R cm EA E 5 E 600 2 cm , A 5 cm 2 6 2m C 2 R 2 1 R 3 5p 4 120 2 R C 2 C 2 EI z 48 384 E 8 m 800 cm I z , IPN 300 9800 cm 4 83 106 5 84 108 R p 9800 120 2 R 48 384 64 R 32000 p 9,98 R p 2,312 10 3 R ( p en N/ml , R en N) Cálculo de Rmáx ( pmáx ) : Cables a tracción: 2 Rmáx Pmáx 2 16 000 N Rmáx 113137 N máx A 5 cm 2 adm cm 2
  • 150.
    156 Resistencia de materiales. Problemas resueltos IPN 300 a flexión: M máx M máx 16000 N M máx 104480 Nm máx W z , IPN 300 653cm 3 cm 2 |Mmáx|: 1 2 1 3 800 MC p R 2,312 10 R 8 2 10 4 R 15 R 8 4 8 4 p 2,312 10 3 R 800 cm M p R R R 0 px x 183,74 cm x 2 2 2 2p 2 2 2,31 10 3 R p R 1 2 x2 R M máx M x 183,74 cm x px p x x 2 2 2 2 2 2 800 183,742 R 2,312 10 3 R 183,74 183,74 39 R 2 2 2 Así que Mmáx = 104480·102 N·cm = 39 Rmáx Rmáx = 267897 N Radm , sistema mín 113137,267897 113137 N Por lo tanto, el valor máximo de la carga uniformemente repartida que se puede aplicar a la viga AB, admitida por el sistema, es: p máx 2,312 10 3 113137 261,57 N 26157 N cm m b) El descenso del punto C es. 120 113137 C 2 2 cm C 0,9 cm 2,1 10 7
  • 151.
    9 Piezas ysistemas hiperestáticos 157 Problema 9.6 Determinar el desplazamiento vertical de la sección C, C , en la pieza de la figura, admitiendo que la sección en todos los tramos del sistema es circular y el material es el mismo. A a D p B C a Datos: G = 0.4·E p =1000 N/ml D = 50 mm a=1m E = 2,1·105 Mpa Resolución: a) Determinación de esfuerzos . Es un problema hiperestático. Consideraremos RB como incógnita hiperestática a determinar. y A Esfuerzos: z Tramo BC: x x Ty RB px p 1 2 x MZ RB x px 2 Tramo CA: B C y Ty RB p a RB Mz RB p a x z x 1 Mx RB a p a2 2
  • 152.
    158 Resistencia de materiales. Problemas resueltos Aplicaremos el teorema de Castigliano para hallar la incógnita hiperestática RB : Wtotal C Ty Ty Mz Mz A Ty Ty Mx M Mz Mz 0 B dx dx RB B GA1 R B EI z RB C GA1 R B GK t RB EI z RB 1 2 1 2 RB x px RB a pa C a RB px 2 A a R B pa 2 RB pa x B 1 x dx 1 a x dx B 0 GA1 EI z C 0 GA1 GI 0 EI z 1 a2 1 a4 1 a3 a4 a3 a4 RB a p RB a pa 2 RB a 3 p RB p RB p GA1 2 GI 0 2 EI z 3 8 3 3 1 3 2 1 a4 1 2 3 11 4 2aR B a p a 3 RB p a RB a p GA1 2 GI 0 2 EI z 3 24 G 0,4 E 9 9 D2 A1 A 10 10 4 4 D I0 32 D4 Iz 64 1 3 2 1 a4 1 2 3 11 4 B 2 2aR B a p 4 a 3 RB p a RB a p 9 D 2 D 2 D4 3 24 0.4 E 0.4 E E 10 4 32 64 40 D 2 2aR B 3 a2 p 32 9 a 3 R B a4 p 64 3.6 2 a 3 R B 11 a 4 p 2 2 3 24 0 3.6 E D4 D 50 mm 0,05 m a 1m p 1000 N/ml E 2,1 1011 N/m 2 RB 565.3N
  • 153.
