A report for the Rural Industries Research and
Development
Corporation
by
Jane Vaughan
David Galloway
David Hopkins
November 2003
RIRDC Publication No 03/104
RIRDC Project No AAI-1A
1
INSEMINACION
ARTIFIACIAL EN
ALPACAS(Lama pacos)
© 2003 Rural Industries Research and Development Corporation.
All rights reserved.
ISBN 0 642 58670 5
ISSN 1440-6845
Artificial insemination in alpacas (Lama pacos)
Publication No. 03/104
Project No. AAI-1A
The views expressed and the conclusions reached in this publication are those
of the author and not necessarily those of the persons consulted, RIRDC shall
not be responsible in any way whatsoever to any person who relies in whole or
in part on the contents of this report.
This publication is copyright. However, RIRDC encourages wide dissemination
of its research, providing the Corporation is clearly acknowledged. For any other
enquiries concerning reproduction, contact the Publications Manager on phone
02 6272 3186.
Researcher Contact Details
Jane Vaughan
PO Box 406
OCEAN GROVE VIC 3226
Email: vaughan@ava.com.au
In submitting this report, the researcher has agreed to RIRDC publishing this
material in its edited form.
RIRDC Contact Details
Rural Industries Research and Development Corporation Level 1, AMA House
42 Macquarie Street
BARTON ACT 2600
PO Box 4776
KINGSTON ACT 2604
Phone: 02 6272 4819
Fax: 02 6272 5877
Email: rirdc@rirdc.gov.au
Website: http://www.rirdc.gov.au
2
Published in November 2003
Printed on environmentally friendly paper by Canprint
Advertencia
La puntería primaria de este proyecto era desarrollar la tecnología para la
inseminación artificial en alpacas en asociación con tarifas aceptables del
embarazo después del AI. El proyecto fue analizado en 5 pasos para alcanzar
esta puntería:
1. Colección constante y confiable de semen
2. La caracterización del semen para permitir la selección de conveniente
ejaculates para la preservación
3. El enfriarse del semen de la alpaca
4. El congelar del semen de la alpaca
5. Inseminación artificial de hembras.
La fisiología reproductiva de alpacas diferencia a la de otros animales
domésticos y del restos mal entendidos. Los varones se acoplan en el
recumbency del sternal por aproximadamente 20 minutos y ejaculate muchas
veces durante este período. Cada uno ejaculate consiste en el bajo volumen,
semen de gran viscosidad que contiene una concentración baja de la esperma.
La fertilidad de los varones de la alpaca declina con el aumento de números de
acoplamientos consecutivos. La longitud de la gestación es cerca de 11.5
meses, los gemelos son raros y los varones alcanzan pubertad a partir de la 1
a 3 años de la edad. Los intervalos de la generación están relativamente de
largo porque los varones son lentos madurarse sexual y las hembras exhiben
una gestación extendida, así que la crianza convencional da lugar a un
aumento genético más lento con respecto a la otra especie doméstica fibra-que
produce tal como ovejas y cabras. El desarrollo de la inseminación artificial se
dirige que aumenta el uso de los varones superiores de la alpaca pues las
dosis múltiples del semen serán derivadas de cada uno ejaculate.
La inseminación artificial reducirá la necesidad de acoplamientos móviles del `'
y por lo tanto para reducir el riesgo de lesión y de enfermedades transportar-
asociadas en varones de la alpaca de la élite y para reducir perceptiblemente la
transmisión del riesgo de la enfermedad de Johne, de piojos y de otros agentes
3
infecciosos entre granjas de la alpaca. La inseminación artificial también
permitirá más humano y la importación económica de genotipos superiores de
en ultramar y aumenta la eficacia de difusión de los genotipos superiores de la
alpaca alrededor de Australia. En otras industrias de la fibra, tales como
producción de las ovejas del merino y de la cabra de Angora, la crianza asistida
se está utilizando para mejorar calidad de la fibra más rápidamente que ser de
otra manera posible por el acoplamiento natural. El conocimiento ganó sobre la
colección, caracterización, preservación y la inseminación del semen de la
alpaca acelerará la disponibilidad de los servicios de la inseminación artificial
en alpacas. Esto beneficiará la industria australiana de la alpaca con una
utilización más eficiente de varones genético superiores y una difusión más
rápida de genotipos mejorados a través de la manada nacional. Este proyecto
fue financiado del rédito de la industria que es emparejado por los fondos
proporcionados por el gobierno federal. Este informe es una adición a la gama
diversa de RIRDC sobre de 900 publicaciones de la investigación, las formas
parte de nuestro programa raro y natural del R&D de las fibras, que apunta
desarrollar tecnología de la inseminación artificial en alpacas. La mayor parte
de nuestras publicaciones están disponibles para la visión, descargando o
comprando en línea con nuestro Web site:
transferencias directas
• En www.rirdc.gov.au/fullreports/index.htm compras
• En www.rirdc.gov.au/eshop Simon Hearn Director de manejo Rural
Industries Research y Development Corporation intravenoso
Reconocimientos
Los autores quisieran agradecer a criadores Jude Anderson y Alan Cousill de la
alpaca, perno prisionero de la alpaca de Pucara, colina de Joyce y de Jeffery,
Adelyn Alpacas, Susan McGearey, granja de Marshwood y Carolyn y Allan
Jinks del perno prisionero de la alpaca de Benleigh para el uso de su alpaca se
reúne. Las instalaciones de la granja fueron proporcionadas abundante por
Moore máximo.
Profesor Jock Macmillan (universidad de Melbourne, de Australia), dr Lulu
Skidmore (camello Centro de la reproducción, Dubai), dr Ahmed Tibary
4
(universidad de estado de Washington, los E.E.U.U.), dr Matthias Gauly
(universidad de Giessen, de Alemania), dr Wilfredo Huanca (universidad de
San Marcos, Perú), dr Alex Tinson (centro, al-Ain de Reseach de la
transferencia del embrión del camello), Dr Leonor von Baer (Llamas del Sur,
Chile), ms enero Atkins (Monash IVF, Australia), y nación y Sr. Andrew del dr
Ian Lewis, del dr David Brockway (genética Australia) proporcionó consejo y
ayuda valiosos. Somos también agradecidos al comité australiano del ética del
animal de laboratorio de la salud animal para la ayuda durante el trabajo
experimental.
Esta investigación fue apoyada financiando de las industrias rurales
investigación y desarrollo Corporación (proyecto AAI-1A) y los Australian
Alpaca Association Inc.
Abreviaturas
IA Inseminación artificial
VA Vagina artificial del sistema de pesos americano Identificación
chorionic
hCG humana del gonadotrophin
GnRH hormona de GnRH gonadotrophin-que lanza dentro del diámetro
LH Hormona luteinising
OD Diámetro exterior
SACO Camelid del americano del sur
5
Resumen Ejecutivo
La puntería primaria de los estudios en este informe era desarrollar la
tecnología para la inseminación artificial en alpacas en asociación con tarifas
aceptables del embarazo después del AI. El proyecto fue analizado en 5 pasos
para alcanzar esta puntería: La colección constante y confiable de semen,
caracterización del semen para permitir la selección de conveniente ejaculates
para la preservación, enfriarse del semen de la alpaca, congelar del semen de
la alpaca y la inseminación artificial de hembras.
La inseminación artificial (AI) en alpacas es el tema de la investigación en
varios países. El primer procura en el AI ocurrió en los años 60 en SACO en
Perú (Fernandez-Baca y otros. 1966, Calderon y otros. 1968) y camellos (Elliot
1961). Desde entonces, los estudios en la colección del semen y la
inseminación artificial se han realizado en alpacas y otros camelids del
americano del sur en Australia (Gunn 1999), el norte y Suramérica (Bravo y
otros. 1997, Ratto y otros. 1999b, Huanca y otros. 2001b), Gran Bretaña
(McEvoy y otros. 1992b) y Alemania (Burgel y otros. 1999). Los esfuerzos
concentrados en el AI en camellos han ocurrido en los 20 años pasados en un
intento por mejorar calidad y la producción de la leche y de la carne, en
respuesta a estacas más altas en competir con de camello e interés creciente
en la conservación de la casta (Purohit 1999a).
La fisiología reproductiva de alpacas diferencia a la de otros animales
domésticos y del restos mal entendidos. Los varones se acoplan en el
recumbency del sternal por aproximadamente 20 minutos y ejaculate muchas
veces durante este período (Lichtenwalner y otros. 1996a, 1996b). Cada uno
ejaculate consiste en el bajo volumen, semen de gran viscosidad que contiene
una concentración baja de la esperma (Sumar 1983, McEvoy y otros. 1994). La
fertilidad de los varones de la alpaca declina con el aumento de números de los
acoplamientos consecutivos (Bravo y otros. 1997b). La longitud de la gestación
es cerca de 11.5 meses, los gemelos son raros y los varones alcanzan
pubertad a partir de la 1 a 3 años de la edad (bravo 1994). Los intervalos de la
6
generación están relativamente de largo porque los varones son lentos
madurarse sexual y las hembras exhiben una gestación extendida, así que la
crianza convencional da lugar a un aumento genético más lento con respecto a
la otra especie doméstica fibra-que produce tal como ovejas y cabras.
El desarrollo de la inseminación artificial se dirige que aumenta el uso de los
varones superiores de la alpaca pues las dosis múltiples del semen serán
derivadas de cada uno ejaculate. La inseminación artificial reducirá la
necesidad de acoplamientos móviles del `' y por lo tanto para reducir el riesgo
de lesión y de enfermedades transportar-asociadas en varones de la alpaca de
la élite y para reducir perceptiblemente la transmisión del riesgo de la
enfermedad de Johne, de piojos y de otros agentes infecciosos entre granjas
de la alpaca. La inseminación artificial también permitirá más humano y la
importación económica de genotipos superiores de en ultramar y aumenta la
eficacia de difusión de los genotipos superiores de la alpaca alrededor de
Australia. En otras industrias de la fibra, tales como producción de las ovejas
del merino y de la cabra de Angora, la crianza asistida se está utilizando para
mejorar calidad de la fibra más rápidamente que ser de otra manera posible por
el acoplamiento natural.
No hay servicios establecidos del AI por todo el mundo. Las razones incluyen
las dificultades de la investigación de financiamiento y que sostiene en América
latina en el pasado, la dificultad en la colección del semen, el mucoid
característico del semen de la alpaca que imposibilita la adaptación fácil de la
tecnología del AI de otra especie, la característica de la ovulación inducida en
alpacas femeninos, la carencia de las técnicas para definir excelencia
reproductiva en los alpacas masculinos, la carencia de técnicas probadas para
almacenar el semen de la alpaca en forma enfriada o congelada y la dificultad
del paso transcervical de la pipeta de algunas hembras.
Este informe presenta nuevos datos sobre las técnicas usadas para la
colección, la caracterización, la preservación y la inseminación del semen de la
alpaca. La colección constante y confiable de semen de la alpaca era posible
con un mannequin de madera cubierto con una piel bronceada de la alpaca y
7
cabido con una vagina artificial. Era posible entrenar a los varones virginales y
experimentados de la alpaca a acoplarse con el mannequin.
Los componentes del comportamiento de acoplamiento fueron definidos
durante el entrenamiento de varones y durante el semen la colección y las
características del semen que definen un ejaculate fueron establecidas. Una de
las observaciones más importantes hechas durante el estudio era que la
calidad del semen varió considerablemente en y entre varones.
Los diluyentes numerosos fueron mezclados con semen en un intento por
prolongar la vida y mantener la salud de la esperma después de la colección en
la vagina artificial. Los suplementos que contenían la yema de huevo y el
glicerol, y particularmente Triladyl® (Minitub, Alemania), probaron los
suplementos más eficaces para el semen enfriado hasta 48 horas. Inmediato
poste-deshelar la actividad de la esperma era aproximadamente 20 a el 40%
cuando cualquiera El almacenador intermediario verde/claro del camello (IMV
International Corporation, los E.E.U.U.) o Biladyl A/B (Minitub, Alemania) fue
utilizado como suplemento para el semen que congelaba.
La deposición de Transcervical del semen en la extremidad del cuerno uterino
ipsilateral al ovario que llevaba el folículo dominante demostró ser una técnica
simple y eficiente para la inseminación artificial. No se alcanzó ningunos
embarazos usando el AI transcervical, intrauterino del semen enfriado o
congelado-deshelado. Los resultados en este proyecto proporcionan una base
sana sobre la cual continuar desarrollando la tecnología para la colección, la
preservación y la inseminación del semen de la alpaca.
Aunque el AI primero fue procurado en los años 60 en camelids del americano
del sur, los una pequeña cantidad de embarazos se han alcanzado que usando
desde entonces enfriado o congelado el semen reflejan las dificultades de
transferir tecnología de crianza artificial del otro ganado doméstico a los
camelids. Las idiosincrasias fisiológicas de los alpacas machos tales como
duración de acoplamiento extendida y bajo volumen, baja densidad, semen de
8
gran viscosidad conjuntamente con la variación en calidad de ejaculates ambos
en y entre desafíos proporcionados los varones a través del proyecto entero.
Los datos recogidos durante el proyecto asistirán a los criadores y a los
veterinarios en la industria australiana de la alpaca para seleccionar padres de
los sonidos con la evaluación de criar características del comportamiento y del
semen. Se anticipa que esta misma información asistirá con la selección de
varones con el semen que es conveniente para enfriarse y/o congelar. Las
características del semen necesitan ser definidas más a fondo en lo referente a
edad, a la estación y al tamaño alimenticio del estado y testicular.
El conocimiento ganado sobre la colección, la caracterización, la preservación y
la inseminación del semen de la alpaca acelerará la disponibilidad de los
servicios de la inseminación artificial en alpacas. Esto beneficiará la industria
australiana de la alpaca con una utilización más eficiente de varones genético
superiores y una difusión más rápida de genotipos mejorados a través de la
manada nacional.
9
1. INTRODUCCIÓN Y REVISIÓN DE LA LITERATURA
1.1 Introducción
1.1.1 Objetivos y el acercamiento tomado.
Las punterías del proyecto de investigación eran convertirse y establecer:
1. La tecnología para la colección, procesar y la preservación del semen de la
alpaca y
2. La tecnología para la inseminación del semen de la alpaca.
El acercamiento que tuvo que ser tomado era uno de investigación exploratoria.
Los protocolos se han instalado para preservación e inseminación artificial (AI)
del semen en otros animales domésticos por ensayo y error durante los 50
años pasados. Los cambios todavía se están realizando al gravamen del
semen y los procedimientos de la dirección y a diluyentes en las industrias
domésticas del AI del ganado. El acercamiento con ganados ha sido probar
nuevo técnicas en investigaciones exploratorias. Los que demuestran promesa
se sujetan a planeada experimentación con millares de inseminaciones bajo
condiciones controladas supervisadas de cerca para embarazos. Las ventajas
significativas de la nueva tecnología se pueden establecer estadístico basaron
en los resultados de ensayo.
Relativamente poco trabajo se ha realizado en la colección, la caracterización,
la preservación y la inseminación del semen de la alpaca. Se ha hecho qué se
repasa en este capítulo.
Una gran cantidad de alpacas no iban a estar disponibles en Australia para los
experimentos controlados con diversa colección y no manejaban métodos,
diversos diluyentes y las técnicas de congelación y diferentes acercamientos a
la inseminación. El estado actual del conocimiento en tecnologías de la
inseminación artificial en alpacas también no fue avanzado suficientemente
para los experimentos controlados de la escala grande. Por lo tanto hemos
estudiado intensivo una pequeña cantidad de animales para descubrir qué
trabajaron y qué no trabajó.
10
1.1.2 Fondo de la industria
La producción de la fibra de alpacas presenta muchas atracciones a los
criadores anticipados en Australia a pesar de ya producir 636 millones de
toneladas de las lanas de la oveja grasienta anualmente (centro de
investigación cooperativo para la lana superior de la calidad, la comunicación
personal). La fibra de la alpaca es suave, fina y ligera y siente 2-3 micrones
más fino que las lanas. Los animales son plantigrade (comparado con las
ovejas que son digitigrade) y separar tu peso sobre una mayor área superficial
de la tierra (Ordoñez 1994). No requieren la cola el atracar o el mulesing pues
tienen un perinéo sin pelo. Ellos defaecate en pilas comunales del dung de
modo que las cargas gastrointestinales del parásito son más bajas y la
necesidad para el mojada antihelmíntico es mucha reducido (Carmichael
1999). Alpacas es alimenticio más eficiente que ovejas y requiere menos
proteína y energía (una alpaca 65kg requiere la misma cantidad de
alimentación del mantenimiento que una oveja 40kg; San Martin y otros. 1989).
Alpacas no requiere cercar sofisticado y no guarda a su descendiente contra
depredadores tales como perros y zorros (Sumar 1983).
La industria australiana de la alpaca se está esforzando para llegar a ser
comercialmente viable produciendo grande cantidades de fibra de la alta
calidad. Hay actualmente 35.500 alpacas en Australia (J. Rothque, asociación
australiana de la alpaca, comunicación personal). Estos animales son rapados
anualmente y su fibra es procesado para el hilado, la ropa y el lecho. La
manada nacional tiene un diámetro medio de la fibra de 28 micrones (B.
McGregor, recursos naturales y ambiente del departamento, comunicación
personal). el 84% de el clip 1999/2000 australiano de la alpaca tenía micrones
mayor que de un diámetro 25, el 27% del clip era el blanco y cada animal
produjeron un promedio del paño grueso y suave bordeado 1.25 kilogramos
(Holt, 2001). El australiano La cooperativa de la alpaca actualmente paga a
AU$45/kg la fibra limpia diámetro de la fibra menos de 20 micrones, pero
solamente AU$5/kg limpian la fibra para la fibra con un diámetro de 27.1-32
micrones.
11
Los criadores deben poner la presión máxima de la selección en varones y
combinar esto con rápido y amplio difusión de los genotipos apropiados para
alcanzar la meta de producir la fibra de la alta calidad. el uso creciente de los
varones de la alpaca con genotipos superiores vía la inseminación artificial
permitiría una reducción más rápida en el diámetro de la fibra, densidad
creciente de la fibra por el control animal y mayor del color de la fibra en la
manada nacional de la alpaca. Los productores beneficiarían con calidad
mejorada y la cantidad creciente de fibra de la alpaca en sus manadas. Muchos
granjeros de la alpaca no poseen a varón conveniente para criar como el
australiano la industria de la alpaca se basa en los centenares de
características cada uno con menos de 20 animales. El semen no está todavía
disponible para la inseminación artificial confiable, rentable (Burgel y otros.
1999). Los granjeros que no poseen a varón actualmente utilizan a varones
seleccionados poseídos por otros criadores para mejorar la calidad de la fibra
de sus animales.
Por lo tanto, la industria australiana de la alpaca confía pesadamente en “móvil”
del o “acoplamientos” del acoplado del para diseminarse a través de los
genotipos nacionales de la manada de la alpaca percibidos para ser superior
para producir la fibra fina. Este método implica una alpaca, generalmente el
varón, siendo transportado a la granja donde está ocurrir el acoplamiento. El
encargado de la granja determina la época del acoplamiento en acoplamientos
móviles y pluma-acoplamientos on-farm.
La inseminación artificial (AI) en alpacas es el tema de la investigación en
varios países. El primer procura en el AI ocurrió en los años 60 en SACO en
Perú (Fernandez-Baca y otros. 1966, Calderon y otros. 1968) y camellos (Elliot
1961). Desde entonces, los estudios en la colección del semen y la
inseminación artificial han sido realizado en alpacas y otros camelids del
americano del sur en Australia (Gunn 1999), el norte y del sur América (Bravo
y otros. 1997, Ratto y otros. 1999b, Huanca y otros. 2001b), Gran Bretaña
(McEvoy y otros. 1992b) y Alemania (Burgel y otros. 1999). Los esfuerzos
concentrados en el AI en camellos han ocurrido en los 20 pasados años en un
intento por mejorar calidad y la producción de la leche y de la carne, en
12
respuesta a estacas más altas en competir con de camello e interés creciente
en la conservación de la casta (Purohit 1999a).
La fisiología reproductiva de alpacas diferencia a la de otros animales
domésticos y del restos mal entendido. Los varones se acoplan en el
recumbency del sternal por aproximadamente 20 minutos y ejaculate muchas
veces durante este período (Lichtenwalner y otros. 1996a, 1996b). Cada uno
ejaculate consiste en el bajo volumen, alto semen de la viscosidad que
contiene una concentración baja de la esperma (Sumar 1983, McEvoy y otros.
1994). La fertilidad de los varones de la alpaca declina con el aumento de
números de los acoplamientos consecutivos (Bravo y otros. 1997b). La
longitud de la gestación es cerca de 11.5 meses, los gemelos son raros y los
varones alcanzan pubertad a partir de la 1 a 3 años de la edad (bravo 1994).
Los intervalos de la generación están relativamente de largo porque los
varones son lentos madurarse sexual y las hembras exhiben una gestación
extendida, así que la crianza convencional da lugar a un aumento genético más
lento adentro comparación a la otra especie doméstica fibra-que produce tal
como ovejas y cabras.
El desarrollo de la inseminación artificial se dirige que aumenta el uso de los
machos superiores de la alpaca como las dosis múltiples del semen serán
derivadas de cada uno ejaculate. La inseminación artificial reducirá la
necesidad de acoplamientos móviles del `' y por lo tanto para reducir el riesgo
de lesión y de enfermedades transportar-asociadas en varones de la alpaca de
la élite y para reducir perceptiblemente la transmisión del riesgo de la
enfermedad de Johne, de piojos y de otros agentes infecciosos entre granjas
de la alpaca. La inseminación artificial también permitirá más humano y la
importación económica de genotipos superiores de en ultramar y aumenta la
eficacia de difusión de los genotipos superiores de la alpaca alrededor de
Australia. En otras industrias de la fibra, tales como producción de las ovejas
del merino y de la cabra de Angora, la crianza asistida se está utilizando para
mejorar calidad de la fibra más rápidamente que ser de otra manera posible
por el acoplamiento natural.
13
No hay servicios establecidos del AI por todo el mundo. Las razones incluyen:
• las dificultades de la investigación de financiamiento y que sostiene en
América latina en el pasado
• La dificultad en la colección del semen
• El mucoid característico del semen de la alpaca que imposibilita la
adaptación fácil de la tecnología del AI de la otra especie
• La característica de la ovulación inducida en alpacas femeninos
• La carencia de las técnicas para definir excelencia reproductiva en los
alpacas masculinos
• La carencia de las técnicas probadas para almacenar el semen de la
alpaca en forma enfriada o congelada
• La dificultad del paso transcervical de la pipeta de algunas hembras
1.1.3 Secciones del proyecto
Las punterías de este proyecto eran desarrollar y establecer la tecnología para
la colección, procesar y la preservación del semen de la alpaca y desarrollar y
establecer la tecnología para la inseminación del semen de la alpaca. Seis
jalones fueron identificados y los informes sobre cada uno se precisan en los
capítulos siguientes.
1. Revisión de la literatura
2. Métodos de colección de semen de la alpaca
3. Características del semen de la alpaca
4. Almacenaje del semen líquido de la alpaca
5. Almacenaje del semen congelado de la alpaca
6. Métodos de entrega del semen de la alpaca en la zona reproductiva
femenina.
Los resultados divulgaron en estos capítulos proporcionan la base científica
para la entrega de un servicio de la inseminación artificial a la industria
australiana de la alpaca. Se anticipa que las observaciones básicas respecto a
la fisiología reproductiva y los métodos del AI examinados en este proyecto
facilitarán el desarrollo de la crianza asistida en todos los camelids. Las
recomendaciones se hacen en el final de cada capítulo en las direcciones que
pensamos que la investigación adicional debe tomar. 1
14
1.2 Fisiología reproductiva de la alpaca masculina
1.2.1 Pùbertad
Los camelids masculinos se llevan generalmente con los testes descendidos
que son pequeños, suaves y difíciles al palpate (Sumar 1983, ElWishy 1988,
bravo 1995, Fowler y otros. 1998). El mecanismo de la pendiente testicular no
se ha descrito (Tibary y otros. 1999b). Los niveles de la testosterona del
plasma son básicos (60-90 pg/mL; El bravo 1995, el bravo 2002) y las
adherencias existen entre el pene y el prepucio (Sumar 1983, Johnson 1989,
Fernandez-Baca 1993). Como varones madurarte, los testes agrandan (tabla
1.1) y los niveles de la testosterona del plasma aumentan a más de 1000
pg/mL (en aproximadamente 20 meses de la edad en la mayoría de alpacas;
Bravo 1995, bravo 2002). Las concentraciones de levantamiento de la
testosterona permiten que el animal crezca y poner encendido la condición del
cuerpo, desarrollar las características sexuales secundarias y al parecer las
adherencias peno-preputial de la interrupción (Sumar 1983, ElWishy 1988,
Fernandez-Baca 1993, Bravo y otros. 1994b, bravo 1995, Fowler y otros. 1998,
marrón 2000). Hay variación en la edad de la pubertad en diversa especie del
camelid (tabla 1.2). Los tubules de Seminiferous pueden desarrollar lumina y
comenzar espermatogénesis en alpacas a partir de 12 meses de la edad
(Montalvo y otros. 1979, Galloway 2000).
Sin embargo, el inicio de la madurez sexual se determina a menudo por la edad
en la cual las adherencias penile desaparecen y los varones hacen capaces de
una erección completa, más bien que el tiempo en el cual se produce la
esperma viable (el cuadro 1.1; Smith 1999c). Se ha observado en los alpacas
que en 1 año de la edad 8 12% de varones, en 2 años de la edad 60- el 78%
de varones y en 3 años de la edad 94- el 100% de varones han perdido las
adherencias peno-preputial (Sumar 1983, Fernandez-Baca 1993, Fowler y
otros. 1998, Smith 1999c, Bravo y otros. 2000a). La separación comienza en la
extremidad del pene, en aproximadamente 12-15 meses de la edad en la
mayoría de varones; la mitad del bálano está libre en 18 meses de la edad y el
pene está totalmente libre de adherencias entre 21 y 26 meses de la edad
(Bravo y otros. 1994b, bravo 1995). La variación en la edad en la cual se
15
pierden las adherencias peno-preputial se puede explicar parcialmente por el
plano de la nutrición (Fernandez-Baca 1993) pues hay una correlación entre el
tamaño de cuerpo y la longitud testicular del medio (Galloway 2000). La
variación amplia en tamaño testicular en cualquier un edad o tamaño de cuerpo
sugiere que otros factores, probablemente genéticos, sean también importantes
(Galloway 2000). Alpacas se considera haber alcanzado el desarrollo sexual
completo en 5 años de la edad, en aproximadamente 63 kilogramos de peso
corporal (Sumar 1983).
1.2.2 Anatomía del Prepucio
1.2.2.1 El prepucio
Es midline de lado a lado, no-oscilante y situado triangular, aplanado en
la región inguinal (Fowler y otros. 1998, Smith 1999c). Hay 2 pezones
rudimentarios de cualquier lado cerca de su frontera caudal. El orificio
preputial se dirige caudo-ventrally cuando está relajado (Fowler y otros.
16
1998). Los músculos bien desarrollados (los músculos preputial laterales
y los músculos preputial craneales y caudales) pueden dirigir el prepucio
remite para la erección y al revés para el urination (ElWishy 1988,
Johnson 1989).
1.2.2.2 Pene
Los Camelidos tiene un pene fibroelastico con una flexión sigmoidea
prescrotal que permita la contracción del pene en el prepucio en no-erija
el estado (cuadro 1.2; Novoa 1970, Sumar 1983, ElWishy 1988, bravo
1995, Fowler y otros. 1998, Smith 1999c). Los músculos del pene del
retractor se unen al ventral convexidad de la flexión sigmoidea del pene
(Tibary y otros. 1999b).
El pene erguido es 35-40 centímetro largo en los alpacas (Sumar 1983,
Bravo y otros. 1994b) y 36-45 centímetro desean adentro llamas (Fowler
y otros. 1998). 18-25 el centímetro del pene extiende más allá del
prepucio en el estado erguido (Johnson 1989). El tejido fino eréctil
consiste en cavernosa de 2 recopilaciones en la raíz del pene que
converge en un solo cavernosum de la recopilación en el cuerpo del
pene (ElWishy 1988). La uretra se incorpora ventral en un surco del
spongiosum de la recopilación (ElWishy 1988). Los 3 cuerpos
cavernosos del pene son rodeados por el albuginea fibroso grueso del
tunica (5-7 milímetros de grueso en camellos; ElWishy 1988).
El pene del bálano es 9-12 centímetro largo (Fowler y otros. 1998). Afila
de una estructura fibrosa de 2 centímetros de diámetro proximally, a
diámetro de 1 centímetro distally, y de extremos en una sola proyección
cartilaginosa redondeada, proceso urethral (Sumar 1983, ElWishy
1988). El proceso tiene 10 milímetros de largo en los alpacas, curvas en
a la dirección a la derecha (Sumar 1983) y puede desempeñar un papel
en dirigir el pene a través de la cerviz durante el copulation (Johnson
1989, Bravo y otros. 1994b, bravo 1995, Fowler y otros. 1998) y semen
de dispersión en el útero (Smith 1999c). La abertura urethral del bálano
está en la base del proceso cartilaginoso (Fowler y otros. 1998, Smith
1999c). Hay un divertículo urethral dorsal en el nivel de la sínfisis pélvica
17
que previene el paso de un catéter en la vejiga (Fowler y otros. 1998,
Smith 1999c).
1.2.2.3Testiculos
Los testIculos de camelidos están situados en un escroto no-oscilante
sin un cuello definido, formando una protuberancia del subanal
comparable a los verracos (Sumar 1983, ElWishy 1988). Normalmente,
ambos testes son pequeños y elíptico, similar de tamaño, túrgido en la
palpación y el movimiento libremente dentro del escroto (Sumar 1983,
bravo 1995, Fowler y otros. 1998). El de eje largo de cada testis es
oblicuo, con un caudodorsal, orientación cranioventral (Sumar 1983).
La histología de los testes del camelid se ha descrito (Delhon y otros.
1987) y es similar a el de la otra especie del ganado (Hafez 1993, Fowler
y otros. 1998). La espermatogénesis se ha dividido en 8 etapas en los
camelids (Delhon y otros. 1987) con el desarrollo que comienza con el
spermatogonia que miente en las regiones exteriores de tubules
seminiferous y que progresa a los spermatocytes, a los spermatids y a
los spermatozoa primarios y secundarios, que mienten adyacente al
lumen de los tubules seminiferous (Galloway, inédito).
Las células de Sertoli alinean los tubules seminiferous y contribuyen a la
producción flúida por el tubule (Hafez 1993). Las células de Leydig
mienten entre los tubules seminiferous y secretan la testosterona en las
venas testiculares y los recipientes linfáticos (Delhon y otros. 1987,
Hafez 1993). Los tubules de Seminiferous en alpacas tienen un diámetro
del μm 174-237 (Bravo y otros. 2000a), y en llamas (± SD) un diámetro
malo del μm 19.8 de 223.07 ± (Delhon y otros. 1987). La producción
diaria de la esperma varía entre la especie pero es cerca de 15-30
millones por gramo del tejido fino testicular (Hafez 1993). El proceso
completo de la espermatogénesis en toros toma aproximadamente 60
días. El seminiferous se requieren las tomas del ciclo del epitelio 13-14
días y 4 a 5 ciclos del epitelio seminiferous. Toma de la esperma otros 8
o 9 días a viajar a través del epidídimo. Por lo tanto, los testes pueden
tomar más de 2 meses para recuperarse de daño resultando de lesión
18
tal como hipertermia o systemic enfermedad (Entwistle 2002). No se
sabe cuánto tiempo el proceso de la espermatogénesis admite alpacas.
La producción de la esperma se correlaciona con tamaño testicular en
los camelids (Tibary y otros. 1999b, Galloway 2000). Como aumento
testicular del peso y del tamaño en toros, hace tan también la salida y la
fertilidad diarias (Entwistle 2002) de la esperma; esto ocurre
probablemente en alpacas también. El tamaño testicular es altamente
hereditario en toros y también se relaciona con la fertilidad de sus
parientes femeninos (Entwistle 2002).
Los testes de Camelid son relativamente pequeños y la producción de la
esperma es baja (Smith 1999c). Cada testis del adulto en la alpaca mide
aproximadamente 4-5 centímetro largo, 2.5-3 centímetros de ancho y
pesa 15-18g (tablas 1.3, 1.4), así explicando 0.02 a el 0.03% de peso
corporal (Sumar 1983, del bravo 1995), en comparación con los testes
de los espolones (el 1.4% de peso corporal) y toros (el 0.18% de peso
corporal; Sumar 1999b). los Tres-año-viejos camellos tienen testes 7-10
centímetro largo eso cada uno pesa 80-100 g (Novoa 1970).
Bajo condiciones normales de la espermatogénesis, los tubules
seminferous y la cola de los epidídimos se dilatan con los spermatozoa y
el líquido, dando tono de los tejidos finos y resistencia sobre la palpación
(Entwistle 2002). El tono y la resistencia pobre o la firmeza excesiva
sugiere anormalidades de testicular y/o función epididymal.
El tamaño de testes varía entre las castas y las estaciones (ElWishy
1988, Fowler y otros. 1998). Hay un aumento en peso en la estación de
crianza debido al desarrollo creciente del tejido fino intersticial y
diámetro creciente de los tubules seminiferous (ElWishy 1988). El peso
apareado malo de los testes adentro los camellos del dromedario son
140-165 g en la estación nonbreeding y 164-180 g en la estación de
crianza (ElWishy 1988). A partir de diciembre a marcha, los tubules
seminiferous son los 183μm en diámetro y contienen 5-6 capas de
19
células de germen en varias etapas de la diferenciación, no obstante
después de marcha, la degeneración ocurre, los tubules llegaron a ser
desprovistas de esperma y los tubules seminiferous disminuyen al
diámetro de 131 μm (Novoa 1970). Las concentraciones de la
testosterona del plasma también varían entre las estaciones (Fowler y
otros. 1998).
Cuando varón los alpacas se separan de las hembras como práctica de
gerencia en Perú, concentraciones de la testosterona son 3900 pg/mL
comparados con 9000 pg/mL en la estación de crianza. En los E.E.U.U.,
en donde acoplan a los varones todo el año, testosterona del plasma
fluctuó entre 900 y 1200 pg/mL a través del año (Fowler y otros. 1998).
6 Vascular más bien que la termorregulación muscular de los testes
puede ser importante en camelids debido a la aposición cercana del
escroto para el cuerpo (ElWishy 1988). Se enrolla y se arrolla la arteria
testicular. El plexo del pampiniform de las venas testiculares enreda la
arteria y permite la sangre arterial que entra en el testis que se
refrescará por la sangre venosa que deja el testis vía un mecanismo que
se refresca de la contracorriente (Hafez 1993). Las estructuras
musculares del escroto y de la cuerda spermatic (dartos y los músculos
del cremaster) elevan los testes, con el espesamiento asociado de la piel
scrotal, durante el tiempo frío y relajan levemente durante el tiempo
caliente (Bravo y otros. 1994b). La piel del escroto es relativamente
gruesa y puede ser una adaptación para proteger los testes contra la
castración accidental durante varón-varón el luchar (Fowler y otros.
1998).
Los ductules eferentes funcionan del testis en el jefe del epidídimo
(bravo 1995).
20
Tabla 1.3. Significar (gama) el (G) testicular del tamaño (centímetro) y del peso en
los alpacas, las llamas y las vicuñas (adaptados de Sumar 1983, Fowler y otros.
1998 y bravo 2002).
Tabla 1.4
1.2.2.4 Epidídimos
El epidídimo es pequeño y de cerca adherente al testiculos (Smith
1999c). Consiste en una cabeza (cabeza), el cuerpo (recopilación) y la
cola (cauda; Tibary y otros. 1999b). La cabeza es más grande que la
cola (bravo 1995). El jefe del epidídimo miente cranioventral al testis, el
cuerpo extiende intermedio y dorsocaudally a la cola que miente dorsal
al testis (Fowler y otros. 1998). La cabeza y el cuerpo son sitios de la
21
maduración de la esperma, mientras que la cola se asocia al almacenaje
de la esperma (ElWishy 1988). Histología del el epidídimo es similar a la
otra especie (Delhon y otros. 1994, Smith 1999c). Movimiento Distal del
la gotita citoplásmica ocurre como tránsito de la esperma a través del
epidídimo (Tibary y otros. 1999b). Sigue habiendo una gotita
citoplásmica distal en más el de 60% de esperma en el segmento
terminal (ElWishy 1988, Tibary y otros. se pierde 1999b) y cuando
alcance de la esperma los deferens del ductus (Delhon y otros. 1994).
Los deferens del ductus tienen 40 centímetros de largo y 2-3 milímetros
de ancho en la llama (Bravo y otros. 1994b, Smith 1999c) y 45-50
centímetro desea en el camello (Bravo y otros. 2000a). Funciona de la
cola del epidídimo, a través del anillo inguinal a la uretra apenas caudal
al cuello de la vejiga, donde hay un pequeño, poorlydefined el ampulla 2-
4 milímetros de diámetro (Bravo y otros. 1994b, bravo 2002). El ampulla
de la carencia of/small puede explicar porqué el electroejaculation no
trabaja bien en camelids pues el ampulla no puede actuar como sitio del
almacenaje de la esperma (Bravo y otros. 2000a).
1.2.2.5 Glándulas accesorias del sexo del macho
La próstata H-se forma y se une firmemente al aspecto dorsolateral de
la uretra, cerca del trigone de la vejiga (Sumar 1983, Bravo y otros.
1994b, bravo 1995, Fowler y otros. 1998, Smith 1999c). Tiene 3 - 4
centímetros de ancho y 1-2 centímetro alto en las llamas (Fowler y otros.
1998, Smith 1999c) y 3.7 x 5 centímetros en camellos (Novoa 1970).
Los cambios estacionales en peso se correlacionan con la actividad
testicular (ElWishy 1988).
Las 2 glándulas bulbourethral son el ovoid y el lateral localizado a la
pieza terminal de la uretra pélvica en el arco ischial en la raíz del pene
(Sumar 1983, Johnson 1989, bravo 1995), 7-8 centímetro caudal a la
próstata en la alpaca (Smith 1999c). Miden 1 centímetro en alpacas y
hasta 2 centímetros en las llamas (Fowler y otros. 1998, Smith 1999c).
Cada glándula es cubierta en parte por el músculo y ellas del
22
bulbocavernosis variación estacional del objeto expuesto de tamaño
(ElWishy 1988). Estas glándulas son más probable producir el material
viscoso encontrado en el ejaculate de los camelids (bravo 1995). Las
vesículas seminales no se encuentran en los camelids (Sumar 1983,
ElWishy 1988, Johnson 1989, Bravo y otros. 1994b, Smith 1999c).
Cuadro 1.1. Diagrama de adherencias preputial de los camelids del americano del
sur (A = adherencias preputial, B = prepucio, C = pene; Fowler y otros. 1998,
página 384).
23
figura 1.2. Diagrama de la vista lateral de los órganos genitales masculinos del camelid
(Fowler y otros. 1998, page382).
1.2.3 Seasonality
La espermatogénesis ocurre a través del año en todos los camelids (Arturo
1992, ElWishy 1988). Estacional las variaciones en la producción de la
esperma se basan en el origen geográfico (por lo tanto nutrición, clima y otro
factores ambientales), gerencia de la manada, grado de la domesticación y
estructura social del grupo de camelids (Novoa 1970, ElWishy 1988, McEvoy y
otros. 1994). Por ejemplo, febrero y marcha son meses de crianza máximos
para los alpacas en lluvias de siguiente del verano de Perú y crecimiento
creciente del pasto (Garnica y otros. 1993, Raymundo y otros. 2000). En los
E.E.U.U., no se observó ningunas diferencias estacionales adentro
concentraciones de la testosterona del plasma, frecuencia del pulso de la LH o
24
tamaño testicular en un grupo de varones supervisado por 12 meses (Smith
1999c).
Las alpacas maschos no experimentan cambios en aspecto y comportamiento
en la estación de crianza en Perú (Novoa 1970).
1.2.4 Comportamiento y copulation de acoplamiento
El comportamiento de acoplamiento se puede considerar en semanas de los
varones del camelid del americano del sur a los meses después del nacimiento
cuando intentan montar a hembras o a otros juveniles y comenzar a juego-
luchar (Fowler y otros. 1998, Smith 1999c).
La producción del andrógeno aumenta perceptiblemente entre 18 y 24 meses
de la edad y coincide generalmente con la producción y la libido creciente
(Smith 1999c) de la esperma. Lucha de los varones para afirmar su dominación
encima otros varones, usando su cuello, pecho y colmillos para establecer la
superioridad (Fowler y otros. 1998). No hay evidencia que la experiencia afecta
el comportamiento de los varones de la alpaca, sin embargo, hay individual la
variación en libido entre varones y la variación en el número de hembras se
acoplaron (Pollard y otros. 1995).
Los varones en su primera estación se comportaron de una manera similar a
ésos con más experiencia. El comportamiento de acoplamiento exhibido por
un varón del SACO se puede dividir en cortejar y fases copulatory. La fase que
corteja ocurre cuando el varón persigue a hembra y puede activamente durar
solamente algunos segundos, mientras que algunas hembras se sientan
inmediatamente, o hasta 10 minutos, pero procuran más de largo de 4 minutos
generalmente resultado en ningún acoplamiento (Inglaterra y otros. 1971). La
longitud de esta fase se puede influenciar por el nivel de libido del varón
(Fowler y otros. 1998).
El comportamiento de acoplamiento de la hembra es principalmente sumiso,
pero un varón puede montar y empujar a la hembra en la cruz con sus piernas
delanteras. Los varones pueden exhibir flehmen elevando su cabeza y labio
25
después de oler la pila del dung (Fowler y otros. 1998). 9 La fase copulatory
ocurre cuando la hembra adopta la posición copulatory del recumbency del
sternal con las piernas remetidas debajo del cuerpo (Fernandez-Baca y otros.
1970a, Inglaterra 1971). El varón monta a horcajadas la hembra, la agarra los
hombros con sus codos, y sus metatarsos se reclinan completamente sobre la
tierra, lateral a los de la hembra (Novoa 1970). La erección de Penile comienza
en esta etapa permitir el intromission (Fowler y otros. 1998).
El pene puede tener un extremo del sacacorchos mientras que busca el
perinéo para el vulvar el abrirse (Fowler y otros. 1998, Tibary y otros. 1999b).
El colocar de nuevo de la pelvis del varón puede ocurrir para permitir el
intromission vía buscar del pene (Inglaterra y otros. 1971). Cuando el
intromission está con éxito realizada, la pelvis del varón está cerca de la pelvis
de la hembra (Fowler y otros. 1998). Varones demostrar tu entusiasmo con los
oídos del temblor, la cola que mueve de un tirón hacia arriba y hacia abajo, las
ventanas de la nariz que dilatan y constricting y por el vocalisation (Novoa
1970). El sonido gutural característico hecho por los varones durante el
acoplamiento, o el `orgling', se divulga para ser un aspecto integral del
lanzamiento preovulatory de la LH (bravo 1994, Bravo y otros. 1994b).
Durante el copulation, el varón penetra la cerviz con su pene, y deposita el
semen durante múltiplo eyaculaciones en ambos cuernos uterinos usando los
movimientos que empujan suaves, según lo evidenciado por la palpación
uterina vía laparotomy durante el copulation (Franco y otros. 1981, bravo 1994,
bravo 2002). Examinación del útero 24 horas después de que el copulation ha
revelado hemorragia, la inflamación, el edema y la hiperemia de el endometrio,
posiblemente debido al trauma penile o a una reacción inflamatoria al plasma
seminal (bravo y otros. 1996b, Velasquez y otros. 1999, bravo 2002b).
La inflamación del útero puede durar 3 a 4 días y ser acoplamientos múltiples
de siguiente más severos (bravo 2002b).
Los camellos masculinos exhiben libido fuerte y comportamiento
extremadamente agresivo durante la parte del año sabido como la rodera del `'
26
(ElWishy 1988). Hay un aumento dramático en niveles del andrógeno del
plasma a partir de 1-4 ng/mL hasta 17-35 (básico) ng/mL. En asociación con
los andrógenos crecientes, los varones hacen agitados, agresivo, moler tus
dientes, orina sobre tu parte posteriora con la cola, espuma del latigazo en la
boca, exudan una secreción marrón foetidsmelling de tus glándulas de la
encuesta (encontradas subcutáneo de cualquier lado de los nuchae del
ligamentum, 7 centímetros debajo de la cresta occipital) para delinear el
territorio, vuelcan su paladar suave del lado de la boca (dullah del `') con
frecuencia, expressan con gorjeos y rugen (ElWishy 1988, Arturo 1992, Abdel
Rahim y otros. 1992). Es posible tratar los camellos masculinos con GnRH al
principio de la estación de crianza para aumentar libido y para acelerar el inicio
de criar el comportamiento (Moslah y otros. 1992).
Durante la fase del courtship del acoplamiento, el camello masculino olerá los
órganos genitales, la orina y las heces del la hembra, levanta su cabeza
detrás, el objeto expuesto flehmen, muerde a hembra, y fuerza a hembra
sentarse con su cuello antes de montar a la hembra recumbent. La erección del
pene no ocurre durante courtship en posición derecha (Abdel Rahim y otros.
1992). Las piernas delanteras del varón se ponen de cualquier lado de los
hombros de la hembra, y de sus piernas traseras de cualquier lado de su
pelvis. Las piernas traseras del varón son doblado con los talones a los hocks
en la tierra, las piernas delanteras son extendidas, con la cabeza y el colmo
llevado a cabo cuello. Intromission se asocia a los gorjeos, al regate salival y al
dullah (ElWishy 1988, Abdel Rahim y otros. 1992). Cuando los alpacas
masculinos y femeninos se guardan por separado y se permiten al copulate en
los intervalos infrecuentes, ambos sexos siguen siendo sexual activos todo el
año (Sumar 1985). Al principio de la estación de crianza en Perú, cuando
colocan a los varones primero en un prado con las hembras, demuestran la
actividad copulatory intensa para primeros 3 días, copulating hasta 18 veces
por el día (Sumar 1983, Fernandez-Baca 1993). Sin embargo, la asociación
continua del SACO masculino y femenino inhibe de alguna manera la actividad
de crianza de varones a punto de la cesación completa de la actividad sexual a
pesar de las hembras receptivas (Fernandez-Baca 1993). Si entonces colocan
a los varones inactivos adentro con una nueva manada de hembras, ellos
27
reasumen la actividad sexual (Fernandez- Baca 1993). No se sabe qué
factores son responsables del efecto inhibitorio sobre la libido masculina el
resultar de la exposición continuada a las hembras y qué recomienza la crianza
de la actividad (Fernandez-Baca 1993), sin embargo, nutrición, gerencia y
factores ambientales (temperatura, humedad relativa, la luz) o las señales
olfativas puede influenciar los centros del sistema nervioso central que
controlan reproductivo comportamiento (marrón 2000).
1.2.5 Fertilidad
Bajo condiciones del acoplamiento natural, del embarazo y de las tarifas
subsecuentes del parto siguiendo un solo el acoplamiento se ha divulgado
como punto bajo (Sumar 1985) y menos eficiente que la otra especie de la
granja (Wiepz y otros. 1985). Sin embargo, ha habido informes de 21 fuera de
28 (el 75%) llamas femeninas embarazadas después de dos acoplamientos 4-
8 horas de separado (Adams y otros. 1990), una tarifa del parto del 46% en
llamas solo-acopladas (Condorena y otros. 1988) y 34 fuera de 70 hembras
(del 49%) que conciben después de solo acoplar natural, sin importar el
diámetro folicular ovárico (Vaughan y otros. en prensa). Estas tarifas comparan
favorable con el concepto clasifica en el otro ganado doméstico y sugiere eso
reproductivo inadecuado la gerencia, las deficiencias alimenticias y la
endogamia contribuyen a la fertilidad baja (Parraguez y otros. 1997). La
concentración de la esperma requerida para la fertilización y el embarazo
acertados no se sabe, pero la deposición intracornual del semen del semen
durante el copulation puede ser una adaptación a superar las concentraciones
relativamente bajas de la esperma adentro ejaculates (marrón 2000).
Para reducir al mínimo el número de acoplamientos por el concepto se ha
recomendado para seleccionar a varones con tamaño testicular grande en la
asunción que la relación directa entre el tamaño del testis y la esperma la
producción en el otro ganado doméstico también ocurre en los camelids
(Sumar 1983, Smith 1999c, marrón 2000, Galloway 2000). La longitud
testicular mala (la longitud media de testes izquierdos y derechos) se
correlaciona con el peso testicular (Galloway 2000) y se puede utilizar como los
medios simples de determinar tamaño testicular en alpacas. La longitud
28
testicular mala se puede utilizar para estimar la probabilidad de la producción
de la esperma adentro alpacas (tabla 1.5; Galloway 2000). Bravo y otros.
(1995) describir un ensayo en con el cual las llamas masculinas los testes
pequeños (3.0 x 1.9 centímetros) alcanzaron una tarifa del embarazo del 45%,
mientras que los varones con testes más grandes (4.8 x 3.2) alcanzó una tarifa
del embarazo del 75%. Pugh (1999) observó las llamas masculinas con los
testes 3.5 x 2.9 centímetros alcanzados 21/30 de los embarazos (del 70%),
mientras que los varones con testes más pequeños (2.5 x 2.2 centímetros)
alcanzaron solamente 12/30 (los 40%) embarazos.
Tabla 1.5. Desarrollo de la función testicular en alpacas con los testículos de diversos
tamaños (Galloway 2000).
El tamaño de cuerpo también se ha correlacionado con longitud testicular mala
y sugiere que la nutrición es un factor importante en la determinación del
tamaño testicular (Galloway 2000). La capacidad del comportamiento, del
acoplamiento de Precocious (ningunas adherencias peno-preputial) y la
producción de la esperma en añales y son también rasgos deseables en los
programas de la selección (Sumar 1983, Galloway 2000).
