IMPERIO TAHUANTINSUYO
Inicio el siglo XII hasta 1 532, duró tres siglos de existencia de asombroso desarrollo en América y ha logrado
su magnífica organización social, organización política y organización económica
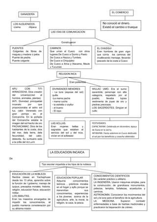
ORGANIZACIÓN POLÍTICA

Constituida por:
EL INCA
.
Suprema autoridad jefe
del imperio, jefe político,
militar y administrativa,
considerado hijo del sol,
investidode
poder
y
autoridad ilimitado, su
voluntad era ley

EL CONSEJO IMPERIAL
Formado por los funcionarios
del imperio, constituido por
jefes de cada suyo

LOS TUCUYRICUS
Significa lo que todo ve. Nombrados
por
el inca que recorrían
secretamente las provincias, para
informarse del comportamiento de las
autoridades y sus necesidades del
pueblo, ellos salían de la nobleza

LOS
CURACAS
Eran
los
jefes
de
ayllus

ORGANIZACIÓN ADMINISTRACIÓN A BASE DE LA GORGANIZACION DECIMAL
Es

ESTADISTICA

A base de la familia, sujeta a la base decimal
QUIPU
Era un manojo de
cordones de diversos
colores, de tamaño, y
grosor, que tenían
diferentes nudos

1.Chuncakamayoc2. Pachaca o warancacamayoc
3.Huaranca jefe de 1 000 familias 4. Huno camayuc jefe de mil familias
5. Susuyucapu varios unos formaba
6. Tawa suyo formaba un imperio
un suyo
.
ORGANIZACIÓN SOCIAL DEL TAHUANTINSUYO

EL INCA

EL PUEBLO

LA NOBLEZA

Clase privilegiada
Autoridad
del
imperio, vive en
compañía de su
esposa coya

La nobleza de
sangre.
Formado por los
familiares
del
inca o ayllu real,
llamado
panacas.

Nobleza
de
privilegio.
Procedían
del
pueblo,
que
alcanzó distinción
por el servicio al
Estado,
en
guerras,
obras
públicas y gozaba
de privilegio.

ORGANIZACIÓN ECONÓMICA
TAHUANTINSUYO

DEL

Los hatunrunas.
Población mayoritaria que laboraban en la
agricultura, mina, industria textil, obras públicas y
vivían en familias.
Los mitimaes.
Hombres del pueblo, demostraba fidelidad al inca,
eran enviados como colonizador a nuevos
territorios.
Los yanacunas.
No eran considerados como ciudadanos, carecían
de derechos, llevaba vida de criados perpetuo al
servicio del inca.
Ellos habían caído como prisionero de guerra y
era perdonado la vida,

Preocupados
Por el bienestar colectivo permitió que la riqueza beneficiara a todos lo que, la tierra y el trabajo

Trabajo y la tierra
Soberanos del imperio, para bonanza y satisfacción de las necesidades de
la población
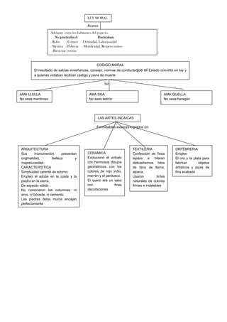
Clases de trabajo
Comprendía

Ayni
Constituía la ayuda
mutua en labores
agrícolas.
Prestábanse los
miembros de la familia

La minca o minga
Constituía el trabajo voluntario en
forma colectiva, realizaban los
ayllus en la tierra del sol, del inca.
Eran faenas que practicaban
cánticos, alegría y placer.

La mita
Era trabajos por turno, realizaban los
hombres más fuertes, vigorosos de cada
ayllu en construcción de caminos,
canales, tala de bosques, extracción de
minerales, edificación de fortalezas y
templos.

LA AGRICULTURA

Se cultivó mayor cantidad de tierra, la agricultura era la actividad primordial de la subsistencia.

REGIMEN DE TENDENCIA DE LA TIERRA
DIVISION DE LA TIERRA

propiedad privada, sino colectivo, el cultivo era común, el fruto se beneficiaba todo el pueblo. La tierra, el
ganado y la mina pertenecían al Estado, el régimen agrario colectivo

TIERRA DEL SOL.
Su fruto destinado para la
alimentación de los sacerdotes y
ofrenda asus dioses.

TIERRA DEL INCA.
Su producción era distribuido para el inca ,
nobleza y los funcionarios , los sobrantes era
almacenados como provisión

TIERRA DEL PUEBLO
Su producción era para toda la
familia

LABOR AGRÍCOLA

próspera, ingenio y esfuerzo extraordinario de sus
habitantes
HERRAMIENTAS
-emplearon la chaquitajlla
rancana.