    9 Piezas ysistemas hiperestáticos 159 b) Determinación de C. Para calcular C , aplicaremos el método de la fuerza ficticia: Esfuerzos (debidos a F): A Tramo BC: Ty RB x Mz RB x C B Tramo CA: x RB F Ty RB F Mz RB F x Mx RB a 2 3 a3 40 D 2 2aR B aF 32 9 a 3 R B 64 3.6 a RB F Wtotal 3 3 0 RB 3.6 E D4 RB 0.174 F 1 2 RB x px 0,174 F x Wtotal a RB px 0,174 F 2 C ( 0.174 0.174 x ) dx F 0 GA1 EI z para F 0 a RB pa 0,174 F F 1 1 2 ( 0.826 RB a pa 0,174 F a 0.174a 0 GA1 GI 0 2 RB pa x 0,174 F F x 0.826 x ) dx EI z Integrando, entre límites, y tomando F= 0: 1 a2 1 1 4 C 0.174 R B a p 0.826 R B a pa 2 0.174 R B a 3 pa GA1 2 GI 0 2
  • 154.
    160 Resistencia de materiales. Problemas resueltos 1 a3 1 a4 RB a 3 a4 0.174 RB p 0.826 p EI Z 3 2 4 3 3 40 D 2 0.652 R B 0.739 p 32 9 0.174 R B 0.087 p 64 3.6 0.217 R B 0.254 p 4 0,00225 m 3 .6 E D C 0,225 cm (en vertical, hacia abajo: igual dirección y sentido que F)
  • 155.
    10 Inestabilidad elástica 161 10 Inestabilidad elástica
  • 156.
    162 Resistencia de materiales. Problemas resueltos Problema 10.1 Determinar la carga máxima P que puede soportar el sistema de la figura, si la tensión máxima admisible es de 160 MPa. 3m 6m A B IPN 500 C P 30º 30º 4 HEB 120 IPN 100 IPN 100 E = 2,1·106 Kp/cm2 Resolución: x Reacciones: A B C 3 6 P MB 0 P 3 RC 6 RC P 3 P P 2 2 2 3 FV 0 Rb P 2 P 2 P + T - 3 P 2 3 Tmáx P Kp 2 M máx 3P mKp 3P P x 3 Px 3 P x 2 - M
  • 157.
    10 Inestabilidad elástica 163 IPN 500.Cálculo a flexión. M máx 3P Nm : 160 N Pmáx, IPN 500 146667 N máx W z , IPN 500 2750 cm 3 adm mm 2 Puntal HEB 120. Cálculo a esfuerzo normal y a pandeo. y A 34 cm 2 Iz 864 cm 4 ; I y 318 cm 4 HEB 120 Wz 144 cm 3 ; W y 52.9 cm 3 z iz 5.04 cm ; i y 3.06 cm Esfuerzo normal: 3 P 2 N máx N máx - 16000 N N máx 544000 N máx A 34 cm 2 3 544000 P Pmáx 362667 N 2 Pandeo: L 400 - 131 105 min ( acero estructural ) i min 3.06 el pandeo se produce en la zona 3 P de validez de la ecuación de Euler 2 2 EI 2 N crit L 2 2.1 10 7 318 N adm , H 120 117700 N sp sp 16 10 4 3.5 I I min 318 cm 4 L 4 m 400 cm sp 3.5 100 E 2.1 10 7 N cm 2
  • 158.
    164 Resistencia de materiales. Problemas resueltos 3 117700 P Pmáx 78466 N 2 Puntales IPN 100. Comprobación a esfuerzo normal.(Tracción) P P 4 cos 30º 4 cos 30º P P 4 cos 30º 4 cos 30º N máx N máx 16000 N N máx 169600 N máx A 10,6 cm 2 P 169600 Pmáx 587511 N 4 cos 30º Por lo tanto, la carga máxima que puede soportar el sistema es: P min 14667 , 78466 , 587511 78466 N
  • 159.
    10 Inestabilidad elástica 165 Problema 10.2 Dado el esquema de la figura, donde B, C y D son articulaciones perfectas; si la tensión máxima admisible y el módulo de Young son los mismos para las tres barras, e iguales respectivamente a adm = 160 MPa y E = 2,1·105 MPa. C P IPN 100 2m A B IPN 360 2m IPN 140 D 2m 2m 2m Determinar: a) Diagramas de momentos flectores, esfuerzos cortantes y esfuerzos normales para cada barra. b) El máximo valor admisible de P. Resolución: a) Diagramas. R Rc 4 N P 2 2 TRACCIÓN C + B x P P 2 2 P P 2 2 45º 45º A 2 2 2 2 B P P P 2 2 2 2 2 - COMPRESIÓN D P 2 2 R Rc 4
  • 160.