El número de acoplamientos se realizó en un día por una fertilidad de las
influencias del varón. Bravo y otros. (1997d) observado que los alpacas
masculinos criaron 2 o 4 veces por día alcanzaron una tarifa del embarazo del
29
77%, mientras que ésos criados 6 veces por día alcanzaron una tarifa del
embarazo del 59%. Fue propuesto que las tarifas declinaron en respuesta al
agotamiento de las reservas de la esperma (Bravo y otros. 1997d). El número
de días consecutivos que los acoplamientos ocurren en también influencia la
fertilidad (Bravo y otros. 1997d). Tiempo de Copulation disminuido sobre días
de crianza consecutivos y el embarazado de los por ciento disminuido a partir
de la 71% el el día 1 de la crianza, hasta el 50% de Day 8 y el 0% el el día 9
(Bravo y otros. 1997d). Tres a 4 acoplamientos por el día por 4 a 5 días no
comprometen fertilidad en los alpacas masculinos (bravo 1995).
1.2.6 Longitud de Copulation
Copulacion dura generalmente 20-25 minutos, con un radio de acción de 5-65
minutos (tabla 1.6). La longitud del copulation es determinada por el varón y
afectada por la casta, la edad, la estación y la frecuencia del uso (Tibary y
otros. 1999b). La presencia de otros camelids influenciará la longitud del
copulation (Inglaterra y otros. 1971, Johnson 1989). Estudios de la
demostración de los acoplamientos del prado que la duración media del
copulation en manadas de la alpaca varía basado en las interacciones
animales. Los varones en manadas sin otros varones pueden hacer un
promedio de 20 minutos comparados con 15 minutos en manadas con varios
varones; los varones que acoplan a hembras de un año pueden hacer un
promedio de 15 minutos comparados con las hembras multiparous 22 minutos
(Escobar 1984, Pollard y otros. 1991). La interrupción/la duración corta del
copulation en manadas del multi-padre fue atribuida a luchar territorial
masculino normal, pues los varones son vulnerables al ataque durante el
acoplamiento (Escobar 1984). Knight y otros. (1992) que el copulation de la
duración máxima no era siempre el primer acoplamiento cuando los varones se
realizaron más de uno observados que se acoplaba por día pero otros ha
observado que los acoplamientos subsecuentes son más cortos que el primer
acoplamiento del día (Pollard y otros. 1991, Bravo y otros. 1997b, Vaughan
2001). Los varios estudios han demostrado acoplamientos para ser más largos
en otoño que sueltan (Inglaterra y otros. 1971, Knight y otros. 1992, Pollard y
30
otros. 1995). No hay correlación entre la duración y la tarifa de acoplamiento
del concepto (Tibary y otros. 1999b).
Tabla 1.6. Duración del copulation en camelids.
31
1.2.7 Características de la eyaculación
La eyaculación ocurre temprano durante el copulation pues los embarazos se
han observado después de acoplamientos de la duración de los minutos 5-8
(Fernandez-Baca y otros. 1970d, Vaughan y otros. en prensa) y 8 de 26
colecciones de la esperma tenía esperma en el plazo de 10 minutos del
comienzo del copulation (Lichtenwalner y otros. 1996b). Lichtenwalner y
otros. (1996a) observado que había 121.9 pulsos urethral del ± 61.0 por el
copulation en un índice de 6 por minuto al describir la naturaleza de la
eyaculación en llamas. Había 19 racimos (una tensión del cuerpo entero más
4-5 pulsos urethral) por el copulation, 20 segundos desea y el equivalente a
aproximadamente 1cluster por minuto durante el copulation. Cada racimo era
equivalente a una eyaculación distinta. Por lo tanto, había eyaculaciones
distintas múltiples por el copulation prolongado. Había pocos pulsos urethral
entre los racimos. Había 22 tensiones del cuerpo entero, 816 empujes
pélvicos y 53 coloca de nuevo (que ocurrieron entre los racimos;
Lichtenwalner y otros. 1996a). La emisión de la esperma ocurre en todas
partes aumentos de la concentración del copulation y de la esperma con el
tiempo (Lichtenwalner y otros. 1996b).
Bravo y otros. (2002) observado que las contracciones urethral fueron
distribuidas uniformemente a través del copulation, pero midió solamente un
promedio de 40 en alpacas y 63 en las llamas (gama 11-132).
1.3 Colección De Semen
Los varios métodos se han utilizado para recoger el semen de camelids para
permitir el análisis del semen características (tabla 1.8). Es difícil recoger el
semen debido a la postura de acoplamiento, la duración del copulation, la
deposición intrauterina del semen y la naturaleza viscosa del ejaculate (Bravo y
otros. 1994b, 2000a). El uso de las envolturas del intravaginal o los condones
y las esponjas del intravaginal interfieren con la eyaculación normal y dan lugar
32
a una duración más corta del movimiento de acoplamiento, continuo del varón,
a espumejear del semen y al daño de la esperma (San Martin y otros. 1968,
Sumar 1983, Johnson 1989, McEvoy y otros. 1992b, 1994, bravo 1995). La
creación de una fístula urethral requirió la cirugía delicada y la gerencia a largo
plazo de la herida (von Kubicek 1974). La recuperación del semen de la vagina
después del copulation y la aspiración epididymal no proporcionan el
representante ejaculates (McEvoy y otros. 1994, bravo 1995). Las desventajas
del electroejaculation incluyen el requisito para la sedación pesada o el
anestésico general, orina la contaminación del semen, de la inhabilidad de
determinar libido, de la concentración variable de la esperma y del bienestar
publica (Calderon y otros. 1968, Sumar 1983, Johnson 1989, McEvoy y otros.
1994, Bourke y otros. 1995c, bravo 1995, 2002, Giuliano y otros. 2002).
El uso de un vagina artificial (sistema de pesos americano) conjuntamente con
o una hembra receptiva (Gauly y otros. 1996, Huanca y otros. 2001b), un
maniquí (Garnica y otros. 1993, Bravo y otros. 1997a, b, Davalos y otros. 1999)
o montaje halfdummy (Lichtenwalner y otros. 1996b) en camelids del
americano del sur ha rendido el la mayoría tiempos representativos del
copulation y comportamiento de acoplamiento en camelids. No hay
contaminación de la orina del semen y el gravamen del comportamiento sexual
es posible (Lichtenwalner y otros. 1996b). Por lo tanto, el método del sistema
de pesos americano de colección del semen proporciona probablemente
muestras del semen la mayoría del representante de natural acoplamiento. Un
autor ha observado que composición del semen (ejaculate el volumen, la
concentración de la esperma, el porcentaje de la esperma viva) varía
perceptiblemente dependiendo de si utilizan a una hembra receptiva o a un
maniquí con el sistema de pesos americano (Davalos y otros. 1999) sin
embargo, otro ha observado que uso de un sistema de pesos americano con
un maniquí o vivir-monta a varones constantes producidos de los resultados fue
entrenado una vez (Adams y otros. 2001).
El montaje simulado se construye de un bastidor de madera en la forma de una
hembra recumbent, cubierta cerca una piel de la alpaca, con un agujero en la
parte posterior para acomodar el sistema de pesos americano (Garnica y otros.
33
1993, Lichtenwalner y otros. 1996b, Bravo y otros. 1997a). El sistema de pesos
americano se puede construir de la pipa del PVC o del tubo de goma reforzado
(25 - 30 centímetros de largo, diámetro de 5-7 centímetro) y alinear con un
trazador de líneas del látex (cuadro 1.3; Lichtenwalner y otros. 1996b, Bravo y
otros. 1997a). Los varios trabajadores han observado la importancia de poner
una restricción alrededor del trazador de líneas del látex del sistema de pesos
americano para simular la presencia de una cerviz (cuadro 1.4; Garnica y otros.
1993, bravo 1995, Bravo y otros. 1997a, Fowler y otros. 1998).
Cuadro 1.3. Diagrama de una vagina artificial usada en los camellos del dromedario
(Bravo y otros. 2000a).
34
Cuadro 1.4. Diagrama de una vagina artificial modificada usada para recoger el semen de
los alpacas (Bravo y otros. 1997a).
El agua caliente se coloca entre el trazador de líneas interno y el tubo externo
(Garnica y otros del látex. 1993, Lichtenwalner y otros. 1996b, Bravo y otros.
1997a). La temperatura del sistema de pesos americano debe estar entre el °C
38-40 (Von Baer y otros. 1999, Bravo y otros. 2000a) y °C 45 (Garnica y otros.
1993, 1995). El sistema de pesos americano se envuelve en un cojín de la
calefacción (bravo 1995, Bravo y otros. 1997a, Fowler y otros. 1998) o el agua
caliente es bombeado continuamente con él (Lichtenwalner y otros. 1996b)
para mantener temperatura. Acoplando entrenan a los varones para montar un
maniquí primero exponiéndolos a las hembras receptivas y pares de alpacas
como estímulo (Garnica y otros. 1993, 1995, Bravo y otros. 1997a, b). No todos
los varones ejaculate en un sistema de pesos americano en cada tentativa.
Completo ejaculates fueron recuperados en 108 de 132 tentativas (el 82%) en
las llamas (Aller 2001) y 203 de 272 tentativas (el 75%) en los dromedarios
(Deen y otros. 2003).
1.3.1 Análisis bioquímico del semen
El análisis bioquímico del plasma seminal se proporciona en la tabla 1.7. El
ácido cítrico (el medio 4.3 mg/dL, se extiende 3.1-6.0 mg/dL) y las
concentraciones de la fructosa (el medio 5.0 mg/dL, se extiende 3.9-6.6 mg/dL)
en semen de la alpaca fueron encontrados para ser independiente de la edad y
35
bajar mucho comparó con los toros, espolones, verracos, sementales y
camellos del dromedario posiblemente debido a una carencia de las vesículas
seminales (Garnica y otros. 1995). Las concentraciones de la fructosa alta y del
ácido cítrico se han observado en los camellos (ElWishy y otros. 1988). Las
altas concentraciones de la glucosa pueden servir como la fuente de energía
primaria para la esperma (Garnica y otros. 1995).
Los datos de los camellos de Bactrian y de los alpacas indican que el semen
del camelid contiene un factor que induzca la ovulación. El plasma seminal
indujo la ovulación en hembras después de la colocación en la vagina o el útero
sin el acoplamiento (Chen y otros. 1985, Rios y otros. 1985, Xu y otros. 1985,
Sumar 1994) o por la inyección intramuscular (Chen y otros. 1985, Pan y otros.
1992, Adams y otros. 2001). La composición bioquímica del factor es
desconocido (Rios y otros. 1985) pero es diferente a GnRH (Zhao y otros.
1992, Paolicchi y otros. 1999). El comportamiento de acoplamiento puede
tener cierto efecto aumentativo en las ovulaciones semen-inducidas
(Fernandez- Baca y otros. 1970d, Chen y otros. 1985). Contrario a estos
resultados, Anouassi y otros. (1992) encontrado eso aunque la inseminación
del semen entero indujo la ovulación en algunos camellos del dromedario,
ovulación y las tarifas del embarazo eran perceptiblemente más altas en ésas
inseminadas y acopladas artificial por a vasectomised a varón.
Tabla 1.7. El análisis bioquímico del semen del camelid (Garnica y otros. 1993, 1995,
Bravo y otros. 2000a).
36
1.3.2 Características del semen
El individuo ejaculates consiste en el bajo volumen, semen de gran viscosidad
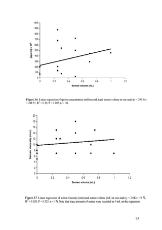
que contiene una esperma baja concentración (tabla 1.8). Hay variación
considerable en características del semen entre diversa alpaca y los varones
de la llama, que pueden plantear un problema en la obtención de calidad
aceptable ejaculates de algunos varones (Gauly y otros. 1996, Von Baer y
otros. 1999, Raymundo y otros. 2000). Volumen del semen, esperma la
concentración, el porcentaje de la esperma viva, el porcentaje de la esperma
normal, y la duración del copulation se han observado para variar entre varones
de la alpaca, sin embargo, la oscilación y el pH no diferenciaron entre los
varones (Bravo y otros. 1997b).
El volumen de cada uno ejaculate en promedios de los alpacas 1-2 ml y se
extiende de menos de 1 ml hasta aproximadamente 7 ml (von Kubicek 1974,
Garnica y otros. 1995, Fowler y otros. 1998). Los volúmenes son generalmente
más bajos cuando el semen es recogido por el electroejaculation que con uso
de un sistema de pesos americano (Tibary y otros. 1999b). El semen se
describe generalmente como lechoso o color crema en el color (Garnica y
otros. 1993, Bravo y otros. 1997a, b) dependiendo de la concentración de la
esperma (Tibary y otros. 1999b).
El semen de la alpaca consiste en el 11.5% esperma y líquido seminal del
88.5% por el volumen (Garnica y otros. 1993). La gravedad específica del
semen de la llama es 1.1 g/ml del ± 0.0 (Lichtenwalner y otros. 1996b). El
semen de la alpaca es muy viscoso (Garnica y otros. 1993, Bravo y otros.
1997a, b), haciéndolo difícil de dirigir (e.g. el medir con una pipeta,
manchándose en una diapositiva), difícil de determinar parámetros tales como
concentración de la esperma y motility de la esperma, y difícil de diluir (Garnica
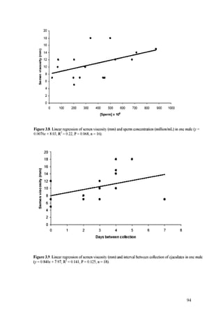
y otros. 1993, Tibary y otros. 1999b). La viscosidad puede ser calculada
indirectamente midiendo la distancia de un volumen sabido del semen que se
dibuja hacia arriba de una diapositiva de cristal por una pipeta (Bravo y otros.
2000b). El grado de viscosidad varía entre los varones (Tibary y otros. 1999b) y
las disminuciones con el aumento del número de ejaculates en cualquier día
37
(Bravo y otros. 1997b). El semen licueface 23 horas (gama 8-30 horas)
después de la colección (Bravo y otros. 1994b).
La concentración de la esperma varía de aproximadamente 30.000 hasta 150
millones por el ml en los alpacas (bravo 1995, Garnica y otros. 1995, Gauly y
otros. 1996). Tales variaciones amplias se atribuyen a las diferencias en
varones, métodos de la colección del semen y ejaculate el número (Tibary y
otros. 1999b). La concentración es determinado después de la licuefacción del
semen, usando un hemocitómetro (Bravo y otros. 1997a).
El pH del semen del camelid se extiende entre 7.2 y 8.6 (Bravo y otros. 1997a,
Von Baer y otros. 1998).
El movimiento de la esperma del camelid en semen no diluido es tan oscilatorio
lo más mejor posible descrito como la mayoría de la esperma el movimiento
hacia adelante y hacia atrás y solamente 5 a 10% de la esperma individual
progresa activamente remite (Neely 1993, Bravo y otros. 1997a, 2000b). El
aumento de la esperma su motility progresivo como el ejaculate se convierte en
más líquido (Tibary y otros. 1999b). La contractilidad muscular y el movimiento
ciliary de la zona reproductiva femenina son probablemente mecanismos más
importantes del transporte de la esperma durante la transferencia de la
esperma del sitio de la deposición en el útero al sitio de la fertilización en el
oviducto, pero el motility de la esperma es esencial para el paso con la
ensambladura y la penetración uterotubal de las células del cúmulo y el
pellucida del zona del ovum (Hafez 1993).
Algunos trabajadores han observado que ejaculates no se fracciona en
alpacas y llamas así que es el semen uniformar en calidad del comienzo al
final del copulation (Sumar 1983, Moscoso y otros. 1999). Otros, sin embargo,
han observado que concentración de la esperma, porcentaje de la esperma
oscilatoria, porcentaje de la esperma viva y porcentaje de la esperma normal
creciente con tiempo durante un solo copulation en los alpacas y las llamas
(Lichtenwalner y otros. 1996b, Bravo y otros. 2002).
38
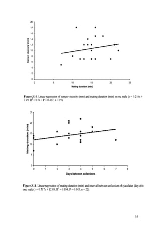
Bravo y otros. (1997b) observó que vive la concentración de la esperma,
volumen exclamatorio, por ciento, los por ciento normales y motility, disminuido
con el aumento del número de las eyaculaciones/día pero el pH no (Bravo y
otros. 1997b, bravo 2002). Volumen exclamatorio, concentración de la
esperma, porcentaje de la esperma viva y duración de el copulation era
diferente en diversos días de la colección del semen (Bravo y otros. 1997b).
Tabla 1.8. Características del semen del camelid.
39
40
41
42
43
1.3.3 Morfología de la esperma
La esperma consiste en una cabeza, un midpiece y una cola (Hafez 1993). La
esperma es el μm 50 largo (μm de la cabeza 5.3, atan el μm 37) en las llamas
(tabla 1.9; Bravo y otros. 2000a). La cabeza es elíptica más bien que ovoid
(Tibary y otros. 1999b).
1.3.4 Transporte de la esperma en la zona reproductiva femenina
Pocos estudios están disponibles en el transporte de la esperma en el siguiente
reproductivo femenino de la zona deposición intrauterina del semen en los
camelids (Bravo y otros. 1996b). No aparece ser diferencia en los números de
la esperma que viajan encima de los cuernos uterinos izquierdos y derechos
(Bravo y otros. 1996b). A pesar de que los 98% de embarazos se llevan
adentro el cuerno uterino izquierdo, las ovulaciones ocurren con frecuencia
igual de ambos ovarios (Fernandez-Baca y otros. 1973). Un alto porcentaje de
la esperma (el 77%) se encuentra en ensambladuras uterotubal o en los
oviductos 6 horas después de acoplar en la alpaca. Noventa y nueve por ciento
de esperma han entrado en los oviductos 12 horas después de acoplar, y los
33% están en el istmo en anticipación de fertilización. La concentración
máxima de la esperma en cada istmo ocurre 18 horas después de acoplar. las
ensambladuras uterotubal son los sitios del almacenaje de la esperma 24-30
horas poste-que se acoplan. El endometrio es edematoso, hyperaemic e
inflamado entre 6 y 30 horas de poste-copulation (Bravo y otros. 1996b).
No se sabe nada sobre longevidad de la esperma del camelid, sin embargo, la
ovulación ocurre aproximadamente 30 horas después del estímulo de
acoplamiento en los alpacas (Huanca y otros. 2001a), así que la supervivencia
de la esperma es ciertamente más largos que esto. Probablemente, el
capacitation de la esperma y la activación acrosome ocurre durante este
período, posiblemente cuando alcance de la esperma el istmo (Hafez 1993).
1.4 Patología
Los problemas comúnmente divulgados en los camelids masculinos incluyen la
carencia de o la libido reducida, exclamatoria problemas e infertilidad
44
inexplicada, pero su desconocido exacto del restos de la etiología (Tibary y
otros. 1999b). El desequilibrio hormonal, la tensión de calor, los factores
debilitantes de la enfermedad, del overuse, de la vejez o genéticos pueden todo
contribuir (Tibary y otros. 1999b).
1.4.1 Anormalidades de los testes
Los defectos testiculares incluyendo hipoplasia, cryptorchidism y los testes
ectópicos se han divulgado en los camelids (tabla 1.10; Sumar 1983, ElWishy
1988, Johnson 1989, Bravo y otros. 1994b, Galloway 2000) y se consideran
como averías genéticas, aunque esto tiene todavía ser probada (Sumar 1983).
La hipoplasia testicular es el defecto testicular más común observado en los
alpacas (Sumar 1983). En un estudio peruano, 10% (385/3807) de todos los
varones examinados exhibió una cierta forma de hipoplasia (tabla 1.10; Sumar
1983) mientras que en un estudio australiano, varones del 5% (4/73) exhibió la
hipoplasia testicular (Galloway 2000). La hipoplasia puede ser bilateral o
unilateral, y se extiende de suave (los grados que varían de actividad
spermatogenic) a severo (las células de Sertoli solamente) histológico (Sumar
1983, ElWishy 1988, Galloway 2000). Los testes de la alpaca de Hypoplastic
pesan 7-12 g y son más firmes que normal (Sumar 1983).
Los testes de Cryptorchid son pequeños, suave, undescended los testes que
se sitúan generalmente cerca del anillo inguinal interno (Sumar 1983). Los
testes izquierdos se afectan más comunmente que los testes derechos (Sumar
1983, Perkins y otros. 1996).
Los testes ectópicos se sitúan fuera del saco scrotal perineally, en el muslo o el
lateral intermedio al pene (Sumar 1983). Los testes ectópicos son pequeños (8-
12 g en peso), flácidos y mas comunes en el lado izquierdo (Sumar 1983).
45
En una examinación extensa del material post mortem, Sumar (1983) observó
el diámetro de 1-5 milímetro estructuras enquistadas unilaterales y bilaterales
en el jefe del epidídimo y/o en el cuerpo del testis. Se piensa que los quistes
están derivados de los conductos paramesonephric (Sumar 1983).
Los problemas testiculares adquiridos en los camelids masculinos incluyen el
trauma testicular secundario a luchar y edema penetrante y scrotal y
producción y libido reducidas de la esperma secundarios a la tensión de calor
(Johnson 1989, Fowler y otros. 1998, Smith 1999c).
Los camelids del americano del sur poseen un escroto no-oscilante y aparecer
adaptado mal a la termorregulación testicular sensible al calor (Pugh 1999).
46
La termorregulación se puede complicar por la grasa scrotal excesiva en los
varones obesos (Pugh 1999). La infertilidad debido a la tensión de calor es
generalmente temporal, y la fertilidad vuelve generalmente 45-60 días después
de la tensión inicial (Johnson 1989, Pugh 1999).
Las anormalidades de Penile incluyen el hypospadia, el pene del sacacorchos,
el frenulum persistente y el daño penile secundarios al enredo del pelo. Las
anormalidades de Preputial incluyen los rasgones preputial, el prolapso, las
restricciones, los hematomas, las adherencias, la infestación parásita y la
hinchazón secundarios a la irritación o a la ruptura de la uretra (Johnson 1989,
carril 1999, Smith 1999c, Tibary y otros. 1999b).
1.4.2 Anormalidades de la esperma
Las varias anormalidades se han divulgado en esperma del camelid, con
variaciones en frecuencia entre especie (tabla 1.11). Todas las anormalidades
de la esperma encontradas en el otro ganado doméstico se pueden encontrar
adentro camelids (Tibary y otros. 1999b). Las anormalidades principales
incluyen tailless, pequeño, grande, el pyriform, afilar y las cabezas dobles
(Bravo y otros. 1997a, b, Flores y otros. 2002). Los midpieces anormales de la
esperma incluyen midpieces gruesos, gotitas próximas y hojas mitochondrial
desiguales o ausentes (Lichtenwalner y otros. 1996b, Von Baer y otros. 1999).
Las anormalidades de la cola incluyen las colas dobladas, dobles, en espiral,
enroscadas (Lichtenwalner y otros. 1996b, Bravo y otros. 1997a, b, Giuliano y
otros. 2002).
Bravo y otros. (1997b) divulgado que el porcentaje de las cabezas y de las
colas anormales de la esperma aumentó con la frecuencia de la colección del
semen en cualquier día, sin embargo, las anormalidades de la esperma no
cambiaron en diversos días de la colección. No se sabe que qué efectúa las
anormalidades de la esperma tienen en la fertilidad (Tibary y otros. 1999b).
Flores y otros. (2002) observó un alto número de la esperma anormal adentro
ejaculates recogió 45 y 90 días después de acoplar anterior. Había dos veces
47
tanta esperma tailless que las cabezas adentro ejaculates recogido después de
90 días de resto sexual comparados con 45 días.
TABLA 1.11
48
49
1.5 Inseminación Artificial
1.5.1 Licuefacción, dilusión, extensión y el congelar del semen
La tabla 1.12 enumera los varios métodos que se han utilizado para licuefacer,
para diluir, para extender y para congelar el semen del camelid, y sus tarifas
respectivas del éxito. La primera dificultad en la manipulación del semen de la
alpaca lo está quitando del sistema de pesos americano y está licuefaciendo el
ejaculate. El semen licueface naturalmente 23 horas (gama 8-30 horas)
después de la colección (Bravo y otros. 1994b). Varios métodos de licuefacción
del semen, tal como el uso de las enzimas (Callo y otros. 1999, Bravo y otros.
2000a, b) y el revolvimiento mecánico (un Niasari-Naslaji, la comunicación
personal), han sido trialled con un cierto éxito para simplificar la dirección y
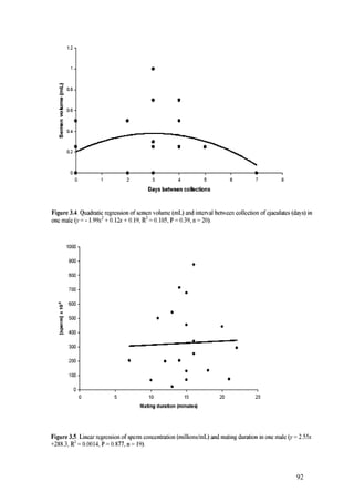
para permitir la dilusión, extensión y el congelar del semen. El Collagenase, el
fibrinolysin, el hyaluronidase y el trypsin todos se han utilizado para reducir la
viscosidad del semen del SACO (Bravo y otros. 2000b). El Collagenase tenía al
parecer el menos efecto en matar a la esperma, no obstante todas las enzimas
dañaron la parte anterior del acrosome en 6 8% de esperma (Bravo y otros.
2000b).
La viabilidad adecuada de la esperma se debe mantener durante el semen que
dirige y que procesa para alcanzar embarazos. La longevidad de la viabilidad
de la esperma es mejorada probablemente mediante almacenaje en el °C 4-5
comparado con temperaturas más altas debido a la actividad metabólica
reducida (Simson 2001). Cuando el semen fue almacenado en el °C 35, el
motility disminuyó casi linear con tiempo de almacenaje: después 30 de los
minutos 42% la esperma era motile, después de esperma de 1 hora el 33%
eran motile, después de 2 horas de esperma 16% eran motile, después de 3
horas de esperma del 5.5% eran motile y después de 6 horas la esperma del
solamente 1.8% seguía siendo motile (Raymundo y otros. 2000). En caballos,
el refrescarse rápido del semen a partir del °C el 37 al °C 20 no afecta al
contrario motility de la esperma, sin embargo, las tarifas que se refrescan a
partir del °C el 20 al °C 4-8 son más críticas. La recomendación actual es
refrescar el semen en un índice de 0.5 a 1.0 C por minuto para maximizar el
motility (Simson 2001). La esperma conserva un motility mejor cuando está
50
almacenada en el °C 4-6 comparó con el °C 0-2 usando los suplementos a
base de leche (Batellier y otros. 2001).
La tensión Oxidative es una de las causas primarias de la deterioración de la
esperma (Batellier y otros. 2001). El retiro del aire oxígeno-rico mejora
supervivencia de la esperma en el oC 4 (Katila 1997).
Los suplementos del semen contienen los compuestos que protegen la
esperma fuera de la zona reproductiva y durante el enfriarse y el congelar
(Simson 2001). Las lipoproteínas, tales como ésas encontradas en yema y
leche de huevo, protegen la esperma contra choque frío estabilizando las
membranas celulares. La energía es proporcionada a la esperma por la adición
de substratos metabolizables tales como glucosa, fructosa o lactosa. Los
antibióticos se pueden agregar a los suplementos del semen al crecimiento
bacteriano del control (Simson 2001). La presión osmótica (300-400 mOsm/L) y
el pH de suplementos necesitan ser controlados para maximizar la
supervivencia de la esperma (Simson 2001).
La dilusión del semen con el suplemento varía con la concentración de la
esperma del ejaculate. Más las muestras diluídas del semen pueden ser 1:1
diluido (v/v) mientras que más muestras concentradas pueden ser 1:2 diluido o
1:3 con el suplemento. Puede ser ventajoso agregar el suplemento de 1-2 ml al
sistema de pesos americano antes de la colección del semen a la preservación
de la esperma de la ayuda durante el copulation prolongado (pers de Niasari-
Naslaji. comm.).
Los factores de la esperma que son importantes para la fertilización incluyen
motility progresivo, metabolismo normal, y las membranas celulares intactas,
las enzimas acrosomal y los nucleoproteins (Simson 2001). Estos factores se
deben preservar durante congelar acertado del semen. El congelar puede
dañar la esperma alterando la estructura de la membrana, el choque osmótico,
la deshidratación, la toxicidad de la sal, la formación de hielo intracelular, la
fluctuación en volumen celular/el área superficial o el desequilibrio metabólico
(Simson 2001). El bravo (2002) demanda que el almacenador intermediario de
51
Tris combinado con la yema de huevo es la combinación más prometedora
para mantener viabilidad de la esperma durante la dilusión, refrigeración,
congelando y deshelando del semen.
Los trabajadores numerosos han procurado el semen del camelid que
congelaba usando una dilusión de 2 pasos con glicerol, y retardan congelar en
el vapor del nitrógeno líquido (Bravo y otros. 1996c, Valdivia y otros. 1999,
Bravo y otros. 2000a). El deshelar de paja está en un baño de agua en el °C
37-40 por los períodos que se extienden a partir de segundos a los minutos
(tabla 1.12).
El plasma seminal es al parecer importante en las respuestas inmunológicas y
fisiológicas normales a la inseminación, al capacitation y a la reacción
acrosome (Rigby de la esperma en 2001 eléctrico). Sin embargo, los
embarazos se han establecido en las yeguas inseminadas con el semen
plasma-libre enfriado, extendido (leche desnatada, suplemento de la glucosa) y
seminal (Rigby y otros. 2001). La presencia de una cantidad pequeña de
plasma seminal o de la adición de una solución del electrólito (eg. El medio de
Tyrode) podría optimizar motility de la esperma después de la centrifugación,
de la extensión y de enfriarse del semen en los caballos (Rigby y otros. 2001).
52
53
54
55
56
57
1.5.2 Época de la inseminación en lo referente a la inducción de la
ovulación
La ovulación y la inseminación síncronas se requiere para alcanzar altas tarifas
del concepto. En una cierta especie, las altas tarifas del concepto ocurren
cuando la esperma está en el oviducto momentos antes de la ovulación (Hafez
1993). Si la esperma se coloca en la zona demasiado temprano, perderán
viabilidad antes de la ovulación, y si la esperma se coloca en la zona después
de la ovulación, el ovum pueden perder viabilidad antes de que la fertilización
pueda ocurrir (Hafez 1993). A un estudio temprano, la parte más elevada de
ova fertilizado dio lugar cuando la inseminación artificial intrauterina en alpacas
era 35 a 45 horas después de que la inducción de la ovulación que usaba
cualquiera a vasectomised el hCG masculino o intramuscular (Calderon y otros.
1968). Más recientemente, el AI que 24-36 horas después de la inducción de la
ovulación han dado lugar al concepto aceptable clasifica (la tabla 1.13;
Pacheco 1996, Quispe 1996, Apaza y otros. 1999).
1.5.3 Números de la esperma requeridos por dosis del IA
La concentración de la esperma requerida para la fertilización y el embarazo
acertados no se sabe en los camelids (marrón 2000). Las ovejas requieren
120-125 millones de espermas frescas usando el AI transcervical para
aceptable el concepto clasifica, pero solamente 20 millones
congelados/deshelaron la esperma cuando se utiliza el AI intrauterino (marrón
2000). Los embarazos han dado lugar a alpacas y a llamas inseminando 8-26
millones de espermas transcervically (la tabla 1.13; Quispe 1996, Aller y otros.
1999b). Deposición del semen de Intracornual del semen durante el copulation
en camelids puede ser una adaptación para superar las concentraciones
relativamente bajas de la esperma (marrón 2000).
1.5.4 Método de entregar la esperma en el útero
Bravo y otros. (1997a) comparó las técnicas del AI transcervical y laparoscopic
en alpacas usando el semen fresco, no diluido y alcanzó tarifas similares del
concepto. Transcervical AI aparecería ser un procedimiento más simple,
menos-invasor, no obstante tiene limitaciones de la capacidad rectal/pélvica de
permitir la estabilización manual transrectal de la cerviz al pasar la pipeta del AI
58
a través de la cerviz, y la dificultad de localizar el OS externo de la cerviz
durante este procedimiento. El bravo (2002) describe la necesidad de la
paciencia y de la destreza de pasar una pipeta a través de la cerviz en el útero.
Laparoscopic AI requiere el alojamiento de la hembra en un cajón, la sedación
con o sin un anestésico general, y el equipo laparoscopic costoso.
59
60
1.5.5 Inducción de la ovulación
Los métodos de inducir la ovulación en alpacas se han discutido a fondo a otra
parte (Vaughan 2001). Inyecciones intramusculares del buserelin de 8 μg
(Bourke y otros. 1992b, 1995a), 500-750 iu de hCG (Adán y otros. 1989) y LH
del magnesio 2-5 (Taylor y otros. 2000, Huanca y otros. 2001) se ha utilizado
para inducir constantemente la ovulación aproximadamente 30 horas después
de la inyección.
1.6 Conclusiones y Punterías en el Actual Proyecto
La revisión precedente ha descrito la fisiología reproductiva de los camelidos
masculinos, con particular referencia a alpacas en lo posible. La revisión
concluyó con una sección en el conocimiento actual de la preservación del
semen y de la inseminación artificial en camelidos. La puntería primaria de
este proyecto era desarrollar la tecnología para la inseminación artificial en
alpacas en asociación con tarifas aceptables del embarazo después del AI. El
proyecto fue analizado en 5 pasos para alcanzar esta puntería:
6. Colección constante y confiable de semen
7. La caracterización del semen para permitir la selección de conveniente
ejaculates para la preservación
8. El enfriarse del semen de la alpaca
9. El congelar del semen de la alpaca
10. Inseminación artificial de hembras.
Cada uno de los jalones es representado por un capítulo separado (capítulos 2,
3, 4, 5 y 6 respectivamente) en este informe.
61
2. COLECCIÓN DE SEMEN DE LA ALPACA
2.1 Introducción
Los varios métodos de colección del semen se han procurado en camelids y se
han descrito (sección 1.3). El trabajo previo ha demostrado que el
electroejaculation es difícil para el operador y agotador para el animal.
Electroejaculation bajo anestesia no es apropiado para la colección rutinaria del
semen para la inseminación artificial. La experiencia limitada con el masaje de
los órganos genitales internos ha indicado que esto no era también un
acercamiento conveniente para la alpaca (DBG inédito). La colocación de una
vagina artificial dentro de un mannequin para recoger los permisos del semen
que acoplan comportamiento en los varones de la alpaca similares a ése
considerado durante el acoplamiento natural y produce probablemente
ejaculates que se asemejan a ésos producidos durante el acoplamiento natural.
Este método de colección del semen también permite la evaluación de la
capacidad de acoplamiento física. La colección de semen con la vagina artificial
era el único método estudiado.
2.2 Materiales y Métodos
2.2.1 Construcción de un mannequin
Construyeron a un mannequin de madera construido para contener una vagina
artificial según las dimensiones en el cuadro 2.1 CA. Los pedazos seccionados
transversalmente fueron hechos de la madera de 5 capas y cubiertos con los
listones anchos de la madera dura de 35 milímetros. La sección de la
cabeza/del cuello fue hecha de un pedazo sólido de madera del pino. El
inclinarse, veeshaped el estante fue colocado entre el `A de las costillas' y el `B'
para llevar a cabo el sistema de pesos americano (cuadro 2.2 a). Cubrieron al
2.0 Construyeron y fueron cubierto al mannequin de madera del resumen A con una alpaca
bronceada piel y cabido con una vagina artificial. Éstos fueron modificados hasta que eran
satisfactorios para la colección constante y confiable de semen de alpacas. Entrenaron a los
varones para acoplarse con el mannequin. Los componentes del comportamiento de
acoplamiento fueron definidos. Aplicación de la fuerza centrífuga a la vagina artificial después
de que la eyaculación fuera requerida para maximizar la producción de semen.
62
mannequin en la espuma de alta densidad y una piel bronceada de la alpaca
(cuadro 2.2 b).
Figure 2.1 (a-c). Dimensions of the wooden alpaca mannequin.
63
Figure 2.2a. Alpaca mannequin from beneath showing shelf on which the
artificial vagina is placed.
Figure 2.2b. Completed alpaca mannequin sitting on non-slip mat.
64
2.2.2 Construcción de una vagina artificial
Una vagina artificial diseñada para el uso en ovejas fue utilizada para recoger
el semen en el proyecto actual (cuadro 2.3; Pty pacífico Ltd, Victoria del
veterinario). Un trazador de líneas del látex (300 milímetros desean x diámetro
de 50 milímetros; Pty Ltd, Victoria de los guantes industriales de Deco) fue
colocado dentro del sistema de pesos americano y asegurado en cada extremo
con dos vendas elásticos #34 heridas sobre 4 veces cada uno (cuadro 2.4).
Una cerviz artificial construida de la espuma tubular (identificación de 28
milímetros, 40 milímetros OD, 30 milímetros de largo; El caucho de Clark,
Victoria) primero fue colocado sobre el cono de la colección aproximadamente
5-10 centímetro del extremo estrecho y asegurado en lugar con una venda
elástico. El cono de la colección con el tubo unido de la colección de 15 ml
(Falcon®, Becton Dickinson) después fue colocado sobre un final del sistema
de pesos americano y cubierto en espuma de alta densidad. El sistema de
pesos americano y el cono enteros fueron envueltos en un cojín eléctrico del
calor (40 centímetros x 30 centímetros; 230 V, 50 W) cuál fue sostenido en
lugar usando 2 vendas elásticos. La vagina artificial fue asegurada sobre el
estante del mannequin que usaba las correas de Velcro®.
Los conos de la colección hechos de diversos materiales fueron examinados
para establecer qué cono era lo más menos posible tóxico a la esperma. Los
tubos que recogen cónicos unidos al extremo del cono se hacen del
poliestireno rígido (Falcon®, Becton Dickinson), un producto que se ha probado
para ser no-citotóxico y no-pyrogenic (O' Leary, Critchlow y otros. 1989).
Cientos y cincuenta ml de agua caliente (oC aproximadamente 60) fueron
puestos entre el sistema de pesos americano y el trazador de líneas del látex
vía la válvula en el aire AV. fueron bombeados en el sistema de pesos
americano en un colmo de presión bastante para borrar el lumen del sistema
de pesos americano pero todavía para permitir la penetración fácil por un dedo.
Una cantidad pequeña de lubricante non-spermicidal (KY®, Johnson y
Johnson) fue puesta alrededor de la abertura externa del sistema de pesos
americano antes de la atadura al mannequin.
65
El cono de la colección y el tubo de la colección fueron protegidos contra
contacto directo con el cojín de la calefacción usando un tubo de alta densidad
de la espuma para prevenir la exposición del semen ejaculated a las
temperaturas supraphysiological (es decir oC mayor que 38) que podrían
acelerar muerte de la esperma. La temperatura dentro del tubo de la espuma
cerca del punto del contacto con el sistema de pesos americano era el oC
aproximadamente 35 y hacia el sitio de la cerviz estaba en la gama del oC 22 a
25, como medido el usar de un termopar.
Figure 2.3. Dimensions of the artificial vagina used with alpacas.
66
Figure 2.4. Artificial vagina prior to placement inside the wooden
mannequin. The blue foam cone is placed over the collection cone
and tube then the AV is wrapped up in the electric heat pad.
2.2.3 Entrenamiento de los varones de la alpaca para montar al
mannequin y para utilizar el artificial vagina
Diversos varones de la alpaca exhiben diversos niveles de la libido y de la
experiencia sexual, y diversos métodos por lo tanto requeridos de
entrenamiento para acoplar al mannequin. Dos métodos de confianza de
entrenar a un varón para montar y para acoplar a un mannequin cabido con un
sistema de pesos americano para permitir con éxito la colección del semen
eran convertido. El entrenamiento de varones y la colección de semen fueron
realizados después de las pautas precisada en el código de la práctica
australiano para el cuidado y el uso de los animales para los propósitos
científicos 1997 y recibieron la aprobación del comité australiano del ética del
animal de laboratorio de la salud animal.
El área seleccionada para los varones del entrenamiento fue abrigada de los
elementos, tenía una superficie conveniente (alfombra del exterior para
asegurar el pie antideslizante y para reducir la cantidad de contaminantes
introducidos adentro al sistema de pesos americano durante el intromission),
67
estaba libre de las distracciones para el varón (eg. perros, fuertes ruidos) y
cerca de una fuente de alimentación (cuadro 2.5).
El comportamiento de acoplamiento del varón fue observado y descrito en
cinco varones una vez que fueran entrenados para montar al mannequin.
La duración de acoplamiento fue medida, al minuto más cercano, a partir del
tiempo que el varón montó a mannequin hasta que el varón primero estaba
parado para arriba o se retiró su pene del sistema de pesos americano para
más de un minuto. Cuando el semen era recogido para procesar los
acoplamientos fueron terminados en aproximadamente 20 minutos, si la alpaca
todavía fue montada para evitar la deterioración del semen en el ambiente
artificial de la vagina. La relación entre la duración de acoplamiento dentro de
ese período minucioso 20 y el intervalo en medio ejaculates fue examinada en
un varón.
Un método de quitar el semen del sistema de pesos americano fue ideado.
2.2.4 Statistical analyses
Descriptive statistics were obtained using Minitab® for Windows Release 12.1
and Microsoft® Excel 97. A linear regression was performed on mating duration
(y) vs interval between collections (x).
Statistical significance was set at P < 0.05 and results presented as means +
SEM.
68
2.3 Resultados
2.3.1 Construcción de un mannequin
Durante los primeros tiempos del proyecto, modificaron al mannequin varias
veces de optimizar postura del varón cuando está montado en el mannequin.
Los cuadros 2.1 y 2.2 demuestran el diseño final alcanzado.
2.3.2 Construcción de una vagina artificial
La temperatura del sistema de pesos americano del grado óptimo extendió a
partir del 48 al oC 52. Los alpacas masculinos eran renuentes penetrar
Sistema de pesos americano cuando la temperatura del sistema de pesos
americano era menos de el oC 45 el oC o más de 55.
En los primeros tiempos del proyecto cuando no se utilizó ninguna cerviz
artificial los alpacas masculinos constantemente retiró y reinsertó el pene y
aparecía incómodo. Cuando la cerviz fue agregada a el sistema,
comportamiento que servía vino asemejarse a eso considerada en servicio
natural.
69
Los conos de la colección hechos de diversos materiales fueron investigados
para establecer qué cono era lo más menos posible tóxico a la esperma (tabla
2.1). Los conos del polietileno dieron los mejores resultados en términos de
actividad de la esperma en la examinación inicial. Fueron construidos de Krutex
Gloves® sensible estupendo (Kruuse, Dinamarca) usando a sellador del calor.
Una forma cónica produjo menos dobleces del plástico en el sitio de la cerviz y
los 41 artificiales por lo tanto menos trauma a la extremidad del pene (según lo
evidenciado por los erythrocytes en el semen).
Los varones penetrarían solamente un sistema de pesos americano cabido con
un trazador de líneas del látex, no un trazador de líneas del polietileno. Este
sistema de la preparación de la vagina artificial era la colección establecida de
150 del excedente más tentativas.
Tabla 2.1. Diversos conos de la colección trialled con la vagina artificial. El material conocido del
fabricante del cono lubricó % activos esperma Guantes industriales Pty de Deco del cono de la colección
de las ovejas Ltd, Victoria látex no 0 Condón Ansell, látex sí 0 de Chekmate de Victoria Condón Ansell,
látex no 0 de Chekmate de Victoria Condón femenino la Female Health Company, Illinois poliuretano sí
0 Productos alegres del bolso alegre de Australia, NSW polietileno ningún 0-80* Krutex modificado
estupendo guante sensible Kruuse, polietileno de Dinamarca ningún 0-80* * Otros factores eran
responsables de esperma baja que la actividad en alguno ejaculates. La actividad de la esperma fue
preservada mejor usando estos conos de la colección.
70
2.3.3 Entrenamiento de los varones de la alpaca para montar al
mannequin y para utilizar el artificial vagina
2.3.3.1: Método 1 de machos que han acoplado previamente a hembras
Colocaron al mannequin en la yarda media de tres usados rutinariamente para
acoplarse y adyacente a una yarda de hembras receptivas. Colocaron a un
varón y a una hembra receptiva cada uno en las 2 yardas externas y permitido
para acoplarse naturalmente. Funcionaron al aprendiz-varón más allá del grupo
de hembras receptivas para estimularlo sexual. A lo después colocaron en la
yarda media y se permitieron montar y acoplar al mannequin (Cuadro 2.6).
Este método fue utilizado para recoger el semen de los varones que realizaban
servicios naturales regulares mientras que aparecía que bastante estímulo
sexual fue proveído por las hembras receptivas y los pares de acoplamiento
cerca para motivar al aprendiz-varón para acoplar al mannequin. La respuesta
de estos varones estaba generalmente inmediato.
Para entrenar a un varón para acoplar al mannequin en ausencia de hembras
receptivas y/o los pares de acoplamiento de los alpacas, el proceso del
entrenamiento descrito arriba fueron repetidos varias veces sobre varios días.
entonces colocaron al aprendiz-varón en la yarda con el mannequin con las
hembras receptivas en un adyacente yarda, pero sin los acoplamientos
naturales que ocurren cerca. Este proceso fue repetido varias veces encima
varios días. Entonces se permitió al aprendiz-varón acoplarse con el
mannequin en ausencia de hembras receptivas y pares naturalmente de
acoplamiento. Se prohibió al aprendiz-varón ninguna acoplamientos natural
durante el entrenamiento.
2.3.3.2: Método 2 de machos virginales
Varones que no habían realizado previamente un acoplamiento natural
diferenciado en su buena voluntad de acoplar maniqui debido a las variaciones
en libido y conocimiento natural de cómo acoplar a una hembra. Era posible
entrenar a un varón virginal para acoplar a un mannequin permitiendo que él
observe a varón experimentado el acoplar de a mannequin como en el método
1 y después permitir al varón virginal en la yarda con el mannequin después
quitar al varón experimentado. Sin embargo, no todos los varones virginales
71
sabían al copulate con mannequin después del estímulo sexual visual y
auditivo solamente.
Se permitió al varón aprendiz-virginal por lo tanto montar a una hembra y a un
compañero receptivos una vez naturalmente. En un día subsecuente,
colocaron al aprendiz-varón en una yarda con un mannequin, al lado de una
yarda contener a hembras receptivas. El aprendiz-varón montó a mannequin y
ejaculated el semen en Sistema de pesos americano. Quitaron a las hembras
receptivas después de primer acoplar acertado. El varón exhibido
comportamiento copulatory similar a un acoplamiento natural demostrado por
un varón experimentado después de 2-3 acoplamientos de el mannequin. Este
método era acertado en virgen del entrenamiento 2 los varones de 4 años.
Una vez que entrenaran a un varón para ejaculate en un sistema de pesos
americano contenido dentro de un mannequin, la presencia de requirieron a
las hembras receptivas y/o los pares de acoplamiento no más (cuadro 2.7). No
todos los varones entrenaron al mannequin acoplado bien en cada tentativa. En
algunos días, los varones inquietaron excesivamente y eran renuentes para
penetrar el sistema de pesos americano o renuente permanecer en el sistema
de pesos americano y no podido ejaculate adecuadamente. Si esto ocurrida, la
temperatura del sistema de pesos americano fue comprobada para asegurarlo
era bastante caliente, y/o el varón era reclinado por 2 a 3 días antes de
intentar otra vez.
Figure 2.6. Yard set-up when training a male to mate a mannequin.
72
Figure 2.7. Male mating mannequin in absence of receptive females.
2.3.3.3 Que Acopla El Comportamiento De Los Alpacas Masculinos
El tiempo de reacción de la entrada a la yarda con el mannequin al montaje fue
encontrado para ser una medida objetiva del keenness del varón de acoplarse
(libido). El comportamiento de varones montó en el mannequin que servía la
vagina artificial fue observado. Las facetas siguientes del comportamiento
durante el acoplamiento fueron identificadas:
• Movimientos que buscan del pene mientras que la posición de la pelvis
era 15 a 30 centímetros detrás del mannequin.
• Movimiento del cuerpo adelante al intromission del aumento.
• El empujar pélvico con los hindlimbs que se mueven para traer el cuerpo
más lejos adelante.
• Episodios de contracciones rítmicas de los músculos traseros pélvicos y
superiores del miembro.
• Depresiones rítmicas de la cola.
• Extensión de la cola.
• El colocar de nuevo
73
• Moviendo la parte posteriora del cuerpo generalmente con el pene que
sale parcialmente, entonces moviéndose adelante otra vez al punto de la
penetración máxima.
• Barbilla que se reclina sobre la cabeza del mannequin.
• La cabeza bajó al hombro del mannequin.
• Vocalisation continuamente o intermitentemente a través del copulation.
Los varones aparecieron al vocalise más en alta voz cuando las
hembras receptivas eran próximas.
• La duración de acoplamiento se extiende a partir del 5 a 45 minutos.
• Enla mayoría de los acoplamientos fue interrumpido y se animó al varón
que desmontara entre 15 y 20 minutos. Esto era considerada necesario
en la etapa actual del proyecto para evitar que los spermatozoa
ejaculated sean expuestos a los cambios en temperatura y para evitar
un contacto más largo con la vagina artificial y recogiendo el recipiente
(véase la sección 3.2.2).
No se estableció ninguna asociación clara entre el patrón de la actividad de
acoplamiento y las características del semen.
2.3.3.4 Que Acopla La Duración
La relación entre la duración y el intervalo de acoplamiento en medio ejaculates
fue examinada en un varón (cuadro 2.8). Había una tendencia (P = 0.143) para
acoplamientos más largos cuando el intervalo entre los acoplamientos
aumentó.
2.3.3.5 Retiro del semen de la vagina artificial después de acoplar
El semen de la alpaca era generalmente bajo en volumen y arriba en
viscosidad y tendió para espumejear y palillo al trazador de líneas del látex y
cono durante la eyaculación en el sistema de pesos americano (cuadro 2.9).