CONSTRUYEN
-Canales
-Gigantescos reservorios
-Extensos acueductos

y

PRINCIPALES CULTIVOS
Eran

PLANTAS MEDICINALES
-Maiz-Camote-Papa -Olluco
-Yuca -Oca-Frejol -Zapallo
-Quinua-Quiwicha-Arracacha - Maní

PLANTAS INDUSTRIALES
-Algodón
-Maguey

PLANTAS MEDICINALES
-Plantas medicinales
-Coca
-Tabaco
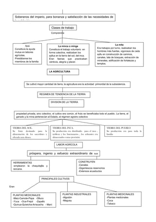
EL COMERCIO

GANADERÍA

No conoció el dinero.
Existió el cambio o trueque

LOS AUQUENIDOS.
-Llama
-Alpaca
LAS VÍAS DE COMUNICACION

Construyeron
PUENTES
Colgantes de fibras de
maguey y madera o palos
Puente de piedra.
Puente colgante

CAMINOS
Que unían el Cusco
con otros
lugares De Cusco a Quinto y Pasto
De Cusco a Nazca y Tumbes.
De Cuzco a Chiquijabo
De Cusco a Arica y Atacama, Maule
y Tucumán

EL CHASQUI
Eran hombres de gran vigor
que corría los caminos del
incallevando mensaje, llevando
pescado de la costa a Cusco

RELIGION INCA

Eran politeístas
APU
CON
TITI
WIRACOCHA. Dios creador
del
universo(creó
al
hombre, animales, plantas)
INTI. Divinidad principaldel
incanato
por
que
proporcionaba el astro sol
luz, calor. Venerado con
gran
pompa
en
el
Coricancha. En la portada
del Coricancha estaba la
imagen del sol hecho de oro
PACHACAMAC. Dios de los
habitantes de la costa, dios
del mar, dela tierra, dela
fecundidad,
del
calor,
delavida. Su suntuario esta
a la orilla del rió Lurín

DIVINIDADES MENORES
- La luna (esposa del sol)
quilla
-La mama pacha
- mama cocha
- la estrella o coyllur
- el trueno
- El rayo

LAS ACLLAS.
Eran
mujeres
bellas
y
sagradas que estaban al
servicio del sol y del inca,
vivían en el acllawasi

WILLAC UMO. Era el sumo
sacerdote, personaje con alta
categoría, respetado por el
pueblo,
llevaba
lujosa
vestimenta de joyas de oro y
piedras preciosas.
LOS SACERDOTES. Dirigían el
culto

FESTIVIDADES.
CAPAC RAYMI. Celebrada en diciembre, época
de lluvia en la sierra.
INTIRAYMI. Fiesta solemne en Cusco dedicado
al sol por los beneficios y cosecha obtenidos

LA EDUCACION INCAICA
De
Tipo escolar impartida a los hijos de la nobleza
Se distingue
EDUCACIÓN DE LA NOBLEZA
Recibía clases en Yachayhuasi
desde los 13 años, aprendía sobre
la función de l gobierno, manejo de
quipus, preceptos morales, historia,
religión, educación física, educación
militar.
LOS AMAUTAS.
Eran los maestros encargados de
impartir los conocimientos, el
pueblo mantenía consideración por
su altísima misión

EDUCACION POPULAR
Adquiría
conocimientos
teóricos , prácticos iniciaba
en el hogar y ayllu porque se
transmitían
sus
conocimientos, experiencias
a los jóvenes acerca de la
agricultura, arte, la moral, la
religión, la caza, la pesca.

CONOCIMIENTOS CIENTIFICOS
De carácter práctico y utilitario.
LA INGENERÍA. Usaron máquinas simples, para
la construcción, de grandiosos monumentos,
palacios, templos, fortalezas, acueductos y
caminos.
ASTRONOMÍA. Conocieron los movimientos del
sol y la luna para el beneficio de la agricultura.
LA
MEDICINA.
Supieron
combatir
enfermedades a base de hierbas medicinales y
practicaron la trepanación de cráneo.
LEY MORAL
Alcanzo
Adelanto entre los habitantes del imperio.
No practicaba el:
Practicaban:
. Robo
. Crimen .Ociosidad. Laboriosidad
. Mentira . Pobreza . Mendicidad. Respeto mutuo
. Bienestar común

CODIGO MORAL
El resultado de sabías enseñanzas, consejo, normas de conductaque
a quienes violaban recibían castigo y pena de muerte

el Estado convirtió en ley y

Son:
AMA LLULLA
No seas mentiroso

AMA SUA
No seas ladrón

AMA QUELLA
No seas haragán

LAS ARTES INCAICAS
Formidables avances logrados en:

ARQUITECTURA
Sus
monumentos
presentan
originalidad,
belleza
y
majestuosidad.
CARACTERISTICA
Simplicidad carente de adorno.
Empleo el adobe en la costa y la
piedra en la sierra.
De aspecto sólido
No conocieron las columnas, ni
arco, ni bóveda, ni cemento.
Las piedras delos muros encajan
perfectamente