    166 Resistencia de materiales. Problemas resueltos T C P RA P + 2 2 B A - P 2 RB D M C A B + P x P x Px 2 D 2 2 b) Cálculo de Padm : IPN 360 a flexión: M máx P 1 Nm 160 N máx W z , IPN 360 1090 cm 3 mm 2 Padm 174400 N
  • 161.
    10 Inestabilidad elástica 167 IPN 100 a tracción: P N máx 2 2 máx 160 N/mm 2 A 10,6 Padm 160 10,6 10 2 2 2 Padm 479 701 N IPN 140 a compresión: P 2 2 2 EI N crit L2 N adm C sp 3.5 200 2 202 100 Cs 3.5 i min 1.4 200 2 cm 2 2,1 10 7 35.2 N adm 2605,6 N 3,5 8 10 4 P 2 2 Padm N adm 2605,6 N Padm 73700 N 2 2 Por tanto : Pmáx mín 174 400 , 479 701 , 73 700 73 700 N Problema 10.3
  • 162.
    168 Resistencia de materiales. Problemas resueltos Calcular la carga axial máxima que puede soportar una broca de 3 mm, a) sin pretaladro b) con pretaladro o marcado. E 210000 N/mm 2 e 320 N/mm 2 a) 3 150 mm b) Resolución: a) b) Lp=2L Lp=0,7L R Ncr Ncr 2 EI z N cr Lp2
  • 163.
    10 Inestabilidad elástica 169 2 32 210000 a) 64 91 N 2 2 150 2 32 210000 b) 64 747 N 2 0,7 150 Comprobación de la validez de la fórmula de Euler ( para b): N cr 747 N N N cr 2 105 e 320 cumple A 3 mm 2 mm 2 4 NOTAS: - Se ha simplificado la obtención de I,A sin utilizar reducciones de la sección. - A los valores de 91 N y 747 N hay que aplicarles un adecuado coeficiente de seguridad.
  • 164.
    170 Resistencia de materiales. Problemas resueltos Problema 10.4 Calcular la sección rectangular más eficiente para la pieza de aluminio sometida a compresión centrada. x L = 500 mm , seg. pandeo= 3 N=20 kN Datos del Al: E = 70000 N/mm2 e= 20000 N b y L h y z z Resolución: La relación b-h debe ser la óptima para que la Ncr sea la misma en ambas direcciones. x Flexión eje y: 2 1 3 2 EI y E bh N cr ,1 12 1 LPz=0,7·L 2 2 L py 2L Flexión eje z: 2 1 3 2 E bh y EI z 12 N cr , 2 2 2 2 L pz 0,7 L LPy=2·L z Igualando Ncr,1= Ncr,2 2 1 3 2 1 3 E bh E bh 12 12 h 2 2 2 L2 0,7 2 L2 b 0,7
  • 165.
    10 Inestabilidad elástica 171 Con esta relación, puede elegirse la fórmula (1) o (2): 2 1 3 E bh 12 N cr 2L 2 seg . pandeo 3 3 N N 3 2 1 2 70000 b b 12 0,7 b 14,5 mm 2 3 se tomará : 50 x15 mm 20000 2 500 h 41,5 mm Comprobación: N cr 60000 cr 100 N/mm 2 e cumple A 14,5 41,5
  • 166.
    172 Resistencia de materiales. Problemas resueltos Problema 10.5 * Calcular la carga máxima, Nmáx, en los tres casos: Ncr =Nmáx ? Nmáx ? Nmáx ? A) B) C) 10 mm 100 mm 10m = 10000 mm v0=L/1000 v0=L/100 Acero S260 e 260 N/mm2 E=210000 N/mm2 200x5 mm Resolución: a) En el primer caso, Nmáx=Ncr , suponiendo que la cr e 2 200 2 190 2 2 210000 EI 64 N cr 301952 N L2p 10000 2 N cr 301952 N cr 2 2 99 N/mm 2 e cumple A 200 190 2 mm 4
  • 167.
    10 Inestabilidad elástica 173 L L b) El momento flector en el centro del vano: M x N vTOTAL x . 2 2 1 v L v0 TOTAL x N 2 1 N cr 1 Factor de amplificación: N 1 N cr N El corrimiento total depende de la relación . N cr N N M Por la ecuación de la flexión máx e A) A W B) C) 1 N máx v0 N máx 1 N máx 301952 2 2 260 N/mm 2 200 190 2 200 190 2 2 10 100 v 100 4 64 Para v0 = 10 mm tenemos Nmáx=269500 N c) Para v0 = 100 mm tenemos Nmáx=152000 N
  • 168.