Después del retiro del sistema de pesos americano del mannequin, la cerviz
artificial fue quitada del cono y del agua de la colección vaciados del
compartimiento. El semen fue movido en el tubo de la colección unido al cono
74
de la colección haciendo pivotar el sistema de pesos americano en la longitud
del brazo en un movimiento circular vertical para 10-15 rotaciones para permitir
que la fuerza centrífuga empuje el semen viscoso espumoso en el tubo de la
colección.
Figure 2.8. Linear regression of mating duration (min) and interval between
collection of ejaculates in one male (y = 0.717x + 12.08, R2 = 0.104, P = 0.143,
n = 22).
Figure 2.9. An artificial vagina with frothy semen stuck on the latex liner.
75
2.4 Discusión
El uso de un mannequin y de un sistema de pesos americano de recoger el
semen de alpacas requirió una comprensión de las idiosincrasias asociadas al
comportamiento de acoplamiento natural de alpacas (véase la sección 1.2.4).
El mannequin y los sistemas de pesos americanos fueron preparados de una
manera que permitió que el varón montara, penetrara el sistema de pesos
americano y ejaculate de una forma que se asemeja de cerca a acoplamiento
natural. Por lo tanto razonablemente fue asumido que ejaculates producido
durante el acoplamiento en un sistema de pesos americano era similar a ésos
producidos en un acoplamiento natural. Cada tentativa fue hecha de maximizar
el número de la esperma viva recogido de varones. La gama de temperaturas
óptima de la vagina artificial fue divulgada previamente como 38 al oC 45
(Garnica y otros. 1993, 1995, Von Baer y otros. 1999, Bravo y otros. 2000a).
Las observaciones en el proyecto actual sugieren que la temperatura sea una
poco más alta que esto para los patrones del comportamiento óptimos.
Semejantemente una cerviz simulada se considera necesaria, encontrando eso
conviene con la investigación peruana (Sumar, comunicación personal).
Los conos de la colección hechos de látex se utilizan rutinariamente en AVs
diseñado para el domestic del non-camelid ganado. Aunque el látex puede ser
tóxico a la esperma (Critchlow y otros. 1989), la eyaculación es un proceso
rápido en estas especies así que el semen no está generalmente en contacto
con el látex para más que algunos minutos después de colección. Sin embargo,
los camelids ejaculate para un promedio de 20 minutos, por lo tanto los conos
de la colección hechos de diversos materiales fueron examinados para
establecer qué cono era lo más menos posible tóxico a la esperma. Los conos
del polietileno proporcionaron la mayoría de la esperma viva. Los varones
penetrarían solamente un sistema de pesos americano cabido con un trazador
de líneas del látex, no un trazador de líneas del polietileno.
Diversos varones de la alpaca exhiben diversos niveles de la libido y de la
experiencia sexual, y diversos métodos por lo tanto requeridos de
entrenamiento para acoplar al mannequin. Dos métodos de confianza fueron
76
desarrollados para entrenar a un varón para montar y para acoplar a un
mannequin cabido con un sistema de pesos americano para permitir con éxito
la colección del semen.
El entrenamiento de varones no era difícil y se podía alcanzar en 1 a 5 días.
Sumar (inédito) ha demostrado que los varones entrenados “recuerdan” su
entrenamiento para mientras un año después de su servicio pasado.
Las facetas del comportamiento de acoplamiento observadas eran similares a
ésas registradas por otros trabajadores (véase la sección 1.2.4). No todos los
varones entrenaron para montar al mannequin acoplado bien en cada tentativa.
En algunos días, los varones inquietaron excesivamente y eran renuentes
penetrar el sistema de pesos americano o renuente permanecer en el sistema
de pesos americano y no podido ejaculate adecuadamente.
Los varones que realizan rutinariamente acoplamientos naturales pueden no
intercambiar hacia adelante y hacia atrás fácilmente entre hembras receptivas y
un mannequin (Gauly, comunicación personal).
La repugnancia para servir el sistema de pesos americano también se ha
observado en las llamas (Aller 2001) y los camellos (Deen y otros. 2003) donde
20 a el 25% de tentativas de acoplamiento no pudieron producir un completo
ejaculate. Más observaciones son necesarias establecer las relaciones entre el
comportamiento y las características de acoplamiento del semen. Puede haber
ventaja en la registración del patrón del comportamiento de la porción en
varones como base para reconocer comportamiento anormal o la probabilidad
de la calidad pobre del semen.
Los métodos de la colección se convirtieron en esta colección confiable
permitida capítulo de semen que se puede utilizar para estudiar las
características del semen (capítulo 3) y la preservación del semen (capítulos 4
y 5). Más investigación es necesaria asegurar el estímulo sexual máximo y las
respuestas de la eyaculación en cada colección procuran para la producción
rutinaria del semen en un programa de la inseminación artificial. Esto puede
77
requerir modificaciones al trazador de líneas del sistema de pesos americano,
temperatura del sistema de pesos americano y configuración y adaptación de la
cerviz a los requisitos de varones individuales.
78
3. CARACTERISTICAS DEL SEMEN DE LA ALPACA
3.1 Introducción
El semen del camelid del americano del sur ha sido caracterizado por varios
laboratorios en el sur y Norteamérica y Europa en una pequeña cantidad de
varones. El semen fue recogido por medio de una vagina artificial, y de
parámetros del semen del color, viscosidad, volumen, pH, porcentaje de la
esperma viva, esperma la concentración, la morfología y la actividad fueron
descritas conjuntamente con la duración del copulation (Lichtenwalner y otros.
1996b, Bravo y otros. 1997a; ver la sección 1.3.2). Estos parámetros han sido
útiles para el trabajo de diagnóstico, detectando a varones con disturbios
significativos de la función reproductiva y de la fertilidad disminuida cuando los
valores son límites normales del exterior bien. Proporcionan la información
importante para la selección de los varones del reproductivo-sonido para el uso
en el AI. Estos parámetros, sin embargo, no son siempre útiles para identificar
fertilidad suboptimal en ganado doméstico tal como toros (Rodriguez Martinez y
otros. 2001). La variación en calidad y fertilidad del semen entre ejaculates
del mismo varón puede también obstaculizar la predicción de la fertilidad.
En trabajo del AI de la rutina en ganados y ovejas, los estándares de la calidad
del semen para la aceptación y el rechazamiento de padres y ejaculates para el
AI se fijan en términos de concentración de la esperma, de su motility y de la
morfología. Hay una necesidad clara de estandardizar el gravamen del semen
en camelids por todo el mundo.
Los métodos simples, económicos son necesarios para la examinación de
fresco y el semen del deshielo del poste para identificar a varones con fertilidad
suboptimal suave y severa y a seleccionarlos o rechazo ejaculates para los
propósitos del AI. Un tal parámetro identificado en semen de bóvidos
3.0 sumarias Las características del semen que definen un ejaculate fueron
establecidas. Estos parámetros eran el volumen (ml), la actividad (por ciento de
esperma que demuestra cualquier tipo de movimiento), la concentración (millones por
el ml), números totales de la esperma en un ejaculate, por ciento vivos, viscosidad, pH
y morfología de la esperma. Un método práctico de gravamen del semen fue
desarrollado. La calidad del semen varió considerablemente en y entre varones.
79
congelado en Australia es el porcentaje morfológico de normal los
spermatozoa poste-deshielan inmediatamente (Phillips y otros. 2001). Un
microscopio del contraste de la fase de la buena calidad con la alta energía
(por lo menos ampliación X.400) y las manchas y los borrones de transferencia
correctamente preparados son necesarios.
Métodos complejos de evaluar el semen que tienen una relación significativa a
la fertilidad y permiten la eliminación de toros secundario-fértiles, incluye la
evaluación de ayuda de computadora de los patrones del motility de la
esperma, de la separación de la esperma del swimup, del estado del
capacitation, de las reacciones acrosome inducidas, de los análisis esperma-
que atan del pellucida del zona y de la fertilización in vitro. Estos métodos de la
evaluación del semen requieren habilidad en el uso del equipo costoso y no
serán considerados más lejos en este estudio. Las punterías de este capítulo
eran definir un método estandardizado y objetivo de caracterizar el semen de la
alpaca describiendo parámetros cuantitativos del semen. Esto proporcionará
una base para los centros o los individuos de crianza artificiales australianos
para determinar calidad del semen y la fertilidad de los varones de la alpaca.
3.2 Materiales y métodos
3.2.1 Animales y equipo usados para caracterizar el semen
Veinticuatro ejaculates fue recogido a partir de un varón para definir
características del semen. Ejaculates a partir de tres varones fueron recogidos
para examinar la variación entre varones.
El equipo usado para caracterizar el semen de la alpaca en este proyecto se
enumera en la tabla 3.1. Un microscopio con la ampliación (x 100, x 200 y
X.400) de los objetivos del contraste de la fase y de immersión en aceite
(x1000 la observación clara permitida de la ampliación) de la esperma para la
morfología y vive/absolutamente los estudios. Combinado con una etapa
caliente (oC 37), el movimiento de la esperma fue observado y descrito
80
3.2.2 Características del semen
La mayoría de ejaculates fue recogida directamente en los suplementos del
semen para facilitar la preparación del semen para el AI (véase los capítulos 4
y 5). Muchas características del semen fueron influenciadas por la presencia de
suplementos. Por lo tanto un número limitado de ejaculates fue examinado para
definir las características.
La hoja del expediente de datos usada está en el apéndice 1.
3.2.2.1 Volumen del semen
El volumen del semen fue determinado colocando el semen en un tubo
graduado de la colección después de la terminación de la eyaculación. La
fuerza centrífuga fue aplicada haciendo pivotar la vagina y el cono artificiales
con el tubo unido en la longitud de los brazos en un movimiento circular varias
veces de recoger tanto cuanto sea posible del ejaculate en el tubo.
3.2.2.2 Viscosidad del semen
81
Para medir viscosidad del semen, el semen de 10 μL fue elaborado en una
micropipeta, después el semen de 5 μL fue colocado en una diapositiva de
cristal y tiró hacia arriba según lo descrito por Bravo y otros. (2000b). El hilo de
rosca del semen fue tirado lentamente hasta que se rompió. El punto en el cual
el hilo de rosca del semen se rompió, fue medido al milímetro más cercano
usando una regla y la distancia registradas como viscosidad del `'.
3.2.2.3 Porcentaje de de la esperma viva
La mancha de la Nigrosin-eosina (Hancock 1957) fue utilizada para calcular
números de la esperma viva y muerta. La esperma viva con las membranas
intactas del plasma no toma la mancha, mientras que la esperma muerta tiene
permeable membranas y rojo de la mancha con eosina.
La mancha de la Nigrosin-eosina fue mezclada con semen en un coeficiente de
1:2 (semen: mancha) en una diapositiva de cristal usando una micropipeta de
10 μL (esto puede ser realizada inmediatamente después que se ha medido la
viscosidad). Un subsample de la mancha y del semen después fue extendido
por una diapositiva de cristal y secado al aire. El borrón de transferencia del
semen fue examinado bajo alta energía (X.400 o x de immersión en aceite
1000). Cientos espermas fueron examinadas para mancharse y el porcentaje
vivo de la esperma calculaba.
3.2.2.3 Actividad de la esperma
Una gota del fresco ejaculate fue examinada bajo resbalón de la cubierta en
una etapa caliente en la ampliación X.400.
3.2.2.4 Concentración de la esperma
El número de la esperma por el ml de semen era calculado diluyendo una parte
alícuota de semen y la cuenta de la esperma en un Neubauer mejoró el
hemocitómetro (Pty Ltd, Alemania de la marca de fábrica), una diapositiva de
cristal grabada al agua fuerte con los cuadrados del área sabida y profundidad
entre la tira y la diapositiva. El semen fue diluido (x 50) para contar agregando
el μL 10 del ejaculate al μL 440 regar más 50 el trypsin del μL 2.5%. La mezcla
era vortexed por 10 segundos. Los 2 compartimientos del hemocitómetro
fueron llenados de semen y de izquierdo diluidos, mezclados para estar
82
parados por 5 minutos en un ambiente húmedo de modo que la esperma se
hundiera al fondo de cada compartimiento y eran más fáciles de observar
debajo del microscopio. Toda la esperma en los 25 cuadrados centrales de
ambos compartimientos fue contada, incluyendo la esperma que mentía en las
líneas más bajas e izquierdas de cada cuadrado, y un medio calculado (cuadro
3.1). El número malo de la esperma en los 25 cuadrados centrales se
multiplicó por 0.5 dio la concentración de la esperma en millones de esperma
por el ml.
Cálculo de la dilusión al contar toda la esperma en los 25 cuadrados
centrales:
El número de la esperma en la central 25 ajusta x 104 (volumen del
compartimiento = 1 milímetro x largo 1 milímetro x amplio 0.1 milímetros altura
= 0.1 mm3; para convertir a la esperma por el ml multiplicarte por 104) x 50
(semen del μL de la tarifa 10 de la dilusión en agua de 490 μL) = #sperm en la
central 25 ajusta sperm/mL de x 0.5 x 106
Diversas dilusiones se pueden utilizar para satisfacer ejaculates de una
concentración más alta o más baja. Semejantemente puede no ser necesario
contar los 25 cuadrados. Un total por lo menos de la esperma 200 debe ser
contado.
Cálculo de la dilusión al contar menos de 25 cuadrados:
Concentración (x 106 sperm/mL) = número total de la esperma x número 1000
del ÷ de 250 de x 50 (tarifa de la dilusión) x de los cuadrados contados. Un solo
cuadrado pequeño es 0.004 mm3 (1s/250o de un milímetro cúbico).
83
Figure 3.1. Etchings on a haemocytometer that allow calculation of sperm
concentration. Sperm in the middle 25 squares are counted, including sperm
lying on the lower and left lines of each square.
3.2.2.6 Morfología del esperma
Observación y cálculo de la esperma normal y de la esperma que exhiben
anormalidades morfológicas de la cabeza, el mediados de-pedazo y/o la cola
fueron realizados usando la misma diapositiva según lo preparado para las
cuentas vivas/de los muertos en alta energía (de immersión en aceite, x 1000).
Para los gravámenes rutinarios 100 la esperma fue contada y clasificó como
tener morfología normal o anormal.
3.2.2.7 pH
El pH era calculado usando el papel del pH. Longitud testicular mala de
3.2.2.8 La longitud testicular
Mala es la longitud mala del eje más largo de los testes izquierdos y derechos
medidos a el milímetro más cercano, y fue medido usando los calibradores
según Galloway (2000).
3.2.2.9 que acopla la duración
La duración de acoplamiento fue medida al minuto más cercano según lo
descrito en el capítulo 3. 1 milímetro 1 milímetro Profundidad del
compartimiento 0.1 milímetros (No escalar)
3.2.3 Análisis estadísticos
La estadística descriptiva fue obtenida usando Minitab® para el lanzamiento
12.1 de Windows y el Excel de Microsoft® 97. Las regresiones cuadráticas
fueron realizadas en (a) la concentración de la esperma (y) contra días entre la
colección de ejaculates (x) y (b) el volumen del semen contra días entre la
colección de ejaculates. Regresiones lineares fueron realizados encendido: (a)
concentración de la esperma contra la duración de acoplamiento, (b)
concentración de la esperma contra el semen volumen, (c) volumen del semen
contra la duración de acoplamiento, (d) viscosidad del semen contra la duración
de acoplamiento, (e) acoplamiento la duración contra días entre la colección
84
de ejaculates, (f) viscosidad del semen contra el volumen del semen, semen
del (G) la viscosidad contra la concentración de la esperma y (h) la viscosidad
del semen contra días entre la colección de ejaculates. La significación
estadística fue fijada en P < 0.05 y los resultados presentados como significa +
SEM.
3.3 Resultados
3.3.1 Características del semen
Las características de la demostración de las tablas 3.2 y 3.3 del semen
recogieron de varones con longitud testicular mala > 4 centímetro. Los
testículos grandes no significaron necesariamente buena calidad del semen
como se muestra por el semen variado características entre varones. El varón
#1 tenía calidad mejor del semen que los varones #2 o #3, que tenía actividad
baja de la esperma y porcentajes crecientes de las anormalidades de la cabeza
y de la midpiece-cola de la esperma. examinación morfológica de diagnóstico
de la información proporcionada semen sobre los tipos y porcentajes de la
esperma anormal.
Tabla 3.2. La longitud y las características testiculares del semen recogieron con una
vagina artificial de tres alpacas masculinos encendido el mismo día.
85
86
3.3.1.1 Volumen del semen
El semen de la alpaca que fue recogido en un sistema de pesos americano
seco (sin el suplemento) era generalmente viscoso y espumoso y pegado a las
paredes del látex. La espuma del semen era rica en esperma y fue incluida en
el ejaculate si es posible. Al caracterizar un ejaculate no se agregó ningunos
suplementos al sistema de pesos americano de antemano como éste interfirió
con la valoración del volumen exacto y de la concentración. No era posible
restar simplemente el volumen del suplemento del semen del total ejaculate el
volumen si estuvo agregado al sistema de pesos americano antes del
copulation como porción de suplementos del semen que cualquiera funcionó
del sistema de pesos americano durante la colocación del sistema de pesos
americano en el mannequin, evaporado durante la colección u orientado el
sistema de pesos americano más bien que funcionó en el tubo de la colección.
3.3.1.2 Viscosidad del semen
El semen de la alpaca era generalmente viscoso, haciendo el retiro del semen
del sistema de pesos americano difícil. Viscosidad a partir 5 a 18 milímetros
variados.
3.3.1.3 Porcentaje de la esperma viva
El porcentaje de la esperma viva adentro ejaculates extendido a partir de la 0
hasta la esperma viva del 90%. Buena calidad del semen aparecía tener
esperma viva más del de 70%.
3.3.1.4 Actividad de la esperma
El porcentaje de la esperma activa se extendió a partir de la 0 hasta el 80%. La
actividad de la esperma fue determinada lo más mejor posible bajo fase
contraste en la ampliación x 200 o X.400. Una descripción de varios campos
fue hecha, observando la proporción de esperma que se movían de cualquier
manera. Los tipos de actividad de la esperma observados eran movimiento
delantero progresivo (motility), oscilación y movimiento vibratorio. El tipo de
movimiento dependió en parte de la distribución de los spermatozoa en la
fracción del gel. El gel restringió el movimiento de la esperma encajada en él.
La esperma en las partes más flúidas de la gota demostró el movimiento
87
delantero activo típico (motility). Por lo tanto, fue determinado que los
“spermatozoa activos de los por ciento” deben ser el gravamen rutinario
incluyendo todos los tipos de actividad (tabla 3.2). Cuando se diluye el semen y
se dispersa el gel, el “por ciento motile” es apropiado. El semen de la alpaca
no exhibió el movimiento de la onda (acción total de la esperma vista con el ojo
desnudo).
3.3.1.5 Concentración de la esperma
La concentración de la esperma en semen varió extensamente a partir 22.5 a
875 millones de espermas por el ml de semen. La concentración de la
esperma en semen determinó color del semen y se extendió de gris a lechoso
a color crema como números de la esperma por el ml de semen creciente.
3.3.1.6 Morfología de la esperma
Las anormalidades de la esperma observadas en el proyecto actual incluyeron
las cabezas anormalmente formadas, las cabezas tailless, las gotitas
citoplásmicas (unidas a la parte próxima o distal del mediados de-pedazo), los
mediados de-pedazos anormales y las colas anormales (doblados o arrollados;
Tablas 3.2, 3.4 y 3.5). Los porcentajes de la esperma anormal fueron dados
como el porcentaje de la esperma total en el ejaculate. La esperma individual
pudo haber tenido más de una anormalidad. Los alpacas masculinos con los
testículos grandes, una historia de la buena fertilidad y las cuentas altas de la
actividad de la esperma tenían 70 a 80 % morfológico de los spermatozoa
normales (tabla 3.4). La anormalidad más frecuente encontrada era cabezas
tailless seguidas por las gotitas próximas. La examinación detallada del
laboratorio de la morfología proporcionó más información en la gama de la
calidad del semen que fue encontrada en el proyecto (tablas 3.4 y 3.5).
3.3.1.7 pH
En el proyecto actual, el pH del semen de la alpaca se extendió a partir del 7.5
a 8.
Tabla 3.4. Gravámenes rutinarios de la morfología sobre el semen de criar los alpacas
masculinos con una historia de la buena fertilidad. Las cuentas de 100 o más
spermatozoa fueron hechas en la ampliación de x 600 usando borrones de transferencia
eosina-manchados nigrosin.
88
3.3.2 Relaciones entre parámetros del semen y entre los parámetros del
semen y gerencia de acoplamiento
Había una relación positiva entre (y) el volumen del semen (ml) y (x) la
duración de acoplamiento (minutos; y = 0.036x - 0.166, R2 = 0.24, P = 0.021, n
= 22; Cuadro 3.2).
Las regresiones cuadráticas de la concentración de la esperma (millions/mL) y
del intervalo entre la colección de ejaculates (los días; y = -20.6x2 + 159.7x
+107.5, R2 = 0.25, P = 0.146, n = 18; El cuadro 3.3) y el volumen del semen
(ml) e intervalo entre la colección de ejaculates (los días; y = - 1.99x2 + 0.12x +
0.19, R2 = 0.105, P = 0.39, n = 20; Cuadro 3.4). Esto sugirió que las
concentraciones de la esperma y los volúmenes máximos del semen fueran
89
producidos cuando el intervalo entre las colecciones de ejaculates era 3 a 4
días que cuando ejaculates fueron recogidos en intervalos más cortos o más
largos.
Los coeficientes de la regresión para las ecuaciones siguientes acercaron a
cero:
Concentración de la esperma (millions/mL) y duración de acoplamiento (minuto;
y = 2.55x +288.3, R2 = 0.0014, P = 0.877, n = 19, cuadro 3.5).
Concentración de la esperma (millions/mL) y volumen del semen (ml; y =
299.64x + 288.51, R2 = 0.10, P = 0.205, n = 16; Cuadro 3.6).
Viscosidad del semen (milímetro) y volumen del semen (ml; y = 2.042x + 9.72,
R2 = 0.028, P = 0.525, n = 17; Cuadro 3.7).
Viscosidad del semen (milímetro) y concentración de la esperma (million/mL; y
= 0.0076x + 8.03, R2 = 0.22, P = 0.068, n = 16; Cuadro 3.8).
La viscosidad del semen (milímetro) y el intervalo entre la colección de
ejaculates (los días; y = 0.840x + 7.97, R2 = 0.141, P = 0.125, n = 18; Cuadro
3.9).
Viscosidad del semen (milímetro) y duración de acoplamiento (minuto; y =
0.216x + 7.49, R2 = 0.041, P = 0.407, n = 19; Cuadro 3.10).
La duración de acoplamiento (minuto) y el intervalo entre la colección de
ejaculates (los días; y = 0.717x + 12.08, R2 = 0.104, P = 0.143, n = 22; Cuadro
3.11).
90
91
92
93
94
95
3.4 Discusión
Las características del semen de la alpaca encontradas en el estudio actual
eran similares a ésas encontradas por otra trabajadores (véase la sección
1.3.2, la tabla 1.8). Había gran variación en y entre varones con respecto al
volumen, a la concentración, a la viscosidad, a la morfología, a la actividad y a
los por ciento del semen vivos. El trabajo proporcionó la base para la definición
de la calidad del semen y la selección de los varones convenientes para el
semen preservación. El semen necesita ser recogido y ser examinado de
muchos más alpacas clínico normales de la fertilidad sabida para definir los
límites de las características del semen que indican la función reproductiva
normal y la alta fertilidad. De la otra especie se sabe que solamente el semen
de la alta calidad es conveniente para enfriarse y congelar.
Hay 2 ediciones que están en conflicto relacionadas con la duración de
acoplamiento que puede afectar calidad del semen. El primer es que el
volumen de cada uno ejaculate, y por lo tanto suma números de la esperma,
aumenta con el aumento de la duración del copulation (cuadro 3.2) y que el
acoplamiento de la duración de un varón que acopla a un mannequin debe
estar de duración similar a el de un acoplamiento natural para maximizar la
probabilidad de la colección óptima del semen (véase Sección 1.2.6). La
segunda edición es la dificultad de controlar el ambiente dentro del sistema de
pesos americano con la posibilidad de una reducción en calidad del semen
durante el copulation prolongado. La temperatura artificial de la vagina
disminuyó en un cierto plazo a pesar de la presencia de un cojín del calor
alrededor del exterior. Semejantemente, prolongado el contacto del semen con
el trazador de líneas del látex puede ser perjudicial a la supervivencia de la
esperma (Aller 2001). Grado óptimo la duración de acoplamiento es un
compromiso entre estos efectos de oposición sobre calidad del semen.
Cuando ejaculates fueron recogidos cada 3 o 4 días allí eran una tendencia
para una concentración más alta de la esperma por ejaculate y mayor volumen
del semen (cuadros 3.3 y 3.4). A pesar de que los resultados no eran
estadístico significativos, y debido a los apremios del tiempo en el proyecto,
96
estos resultados dirigieron el trabajo divulgado en capítulos subsecuentes para
obtener los números máximos de la esperma para la dilusión y el proceso del
semen. No había relación entre la concentración y el volumen del semen,
viscosidad de la esperma del semen y volumen del semen, viscosidad del
semen y concentración de acoplamiento de la duración o de la esperma y
duración de acoplamiento de el individuo ejaculates. Aparecería que la emisión
de la fracción del gel del semen está dispersada a través del proceso y no hay
fraccionamiento de componentes seminales durante la eyaculación.
Los trabajadores anteriores también han indicado que restos de la composición
del semen constante a través de la eyaculación (Sumar 1983, Moscoso y otros.
1999), sin embargo, otros han observado esa concentración de la esperma, el
porcentaje de la esperma activa, el porcentaje de la esperma viva y el
porcentaje de la esperma normal aumentaron con tiempo durante un solo
copulation (Lichtenwalner y otros. 1996b, Bravo y otros. 2002).
Los varones usados en el proyecto actual tenían longitudes testiculares malas
> 4 centímetros. La longitud testicular mala da una indicación de la probabilidad
de tubules spermatogenic produciendo los spermatids alargados (tabla 1.5;
Galloway 2000) y por lo tanto la capacidad de un varón de producir la esperma.
La longitud testicular mala también se correlaciona altamente con el peso
testicular (r = 0.88, n = 68; Galloway 2000) y por lo tanto cuantitativo
producción de la esperma (evidencia de la otra especie). Características de la
demostración de las tablas 3.2 y 3.3 del semen recogido de varones con
longitud testicular mala > 4 centímetros. Los testículos grandes no significaron
necesariamente buena calidad del semen como se muestra por características
variadas del semen entre varones. Consideraban al varón #1 para tener buena
calidad del semen cuando los valores normales para las características del
semen fueron extrapolados de la otra especie. Los varones #2 y #3 tenían
actividad baja de la esperma y porcentajes crecientes de la cabeza de la
esperma y anormalidades de la midpiece-cola que sugieren la presencia de
una degeneración testicular. Las razones de la calidad pobre del semen y de la
degeneración testicular en alpacas requieren estudio adicional.
97
En especie tal como espolones y toros, la esperma se considera como rápida y
progresivo-motile si nadan más de una longitud de cuerpo de la esperma por
segundo. La esperma con el movimiento rápido, progresivo se piensa a
asociarte a fertilidad, mientras que esperma que crispa, circunda lentamente o
ser no-progresivo se excluyen generalmente de las estimaciones del motility
(Evans 2001). En cambio, los “spermatozoa activos de los por ciento” deben
ser el gravamen rutinario para el movimiento exhibido en semen de la alpaca
mientras que el término incluye todos los tipos de actividad de la esperma. El
término “motility” se reserva lo más mejor posible para el gravamen cuando el
gel no está interfiriendo con el movimiento y la esperma de hecho se está
moviendo activamente adelante. En algunas muestras viscosas del semen de
la alpaca 59 examinado pronto después de la colección, motility según lo
definido para la otra especie pueden ser el 0%, pero la actividad puede ser el
70% que sugiere buena calidad del semen.
La determinación subjetiva del motility de la esperma, por la alta energía (x 200
o X.400) fase-pone en contraste generalmente la microscopia con una etapa
precalentada, es el método más ampliamente utilizado de determinar calidad
del semen en la poste-colección doméstica del ganado de ejaculates
inmediatamente y el poste-deshelar del semen congelado (Rodriguez-Martinez
y otros. 2001). El método es rápido y simple, sin embargo, no hay fuerte
relación entre el motility del semen y la fertilidad subjetivo determinados del
campo en ganados cuando los valores del motility son los 50% o mayores
(Hafez 1993, Stalhammar y otros. 1994). Dado esta observación y dificultad en
describir el movimiento en alpacas, otros métodos de la esperma de determinar
necesidad de la calidad del semen de ser convertido.
La examinación rutinaria del semen proporcionó una guía a la conveniencia
para la inseminación artificial. Exacto la determinación del número de la
esperma por el ml de semen es tan importante que hay mucha variación entre
los varones y ejaculates, pero fue obstaculizado por la presencia de
espumejear del semen durante colección. La espuma era esperma-rica y
necesita ser utilizada en cada uno ejaculate para maximizar el número total de
la esperma disponible para la transformación posterior. Concentraciones de la
98
esperma descritas en alpacas en gama de la literatura de diez de millares de
sperm/mL (Raymundo y otros. 2000) hasta centenares de millones de
sperm/mL (Bravo y otros. 2002). El cálculo de la concentración de la esperma
permite cuantificable dilusión con los suplementos del semen para producir
números sabidos de la esperma por dosis del AI. El trabajo adicional es
requerido para definir las influencias de la altitud, estación, nutrición, edad y
genética en la producción de la esperma y para ejaculate la concentración, y la
gama de las concentraciones de la esperma encontró debajo de del sudeste
Condiciones ambientales australianas.
La examinación morfológica de diagnóstico de la esperma de la alpaca da una
guía adicional a gravamen de la calidad del semen. En alpacas masculinos
normales y anormales en el material limitado disponibles, las anormalidades
predominantes en el semen eran cabezas tailless y gotita citoplásmica próxima.
Su origen y significación y la relación de las características morfológicas del
semen a la conveniencia para procesar y a la fertilidad requieren estudio
adicional. Es a menudo necesario examinar el semen durante tiempo con las
examinaciones seriales del semen antes de una diagnosis y su relación a la
fertilidad puede ser determinada. Las anormalidades de la esperma observadas
en el proyecto actual (tablas 3.2, 3.4 y 3.5) también han sido observadas en
camelids por otros trabajadores (véase la sección 1.4.2, la tabla 1.11).
La morfología gruesa de la esperma puede ser un parámetro confiable del
campo de ejaculate calidad porque es lo menos influenciado por el proceso de
la colección o congelar-deshelando (Perry y otros. 2002). Se ha encontrado en
toros que el porcentaje de la esperma normal en un ejaculate correlaciona
perceptiblemente con fertilidad en las pruebas de pre-acoplamiento y el semen
congelado-deshelado (Phillips y otros. 2001). La morfología de la esperma viva
correlaciona mejor con potencial de la fertilidad que con morfología total de la
esperma de un ejaculate (Hafez 1993) y se puede utilizar eliminar toros con
semen de la mal calidad para AI (Rodriguez-Martinez y otros. 2001). La
fertilidad en toros no se compromete generalmente hasta que el porcentaje de
la esperma anormal excede de 20 hasta el 30% (Hafez 1993, Perry y otros.
2002) pero el nivel es desconocidos en alpacas.
99
Había variación extrema en calidad del semen en y entre los alpacas
masculinos y todos los resultados requerir la confirmación adicional con la
colección y la caracterización de muchas más muestras del semen de una
variedad de varones. Los niveles aceptables mínimos de los parámetros del
porcentaje viven esperma, esperma normal del porcentaje, actividad, la
esperma por necesidad del ml de ser determinado de permitir la selección de
conveniente ejaculates para la transformación posterior y la preservación o el
descarte de inadecuado ejaculates. El espumejear del semen en el sistema de
pesos americano durante la colección necesita reducido al mínimo para
maximizar el número total de la esperma disponible para caracterización y
proceso. La crianza de la evaluación de la validez y de la caracterización del
semen en alpacas debe promover fertilidad de la manada y el uso de menos,
de varones mejores on-farm, y de la selección de los varones más
convenientes para el proceso del semen.
100
4. ALMACENAR EL SEMEN LÍQUIDO DE LA ALPACA
4.1 Introducción
El almacenaje acertado del semen en un estado líquido confía en la reducción
de muerte y de la degeneración de la esperma durante almacenaje para poder
alcanzar embarazos después del AI 1-3 días después de que el semen se
recoge. las ventajas de almacenar el semen recogieron del ganado doméstico
en forma líquida más bien que en forma congelada incluir el requisito de
números más bajos de la esperma por dosis del AI (4-8 millones de espermas
por dosis en toros pero dosifican desconocido en alpacas), almacenaje barato y
uso fácil del campo. La desventaja principal es que el semen líquido tiene una
vida útil limitada comparada con el semen congelado, que tiene vida de
almacenaje ilimitada.
Los suplementos del semen son soluciones usadas al estiramiento del `' que
cada uno ejaculate más lejos sin la reducción de fertilidad, y realzar
supervivencia de la esperma fuera del varón. Por ejemplo, un espolón ejaculate
conteniendo 2000 millones la esperma por el ml puede ser extendida para
producir 30-60 dosis del AI de semen. De la concentración de la alpaca los
spermatozoa observados en el capítulo 3, dosis de la alpaca por ejaculate son
probables ser considerablemente más bajos que esto.
Los suplementos del semen contienen generalmente los ingredientes que son
beneficiosos a la supervivencia de la esperma: una fuente de la energía (eg.
glucosa, fructosa), compuestos a proteger contra choque frío durante enfriarse
(eg. lipoproteína de la yema de huevo, de la caseína de la leche) y de congelar
(eg. glicerol) y antibióticos para reducir la transferencia de patógeno (véase la
sección 1.5.1). Los suplementos se protegen a menudo (eg. el ácido cítrico,
4.0 Summary Extenders containing egg yolk and glycerol, and in particular Triladyl®
(Minitub, Germany), proved the most effective extenders for chilled semen up to 48
hours. Other extenders were unsatisfactory in comparison to Triladyl®. Neither
centrifugation of semen to remove seminal plasma nor rapid agitation to reduce
viscosity apparently enhanced the survival of chilled semen.
101
TRIS) y contiene los elementos que estabilizan sistemas de la enzima y
neutralizan los productos tóxicos producidos por la esperma.
El plasma seminal proporciona un medio del transporte para la esperma y los
substratos metabólicos para mantener la esperma viabilidad. Sin embargo,
algunos componentes del plasma seminal pueden impedir la dirección de la
esperma (colmo la viscosidad), reduce actividad de la esperma, acelera
muerte de la esperma, reduce la concentración de la esperma, obstaculiza
mezclarse la esperma con los suplementos o reacciona al contrario con los
suplementos. Métodos que se pueden utilizar para quitar o modificar el plasma
seminal incluyen la centrifugación, vortexing, nadan-para arriba técnicas y la
adición de enzimas.
Los objetivos en este capítulo eran examinar la capacidad de diversos
suplementos del semen de proteger el semen enfriado y de observar los
efectos de la centrifugación y de la agitación rápida en actividad de la esperma.
4.2 Materiales y métodos
4.2.1 Prolongar vida de la esperma:
adición de suplementos El semen de la alpaca fue recogido a partir de 5
varones que usaban un sistema de pesos americano cabido dentro de un
mannequin según lo descrito adentro Capítulo 2.
Una selección de los suplementos comerciales del semen (tabla 4.1 y apéndice
2) fue mezclada con el semen en dilusiones de 1:1 hasta 4:1 en las
temperaturas que se extienden a partir del oC el 33, (temperatura del tubo de la
colección en el extremo de la eyaculación) al oC 22 (temperatura ambiental). El
semen extendido entonces fue enfriado en un baño de agua al oC 4 según lo
descrito en las secciones 4.2.2.1 y 4.3.2.1. Cuando sea de dos etapas la
extensión fue utilizada, la segunda fracción fue agregada en el oC 4. Las
muestras extendidas del semen fueron recalentadas al oC 37 antes de la
esperma la actividad era el usar determinado fase-pone en contraste la
102
microscopia (ampliación de x 200; Olympus CX 41 microscopio, Pty Ltd de
Olympus Australia)
4.2.2 El enfriarse del semen extendido
4.2.2.1 El enfriarse de del semen extendido al oC 4
Cinco métodos de refrescar el semen extendido en un tubo de la colección de
15 ml (tubo del halcón del poliestireno, Becton Dickson) fueron examinados:
1. A partir del oC el 33 a la temperatura ambiental
2. A partir del oC el 33 usando el tipo comercial I (transporte del
expedidor del semen del poliestireno del semen de Equipak Sistema,
Pty pacífico Ltd, Victoria del veterinario)
3. A partir del oC el 33 usando el tipo comercial II (expedidor vivo del
semen, Pty pacífico Ltd, Victoria del expedidor del semen del poliestireno
del veterinario)
4. A partir del oC el 33 en refrigerador 5. a partir de baño de agua de 18
oC en refrigerador después de enviar al laboratorio en el tipo comercial
II. del expedidor del semen.
103
4.2.2.2 Transporte del semen de la alpaca del sitio de la colección al
laboratorio
Diseñan a los expedidores comerciales del semen del poliestireno (expedidor
vivo del semen, Pty pacífico Ltd, Victoria del veterinario) para mantener la
temperatura interior del expedidor en el oC 4 por varios días. Utilizaron a los
expedidores para transportar el semen entre los sitios de la colección y el
laboratorio. Los tubos de la colección que contenían el semen fueron envueltos
en algodón en el oC 33 después colocados en el expedidor debajo de un
ladrillo congelado del hielo y de una hoja del poliestireno. La temperatura del
semen fue registrada dentro del expedidor sobre 4.5 días.
4.2.3 Retiro del plasma seminal
Veinte ejaculates recogido a partir de 2 varones de la alpaca estaban partidos y
seguido un-centrifugados o fueron centrifugados a las velocidades que varían a
partir de la 100-1000 g por 5 a 30 minutos. El mantenimiento en un cierto plazo
el motility progresivo delantero fue utilizado para comparar las muestras que
tenían y no habían sido centrifugadas.
4.2.4 Reducción de viscosidad del semen
La agitación mecánica rápida por vórtice (Snijders presionar-a-mezcla el
modelo 34524, servicios australianos del mezclador del vórtice del instrumento)
fue utilizada para mezclar el semen de la alpaca con el suplemento por 30
segundos.
4.3 Resultados
4.3.1 Prolongar vida de la esperma:
Adición de suplementos El semen no diluido, crudo no sobrevivió por períodos
largos. Toda la esperma era inactiva en el plazo de aproximadamente 60
minutos después de la colección cuando estaba sostenida entre el oC 25 y 33.
Los suplementos que contuvieron la yema de huevo y glicerol (suplemento rojo
de las ovejas, suplemento verde del camello, Triladyl y Biladyl A&B) permitieron
a más esperma sobrevivir enfriándose para más de largo. Triladyl® (Minitub,
Alemania) proveyó de los resultados más prometedores cuando 4:1 diluido
104
semen. Cincuenta por ciento de esperma exhibieron actividad activa, rápida,
progresiva 24 horas después de la colección, que declinó hasta el 45% en 48
horas (tabla 4.2). Los tres suplementos que no contuvieron ningún producto
animal (Andromed, Biociphos más y Bioxcell) y los tres suplementos que
contenían la proteína de leche, caseína (suplemento de los bóvidos, llano y
Tejas A&M de Kenney), con tal que los resultados decepcionantes y eran
fracasados en prolongar la esperanza de vida del semen guardada en el oC 4
en comparación con Triladyl®. El porcentaje de la esperma viva y de la
actividad de la esperma fue reducido mucho 24 horas después de la colección,
de la extensión y de la dilusión.
105
4.3.2 El enfriarse del semen extendido
4.3.2.1 El enfriarse del semen extendido al 4Cº
Colocación de una muestra del semen en un baño de agua en su temperatura
existente (eg. La temperatura del sistema de pesos americano, la temperatura
ambiente o la temperatura dentro del transporte de siguiente del expedidor
comercial del semen al laboratorio), siguieron por la colocación del baño de
agua en un refrigerador proporcionaron un método linear de enfriar el semen y
fueron acompañadas por la reducción mínima en la actividad de la esperma
(cuadro 4.1). Llevó generalmente 1.5 a 2 horas el semen desapasible de la
temperatura ambiente al oC 4. Los otros métodos de enfriarse del semen eran
no lineares, miraron como demasiado rápido o mayor reducción demasiado
lenta y exhibida en la actividad de la esperma (cuadro 4.1).
4.3.2.2Transporte del semen de la alpaca del sitio de la colección al
laboratorio
El tipo comercial II (expedidor vivo del semen, Pty pacífico Ltd, Victoria del
expedidor del semen del poliestireno del veterinario) no redujo temperatura del
semen de la alpaca a 4oC (cuadro 4.2), así que sobre la llegada en el
laboratorio, tubos del semen fue colocado en un baño de agua en la misma
temperatura que el interior del envase de envío, entonces puesto en un
refrigerador para enfriar el semen a 4oC.
106
4.3.3 Retiro del plasma seminal
Las ventajas observadas de la centrifugación del semen de la alpaca
incluyeron:
• Concentración del esperma en una pelotilla en el fondo del tubo;
proporcionando una ventaja permitiendo un aumento en números de
la esperma por dosis del AI sin volumen de aumento de la dosis.
• Capacidad de quitar plasma seminal del ejaculate.
Los problemas observados encontrados con la centrifugación incluyeron:
• Dificultad de quitar el plasma seminal de la pelotilla de la esperma
como la naturaleza viscosa del semen tendió para dibujar la pelotilla
de la esperma para arriba dentro de la pipeta simultáneamente con el
plasma seminal.
• La dificultad de la determinación de la velocidad óptima y la época de
la centrifugación para cada uno ejaculate.
• Era posible determinar una velocidad y el tiempo que satisfizo a
varones individuales por ensayo y error usando algunos diferentes
ejaculates. La variación en viscosidad del semen entre los 2 varones
usados en el ensayo fue marcada (hilo de rosca de 7 milímetros
contra el hilo de rosca de 2 milímetros) y esto fue relacionada con la
facilidad con la cual la centrifugación podía concentrar la esperma en
107
el fondo del tubo. Un semen más viscoso requerido más de largo
centrifugación a una velocidad más alta.
• La temperatura del semen que controlaba durante la centrifugación
en una centrifugadora no frigorificada no era posible. El semen que
mantiene en una temperatura constante durante la dirección realza
probablemente supervivencia de la esperma.
• No fue determinado si la centrifugación causó daño a la estructura
celular de la esperma (eg. acrosome).
• La esperma centrifugada fue cogida para arriba en ruina después de
hacer girar.
• No fue determinado si el de gran capacidad del suplemento agregado
a las muestras viscosas antes de la centrifugación era perjudicial a la
supervivencia de la esperma. El semen de Un centrifuged aparecía
mantener una actividad mejor y los por ciento viven comparado con
la esperma centrifugada.
4.3.4 Reducción de viscosidad del semen
La agitación mecánica usando un vórtice por 30 segundos para mezclar el
semen de la alpaca con el suplemento dio lugar a muerte de toda la esperma.
4.4 Discusión
Los suplementos numerosos fueron examinados en un intento por prolongar la
almacenaje-vida del semen de la alpaca enfriada al 4Cº. La selección de
suplementos fue basada en uso previamente acertado en los camelids o la otra
especie doméstica. Cuando el porcentaje de la actividad de la esperma era
bajo después de 24 horas en varios ejaculates con el mismo suplemento,
ensayos cesados y un suplemento nuevo seleccionado. Muchos suplementos
yema de huevo-basados huevo fueron examinados y los resultados indicaron
que ese Triladyl® (Minitub, Alemania) proveyó de los resultados más
prometedores cuando 4:1 diluido semen. Cincuenta por ciento de esperma
exhibieron actividad rápida, progresiva 24 horas después de la colección, que
declinó hasta el 45% en 48 horas. Esto que encuentra conviene con otros
trabajadores (bravo 2002). El uso de la caseína de la leche o los suplementos
108
a base de proteínas vegetales era menos eficaces en la actividad de la
esperma que mantenía.
La adición del glicerol aparecía realzar supervivencia de la esperma en semen
enfriado. La viabilidad adecuada de la esperma se debe mantener durante el
semen que dirige y que procesa para alcanzar embarazos. La longevidad de la
viabilidad de la esperma es mejorada probablemente mediante almacenaje en
el oC 4 a 5 comparado con temperaturas más altas debido a la actividad
metabólica reducida (Simson 2001). En caballos, el refrescarse rápido del
semen a partir del oC el 37 al oC 20 no afecta al contrario motility de la
esperma, sin embargo, las tarifas que se refrescan a partir del oC el 20 al oC 4-
8 son más críticas. La recomendación actual en caballos es refrescar el semen
en un índice del oC 0.5 a 1.0 por el minuto para maximizar el motility (Simson
2001). La colocación inmediata del semen extendido en un baño de agua de la
temperatura comparable al semen, seguido por la colocación en un
refrigerador, permitió una declinación linear en temperatura al oC 4 sobre 1.5 a
2 horas en el proyecto actual.
La pregunta si o el plasma no seminal debe ser quitado del ejaculate es difícil a
contestar. Las ventajas pueden incluir quitar los efectos deletéreos del plasma
seminal, realzando mezclarse con el suplemento y concentrar la esperma. Las
desventajas podrían incluir daño a la esperma (eg. daños acrosome durante la
centrifugación), la reducción en actividad de la esperma y el retiro del plasma
seminal viscosa que puede esperma de la descompostura de máquina del `' y
reducir gastos energéticos hasta que la esperma incorpora la zona reproductiva
femenina. En el proyecto actual, las diversas duraciones y velocidades de la
centrifugación fueron examinadas sin ningún realce evidente en la calidad de la
preservación del semen. Los varios trabajadores se han esforzado para reducir
la viscosidad del semen del camelid usando las enzimas (Callo y otros. 1999,
Bravo y otros. 2000a, b) o agitación mecánica (un Niasari-Naslaji,
comunicación personal) para permitir una dirección y una extensión más fáciles
del semen. En el ensayo actual, la agitación mecánica usando un vórtice por 30
segundos para mezclar el semen de la alpaca con el suplemento dio lugar a
muerte de toda la esperma. Los efectos que las enzimas tienen en el semen de
109
la alpaca no se han estudiado detalladamente. La influencia del gel en semen
del ser humano y del semental en calidad y resistencia de la esperma al
proceso no se ha estudiado detalladamente. Los autores del proyecto actual
son de la opinión que la fracción del gel del semen de la alpaca podría realzar
supervivencia de la esperma reduciendo tarifa metabólica de la esperma y
eligió trabajar con el presente del gel.
El trabajo adicional se requiere determinar el sistema óptimo para el semen que
extiende y que se enfría. La influencia de la época de la adición del suplemento
(en el sistema de pesos americano o la poste-colección) se trata parcialmente
en el capítulo siguiente. El grado de dilusión del semen, la temperatura del
almacenaje (temperatura ambiente contra la refrigeración) y la longitud del
almacenaje también necesitan la atención.
110
5. CONGELANDO Y SEMEN DE LA ALPACA EL
DESHELAR
5.1 Introducción
Las ventajas de poder congelar el semen de la alpaca incluyen la opción del
almacenamiento de larga duración y flexibilidad creciente del uso. Sin
embargo, el almacenaje es más costoso que para el semen enfriado y él es
probable que números más altos de la esperma por dosis sean requerido
debido a una fertilidad más baja después del cryopreservation, como
observado en el otro ganado doméstico (Watson 2000). Generalmente, 40-
50% de esperma no sobreviven el cryopreservation y los que sobreviven
demostración deterioraron la función en comparación con esperma fresca
incluso con los protocolos optimizados (Watson 2000).
Los protocolos que congelan deben maximizar el número de la esperma viva
con el poste funcional de la capacidad que deshiela para optimizar tarifas de
fertilidad. El desarrollo de la tecnología que congela en alpacas se basa en la
información derivada de los éxitos alcanzados en la otra especie. Sin embargo,
variaciones en la fisiología y la bioquímica de la esperma y la anatomía y la
fisiología del transporte de la esperma en el medio reproductivo femenino de la
zona que simple la extrapolación de la tecnología que congela acertada a
partir de una especie a otra no es posible (Holt 2000).
El semen necesita ser refrescado cuidadosamente entre el oC 15 y 5 antes del
cryopreservation como temperatura los cambios inducen tensiones en las
membranas de la célula (Watson 2000). Las membranas del plasma de la
esperma contienen un arsenal de los phospholipids, de las proteínas y de los
5.0 Inmediatos sumarios poste-deshielan la actividad de la esperma eran
aproximadamente 20 a los 40% cuando cualquiera el almacenador intermediario del
camello (IMV International Corporation, los E.E.U.U.) o el Biladyl verde/claro A/B (Minitub,
Alemania) fue utilizada como suplemento para el semen que congelaba. Todavía hay
mucho trabajo que necesita ser hecho para congelar el semen de la alpaca de una manera
acertada.
111
esteroles que responden a los cambios de temperatura por alteraciones en su
estado físico de la fase (Holt 2000). La esperma puede experimentar
transiciones de la fase del lípido dentro de la gama del oC 17 y 36 (dependiente
de la especie), no obstante no se adaptan para alterar el contenido del lípido en
temperaturas más bajas. Un cambio importante de la fase ocurre entre el oC 15
y 5 (Watson 2000). El choque frío del `' describe el daño debido a refrescarse
rápido sobre 0 oC, e implica la interrupción física de la membrana del plasma
(Holt 2000). Hay dos fuentes de lesión que pueden dañar las células durante
congelar. El primer es la formación de los cristales de hielo intracelulares que
pueden interrumpir arquitectura intracelular. Este daño es generalmente un
resultado de congelar rápido. La segunda fuente de lesión es las interacciones
del agua-solute que ocurren durante la cristalización del hielo de la solución
que congela, generalmente durante congelar lento. Cuando los cristales de
hielo forman se hacen del agua pura tan allí son un aumento de
acompañamiento de la presión osmótica en el no congelado fraccionan
(Watson 2000).