CERAMICA
Evolucionó el aríbalo
con hermosos dibujos
geométricos con los
colores de rojo indio,
marrón y el pardusco.
El quero era un vaso
con
finas
decoraciones

TEXTILERIA
Confección de finos
tejidos e hilaron
delicadísimos hilos
de lana de llama,
alpaca.
Usaron
tintes
naturales de colores
firmes e indelebles

ORFEBRERIA
Empleo
El oro y la plata para
fabricar
objetos
artísticos y joyas de
fino acabado

Imperio tahuantinsuyo

  • 1.
    IMPERIO TAHUANTINSUYO Inicio elsiglo XII hasta 1 532, duró tres siglos de existencia de asombroso desarrollo en América y ha logrado su magnífica organización social, organización política y organización económica ORGANIZACIÓN POLÍTICA Constituida por: EL INCA . Suprema autoridad jefe del imperio, jefe político, militar y administrativa, considerado hijo del sol, investidode poder y autoridad ilimitado, su voluntad era ley EL CONSEJO IMPERIAL Formado por los funcionarios del imperio, constituido por jefes de cada suyo LOS TUCUYRICUS Significa lo que todo ve. Nombrados por el inca que recorrían secretamente las provincias, para informarse del comportamiento de las autoridades y sus necesidades del pueblo, ellos salían de la nobleza LOS CURACAS Eran los jefes de ayllus ORGANIZACIÓN ADMINISTRACIÓN A BASE DE LA GORGANIZACION DECIMAL Es ESTADISTICA A base de la familia, sujeta a la base decimal QUIPU Era un manojo de cordones de diversos colores, de tamaño, y grosor, que tenían diferentes nudos 1.Chuncakamayoc2. Pachaca o warancacamayoc 3.Huaranca jefe de 1 000 familias 4. Huno camayuc jefe de mil familias 5. Susuyucapu varios unos formaba 6. Tawa suyo formaba un imperio un suyo . ORGANIZACIÓN SOCIAL DEL TAHUANTINSUYO EL INCA EL PUEBLO LA NOBLEZA Clase privilegiada Autoridad del imperio, vive en compañía de su esposa coya La nobleza de sangre. Formado por los familiares del inca o ayllu real, llamado panacas. Nobleza de privilegio. Procedían del pueblo, que alcanzó distinción por el servicio al Estado, en guerras, obras públicas y gozaba de privilegio. ORGANIZACIÓN ECONÓMICA TAHUANTINSUYO DEL Los hatunrunas. Población mayoritaria que laboraban en la agricultura, mina, industria textil, obras públicas y vivían en familias. Los mitimaes. Hombres del pueblo, demostraba fidelidad al inca, eran enviados como colonizador a nuevos territorios. Los yanacunas. No eran considerados como ciudadanos, carecían de derechos, llevaba vida de criados perpetuo al servicio del inca. Ellos habían caído como prisionero de guerra y era perdonado la vida, Preocupados Por el bienestar colectivo permitió que la riqueza beneficiara a todos lo que, la tierra y el trabajo Trabajo y la tierra
  • 2.
    Soberanos del imperio,para bonanza y satisfacción de las necesidades de la población Clases de trabajo Comprendía Ayni Constituía la ayuda mutua en labores agrícolas. Prestábanse los miembros de la familia La minca o minga Constituía el trabajo voluntario en forma colectiva, realizaban los ayllus en la tierra del sol, del inca. Eran faenas que practicaban cánticos, alegría y placer. La mita Era trabajos por turno, realizaban los hombres más fuertes, vigorosos de cada ayllu en construcción de caminos, canales, tala de bosques, extracción de minerales, edificación de fortalezas y templos. LA AGRICULTURA Se cultivó mayor cantidad de tierra, la agricultura era la actividad primordial de la subsistencia. REGIMEN DE TENDENCIA DE LA TIERRA DIVISION DE LA TIERRA propiedad privada, sino colectivo, el cultivo era común, el fruto se beneficiaba todo el pueblo. La tierra, el ganado y la mina pertenecían al Estado, el régimen agrario colectivo TIERRA DEL SOL. Su fruto destinado para la alimentación de los sacerdotes y ofrenda asus dioses. TIERRA DEL INCA. Su producción era distribuido para el inca , nobleza y los funcionarios , los sobrantes era almacenados como provisión TIERRA DEL PUEBLO Su producción era para toda la familia LABOR AGRÍCOLA próspera, ingenio y esfuerzo extraordinario de sus habitantes HERRAMIENTAS -emplearon la chaquitajlla rancana. CONSTRUYEN -Canales -Gigantescos reservorios -Extensos acueductos y PRINCIPALES CULTIVOS Eran PLANTAS MEDICINALES -Maiz-Camote-Papa -Olluco -Yuca -Oca-Frejol -Zapallo -Quinua-Quiwicha-Arracacha - Maní PLANTAS INDUSTRIALES -Algodón -Maguey PLANTAS MEDICINALES -Plantas medicinales -Coca -Tabaco