    174 Resistencia de materiales. Problemas resueltos Problema 10.6 * Calcular el valor de la imperfección geométrica inicial, v0, que provoca el fallo elástico del perfil tubular 100x4 mm sometido a N = 125 kN. Resolver el problema utilizando dos modelos de cálculo: a) Análisis de 1er orden, con la geometría caracterizada por el valor inicial v0. b) Análisis de 2º orden, considerando la amplificación del valor inicial de v0. x N = 125 kN 100x4 v0 ? L = 3500 mm Material S235: 2 e=235 N/mm E= 210000 N/mm2 Tubo 100x4: A= 1206 mm2 y I= 1392000 mm2 W=27840 mm2 N
  • 169.
    10 Inestabilidad elástica 175 Resolución: a) Análisis de 1er orden: M N v0 N L La sección más desfavorable x : N N 2 v0 N N M N v0 = = N M x e 235 N/mm 2 A W 125000 125000 v 0 235 N/mm 2 1206 27840 Despejando el valor de v0: 125000 27840 v0 235 29 mm 1206 125000 b) Análisis de 2º orden: 1 M N v0 1 N N cr N 1 N v0 x e A N W N 1 N cr v0 = = La carga crítica de Euler, Ncr: 2 2 EI 210000 1392000 N cr 235517 N L2p 3500 2 Así, el factor de amplificación vale 1 1 2,13 N 125000 1 1 N cr 235
  • 170.
    176 Resistencia de materiales. Problemas resueltos Sustituyendo en la fórmula: 125000 125000 v 0 2,13 235 N/mm 2 1206 27840 Despejando el valor de v0: 125000 27840 1 v0 235 13,7 mm 1206 125000 2,13
  • 171.
    10 Inestabilidad elástica 177 Problema 10.7 * Un tubo de acero 140x140x5 mm tiene una imperfección inicial de 50 mm respecto a la directriz teórica y está sometido a una leve carga de viento q = 300 N/m y a una carga axial de compresión N = 100 kN. a) Calcular la tensión normal máxima en la sección central en un análisis de 1er orden. b) Calcular la tensión normal máxima en la sección central en una análisis de 2on orden, es decir, considerando la interacción N – M (esfuerzo normal – momento flector). Tubo 140x140x5 mm: A= 26,70 cm2 Iy = Iz = 821,25 cm2 iy = iz = 5,51 cm x Wel·y = Wel·z = 117,32 cm3 N = 100 kN Acero S235: E = 210000 N/mm2 e= 235 N/mm2 y qy 5 G v0 = 50 mm 140 L=5m z qy = 300 N/m 140 mm y N = 100 kN
  • 172.
    178 Resistencia de materiales. Problemas resueltos Resolución: N N En un análisis de 2on orden el diagrama de momentos flectores se ve amplificado por el efecto de la 2on orden 1er orden preflecha inicial (v0) y de la interacción N-M. v0 q N N a) Análisis de 1er orden (sin considerar pandeo, con la geometría inicial del enunciado). 1 2 pL N v 0 N Mz N 8 x , máx 1 A Wz A Wz 1 2 0,3 5000 100000 50 100000 8 2670 117320 N 37,45 7,99 42,62 88 e cumple mm 2 b) Análisis de 2on orden (amplificación de la preflecha inicial e interacción N-M). 1 2 pL N 8 1 N v0 x , máx K2 2 A Wz N Wz 1 N cr Cálculo de la carga crítica elástica de Euler, Ncr: 2 2 EI 210000 8212500 L pz 5000 mm N cr 680855 N L2p z 5000 2
  • 173.
    10 Inestabilidad elástica 179 Para el factor de amplificación K2, se elige la expresión aproximada (*): 1 1 K2 1,172 N 100000 1 1 N cr 680855 Así, finalmente (2): N x , máx 37,45 1,17 7,99 1,17 42,62 96,7 e cumple mm 2 (*) Cálculo exacto de K: N 100000 u 0,602 rad 2 N cr 2 680855 2 1 cos u 2 1 cos 0,602 K2 1,177 u 2 cos u 0,602 2 cos 0,602
  • 174.