Cuanto más baja es la temperatura, más pequeña es la fracción no congelada
y más alto fuerza osmótica de la solución restante. Mientras que la solución
que congela llega a ser hyperosmotic, el agua se retira por dentro de las
células, causando la contracción. El deshelar implica una revocación de estos
efectos y la afluencia del agua puede causar la interrupción de la membrana de
la célula (Holt 2000).
El índice de congelación óptimo por lo tanto es un compromiso entre congelar
rápido y lento para reducir al mínimo efectos de estas dos fuentes de lesión.
Las células de la esperma se congelan generalmente sobre la gama del oC 15-
60 por minuto mientras que estas tarifas aparecen proporcionar las mejores
tarifas de la supervivencia (Watson 2000).
Hay diversos grupos de compuestos cryoprotectant. Glicerol, glicol de
etileno, DMSO y el metanol es ejemplos de penetrar cryoprotectants porque
impregnan en el citoplasma de la célula. Presionando el punto de congelación,
estos compuestos pueden ayudar al revés a los efectos del hyperosmolarity de
112
la solución durante congelar. Es importante observar que el glicerol es también
tóxico a la esperma y afectará los índices de la concentración y de congelación
usados (Holt 2000, Watson 2000). Hay variación marcada de la especie en
tolerancia del glicerol (eg. los marsupiales toleran 10 20% gliceroles,
comparados con los verracos el 3%; Johnston y otros. 1993, Holt 2000)
posiblemente debido a las diferencias genético resueltas en membrana
características. La adición de cryoprotectants tales como glicerol y de DMSO al
semen aplica la tensión osmótica a la membrana del plasma de la esperma que
es reducida por la adición y el retiro stepwise del cryoprotectant (Watson
2000).
Un segundo grupo de cryoprotectants no impregna las células y no incluye las
azúcares (eg. raffinose y lactosa), polímeros (eg. pyrollidone polivinilo) y
compuestos amphipathic (eg. el betaine, el glutamine y el proline del glycine) y
pueden necesitar ser combinado con el glicerol para el mejor efecto. Las
azúcares pueden alterar efectos de la solución durante congelar mientras que
los compuestos amphipathic podrían obrar recíprocamente con los lípidos y las
proteínas (Holt 2000) de la membrana.
La mayoría de los protocolos de la preservación del semen utilizan el glicerol,
que primero fue utilizado hace más de 50 años (Polge y otros. 1949). La yema
de huevo se agrega a los protocolos del cryopreservation como protectant
contra choque frío. Una lipoproteína de la baja densidad en la yema de huevo
podía modular el comportamiento de la transición de la fase de las membranas
de la célula de la esperma por una acción desconocida.
La adición del surfactant a los diluyentes de la yema de huevo se ha observado
para mejorar el motility de la esperma del postthaw, la integridad acrosomal, la
supervivencia y la fertilidad (Holt 2000). La adición de un almacenador
intermediario puede ser ventajosa mientras que los componentes tales como
yema de huevo pueden afectar la solución pH. Citrato de sodio, tris (tris
(hidroximetílicos) aminomethan) o almacenadores intermediarios zwitterionic
tales como TES (Ntris ( ) ácido sulphonic hidroximetílico de methyl-2-
aminoethane). Tris titulado con TES (medios de PRUEBA) tiene éxito amplio
113
de muchas especies salvajes (Holt 2000). Los objetivos de este capítulo eran
desarrollar los métodos de extender el semen en un diluyente conveniente,
congelando el semen extendido y la obtención aceptable poste-deshiela índices
de actividad de la esperma.
5.2 Materiales y métodos
5.2.1 Colección del semen
El semen fue recogido a partir de 8 alpacas masculinos usando un
sistema de pesos americano cabido dentro de un mannequin según lo
descrito adentro Capítulo 2.
5.2.2 Extensión del semen
El semen fue recogido para congelar con o sin el suplemento del semen
colocado dentro del cono del sistema de pesos americano. Los
suplementos acondicionados para el comercio (tabla 5.1 y apéndice 2)
fueron comparados dentro ejaculates y entre diversos varones.
La extensión de un solo paso del semen implicó la adición del
suplemento al sistema de pesos americano antes de la eyaculación
comenzado y/o al ejaculate inmediatamente después de la eyaculación
había cesado. El extendidos ejaculate fueron colocados en un baño de
agua de 37 oC que fue enfriado en un refrigerador al oC 4 durante 90
minutos (cuadro 5.1).
La extensión de dos etapas del semen implicó la adición del non-
glycerolated la porción del suplemento al sistema de pesos americano
antes de que la eyaculación comenzara y/o al ejaculate inmediatamente
después de la eyaculación estaba terminado. El parcialmente
extendidos ejaculate entonces fueron colocados en un baño de agua de
37 oC que fue enfriado en un refrigerador al oC 4 durante 90 minutos. El
semen parcial-extendido entonces fue extendido completamente en 4
que el oC por gota a gota la adición del glycerolated la porción del
suplemento en un cociente de 1:1 con non-glycerolated la porción. El
equilibrio del semen y glycerolated el suplemento fue permitido para
114
ocurrir sobre 15-30 minutos. La concentración final del glicerol era el
aproximadamente 7% en todos los casos.
115
5.2.3 El congelar del semen
5.2.3.1 Que congela en el Francés-tipo paja del plástico
Las muestras enfriadas, extendidas del semen fueron cargadas
manualmente usando una jeringuilla en la paja plástica de 0.25, 0.5 o 2
ml Frenchtype (Pty pacífico Ltd, Melbourne, Australia del veterinario). La
paja más pequeña fue sellada usando el polvo del PVC y la paja de 2 ml
fue sellada usando bolas del lacre del metal. El cargamento y el lacre
los procedimientos ocurrieron en un refrigerador del tapa-cargamento
(Waeco, Alemania; Cuadro 5.2) para mantener la esperma en el oC 4 y
para reducir al mínimo variaciones de la temperatura durante el
cargamento.
La paja semen-llenada fue cargada sobre un estante de alambre dentro
del refrigerador. El estante entonces fue colocado en una caja plástica
que contenía el nitrógeno líquido de 2 centímetros y su vapor en el fondo
y una tapa puso encendido la tapa (cuadro 5.3). El estante de alambre
fue colocado en las alturas que diferenciaban (gama 2-25 centímetro)
sobre la superficie del nitrógeno líquido por diversos períodos (5-30
minutos) antes de hundir la paja plástica en el nitrógeno líquido.
116
5.2.3.2 que congela el semen en pelotillas
El semen enfriado fue caído en las depresiones pequeñas hechas en
hielo seco para formar pelotillas del semen de 0.25-0.5 ml. Las pelotillas
fueron quitadas del hielo seco 3-5 minutos después de congelar y
almacenadas en los cubiletes plásticos (Pty pacífico Ltd, Melbourne,
Australia del veterinario) en nitrógeno líquido.
Cuadro 5.2. el refrigerador del Tapa-cargamento cargaba el semen en el Francés-
tipo paja plástica en el oC 4.
Cuadro 5.3. Caja plástica (con la tapa quitada) que contiene el nitrógeno líquido
de 2 centímetros en el fondo, y un estante de alambre que lleva a cabo 0.5 ml de
Francés-tipo paja plástica en una altura de 10 centímetros sobre la superficie del
nitrógeno líquido.
117
5.2.4 Protocolos el deshelar del semen
El semen congelado en paja plástica fue deshelado en un baño de
agua de 37 ºC por 60 segundos. El semen congelado en pelotillas fue
colocado en un bolso de polietileno estéril y sumergido en un baño de
agua de 37 oC hasta que la pelotilla había deshelado.
5.2.5 Poste-deshielan la actividad de la esperma
Una gota del semen deshelado fue puesta sobre una diapositiva de
cristal precalentada en 37ºC y una tira fue colocada en tapa. El
porcentaje de la esperma activa era estimado por la microscopia del
contraste de la fase (Pty Ltd de Olympus CX41, de Olympus Australia)
en la ampliación de x 200.
5.3 Resultados
5.3.1 Extensión del semen
La adición de 1 ml de suplemento dentro del cono en el nivel de la cerviz
artificial aparecía producir una supervivencia mejor de la esperma comparada
sin la adición del suplemento pues había contacto reducido entre la esperma y
las superficies del sistema de pesos americano y la mayor protección de la
esperma contra choque frío el sistema de pesos americano fue quitado una vez
del mannequin y de la manta eléctrica.
El método de opción para la extensión del semen en el proyecto actual era una
colocación que consistía en del procedimiento de 2 pasos de 1 ml de
almacenador intermediario verde del camello (IMV International Corporation,
los E.E.U.U.) o de 1 ml de Biladyl A (Minitub, Alemania) en el cono plástico del
sistema de pesos americano antes de eyaculación. Más suplemento fue
agregado después de la eyaculación cesada de modo que hubiera
aproximadamente un cociente de 1:1 al lado del volumen del semen y del
suplemento.
118
Después de enfriarse por 90 minutos al oC 4, glycerolated el almacenador
intermediario claro del camello o Biladyl B, respectivamente, fue agregado
lentamente al semen enfriado en un coeficiente de 1:1 (v/v). La concentración
final de la esperma en semen extendido era por lo tanto un cuarto la
concentración del semen crudo.
5.3.2 El congelar del semen
El Francés-tipo paja plástica con 0.5 ml de capacidad fue utilizado lo más con
éxito posible para congelar el semen extendido.
Las condiciones que congelaban óptimas eran colocar la paja 10 centímetros
sobre la superficie del nitrógeno líquido por 30 minutos.
5.3.3 Poste-deshielan la actividad de la esperma
Inmediato poste-deshelar la actividad de la esperma estaba entre 10 y el 40%
cuando o el almacenador intermediario verde/claro del camello (IMV
International Corporation, los E.E.U.U.) o Biladyl A/B (Minitub, Alemania) fue
utilizado como suplemento para el semen que congelaba (tabla 5.2). El resto de
los suplementos enumerados en la tabla 5.1 producida poste-deshielan
actividades de 0 a el 10%. La paja del semen de ejaculates con poste-deshiela
actividad que los 20% mayor que fueron almacenados en nitrógeno líquido
hasta que un número conveniente de la paja estaba disponible para el AI al
grupo de hembras. El semen congelado en pelotillas en hielo seco exhibió el
aproximadamente 10% menos actividad que la esperma congelada en paja
plástica cuando el semen era de iguales ejaculate con la misma extensión y
protocolo que se enfría.
Tabla 5.2. Inmediatos malos poste-deshielan la actividad del semen ampliada con el
almacenador intermediario verde y claro del camello (IMV International Corporation, los
E.E.U.U.) o Biladyl A y B (Minitub, Alemania).
119
5.4 Discusión
Para maximizar los números de la esperma normal, viva, activa presente
después de deshelar el semen congelado, es necesario optimizar cada paso en
los procesos de la colección, extensión, congelando y deshelando del semen.
Las fluctuaciones en temperatura ambiental y temperatura del sistema de
pesos americano deben ser mimimised durante la colección del semen,
adición de suplementos debe ocurrir lentamente para permitir mezclarse
adecuado con semen, el refrescarse y el congelar del semen extendido se
deben realizar en una manera controlada para reducir al mínimo la formación
fría del cristal del choque y de hielo en células de la esperma. La esperma debe
conservar la capacidad de alcanzar y de penetrar el oocyte, lazo a y de
penetrar el pellucida del zona, de experimentar la reacción acrosome, de
fundirse al oolemma y de permitir que la transferencia del chromatin para
fertilizar el huevo. El daños en cualquier paso harían la esperma estéril (Holt
2000).
La esperma refrescada y calentada de nuevo se comporta como si fueran
habilitados en una cierta especie (Watson 2000). Una minoría de esperma
exhibe la progresión delantera vigorosa y la demostración de la mayoría al
grado variable de debilitación que puede contribuir a la fertilidad pobre durante
AI (Watson 2000).
Poste-deshelar la actividad del semen de la alpaca fue utilizado como indicador
del éxito de congelar en el proyecto actual. Estudios anteriores han demostrado
que poste-deshelar la actividad de la alpaca y semen de la llama se extiende a
partir del 15 hasta el 60% (Bravo y otros. 1996c, Valdivia y otros. 1999, Von
Baer y otros. 1999, Bravo y otros. 2000a; Tabla 1.12) y un estudio reciente en
los camellos considerados el congelar a ser acertado cuando había por lo
menos 20% espermas progresivamente motile después de deshelar (Deen y
otros. 2003). Por lo tanto, en la paja actual del estudio del semen de ejaculates
con poste-deshielan actividad que los 20% mayor que fueron almacenados en
nitrógeno líquido hasta que un número conveniente de la paja estaba
disponible para el AI al grupo de hembras.
120
El semen almacenado como pelotillas no fue utilizado para inseminar a
hembras debido a el más pobre poste-deshiela actividad.Una ventaja de
congelar el semen en una forma granulada es que permite el mojado-deshelar
o colocación de pelotillas en una solución el deshelar formulada para el
propósito. Esto permite que el semen deshiele mientras que simultáneamente
reducción de la concentración cryoprotectant. Una desventaja del semen que
congela en pelotillas es la inhabilidad de identificar pelotillas individuales.
Las pelotillas necesitan ser almacenadas en un cubilete etiquetado. La
naturaleza heterogénea de ejaculates dentro y entre animales y las especies se
ha observado para afectar la proporción de esperma que sobreviven
cryopreservation probablemente debido a la existencia de la resistencia
variable a la tensión osmótica entre las células (Watson 2000). La naturaleza
viscosa del semen de la alpaca imposibilita incluso mezclarse del semen con el
suplemento, asegura la heterogeneidad marcada de la solución para ser
cryopreserved y puede explicar a pobres poste-deshiela tarifas del motility en
los camelids comparados con especie con menos semen viscoso.
Otros factores que pueden influenciar el éxito de la esperma de la alpaca que
congela incluyen temperatura ambiental en el día de la colección, tiempo entre
la colección de ejaculate y la colocación en un baño de agua, intervalo en
medio ejaculate colecciones. El gravamen apropiado de la viabilidad de la
esperma y de la capacidad de la fertilización de la esperma después de
congelar y de deshelar todavía se está aclarando en los ganados (Rodriguez-
Martinez y otros. 2001). Las pruebas ines vitro disponibles incluyen IVF,
evaluación de los patrones del motility de la esperma, nadan-para arriba la
separación de la esperma, estado del capacitation, inducido reacciones
acrosome y análisis esperma-que atan del pellucida del zona. Estos métodos
de la evaluación del semen requieren habilidad en el uso del equipo costoso y
no eran considerados más lejos en este estudio.
Hay una necesidad de desarrollar un método simple, exacto de predecir
fertilidad del campo del semen congelado-deshelado en camelids.
121
Históricamente, poste-deshelar la prueba de la incubación se ha utilizado
determinar el semen después de deshelar. Este método es desperdiciador de
tiempo e implica la incubación del semen en un baño de agua en a
temperatura constante (30, oC 37 o 38) por cierto tiempo (2 a 6 horas). La
evaluación morfológica de cryopreserved el toro que la esperma proporciona la
información en la capacidad de la esperma de sobrevivir congelando y
deshelando (Gravance y otros. 1998). El porcentaje de la esperma morfológico
normal poste-deshiela inmediatamente los correlativos con el concepto
subsecuente clasifican en los ganados (Phillips y otros. 2001).
Este procedimiento simple es altamente repetible a través de la paja y de las
hornadas dentro de toros. Este método puede ser aplicable al semen de la
alpaca y debe ser investigado cuando se ha desarrollado un suplemento
conveniente y un ensayo de acoplamiento grande se puede emprender para
comparar tarifas del embarazo con poste-deshiela morfología del semen.
La duración corta del proyecto actual imposibilitó otras investigaciones en la
extensión y el cryopreservation del semen. Hay muchos aspectos incluyendo
los cuales necesitar ser investigado más lejos:
• Que define los varones que tienen semen que congele constantemente
bien y la variación que existe entre varones a este respecto
• Definir del ejaculates antes de procesar que tenga buen freezability
• El maquillaje bioquímico de las secreciones que contribuyen a la
viscosidad del semen
• Las ventajas relativas de agregar el surfactant/otros compuestos al
suplemento para reducir espumejear del semen en el sistema de pesos
americano, y para facilitar una interacción más eficiente con las
membranas del plasma de la esperma (el IE permite mejor mezclarse
del semen con el suplemento)
• Tipos de suplemento más adecuados a los alpacas.
• La selección de una proteína con excepción de la yema de huevo a
proteger contra frío-da una sacudida eléctrica.
122
• Adición de almacenador intermediario para controlar fluctuaciones de la
yema de huevo y la absorción del bióxido de carbono.
• Sincronización de la adición del glicerol porcentaje final del glicerol.
• El semen extendido.
• Tiempo del equilibrio del glicerol y del semen antes de congelar
• Si hay una necesidad de diluir la concentración del glicerol después de
deshelar para reducir sus efectos tóxicos sobre esperma.
• El uso de cryoprotectants con excepción del glicerol e.g. DMSO, glicol
de etileno, no-impregnando compuestos semen.
• Que congela en paja/pelotillas de diversos volúmenes.
• Duración de enfriarse y de congelar.
• Altura de congelar sobre el nitrógeno líquido
• Temperatura y duración el deshelar
Dado que “la opción de cryoprotectant se parece haber sido una cuestión de
ensayo y de error en casi todas las investigaciones” (Holt 2000),
necesidades de mucho todavía trabajo de ser hecho para perfeccionar
congelar del semen de la alpaca.
123
6. INSEMINACIÓN ARTIFICIAL DE ALPACAS
6.1 Introducción
La época óptima del acoplamiento aparecería ser 6 a 8 días después de la
aparición de la onda nueva durante el atrasado crecimiento o fase madura
temprana del crecimiento dominante del folículo (Adams y otros. 1989, Bravo y
otros. 1991, Sumar y otros. 1993, Vaughan 2001). Éste es el tiempo que los
folículos están considerados muy probablemente al ovulate un oocyte
considerado capaz de la fertilización. Se ha demostrado en la investigación
anterior que el crecimiento folicular es similar a partir del día 0 al día 10
después de la aparición de la onda nueva, sin importar subsecuente el
intervalo del interwave en alpacas, con una mayoría de folículos que crecen o
que mantienen tamaño durante los primeros 8 días después de la aparición
(Vaughan 2001) y de ese embarazo se asocia al acoplamiento en presencia de
un folículo oestrogenic en los camelids (Skidmore y otros. 1996, Chaves y
otros. 2002, Vaughan 2001).
Los capítulos anteriores precisaron métodos de colección, de caracterización y
de preservación del semen de la alpaca. Los objetivos en este capítulo eran
combinar los resultados de esos experimentos con el conocimiento de la hora
de acoplamiento óptima de inseminar artificial a hembras para alcanzar
embarazos.
6.2 Materiales y métodos
6.2.1 Ultrasonography
Refrenaron a las hembras en recumbency del sternal en un cajón purpose-built
(Vaughan 2001). Ultrasonography transrectal los examinaron usando un Aloka
6.0 La ovulación sumaria fue inducida con éxito entre 24 y 30 horas después de
intramuscular inyección del buserelin. La deposición de Transcervical del semen en la
extremidad del cuerno uterino ipsilateral al ovario que llevaba el folículo dominante
demostró ser una técnica simple y eficiente para inseminación artificial. No se alcanzó
ningunos embarazos usando el AI transcervical, intrauterino de semen enfriado o
congelado-deshelado.
124
SSD-500 con arsenal linear de 7.5 megaciclos transductor (Aloka Co. Japón)
para permitir la selección de animales con un folículo dominante nuevo-
emergente con un diámetro de 7 a 10 milímetros, 6 a 8 días después de la
aparición de la onda nueva. Los ovarios de cada hembra fueron examinados
por ultrasonography transrectal a la hora del AI. Siete días después de la
inducción de la ovulación, el ultrasonography fue utilizado para identificar la
presencia de un luteum de la recopilación en el mismo ovario que había
sostenido previamente el folículo dominante, para confirmar la ovulación.
Las hembras que tenían ovulated fueron examinadas para el embarazo por
ultrasonido otra vez aproximadamente 20 días después del AI.
6.2.2 Inducción de la ovulación
Ocho microgramos del buserelin (2 ml Receptal®, Pty Ltd del veterinario de
Hoechst Roussel) fueron inyectados para inducir intramuscular la ovulación.
6.2.3 Preservación del semen
6.2.3.1 enfrió el semen
Triladyl® (Minitub, Alemania) probó el suplemento más eficaz para el semen
enfriado como la actividad de la esperma era el aproximadamente 45% en
24 horas (véase el capítulo 4), fue seleccionado tan como el suplemento
para el ensayo enfriado del AI del semen. El semen fue recogido de un
varón (capítulo 2) extendido en Triladyl® y sostenido en el oC 4 para 24
horas (véase el capítulo 4).
El semen enfriado fue dibujado de un tube® del halcón (Becton Dickinson)
dentro de un Francés-tipo paja de 0.5 ml entonces cargada en un arma de
la inseminación de 0.5 ml (IMV arma del AI, IMV International Corporation;
El cuadro 6.1) con el extremo del enchufe del algodón de la paja insertó
primero. Una envoltura (Universal AI Sheath, IMV International Corporation)
entonces fue colocada sobre el eje entero del arma del AI para sostener la
paja dentro del arma.
Inseminaron a ocho hembras 24 horas después de la colección del semen.
125
6.2.3.2 Congelado-desheló el semen
El almacenador intermediario verde/claro del camello (IMV, los E.E.U.U.) y
Biladyl A&B (Minitub, Alemania) fueron utilizados para extender semen
antes de congelar y del almacenaje en el nitrógeno líquido (capítulo 5). la
esperma Congelado-deshelada exhibió la actividad de 20 a del 40% (véase
el capítulo 5).
Después de deshelar el semen en un baño de agua de 37 oC por 60
segundos, cada Francés-tipo paja de 0.5 ml fue secado a fondo con la toalla
de papel. Un centímetro de la paja, incluyendo el enchufe del PVC, fue
cortado, entonces la paja fue cargado en un arma de la inseminación de 0.5
ml (IMV arma del AI, IMV International Corporation; El cuadro 6.1) con el
extremo del enchufe del algodón de la paja insertó primero. Una envoltura
(Universal AI Sheath, IMV International Corporation) entonces fue colocada
sobre el eje entero del arma del AI para sostener la paja dentro del arma.
Inseminaron a nueve hembras con el semen que que había sido extendido y
congelado en el buffer® verde/claro del camello (IMV, los E.E.U.U.) e
inseminaron a siete hembras con el semen que había sido extendido y
congelado en Biladyl® (Minitub, Alemania).
6.2.4 Técnica de la inseminación
Refrenaron a la hembra seleccionada en recumbency del sternal. La cola fue
sostenida apartada y el perinéo fue limpiado con la toalla de papel y el alcohol.
Una mano pequeña, gloved, lubricada fue puesta en el recto y utilizada para
estabilizar la cerviz. El extremo del arma del AI fue pasado a través de la vulva,
de la vagina y de la cerviz en el cuerno uterino ipsilateral al ovario que contenía
el folículo dominante. Cuando el arma fue colocado en la extremidad del cuerno
uterino, el émbolo en el arma del AI fue empujado para depositar el semen de
la paja en el útero. El arma del AI entonces fue retirado, el perinéo limpiado
limpio con la toalla de papel y la hembra lanzada.
La inseminación artificial fue realizada 24 horas (y 30 horas en que suplemento
verde/claro el usar del camello) después de la inducción de la ovulación,
aproximadamente 4 a 6 horas antes de la época predicha de la ovulación.
126
La inseminación artificial fue realizada después de las pautas precisada en el
código de la práctica australiano para el cuidado y el uso de los animales para
los propósitos científicos 1997 y recibió la aprobación del comité australiano del
ética del animal de laboratorio de la salud animal.
6.3 Resultados
Las nueve hembras que recibieron dos inseminaciones no tenían ovulated en
24 horas después de la inducción de la ovulación, pero tenían todas ovulated
por 30 horas después de la inducción de la ovulación. Demostraciones de la
tabla 6.1 que los resultados de usar de los ensayos de la inseminación artificial enfriaron
y que congelado-deshelaron el semen. No se obtuvo ningunos embarazos usando el
semen enfriado o congelado inseminado en 24 a 30 horas después de la inducción de la
ovulación.
127
6.4 Discusión
La ovulación fue inducida con éxito entre 24 y 30 horas después de la inyección
intramuscular de buserelin. Estos resultados son constantes con otros
trabajadores (véase la sección 1.5.5; Bourke y otros. 1992b, 1995a, Huanca y
otros. 2001a). Deposición de Transcervical del semen en la extremidad del
cuerno uterino ipsilateral al ovario que llevaba el folículo dominante
demostrado ser una técnica simple y eficiente para el AI, sin embargo, no se
alcanzó ningunos embarazos usando el semen enfriado o congelado-
deshelado en la corriente proyecto.
La ovulación y la inseminación síncronas se requiere para alcanzar altas tarifas
del concepto. En una cierta especie, las altas tarifas del concepto ocurren
cuando la esperma está en el oviducto momentos antes de la ovulación (Hafez
1993). La fertilidad con cryopreserved el semen en ganado doméstico puede
ser alta proporcionando la inseminación se hace 4 horas antes de la ovulación
(Watson 2000). La fertilidad con semen fresco se mantiene sobre un período
mucho más largo. Si la esperma se coloca en la zona demasiado temprano,
perderán viabilidad antes de la ovulación, y si la esperma se coloca en la zona
después de la ovulación, el ovum pueden perder viabilidad antes de que la
fertilización pueda ocurrir (Hafez 1993).
128
La inseminación artificial fue realizada 24 horas después de la inducción de la
ovulación, aproximadamente 4 a 6 horas antes de la época predicha de la
ovulación. A un estudio temprano de la alpaca, la parte más elevada de ova
fertilizado dio lugar cuando la inseminación artificial intrauterina con semen
fresco era 35 a 45 horas después de que la inducción de la ovulación que
usaba cualquiera a vasectomised el hCG masculino o intramuscular (Calderon
y otros. 1968). Más recientemente, el AI 24-36 horas después de la inducción
de la ovulación en alpacas ha dado lugar a tarifas aceptables del concepto con
el semen fresco y congelado (tabla 1.13; Pacheco 1996, Quispe 1996, Apaza y
otros. 1999).
Bravo y otros. (1997a), usar el semen fresco, no diluido comparó las técnicas
de transcervical y AI laparoscopic en alpacas y tarifas similares alcanzadas del
concepto. Transcervical AI aparecería ser un procedimiento más simple,
menos-invasor, no obstante tiene limitaciones de la capacidad rectal/pélvica de
permitir estabilización manual transrectal de la cerviz al pasar la pipeta del AI a
través de la cerviz, y la dificultad de localizar el OS externo de la cerviz durante
este procedimiento. El bravo (2002) describe la necesidad de la paciencia y de
la destreza de pasar una pipeta a través de la cerviz en el útero. Laparoscopic
AI requiere el alojamiento de la hembra en un cajón, la sedación con o sin un
anestésico general, y el equipo laparoscopic costoso.
La carencia de embarazos después de la inseminación de aproximadamente
300 millones de siguientes de la esperma la extensión y el congelar en Biladyl
A/B, indica que otros estudios están requeridos para aumentar el porcentaje de
la esperma activa poste-deshielan, para refinar la sincronización del AI en lo
referente a la ovulación, para determinar los números de la esperma (enfriada y
congelada) requeridos para el concepto y el método óptimo de la entrega de la
esperma en la zona reproductiva femenina para asegurar el alto concepto
clasifica. Mientras que otros trabajadores han obtenido embarazos usando el
semen fresco y enfriado extendido, han alcanzado pocos embarazos usando el
semen congelado-deshelado (véase la tabla 1.13). Bravo y otros (2000)
divulgaron uno de los mejores resultados hasta ahora con semen deshelado
congelado con 5 jóvenes nacidos a 19 hembras inseminadas. Semen las
129
características poste-deshielan en ese estudio eran similares a ésas divulgadas
aquí. Otros trabajadores han tenido poco éxito en términos de embarazos con
semen enfriado o congelado en los alpacas o las llamas (Aller 2001). Algunos
resultados al parecer buenos se divulgan en la literatura en diversa especie del
camelid (tabla 1.13). Los detalles de las técnicas exactas usadas están faltando
a veces. Los autores divulgan raramente resultados negativos y así que el
cuadro total de la fertilidad con semen congelado-deshelado en camelids sigue
siendo confuso.
Hay una relación significativa entre el número de la esperma por la dosis del
semen y la fertilidad (Rodriguez Martinez y otros. 2001) pero puede ser
posibles reducir el número de la esperma por dosis con técnicas de la
refinación de la colección, del proceso y del AI, y por lo tanto aumenta el
número de dosis por ejaculate. Hay un número del umbral de la esperma
viable por la AI-dosis para los varones individuales, debajo de quienes poca
esperma viable inseminada, mayor es el riesgo que la fertilidad será
comprometido (Foote y otros. 1993).
Un suficiente número de la esperma completamente competente que es capaz
de alcanzar la fertilización a la hora de la ovulación se requiere en el oviducto
para alcanzar el embarazo (Watson 2000). Doscientos millones cryopreserved
la esperma colocada en la cerviz, 20 millones cryopreserved la esperma
colocada en el útero o 1 millón cryopreserved la esperma colocada en el
oviducto son necesario alcanzar la fertilidad más del de 50% en las ovejas
(maxwell 1986, Maxwell y otros. 1993). La fertilidad declina exponencial cuando
se reduce el número o la calidad de la esperma. La inseminación quirúrgica se
ha combinado con el uso del semen congelado-deshelado en una cierta
especie de depositar colmo de la esperma en la zona reproductiva para
asegurar a una mayor proporción del alcance de la esperma los oviductos y
para alcanzar una fertilidad más satisfactoria (Watson 2000). Semen de
Intracornual la deposición del semen durante el copulation en camelids puede
ser una adaptación para superar las concentraciones relativamente bajas de la
esperma (marrón 2000).
130
La inducción de la ovulación, conjuntamente con la inseminación intrauterina
transcervical sincronizada fue alcanzada usando el semen enfriado y
congelado-deshelado. No se obtuvo ningunos embarazos. Por lo tanto los
estudios están más lejos necesario para aumentar los números de la esperma
normal, viva, activa entregada a los cuernos uterinos alrededor de la época de
la ovulación.
7. DISCUSIÓN GENERAL
Este informe presenta nuevos datos sobre las técnicas usadas para la
colección, la caracterización, la preservación y la inseminación del semen de la
alpaca. Las conclusiones hechas durante los estudios en este proyecto pueden
ser resumido como sigue:
• El constante y la colección confiable de semen de la alpaca eran
posibles con un mannequin de madera cubierto con una piel bronceada
de la alpaca y cabido con una vagina artificial.
• Era posible entrenar a los varones virginales y experimentados de la
alpaca a acoplarse con el mannequin.
• Los componentes del comportamiento de acoplamiento fueron
definidos.
• Que aplica la fuerza centrífuga a la vagina artificial después de que la
eyaculación fuera requerida para maximizar la producción de semen.
• Las características del semen que definen un ejaculate fueron
establecidas.
• La calidad del semen varió considerablemente en y entre varones.
• Los suplementos de que contenían la yema de huevo y el glicerol, y
particularmente Triladyl® (Minitub, Alemania), probaron los suplementos
más eficaces para el semen enfriado hasta 48 horas.
131
• La centrifugación ni del semen para quitar plasma seminal ni la agitación
rápida para reducir viscosidad realzó al parecer la supervivencia del
semen enfriado. El inmediato poste-deshiela la actividad de la esperma
era aproximadamente 20 a el 40% cuando o el almacenador
intermediario verde/claro del camello (IMV International Corporation, los
E.E.U.U.) o Biladyl A/B (Minitub, Alemania) fue utilizado como
suplemento para el semen que congela.
• La ovulación fue inducida con éxito entre 24 y 30 horas después de la
inyección intramuscular de buserelin.
• La deposición de Transcervical del semen en la extremidad del cuerno
uterino ipsilateral al ovario que llevaba el folículo dominante demostró
ser una técnica simple y eficiente para la inseminación artificial.
• El ningunos embarazos fue alcanzado usando el AI transcervical,
intrauterino del semen enfriado o congelado-deshelado.
Los resultados en este proyecto proporcionan una base sana sobre la cual
continuar desenredando los misterios de la colección, de la preservación y de
la inseminación del semen de la alpaca. Aunque el AI primero fue procurado en
los años 60 en camelids del americano del sur, los una pequeña cantidad de
embarazos se han alcanzado que usando desde entonces enfriado o
congelado el semen reflejan las dificultades de transferir tecnología de crianza
artificial del otro ganado doméstico a los camelids.
Las idiosincrasias fisiológicas de los alpacas masculinos por ejemplo la
duración de acoplamiento extendida y el bajo volumen, baja densidad, semen
de gran viscosidad conjuntamente con la variación en calidad de ejaculates
ambos en y entre desafíos proporcionados los varones a través del proyecto
entero. Como ejemplo de algunas de las frustraciones hechas frente durante el
proyecto, no todos los varones que fueron entrenados para montar al
mannequin se acoplaron bien en cada tentativa. En algunos días, los varones
montaron a mannequin y semen excelente ejaculated de la calidad. En otros
días, los varones inquietaron excesivamente y eran renuentes penetrar el
sistema de pesos americano o eran renuentes permanecer en el sistema de
132
pesos americano y no podido ejaculate adecuadamente. Esto la variación en
comportamiento de acoplamiento redujo el número de ejaculates conveniente
para la transformación posterior y podía ser crítica en el éxito de la
preservación del semen. Los datos recogidos durante el proyecto asistirán a
los criadores y a los veterinarios en la industria australiana de la alpaca para
seleccionar padres de los sonidos con la evaluación de criar características del
comportamiento y del semen. Se anticipa que esta misma información asistirá
con la selección de varones con el semen que es conveniente para enfriarse
y/o congelar. Las características del semen necesitan ser definidas más a
fondo en lo referente a edad, a la estación y al tamaño alimenticio del estado y
testicular.
Todavía hay mucho trabajo que necesita ser hecho para congelar el semen de
la alpaca de una manera acertada. Este proyecto ha contestado a algunas
preguntas pero ha pedido muchos más. Permutaciones y combinaciones del
sistema de pesos americano la configuración, los tipos de suplemento, la
longitud de enfriarse, el medir el tiempo de la adición del glicerol, el tiempo del
equilibrio del glicerol y el semen, por ciento de glicerol agregado al semen
extendido final, altura de congelar sobre tiempo del nitrógeno líquido y el
deshelar y la temperatura del semen son algunos de los muchos aspectos que
se tratarán en la investigación futura. Muchos de estos parámetros han sido
descubiertos por ensayo y error en la otra especie.
Protocolos para que pruebans el extender, el enfriarse, el congelar y necesidad
el deshelar sean modificados y con la experimentación controlada que implica
números más grandes de animales que posible en el proyecto actual. Dos
acercamientos a la investigación futura se sugieren por experiencia ganada en
el proyecto actual:
• A planeó el programa de investigación graduado basado en los
resultados de este informe, y lo condujo como una universidad/empresa
conjunta de la industria. La infraestructura de una institución es
necesaria incluyendo capacidad del tener una multitud experimental de
alpacas y con las instalaciones y el experto del laboratorio supervisión
disponible. Los costes importantes incluirían la compra y el
133
mantenimiento de animales, poste ayuda del estudiante graduado, y
ayuda del proyecto.
• El apoyó financieramente “en la investigación de la granja” donde la
alpaca grande y bien manejada que cría granjas se utiliza para contener
y para manejar grupos experimentales de animales. Las características
Cooperating proveerían la infraestructura de animales, gerencia de la
multitud incluyendo la alimentación y dirección animal. Investigación los
trabajadores visitarían sobre una base prevista en un laboratorio móvil.
Entrenarían a los varones para los propósitos y los grupos
experimentales de hembras se prepararon para las inseminaciones
sincronizadas. Los costes importantes ser ayuda de la investigación
para las características que participan (e.g. agistment subvencionado
para la multitud, el trabajo experimentales del suplemento), los costes
del recorrido y la ayuda del proyecto.
El conocimiento ganado sobre la colección, la caracterización, la preservación y
la inseminación del semen de la alpaca acelerará la disponibilidad de los
servicios de la inseminación artificial en alpacas. Esto beneficiará la industria
australiana de la alpaca con una utilización más eficiente de varones genético
superiores y una difusión más rápida de genotipos mejorados a través de la
manada nacional.
134
Apendices
135
136
137
138
BIBLIOGRAFIA
• Abdel Rahim SEA, El Nazier AT. Studies on the sexual behaviour of the
dromedary camel. In: Allen WR, Higgins AJ, Mayhew IG, Snow D, Wade
JF (eds), Proceedings of the First International Camel
• Conference. R&W Publications, Newmarket, 1992; 115-118.
• Adam CL, Moir CE, Shiach P. Plasma progesterone concentrations in
pregnant and non-pregnant llamas (Lama glama). Veterinary Record
1989; 125:618-620.
• Adams GP, Griffin PG, Ginther OJ. In situ morphologic dynamics of
ovaries, uterus and cervix in llamas.Biology of Reproduction 1989;
41:551-558.
• Adams GP, Sumar J, Ginther OJ. Effects of lactational and
reproductive status on ovarian follicular waves in llamas (Lama glama).
Journal of Reproduction and Fertility 1990; 90:535-545.
• Adams GP, Ratto MH. Reproductive biotechnology in South American
camelids. Revista de Investigaciones Veterinarias del Peru 2001; 1:134-
141.
• Aller JF. Cryopreservation of semen and artificial insemination in South
American camelids. Internacional Foundation for Sciences Final Report
2001.
• Aller JF, Cancino AK, Rebuffi G, Alberio RH. Inseminacion artificial en
llamas en la Puna. Proc II Congreso Mundial sobre Camelidos, Cusco,
Peru 1999b; p72.
• Anouassi A, Adnani M, El Raed. Artificial insemination in the camel
requires induction of ovulation to achieve pregnancy. In: Allen WR,
Higgins AJ, Mayhew IG, Snow D, Wade JF (eds), Proceedings of the
First International Camel Conference. R&W Publications, Newmarket,
1992; 175-177.
• Apaza N, Alarcon V, Huanca T, Cardenas O. Avances sobre la
inseminacion artificial con semen congelado an alpacas. Proc II
Congreso Mundial sobre Camelidos, Cusco, Peru 1999; p73.
139
• Arthur GH. An overview of reproduction in camelids. In: Allen WR,
Higgins AJ, Mayhew IG, Snow D, Wade JF (eds), Proceedings of the
First International Camel Conference. R&W Publications, Newmarket,
• 1992; 109-113.
• Batellier F, Vidament M, Fauquant J, Duchamp G, Arnaud G, Yvon
JM, Magistrini M. Advances in cooled semen technology. Animal
Reproduction Science 2001; 68:181-190.
• Bourke DA, Adam CL, Kyle CE, McEvoy TG, Young P. Ovulation,
superovulation and embryo recovery in llamas. In: Proceedings 12th Int
Congress Animal Reproduction 1992b; 1:193-195.
• Bourke DA, Kyle CE, McEvoy TG, Young P, Adam CL. Superovulatory
responses to eCG in llamas (Lama glama). Theriogenology 1995a;
44:255-268.
• Bourke DA, Kyle CE, McEvoy TG, Young P, Adam CL. Advanced
reproductive technologies in South American camelids. Proc 2nd
European Symp South American Camelids 1995c; 235-243.
• Bravo PW. Reproductive endocrinology of llamas and alpacas. In:
Johnson LW (ed) Veterinary Clinics of North America Food Animal
Practice WB Saunders, Philadelphia, 1994; 10:265-279.
• Bravo PW. Physiology of reproduction and fertility evaluation in the male
alpaca. Proceedings of Post Graduate Foundation in Veterinary Science
1995; 257:61-66.
• Bravo PW. An insight into the development of freezing semen in South
American camelids. Camelid Medicine, Surgery and Reproduction for
Veterinarians, Columbus Ohio 2002; 443.
• Bravo PW. Male reproduction. In: The reproductive process of South
American camelids. Bravo Publishing 2002b; pp 49-64.
• Bravo PW, Stabenfeldt GH, Lasley BL, Fowler ME. The effect of
ovarian follicular size on pituitary and ovarian responses to copulation in
domesticated South American camelids. Biology of Reproduction 1991;
45:553-559.
• Bravo PW, Johnson LW. Reproductive physiology of the male camelid.
In: Johnson LW (ed) Update on Llama Medicine. Veterinary Clinics of
140
North America Food Animal Practice WB Saunders, Philadelphia, 1994b;
10:259-264.
• Bravo PW, Moscoso J, Ordonez C, Alarcon V. Transport of
spermatozoa and ova in the female alpaca. Animal Reproduction
Science 1996b; 43:173-79.
• Bravo PW, Ordonez C, Alarcon V. Processing and freezing of semen of
alpacas and llamas. 13th Internacional Congress on Animal
Reproduction 1996c; 2:2-3.
• Bravo PW, Flores U, Garnica J, Ordonez C. Collection of semen and
artificial insemination of alpacas.
• Theriogenology 1997a; 47:619-626.
• Bravo PW, Flores D, Ordonez C. Effect of repeated collection on
semen characteristics of alpacas. Biology of Reproduction 1997b;
57:520-524.
• Bravo PW, Solis P, Ordonez C, Alarcon V. Fertility of the male alpaca
– Effect of daily consecutive breeding. Animal Reproduction Science
1997d; 46:305-312.
• Bravo PW, Pacheco C, Quispe G, Vilcapaza L, Ordonez C.
Degelification of alpaca semen and the effect of dilution rates on artificial
insemination outcome. Archives of Andrology 1999; 43:239-46.
• Bravo PW, Skidmore JA, Zhao XX. Reproductive aspects and storage
of semen in Camelidae. Animal Reproduction Science 2000a; 62:173-
193.
• Bravo PW, Ccallo M, Garnica J. The effect of enzymes on semen
viscosity in llamas and alpacas. Small Ruminant Research 2000b; 38:91-
95.
• Bravo PW, Moscoso R, Alarcon V, Ordonez C. Ejaculatory process
and related semen characteristics. Archives of Andrology 2002; 48:65-
72.
• Brown BW. A review on reproduction in South American camelids.
Animal Reproduction Science 2000; 58:169-195.
• Buendia P, Soler C, Paolicchi F, Gago G, Urquieta B, Perez-Sanchez
F, Bustos-Obregon E. Morphometric
141
• characterization and classification of alpaca sperm heads using the
Sperm-Class Analyzer computerassisted
• system. Theriogenology 2002; 57:1207-1218.
• Burgel H, Erhardt G, Gauly M. Cryopreservation of llama (Lama glama)
semen. Proc II Congreso Mundial
• sobre Camelidos, Cusco, Peru 1999; p82.
• Calderon W, Sumar J, Franco E. Avances en la inseminacion artificial
de las alpacas (Lama pacos). Revista de
• la Facultad de Medicina Veterinaria, Universidad Nacional Mayor de San
Marcos, Lima, Peru 1968;
• 22:19-35.
• Callo M, Garnica J, Bravo PW. Efecto de la fibrinolisina, hialuronidasa,
colagenasa y tripsina sobre la
• viscosidad del semen en alpacas. Proc II Congreso Mundial sobre
Camelidos, Cusco, Peru 1999; p78.
• Carmichael IH. Internal parasitism in alpacas in southern Australia.
Proceedings of the Australian Camelid
• Veterinary Association Conference 1999; 1-40.
• Chaves MG, Aba MA, Agüero A, Egey J, Berestin V, Rutter B.
Ovarian follicular wave pattern and the effect
• of exogenous progesterone on follicular activity in non-mated llamas.
Animal Reproduction Science
• 2002; 69:37-46
• 85
• Chen BX, Yuen ZX, Pan GW. Semen-induced ovulation in the bactrian
camel (Camelus bactrianus). Journal
• of Reproduction and Fertility 1985; 74:335-339.
• Condorena N, Sumar J, Franco E, Alarcon V. Largo de gestacion en
llamas (Lama glama). In: XI Congreso
• Panamericano de Ciencias Veterinarias, Lima, Peru 1988; Abstract
E.11.1.
142
• Critchlow JD, Matson PL, Newman MC, Horne G, Troup SA,
Lieberman BA. Quality control in an in-vitro
• fertilization laboratory: use of human sperm survival studies. Human
Reproduction 1989; 4:545-549.
• Davalos R, Olazabal J, Echevarria L. Avances en la evaluacion de dos
formas de coleccion de semen en
• alpacas. Proc II Congreso Mundial sobre Camelidos, Cusco, Peru 1999;
p74.
• Deen A, Vyas S, Sahani MS. Semen collection, cryopreservation and
artificial insemination in the dromedary
• camel. Animal Reproduction Science 2003; 77:223-233.
• de la Vega D. Efecto de la concentration espermatica y la hora de
inseminacion artificial con semen fresco sobre
• el porcentaje de gestacion en alpacas. MVZ Thesis, Faculdad Medicina
Veterinaria Universidad
• Nacional Altiplano, Peru 1996; 54pp.
• Delhon GA, Lawzewitsch I. Reproduction in the male llama (Lama
glama), a South American camelid. I Spermatogenesis and organisation
of the intertubular space of the mature testis. Acta Anatomica 1987;129:
59-66.
• Delhon GA, Lawzewitsch I. Ductus epididymis compartments and
morphology of epididymal spermatozoa in llamas. Anatomy, Histology
and Embryology 1994; 23:217-225.
• Elliot FI. Artificial insemination of a bactrian camel (Camelus bactrianus).
International Zoo Yearbook 1961; 3:94.
• ElWishy AB. Reproduction in the male dromedary (Camelus
dromedarius): A review. Animal ReproductionScience 1988; 17:217-241.
• England BG, Foote WC, Cardozo AG, Matthews DH and Riera S.
Oestrus and mating behaviour in the llama (Lama glama). Animal
Behaviour 1971; 19:722-726.
143
• Entwistle K. Bull reproductive anatomy and physiology. In: Bull Fertility:
Selection and Management in Australia Australian Association of Cattle
Veterinarians; 2002; pp2.1-2.17.
• Escobar RC. Mating, parturition. In: The Llama, Animal Breeding and
Production of South American Camelids. Ed Hennig R; Talleres Graficos
de ABRIL, Lima, Peru, 1984; 39, 103-139, 229-247, 358.
• Evans G. Standardisation of semen analysis. In: Predicting and
monitoring the fertility of artificial insemination sires Project UQ050 Dairy
Research and Development Corporation 2001; p39-43.
• Fernandez-Baca S. Manipulation of reproductive functions in male and
female New World camelids. Animal Reproduction Science 1993;
33:307-323.
• Fernandez-Baca S, Calderon W. Methods of collection of semen in the
alpaca. Revista de la Facultad de Medicina Veterinaria, Universidad
Nacional Mayor de San Marcos, Lima, Peru 1966; 18-20:13.
• Fernandez-Baca S, Madden DHL, Novoa C. Effect of different mating
stimuli on induction of ovulation in the alpaca. Journal of Reproduction
and Fertility 1970d; 22:261-267.
• Fernandez-Baca S, Sumar J, Novoa C, Leyva V. Relacion entre la
ubacacion del cuerpo luteo y la localizacion
• del embrion en la alpaca. Rev Inv Pec (IVITA). Universidad Nacional de
San Marcos 1973; 2:131-135.
• Flores P, Garcia-Huidobro J, Munoz C, Bustos-Obregon E, Urquieta
B. Alpaca semen characteristics previous to a mating period. Animal
Reproduction Science 2002; 72:259-266.
• Foote RH, Parks JE. Factors affecting preservation and fertility of bull
sperm: a brief review. Reproduction, Fertility and Development 1993;
5:665-673.
• Fowler ME, Bravo PW. Reproduction. In: Fowler ME, Medicine and
surgery of South American camelids. 2nd edition. Iowa State University
Press, Ames 1998; pp381-429.
• Franco E, Sumar J, Varela M. Eyaculacion en la alpaca (Lama pacos).
IV Convencion Internacional sobre Camelidos Sudamericanos.
144
Corporacion Nacional Forestal. Instituto de la Patagonia, Chile, Punta
Arenas, 22-27 Noviembre 1981.
• Galloway DB. The development of the testicles in alpacas in Australia.
Proceedings of the Australian Alpaca Industry Conference. Canberra 25-
27 August, 2000; pp21-23.
• Garnica J, Achata R, Bravo PW. Physical and biochemical
characteristics of alpaca semen. Animal Reproduction Science 1993;
32:85-90.
• Garnica J, Flores E, Bravo PW. Citric acid and fructose concentrations
in seminal plasma of alpaca. Small Ruminant Research 1995; 18:95-98.
• Gauly M, Leidinger H. Semen quality, characteristic volume distribution
and hypo-osmotic sensitivity of spermatozoa of Lama glama and Lama
guanicoe. Proc 2nd European Symposium on South American camelids
(Gerken M, Renieri C, eds). Publ Universita Degli Studi Di Camerino.
1996; 235-244.
• Giuliano SM, Spirito SE, Miragaya MH, Capdevielle EF, Aguero A,
Boquet MD, Ferrari MR. Electroejaculation and seminal parameters in
vicuna (Vicugna vicugna). Theriogenology 2002; 57:583.
• Gravance CG, Vishwanath R, Pitt C, Garner DL, Casey PJ. Effects of
cryopreservation on bull sperm head
• morphometry. Journal of Andrology 1998; 19:704-709.
• Gunn I. Alpaca field trials. Rural Industries Research and Development
Corporation Project 1999.
• Hafez ESE. Artificial insemination. In: Hafez ESE (editor). Reproduction
in Farm Animals. 6th ed. Lea & Febiger, Baltimore. 1993; p424-439.