  • 3.
    EL COMERCIO GANADERÍA No conocióel dinero. Existió el cambio o trueque LOS AUQUENIDOS. -Llama -Alpaca LAS VÍAS DE COMUNICACION Construyeron PUENTES Colgantes de fibras de maguey y madera o palos Puente de piedra. Puente colgante CAMINOS Que unían el Cusco con otros lugares De Cusco a Quinto y Pasto De Cusco a Nazca y Tumbes. De Cuzco a Chiquijabo De Cusco a Arica y Atacama, Maule y Tucumán EL CHASQUI Eran hombres de gran vigor que corría los caminos del incallevando mensaje, llevando pescado de la costa a Cusco RELIGION INCA Eran politeístas APU CON TITI WIRACOCHA. Dios creador del universo(creó al hombre, animales, plantas) INTI. Divinidad principaldel incanato por que proporcionaba el astro sol luz, calor. Venerado con gran pompa en el Coricancha. En la portada del Coricancha estaba la imagen del sol hecho de oro PACHACAMAC. Dios de los habitantes de la costa, dios del mar, dela tierra, dela fecundidad, del calor, delavida. Su suntuario esta a la orilla del rió Lurín DIVINIDADES MENORES - La luna (esposa del sol) quilla -La mama pacha - mama cocha - la estrella o coyllur - el trueno - El rayo LAS ACLLAS. Eran mujeres bellas y sagradas que estaban al servicio del sol y del inca, vivían en el acllawasi WILLAC UMO. Era el sumo sacerdote, personaje con alta categoría, respetado por el pueblo, llevaba lujosa vestimenta de joyas de oro y piedras preciosas. LOS SACERDOTES. Dirigían el culto FESTIVIDADES. CAPAC RAYMI. Celebrada en diciembre, época de lluvia en la sierra. INTIRAYMI. Fiesta solemne en Cusco dedicado al sol por los beneficios y cosecha obtenidos LA EDUCACION INCAICA De Tipo escolar impartida a los hijos de la nobleza Se distingue EDUCACIÓN DE LA NOBLEZA Recibía clases en Yachayhuasi desde los 13 años, aprendía sobre la función de l gobierno, manejo de quipus, preceptos morales, historia, religión, educación física, educación militar. LOS AMAUTAS. Eran los maestros encargados de impartir los conocimientos, el pueblo mantenía consideración por su altísima misión EDUCACION POPULAR Adquiría conocimientos teóricos , prácticos iniciaba en el hogar y ayllu porque se transmitían sus conocimientos, experiencias a los jóvenes acerca de la agricultura, arte, la moral, la religión, la caza, la pesca. CONOCIMIENTOS CIENTIFICOS De carácter práctico y utilitario. LA INGENERÍA. Usaron máquinas simples, para la construcción, de grandiosos monumentos, palacios, templos, fortalezas, acueductos y caminos. ASTRONOMÍA. Conocieron los movimientos del sol y la luna para el beneficio de la agricultura. LA MEDICINA. Supieron combatir enfermedades a base de hierbas medicinales y practicaron la trepanación de cráneo.
  • 4.
    LEY MORAL Alcanzo Adelanto entrelos habitantes del imperio. No practicaba el: Practicaban: . Robo . Crimen .Ociosidad. Laboriosidad . Mentira . Pobreza . Mendicidad. Respeto mutuo . Bienestar común CODIGO MORAL El resultado de sabías enseñanzas, consejo, normas de conductaque a quienes violaban recibían castigo y pena de muerte el Estado convirtió en ley y Son: AMA LLULLA No seas mentiroso AMA SUA No seas ladrón AMA QUELLA No seas haragán LAS ARTES INCAICAS Formidables avances logrados en: ARQUITECTURA Sus monumentos presentan originalidad, belleza y majestuosidad. CARACTERISTICA Simplicidad carente de adorno. Empleo el adobe en la costa y la piedra en la sierra. De aspecto sólido No conocieron las columnas, ni arco, ni bóveda, ni cemento. Las piedras delos muros encajan perfectamente CERAMICA Evolucionó el aríbalo con hermosos dibujos geométricos con los colores de rojo indio, marrón y el pardusco. El quero era un vaso con finas decoraciones TEXTILERIA Confección de finos tejidos e hilaron delicadísimos hilos de lana de llama, alpaca. Usaron tintes naturales de colores firmes e indelebles ORFEBRERIA Empleo El oro y la plata para fabricar objetos artísticos y joyas de fino acabado