    180 Resistencia de materiales. Problemas resueltos Problema 10.8 * Un tubo circular 100x4 mm de acero está sometido permanentemente a una carga puntual transversal, F = 5kN, en el centro del vano. Mediante un cilindro hidráulico se puede aplicar una carga axial variable en el extremo. Suponiendo un comportamiento ideal de elasticidad indefinida para el material: a) Calcular la carga axial máxima soportada por el sistema, al poder producirse su colapso por inestabilidad elástica. b) Representar gráficamente la relación N-v, mediante un modelo teórico de 2º orden, es decir, considerando la interacción entre el esfuerzo normal y el momento flector. A continuación, suponiendo un comportamiento real de material, con una tensión de límite elástico 2 e=380 N/mm . c) Calcular la carga N que provoca el fallo elástico del perfil. Material S380: E = 210000 N/mm2 e = 380 N/mm2 y F=5 kN N variable 100x4 x v = = L = 5000 mm
  • 175.
    10 Inestabilidad elástica 181 Resolución: a) 2 2 EI 210000 1392000 N cr 115403 N L2p 5000 2 Hipótesis: Elasticidad indefinida. N N N Ncr 115403 N 2 E = 210000 N/mm v b) Considerando la interacción N – M. 3 F L3 5000 5000 K 3 v K3 44,54 K 3 mm 48 EI 48 210000 1392000 donde K3 es el factor de amplificación. Cálculo exacto de K3: N N 3 tg 3 tg u u 2 115403 2 115403 K3 u3 N 3 2 115403 N N u 2 N cr 2 115403 Cálculo aproximado de K3: 1 1 K3 N N 1 1 N cr 115403
  • 176.
    182 Resistencia de materiales. Problemas resueltos Tabla de valores de la función N – v N veaxct. vaprox. 0 44,54 44,54 mm Ncr/4=28851 N 59,39 mm Ncr/2=57701 N 89,08 mm 3Ncr/4=86552 N 178,16 mm La representación gráfica de la función N – v: (N) N 115403 N cr 3 86552 N cr 4 N 5 kN N 57701 N cr 2 v 28851 N cr 4 v ( mm ) 50 100 150 200 250 La curva de respuesta N – v, considerando la interacción entre el esfuerzo normal y el momento flector, es asintótica al valor de la carga crítica de Euler Ncr = 115403 N. Suponiendo una elasticidad indefinida del material el fallo de la pieza se produce con el mismo valor de Ncr. c) Sin embargo, antes de llegar a esta situación el material habrá superado la tensión del límite elástico. Para el material real: N M K e A W N M 1 e , donde M K F L A W 4
  • 177.
    10 Inestabilidad elástica 183 1 5000 5000 N 1 4 N 380 1206 N 27840 mm 2 1 115403 Resolución de la ecuación de 2º grado: N 115403 225 380 1206 115403 N N 115403 225 380 115043 N 1206 N2 25965675 43853140 95,69 N 380 N 1206 1 0 N2 475,69 N 17887465 1206 b c a 1 2 476 476 2 4 1788746 b b 4ac 1206 40425 N N 2a 1 533630 N sin sentido N cr 2 1206 Se cumplen la hipótesis de aproximación para el cálculo del factor de amplificación K: N 0,6 N cr 40425 0,6 115403 69242 1 K 1,54 N 1 N cr Representación gráfica del apartado c): (N) N N M K 380 A W 115403 Ncr 40425 44,5 68,5 v (mm)
  • 178.
    184 Resistencia de materiales. Problemas resueltos c’) Un planteamiento parecido del problema es considerar que v0=44,5 mm constituye una preflecha inicial. 1 El momento flector F L resta constante y la amplificación es debida al termino 4 1 N v N v0 N 1 N cr Los resultados obtenidos no difieren excesivamente de la solución exacta: N M 1 e , donde M K F L N v A W 4 1 1 5000 5000 N 44,54 4 N 1 N 115403 N 380 1206 27840 mm 2 Resolución de la ecuación de 2º grado: N 44,54 115403 N 225 380 1206 27840 115403 N 44,54 115403 N N 380 225 115043 N 27840 1206 N2 184,6 N 115 N 17887465 95,69 N 1206 1 0 N2 435 N 17887465 1206 b c a b b2 4ac 44977 N N 2a 479633 N sin sentido N cr