• Hancock JL. The morphology of boar spermatozoa. Journal of Royal
Microscopical Society 1957; 26:84-97.
• Holt C. Statistically speaking. Alpacas Australia 2001; 35:14-19.
• Holt WV. Basic aspects of frozen storage of semen. Animal
Reproduction Science 2000; 62:3-22.
145
• Huanca W, Cardenas O, Olazabal C, Ratto M, Adams GP. Efecto
hormonal y empadre sobre el intervalo a la ovulacion en llamas. Rev Inv
Vet Peru 2001a; 1:462-463.
• Huanca W, Gauly M. Conservacion de semen refrigerado de llamas.
Rev Inv Vet Peru 2001b; 1:460-461.
• Johnson LW. Llama reproduction. In: Johnson LW (ed) Llama medicine.
Veterinary Clinics of North America Food Animal Practice WB Saunders,
Philadelphia, 1989; 5:159-182.
• Johnston SD, McGowan MR, Carrick FN, Tribe A. Preliminary
investigations into the feasibility of freezing koala (Phascolarctos
cinereus) semen. Australian Veterinary Journal 1993; 70:424-425.
• Katila T. Procedures for handling fresh stallion sperm. Theriogenology
1997; 48:1217-1227.
• Knight TW, Death A, Wyeth T, Hill F. Effects of GnRH and of single
versus multiple mating on the conception rate in alpacas. Proceedings of
the New Zealand Society of Animal Production 1992; 52:311-312.
• Lane D. Preputial prolapse in an alpaca. Canadian Veterinary Journal
1999; 40:260.
• Lichtenwalner AB, Woods GL, Weber JA. Ejaculatory pattern of llamas
during copulation. Theriogenology 1996a; 46:285-291.
• Lichtenwalner AB, Woods GL, Weber JA. Seminal collection, seminal
characteristics and pattern of ejaculation in llamas. Theriogenology
1996b; 46: 293-305.
• McEvoy TG, Kyle CE, Slater D, Adam CL, Bourke DA. Collection,
evaluation and cryopreservation of llama semen. Journal of
Reproduction and Fertility 1992b; abstract 9:48.
• McEvoy TG, Bourke DA, Adam CL. Recent advances in understanding
and controlling the reproductive biology of South American camelids. In:
Proc Assisted Reproductive Technology and Andrology
• Meeting, Spain 1994; 5:277-298.
146
• Maxwell WMC. Artificial insemination of ewes with frozen thawed semen
at a synchronised oestrus: II. Effect of dose of spermatozoa and site of
intrauterine insemination on fertility. Animal Reproduction Science
• 1986; 10:309-316.
• Maxwell WMC, Evans G, Rhodes SL, Hillard MA, Bindon BM. Fertility
of superovulated ewes alter intrauterine or oviductal insemination with
low numbers of fresh or frozen-thawed spermatozoa. Reproduction,
Fertility and Development 1993; 5:57-63.
• Mogrovejo SD. Estudios del semen de la alpaca. BS Thesis. Fac Med
Vet Univ Nac Mayor San Marcos, Lima, 1952; 21pp.
• Montalvo C, Cevallos E, Copaira M. Estudio microscopico del
parenquima testicular de la alpaca durante las estaciones del ano. In:
Res Proyectos de Investigacion, Periodo 1975-1979. Univ Nac Mayor
San Marcos, Lima 1979, p37.
• Moscoso R, Ordonez C, Alarcon V, Bravo PW. Contracciones pene-
uretrales durante la copula y
• caracteristicas seminales de llamas y alpacas. Proc II Congreso Mundial
sobre Camelidos, Cusco, Peru
• 1999; p77.
• Moslah M, Minoia P, Lacalandra GM, Khorchani T, Zarrilli A.
Hormonal stimulation of libido and reproductive function in the male
dromedary camel: clinical observations. In: Allen WR, Higgins AJ,
Mayhew IG, Snow D, Wade JF (eds), Proceedings of the First
International Camel Conference. R&W Publications, Newmarket, 1992;
173-174.
• Neely DP. Reproductive aspects of the male lama. Proceedings of the
Hudson-Walker Theriogenology Conference 1993; 4:31-39.
• Novoa C. Reproduction in Camelidae (Review). Journal of Reproduction
and Fertility 1970; 22:3-20.
• O’Leary RK. Validation of new high-clarity resin for Falcon® brand
polypropylene conical tubes. Becton Dickinson Technical Bulletin 411.
147
• Ordoñez TH. Llamas, llama production and llama nutrition in the
Ecuador highlands. Journal of Arid Environments 1994; 26:67-71.
• Pacheco C. Efecto de la tripsina y colagenasa sobre el acrosoma
espermatozoide y su relacion con la fertilidad del semen de alpaca. MVZ
Thesis, Prog Med Vet Zootec Univ Catol Santa Maria, Arequipa, Peru
1996; 52pp.
• Pan G, Zhao X, Chen S, Jiang S, Huang Y, Zu Y, Wang H. The
ovulation-inducing effect of seminal plasma in the bactrian camel. In:
Allen WR, Higgins AJ, Mayhew IG, Snow D, Wade JF (eds),
Proceedings of the First International Camel Conference. R&W
Publications, Newmarket, 1992; 159-161.
• Paolicchi F, Urquieta B, Del Valle L, Bustos-Obregon E. Biological
activity of the seminal plasma of alpacas: stimulus for the production of
LH by pituitary cells. Animal Reproduction Science 1999; 54:203-210.
• Parraguez VH, Cortez S, Gazitua FJ, Ferrando G, MacNiven V, Raggi
LA. Early pregnancy diagnosis in alpaca (Lama pacos) and llama (Lama
glama) by ultrasound. Animal Reproduction Science 1997; 47:113-121.
• Perkins NR, Frazer GS, Hull BL. Endocrine diagnosis of cryptorchidism
in a llama. Australian Veterinary Journal 1996; 74:275-277.
• Perry V, Phillips N, Fordyce G, Gardiner B, Entwistle K, Chenoweth
P, Doogan VJ. Semen collection and evaluation. In: Bull Fertility:
Selection and Management in Australia Australian Association of Cattle
• Veterinarians; 2002; pp5.1-5.19.
• Phillips NJ, McGowan MR, Johnston SD, Mayer D, Morton J, Carrick
M. Relationship between post-thaw sperm characteristics and the
corrected conception rate of selected high use Australian dairy AI sires.
In: Predicting and monitoring the fertility of artificial insemination sires
Project UQ050 Dairy Research and Development Corporation 2001; pp
44-61.
• Polge C, Smith A, Parkes A. Revival of spermatozoa after vitrification
and dehydration at low temperatures. Nature (London) 1949; 164:166.
148
• Pollard JC, Moore GH, Littlejohn RP. The sexual behaviour of alpacas
imported to New Zealand from Chile. Proceedings of the New Zealand
Society of Animal Production 1991; 51:43-46.
• Pollard JC, Littlejohn RP, Moore GH. Seasonal and other factors
affecting the sexual behaviour of alpacas. Animal Reproduction Science
1995; 37:349-56.
• Pugh DG. Male lama reproductive evaluation. Proceedings of the
Society for Theriogenology 1999; 211-216.
• Purohit GN. Biotechnologies in camelid reproduction: current status and
future prospectives. Journal of Camel Practice and Research 1999; 6:1-
13.
• Quispe G. Inseminacion artificial en alpacas (Lama pacos) con semen
diluido a differentes concentraciones: I Zootec Thesis, Fac Agron Zootec,
Univ Nac San Antonio Abad, Cusco, Peru 1996; 103pp.
• Ratto MH, Wolter M, Berland M. Refrigeration of epididymal sperm from
lama with three different extenders. Proc II Congreso Mundial sobre
Camelidos, Cusco, Peru 1999c; 79 abstr.
• Raymundo F, Huanca W, Huertas S, Gauly M. Influence of different
extenders on the motility in alpaca (Lama pacos) semen. 2nd Int
Camelid Conference Agroeconomics of Camelid Farming Almaty,
Kazakhstan 2000; 79 (abstract).
• Rigby SL, Brinsko SP, Cochran M, Blanchard TL, Love CC, Varner
DD. Advances in cooled semen technologies: seminal plasma and
semen extender. Animal Reproduction Science 2001; 68:171-180.
• Rios M, Sumar J, Alarcon V. Presencia de un factor de induccion de
ovulacion en al semen de la alpaca y toro. In: Resumenes 8 Reunion
Cientifica Annual Asociacion Peruana Produccion Animal. Huancayo,
Peru 1985; p40.
• Rodriguez-Martinez H, Larsson B. Laboratory assessment of viability
and fertilizing capacity of frozenthawed bull spermatozoa and their
relationship to conception rate. In: Predicting and monitoring the fertility
of artificial insemination sires Project UQ050 Dairy Research and
Development Corporation 2001; pp 24-30.
149
• Salinas J, Bravo PW, Ordonez C, Zapata B, Alarcon B. Niveles
optimos de glicerina en la congelacion de semen en alpacas (Lama
pacos). Resumenes de Investigacion en Camelidos Sudamericanos,
Cusco 1999; 24.
• San Martin M, Copaira M, Zuniga J, Rodreguez R, Bustinza G,
Acosta L. Aspects of reproduction in the alpaca. Journal of
Reproduction and Fertility 1968; 16:395-399.
• San Martin F, Bryant FC. Nutrition of domesticated South American
llamas and alpacas. Small RuminantResearch 1989; 2:191-216.
• Simson A. Equine reproduction: a clinical perspective. Proceedings of
the Australian Embryo Transfer Society 2001; pp1-8.
• Skidmore JA, Billah M, Allen WR. The ovarian follicular wave pattern
and induction of ovulation in the mated & non-mated one-humped camel
(Camelus dromedarius). Journal of Reproduction and Fertility 1996;
• 106:185-192.
• Skidmore JA, Billah M. Assisted reproduction in the dromedary camel
(Camelus dromedarius). 1st International Symposium on Assisted
Reproductive Technology for the Conservation and Genetic
Management of Wildlife 2001a; 66-71.
• Smith BB. Overview of reproduction in the male llama and alpaca.
Proceedings of the Society for Theriogenology 1999c; 191-196.
• Stalhammar EM, Janson L, Philipsson J. The impact of sperm motility
on non-return rate in pre-selected dairy bulls. Reproduction, Nutrition
and Development 1994; 34:37-45.
• Sucapuca V. Caracteristicas fisicas del semen de la alpaca obtenido por
el metodo del preservativo. MVZ Thesis, Univ Nac Altiplano, Puno, Peru
1991; 49pp.
• Sumar J. Studies on reproductive pathology in alpacas. Masters Thesis.
Swedish University of Agricultural Sciences, Uppsala and Universidad
Nacional Mayor de San Marcos 1983; 9-103.
• Sumar J. Reproductive physiology in South American camelids. In: Land
RB, Robinson DW (eds). Genetics of reproduction in sheep. London:
Butterworths, 1985a; 81-95.
150
• Sumar J. Effects of various ovulation induction stimuli in alpacas and
llamas. Journal of Arid Environments 1994; 26:39-45.
• Sumar J, Bravo PW, Foote WC. Sexual receptivity and time of ovulation
in alpacas. Small Ruminant Research 1993; 11:143-150.
• Taylor S, Taylor PJ, James AN, Godke RA. Successful commercial
embryo transfer in the llama (Lama glama). Theriogenology 2000;
53:344.
• Tibary A, Memon MA. Reproduction in the male South American
Camelidae. Journal of Camel Practice and Research 1999b; 6:235-248.
• Tingari MD, El-Manna MM, Rahim ATA, Ahmed AK, Hamad MH.
Studies on camel semen. I. Electroejaculation and some aspects of
semen characteristics. Animal Reproduction Science 1986; 12:213-222.
• Valdivia M, Ruiz M, Bermudez L, Quinteros S, Gonzales A,
Manosalva I, Ponce C, Olazabal J, Davalos R.
• Criopreservacion de semen de alpacas. Proc II Congreso Mundial sobre
Camelidos, Cusco, Peru 1999; 81 abstr.
• Vaughan JL. Control of ovarian follicular growth in the alpaca (Lama
pacos). PhD Thesis. Central Queensland University. 2001.
• Vaughan JL, Macmillan KL, Anderson GA, D’Occhio MJ. Effects of
mating behaviour and the ovarian follicular state of female alpacas on
conception. Australian Veterinary Journal; 2003; 81:64-68.
• Velasquez F, Malaga JL, Bravo PW. Citologia exfoliativa del utero de la
alpaca. Proc II Congreso Mundial sobre Camelidos, Cusco, Peru 1999;
84 abstr.
• von Baer A, Hellemann C. Semen characteristics in the llama (Lama
glama). Archivos de Medicina Veterinaria 1998; 30:171-176.
• von Baer L, Hellemann C. Cryopreservation of llama semen.
Reproduction in Domestic Animals 1999; 34:95- 96.
• von Kubicek J. Semen collection in alpaca with a urethral fistula
(German). Zeitschrift Tierzuchtung und Zuchtungsbiologie 1974; 90:335-
351.
151
• Watson PF. The causes of reduced fertility with cryopreserved semen.
Animal Reproduction Science 2000; 60- 61:481-492.
• Wiepz DW, Chapman RJ. Non-surgical embryo transfer and live birth in
a llama. Theriogenology 1985; 24: 251-257.
• Xu YS, Wang HY, Zeng GQ, Jiang GT, Gao YH. Hormone
concentrations before and after semen-induced ovulation in the bactrian
camel (Camelus bactiranus). Journal of Reproduction and Fertility 1985;
74:341-346.
• Zhao X, Huang Y, Chen B. Biological activity of gonadotrophin-releasing
hormone-like factors in the seminal plasma of the bactrian camel. In:
Allen WR, Higgins AJ, Mayhew IG, Snow D, Wade JF (eds),
Proceedings of the First International Camel Conference. R&W
Publications, Newmarket, 1992; 163-168.
152

Inseminasion art

  • 1.
    A report forthe Rural Industries Research and Development Corporation by Jane Vaughan David Galloway David Hopkins November 2003 RIRDC Publication No 03/104 RIRDC Project No AAI-1A 1 INSEMINACION ARTIFIACIAL EN ALPACAS(Lama pacos)
  • 2.
    © 2003 RuralIndustries Research and Development Corporation. All rights reserved. ISBN 0 642 58670 5 ISSN 1440-6845 Artificial insemination in alpacas (Lama pacos) Publication No. 03/104 Project No. AAI-1A The views expressed and the conclusions reached in this publication are those of the author and not necessarily those of the persons consulted, RIRDC shall not be responsible in any way whatsoever to any person who relies in whole or in part on the contents of this report. This publication is copyright. However, RIRDC encourages wide dissemination of its research, providing the Corporation is clearly acknowledged. For any other enquiries concerning reproduction, contact the Publications Manager on phone 02 6272 3186. Researcher Contact Details Jane Vaughan PO Box 406 OCEAN GROVE VIC 3226 Email: vaughan@ava.com.au In submitting this report, the researcher has agreed to RIRDC publishing this material in its edited form. RIRDC Contact Details Rural Industries Research and Development Corporation Level 1, AMA House 42 Macquarie Street BARTON ACT 2600 PO Box 4776 KINGSTON ACT 2604 Phone: 02 6272 4819 Fax: 02 6272 5877 Email: rirdc@rirdc.gov.au Website: http://www.rirdc.gov.au 2
  • 3.
    Published in November2003 Printed on environmentally friendly paper by Canprint Advertencia La puntería primaria de este proyecto era desarrollar la tecnología para la inseminación artificial en alpacas en asociación con tarifas aceptables del embarazo después del AI. El proyecto fue analizado en 5 pasos para alcanzar esta puntería: 1. Colección constante y confiable de semen 2. La caracterización del semen para permitir la selección de conveniente ejaculates para la preservación 3. El enfriarse del semen de la alpaca 4. El congelar del semen de la alpaca 5. Inseminación artificial de hembras. La fisiología reproductiva de alpacas diferencia a la de otros animales domésticos y del restos mal entendidos. Los varones se acoplan en el recumbency del sternal por aproximadamente 20 minutos y ejaculate muchas veces durante este período. Cada uno ejaculate consiste en el bajo volumen, semen de gran viscosidad que contiene una concentración baja de la esperma. La fertilidad de los varones de la alpaca declina con el aumento de números de acoplamientos consecutivos. La longitud de la gestación es cerca de 11.5 meses, los gemelos son raros y los varones alcanzan pubertad a partir de la 1 a 3 años de la edad. Los intervalos de la generación están relativamente de largo porque los varones son lentos madurarse sexual y las hembras exhiben una gestación extendida, así que la crianza convencional da lugar a un aumento genético más lento con respecto a la otra especie doméstica fibra-que produce tal como ovejas y cabras. El desarrollo de la inseminación artificial se dirige que aumenta el uso de los varones superiores de la alpaca pues las dosis múltiples del semen serán derivadas de cada uno ejaculate. La inseminación artificial reducirá la necesidad de acoplamientos móviles del `' y por lo tanto para reducir el riesgo de lesión y de enfermedades transportar- asociadas en varones de la alpaca de la élite y para reducir perceptiblemente la transmisión del riesgo de la enfermedad de Johne, de piojos y de otros agentes 3
  • 4.
    infecciosos entre granjasde la alpaca. La inseminación artificial también permitirá más humano y la importación económica de genotipos superiores de en ultramar y aumenta la eficacia de difusión de los genotipos superiores de la alpaca alrededor de Australia. En otras industrias de la fibra, tales como producción de las ovejas del merino y de la cabra de Angora, la crianza asistida se está utilizando para mejorar calidad de la fibra más rápidamente que ser de otra manera posible por el acoplamiento natural. El conocimiento ganó sobre la colección, caracterización, preservación y la inseminación del semen de la alpaca acelerará la disponibilidad de los servicios de la inseminación artificial en alpacas. Esto beneficiará la industria australiana de la alpaca con una utilización más eficiente de varones genético superiores y una difusión más rápida de genotipos mejorados a través de la manada nacional. Este proyecto fue financiado del rédito de la industria que es emparejado por los fondos proporcionados por el gobierno federal. Este informe es una adición a la gama diversa de RIRDC sobre de 900 publicaciones de la investigación, las formas parte de nuestro programa raro y natural del R&D de las fibras, que apunta desarrollar tecnología de la inseminación artificial en alpacas. La mayor parte de nuestras publicaciones están disponibles para la visión, descargando o comprando en línea con nuestro Web site: transferencias directas • En www.rirdc.gov.au/fullreports/index.htm compras • En www.rirdc.gov.au/eshop Simon Hearn Director de manejo Rural Industries Research y Development Corporation intravenoso Reconocimientos Los autores quisieran agradecer a criadores Jude Anderson y Alan Cousill de la alpaca, perno prisionero de la alpaca de Pucara, colina de Joyce y de Jeffery, Adelyn Alpacas, Susan McGearey, granja de Marshwood y Carolyn y Allan Jinks del perno prisionero de la alpaca de Benleigh para el uso de su alpaca se reúne. Las instalaciones de la granja fueron proporcionadas abundante por Moore máximo. Profesor Jock Macmillan (universidad de Melbourne, de Australia), dr Lulu Skidmore (camello Centro de la reproducción, Dubai), dr Ahmed Tibary 4
  • 5.
    (universidad de estadode Washington, los E.E.U.U.), dr Matthias Gauly (universidad de Giessen, de Alemania), dr Wilfredo Huanca (universidad de San Marcos, Perú), dr Alex Tinson (centro, al-Ain de Reseach de la transferencia del embrión del camello), Dr Leonor von Baer (Llamas del Sur, Chile), ms enero Atkins (Monash IVF, Australia), y nación y Sr. Andrew del dr Ian Lewis, del dr David Brockway (genética Australia) proporcionó consejo y ayuda valiosos. Somos también agradecidos al comité australiano del ética del animal de laboratorio de la salud animal para la ayuda durante el trabajo experimental. Esta investigación fue apoyada financiando de las industrias rurales investigación y desarrollo Corporación (proyecto AAI-1A) y los Australian Alpaca Association Inc. Abreviaturas IA Inseminación artificial VA Vagina artificial del sistema de pesos americano Identificación chorionic hCG humana del gonadotrophin GnRH hormona de GnRH gonadotrophin-que lanza dentro del diámetro LH Hormona luteinising OD Diámetro exterior SACO Camelid del americano del sur 5
  • 6.
    Resumen Ejecutivo La punteríaprimaria de los estudios en este informe era desarrollar la tecnología para la inseminación artificial en alpacas en asociación con tarifas aceptables del embarazo después del AI. El proyecto fue analizado en 5 pasos para alcanzar esta puntería: La colección constante y confiable de semen, caracterización del semen para permitir la selección de conveniente ejaculates para la preservación, enfriarse del semen de la alpaca, congelar del semen de la alpaca y la inseminación artificial de hembras. La inseminación artificial (AI) en alpacas es el tema de la investigación en varios países. El primer procura en el AI ocurrió en los años 60 en SACO en Perú (Fernandez-Baca y otros. 1966, Calderon y otros. 1968) y camellos (Elliot 1961). Desde entonces, los estudios en la colección del semen y la inseminación artificial se han realizado en alpacas y otros camelids del americano del sur en Australia (Gunn 1999), el norte y Suramérica (Bravo y otros. 1997, Ratto y otros. 1999b, Huanca y otros. 2001b), Gran Bretaña (McEvoy y otros. 1992b) y Alemania (Burgel y otros. 1999). Los esfuerzos concentrados en el AI en camellos han ocurrido en los 20 años pasados en un intento por mejorar calidad y la producción de la leche y de la carne, en respuesta a estacas más altas en competir con de camello e interés creciente en la conservación de la casta (Purohit 1999a). La fisiología reproductiva de alpacas diferencia a la de otros animales domésticos y del restos mal entendidos. Los varones se acoplan en el recumbency del sternal por aproximadamente 20 minutos y ejaculate muchas veces durante este período (Lichtenwalner y otros. 1996a, 1996b). Cada uno ejaculate consiste en el bajo volumen, semen de gran viscosidad que contiene una concentración baja de la esperma (Sumar 1983, McEvoy y otros. 1994). La fertilidad de los varones de la alpaca declina con el aumento de números de los acoplamientos consecutivos (Bravo y otros. 1997b). La longitud de la gestación es cerca de 11.5 meses, los gemelos son raros y los varones alcanzan pubertad a partir de la 1 a 3 años de la edad (bravo 1994). Los intervalos de la 6
  • 7.
    generación están relativamentede largo porque los varones son lentos madurarse sexual y las hembras exhiben una gestación extendida, así que la crianza convencional da lugar a un aumento genético más lento con respecto a la otra especie doméstica fibra-que produce tal como ovejas y cabras. El desarrollo de la inseminación artificial se dirige que aumenta el uso de los varones superiores de la alpaca pues las dosis múltiples del semen serán derivadas de cada uno ejaculate. La inseminación artificial reducirá la necesidad de acoplamientos móviles del `' y por lo tanto para reducir el riesgo de lesión y de enfermedades transportar-asociadas en varones de la alpaca de la élite y para reducir perceptiblemente la transmisión del riesgo de la enfermedad de Johne, de piojos y de otros agentes infecciosos entre granjas de la alpaca. La inseminación artificial también permitirá más humano y la importación económica de genotipos superiores de en ultramar y aumenta la eficacia de difusión de los genotipos superiores de la alpaca alrededor de Australia. En otras industrias de la fibra, tales como producción de las ovejas del merino y de la cabra de Angora, la crianza asistida se está utilizando para mejorar calidad de la fibra más rápidamente que ser de otra manera posible por el acoplamiento natural. No hay servicios establecidos del AI por todo el mundo. Las razones incluyen las dificultades de la investigación de financiamiento y que sostiene en América latina en el pasado, la dificultad en la colección del semen, el mucoid característico del semen de la alpaca que imposibilita la adaptación fácil de la tecnología del AI de otra especie, la característica de la ovulación inducida en alpacas femeninos, la carencia de las técnicas para definir excelencia reproductiva en los alpacas masculinos, la carencia de técnicas probadas para almacenar el semen de la alpaca en forma enfriada o congelada y la dificultad del paso transcervical de la pipeta de algunas hembras. Este informe presenta nuevos datos sobre las técnicas usadas para la colección, la caracterización, la preservación y la inseminación del semen de la alpaca. La colección constante y confiable de semen de la alpaca era posible con un mannequin de madera cubierto con una piel bronceada de la alpaca y 7
  • 8.
    cabido con unavagina artificial. Era posible entrenar a los varones virginales y experimentados de la alpaca a acoplarse con el mannequin. Los componentes del comportamiento de acoplamiento fueron definidos durante el entrenamiento de varones y durante el semen la colección y las características del semen que definen un ejaculate fueron establecidas. Una de las observaciones más importantes hechas durante el estudio era que la calidad del semen varió considerablemente en y entre varones. Los diluyentes numerosos fueron mezclados con semen en un intento por prolongar la vida y mantener la salud de la esperma después de la colección en la vagina artificial. Los suplementos que contenían la yema de huevo y el glicerol, y particularmente Triladyl® (Minitub, Alemania), probaron los suplementos más eficaces para el semen enfriado hasta 48 horas. Inmediato poste-deshelar la actividad de la esperma era aproximadamente 20 a el 40% cuando cualquiera El almacenador intermediario verde/claro del camello (IMV International Corporation, los E.E.U.U.) o Biladyl A/B (Minitub, Alemania) fue utilizado como suplemento para el semen que congelaba. La deposición de Transcervical del semen en la extremidad del cuerno uterino ipsilateral al ovario que llevaba el folículo dominante demostró ser una técnica simple y eficiente para la inseminación artificial. No se alcanzó ningunos embarazos usando el AI transcervical, intrauterino del semen enfriado o congelado-deshelado. Los resultados en este proyecto proporcionan una base sana sobre la cual continuar desarrollando la tecnología para la colección, la preservación y la inseminación del semen de la alpaca. Aunque el AI primero fue procurado en los años 60 en camelids del americano del sur, los una pequeña cantidad de embarazos se han alcanzado que usando desde entonces enfriado o congelado el semen reflejan las dificultades de transferir tecnología de crianza artificial del otro ganado doméstico a los camelids. Las idiosincrasias fisiológicas de los alpacas machos tales como duración de acoplamiento extendida y bajo volumen, baja densidad, semen de 8
  • 9.
    gran viscosidad conjuntamentecon la variación en calidad de ejaculates ambos en y entre desafíos proporcionados los varones a través del proyecto entero. Los datos recogidos durante el proyecto asistirán a los criadores y a los veterinarios en la industria australiana de la alpaca para seleccionar padres de los sonidos con la evaluación de criar características del comportamiento y del semen. Se anticipa que esta misma información asistirá con la selección de varones con el semen que es conveniente para enfriarse y/o congelar. Las características del semen necesitan ser definidas más a fondo en lo referente a edad, a la estación y al tamaño alimenticio del estado y testicular. El conocimiento ganado sobre la colección, la caracterización, la preservación y la inseminación del semen de la alpaca acelerará la disponibilidad de los servicios de la inseminación artificial en alpacas. Esto beneficiará la industria australiana de la alpaca con una utilización más eficiente de varones genético superiores y una difusión más rápida de genotipos mejorados a través de la manada nacional. 9
  • 10.
    1. INTRODUCCIÓN YREVISIÓN DE LA LITERATURA 1.1 Introducción 1.1.1 Objetivos y el acercamiento tomado. Las punterías del proyecto de investigación eran convertirse y establecer: 1. La tecnología para la colección, procesar y la preservación del semen de la alpaca y 2. La tecnología para la inseminación del semen de la alpaca. El acercamiento que tuvo que ser tomado era uno de investigación exploratoria. Los protocolos se han instalado para preservación e inseminación artificial (AI) del semen en otros animales domésticos por ensayo y error durante los 50 años pasados. Los cambios todavía se están realizando al gravamen del semen y los procedimientos de la dirección y a diluyentes en las industrias domésticas del AI del ganado. El acercamiento con ganados ha sido probar nuevo técnicas en investigaciones exploratorias. Los que demuestran promesa se sujetan a planeada experimentación con millares de inseminaciones bajo condiciones controladas supervisadas de cerca para embarazos. Las ventajas significativas de la nueva tecnología se pueden establecer estadístico basaron en los resultados de ensayo. Relativamente poco trabajo se ha realizado en la colección, la caracterización, la preservación y la inseminación del semen de la alpaca. Se ha hecho qué se repasa en este capítulo. Una gran cantidad de alpacas no iban a estar disponibles en Australia para los experimentos controlados con diversa colección y no manejaban métodos, diversos diluyentes y las técnicas de congelación y diferentes acercamientos a la inseminación. El estado actual del conocimiento en tecnologías de la inseminación artificial en alpacas también no fue avanzado suficientemente para los experimentos controlados de la escala grande. Por lo tanto hemos estudiado intensivo una pequeña cantidad de animales para descubrir qué trabajaron y qué no trabajó. 10
  • 11.
    1.1.2 Fondo dela industria La producción de la fibra de alpacas presenta muchas atracciones a los criadores anticipados en Australia a pesar de ya producir 636 millones de toneladas de las lanas de la oveja grasienta anualmente (centro de investigación cooperativo para la lana superior de la calidad, la comunicación personal). La fibra de la alpaca es suave, fina y ligera y siente 2-3 micrones más fino que las lanas. Los animales son plantigrade (comparado con las ovejas que son digitigrade) y separar tu peso sobre una mayor área superficial de la tierra (Ordoñez 1994). No requieren la cola el atracar o el mulesing pues tienen un perinéo sin pelo. Ellos defaecate en pilas comunales del dung de modo que las cargas gastrointestinales del parásito son más bajas y la necesidad para el mojada antihelmíntico es mucha reducido (Carmichael 1999). Alpacas es alimenticio más eficiente que ovejas y requiere menos proteína y energía (una alpaca 65kg requiere la misma cantidad de alimentación del mantenimiento que una oveja 40kg; San Martin y otros. 1989). Alpacas no requiere cercar sofisticado y no guarda a su descendiente contra depredadores tales como perros y zorros (Sumar 1983). La industria australiana de la alpaca se está esforzando para llegar a ser comercialmente viable produciendo grande cantidades de fibra de la alta calidad. Hay actualmente 35.500 alpacas en Australia (J. Rothque, asociación australiana de la alpaca, comunicación personal). Estos animales son rapados anualmente y su fibra es procesado para el hilado, la ropa y el lecho. La manada nacional tiene un diámetro medio de la fibra de 28 micrones (B. McGregor, recursos naturales y ambiente del departamento, comunicación personal). el 84% de el clip 1999/2000 australiano de la alpaca tenía micrones mayor que de un diámetro 25, el 27% del clip era el blanco y cada animal produjeron un promedio del paño grueso y suave bordeado 1.25 kilogramos (Holt, 2001). El australiano La cooperativa de la alpaca actualmente paga a AU$45/kg la fibra limpia diámetro de la fibra menos de 20 micrones, pero solamente AU$5/kg limpian la fibra para la fibra con un diámetro de 27.1-32 micrones. 11
  • 12.
    Los criadores debenponer la presión máxima de la selección en varones y combinar esto con rápido y amplio difusión de los genotipos apropiados para alcanzar la meta de producir la fibra de la alta calidad. el uso creciente de los varones de la alpaca con genotipos superiores vía la inseminación artificial permitiría una reducción más rápida en el diámetro de la fibra, densidad creciente de la fibra por el control animal y mayor del color de la fibra en la manada nacional de la alpaca. Los productores beneficiarían con calidad mejorada y la cantidad creciente de fibra de la alpaca en sus manadas. Muchos granjeros de la alpaca no poseen a varón conveniente para criar como el australiano la industria de la alpaca se basa en los centenares de características cada uno con menos de 20 animales. El semen no está todavía disponible para la inseminación artificial confiable, rentable (Burgel y otros. 1999). Los granjeros que no poseen a varón actualmente utilizan a varones seleccionados poseídos por otros criadores para mejorar la calidad de la fibra de sus animales. Por lo tanto, la industria australiana de la alpaca confía pesadamente en “móvil” del o “acoplamientos” del acoplado del para diseminarse a través de los genotipos nacionales de la manada de la alpaca percibidos para ser superior para producir la fibra fina. Este método implica una alpaca, generalmente el varón, siendo transportado a la granja donde está ocurrir el acoplamiento. El encargado de la granja determina la época del acoplamiento en acoplamientos móviles y pluma-acoplamientos on-farm. La inseminación artificial (AI) en alpacas es el tema de la investigación en varios países. El primer procura en el AI ocurrió en los años 60 en SACO en Perú (Fernandez-Baca y otros. 1966, Calderon y otros. 1968) y camellos (Elliot 1961). Desde entonces, los estudios en la colección del semen y la inseminación artificial han sido realizado en alpacas y otros camelids del americano del sur en Australia (Gunn 1999), el norte y del sur América (Bravo y otros. 1997, Ratto y otros. 1999b, Huanca y otros. 2001b), Gran Bretaña (McEvoy y otros. 1992b) y Alemania (Burgel y otros. 1999). Los esfuerzos concentrados en el AI en camellos han ocurrido en los 20 pasados años en un intento por mejorar calidad y la producción de la leche y de la carne, en 12
  • 13.
    respuesta a estacasmás altas en competir con de camello e interés creciente en la conservación de la casta (Purohit 1999a). La fisiología reproductiva de alpacas diferencia a la de otros animales domésticos y del restos mal entendido. Los varones se acoplan en el recumbency del sternal por aproximadamente 20 minutos y ejaculate muchas veces durante este período (Lichtenwalner y otros. 1996a, 1996b). Cada uno ejaculate consiste en el bajo volumen, alto semen de la viscosidad que contiene una concentración baja de la esperma (Sumar 1983, McEvoy y otros. 1994). La fertilidad de los varones de la alpaca declina con el aumento de números de los acoplamientos consecutivos (Bravo y otros. 1997b). La longitud de la gestación es cerca de 11.5 meses, los gemelos son raros y los varones alcanzan pubertad a partir de la 1 a 3 años de la edad (bravo 1994). Los intervalos de la generación están relativamente de largo porque los varones son lentos madurarse sexual y las hembras exhiben una gestación extendida, así que la crianza convencional da lugar a un aumento genético más lento adentro comparación a la otra especie doméstica fibra-que produce tal como ovejas y cabras. El desarrollo de la inseminación artificial se dirige que aumenta el uso de los machos superiores de la alpaca como las dosis múltiples del semen serán derivadas de cada uno ejaculate. La inseminación artificial reducirá la necesidad de acoplamientos móviles del `' y por lo tanto para reducir el riesgo de lesión y de enfermedades transportar-asociadas en varones de la alpaca de la élite y para reducir perceptiblemente la transmisión del riesgo de la enfermedad de Johne, de piojos y de otros agentes infecciosos entre granjas de la alpaca. La inseminación artificial también permitirá más humano y la importación económica de genotipos superiores de en ultramar y aumenta la eficacia de difusión de los genotipos superiores de la alpaca alrededor de Australia. En otras industrias de la fibra, tales como producción de las ovejas del merino y de la cabra de Angora, la crianza asistida se está utilizando para mejorar calidad de la fibra más rápidamente que ser de otra manera posible por el acoplamiento natural. 13
  • 14.
    No hay serviciosestablecidos del AI por todo el mundo. Las razones incluyen: • las dificultades de la investigación de financiamiento y que sostiene en América latina en el pasado • La dificultad en la colección del semen • El mucoid característico del semen de la alpaca que imposibilita la adaptación fácil de la tecnología del AI de la otra especie • La característica de la ovulación inducida en alpacas femeninos • La carencia de las técnicas para definir excelencia reproductiva en los alpacas masculinos • La carencia de las técnicas probadas para almacenar el semen de la alpaca en forma enfriada o congelada • La dificultad del paso transcervical de la pipeta de algunas hembras 1.1.3 Secciones del proyecto Las punterías de este proyecto eran desarrollar y establecer la tecnología para la colección, procesar y la preservación del semen de la alpaca y desarrollar y establecer la tecnología para la inseminación del semen de la alpaca. Seis jalones fueron identificados y los informes sobre cada uno se precisan en los capítulos siguientes. 1. Revisión de la literatura 2. Métodos de colección de semen de la alpaca 3. Características del semen de la alpaca 4. Almacenaje del semen líquido de la alpaca 5. Almacenaje del semen congelado de la alpaca 6. Métodos de entrega del semen de la alpaca en la zona reproductiva femenina. Los resultados divulgaron en estos capítulos proporcionan la base científica para la entrega de un servicio de la inseminación artificial a la industria australiana de la alpaca. Se anticipa que las observaciones básicas respecto a la fisiología reproductiva y los métodos del AI examinados en este proyecto facilitarán el desarrollo de la crianza asistida en todos los camelids. Las recomendaciones se hacen en el final de cada capítulo en las direcciones que pensamos que la investigación adicional debe tomar. 1 14
  • 15.
    1.2 Fisiología reproductivade la alpaca masculina 1.2.1 Pùbertad Los camelids masculinos se llevan generalmente con los testes descendidos que son pequeños, suaves y difíciles al palpate (Sumar 1983, ElWishy 1988, bravo 1995, Fowler y otros. 1998). El mecanismo de la pendiente testicular no se ha descrito (Tibary y otros. 1999b). Los niveles de la testosterona del plasma son básicos (60-90 pg/mL; El bravo 1995, el bravo 2002) y las adherencias existen entre el pene y el prepucio (Sumar 1983, Johnson 1989, Fernandez-Baca 1993). Como varones madurarte, los testes agrandan (tabla 1.1) y los niveles de la testosterona del plasma aumentan a más de 1000 pg/mL (en aproximadamente 20 meses de la edad en la mayoría de alpacas; Bravo 1995, bravo 2002). Las concentraciones de levantamiento de la testosterona permiten que el animal crezca y poner encendido la condición del cuerpo, desarrollar las características sexuales secundarias y al parecer las adherencias peno-preputial de la interrupción (Sumar 1983, ElWishy 1988, Fernandez-Baca 1993, Bravo y otros. 1994b, bravo 1995, Fowler y otros. 1998, marrón 2000). Hay variación en la edad de la pubertad en diversa especie del camelid (tabla 1.2). Los tubules de Seminiferous pueden desarrollar lumina y comenzar espermatogénesis en alpacas a partir de 12 meses de la edad (Montalvo y otros. 1979, Galloway 2000). Sin embargo, el inicio de la madurez sexual se determina a menudo por la edad en la cual las adherencias penile desaparecen y los varones hacen capaces de una erección completa, más bien que el tiempo en el cual se produce la esperma viable (el cuadro 1.1; Smith 1999c). Se ha observado en los alpacas que en 1 año de la edad 8 12% de varones, en 2 años de la edad 60- el 78% de varones y en 3 años de la edad 94- el 100% de varones han perdido las adherencias peno-preputial (Sumar 1983, Fernandez-Baca 1993, Fowler y otros. 1998, Smith 1999c, Bravo y otros. 2000a). La separación comienza en la extremidad del pene, en aproximadamente 12-15 meses de la edad en la mayoría de varones; la mitad del bálano está libre en 18 meses de la edad y el pene está totalmente libre de adherencias entre 21 y 26 meses de la edad (Bravo y otros. 1994b, bravo 1995). La variación en la edad en la cual se 15
  • 16.
    pierden las adherenciaspeno-preputial se puede explicar parcialmente por el plano de la nutrición (Fernandez-Baca 1993) pues hay una correlación entre el tamaño de cuerpo y la longitud testicular del medio (Galloway 2000). La variación amplia en tamaño testicular en cualquier un edad o tamaño de cuerpo sugiere que otros factores, probablemente genéticos, sean también importantes (Galloway 2000). Alpacas se considera haber alcanzado el desarrollo sexual completo en 5 años de la edad, en aproximadamente 63 kilogramos de peso corporal (Sumar 1983). 1.2.2 Anatomía del Prepucio 1.2.2.1 El prepucio Es midline de lado a lado, no-oscilante y situado triangular, aplanado en la región inguinal (Fowler y otros. 1998, Smith 1999c). Hay 2 pezones rudimentarios de cualquier lado cerca de su frontera caudal. El orificio preputial se dirige caudo-ventrally cuando está relajado (Fowler y otros. 16
  • 17.
    1998). Los músculosbien desarrollados (los músculos preputial laterales y los músculos preputial craneales y caudales) pueden dirigir el prepucio remite para la erección y al revés para el urination (ElWishy 1988, Johnson 1989). 1.2.2.2 Pene Los Camelidos tiene un pene fibroelastico con una flexión sigmoidea prescrotal que permita la contracción del pene en el prepucio en no-erija el estado (cuadro 1.2; Novoa 1970, Sumar 1983, ElWishy 1988, bravo 1995, Fowler y otros. 1998, Smith 1999c). Los músculos del pene del retractor se unen al ventral convexidad de la flexión sigmoidea del pene (Tibary y otros. 1999b). El pene erguido es 35-40 centímetro largo en los alpacas (Sumar 1983, Bravo y otros. 1994b) y 36-45 centímetro desean adentro llamas (Fowler y otros. 1998). 18-25 el centímetro del pene extiende más allá del prepucio en el estado erguido (Johnson 1989). El tejido fino eréctil consiste en cavernosa de 2 recopilaciones en la raíz del pene que converge en un solo cavernosum de la recopilación en el cuerpo del pene (ElWishy 1988). La uretra se incorpora ventral en un surco del spongiosum de la recopilación (ElWishy 1988). Los 3 cuerpos cavernosos del pene son rodeados por el albuginea fibroso grueso del tunica (5-7 milímetros de grueso en camellos; ElWishy 1988). El pene del bálano es 9-12 centímetro largo (Fowler y otros. 1998). Afila de una estructura fibrosa de 2 centímetros de diámetro proximally, a diámetro de 1 centímetro distally, y de extremos en una sola proyección cartilaginosa redondeada, proceso urethral (Sumar 1983, ElWishy 1988). El proceso tiene 10 milímetros de largo en los alpacas, curvas en a la dirección a la derecha (Sumar 1983) y puede desempeñar un papel en dirigir el pene a través de la cerviz durante el copulation (Johnson 1989, Bravo y otros. 1994b, bravo 1995, Fowler y otros. 1998) y semen de dispersión en el útero (Smith 1999c). La abertura urethral del bálano está en la base del proceso cartilaginoso (Fowler y otros. 1998, Smith 1999c). Hay un divertículo urethral dorsal en el nivel de la sínfisis pélvica 17
  • 18.
    que previene elpaso de un catéter en la vejiga (Fowler y otros. 1998, Smith 1999c). 1.2.2.3Testiculos Los testIculos de camelidos están situados en un escroto no-oscilante sin un cuello definido, formando una protuberancia del subanal comparable a los verracos (Sumar 1983, ElWishy 1988). Normalmente, ambos testes son pequeños y elíptico, similar de tamaño, túrgido en la palpación y el movimiento libremente dentro del escroto (Sumar 1983, bravo 1995, Fowler y otros. 1998). El de eje largo de cada testis es oblicuo, con un caudodorsal, orientación cranioventral (Sumar 1983). La histología de los testes del camelid se ha descrito (Delhon y otros. 1987) y es similar a el de la otra especie del ganado (Hafez 1993, Fowler y otros. 1998). La espermatogénesis se ha dividido en 8 etapas en los camelids (Delhon y otros. 1987) con el desarrollo que comienza con el spermatogonia que miente en las regiones exteriores de tubules seminiferous y que progresa a los spermatocytes, a los spermatids y a los spermatozoa primarios y secundarios, que mienten adyacente al lumen de los tubules seminiferous (Galloway, inédito). Las células de Sertoli alinean los tubules seminiferous y contribuyen a la producción flúida por el tubule (Hafez 1993). Las células de Leydig mienten entre los tubules seminiferous y secretan la testosterona en las venas testiculares y los recipientes linfáticos (Delhon y otros. 1987, Hafez 1993). Los tubules de Seminiferous en alpacas tienen un diámetro del μm 174-237 (Bravo y otros. 2000a), y en llamas (± SD) un diámetro malo del μm 19.8 de 223.07 ± (Delhon y otros. 1987). La producción diaria de la esperma varía entre la especie pero es cerca de 15-30 millones por gramo del tejido fino testicular (Hafez 1993). El proceso completo de la espermatogénesis en toros toma aproximadamente 60 días. El seminiferous se requieren las tomas del ciclo del epitelio 13-14 días y 4 a 5 ciclos del epitelio seminiferous. Toma de la esperma otros 8 o 9 días a viajar a través del epidídimo. Por lo tanto, los testes pueden tomar más de 2 meses para recuperarse de daño resultando de lesión 18
  • 19.
    tal como hipertermiao systemic enfermedad (Entwistle 2002). No se sabe cuánto tiempo el proceso de la espermatogénesis admite alpacas. La producción de la esperma se correlaciona con tamaño testicular en los camelids (Tibary y otros. 1999b, Galloway 2000). Como aumento testicular del peso y del tamaño en toros, hace tan también la salida y la fertilidad diarias (Entwistle 2002) de la esperma; esto ocurre probablemente en alpacas también. El tamaño testicular es altamente hereditario en toros y también se relaciona con la fertilidad de sus parientes femeninos (Entwistle 2002). Los testes de Camelid son relativamente pequeños y la producción de la esperma es baja (Smith 1999c). Cada testis del adulto en la alpaca mide aproximadamente 4-5 centímetro largo, 2.5-3 centímetros de ancho y pesa 15-18g (tablas 1.3, 1.4), así explicando 0.02 a el 0.03% de peso corporal (Sumar 1983, del bravo 1995), en comparación con los testes de los espolones (el 1.4% de peso corporal) y toros (el 0.18% de peso corporal; Sumar 1999b). los Tres-año-viejos camellos tienen testes 7-10 centímetro largo eso cada uno pesa 80-100 g (Novoa 1970). Bajo condiciones normales de la espermatogénesis, los tubules seminferous y la cola de los epidídimos se dilatan con los spermatozoa y el líquido, dando tono de los tejidos finos y resistencia sobre la palpación (Entwistle 2002). El tono y la resistencia pobre o la firmeza excesiva sugiere anormalidades de testicular y/o función epididymal. El tamaño de testes varía entre las castas y las estaciones (ElWishy 1988, Fowler y otros. 1998). Hay un aumento en peso en la estación de crianza debido al desarrollo creciente del tejido fino intersticial y diámetro creciente de los tubules seminiferous (ElWishy 1988). El peso apareado malo de los testes adentro los camellos del dromedario son 140-165 g en la estación nonbreeding y 164-180 g en la estación de crianza (ElWishy 1988). A partir de diciembre a marcha, los tubules seminiferous son los 183μm en diámetro y contienen 5-6 capas de 19
  • 20.
    células de germenen varias etapas de la diferenciación, no obstante después de marcha, la degeneración ocurre, los tubules llegaron a ser desprovistas de esperma y los tubules seminiferous disminuyen al diámetro de 131 μm (Novoa 1970). Las concentraciones de la testosterona del plasma también varían entre las estaciones (Fowler y otros. 1998). Cuando varón los alpacas se separan de las hembras como práctica de gerencia en Perú, concentraciones de la testosterona son 3900 pg/mL comparados con 9000 pg/mL en la estación de crianza. En los E.E.U.U., en donde acoplan a los varones todo el año, testosterona del plasma fluctuó entre 900 y 1200 pg/mL a través del año (Fowler y otros. 1998). 6 Vascular más bien que la termorregulación muscular de los testes puede ser importante en camelids debido a la aposición cercana del escroto para el cuerpo (ElWishy 1988). Se enrolla y se arrolla la arteria testicular. El plexo del pampiniform de las venas testiculares enreda la arteria y permite la sangre arterial que entra en el testis que se refrescará por la sangre venosa que deja el testis vía un mecanismo que se refresca de la contracorriente (Hafez 1993). Las estructuras musculares del escroto y de la cuerda spermatic (dartos y los músculos del cremaster) elevan los testes, con el espesamiento asociado de la piel scrotal, durante el tiempo frío y relajan levemente durante el tiempo caliente (Bravo y otros. 1994b). La piel del escroto es relativamente gruesa y puede ser una adaptación para proteger los testes contra la castración accidental durante varón-varón el luchar (Fowler y otros. 1998). Los ductules eferentes funcionan del testis en el jefe del epidídimo (bravo 1995). 20
  • 21.
    Tabla 1.3. Significar(gama) el (G) testicular del tamaño (centímetro) y del peso en los alpacas, las llamas y las vicuñas (adaptados de Sumar 1983, Fowler y otros. 1998 y bravo 2002). Tabla 1.4 1.2.2.4 Epidídimos El epidídimo es pequeño y de cerca adherente al testiculos (Smith 1999c). Consiste en una cabeza (cabeza), el cuerpo (recopilación) y la cola (cauda; Tibary y otros. 1999b). La cabeza es más grande que la cola (bravo 1995). El jefe del epidídimo miente cranioventral al testis, el cuerpo extiende intermedio y dorsocaudally a la cola que miente dorsal al testis (Fowler y otros. 1998). La cabeza y el cuerpo son sitios de la 21
  • 22.
    maduración de laesperma, mientras que la cola se asocia al almacenaje de la esperma (ElWishy 1988). Histología del el epidídimo es similar a la otra especie (Delhon y otros. 1994, Smith 1999c). Movimiento Distal del la gotita citoplásmica ocurre como tránsito de la esperma a través del epidídimo (Tibary y otros. 1999b). Sigue habiendo una gotita citoplásmica distal en más el de 60% de esperma en el segmento terminal (ElWishy 1988, Tibary y otros. se pierde 1999b) y cuando alcance de la esperma los deferens del ductus (Delhon y otros. 1994). Los deferens del ductus tienen 40 centímetros de largo y 2-3 milímetros de ancho en la llama (Bravo y otros. 1994b, Smith 1999c) y 45-50 centímetro desea en el camello (Bravo y otros. 2000a). Funciona de la cola del epidídimo, a través del anillo inguinal a la uretra apenas caudal al cuello de la vejiga, donde hay un pequeño, poorlydefined el ampulla 2- 4 milímetros de diámetro (Bravo y otros. 1994b, bravo 2002). El ampulla de la carencia of/small puede explicar porqué el electroejaculation no trabaja bien en camelids pues el ampulla no puede actuar como sitio del almacenaje de la esperma (Bravo y otros. 2000a). 1.2.2.5 Glándulas accesorias del sexo del macho La próstata H-se forma y se une firmemente al aspecto dorsolateral de la uretra, cerca del trigone de la vejiga (Sumar 1983, Bravo y otros. 1994b, bravo 1995, Fowler y otros. 1998, Smith 1999c). Tiene 3 - 4 centímetros de ancho y 1-2 centímetro alto en las llamas (Fowler y otros. 1998, Smith 1999c) y 3.7 x 5 centímetros en camellos (Novoa 1970). Los cambios estacionales en peso se correlacionan con la actividad testicular (ElWishy 1988). Las 2 glándulas bulbourethral son el ovoid y el lateral localizado a la pieza terminal de la uretra pélvica en el arco ischial en la raíz del pene (Sumar 1983, Johnson 1989, bravo 1995), 7-8 centímetro caudal a la próstata en la alpaca (Smith 1999c). Miden 1 centímetro en alpacas y hasta 2 centímetros en las llamas (Fowler y otros. 1998, Smith 1999c). Cada glándula es cubierta en parte por el músculo y ellas del 22
  • 23.
    bulbocavernosis variación estacionaldel objeto expuesto de tamaño (ElWishy 1988). Estas glándulas son más probable producir el material viscoso encontrado en el ejaculate de los camelids (bravo 1995). Las vesículas seminales no se encuentran en los camelids (Sumar 1983, ElWishy 1988, Johnson 1989, Bravo y otros. 1994b, Smith 1999c). Cuadro 1.1. Diagrama de adherencias preputial de los camelids del americano del sur (A = adherencias preputial, B = prepucio, C = pene; Fowler y otros. 1998, página 384). 23
  • 24.
    figura 1.2. Diagramade la vista lateral de los órganos genitales masculinos del camelid (Fowler y otros. 1998, page382). 1.2.3 Seasonality La espermatogénesis ocurre a través del año en todos los camelids (Arturo 1992, ElWishy 1988). Estacional las variaciones en la producción de la esperma se basan en el origen geográfico (por lo tanto nutrición, clima y otro factores ambientales), gerencia de la manada, grado de la domesticación y estructura social del grupo de camelids (Novoa 1970, ElWishy 1988, McEvoy y otros. 1994). Por ejemplo, febrero y marcha son meses de crianza máximos para los alpacas en lluvias de siguiente del verano de Perú y crecimiento creciente del pasto (Garnica y otros. 1993, Raymundo y otros. 2000). En los E.E.U.U., no se observó ningunas diferencias estacionales adentro concentraciones de la testosterona del plasma, frecuencia del pulso de la LH o 24
  • 25.
    tamaño testicular enun grupo de varones supervisado por 12 meses (Smith 1999c). Las alpacas maschos no experimentan cambios en aspecto y comportamiento en la estación de crianza en Perú (Novoa 1970). 1.2.4 Comportamiento y copulation de acoplamiento El comportamiento de acoplamiento se puede considerar en semanas de los varones del camelid del americano del sur a los meses después del nacimiento cuando intentan montar a hembras o a otros juveniles y comenzar a juego- luchar (Fowler y otros. 1998, Smith 1999c). La producción del andrógeno aumenta perceptiblemente entre 18 y 24 meses de la edad y coincide generalmente con la producción y la libido creciente (Smith 1999c) de la esperma. Lucha de los varones para afirmar su dominación encima otros varones, usando su cuello, pecho y colmillos para establecer la superioridad (Fowler y otros. 1998). No hay evidencia que la experiencia afecta el comportamiento de los varones de la alpaca, sin embargo, hay individual la variación en libido entre varones y la variación en el número de hembras se acoplaron (Pollard y otros. 1995). Los varones en su primera estación se comportaron de una manera similar a ésos con más experiencia. El comportamiento de acoplamiento exhibido por un varón del SACO se puede dividir en cortejar y fases copulatory. La fase que corteja ocurre cuando el varón persigue a hembra y puede activamente durar solamente algunos segundos, mientras que algunas hembras se sientan inmediatamente, o hasta 10 minutos, pero procuran más de largo de 4 minutos generalmente resultado en ningún acoplamiento (Inglaterra y otros. 1971). La longitud de esta fase se puede influenciar por el nivel de libido del varón (Fowler y otros. 1998). El comportamiento de acoplamiento de la hembra es principalmente sumiso, pero un varón puede montar y empujar a la hembra en la cruz con sus piernas delanteras. Los varones pueden exhibir flehmen elevando su cabeza y labio 25
  • 26.
    después de olerla pila del dung (Fowler y otros. 1998). 9 La fase copulatory ocurre cuando la hembra adopta la posición copulatory del recumbency del sternal con las piernas remetidas debajo del cuerpo (Fernandez-Baca y otros. 1970a, Inglaterra 1971). El varón monta a horcajadas la hembra, la agarra los hombros con sus codos, y sus metatarsos se reclinan completamente sobre la tierra, lateral a los de la hembra (Novoa 1970). La erección de Penile comienza en esta etapa permitir el intromission (Fowler y otros. 1998). El pene puede tener un extremo del sacacorchos mientras que busca el perinéo para el vulvar el abrirse (Fowler y otros. 1998, Tibary y otros. 1999b). El colocar de nuevo de la pelvis del varón puede ocurrir para permitir el intromission vía buscar del pene (Inglaterra y otros. 1971). Cuando el intromission está con éxito realizada, la pelvis del varón está cerca de la pelvis de la hembra (Fowler y otros. 1998). Varones demostrar tu entusiasmo con los oídos del temblor, la cola que mueve de un tirón hacia arriba y hacia abajo, las ventanas de la nariz que dilatan y constricting y por el vocalisation (Novoa 1970). El sonido gutural característico hecho por los varones durante el acoplamiento, o el `orgling', se divulga para ser un aspecto integral del lanzamiento preovulatory de la LH (bravo 1994, Bravo y otros. 1994b). Durante el copulation, el varón penetra la cerviz con su pene, y deposita el semen durante múltiplo eyaculaciones en ambos cuernos uterinos usando los movimientos que empujan suaves, según lo evidenciado por la palpación uterina vía laparotomy durante el copulation (Franco y otros. 1981, bravo 1994, bravo 2002). Examinación del útero 24 horas después de que el copulation ha revelado hemorragia, la inflamación, el edema y la hiperemia de el endometrio, posiblemente debido al trauma penile o a una reacción inflamatoria al plasma seminal (bravo y otros. 1996b, Velasquez y otros. 1999, bravo 2002b). La inflamación del útero puede durar 3 a 4 días y ser acoplamientos múltiples de siguiente más severos (bravo 2002b). Los camellos masculinos exhiben libido fuerte y comportamiento extremadamente agresivo durante la parte del año sabido como la rodera del `' 26
  • 27.
    (ElWishy 1988). Hayun aumento dramático en niveles del andrógeno del plasma a partir de 1-4 ng/mL hasta 17-35 (básico) ng/mL. En asociación con los andrógenos crecientes, los varones hacen agitados, agresivo, moler tus dientes, orina sobre tu parte posteriora con la cola, espuma del latigazo en la boca, exudan una secreción marrón foetidsmelling de tus glándulas de la encuesta (encontradas subcutáneo de cualquier lado de los nuchae del ligamentum, 7 centímetros debajo de la cresta occipital) para delinear el territorio, vuelcan su paladar suave del lado de la boca (dullah del `') con frecuencia, expressan con gorjeos y rugen (ElWishy 1988, Arturo 1992, Abdel Rahim y otros. 1992). Es posible tratar los camellos masculinos con GnRH al principio de la estación de crianza para aumentar libido y para acelerar el inicio de criar el comportamiento (Moslah y otros. 1992). Durante la fase del courtship del acoplamiento, el camello masculino olerá los órganos genitales, la orina y las heces del la hembra, levanta su cabeza detrás, el objeto expuesto flehmen, muerde a hembra, y fuerza a hembra sentarse con su cuello antes de montar a la hembra recumbent. La erección del pene no ocurre durante courtship en posición derecha (Abdel Rahim y otros. 1992). Las piernas delanteras del varón se ponen de cualquier lado de los hombros de la hembra, y de sus piernas traseras de cualquier lado de su pelvis. Las piernas traseras del varón son doblado con los talones a los hocks en la tierra, las piernas delanteras son extendidas, con la cabeza y el colmo llevado a cabo cuello. Intromission se asocia a los gorjeos, al regate salival y al dullah (ElWishy 1988, Abdel Rahim y otros. 1992). Cuando los alpacas masculinos y femeninos se guardan por separado y se permiten al copulate en los intervalos infrecuentes, ambos sexos siguen siendo sexual activos todo el año (Sumar 1985). Al principio de la estación de crianza en Perú, cuando colocan a los varones primero en un prado con las hembras, demuestran la actividad copulatory intensa para primeros 3 días, copulating hasta 18 veces por el día (Sumar 1983, Fernandez-Baca 1993). Sin embargo, la asociación continua del SACO masculino y femenino inhibe de alguna manera la actividad de crianza de varones a punto de la cesación completa de la actividad sexual a pesar de las hembras receptivas (Fernandez-Baca 1993). Si entonces colocan a los varones inactivos adentro con una nueva manada de hembras, ellos 27
  • 28.
    reasumen la actividadsexual (Fernandez- Baca 1993). No se sabe qué factores son responsables del efecto inhibitorio sobre la libido masculina el resultar de la exposición continuada a las hembras y qué recomienza la crianza de la actividad (Fernandez-Baca 1993), sin embargo, nutrición, gerencia y factores ambientales (temperatura, humedad relativa, la luz) o las señales olfativas puede influenciar los centros del sistema nervioso central que controlan reproductivo comportamiento (marrón 2000). 1.2.5 Fertilidad Bajo condiciones del acoplamiento natural, del embarazo y de las tarifas subsecuentes del parto siguiendo un solo el acoplamiento se ha divulgado como punto bajo (Sumar 1985) y menos eficiente que la otra especie de la granja (Wiepz y otros. 1985). Sin embargo, ha habido informes de 21 fuera de 28 (el 75%) llamas femeninas embarazadas después de dos acoplamientos 4- 8 horas de separado (Adams y otros. 1990), una tarifa del parto del 46% en llamas solo-acopladas (Condorena y otros. 1988) y 34 fuera de 70 hembras (del 49%) que conciben después de solo acoplar natural, sin importar el diámetro folicular ovárico (Vaughan y otros. en prensa). Estas tarifas comparan favorable con el concepto clasifica en el otro ganado doméstico y sugiere eso reproductivo inadecuado la gerencia, las deficiencias alimenticias y la endogamia contribuyen a la fertilidad baja (Parraguez y otros. 1997). La concentración de la esperma requerida para la fertilización y el embarazo acertados no se sabe, pero la deposición intracornual del semen del semen durante el copulation puede ser una adaptación a superar las concentraciones relativamente bajas de la esperma adentro ejaculates (marrón 2000). Para reducir al mínimo el número de acoplamientos por el concepto se ha recomendado para seleccionar a varones con tamaño testicular grande en la asunción que la relación directa entre el tamaño del testis y la esperma la producción en el otro ganado doméstico también ocurre en los camelids (Sumar 1983, Smith 1999c, marrón 2000, Galloway 2000). La longitud testicular mala (la longitud media de testes izquierdos y derechos) se correlaciona con el peso testicular (Galloway 2000) y se puede utilizar como los medios simples de determinar tamaño testicular en alpacas. La longitud 28
  • 29.
    testicular mala sepuede utilizar para estimar la probabilidad de la producción de la esperma adentro alpacas (tabla 1.5; Galloway 2000). Bravo y otros. (1995) describir un ensayo en con el cual las llamas masculinas los testes pequeños (3.0 x 1.9 centímetros) alcanzaron una tarifa del embarazo del 45%, mientras que los varones con testes más grandes (4.8 x 3.2) alcanzó una tarifa del embarazo del 75%. Pugh (1999) observó las llamas masculinas con los testes 3.5 x 2.9 centímetros alcanzados 21/30 de los embarazos (del 70%), mientras que los varones con testes más pequeños (2.5 x 2.2 centímetros) alcanzaron solamente 12/30 (los 40%) embarazos. Tabla 1.5. Desarrollo de la función testicular en alpacas con los testículos de diversos tamaños (Galloway 2000). El tamaño de cuerpo también se ha correlacionado con longitud testicular mala y sugiere que la nutrición es un factor importante en la determinación del tamaño testicular (Galloway 2000). La capacidad del comportamiento, del acoplamiento de Precocious (ningunas adherencias peno-preputial) y la producción de la esperma en añales y son también rasgos deseables en los programas de la selección (Sumar 1983, Galloway 2000). El número de acoplamientos se realizó en un día por una fertilidad de las influencias del varón. Bravo y otros. (1997d) observado que los alpacas masculinos criaron 2 o 4 veces por día alcanzaron una tarifa del embarazo del 29
  • 30.
    77%, mientras queésos criados 6 veces por día alcanzaron una tarifa del embarazo del 59%. Fue propuesto que las tarifas declinaron en respuesta al agotamiento de las reservas de la esperma (Bravo y otros. 1997d). El número de días consecutivos que los acoplamientos ocurren en también influencia la fertilidad (Bravo y otros. 1997d). Tiempo de Copulation disminuido sobre días de crianza consecutivos y el embarazado de los por ciento disminuido a partir de la 71% el el día 1 de la crianza, hasta el 50% de Day 8 y el 0% el el día 9 (Bravo y otros. 1997d). Tres a 4 acoplamientos por el día por 4 a 5 días no comprometen fertilidad en los alpacas masculinos (bravo 1995). 1.2.6 Longitud de Copulation Copulacion dura generalmente 20-25 minutos, con un radio de acción de 5-65 minutos (tabla 1.6). La longitud del copulation es determinada por el varón y afectada por la casta, la edad, la estación y la frecuencia del uso (Tibary y otros. 1999b). La presencia de otros camelids influenciará la longitud del copulation (Inglaterra y otros. 1971, Johnson 1989). Estudios de la demostración de los acoplamientos del prado que la duración media del copulation en manadas de la alpaca varía basado en las interacciones animales. Los varones en manadas sin otros varones pueden hacer un promedio de 20 minutos comparados con 15 minutos en manadas con varios varones; los varones que acoplan a hembras de un año pueden hacer un promedio de 15 minutos comparados con las hembras multiparous 22 minutos (Escobar 1984, Pollard y otros. 1991). La interrupción/la duración corta del copulation en manadas del multi-padre fue atribuida a luchar territorial masculino normal, pues los varones son vulnerables al ataque durante el acoplamiento (Escobar 1984). Knight y otros. (1992) que el copulation de la duración máxima no era siempre el primer acoplamiento cuando los varones se realizaron más de uno observados que se acoplaba por día pero otros ha observado que los acoplamientos subsecuentes son más cortos que el primer acoplamiento del día (Pollard y otros. 1991, Bravo y otros. 1997b, Vaughan 2001). Los varios estudios han demostrado acoplamientos para ser más largos en otoño que sueltan (Inglaterra y otros. 1971, Knight y otros. 1992, Pollard y 30
  • 31.
    otros. 1995). Nohay correlación entre la duración y la tarifa de acoplamiento del concepto (Tibary y otros. 1999b). Tabla 1.6. Duración del copulation en camelids. 31
  • 32.
    1.2.7 Características dela eyaculación La eyaculación ocurre temprano durante el copulation pues los embarazos se han observado después de acoplamientos de la duración de los minutos 5-8 (Fernandez-Baca y otros. 1970d, Vaughan y otros. en prensa) y 8 de 26 colecciones de la esperma tenía esperma en el plazo de 10 minutos del comienzo del copulation (Lichtenwalner y otros. 1996b). Lichtenwalner y otros. (1996a) observado que había 121.9 pulsos urethral del ± 61.0 por el copulation en un índice de 6 por minuto al describir la naturaleza de la eyaculación en llamas. Había 19 racimos (una tensión del cuerpo entero más 4-5 pulsos urethral) por el copulation, 20 segundos desea y el equivalente a aproximadamente 1cluster por minuto durante el copulation. Cada racimo era equivalente a una eyaculación distinta. Por lo tanto, había eyaculaciones distintas múltiples por el copulation prolongado. Había pocos pulsos urethral entre los racimos. Había 22 tensiones del cuerpo entero, 816 empujes pélvicos y 53 coloca de nuevo (que ocurrieron entre los racimos; Lichtenwalner y otros. 1996a). La emisión de la esperma ocurre en todas partes aumentos de la concentración del copulation y de la esperma con el tiempo (Lichtenwalner y otros. 1996b). Bravo y otros. (2002) observado que las contracciones urethral fueron distribuidas uniformemente a través del copulation, pero midió solamente un promedio de 40 en alpacas y 63 en las llamas (gama 11-132). 1.3 Colección De Semen Los varios métodos se han utilizado para recoger el semen de camelids para permitir el análisis del semen características (tabla 1.8). Es difícil recoger el semen debido a la postura de acoplamiento, la duración del copulation, la deposición intrauterina del semen y la naturaleza viscosa del ejaculate (Bravo y otros. 1994b, 2000a). El uso de las envolturas del intravaginal o los condones y las esponjas del intravaginal interfieren con la eyaculación normal y dan lugar 32
  • 33.
    a una duraciónmás corta del movimiento de acoplamiento, continuo del varón, a espumejear del semen y al daño de la esperma (San Martin y otros. 1968, Sumar 1983, Johnson 1989, McEvoy y otros. 1992b, 1994, bravo 1995). La creación de una fístula urethral requirió la cirugía delicada y la gerencia a largo plazo de la herida (von Kubicek 1974). La recuperación del semen de la vagina después del copulation y la aspiración epididymal no proporcionan el representante ejaculates (McEvoy y otros. 1994, bravo 1995). Las desventajas del electroejaculation incluyen el requisito para la sedación pesada o el anestésico general, orina la contaminación del semen, de la inhabilidad de determinar libido, de la concentración variable de la esperma y del bienestar publica (Calderon y otros. 1968, Sumar 1983, Johnson 1989, McEvoy y otros. 1994, Bourke y otros. 1995c, bravo 1995, 2002, Giuliano y otros. 2002). El uso de un vagina artificial (sistema de pesos americano) conjuntamente con o una hembra receptiva (Gauly y otros. 1996, Huanca y otros. 2001b), un maniquí (Garnica y otros. 1993, Bravo y otros. 1997a, b, Davalos y otros. 1999) o montaje halfdummy (Lichtenwalner y otros. 1996b) en camelids del americano del sur ha rendido el la mayoría tiempos representativos del copulation y comportamiento de acoplamiento en camelids. No hay contaminación de la orina del semen y el gravamen del comportamiento sexual es posible (Lichtenwalner y otros. 1996b). Por lo tanto, el método del sistema de pesos americano de colección del semen proporciona probablemente muestras del semen la mayoría del representante de natural acoplamiento. Un autor ha observado que composición del semen (ejaculate el volumen, la concentración de la esperma, el porcentaje de la esperma viva) varía perceptiblemente dependiendo de si utilizan a una hembra receptiva o a un maniquí con el sistema de pesos americano (Davalos y otros. 1999) sin embargo, otro ha observado que uso de un sistema de pesos americano con un maniquí o vivir-monta a varones constantes producidos de los resultados fue entrenado una vez (Adams y otros. 2001). El montaje simulado se construye de un bastidor de madera en la forma de una hembra recumbent, cubierta cerca una piel de la alpaca, con un agujero en la parte posterior para acomodar el sistema de pesos americano (Garnica y otros. 33
  • 34.
    1993, Lichtenwalner yotros. 1996b, Bravo y otros. 1997a). El sistema de pesos americano se puede construir de la pipa del PVC o del tubo de goma reforzado (25 - 30 centímetros de largo, diámetro de 5-7 centímetro) y alinear con un trazador de líneas del látex (cuadro 1.3; Lichtenwalner y otros. 1996b, Bravo y otros. 1997a). Los varios trabajadores han observado la importancia de poner una restricción alrededor del trazador de líneas del látex del sistema de pesos americano para simular la presencia de una cerviz (cuadro 1.4; Garnica y otros. 1993, bravo 1995, Bravo y otros. 1997a, Fowler y otros. 1998). Cuadro 1.3. Diagrama de una vagina artificial usada en los camellos del dromedario (Bravo y otros. 2000a). 34
  • 35.
    Cuadro 1.4. Diagramade una vagina artificial modificada usada para recoger el semen de los alpacas (Bravo y otros. 1997a). El agua caliente se coloca entre el trazador de líneas interno y el tubo externo (Garnica y otros del látex. 1993, Lichtenwalner y otros. 1996b, Bravo y otros. 1997a). La temperatura del sistema de pesos americano debe estar entre el °C 38-40 (Von Baer y otros. 1999, Bravo y otros. 2000a) y °C 45 (Garnica y otros. 1993, 1995). El sistema de pesos americano se envuelve en un cojín de la calefacción (bravo 1995, Bravo y otros. 1997a, Fowler y otros. 1998) o el agua caliente es bombeado continuamente con él (Lichtenwalner y otros. 1996b) para mantener temperatura. Acoplando entrenan a los varones para montar un maniquí primero exponiéndolos a las hembras receptivas y pares de alpacas como estímulo (Garnica y otros. 1993, 1995, Bravo y otros. 1997a, b). No todos los varones ejaculate en un sistema de pesos americano en cada tentativa. Completo ejaculates fueron recuperados en 108 de 132 tentativas (el 82%) en las llamas (Aller 2001) y 203 de 272 tentativas (el 75%) en los dromedarios (Deen y otros. 2003). 1.3.1 Análisis bioquímico del semen El análisis bioquímico del plasma seminal se proporciona en la tabla 1.7. El ácido cítrico (el medio 4.3 mg/dL, se extiende 3.1-6.0 mg/dL) y las concentraciones de la fructosa (el medio 5.0 mg/dL, se extiende 3.9-6.6 mg/dL) en semen de la alpaca fueron encontrados para ser independiente de la edad y 35
  • 36.
    bajar mucho comparócon los toros, espolones, verracos, sementales y camellos del dromedario posiblemente debido a una carencia de las vesículas seminales (Garnica y otros. 1995). Las concentraciones de la fructosa alta y del ácido cítrico se han observado en los camellos (ElWishy y otros. 1988). Las altas concentraciones de la glucosa pueden servir como la fuente de energía primaria para la esperma (Garnica y otros. 1995). Los datos de los camellos de Bactrian y de los alpacas indican que el semen del camelid contiene un factor que induzca la ovulación. El plasma seminal indujo la ovulación en hembras después de la colocación en la vagina o el útero sin el acoplamiento (Chen y otros. 1985, Rios y otros. 1985, Xu y otros. 1985, Sumar 1994) o por la inyección intramuscular (Chen y otros. 1985, Pan y otros. 1992, Adams y otros. 2001). La composición bioquímica del factor es desconocido (Rios y otros. 1985) pero es diferente a GnRH (Zhao y otros. 1992, Paolicchi y otros. 1999). El comportamiento de acoplamiento puede tener cierto efecto aumentativo en las ovulaciones semen-inducidas (Fernandez- Baca y otros. 1970d, Chen y otros. 1985). Contrario a estos resultados, Anouassi y otros. (1992) encontrado eso aunque la inseminación del semen entero indujo la ovulación en algunos camellos del dromedario, ovulación y las tarifas del embarazo eran perceptiblemente más altas en ésas inseminadas y acopladas artificial por a vasectomised a varón. Tabla 1.7. El análisis bioquímico del semen del camelid (Garnica y otros. 1993, 1995, Bravo y otros. 2000a). 36
  • 37.
    1.3.2 Características delsemen El individuo ejaculates consiste en el bajo volumen, semen de gran viscosidad que contiene una esperma baja concentración (tabla 1.8). Hay variación considerable en características del semen entre diversa alpaca y los varones de la llama, que pueden plantear un problema en la obtención de calidad aceptable ejaculates de algunos varones (Gauly y otros. 1996, Von Baer y otros. 1999, Raymundo y otros. 2000). Volumen del semen, esperma la concentración, el porcentaje de la esperma viva, el porcentaje de la esperma normal, y la duración del copulation se han observado para variar entre varones de la alpaca, sin embargo, la oscilación y el pH no diferenciaron entre los varones (Bravo y otros. 1997b). El volumen de cada uno ejaculate en promedios de los alpacas 1-2 ml y se extiende de menos de 1 ml hasta aproximadamente 7 ml (von Kubicek 1974, Garnica y otros. 1995, Fowler y otros. 1998). Los volúmenes son generalmente más bajos cuando el semen es recogido por el electroejaculation que con uso de un sistema de pesos americano (Tibary y otros. 1999b). El semen se describe generalmente como lechoso o color crema en el color (Garnica y otros. 1993, Bravo y otros. 1997a, b) dependiendo de la concentración de la esperma (Tibary y otros. 1999b). El semen de la alpaca consiste en el 11.5% esperma y líquido seminal del 88.5% por el volumen (Garnica y otros. 1993). La gravedad específica del semen de la llama es 1.1 g/ml del ± 0.0 (Lichtenwalner y otros. 1996b). El semen de la alpaca es muy viscoso (Garnica y otros. 1993, Bravo y otros. 1997a, b), haciéndolo difícil de dirigir (e.g. el medir con una pipeta, manchándose en una diapositiva), difícil de determinar parámetros tales como concentración de la esperma y motility de la esperma, y difícil de diluir (Garnica y otros. 1993, Tibary y otros. 1999b). La viscosidad puede ser calculada indirectamente midiendo la distancia de un volumen sabido del semen que se dibuja hacia arriba de una diapositiva de cristal por una pipeta (Bravo y otros. 2000b). El grado de viscosidad varía entre los varones (Tibary y otros. 1999b) y las disminuciones con el aumento del número de ejaculates en cualquier día 37
  • 38.
    (Bravo y otros.1997b). El semen licueface 23 horas (gama 8-30 horas) después de la colección (Bravo y otros. 1994b). La concentración de la esperma varía de aproximadamente 30.000 hasta 150 millones por el ml en los alpacas (bravo 1995, Garnica y otros. 1995, Gauly y otros. 1996). Tales variaciones amplias se atribuyen a las diferencias en varones, métodos de la colección del semen y ejaculate el número (Tibary y otros. 1999b). La concentración es determinado después de la licuefacción del semen, usando un hemocitómetro (Bravo y otros. 1997a). El pH del semen del camelid se extiende entre 7.2 y 8.6 (Bravo y otros. 1997a, Von Baer y otros. 1998). El movimiento de la esperma del camelid en semen no diluido es tan oscilatorio lo más mejor posible descrito como la mayoría de la esperma el movimiento hacia adelante y hacia atrás y solamente 5 a 10% de la esperma individual progresa activamente remite (Neely 1993, Bravo y otros. 1997a, 2000b). El aumento de la esperma su motility progresivo como el ejaculate se convierte en más líquido (Tibary y otros. 1999b). La contractilidad muscular y el movimiento ciliary de la zona reproductiva femenina son probablemente mecanismos más importantes del transporte de la esperma durante la transferencia de la esperma del sitio de la deposición en el útero al sitio de la fertilización en el oviducto, pero el motility de la esperma es esencial para el paso con la ensambladura y la penetración uterotubal de las células del cúmulo y el pellucida del zona del ovum (Hafez 1993). Algunos trabajadores han observado que ejaculates no se fracciona en alpacas y llamas así que es el semen uniformar en calidad del comienzo al final del copulation (Sumar 1983, Moscoso y otros. 1999). Otros, sin embargo, han observado que concentración de la esperma, porcentaje de la esperma oscilatoria, porcentaje de la esperma viva y porcentaje de la esperma normal creciente con tiempo durante un solo copulation en los alpacas y las llamas (Lichtenwalner y otros. 1996b, Bravo y otros. 2002). 38
  • 39.
    Bravo y otros.(1997b) observó que vive la concentración de la esperma, volumen exclamatorio, por ciento, los por ciento normales y motility, disminuido con el aumento del número de las eyaculaciones/día pero el pH no (Bravo y otros. 1997b, bravo 2002). Volumen exclamatorio, concentración de la esperma, porcentaje de la esperma viva y duración de el copulation era diferente en diversos días de la colección del semen (Bravo y otros. 1997b). Tabla 1.8. Características del semen del camelid. 39
  • 40.
  • 41.
  • 42.
  • 43.
  • 44.
    1.3.3 Morfología dela esperma La esperma consiste en una cabeza, un midpiece y una cola (Hafez 1993). La esperma es el μm 50 largo (μm de la cabeza 5.3, atan el μm 37) en las llamas (tabla 1.9; Bravo y otros. 2000a). La cabeza es elíptica más bien que ovoid (Tibary y otros. 1999b). 1.3.4 Transporte de la esperma en la zona reproductiva femenina Pocos estudios están disponibles en el transporte de la esperma en el siguiente reproductivo femenino de la zona deposición intrauterina del semen en los camelids (Bravo y otros. 1996b). No aparece ser diferencia en los números de la esperma que viajan encima de los cuernos uterinos izquierdos y derechos (Bravo y otros. 1996b). A pesar de que los 98% de embarazos se llevan adentro el cuerno uterino izquierdo, las ovulaciones ocurren con frecuencia igual de ambos ovarios (Fernandez-Baca y otros. 1973). Un alto porcentaje de la esperma (el 77%) se encuentra en ensambladuras uterotubal o en los oviductos 6 horas después de acoplar en la alpaca. Noventa y nueve por ciento de esperma han entrado en los oviductos 12 horas después de acoplar, y los 33% están en el istmo en anticipación de fertilización. La concentración máxima de la esperma en cada istmo ocurre 18 horas después de acoplar. las ensambladuras uterotubal son los sitios del almacenaje de la esperma 24-30 horas poste-que se acoplan. El endometrio es edematoso, hyperaemic e inflamado entre 6 y 30 horas de poste-copulation (Bravo y otros. 1996b). No se sabe nada sobre longevidad de la esperma del camelid, sin embargo, la ovulación ocurre aproximadamente 30 horas después del estímulo de acoplamiento en los alpacas (Huanca y otros. 2001a), así que la supervivencia de la esperma es ciertamente más largos que esto. Probablemente, el capacitation de la esperma y la activación acrosome ocurre durante este período, posiblemente cuando alcance de la esperma el istmo (Hafez 1993). 1.4 Patología Los problemas comúnmente divulgados en los camelids masculinos incluyen la carencia de o la libido reducida, exclamatoria problemas e infertilidad 44
  • 45.
    inexplicada, pero sudesconocido exacto del restos de la etiología (Tibary y otros. 1999b). El desequilibrio hormonal, la tensión de calor, los factores debilitantes de la enfermedad, del overuse, de la vejez o genéticos pueden todo contribuir (Tibary y otros. 1999b). 1.4.1 Anormalidades de los testes Los defectos testiculares incluyendo hipoplasia, cryptorchidism y los testes ectópicos se han divulgado en los camelids (tabla 1.10; Sumar 1983, ElWishy 1988, Johnson 1989, Bravo y otros. 1994b, Galloway 2000) y se consideran como averías genéticas, aunque esto tiene todavía ser probada (Sumar 1983). La hipoplasia testicular es el defecto testicular más común observado en los alpacas (Sumar 1983). En un estudio peruano, 10% (385/3807) de todos los varones examinados exhibió una cierta forma de hipoplasia (tabla 1.10; Sumar 1983) mientras que en un estudio australiano, varones del 5% (4/73) exhibió la hipoplasia testicular (Galloway 2000). La hipoplasia puede ser bilateral o unilateral, y se extiende de suave (los grados que varían de actividad spermatogenic) a severo (las células de Sertoli solamente) histológico (Sumar 1983, ElWishy 1988, Galloway 2000). Los testes de la alpaca de Hypoplastic pesan 7-12 g y son más firmes que normal (Sumar 1983). Los testes de Cryptorchid son pequeños, suave, undescended los testes que se sitúan generalmente cerca del anillo inguinal interno (Sumar 1983). Los testes izquierdos se afectan más comunmente que los testes derechos (Sumar 1983, Perkins y otros. 1996). Los testes ectópicos se sitúan fuera del saco scrotal perineally, en el muslo o el lateral intermedio al pene (Sumar 1983). Los testes ectópicos son pequeños (8- 12 g en peso), flácidos y mas comunes en el lado izquierdo (Sumar 1983). 45
  • 46.
    En una examinaciónextensa del material post mortem, Sumar (1983) observó el diámetro de 1-5 milímetro estructuras enquistadas unilaterales y bilaterales en el jefe del epidídimo y/o en el cuerpo del testis. Se piensa que los quistes están derivados de los conductos paramesonephric (Sumar 1983). Los problemas testiculares adquiridos en los camelids masculinos incluyen el trauma testicular secundario a luchar y edema penetrante y scrotal y producción y libido reducidas de la esperma secundarios a la tensión de calor (Johnson 1989, Fowler y otros. 1998, Smith 1999c). Los camelids del americano del sur poseen un escroto no-oscilante y aparecer adaptado mal a la termorregulación testicular sensible al calor (Pugh 1999). 46
  • 47.
    La termorregulación sepuede complicar por la grasa scrotal excesiva en los varones obesos (Pugh 1999). La infertilidad debido a la tensión de calor es generalmente temporal, y la fertilidad vuelve generalmente 45-60 días después de la tensión inicial (Johnson 1989, Pugh 1999). Las anormalidades de Penile incluyen el hypospadia, el pene del sacacorchos, el frenulum persistente y el daño penile secundarios al enredo del pelo. Las anormalidades de Preputial incluyen los rasgones preputial, el prolapso, las restricciones, los hematomas, las adherencias, la infestación parásita y la hinchazón secundarios a la irritación o a la ruptura de la uretra (Johnson 1989, carril 1999, Smith 1999c, Tibary y otros. 1999b). 1.4.2 Anormalidades de la esperma Las varias anormalidades se han divulgado en esperma del camelid, con variaciones en frecuencia entre especie (tabla 1.11). Todas las anormalidades de la esperma encontradas en el otro ganado doméstico se pueden encontrar adentro camelids (Tibary y otros. 1999b). Las anormalidades principales incluyen tailless, pequeño, grande, el pyriform, afilar y las cabezas dobles (Bravo y otros. 1997a, b, Flores y otros. 2002). Los midpieces anormales de la esperma incluyen midpieces gruesos, gotitas próximas y hojas mitochondrial desiguales o ausentes (Lichtenwalner y otros. 1996b, Von Baer y otros. 1999). Las anormalidades de la cola incluyen las colas dobladas, dobles, en espiral, enroscadas (Lichtenwalner y otros. 1996b, Bravo y otros. 1997a, b, Giuliano y otros. 2002). Bravo y otros. (1997b) divulgado que el porcentaje de las cabezas y de las colas anormales de la esperma aumentó con la frecuencia de la colección del semen en cualquier día, sin embargo, las anormalidades de la esperma no cambiaron en diversos días de la colección. No se sabe que qué efectúa las anormalidades de la esperma tienen en la fertilidad (Tibary y otros. 1999b). Flores y otros. (2002) observó un alto número de la esperma anormal adentro ejaculates recogió 45 y 90 días después de acoplar anterior. Había dos veces 47
  • 48.
    tanta esperma taillessque las cabezas adentro ejaculates recogido después de 90 días de resto sexual comparados con 45 días. TABLA 1.11 48
  • 49.
  • 50.
    1.5 Inseminación Artificial 1.5.1Licuefacción, dilusión, extensión y el congelar del semen La tabla 1.12 enumera los varios métodos que se han utilizado para licuefacer, para diluir, para extender y para congelar el semen del camelid, y sus tarifas respectivas del éxito. La primera dificultad en la manipulación del semen de la alpaca lo está quitando del sistema de pesos americano y está licuefaciendo el ejaculate. El semen licueface naturalmente 23 horas (gama 8-30 horas) después de la colección (Bravo y otros. 1994b). Varios métodos de licuefacción del semen, tal como el uso de las enzimas (Callo y otros. 1999, Bravo y otros. 2000a, b) y el revolvimiento mecánico (un Niasari-Naslaji, la comunicación personal), han sido trialled con un cierto éxito para simplificar la dirección y para permitir la dilusión, extensión y el congelar del semen. El Collagenase, el fibrinolysin, el hyaluronidase y el trypsin todos se han utilizado para reducir la viscosidad del semen del SACO (Bravo y otros. 2000b). El Collagenase tenía al parecer el menos efecto en matar a la esperma, no obstante todas las enzimas dañaron la parte anterior del acrosome en 6 8% de esperma (Bravo y otros. 2000b). La viabilidad adecuada de la esperma se debe mantener durante el semen que dirige y que procesa para alcanzar embarazos. La longevidad de la viabilidad de la esperma es mejorada probablemente mediante almacenaje en el °C 4-5 comparado con temperaturas más altas debido a la actividad metabólica reducida (Simson 2001). Cuando el semen fue almacenado en el °C 35, el motility disminuyó casi linear con tiempo de almacenaje: después 30 de los minutos 42% la esperma era motile, después de esperma de 1 hora el 33% eran motile, después de 2 horas de esperma 16% eran motile, después de 3 horas de esperma del 5.5% eran motile y después de 6 horas la esperma del solamente 1.8% seguía siendo motile (Raymundo y otros. 2000). En caballos, el refrescarse rápido del semen a partir del °C el 37 al °C 20 no afecta al contrario motility de la esperma, sin embargo, las tarifas que se refrescan a partir del °C el 20 al °C 4-8 son más críticas. La recomendación actual es refrescar el semen en un índice de 0.5 a 1.0 C por minuto para maximizar el motility (Simson 2001). La esperma conserva un motility mejor cuando está 50
  • 51.
    almacenada en el°C 4-6 comparó con el °C 0-2 usando los suplementos a base de leche (Batellier y otros. 2001). La tensión Oxidative es una de las causas primarias de la deterioración de la esperma (Batellier y otros. 2001). El retiro del aire oxígeno-rico mejora supervivencia de la esperma en el oC 4 (Katila 1997). Los suplementos del semen contienen los compuestos que protegen la esperma fuera de la zona reproductiva y durante el enfriarse y el congelar (Simson 2001). Las lipoproteínas, tales como ésas encontradas en yema y leche de huevo, protegen la esperma contra choque frío estabilizando las membranas celulares. La energía es proporcionada a la esperma por la adición de substratos metabolizables tales como glucosa, fructosa o lactosa. Los antibióticos se pueden agregar a los suplementos del semen al crecimiento bacteriano del control (Simson 2001). La presión osmótica (300-400 mOsm/L) y el pH de suplementos necesitan ser controlados para maximizar la supervivencia de la esperma (Simson 2001). La dilusión del semen con el suplemento varía con la concentración de la esperma del ejaculate. Más las muestras diluídas del semen pueden ser 1:1 diluido (v/v) mientras que más muestras concentradas pueden ser 1:2 diluido o 1:3 con el suplemento. Puede ser ventajoso agregar el suplemento de 1-2 ml al sistema de pesos americano antes de la colección del semen a la preservación de la esperma de la ayuda durante el copulation prolongado (pers de Niasari- Naslaji. comm.). Los factores de la esperma que son importantes para la fertilización incluyen motility progresivo, metabolismo normal, y las membranas celulares intactas, las enzimas acrosomal y los nucleoproteins (Simson 2001). Estos factores se deben preservar durante congelar acertado del semen. El congelar puede dañar la esperma alterando la estructura de la membrana, el choque osmótico, la deshidratación, la toxicidad de la sal, la formación de hielo intracelular, la fluctuación en volumen celular/el área superficial o el desequilibrio metabólico (Simson 2001). El bravo (2002) demanda que el almacenador intermediario de 51
  • 52.
    Tris combinado conla yema de huevo es la combinación más prometedora para mantener viabilidad de la esperma durante la dilusión, refrigeración, congelando y deshelando del semen. Los trabajadores numerosos han procurado el semen del camelid que congelaba usando una dilusión de 2 pasos con glicerol, y retardan congelar en el vapor del nitrógeno líquido (Bravo y otros. 1996c, Valdivia y otros. 1999, Bravo y otros. 2000a). El deshelar de paja está en un baño de agua en el °C 37-40 por los períodos que se extienden a partir de segundos a los minutos (tabla 1.12). El plasma seminal es al parecer importante en las respuestas inmunológicas y fisiológicas normales a la inseminación, al capacitation y a la reacción acrosome (Rigby de la esperma en 2001 eléctrico). Sin embargo, los embarazos se han establecido en las yeguas inseminadas con el semen plasma-libre enfriado, extendido (leche desnatada, suplemento de la glucosa) y seminal (Rigby y otros. 2001). La presencia de una cantidad pequeña de plasma seminal o de la adición de una solución del electrólito (eg. El medio de Tyrode) podría optimizar motility de la esperma después de la centrifugación, de la extensión y de enfriarse del semen en los caballos (Rigby y otros. 2001). 52
  • 53.
  • 54.
  • 55.
  • 56.
  • 57.
  • 58.
    1.5.2 Época dela inseminación en lo referente a la inducción de la ovulación La ovulación y la inseminación síncronas se requiere para alcanzar altas tarifas del concepto. En una cierta especie, las altas tarifas del concepto ocurren cuando la esperma está en el oviducto momentos antes de la ovulación (Hafez 1993). Si la esperma se coloca en la zona demasiado temprano, perderán viabilidad antes de la ovulación, y si la esperma se coloca en la zona después de la ovulación, el ovum pueden perder viabilidad antes de que la fertilización pueda ocurrir (Hafez 1993). A un estudio temprano, la parte más elevada de ova fertilizado dio lugar cuando la inseminación artificial intrauterina en alpacas era 35 a 45 horas después de que la inducción de la ovulación que usaba cualquiera a vasectomised el hCG masculino o intramuscular (Calderon y otros. 1968). Más recientemente, el AI que 24-36 horas después de la inducción de la ovulación han dado lugar al concepto aceptable clasifica (la tabla 1.13; Pacheco 1996, Quispe 1996, Apaza y otros. 1999). 1.5.3 Números de la esperma requeridos por dosis del IA La concentración de la esperma requerida para la fertilización y el embarazo acertados no se sabe en los camelids (marrón 2000). Las ovejas requieren 120-125 millones de espermas frescas usando el AI transcervical para aceptable el concepto clasifica, pero solamente 20 millones congelados/deshelaron la esperma cuando se utiliza el AI intrauterino (marrón 2000). Los embarazos han dado lugar a alpacas y a llamas inseminando 8-26 millones de espermas transcervically (la tabla 1.13; Quispe 1996, Aller y otros. 1999b). Deposición del semen de Intracornual del semen durante el copulation en camelids puede ser una adaptación para superar las concentraciones relativamente bajas de la esperma (marrón 2000). 1.5.4 Método de entregar la esperma en el útero Bravo y otros. (1997a) comparó las técnicas del AI transcervical y laparoscopic en alpacas usando el semen fresco, no diluido y alcanzó tarifas similares del concepto. Transcervical AI aparecería ser un procedimiento más simple, menos-invasor, no obstante tiene limitaciones de la capacidad rectal/pélvica de permitir la estabilización manual transrectal de la cerviz al pasar la pipeta del AI 58
  • 59.
    a través dela cerviz, y la dificultad de localizar el OS externo de la cerviz durante este procedimiento. El bravo (2002) describe la necesidad de la paciencia y de la destreza de pasar una pipeta a través de la cerviz en el útero. Laparoscopic AI requiere el alojamiento de la hembra en un cajón, la sedación con o sin un anestésico general, y el equipo laparoscopic costoso. 59
  • 60.
  • 61.
    1.5.5 Inducción dela ovulación Los métodos de inducir la ovulación en alpacas se han discutido a fondo a otra parte (Vaughan 2001). Inyecciones intramusculares del buserelin de 8 μg (Bourke y otros. 1992b, 1995a), 500-750 iu de hCG (Adán y otros. 1989) y LH del magnesio 2-5 (Taylor y otros. 2000, Huanca y otros. 2001) se ha utilizado para inducir constantemente la ovulación aproximadamente 30 horas después de la inyección. 1.6 Conclusiones y Punterías en el Actual Proyecto La revisión precedente ha descrito la fisiología reproductiva de los camelidos masculinos, con particular referencia a alpacas en lo posible. La revisión concluyó con una sección en el conocimiento actual de la preservación del semen y de la inseminación artificial en camelidos. La puntería primaria de este proyecto era desarrollar la tecnología para la inseminación artificial en alpacas en asociación con tarifas aceptables del embarazo después del AI. El proyecto fue analizado en 5 pasos para alcanzar esta puntería: 6. Colección constante y confiable de semen 7. La caracterización del semen para permitir la selección de conveniente ejaculates para la preservación 8. El enfriarse del semen de la alpaca 9. El congelar del semen de la alpaca 10. Inseminación artificial de hembras. Cada uno de los jalones es representado por un capítulo separado (capítulos 2, 3, 4, 5 y 6 respectivamente) en este informe. 61
  • 62.
    2. COLECCIÓN DESEMEN DE LA ALPACA 2.1 Introducción Los varios métodos de colección del semen se han procurado en camelids y se han descrito (sección 1.3). El trabajo previo ha demostrado que el electroejaculation es difícil para el operador y agotador para el animal. Electroejaculation bajo anestesia no es apropiado para la colección rutinaria del semen para la inseminación artificial. La experiencia limitada con el masaje de los órganos genitales internos ha indicado que esto no era también un acercamiento conveniente para la alpaca (DBG inédito). La colocación de una vagina artificial dentro de un mannequin para recoger los permisos del semen que acoplan comportamiento en los varones de la alpaca similares a ése considerado durante el acoplamiento natural y produce probablemente ejaculates que se asemejan a ésos producidos durante el acoplamiento natural. Este método de colección del semen también permite la evaluación de la capacidad de acoplamiento física. La colección de semen con la vagina artificial era el único método estudiado. 2.2 Materiales y Métodos 2.2.1 Construcción de un mannequin Construyeron a un mannequin de madera construido para contener una vagina artificial según las dimensiones en el cuadro 2.1 CA. Los pedazos seccionados transversalmente fueron hechos de la madera de 5 capas y cubiertos con los listones anchos de la madera dura de 35 milímetros. La sección de la cabeza/del cuello fue hecha de un pedazo sólido de madera del pino. El inclinarse, veeshaped el estante fue colocado entre el `A de las costillas' y el `B' para llevar a cabo el sistema de pesos americano (cuadro 2.2 a). Cubrieron al 2.0 Construyeron y fueron cubierto al mannequin de madera del resumen A con una alpaca bronceada piel y cabido con una vagina artificial. Éstos fueron modificados hasta que eran satisfactorios para la colección constante y confiable de semen de alpacas. Entrenaron a los varones para acoplarse con el mannequin. Los componentes del comportamiento de acoplamiento fueron definidos. Aplicación de la fuerza centrífuga a la vagina artificial después de que la eyaculación fuera requerida para maximizar la producción de semen. 62
  • 63.
    mannequin en laespuma de alta densidad y una piel bronceada de la alpaca (cuadro 2.2 b). Figure 2.1 (a-c). Dimensions of the wooden alpaca mannequin. 63
  • 64.
    Figure 2.2a. Alpacamannequin from beneath showing shelf on which the artificial vagina is placed. Figure 2.2b. Completed alpaca mannequin sitting on non-slip mat. 64
  • 65.
    2.2.2 Construcción deuna vagina artificial Una vagina artificial diseñada para el uso en ovejas fue utilizada para recoger el semen en el proyecto actual (cuadro 2.3; Pty pacífico Ltd, Victoria del veterinario). Un trazador de líneas del látex (300 milímetros desean x diámetro de 50 milímetros; Pty Ltd, Victoria de los guantes industriales de Deco) fue colocado dentro del sistema de pesos americano y asegurado en cada extremo con dos vendas elásticos #34 heridas sobre 4 veces cada uno (cuadro 2.4). Una cerviz artificial construida de la espuma tubular (identificación de 28 milímetros, 40 milímetros OD, 30 milímetros de largo; El caucho de Clark, Victoria) primero fue colocado sobre el cono de la colección aproximadamente 5-10 centímetro del extremo estrecho y asegurado en lugar con una venda elástico. El cono de la colección con el tubo unido de la colección de 15 ml (Falcon®, Becton Dickinson) después fue colocado sobre un final del sistema de pesos americano y cubierto en espuma de alta densidad. El sistema de pesos americano y el cono enteros fueron envueltos en un cojín eléctrico del calor (40 centímetros x 30 centímetros; 230 V, 50 W) cuál fue sostenido en lugar usando 2 vendas elásticos. La vagina artificial fue asegurada sobre el estante del mannequin que usaba las correas de Velcro®. Los conos de la colección hechos de diversos materiales fueron examinados para establecer qué cono era lo más menos posible tóxico a la esperma. Los tubos que recogen cónicos unidos al extremo del cono se hacen del poliestireno rígido (Falcon®, Becton Dickinson), un producto que se ha probado para ser no-citotóxico y no-pyrogenic (O' Leary, Critchlow y otros. 1989). Cientos y cincuenta ml de agua caliente (oC aproximadamente 60) fueron puestos entre el sistema de pesos americano y el trazador de líneas del látex vía la válvula en el aire AV. fueron bombeados en el sistema de pesos americano en un colmo de presión bastante para borrar el lumen del sistema de pesos americano pero todavía para permitir la penetración fácil por un dedo. Una cantidad pequeña de lubricante non-spermicidal (KY®, Johnson y Johnson) fue puesta alrededor de la abertura externa del sistema de pesos americano antes de la atadura al mannequin. 65
  • 66.
    El cono dela colección y el tubo de la colección fueron protegidos contra contacto directo con el cojín de la calefacción usando un tubo de alta densidad de la espuma para prevenir la exposición del semen ejaculated a las temperaturas supraphysiological (es decir oC mayor que 38) que podrían acelerar muerte de la esperma. La temperatura dentro del tubo de la espuma cerca del punto del contacto con el sistema de pesos americano era el oC aproximadamente 35 y hacia el sitio de la cerviz estaba en la gama del oC 22 a 25, como medido el usar de un termopar. Figure 2.3. Dimensions of the artificial vagina used with alpacas. 66
  • 67.
    Figure 2.4. Artificialvagina prior to placement inside the wooden mannequin. The blue foam cone is placed over the collection cone and tube then the AV is wrapped up in the electric heat pad. 2.2.3 Entrenamiento de los varones de la alpaca para montar al mannequin y para utilizar el artificial vagina Diversos varones de la alpaca exhiben diversos niveles de la libido y de la experiencia sexual, y diversos métodos por lo tanto requeridos de entrenamiento para acoplar al mannequin. Dos métodos de confianza de entrenar a un varón para montar y para acoplar a un mannequin cabido con un sistema de pesos americano para permitir con éxito la colección del semen eran convertido. El entrenamiento de varones y la colección de semen fueron realizados después de las pautas precisada en el código de la práctica australiano para el cuidado y el uso de los animales para los propósitos científicos 1997 y recibieron la aprobación del comité australiano del ética del animal de laboratorio de la salud animal. El área seleccionada para los varones del entrenamiento fue abrigada de los elementos, tenía una superficie conveniente (alfombra del exterior para asegurar el pie antideslizante y para reducir la cantidad de contaminantes introducidos adentro al sistema de pesos americano durante el intromission), 67
  • 68.
    estaba libre delas distracciones para el varón (eg. perros, fuertes ruidos) y cerca de una fuente de alimentación (cuadro 2.5). El comportamiento de acoplamiento del varón fue observado y descrito en cinco varones una vez que fueran entrenados para montar al mannequin. La duración de acoplamiento fue medida, al minuto más cercano, a partir del tiempo que el varón montó a mannequin hasta que el varón primero estaba parado para arriba o se retiró su pene del sistema de pesos americano para más de un minuto. Cuando el semen era recogido para procesar los acoplamientos fueron terminados en aproximadamente 20 minutos, si la alpaca todavía fue montada para evitar la deterioración del semen en el ambiente artificial de la vagina. La relación entre la duración de acoplamiento dentro de ese período minucioso 20 y el intervalo en medio ejaculates fue examinada en un varón. Un método de quitar el semen del sistema de pesos americano fue ideado. 2.2.4 Statistical analyses Descriptive statistics were obtained using Minitab® for Windows Release 12.1 and Microsoft® Excel 97. A linear regression was performed on mating duration (y) vs interval between collections (x). Statistical significance was set at P < 0.05 and results presented as means + SEM. 68
  • 69.
    2.3 Resultados 2.3.1 Construcciónde un mannequin Durante los primeros tiempos del proyecto, modificaron al mannequin varias veces de optimizar postura del varón cuando está montado en el mannequin. Los cuadros 2.1 y 2.2 demuestran el diseño final alcanzado. 2.3.2 Construcción de una vagina artificial La temperatura del sistema de pesos americano del grado óptimo extendió a partir del 48 al oC 52. Los alpacas masculinos eran renuentes penetrar Sistema de pesos americano cuando la temperatura del sistema de pesos americano era menos de el oC 45 el oC o más de 55. En los primeros tiempos del proyecto cuando no se utilizó ninguna cerviz artificial los alpacas masculinos constantemente retiró y reinsertó el pene y aparecía incómodo. Cuando la cerviz fue agregada a el sistema, comportamiento que servía vino asemejarse a eso considerada en servicio natural. 69
  • 70.
    Los conos dela colección hechos de diversos materiales fueron investigados para establecer qué cono era lo más menos posible tóxico a la esperma (tabla 2.1). Los conos del polietileno dieron los mejores resultados en términos de actividad de la esperma en la examinación inicial. Fueron construidos de Krutex Gloves® sensible estupendo (Kruuse, Dinamarca) usando a sellador del calor. Una forma cónica produjo menos dobleces del plástico en el sitio de la cerviz y los 41 artificiales por lo tanto menos trauma a la extremidad del pene (según lo evidenciado por los erythrocytes en el semen). Los varones penetrarían solamente un sistema de pesos americano cabido con un trazador de líneas del látex, no un trazador de líneas del polietileno. Este sistema de la preparación de la vagina artificial era la colección establecida de 150 del excedente más tentativas. Tabla 2.1. Diversos conos de la colección trialled con la vagina artificial. El material conocido del fabricante del cono lubricó % activos esperma Guantes industriales Pty de Deco del cono de la colección de las ovejas Ltd, Victoria látex no 0 Condón Ansell, látex sí 0 de Chekmate de Victoria Condón Ansell, látex no 0 de Chekmate de Victoria Condón femenino la Female Health Company, Illinois poliuretano sí 0 Productos alegres del bolso alegre de Australia, NSW polietileno ningún 0-80* Krutex modificado estupendo guante sensible Kruuse, polietileno de Dinamarca ningún 0-80* * Otros factores eran responsables de esperma baja que la actividad en alguno ejaculates. La actividad de la esperma fue preservada mejor usando estos conos de la colección. 70
  • 71.
    2.3.3 Entrenamiento delos varones de la alpaca para montar al mannequin y para utilizar el artificial vagina 2.3.3.1: Método 1 de machos que han acoplado previamente a hembras Colocaron al mannequin en la yarda media de tres usados rutinariamente para acoplarse y adyacente a una yarda de hembras receptivas. Colocaron a un varón y a una hembra receptiva cada uno en las 2 yardas externas y permitido para acoplarse naturalmente. Funcionaron al aprendiz-varón más allá del grupo de hembras receptivas para estimularlo sexual. A lo después colocaron en la yarda media y se permitieron montar y acoplar al mannequin (Cuadro 2.6). Este método fue utilizado para recoger el semen de los varones que realizaban servicios naturales regulares mientras que aparecía que bastante estímulo sexual fue proveído por las hembras receptivas y los pares de acoplamiento cerca para motivar al aprendiz-varón para acoplar al mannequin. La respuesta de estos varones estaba generalmente inmediato. Para entrenar a un varón para acoplar al mannequin en ausencia de hembras receptivas y/o los pares de acoplamiento de los alpacas, el proceso del entrenamiento descrito arriba fueron repetidos varias veces sobre varios días. entonces colocaron al aprendiz-varón en la yarda con el mannequin con las hembras receptivas en un adyacente yarda, pero sin los acoplamientos naturales que ocurren cerca. Este proceso fue repetido varias veces encima varios días. Entonces se permitió al aprendiz-varón acoplarse con el mannequin en ausencia de hembras receptivas y pares naturalmente de acoplamiento. Se prohibió al aprendiz-varón ninguna acoplamientos natural durante el entrenamiento. 2.3.3.2: Método 2 de machos virginales Varones que no habían realizado previamente un acoplamiento natural diferenciado en su buena voluntad de acoplar maniqui debido a las variaciones en libido y conocimiento natural de cómo acoplar a una hembra. Era posible entrenar a un varón virginal para acoplar a un mannequin permitiendo que él observe a varón experimentado el acoplar de a mannequin como en el método 1 y después permitir al varón virginal en la yarda con el mannequin después quitar al varón experimentado. Sin embargo, no todos los varones virginales 71
  • 72.
    sabían al copulatecon mannequin después del estímulo sexual visual y auditivo solamente. Se permitió al varón aprendiz-virginal por lo tanto montar a una hembra y a un compañero receptivos una vez naturalmente. En un día subsecuente, colocaron al aprendiz-varón en una yarda con un mannequin, al lado de una yarda contener a hembras receptivas. El aprendiz-varón montó a mannequin y ejaculated el semen en Sistema de pesos americano. Quitaron a las hembras receptivas después de primer acoplar acertado. El varón exhibido comportamiento copulatory similar a un acoplamiento natural demostrado por un varón experimentado después de 2-3 acoplamientos de el mannequin. Este método era acertado en virgen del entrenamiento 2 los varones de 4 años. Una vez que entrenaran a un varón para ejaculate en un sistema de pesos americano contenido dentro de un mannequin, la presencia de requirieron a las hembras receptivas y/o los pares de acoplamiento no más (cuadro 2.7). No todos los varones entrenaron al mannequin acoplado bien en cada tentativa. En algunos días, los varones inquietaron excesivamente y eran renuentes para penetrar el sistema de pesos americano o renuente permanecer en el sistema de pesos americano y no podido ejaculate adecuadamente. Si esto ocurrida, la temperatura del sistema de pesos americano fue comprobada para asegurarlo era bastante caliente, y/o el varón era reclinado por 2 a 3 días antes de intentar otra vez. Figure 2.6. Yard set-up when training a male to mate a mannequin. 72
  • 73.
    Figure 2.7. Malemating mannequin in absence of receptive females. 2.3.3.3 Que Acopla El Comportamiento De Los Alpacas Masculinos El tiempo de reacción de la entrada a la yarda con el mannequin al montaje fue encontrado para ser una medida objetiva del keenness del varón de acoplarse (libido). El comportamiento de varones montó en el mannequin que servía la vagina artificial fue observado. Las facetas siguientes del comportamiento durante el acoplamiento fueron identificadas: • Movimientos que buscan del pene mientras que la posición de la pelvis era 15 a 30 centímetros detrás del mannequin. • Movimiento del cuerpo adelante al intromission del aumento. • El empujar pélvico con los hindlimbs que se mueven para traer el cuerpo más lejos adelante. • Episodios de contracciones rítmicas de los músculos traseros pélvicos y superiores del miembro. • Depresiones rítmicas de la cola. • Extensión de la cola. • El colocar de nuevo 73
  • 74.
    • Moviendo laparte posteriora del cuerpo generalmente con el pene que sale parcialmente, entonces moviéndose adelante otra vez al punto de la penetración máxima. • Barbilla que se reclina sobre la cabeza del mannequin. • La cabeza bajó al hombro del mannequin. • Vocalisation continuamente o intermitentemente a través del copulation. Los varones aparecieron al vocalise más en alta voz cuando las hembras receptivas eran próximas. • La duración de acoplamiento se extiende a partir del 5 a 45 minutos. • Enla mayoría de los acoplamientos fue interrumpido y se animó al varón que desmontara entre 15 y 20 minutos. Esto era considerada necesario en la etapa actual del proyecto para evitar que los spermatozoa ejaculated sean expuestos a los cambios en temperatura y para evitar un contacto más largo con la vagina artificial y recogiendo el recipiente (véase la sección 3.2.2). No se estableció ninguna asociación clara entre el patrón de la actividad de acoplamiento y las características del semen. 2.3.3.4 Que Acopla La Duración La relación entre la duración y el intervalo de acoplamiento en medio ejaculates fue examinada en un varón (cuadro 2.8). Había una tendencia (P = 0.143) para acoplamientos más largos cuando el intervalo entre los acoplamientos aumentó. 2.3.3.5 Retiro del semen de la vagina artificial después de acoplar El semen de la alpaca era generalmente bajo en volumen y arriba en viscosidad y tendió para espumejear y palillo al trazador de líneas del látex y cono durante la eyaculación en el sistema de pesos americano (cuadro 2.9). Después del retiro del sistema de pesos americano del mannequin, la cerviz artificial fue quitada del cono y del agua de la colección vaciados del compartimiento. El semen fue movido en el tubo de la colección unido al cono 74
  • 75.
    de la colecciónhaciendo pivotar el sistema de pesos americano en la longitud del brazo en un movimiento circular vertical para 10-15 rotaciones para permitir que la fuerza centrífuga empuje el semen viscoso espumoso en el tubo de la colección. Figure 2.8. Linear regression of mating duration (min) and interval between collection of ejaculates in one male (y = 0.717x + 12.08, R2 = 0.104, P = 0.143, n = 22). Figure 2.9. An artificial vagina with frothy semen stuck on the latex liner. 75
  • 76.
    2.4 Discusión El usode un mannequin y de un sistema de pesos americano de recoger el semen de alpacas requirió una comprensión de las idiosincrasias asociadas al comportamiento de acoplamiento natural de alpacas (véase la sección 1.2.4). El mannequin y los sistemas de pesos americanos fueron preparados de una manera que permitió que el varón montara, penetrara el sistema de pesos americano y ejaculate de una forma que se asemeja de cerca a acoplamiento natural. Por lo tanto razonablemente fue asumido que ejaculates producido durante el acoplamiento en un sistema de pesos americano era similar a ésos producidos en un acoplamiento natural. Cada tentativa fue hecha de maximizar el número de la esperma viva recogido de varones. La gama de temperaturas óptima de la vagina artificial fue divulgada previamente como 38 al oC 45 (Garnica y otros. 1993, 1995, Von Baer y otros. 1999, Bravo y otros. 2000a). Las observaciones en el proyecto actual sugieren que la temperatura sea una poco más alta que esto para los patrones del comportamiento óptimos. Semejantemente una cerviz simulada se considera necesaria, encontrando eso conviene con la investigación peruana (Sumar, comunicación personal). Los conos de la colección hechos de látex se utilizan rutinariamente en AVs diseñado para el domestic del non-camelid ganado. Aunque el látex puede ser tóxico a la esperma (Critchlow y otros. 1989), la eyaculación es un proceso rápido en estas especies así que el semen no está generalmente en contacto con el látex para más que algunos minutos después de colección. Sin embargo, los camelids ejaculate para un promedio de 20 minutos, por lo tanto los conos de la colección hechos de diversos materiales fueron examinados para establecer qué cono era lo más menos posible tóxico a la esperma. Los conos del polietileno proporcionaron la mayoría de la esperma viva. Los varones penetrarían solamente un sistema de pesos americano cabido con un trazador de líneas del látex, no un trazador de líneas del polietileno. Diversos varones de la alpaca exhiben diversos niveles de la libido y de la experiencia sexual, y diversos métodos por lo tanto requeridos de entrenamiento para acoplar al mannequin. Dos métodos de confianza fueron 76
  • 77.
    desarrollados para entrenara un varón para montar y para acoplar a un mannequin cabido con un sistema de pesos americano para permitir con éxito la colección del semen. El entrenamiento de varones no era difícil y se podía alcanzar en 1 a 5 días. Sumar (inédito) ha demostrado que los varones entrenados “recuerdan” su entrenamiento para mientras un año después de su servicio pasado. Las facetas del comportamiento de acoplamiento observadas eran similares a ésas registradas por otros trabajadores (véase la sección 1.2.4). No todos los varones entrenaron para montar al mannequin acoplado bien en cada tentativa. En algunos días, los varones inquietaron excesivamente y eran renuentes penetrar el sistema de pesos americano o renuente permanecer en el sistema de pesos americano y no podido ejaculate adecuadamente. Los varones que realizan rutinariamente acoplamientos naturales pueden no intercambiar hacia adelante y hacia atrás fácilmente entre hembras receptivas y un mannequin (Gauly, comunicación personal). La repugnancia para servir el sistema de pesos americano también se ha observado en las llamas (Aller 2001) y los camellos (Deen y otros. 2003) donde 20 a el 25% de tentativas de acoplamiento no pudieron producir un completo ejaculate. Más observaciones son necesarias establecer las relaciones entre el comportamiento y las características de acoplamiento del semen. Puede haber ventaja en la registración del patrón del comportamiento de la porción en varones como base para reconocer comportamiento anormal o la probabilidad de la calidad pobre del semen. Los métodos de la colección se convirtieron en esta colección confiable permitida capítulo de semen que se puede utilizar para estudiar las características del semen (capítulo 3) y la preservación del semen (capítulos 4 y 5). Más investigación es necesaria asegurar el estímulo sexual máximo y las respuestas de la eyaculación en cada colección procuran para la producción rutinaria del semen en un programa de la inseminación artificial. Esto puede 77
  • 78.
    requerir modificaciones altrazador de líneas del sistema de pesos americano, temperatura del sistema de pesos americano y configuración y adaptación de la cerviz a los requisitos de varones individuales. 78
  • 79.
    3. CARACTERISTICAS DELSEMEN DE LA ALPACA 3.1 Introducción El semen del camelid del americano del sur ha sido caracterizado por varios laboratorios en el sur y Norteamérica y Europa en una pequeña cantidad de varones. El semen fue recogido por medio de una vagina artificial, y de parámetros del semen del color, viscosidad, volumen, pH, porcentaje de la esperma viva, esperma la concentración, la morfología y la actividad fueron descritas conjuntamente con la duración del copulation (Lichtenwalner y otros. 1996b, Bravo y otros. 1997a; ver la sección 1.3.2). Estos parámetros han sido útiles para el trabajo de diagnóstico, detectando a varones con disturbios significativos de la función reproductiva y de la fertilidad disminuida cuando los valores son límites normales del exterior bien. Proporcionan la información importante para la selección de los varones del reproductivo-sonido para el uso en el AI. Estos parámetros, sin embargo, no son siempre útiles para identificar fertilidad suboptimal en ganado doméstico tal como toros (Rodriguez Martinez y otros. 2001). La variación en calidad y fertilidad del semen entre ejaculates del mismo varón puede también obstaculizar la predicción de la fertilidad. En trabajo del AI de la rutina en ganados y ovejas, los estándares de la calidad del semen para la aceptación y el rechazamiento de padres y ejaculates para el AI se fijan en términos de concentración de la esperma, de su motility y de la morfología. Hay una necesidad clara de estandardizar el gravamen del semen en camelids por todo el mundo. Los métodos simples, económicos son necesarios para la examinación de fresco y el semen del deshielo del poste para identificar a varones con fertilidad suboptimal suave y severa y a seleccionarlos o rechazo ejaculates para los propósitos del AI. Un tal parámetro identificado en semen de bóvidos 3.0 sumarias Las características del semen que definen un ejaculate fueron establecidas. Estos parámetros eran el volumen (ml), la actividad (por ciento de esperma que demuestra cualquier tipo de movimiento), la concentración (millones por el ml), números totales de la esperma en un ejaculate, por ciento vivos, viscosidad, pH y morfología de la esperma. Un método práctico de gravamen del semen fue desarrollado. La calidad del semen varió considerablemente en y entre varones. 79
  • 80.
    congelado en Australiaes el porcentaje morfológico de normal los spermatozoa poste-deshielan inmediatamente (Phillips y otros. 2001). Un microscopio del contraste de la fase de la buena calidad con la alta energía (por lo menos ampliación X.400) y las manchas y los borrones de transferencia correctamente preparados son necesarios. Métodos complejos de evaluar el semen que tienen una relación significativa a la fertilidad y permiten la eliminación de toros secundario-fértiles, incluye la evaluación de ayuda de computadora de los patrones del motility de la esperma, de la separación de la esperma del swimup, del estado del capacitation, de las reacciones acrosome inducidas, de los análisis esperma- que atan del pellucida del zona y de la fertilización in vitro. Estos métodos de la evaluación del semen requieren habilidad en el uso del equipo costoso y no serán considerados más lejos en este estudio. Las punterías de este capítulo eran definir un método estandardizado y objetivo de caracterizar el semen de la alpaca describiendo parámetros cuantitativos del semen. Esto proporcionará una base para los centros o los individuos de crianza artificiales australianos para determinar calidad del semen y la fertilidad de los varones de la alpaca. 3.2 Materiales y métodos 3.2.1 Animales y equipo usados para caracterizar el semen Veinticuatro ejaculates fue recogido a partir de un varón para definir características del semen. Ejaculates a partir de tres varones fueron recogidos para examinar la variación entre varones. El equipo usado para caracterizar el semen de la alpaca en este proyecto se enumera en la tabla 3.1. Un microscopio con la ampliación (x 100, x 200 y X.400) de los objetivos del contraste de la fase y de immersión en aceite (x1000 la observación clara permitida de la ampliación) de la esperma para la morfología y vive/absolutamente los estudios. Combinado con una etapa caliente (oC 37), el movimiento de la esperma fue observado y descrito 80
  • 81.
    3.2.2 Características delsemen La mayoría de ejaculates fue recogida directamente en los suplementos del semen para facilitar la preparación del semen para el AI (véase los capítulos 4 y 5). Muchas características del semen fueron influenciadas por la presencia de suplementos. Por lo tanto un número limitado de ejaculates fue examinado para definir las características. La hoja del expediente de datos usada está en el apéndice 1. 3.2.2.1 Volumen del semen El volumen del semen fue determinado colocando el semen en un tubo graduado de la colección después de la terminación de la eyaculación. La fuerza centrífuga fue aplicada haciendo pivotar la vagina y el cono artificiales con el tubo unido en la longitud de los brazos en un movimiento circular varias veces de recoger tanto cuanto sea posible del ejaculate en el tubo. 3.2.2.2 Viscosidad del semen 81
  • 82.
    Para medir viscosidaddel semen, el semen de 10 μL fue elaborado en una micropipeta, después el semen de 5 μL fue colocado en una diapositiva de cristal y tiró hacia arriba según lo descrito por Bravo y otros. (2000b). El hilo de rosca del semen fue tirado lentamente hasta que se rompió. El punto en el cual el hilo de rosca del semen se rompió, fue medido al milímetro más cercano usando una regla y la distancia registradas como viscosidad del `'. 3.2.2.3 Porcentaje de de la esperma viva La mancha de la Nigrosin-eosina (Hancock 1957) fue utilizada para calcular números de la esperma viva y muerta. La esperma viva con las membranas intactas del plasma no toma la mancha, mientras que la esperma muerta tiene permeable membranas y rojo de la mancha con eosina. La mancha de la Nigrosin-eosina fue mezclada con semen en un coeficiente de 1:2 (semen: mancha) en una diapositiva de cristal usando una micropipeta de 10 μL (esto puede ser realizada inmediatamente después que se ha medido la viscosidad). Un subsample de la mancha y del semen después fue extendido por una diapositiva de cristal y secado al aire. El borrón de transferencia del semen fue examinado bajo alta energía (X.400 o x de immersión en aceite 1000). Cientos espermas fueron examinadas para mancharse y el porcentaje vivo de la esperma calculaba. 3.2.2.3 Actividad de la esperma Una gota del fresco ejaculate fue examinada bajo resbalón de la cubierta en una etapa caliente en la ampliación X.400. 3.2.2.4 Concentración de la esperma El número de la esperma por el ml de semen era calculado diluyendo una parte alícuota de semen y la cuenta de la esperma en un Neubauer mejoró el hemocitómetro (Pty Ltd, Alemania de la marca de fábrica), una diapositiva de cristal grabada al agua fuerte con los cuadrados del área sabida y profundidad entre la tira y la diapositiva. El semen fue diluido (x 50) para contar agregando el μL 10 del ejaculate al μL 440 regar más 50 el trypsin del μL 2.5%. La mezcla era vortexed por 10 segundos. Los 2 compartimientos del hemocitómetro fueron llenados de semen y de izquierdo diluidos, mezclados para estar 82
  • 83.
    parados por 5minutos en un ambiente húmedo de modo que la esperma se hundiera al fondo de cada compartimiento y eran más fáciles de observar debajo del microscopio. Toda la esperma en los 25 cuadrados centrales de ambos compartimientos fue contada, incluyendo la esperma que mentía en las líneas más bajas e izquierdas de cada cuadrado, y un medio calculado (cuadro 3.1). El número malo de la esperma en los 25 cuadrados centrales se multiplicó por 0.5 dio la concentración de la esperma en millones de esperma por el ml. Cálculo de la dilusión al contar toda la esperma en los 25 cuadrados centrales: El número de la esperma en la central 25 ajusta x 104 (volumen del compartimiento = 1 milímetro x largo 1 milímetro x amplio 0.1 milímetros altura = 0.1 mm3; para convertir a la esperma por el ml multiplicarte por 104) x 50 (semen del μL de la tarifa 10 de la dilusión en agua de 490 μL) = #sperm en la central 25 ajusta sperm/mL de x 0.5 x 106 Diversas dilusiones se pueden utilizar para satisfacer ejaculates de una concentración más alta o más baja. Semejantemente puede no ser necesario contar los 25 cuadrados. Un total por lo menos de la esperma 200 debe ser contado. Cálculo de la dilusión al contar menos de 25 cuadrados: Concentración (x 106 sperm/mL) = número total de la esperma x número 1000 del ÷ de 250 de x 50 (tarifa de la dilusión) x de los cuadrados contados. Un solo cuadrado pequeño es 0.004 mm3 (1s/250o de un milímetro cúbico). 83
  • 84.
    Figure 3.1. Etchingson a haemocytometer that allow calculation of sperm concentration. Sperm in the middle 25 squares are counted, including sperm lying on the lower and left lines of each square. 3.2.2.6 Morfología del esperma Observación y cálculo de la esperma normal y de la esperma que exhiben anormalidades morfológicas de la cabeza, el mediados de-pedazo y/o la cola fueron realizados usando la misma diapositiva según lo preparado para las cuentas vivas/de los muertos en alta energía (de immersión en aceite, x 1000). Para los gravámenes rutinarios 100 la esperma fue contada y clasificó como tener morfología normal o anormal. 3.2.2.7 pH El pH era calculado usando el papel del pH. Longitud testicular mala de 3.2.2.8 La longitud testicular Mala es la longitud mala del eje más largo de los testes izquierdos y derechos medidos a el milímetro más cercano, y fue medido usando los calibradores según Galloway (2000). 3.2.2.9 que acopla la duración La duración de acoplamiento fue medida al minuto más cercano según lo descrito en el capítulo 3. 1 milímetro 1 milímetro Profundidad del compartimiento 0.1 milímetros (No escalar) 3.2.3 Análisis estadísticos La estadística descriptiva fue obtenida usando Minitab® para el lanzamiento 12.1 de Windows y el Excel de Microsoft® 97. Las regresiones cuadráticas fueron realizadas en (a) la concentración de la esperma (y) contra días entre la colección de ejaculates (x) y (b) el volumen del semen contra días entre la colección de ejaculates. Regresiones lineares fueron realizados encendido: (a) concentración de la esperma contra la duración de acoplamiento, (b) concentración de la esperma contra el semen volumen, (c) volumen del semen contra la duración de acoplamiento, (d) viscosidad del semen contra la duración de acoplamiento, (e) acoplamiento la duración contra días entre la colección 84
  • 85.
    de ejaculates, (f)viscosidad del semen contra el volumen del semen, semen del (G) la viscosidad contra la concentración de la esperma y (h) la viscosidad del semen contra días entre la colección de ejaculates. La significación estadística fue fijada en P < 0.05 y los resultados presentados como significa + SEM. 3.3 Resultados 3.3.1 Características del semen Las características de la demostración de las tablas 3.2 y 3.3 del semen recogieron de varones con longitud testicular mala > 4 centímetro. Los testículos grandes no significaron necesariamente buena calidad del semen como se muestra por el semen variado características entre varones. El varón #1 tenía calidad mejor del semen que los varones #2 o #3, que tenía actividad baja de la esperma y porcentajes crecientes de las anormalidades de la cabeza y de la midpiece-cola de la esperma. examinación morfológica de diagnóstico de la información proporcionada semen sobre los tipos y porcentajes de la esperma anormal. Tabla 3.2. La longitud y las características testiculares del semen recogieron con una vagina artificial de tres alpacas masculinos encendido el mismo día. 85
  • 86.
  • 87.
    3.3.1.1 Volumen delsemen El semen de la alpaca que fue recogido en un sistema de pesos americano seco (sin el suplemento) era generalmente viscoso y espumoso y pegado a las paredes del látex. La espuma del semen era rica en esperma y fue incluida en el ejaculate si es posible. Al caracterizar un ejaculate no se agregó ningunos suplementos al sistema de pesos americano de antemano como éste interfirió con la valoración del volumen exacto y de la concentración. No era posible restar simplemente el volumen del suplemento del semen del total ejaculate el volumen si estuvo agregado al sistema de pesos americano antes del copulation como porción de suplementos del semen que cualquiera funcionó del sistema de pesos americano durante la colocación del sistema de pesos americano en el mannequin, evaporado durante la colección u orientado el sistema de pesos americano más bien que funcionó en el tubo de la colección. 3.3.1.2 Viscosidad del semen El semen de la alpaca era generalmente viscoso, haciendo el retiro del semen del sistema de pesos americano difícil. Viscosidad a partir 5 a 18 milímetros variados. 3.3.1.3 Porcentaje de la esperma viva El porcentaje de la esperma viva adentro ejaculates extendido a partir de la 0 hasta la esperma viva del 90%. Buena calidad del semen aparecía tener esperma viva más del de 70%. 3.3.1.4 Actividad de la esperma El porcentaje de la esperma activa se extendió a partir de la 0 hasta el 80%. La actividad de la esperma fue determinada lo más mejor posible bajo fase contraste en la ampliación x 200 o X.400. Una descripción de varios campos fue hecha, observando la proporción de esperma que se movían de cualquier manera. Los tipos de actividad de la esperma observados eran movimiento delantero progresivo (motility), oscilación y movimiento vibratorio. El tipo de movimiento dependió en parte de la distribución de los spermatozoa en la fracción del gel. El gel restringió el movimiento de la esperma encajada en él. La esperma en las partes más flúidas de la gota demostró el movimiento 87
  • 88.
    delantero activo típico(motility). Por lo tanto, fue determinado que los “spermatozoa activos de los por ciento” deben ser el gravamen rutinario incluyendo todos los tipos de actividad (tabla 3.2). Cuando se diluye el semen y se dispersa el gel, el “por ciento motile” es apropiado. El semen de la alpaca no exhibió el movimiento de la onda (acción total de la esperma vista con el ojo desnudo). 3.3.1.5 Concentración de la esperma La concentración de la esperma en semen varió extensamente a partir 22.5 a 875 millones de espermas por el ml de semen. La concentración de la esperma en semen determinó color del semen y se extendió de gris a lechoso a color crema como números de la esperma por el ml de semen creciente. 3.3.1.6 Morfología de la esperma Las anormalidades de la esperma observadas en el proyecto actual incluyeron las cabezas anormalmente formadas, las cabezas tailless, las gotitas citoplásmicas (unidas a la parte próxima o distal del mediados de-pedazo), los mediados de-pedazos anormales y las colas anormales (doblados o arrollados; Tablas 3.2, 3.4 y 3.5). Los porcentajes de la esperma anormal fueron dados como el porcentaje de la esperma total en el ejaculate. La esperma individual pudo haber tenido más de una anormalidad. Los alpacas masculinos con los testículos grandes, una historia de la buena fertilidad y las cuentas altas de la actividad de la esperma tenían 70 a 80 % morfológico de los spermatozoa normales (tabla 3.4). La anormalidad más frecuente encontrada era cabezas tailless seguidas por las gotitas próximas. La examinación detallada del laboratorio de la morfología proporcionó más información en la gama de la calidad del semen que fue encontrada en el proyecto (tablas 3.4 y 3.5). 3.3.1.7 pH En el proyecto actual, el pH del semen de la alpaca se extendió a partir del 7.5 a 8. Tabla 3.4. Gravámenes rutinarios de la morfología sobre el semen de criar los alpacas masculinos con una historia de la buena fertilidad. Las cuentas de 100 o más spermatozoa fueron hechas en la ampliación de x 600 usando borrones de transferencia eosina-manchados nigrosin. 88
  • 89.
    3.3.2 Relaciones entreparámetros del semen y entre los parámetros del semen y gerencia de acoplamiento Había una relación positiva entre (y) el volumen del semen (ml) y (x) la duración de acoplamiento (minutos; y = 0.036x - 0.166, R2 = 0.24, P = 0.021, n = 22; Cuadro 3.2). Las regresiones cuadráticas de la concentración de la esperma (millions/mL) y del intervalo entre la colección de ejaculates (los días; y = -20.6x2 + 159.7x +107.5, R2 = 0.25, P = 0.146, n = 18; El cuadro 3.3) y el volumen del semen (ml) e intervalo entre la colección de ejaculates (los días; y = - 1.99x2 + 0.12x + 0.19, R2 = 0.105, P = 0.39, n = 20; Cuadro 3.4). Esto sugirió que las concentraciones de la esperma y los volúmenes máximos del semen fueran 89
  • 90.
    producidos cuando elintervalo entre las colecciones de ejaculates era 3 a 4 días que cuando ejaculates fueron recogidos en intervalos más cortos o más largos. Los coeficientes de la regresión para las ecuaciones siguientes acercaron a cero: Concentración de la esperma (millions/mL) y duración de acoplamiento (minuto; y = 2.55x +288.3, R2 = 0.0014, P = 0.877, n = 19, cuadro 3.5). Concentración de la esperma (millions/mL) y volumen del semen (ml; y = 299.64x + 288.51, R2 = 0.10, P = 0.205, n = 16; Cuadro 3.6). Viscosidad del semen (milímetro) y volumen del semen (ml; y = 2.042x + 9.72, R2 = 0.028, P = 0.525, n = 17; Cuadro 3.7). Viscosidad del semen (milímetro) y concentración de la esperma (million/mL; y = 0.0076x + 8.03, R2 = 0.22, P = 0.068, n = 16; Cuadro 3.8). La viscosidad del semen (milímetro) y el intervalo entre la colección de ejaculates (los días; y = 0.840x + 7.97, R2 = 0.141, P = 0.125, n = 18; Cuadro 3.9). Viscosidad del semen (milímetro) y duración de acoplamiento (minuto; y = 0.216x + 7.49, R2 = 0.041, P = 0.407, n = 19; Cuadro 3.10). La duración de acoplamiento (minuto) y el intervalo entre la colección de ejaculates (los días; y = 0.717x + 12.08, R2 = 0.104, P = 0.143, n = 22; Cuadro 3.11). 90
  • 91.
  • 92.
  • 93.
  • 94.
  • 95.
  • 96.
    3.4 Discusión Las característicasdel semen de la alpaca encontradas en el estudio actual eran similares a ésas encontradas por otra trabajadores (véase la sección 1.3.2, la tabla 1.8). Había gran variación en y entre varones con respecto al volumen, a la concentración, a la viscosidad, a la morfología, a la actividad y a los por ciento del semen vivos. El trabajo proporcionó la base para la definición de la calidad del semen y la selección de los varones convenientes para el semen preservación. El semen necesita ser recogido y ser examinado de muchos más alpacas clínico normales de la fertilidad sabida para definir los límites de las características del semen que indican la función reproductiva normal y la alta fertilidad. De la otra especie se sabe que solamente el semen de la alta calidad es conveniente para enfriarse y congelar. Hay 2 ediciones que están en conflicto relacionadas con la duración de acoplamiento que puede afectar calidad del semen. El primer es que el volumen de cada uno ejaculate, y por lo tanto suma números de la esperma, aumenta con el aumento de la duración del copulation (cuadro 3.2) y que el acoplamiento de la duración de un varón que acopla a un mannequin debe estar de duración similar a el de un acoplamiento natural para maximizar la probabilidad de la colección óptima del semen (véase Sección 1.2.6). La segunda edición es la dificultad de controlar el ambiente dentro del sistema de pesos americano con la posibilidad de una reducción en calidad del semen durante el copulation prolongado. La temperatura artificial de la vagina disminuyó en un cierto plazo a pesar de la presencia de un cojín del calor alrededor del exterior. Semejantemente, prolongado el contacto del semen con el trazador de líneas del látex puede ser perjudicial a la supervivencia de la esperma (Aller 2001). Grado óptimo la duración de acoplamiento es un compromiso entre estos efectos de oposición sobre calidad del semen. Cuando ejaculates fueron recogidos cada 3 o 4 días allí eran una tendencia para una concentración más alta de la esperma por ejaculate y mayor volumen del semen (cuadros 3.3 y 3.4). A pesar de que los resultados no eran estadístico significativos, y debido a los apremios del tiempo en el proyecto, 96
  • 97.
    estos resultados dirigieronel trabajo divulgado en capítulos subsecuentes para obtener los números máximos de la esperma para la dilusión y el proceso del semen. No había relación entre la concentración y el volumen del semen, viscosidad de la esperma del semen y volumen del semen, viscosidad del semen y concentración de acoplamiento de la duración o de la esperma y duración de acoplamiento de el individuo ejaculates. Aparecería que la emisión de la fracción del gel del semen está dispersada a través del proceso y no hay fraccionamiento de componentes seminales durante la eyaculación. Los trabajadores anteriores también han indicado que restos de la composición del semen constante a través de la eyaculación (Sumar 1983, Moscoso y otros. 1999), sin embargo, otros han observado esa concentración de la esperma, el porcentaje de la esperma activa, el porcentaje de la esperma viva y el porcentaje de la esperma normal aumentaron con tiempo durante un solo copulation (Lichtenwalner y otros. 1996b, Bravo y otros. 2002). Los varones usados en el proyecto actual tenían longitudes testiculares malas > 4 centímetros. La longitud testicular mala da una indicación de la probabilidad de tubules spermatogenic produciendo los spermatids alargados (tabla 1.5; Galloway 2000) y por lo tanto la capacidad de un varón de producir la esperma. La longitud testicular mala también se correlaciona altamente con el peso testicular (r = 0.88, n = 68; Galloway 2000) y por lo tanto cuantitativo producción de la esperma (evidencia de la otra especie). Características de la demostración de las tablas 3.2 y 3.3 del semen recogido de varones con longitud testicular mala > 4 centímetros. Los testículos grandes no significaron necesariamente buena calidad del semen como se muestra por características variadas del semen entre varones. Consideraban al varón #1 para tener buena calidad del semen cuando los valores normales para las características del semen fueron extrapolados de la otra especie. Los varones #2 y #3 tenían actividad baja de la esperma y porcentajes crecientes de la cabeza de la esperma y anormalidades de la midpiece-cola que sugieren la presencia de una degeneración testicular. Las razones de la calidad pobre del semen y de la degeneración testicular en alpacas requieren estudio adicional. 97
  • 98.
    En especie talcomo espolones y toros, la esperma se considera como rápida y progresivo-motile si nadan más de una longitud de cuerpo de la esperma por segundo. La esperma con el movimiento rápido, progresivo se piensa a asociarte a fertilidad, mientras que esperma que crispa, circunda lentamente o ser no-progresivo se excluyen generalmente de las estimaciones del motility (Evans 2001). En cambio, los “spermatozoa activos de los por ciento” deben ser el gravamen rutinario para el movimiento exhibido en semen de la alpaca mientras que el término incluye todos los tipos de actividad de la esperma. El término “motility” se reserva lo más mejor posible para el gravamen cuando el gel no está interfiriendo con el movimiento y la esperma de hecho se está moviendo activamente adelante. En algunas muestras viscosas del semen de la alpaca 59 examinado pronto después de la colección, motility según lo definido para la otra especie pueden ser el 0%, pero la actividad puede ser el 70% que sugiere buena calidad del semen. La determinación subjetiva del motility de la esperma, por la alta energía (x 200 o X.400) fase-pone en contraste generalmente la microscopia con una etapa precalentada, es el método más ampliamente utilizado de determinar calidad del semen en la poste-colección doméstica del ganado de ejaculates inmediatamente y el poste-deshelar del semen congelado (Rodriguez-Martinez y otros. 2001). El método es rápido y simple, sin embargo, no hay fuerte relación entre el motility del semen y la fertilidad subjetivo determinados del campo en ganados cuando los valores del motility son los 50% o mayores (Hafez 1993, Stalhammar y otros. 1994). Dado esta observación y dificultad en describir el movimiento en alpacas, otros métodos de la esperma de determinar necesidad de la calidad del semen de ser convertido. La examinación rutinaria del semen proporcionó una guía a la conveniencia para la inseminación artificial. Exacto la determinación del número de la esperma por el ml de semen es tan importante que hay mucha variación entre los varones y ejaculates, pero fue obstaculizado por la presencia de espumejear del semen durante colección. La espuma era esperma-rica y necesita ser utilizada en cada uno ejaculate para maximizar el número total de la esperma disponible para la transformación posterior. Concentraciones de la 98
  • 99.
    esperma descritas enalpacas en gama de la literatura de diez de millares de sperm/mL (Raymundo y otros. 2000) hasta centenares de millones de sperm/mL (Bravo y otros. 2002). El cálculo de la concentración de la esperma permite cuantificable dilusión con los suplementos del semen para producir números sabidos de la esperma por dosis del AI. El trabajo adicional es requerido para definir las influencias de la altitud, estación, nutrición, edad y genética en la producción de la esperma y para ejaculate la concentración, y la gama de las concentraciones de la esperma encontró debajo de del sudeste Condiciones ambientales australianas. La examinación morfológica de diagnóstico de la esperma de la alpaca da una guía adicional a gravamen de la calidad del semen. En alpacas masculinos normales y anormales en el material limitado disponibles, las anormalidades predominantes en el semen eran cabezas tailless y gotita citoplásmica próxima. Su origen y significación y la relación de las características morfológicas del semen a la conveniencia para procesar y a la fertilidad requieren estudio adicional. Es a menudo necesario examinar el semen durante tiempo con las examinaciones seriales del semen antes de una diagnosis y su relación a la fertilidad puede ser determinada. Las anormalidades de la esperma observadas en el proyecto actual (tablas 3.2, 3.4 y 3.5) también han sido observadas en camelids por otros trabajadores (véase la sección 1.4.2, la tabla 1.11). La morfología gruesa de la esperma puede ser un parámetro confiable del campo de ejaculate calidad porque es lo menos influenciado por el proceso de la colección o congelar-deshelando (Perry y otros. 2002). Se ha encontrado en toros que el porcentaje de la esperma normal en un ejaculate correlaciona perceptiblemente con fertilidad en las pruebas de pre-acoplamiento y el semen congelado-deshelado (Phillips y otros. 2001). La morfología de la esperma viva correlaciona mejor con potencial de la fertilidad que con morfología total de la esperma de un ejaculate (Hafez 1993) y se puede utilizar eliminar toros con semen de la mal calidad para AI (Rodriguez-Martinez y otros. 2001). La fertilidad en toros no se compromete generalmente hasta que el porcentaje de la esperma anormal excede de 20 hasta el 30% (Hafez 1993, Perry y otros. 2002) pero el nivel es desconocidos en alpacas. 99
  • 100.
    Había variación extremaen calidad del semen en y entre los alpacas masculinos y todos los resultados requerir la confirmación adicional con la colección y la caracterización de muchas más muestras del semen de una variedad de varones. Los niveles aceptables mínimos de los parámetros del porcentaje viven esperma, esperma normal del porcentaje, actividad, la esperma por necesidad del ml de ser determinado de permitir la selección de conveniente ejaculates para la transformación posterior y la preservación o el descarte de inadecuado ejaculates. El espumejear del semen en el sistema de pesos americano durante la colección necesita reducido al mínimo para maximizar el número total de la esperma disponible para caracterización y proceso. La crianza de la evaluación de la validez y de la caracterización del semen en alpacas debe promover fertilidad de la manada y el uso de menos, de varones mejores on-farm, y de la selección de los varones más convenientes para el proceso del semen. 100
  • 101.
    4. ALMACENAR ELSEMEN LÍQUIDO DE LA ALPACA 4.1 Introducción El almacenaje acertado del semen en un estado líquido confía en la reducción de muerte y de la degeneración de la esperma durante almacenaje para poder alcanzar embarazos después del AI 1-3 días después de que el semen se recoge. las ventajas de almacenar el semen recogieron del ganado doméstico en forma líquida más bien que en forma congelada incluir el requisito de números más bajos de la esperma por dosis del AI (4-8 millones de espermas por dosis en toros pero dosifican desconocido en alpacas), almacenaje barato y uso fácil del campo. La desventaja principal es que el semen líquido tiene una vida útil limitada comparada con el semen congelado, que tiene vida de almacenaje ilimitada. Los suplementos del semen son soluciones usadas al estiramiento del `' que cada uno ejaculate más lejos sin la reducción de fertilidad, y realzar supervivencia de la esperma fuera del varón. Por ejemplo, un espolón ejaculate conteniendo 2000 millones la esperma por el ml puede ser extendida para producir 30-60 dosis del AI de semen. De la concentración de la alpaca los spermatozoa observados en el capítulo 3, dosis de la alpaca por ejaculate son probables ser considerablemente más bajos que esto. Los suplementos del semen contienen generalmente los ingredientes que son beneficiosos a la supervivencia de la esperma: una fuente de la energía (eg. glucosa, fructosa), compuestos a proteger contra choque frío durante enfriarse (eg. lipoproteína de la yema de huevo, de la caseína de la leche) y de congelar (eg. glicerol) y antibióticos para reducir la transferencia de patógeno (véase la sección 1.5.1). Los suplementos se protegen a menudo (eg. el ácido cítrico, 4.0 Summary Extenders containing egg yolk and glycerol, and in particular Triladyl® (Minitub, Germany), proved the most effective extenders for chilled semen up to 48 hours. Other extenders were unsatisfactory in comparison to Triladyl®. Neither centrifugation of semen to remove seminal plasma nor rapid agitation to reduce viscosity apparently enhanced the survival of chilled semen. 101
  • 102.
    TRIS) y contienelos elementos que estabilizan sistemas de la enzima y neutralizan los productos tóxicos producidos por la esperma. El plasma seminal proporciona un medio del transporte para la esperma y los substratos metabólicos para mantener la esperma viabilidad. Sin embargo, algunos componentes del plasma seminal pueden impedir la dirección de la esperma (colmo la viscosidad), reduce actividad de la esperma, acelera muerte de la esperma, reduce la concentración de la esperma, obstaculiza mezclarse la esperma con los suplementos o reacciona al contrario con los suplementos. Métodos que se pueden utilizar para quitar o modificar el plasma seminal incluyen la centrifugación, vortexing, nadan-para arriba técnicas y la adición de enzimas. Los objetivos en este capítulo eran examinar la capacidad de diversos suplementos del semen de proteger el semen enfriado y de observar los efectos de la centrifugación y de la agitación rápida en actividad de la esperma. 4.2 Materiales y métodos 4.2.1 Prolongar vida de la esperma: adición de suplementos El semen de la alpaca fue recogido a partir de 5 varones que usaban un sistema de pesos americano cabido dentro de un mannequin según lo descrito adentro Capítulo 2. Una selección de los suplementos comerciales del semen (tabla 4.1 y apéndice 2) fue mezclada con el semen en dilusiones de 1:1 hasta 4:1 en las temperaturas que se extienden a partir del oC el 33, (temperatura del tubo de la colección en el extremo de la eyaculación) al oC 22 (temperatura ambiental). El semen extendido entonces fue enfriado en un baño de agua al oC 4 según lo descrito en las secciones 4.2.2.1 y 4.3.2.1. Cuando sea de dos etapas la extensión fue utilizada, la segunda fracción fue agregada en el oC 4. Las muestras extendidas del semen fueron recalentadas al oC 37 antes de la esperma la actividad era el usar determinado fase-pone en contraste la 102
  • 103.
    microscopia (ampliación dex 200; Olympus CX 41 microscopio, Pty Ltd de Olympus Australia) 4.2.2 El enfriarse del semen extendido 4.2.2.1 El enfriarse de del semen extendido al oC 4 Cinco métodos de refrescar el semen extendido en un tubo de la colección de 15 ml (tubo del halcón del poliestireno, Becton Dickson) fueron examinados: 1. A partir del oC el 33 a la temperatura ambiental 2. A partir del oC el 33 usando el tipo comercial I (transporte del expedidor del semen del poliestireno del semen de Equipak Sistema, Pty pacífico Ltd, Victoria del veterinario) 3. A partir del oC el 33 usando el tipo comercial II (expedidor vivo del semen, Pty pacífico Ltd, Victoria del expedidor del semen del poliestireno del veterinario) 4. A partir del oC el 33 en refrigerador 5. a partir de baño de agua de 18 oC en refrigerador después de enviar al laboratorio en el tipo comercial II. del expedidor del semen. 103
  • 104.
    4.2.2.2 Transporte delsemen de la alpaca del sitio de la colección al laboratorio Diseñan a los expedidores comerciales del semen del poliestireno (expedidor vivo del semen, Pty pacífico Ltd, Victoria del veterinario) para mantener la temperatura interior del expedidor en el oC 4 por varios días. Utilizaron a los expedidores para transportar el semen entre los sitios de la colección y el laboratorio. Los tubos de la colección que contenían el semen fueron envueltos en algodón en el oC 33 después colocados en el expedidor debajo de un ladrillo congelado del hielo y de una hoja del poliestireno. La temperatura del semen fue registrada dentro del expedidor sobre 4.5 días. 4.2.3 Retiro del plasma seminal Veinte ejaculates recogido a partir de 2 varones de la alpaca estaban partidos y seguido un-centrifugados o fueron centrifugados a las velocidades que varían a partir de la 100-1000 g por 5 a 30 minutos. El mantenimiento en un cierto plazo el motility progresivo delantero fue utilizado para comparar las muestras que tenían y no habían sido centrifugadas. 4.2.4 Reducción de viscosidad del semen La agitación mecánica rápida por vórtice (Snijders presionar-a-mezcla el modelo 34524, servicios australianos del mezclador del vórtice del instrumento) fue utilizada para mezclar el semen de la alpaca con el suplemento por 30 segundos. 4.3 Resultados 4.3.1 Prolongar vida de la esperma: Adición de suplementos El semen no diluido, crudo no sobrevivió por períodos largos. Toda la esperma era inactiva en el plazo de aproximadamente 60 minutos después de la colección cuando estaba sostenida entre el oC 25 y 33. Los suplementos que contuvieron la yema de huevo y glicerol (suplemento rojo de las ovejas, suplemento verde del camello, Triladyl y Biladyl A&B) permitieron a más esperma sobrevivir enfriándose para más de largo. Triladyl® (Minitub, Alemania) proveyó de los resultados más prometedores cuando 4:1 diluido 104
  • 105.
    semen. Cincuenta porciento de esperma exhibieron actividad activa, rápida, progresiva 24 horas después de la colección, que declinó hasta el 45% en 48 horas (tabla 4.2). Los tres suplementos que no contuvieron ningún producto animal (Andromed, Biociphos más y Bioxcell) y los tres suplementos que contenían la proteína de leche, caseína (suplemento de los bóvidos, llano y Tejas A&M de Kenney), con tal que los resultados decepcionantes y eran fracasados en prolongar la esperanza de vida del semen guardada en el oC 4 en comparación con Triladyl®. El porcentaje de la esperma viva y de la actividad de la esperma fue reducido mucho 24 horas después de la colección, de la extensión y de la dilusión. 105
  • 106.
    4.3.2 El enfriarsedel semen extendido 4.3.2.1 El enfriarse del semen extendido al 4Cº Colocación de una muestra del semen en un baño de agua en su temperatura existente (eg. La temperatura del sistema de pesos americano, la temperatura ambiente o la temperatura dentro del transporte de siguiente del expedidor comercial del semen al laboratorio), siguieron por la colocación del baño de agua en un refrigerador proporcionaron un método linear de enfriar el semen y fueron acompañadas por la reducción mínima en la actividad de la esperma (cuadro 4.1). Llevó generalmente 1.5 a 2 horas el semen desapasible de la temperatura ambiente al oC 4. Los otros métodos de enfriarse del semen eran no lineares, miraron como demasiado rápido o mayor reducción demasiado lenta y exhibida en la actividad de la esperma (cuadro 4.1). 4.3.2.2Transporte del semen de la alpaca del sitio de la colección al laboratorio El tipo comercial II (expedidor vivo del semen, Pty pacífico Ltd, Victoria del expedidor del semen del poliestireno del veterinario) no redujo temperatura del semen de la alpaca a 4oC (cuadro 4.2), así que sobre la llegada en el laboratorio, tubos del semen fue colocado en un baño de agua en la misma temperatura que el interior del envase de envío, entonces puesto en un refrigerador para enfriar el semen a 4oC. 106
  • 107.
    4.3.3 Retiro delplasma seminal Las ventajas observadas de la centrifugación del semen de la alpaca incluyeron: • Concentración del esperma en una pelotilla en el fondo del tubo; proporcionando una ventaja permitiendo un aumento en números de la esperma por dosis del AI sin volumen de aumento de la dosis. • Capacidad de quitar plasma seminal del ejaculate. Los problemas observados encontrados con la centrifugación incluyeron: • Dificultad de quitar el plasma seminal de la pelotilla de la esperma como la naturaleza viscosa del semen tendió para dibujar la pelotilla de la esperma para arriba dentro de la pipeta simultáneamente con el plasma seminal. • La dificultad de la determinación de la velocidad óptima y la época de la centrifugación para cada uno ejaculate. • Era posible determinar una velocidad y el tiempo que satisfizo a varones individuales por ensayo y error usando algunos diferentes ejaculates. La variación en viscosidad del semen entre los 2 varones usados en el ensayo fue marcada (hilo de rosca de 7 milímetros contra el hilo de rosca de 2 milímetros) y esto fue relacionada con la facilidad con la cual la centrifugación podía concentrar la esperma en 107
  • 108.
    el fondo deltubo. Un semen más viscoso requerido más de largo centrifugación a una velocidad más alta. • La temperatura del semen que controlaba durante la centrifugación en una centrifugadora no frigorificada no era posible. El semen que mantiene en una temperatura constante durante la dirección realza probablemente supervivencia de la esperma. • No fue determinado si la centrifugación causó daño a la estructura celular de la esperma (eg. acrosome). • La esperma centrifugada fue cogida para arriba en ruina después de hacer girar. • No fue determinado si el de gran capacidad del suplemento agregado a las muestras viscosas antes de la centrifugación era perjudicial a la supervivencia de la esperma. El semen de Un centrifuged aparecía mantener una actividad mejor y los por ciento viven comparado con la esperma centrifugada. 4.3.4 Reducción de viscosidad del semen La agitación mecánica usando un vórtice por 30 segundos para mezclar el semen de la alpaca con el suplemento dio lugar a muerte de toda la esperma. 4.4 Discusión Los suplementos numerosos fueron examinados en un intento por prolongar la almacenaje-vida del semen de la alpaca enfriada al 4Cº. La selección de suplementos fue basada en uso previamente acertado en los camelids o la otra especie doméstica. Cuando el porcentaje de la actividad de la esperma era bajo después de 24 horas en varios ejaculates con el mismo suplemento, ensayos cesados y un suplemento nuevo seleccionado. Muchos suplementos yema de huevo-basados huevo fueron examinados y los resultados indicaron que ese Triladyl® (Minitub, Alemania) proveyó de los resultados más prometedores cuando 4:1 diluido semen. Cincuenta por ciento de esperma exhibieron actividad rápida, progresiva 24 horas después de la colección, que declinó hasta el 45% en 48 horas. Esto que encuentra conviene con otros trabajadores (bravo 2002). El uso de la caseína de la leche o los suplementos 108
  • 109.
    a base deproteínas vegetales era menos eficaces en la actividad de la esperma que mantenía. La adición del glicerol aparecía realzar supervivencia de la esperma en semen enfriado. La viabilidad adecuada de la esperma se debe mantener durante el semen que dirige y que procesa para alcanzar embarazos. La longevidad de la viabilidad de la esperma es mejorada probablemente mediante almacenaje en el oC 4 a 5 comparado con temperaturas más altas debido a la actividad metabólica reducida (Simson 2001). En caballos, el refrescarse rápido del semen a partir del oC el 37 al oC 20 no afecta al contrario motility de la esperma, sin embargo, las tarifas que se refrescan a partir del oC el 20 al oC 4- 8 son más críticas. La recomendación actual en caballos es refrescar el semen en un índice del oC 0.5 a 1.0 por el minuto para maximizar el motility (Simson 2001). La colocación inmediata del semen extendido en un baño de agua de la temperatura comparable al semen, seguido por la colocación en un refrigerador, permitió una declinación linear en temperatura al oC 4 sobre 1.5 a 2 horas en el proyecto actual. La pregunta si o el plasma no seminal debe ser quitado del ejaculate es difícil a contestar. Las ventajas pueden incluir quitar los efectos deletéreos del plasma seminal, realzando mezclarse con el suplemento y concentrar la esperma. Las desventajas podrían incluir daño a la esperma (eg. daños acrosome durante la centrifugación), la reducción en actividad de la esperma y el retiro del plasma seminal viscosa que puede esperma de la descompostura de máquina del `' y reducir gastos energéticos hasta que la esperma incorpora la zona reproductiva femenina. En el proyecto actual, las diversas duraciones y velocidades de la centrifugación fueron examinadas sin ningún realce evidente en la calidad de la preservación del semen. Los varios trabajadores se han esforzado para reducir la viscosidad del semen del camelid usando las enzimas (Callo y otros. 1999, Bravo y otros. 2000a, b) o agitación mecánica (un Niasari-Naslaji, comunicación personal) para permitir una dirección y una extensión más fáciles del semen. En el ensayo actual, la agitación mecánica usando un vórtice por 30 segundos para mezclar el semen de la alpaca con el suplemento dio lugar a muerte de toda la esperma. Los efectos que las enzimas tienen en el semen de 109
  • 110.
    la alpaca nose han estudiado detalladamente. La influencia del gel en semen del ser humano y del semental en calidad y resistencia de la esperma al proceso no se ha estudiado detalladamente. Los autores del proyecto actual son de la opinión que la fracción del gel del semen de la alpaca podría realzar supervivencia de la esperma reduciendo tarifa metabólica de la esperma y eligió trabajar con el presente del gel. El trabajo adicional se requiere determinar el sistema óptimo para el semen que extiende y que se enfría. La influencia de la época de la adición del suplemento (en el sistema de pesos americano o la poste-colección) se trata parcialmente en el capítulo siguiente. El grado de dilusión del semen, la temperatura del almacenaje (temperatura ambiente contra la refrigeración) y la longitud del almacenaje también necesitan la atención. 110
  • 111.
    5. CONGELANDO YSEMEN DE LA ALPACA EL DESHELAR 5.1 Introducción Las ventajas de poder congelar el semen de la alpaca incluyen la opción del almacenamiento de larga duración y flexibilidad creciente del uso. Sin embargo, el almacenaje es más costoso que para el semen enfriado y él es probable que números más altos de la esperma por dosis sean requerido debido a una fertilidad más baja después del cryopreservation, como observado en el otro ganado doméstico (Watson 2000). Generalmente, 40- 50% de esperma no sobreviven el cryopreservation y los que sobreviven demostración deterioraron la función en comparación con esperma fresca incluso con los protocolos optimizados (Watson 2000). Los protocolos que congelan deben maximizar el número de la esperma viva con el poste funcional de la capacidad que deshiela para optimizar tarifas de fertilidad. El desarrollo de la tecnología que congela en alpacas se basa en la información derivada de los éxitos alcanzados en la otra especie. Sin embargo, variaciones en la fisiología y la bioquímica de la esperma y la anatomía y la fisiología del transporte de la esperma en el medio reproductivo femenino de la zona que simple la extrapolación de la tecnología que congela acertada a partir de una especie a otra no es posible (Holt 2000). El semen necesita ser refrescado cuidadosamente entre el oC 15 y 5 antes del cryopreservation como temperatura los cambios inducen tensiones en las membranas de la célula (Watson 2000). Las membranas del plasma de la esperma contienen un arsenal de los phospholipids, de las proteínas y de los 5.0 Inmediatos sumarios poste-deshielan la actividad de la esperma eran aproximadamente 20 a los 40% cuando cualquiera el almacenador intermediario del camello (IMV International Corporation, los E.E.U.U.) o el Biladyl verde/claro A/B (Minitub, Alemania) fue utilizada como suplemento para el semen que congelaba. Todavía hay mucho trabajo que necesita ser hecho para congelar el semen de la alpaca de una manera acertada. 111
  • 112.
    esteroles que respondena los cambios de temperatura por alteraciones en su estado físico de la fase (Holt 2000). La esperma puede experimentar transiciones de la fase del lípido dentro de la gama del oC 17 y 36 (dependiente de la especie), no obstante no se adaptan para alterar el contenido del lípido en temperaturas más bajas. Un cambio importante de la fase ocurre entre el oC 15 y 5 (Watson 2000). El choque frío del `' describe el daño debido a refrescarse rápido sobre 0 oC, e implica la interrupción física de la membrana del plasma (Holt 2000). Hay dos fuentes de lesión que pueden dañar las células durante congelar. El primer es la formación de los cristales de hielo intracelulares que pueden interrumpir arquitectura intracelular. Este daño es generalmente un resultado de congelar rápido. La segunda fuente de lesión es las interacciones del agua-solute que ocurren durante la cristalización del hielo de la solución que congela, generalmente durante congelar lento. Cuando los cristales de hielo forman se hacen del agua pura tan allí son un aumento de acompañamiento de la presión osmótica en el no congelado fraccionan (Watson 2000). Cuanto más baja es la temperatura, más pequeña es la fracción no congelada y más alto fuerza osmótica de la solución restante. Mientras que la solución que congela llega a ser hyperosmotic, el agua se retira por dentro de las células, causando la contracción. El deshelar implica una revocación de estos efectos y la afluencia del agua puede causar la interrupción de la membrana de la célula (Holt 2000). El índice de congelación óptimo por lo tanto es un compromiso entre congelar rápido y lento para reducir al mínimo efectos de estas dos fuentes de lesión. Las células de la esperma se congelan generalmente sobre la gama del oC 15- 60 por minuto mientras que estas tarifas aparecen proporcionar las mejores tarifas de la supervivencia (Watson 2000). Hay diversos grupos de compuestos cryoprotectant. Glicerol, glicol de etileno, DMSO y el metanol es ejemplos de penetrar cryoprotectants porque impregnan en el citoplasma de la célula. Presionando el punto de congelación, estos compuestos pueden ayudar al revés a los efectos del hyperosmolarity de 112
  • 113.
    la solución durantecongelar. Es importante observar que el glicerol es también tóxico a la esperma y afectará los índices de la concentración y de congelación usados (Holt 2000, Watson 2000). Hay variación marcada de la especie en tolerancia del glicerol (eg. los marsupiales toleran 10 20% gliceroles, comparados con los verracos el 3%; Johnston y otros. 1993, Holt 2000) posiblemente debido a las diferencias genético resueltas en membrana características. La adición de cryoprotectants tales como glicerol y de DMSO al semen aplica la tensión osmótica a la membrana del plasma de la esperma que es reducida por la adición y el retiro stepwise del cryoprotectant (Watson 2000). Un segundo grupo de cryoprotectants no impregna las células y no incluye las azúcares (eg. raffinose y lactosa), polímeros (eg. pyrollidone polivinilo) y compuestos amphipathic (eg. el betaine, el glutamine y el proline del glycine) y pueden necesitar ser combinado con el glicerol para el mejor efecto. Las azúcares pueden alterar efectos de la solución durante congelar mientras que los compuestos amphipathic podrían obrar recíprocamente con los lípidos y las proteínas (Holt 2000) de la membrana. La mayoría de los protocolos de la preservación del semen utilizan el glicerol, que primero fue utilizado hace más de 50 años (Polge y otros. 1949). La yema de huevo se agrega a los protocolos del cryopreservation como protectant contra choque frío. Una lipoproteína de la baja densidad en la yema de huevo podía modular el comportamiento de la transición de la fase de las membranas de la célula de la esperma por una acción desconocida. La adición del surfactant a los diluyentes de la yema de huevo se ha observado para mejorar el motility de la esperma del postthaw, la integridad acrosomal, la supervivencia y la fertilidad (Holt 2000). La adición de un almacenador intermediario puede ser ventajosa mientras que los componentes tales como yema de huevo pueden afectar la solución pH. Citrato de sodio, tris (tris (hidroximetílicos) aminomethan) o almacenadores intermediarios zwitterionic tales como TES (Ntris ( ) ácido sulphonic hidroximetílico de methyl-2- aminoethane). Tris titulado con TES (medios de PRUEBA) tiene éxito amplio 113
  • 114.
    de muchas especiessalvajes (Holt 2000). Los objetivos de este capítulo eran desarrollar los métodos de extender el semen en un diluyente conveniente, congelando el semen extendido y la obtención aceptable poste-deshiela índices de actividad de la esperma. 5.2 Materiales y métodos 5.2.1 Colección del semen El semen fue recogido a partir de 8 alpacas masculinos usando un sistema de pesos americano cabido dentro de un mannequin según lo descrito adentro Capítulo 2. 5.2.2 Extensión del semen El semen fue recogido para congelar con o sin el suplemento del semen colocado dentro del cono del sistema de pesos americano. Los suplementos acondicionados para el comercio (tabla 5.1 y apéndice 2) fueron comparados dentro ejaculates y entre diversos varones. La extensión de un solo paso del semen implicó la adición del suplemento al sistema de pesos americano antes de la eyaculación comenzado y/o al ejaculate inmediatamente después de la eyaculación había cesado. El extendidos ejaculate fueron colocados en un baño de agua de 37 oC que fue enfriado en un refrigerador al oC 4 durante 90 minutos (cuadro 5.1). La extensión de dos etapas del semen implicó la adición del non- glycerolated la porción del suplemento al sistema de pesos americano antes de que la eyaculación comenzara y/o al ejaculate inmediatamente después de la eyaculación estaba terminado. El parcialmente extendidos ejaculate entonces fueron colocados en un baño de agua de 37 oC que fue enfriado en un refrigerador al oC 4 durante 90 minutos. El semen parcial-extendido entonces fue extendido completamente en 4 que el oC por gota a gota la adición del glycerolated la porción del suplemento en un cociente de 1:1 con non-glycerolated la porción. El equilibrio del semen y glycerolated el suplemento fue permitido para 114
  • 115.
    ocurrir sobre 15-30minutos. La concentración final del glicerol era el aproximadamente 7% en todos los casos. 115
  • 116.
    5.2.3 El congelardel semen 5.2.3.1 Que congela en el Francés-tipo paja del plástico Las muestras enfriadas, extendidas del semen fueron cargadas manualmente usando una jeringuilla en la paja plástica de 0.25, 0.5 o 2 ml Frenchtype (Pty pacífico Ltd, Melbourne, Australia del veterinario). La paja más pequeña fue sellada usando el polvo del PVC y la paja de 2 ml fue sellada usando bolas del lacre del metal. El cargamento y el lacre los procedimientos ocurrieron en un refrigerador del tapa-cargamento (Waeco, Alemania; Cuadro 5.2) para mantener la esperma en el oC 4 y para reducir al mínimo variaciones de la temperatura durante el cargamento. La paja semen-llenada fue cargada sobre un estante de alambre dentro del refrigerador. El estante entonces fue colocado en una caja plástica que contenía el nitrógeno líquido de 2 centímetros y su vapor en el fondo y una tapa puso encendido la tapa (cuadro 5.3). El estante de alambre fue colocado en las alturas que diferenciaban (gama 2-25 centímetro) sobre la superficie del nitrógeno líquido por diversos períodos (5-30 minutos) antes de hundir la paja plástica en el nitrógeno líquido. 116
  • 117.
    5.2.3.2 que congelael semen en pelotillas El semen enfriado fue caído en las depresiones pequeñas hechas en hielo seco para formar pelotillas del semen de 0.25-0.5 ml. Las pelotillas fueron quitadas del hielo seco 3-5 minutos después de congelar y almacenadas en los cubiletes plásticos (Pty pacífico Ltd, Melbourne, Australia del veterinario) en nitrógeno líquido. Cuadro 5.2. el refrigerador del Tapa-cargamento cargaba el semen en el Francés- tipo paja plástica en el oC 4. Cuadro 5.3. Caja plástica (con la tapa quitada) que contiene el nitrógeno líquido de 2 centímetros en el fondo, y un estante de alambre que lleva a cabo 0.5 ml de Francés-tipo paja plástica en una altura de 10 centímetros sobre la superficie del nitrógeno líquido. 117
  • 118.
    5.2.4 Protocolos eldeshelar del semen El semen congelado en paja plástica fue deshelado en un baño de agua de 37 ºC por 60 segundos. El semen congelado en pelotillas fue colocado en un bolso de polietileno estéril y sumergido en un baño de agua de 37 oC hasta que la pelotilla había deshelado. 5.2.5 Poste-deshielan la actividad de la esperma Una gota del semen deshelado fue puesta sobre una diapositiva de cristal precalentada en 37ºC y una tira fue colocada en tapa. El porcentaje de la esperma activa era estimado por la microscopia del contraste de la fase (Pty Ltd de Olympus CX41, de Olympus Australia) en la ampliación de x 200. 5.3 Resultados 5.3.1 Extensión del semen La adición de 1 ml de suplemento dentro del cono en el nivel de la cerviz artificial aparecía producir una supervivencia mejor de la esperma comparada sin la adición del suplemento pues había contacto reducido entre la esperma y las superficies del sistema de pesos americano y la mayor protección de la esperma contra choque frío el sistema de pesos americano fue quitado una vez del mannequin y de la manta eléctrica. El método de opción para la extensión del semen en el proyecto actual era una colocación que consistía en del procedimiento de 2 pasos de 1 ml de almacenador intermediario verde del camello (IMV International Corporation, los E.E.U.U.) o de 1 ml de Biladyl A (Minitub, Alemania) en el cono plástico del sistema de pesos americano antes de eyaculación. Más suplemento fue agregado después de la eyaculación cesada de modo que hubiera aproximadamente un cociente de 1:1 al lado del volumen del semen y del suplemento. 118
  • 119.
    Después de enfriarsepor 90 minutos al oC 4, glycerolated el almacenador intermediario claro del camello o Biladyl B, respectivamente, fue agregado lentamente al semen enfriado en un coeficiente de 1:1 (v/v). La concentración final de la esperma en semen extendido era por lo tanto un cuarto la concentración del semen crudo. 5.3.2 El congelar del semen El Francés-tipo paja plástica con 0.5 ml de capacidad fue utilizado lo más con éxito posible para congelar el semen extendido. Las condiciones que congelaban óptimas eran colocar la paja 10 centímetros sobre la superficie del nitrógeno líquido por 30 minutos. 5.3.3 Poste-deshielan la actividad de la esperma Inmediato poste-deshelar la actividad de la esperma estaba entre 10 y el 40% cuando o el almacenador intermediario verde/claro del camello (IMV International Corporation, los E.E.U.U.) o Biladyl A/B (Minitub, Alemania) fue utilizado como suplemento para el semen que congelaba (tabla 5.2). El resto de los suplementos enumerados en la tabla 5.1 producida poste-deshielan actividades de 0 a el 10%. La paja del semen de ejaculates con poste-deshiela actividad que los 20% mayor que fueron almacenados en nitrógeno líquido hasta que un número conveniente de la paja estaba disponible para el AI al grupo de hembras. El semen congelado en pelotillas en hielo seco exhibió el aproximadamente 10% menos actividad que la esperma congelada en paja plástica cuando el semen era de iguales ejaculate con la misma extensión y protocolo que se enfría. Tabla 5.2. Inmediatos malos poste-deshielan la actividad del semen ampliada con el almacenador intermediario verde y claro del camello (IMV International Corporation, los E.E.U.U.) o Biladyl A y B (Minitub, Alemania). 119
  • 120.
    5.4 Discusión Para maximizarlos números de la esperma normal, viva, activa presente después de deshelar el semen congelado, es necesario optimizar cada paso en los procesos de la colección, extensión, congelando y deshelando del semen. Las fluctuaciones en temperatura ambiental y temperatura del sistema de pesos americano deben ser mimimised durante la colección del semen, adición de suplementos debe ocurrir lentamente para permitir mezclarse adecuado con semen, el refrescarse y el congelar del semen extendido se deben realizar en una manera controlada para reducir al mínimo la formación fría del cristal del choque y de hielo en células de la esperma. La esperma debe conservar la capacidad de alcanzar y de penetrar el oocyte, lazo a y de penetrar el pellucida del zona, de experimentar la reacción acrosome, de fundirse al oolemma y de permitir que la transferencia del chromatin para fertilizar el huevo. El daños en cualquier paso harían la esperma estéril (Holt 2000). La esperma refrescada y calentada de nuevo se comporta como si fueran habilitados en una cierta especie (Watson 2000). Una minoría de esperma exhibe la progresión delantera vigorosa y la demostración de la mayoría al grado variable de debilitación que puede contribuir a la fertilidad pobre durante AI (Watson 2000). Poste-deshelar la actividad del semen de la alpaca fue utilizado como indicador del éxito de congelar en el proyecto actual. Estudios anteriores han demostrado que poste-deshelar la actividad de la alpaca y semen de la llama se extiende a partir del 15 hasta el 60% (Bravo y otros. 1996c, Valdivia y otros. 1999, Von Baer y otros. 1999, Bravo y otros. 2000a; Tabla 1.12) y un estudio reciente en los camellos considerados el congelar a ser acertado cuando había por lo menos 20% espermas progresivamente motile después de deshelar (Deen y otros. 2003). Por lo tanto, en la paja actual del estudio del semen de ejaculates con poste-deshielan actividad que los 20% mayor que fueron almacenados en nitrógeno líquido hasta que un número conveniente de la paja estaba disponible para el AI al grupo de hembras. 120
  • 121.
    El semen almacenadocomo pelotillas no fue utilizado para inseminar a hembras debido a el más pobre poste-deshiela actividad.Una ventaja de congelar el semen en una forma granulada es que permite el mojado-deshelar o colocación de pelotillas en una solución el deshelar formulada para el propósito. Esto permite que el semen deshiele mientras que simultáneamente reducción de la concentración cryoprotectant. Una desventaja del semen que congela en pelotillas es la inhabilidad de identificar pelotillas individuales. Las pelotillas necesitan ser almacenadas en un cubilete etiquetado. La naturaleza heterogénea de ejaculates dentro y entre animales y las especies se ha observado para afectar la proporción de esperma que sobreviven cryopreservation probablemente debido a la existencia de la resistencia variable a la tensión osmótica entre las células (Watson 2000). La naturaleza viscosa del semen de la alpaca imposibilita incluso mezclarse del semen con el suplemento, asegura la heterogeneidad marcada de la solución para ser cryopreserved y puede explicar a pobres poste-deshiela tarifas del motility en los camelids comparados con especie con menos semen viscoso. Otros factores que pueden influenciar el éxito de la esperma de la alpaca que congela incluyen temperatura ambiental en el día de la colección, tiempo entre la colección de ejaculate y la colocación en un baño de agua, intervalo en medio ejaculate colecciones. El gravamen apropiado de la viabilidad de la esperma y de la capacidad de la fertilización de la esperma después de congelar y de deshelar todavía se está aclarando en los ganados (Rodriguez- Martinez y otros. 2001). Las pruebas ines vitro disponibles incluyen IVF, evaluación de los patrones del motility de la esperma, nadan-para arriba la separación de la esperma, estado del capacitation, inducido reacciones acrosome y análisis esperma-que atan del pellucida del zona. Estos métodos de la evaluación del semen requieren habilidad en el uso del equipo costoso y no eran considerados más lejos en este estudio. Hay una necesidad de desarrollar un método simple, exacto de predecir fertilidad del campo del semen congelado-deshelado en camelids. 121
  • 122.
    Históricamente, poste-deshelar laprueba de la incubación se ha utilizado determinar el semen después de deshelar. Este método es desperdiciador de tiempo e implica la incubación del semen en un baño de agua en a temperatura constante (30, oC 37 o 38) por cierto tiempo (2 a 6 horas). La evaluación morfológica de cryopreserved el toro que la esperma proporciona la información en la capacidad de la esperma de sobrevivir congelando y deshelando (Gravance y otros. 1998). El porcentaje de la esperma morfológico normal poste-deshiela inmediatamente los correlativos con el concepto subsecuente clasifican en los ganados (Phillips y otros. 2001). Este procedimiento simple es altamente repetible a través de la paja y de las hornadas dentro de toros. Este método puede ser aplicable al semen de la alpaca y debe ser investigado cuando se ha desarrollado un suplemento conveniente y un ensayo de acoplamiento grande se puede emprender para comparar tarifas del embarazo con poste-deshiela morfología del semen. La duración corta del proyecto actual imposibilitó otras investigaciones en la extensión y el cryopreservation del semen. Hay muchos aspectos incluyendo los cuales necesitar ser investigado más lejos: • Que define los varones que tienen semen que congele constantemente bien y la variación que existe entre varones a este respecto • Definir del ejaculates antes de procesar que tenga buen freezability • El maquillaje bioquímico de las secreciones que contribuyen a la viscosidad del semen • Las ventajas relativas de agregar el surfactant/otros compuestos al suplemento para reducir espumejear del semen en el sistema de pesos americano, y para facilitar una interacción más eficiente con las membranas del plasma de la esperma (el IE permite mejor mezclarse del semen con el suplemento) • Tipos de suplemento más adecuados a los alpacas. • La selección de una proteína con excepción de la yema de huevo a proteger contra frío-da una sacudida eléctrica. 122
  • 123.
    • Adición dealmacenador intermediario para controlar fluctuaciones de la yema de huevo y la absorción del bióxido de carbono. • Sincronización de la adición del glicerol porcentaje final del glicerol. • El semen extendido. • Tiempo del equilibrio del glicerol y del semen antes de congelar • Si hay una necesidad de diluir la concentración del glicerol después de deshelar para reducir sus efectos tóxicos sobre esperma. • El uso de cryoprotectants con excepción del glicerol e.g. DMSO, glicol de etileno, no-impregnando compuestos semen. • Que congela en paja/pelotillas de diversos volúmenes. • Duración de enfriarse y de congelar. • Altura de congelar sobre el nitrógeno líquido • Temperatura y duración el deshelar Dado que “la opción de cryoprotectant se parece haber sido una cuestión de ensayo y de error en casi todas las investigaciones” (Holt 2000), necesidades de mucho todavía trabajo de ser hecho para perfeccionar congelar del semen de la alpaca. 123
  • 124.
    6. INSEMINACIÓN ARTIFICIALDE ALPACAS 6.1 Introducción La época óptima del acoplamiento aparecería ser 6 a 8 días después de la aparición de la onda nueva durante el atrasado crecimiento o fase madura temprana del crecimiento dominante del folículo (Adams y otros. 1989, Bravo y otros. 1991, Sumar y otros. 1993, Vaughan 2001). Éste es el tiempo que los folículos están considerados muy probablemente al ovulate un oocyte considerado capaz de la fertilización. Se ha demostrado en la investigación anterior que el crecimiento folicular es similar a partir del día 0 al día 10 después de la aparición de la onda nueva, sin importar subsecuente el intervalo del interwave en alpacas, con una mayoría de folículos que crecen o que mantienen tamaño durante los primeros 8 días después de la aparición (Vaughan 2001) y de ese embarazo se asocia al acoplamiento en presencia de un folículo oestrogenic en los camelids (Skidmore y otros. 1996, Chaves y otros. 2002, Vaughan 2001). Los capítulos anteriores precisaron métodos de colección, de caracterización y de preservación del semen de la alpaca. Los objetivos en este capítulo eran combinar los resultados de esos experimentos con el conocimiento de la hora de acoplamiento óptima de inseminar artificial a hembras para alcanzar embarazos. 6.2 Materiales y métodos 6.2.1 Ultrasonography Refrenaron a las hembras en recumbency del sternal en un cajón purpose-built (Vaughan 2001). Ultrasonography transrectal los examinaron usando un Aloka 6.0 La ovulación sumaria fue inducida con éxito entre 24 y 30 horas después de intramuscular inyección del buserelin. La deposición de Transcervical del semen en la extremidad del cuerno uterino ipsilateral al ovario que llevaba el folículo dominante demostró ser una técnica simple y eficiente para inseminación artificial. No se alcanzó ningunos embarazos usando el AI transcervical, intrauterino de semen enfriado o congelado-deshelado. 124
  • 125.
    SSD-500 con arsenallinear de 7.5 megaciclos transductor (Aloka Co. Japón) para permitir la selección de animales con un folículo dominante nuevo- emergente con un diámetro de 7 a 10 milímetros, 6 a 8 días después de la aparición de la onda nueva. Los ovarios de cada hembra fueron examinados por ultrasonography transrectal a la hora del AI. Siete días después de la inducción de la ovulación, el ultrasonography fue utilizado para identificar la presencia de un luteum de la recopilación en el mismo ovario que había sostenido previamente el folículo dominante, para confirmar la ovulación. Las hembras que tenían ovulated fueron examinadas para el embarazo por ultrasonido otra vez aproximadamente 20 días después del AI. 6.2.2 Inducción de la ovulación Ocho microgramos del buserelin (2 ml Receptal®, Pty Ltd del veterinario de Hoechst Roussel) fueron inyectados para inducir intramuscular la ovulación. 6.2.3 Preservación del semen 6.2.3.1 enfrió el semen Triladyl® (Minitub, Alemania) probó el suplemento más eficaz para el semen enfriado como la actividad de la esperma era el aproximadamente 45% en 24 horas (véase el capítulo 4), fue seleccionado tan como el suplemento para el ensayo enfriado del AI del semen. El semen fue recogido de un varón (capítulo 2) extendido en Triladyl® y sostenido en el oC 4 para 24 horas (véase el capítulo 4). El semen enfriado fue dibujado de un tube® del halcón (Becton Dickinson) dentro de un Francés-tipo paja de 0.5 ml entonces cargada en un arma de la inseminación de 0.5 ml (IMV arma del AI, IMV International Corporation; El cuadro 6.1) con el extremo del enchufe del algodón de la paja insertó primero. Una envoltura (Universal AI Sheath, IMV International Corporation) entonces fue colocada sobre el eje entero del arma del AI para sostener la paja dentro del arma. Inseminaron a ocho hembras 24 horas después de la colección del semen. 125
  • 126.
    6.2.3.2 Congelado-desheló elsemen El almacenador intermediario verde/claro del camello (IMV, los E.E.U.U.) y Biladyl A&B (Minitub, Alemania) fueron utilizados para extender semen antes de congelar y del almacenaje en el nitrógeno líquido (capítulo 5). la esperma Congelado-deshelada exhibió la actividad de 20 a del 40% (véase el capítulo 5). Después de deshelar el semen en un baño de agua de 37 oC por 60 segundos, cada Francés-tipo paja de 0.5 ml fue secado a fondo con la toalla de papel. Un centímetro de la paja, incluyendo el enchufe del PVC, fue cortado, entonces la paja fue cargado en un arma de la inseminación de 0.5 ml (IMV arma del AI, IMV International Corporation; El cuadro 6.1) con el extremo del enchufe del algodón de la paja insertó primero. Una envoltura (Universal AI Sheath, IMV International Corporation) entonces fue colocada sobre el eje entero del arma del AI para sostener la paja dentro del arma. Inseminaron a nueve hembras con el semen que que había sido extendido y congelado en el buffer® verde/claro del camello (IMV, los E.E.U.U.) e inseminaron a siete hembras con el semen que había sido extendido y congelado en Biladyl® (Minitub, Alemania). 6.2.4 Técnica de la inseminación Refrenaron a la hembra seleccionada en recumbency del sternal. La cola fue sostenida apartada y el perinéo fue limpiado con la toalla de papel y el alcohol. Una mano pequeña, gloved, lubricada fue puesta en el recto y utilizada para estabilizar la cerviz. El extremo del arma del AI fue pasado a través de la vulva, de la vagina y de la cerviz en el cuerno uterino ipsilateral al ovario que contenía el folículo dominante. Cuando el arma fue colocado en la extremidad del cuerno uterino, el émbolo en el arma del AI fue empujado para depositar el semen de la paja en el útero. El arma del AI entonces fue retirado, el perinéo limpiado limpio con la toalla de papel y la hembra lanzada. La inseminación artificial fue realizada 24 horas (y 30 horas en que suplemento verde/claro el usar del camello) después de la inducción de la ovulación, aproximadamente 4 a 6 horas antes de la época predicha de la ovulación. 126
  • 127.
    La inseminación artificialfue realizada después de las pautas precisada en el código de la práctica australiano para el cuidado y el uso de los animales para los propósitos científicos 1997 y recibió la aprobación del comité australiano del ética del animal de laboratorio de la salud animal. 6.3 Resultados Las nueve hembras que recibieron dos inseminaciones no tenían ovulated en 24 horas después de la inducción de la ovulación, pero tenían todas ovulated por 30 horas después de la inducción de la ovulación. Demostraciones de la tabla 6.1 que los resultados de usar de los ensayos de la inseminación artificial enfriaron y que congelado-deshelaron el semen. No se obtuvo ningunos embarazos usando el semen enfriado o congelado inseminado en 24 a 30 horas después de la inducción de la ovulación. 127
  • 128.
    6.4 Discusión La ovulaciónfue inducida con éxito entre 24 y 30 horas después de la inyección intramuscular de buserelin. Estos resultados son constantes con otros trabajadores (véase la sección 1.5.5; Bourke y otros. 1992b, 1995a, Huanca y otros. 2001a). Deposición de Transcervical del semen en la extremidad del cuerno uterino ipsilateral al ovario que llevaba el folículo dominante demostrado ser una técnica simple y eficiente para el AI, sin embargo, no se alcanzó ningunos embarazos usando el semen enfriado o congelado- deshelado en la corriente proyecto. La ovulación y la inseminación síncronas se requiere para alcanzar altas tarifas del concepto. En una cierta especie, las altas tarifas del concepto ocurren cuando la esperma está en el oviducto momentos antes de la ovulación (Hafez 1993). La fertilidad con cryopreserved el semen en ganado doméstico puede ser alta proporcionando la inseminación se hace 4 horas antes de la ovulación (Watson 2000). La fertilidad con semen fresco se mantiene sobre un período mucho más largo. Si la esperma se coloca en la zona demasiado temprano, perderán viabilidad antes de la ovulación, y si la esperma se coloca en la zona después de la ovulación, el ovum pueden perder viabilidad antes de que la fertilización pueda ocurrir (Hafez 1993). 128
  • 129.
    La inseminación artificialfue realizada 24 horas después de la inducción de la ovulación, aproximadamente 4 a 6 horas antes de la época predicha de la ovulación. A un estudio temprano de la alpaca, la parte más elevada de ova fertilizado dio lugar cuando la inseminación artificial intrauterina con semen fresco era 35 a 45 horas después de que la inducción de la ovulación que usaba cualquiera a vasectomised el hCG masculino o intramuscular (Calderon y otros. 1968). Más recientemente, el AI 24-36 horas después de la inducción de la ovulación en alpacas ha dado lugar a tarifas aceptables del concepto con el semen fresco y congelado (tabla 1.13; Pacheco 1996, Quispe 1996, Apaza y otros. 1999). Bravo y otros. (1997a), usar el semen fresco, no diluido comparó las técnicas de transcervical y AI laparoscopic en alpacas y tarifas similares alcanzadas del concepto. Transcervical AI aparecería ser un procedimiento más simple, menos-invasor, no obstante tiene limitaciones de la capacidad rectal/pélvica de permitir estabilización manual transrectal de la cerviz al pasar la pipeta del AI a través de la cerviz, y la dificultad de localizar el OS externo de la cerviz durante este procedimiento. El bravo (2002) describe la necesidad de la paciencia y de la destreza de pasar una pipeta a través de la cerviz en el útero. Laparoscopic AI requiere el alojamiento de la hembra en un cajón, la sedación con o sin un anestésico general, y el equipo laparoscopic costoso. La carencia de embarazos después de la inseminación de aproximadamente 300 millones de siguientes de la esperma la extensión y el congelar en Biladyl A/B, indica que otros estudios están requeridos para aumentar el porcentaje de la esperma activa poste-deshielan, para refinar la sincronización del AI en lo referente a la ovulación, para determinar los números de la esperma (enfriada y congelada) requeridos para el concepto y el método óptimo de la entrega de la esperma en la zona reproductiva femenina para asegurar el alto concepto clasifica. Mientras que otros trabajadores han obtenido embarazos usando el semen fresco y enfriado extendido, han alcanzado pocos embarazos usando el semen congelado-deshelado (véase la tabla 1.13). Bravo y otros (2000) divulgaron uno de los mejores resultados hasta ahora con semen deshelado congelado con 5 jóvenes nacidos a 19 hembras inseminadas. Semen las 129
  • 130.
    características poste-deshielan enese estudio eran similares a ésas divulgadas aquí. Otros trabajadores han tenido poco éxito en términos de embarazos con semen enfriado o congelado en los alpacas o las llamas (Aller 2001). Algunos resultados al parecer buenos se divulgan en la literatura en diversa especie del camelid (tabla 1.13). Los detalles de las técnicas exactas usadas están faltando a veces. Los autores divulgan raramente resultados negativos y así que el cuadro total de la fertilidad con semen congelado-deshelado en camelids sigue siendo confuso. Hay una relación significativa entre el número de la esperma por la dosis del semen y la fertilidad (Rodriguez Martinez y otros. 2001) pero puede ser posibles reducir el número de la esperma por dosis con técnicas de la refinación de la colección, del proceso y del AI, y por lo tanto aumenta el número de dosis por ejaculate. Hay un número del umbral de la esperma viable por la AI-dosis para los varones individuales, debajo de quienes poca esperma viable inseminada, mayor es el riesgo que la fertilidad será comprometido (Foote y otros. 1993). Un suficiente número de la esperma completamente competente que es capaz de alcanzar la fertilización a la hora de la ovulación se requiere en el oviducto para alcanzar el embarazo (Watson 2000). Doscientos millones cryopreserved la esperma colocada en la cerviz, 20 millones cryopreserved la esperma colocada en el útero o 1 millón cryopreserved la esperma colocada en el oviducto son necesario alcanzar la fertilidad más del de 50% en las ovejas (maxwell 1986, Maxwell y otros. 1993). La fertilidad declina exponencial cuando se reduce el número o la calidad de la esperma. La inseminación quirúrgica se ha combinado con el uso del semen congelado-deshelado en una cierta especie de depositar colmo de la esperma en la zona reproductiva para asegurar a una mayor proporción del alcance de la esperma los oviductos y para alcanzar una fertilidad más satisfactoria (Watson 2000). Semen de Intracornual la deposición del semen durante el copulation en camelids puede ser una adaptación para superar las concentraciones relativamente bajas de la esperma (marrón 2000). 130
  • 131.
    La inducción dela ovulación, conjuntamente con la inseminación intrauterina transcervical sincronizada fue alcanzada usando el semen enfriado y congelado-deshelado. No se obtuvo ningunos embarazos. Por lo tanto los estudios están más lejos necesario para aumentar los números de la esperma normal, viva, activa entregada a los cuernos uterinos alrededor de la época de la ovulación. 7. DISCUSIÓN GENERAL Este informe presenta nuevos datos sobre las técnicas usadas para la colección, la caracterización, la preservación y la inseminación del semen de la alpaca. Las conclusiones hechas durante los estudios en este proyecto pueden ser resumido como sigue: • El constante y la colección confiable de semen de la alpaca eran posibles con un mannequin de madera cubierto con una piel bronceada de la alpaca y cabido con una vagina artificial. • Era posible entrenar a los varones virginales y experimentados de la alpaca a acoplarse con el mannequin. • Los componentes del comportamiento de acoplamiento fueron definidos. • Que aplica la fuerza centrífuga a la vagina artificial después de que la eyaculación fuera requerida para maximizar la producción de semen. • Las características del semen que definen un ejaculate fueron establecidas. • La calidad del semen varió considerablemente en y entre varones. • Los suplementos de que contenían la yema de huevo y el glicerol, y particularmente Triladyl® (Minitub, Alemania), probaron los suplementos más eficaces para el semen enfriado hasta 48 horas. 131
  • 132.
    • La centrifugaciónni del semen para quitar plasma seminal ni la agitación rápida para reducir viscosidad realzó al parecer la supervivencia del semen enfriado. El inmediato poste-deshiela la actividad de la esperma era aproximadamente 20 a el 40% cuando o el almacenador intermediario verde/claro del camello (IMV International Corporation, los E.E.U.U.) o Biladyl A/B (Minitub, Alemania) fue utilizado como suplemento para el semen que congela. • La ovulación fue inducida con éxito entre 24 y 30 horas después de la inyección intramuscular de buserelin. • La deposición de Transcervical del semen en la extremidad del cuerno uterino ipsilateral al ovario que llevaba el folículo dominante demostró ser una técnica simple y eficiente para la inseminación artificial. • El ningunos embarazos fue alcanzado usando el AI transcervical, intrauterino del semen enfriado o congelado-deshelado. Los resultados en este proyecto proporcionan una base sana sobre la cual continuar desenredando los misterios de la colección, de la preservación y de la inseminación del semen de la alpaca. Aunque el AI primero fue procurado en los años 60 en camelids del americano del sur, los una pequeña cantidad de embarazos se han alcanzado que usando desde entonces enfriado o congelado el semen reflejan las dificultades de transferir tecnología de crianza artificial del otro ganado doméstico a los camelids. Las idiosincrasias fisiológicas de los alpacas masculinos por ejemplo la duración de acoplamiento extendida y el bajo volumen, baja densidad, semen de gran viscosidad conjuntamente con la variación en calidad de ejaculates ambos en y entre desafíos proporcionados los varones a través del proyecto entero. Como ejemplo de algunas de las frustraciones hechas frente durante el proyecto, no todos los varones que fueron entrenados para montar al mannequin se acoplaron bien en cada tentativa. En algunos días, los varones montaron a mannequin y semen excelente ejaculated de la calidad. En otros días, los varones inquietaron excesivamente y eran renuentes penetrar el sistema de pesos americano o eran renuentes permanecer en el sistema de 132
  • 133.
    pesos americano yno podido ejaculate adecuadamente. Esto la variación en comportamiento de acoplamiento redujo el número de ejaculates conveniente para la transformación posterior y podía ser crítica en el éxito de la preservación del semen. Los datos recogidos durante el proyecto asistirán a los criadores y a los veterinarios en la industria australiana de la alpaca para seleccionar padres de los sonidos con la evaluación de criar características del comportamiento y del semen. Se anticipa que esta misma información asistirá con la selección de varones con el semen que es conveniente para enfriarse y/o congelar. Las características del semen necesitan ser definidas más a fondo en lo referente a edad, a la estación y al tamaño alimenticio del estado y testicular. Todavía hay mucho trabajo que necesita ser hecho para congelar el semen de la alpaca de una manera acertada. Este proyecto ha contestado a algunas preguntas pero ha pedido muchos más. Permutaciones y combinaciones del sistema de pesos americano la configuración, los tipos de suplemento, la longitud de enfriarse, el medir el tiempo de la adición del glicerol, el tiempo del equilibrio del glicerol y el semen, por ciento de glicerol agregado al semen extendido final, altura de congelar sobre tiempo del nitrógeno líquido y el deshelar y la temperatura del semen son algunos de los muchos aspectos que se tratarán en la investigación futura. Muchos de estos parámetros han sido descubiertos por ensayo y error en la otra especie. Protocolos para que pruebans el extender, el enfriarse, el congelar y necesidad el deshelar sean modificados y con la experimentación controlada que implica números más grandes de animales que posible en el proyecto actual. Dos acercamientos a la investigación futura se sugieren por experiencia ganada en el proyecto actual: • A planeó el programa de investigación graduado basado en los resultados de este informe, y lo condujo como una universidad/empresa conjunta de la industria. La infraestructura de una institución es necesaria incluyendo capacidad del tener una multitud experimental de alpacas y con las instalaciones y el experto del laboratorio supervisión disponible. Los costes importantes incluirían la compra y el 133
  • 134.
    mantenimiento de animales,poste ayuda del estudiante graduado, y ayuda del proyecto. • El apoyó financieramente “en la investigación de la granja” donde la alpaca grande y bien manejada que cría granjas se utiliza para contener y para manejar grupos experimentales de animales. Las características Cooperating proveerían la infraestructura de animales, gerencia de la multitud incluyendo la alimentación y dirección animal. Investigación los trabajadores visitarían sobre una base prevista en un laboratorio móvil. Entrenarían a los varones para los propósitos y los grupos experimentales de hembras se prepararon para las inseminaciones sincronizadas. Los costes importantes ser ayuda de la investigación para las características que participan (e.g. agistment subvencionado para la multitud, el trabajo experimentales del suplemento), los costes del recorrido y la ayuda del proyecto. El conocimiento ganado sobre la colección, la caracterización, la preservación y la inseminación del semen de la alpaca acelerará la disponibilidad de los servicios de la inseminación artificial en alpacas. Esto beneficiará la industria australiana de la alpaca con una utilización más eficiente de varones genético superiores y una difusión más rápida de genotipos mejorados a través de la manada nacional. 134
  • 135.
  • 136.
  • 137.
  • 138.
  • 139.
    BIBLIOGRAFIA • Abdel RahimSEA, El Nazier AT. Studies on the sexual behaviour of the dromedary camel. In: Allen WR, Higgins AJ, Mayhew IG, Snow D, Wade JF (eds), Proceedings of the First International Camel • Conference. R&W Publications, Newmarket, 1992; 115-118. • Adam CL, Moir CE, Shiach P. Plasma progesterone concentrations in pregnant and non-pregnant llamas (Lama glama). Veterinary Record 1989; 125:618-620. • Adams GP, Griffin PG, Ginther OJ. In situ morphologic dynamics of ovaries, uterus and cervix in llamas.Biology of Reproduction 1989; 41:551-558. • Adams GP, Sumar J, Ginther OJ. Effects of lactational and reproductive status on ovarian follicular waves in llamas (Lama glama). Journal of Reproduction and Fertility 1990; 90:535-545. • Adams GP, Ratto MH. Reproductive biotechnology in South American camelids. Revista de Investigaciones Veterinarias del Peru 2001; 1:134- 141. • Aller JF. Cryopreservation of semen and artificial insemination in South American camelids. Internacional Foundation for Sciences Final Report 2001. • Aller JF, Cancino AK, Rebuffi G, Alberio RH. Inseminacion artificial en llamas en la Puna. Proc II Congreso Mundial sobre Camelidos, Cusco, Peru 1999b; p72. • Anouassi A, Adnani M, El Raed. Artificial insemination in the camel requires induction of ovulation to achieve pregnancy. In: Allen WR, Higgins AJ, Mayhew IG, Snow D, Wade JF (eds), Proceedings of the First International Camel Conference. R&W Publications, Newmarket, 1992; 175-177. • Apaza N, Alarcon V, Huanca T, Cardenas O. Avances sobre la inseminacion artificial con semen congelado an alpacas. Proc II Congreso Mundial sobre Camelidos, Cusco, Peru 1999; p73. 139
  • 140.
    • Arthur GH.An overview of reproduction in camelids. In: Allen WR, Higgins AJ, Mayhew IG, Snow D, Wade JF (eds), Proceedings of the First International Camel Conference. R&W Publications, Newmarket, • 1992; 109-113. • Batellier F, Vidament M, Fauquant J, Duchamp G, Arnaud G, Yvon JM, Magistrini M. Advances in cooled semen technology. Animal Reproduction Science 2001; 68:181-190. • Bourke DA, Adam CL, Kyle CE, McEvoy TG, Young P. Ovulation, superovulation and embryo recovery in llamas. In: Proceedings 12th Int Congress Animal Reproduction 1992b; 1:193-195. • Bourke DA, Kyle CE, McEvoy TG, Young P, Adam CL. Superovulatory responses to eCG in llamas (Lama glama). Theriogenology 1995a; 44:255-268. • Bourke DA, Kyle CE, McEvoy TG, Young P, Adam CL. Advanced reproductive technologies in South American camelids. Proc 2nd European Symp South American Camelids 1995c; 235-243. • Bravo PW. Reproductive endocrinology of llamas and alpacas. In: Johnson LW (ed) Veterinary Clinics of North America Food Animal Practice WB Saunders, Philadelphia, 1994; 10:265-279. • Bravo PW. Physiology of reproduction and fertility evaluation in the male alpaca. Proceedings of Post Graduate Foundation in Veterinary Science 1995; 257:61-66. • Bravo PW. An insight into the development of freezing semen in South American camelids. Camelid Medicine, Surgery and Reproduction for Veterinarians, Columbus Ohio 2002; 443. • Bravo PW. Male reproduction. In: The reproductive process of South American camelids. Bravo Publishing 2002b; pp 49-64. • Bravo PW, Stabenfeldt GH, Lasley BL, Fowler ME. The effect of ovarian follicular size on pituitary and ovarian responses to copulation in domesticated South American camelids. Biology of Reproduction 1991; 45:553-559. • Bravo PW, Johnson LW. Reproductive physiology of the male camelid. In: Johnson LW (ed) Update on Llama Medicine. Veterinary Clinics of 140
  • 141.
    North America FoodAnimal Practice WB Saunders, Philadelphia, 1994b; 10:259-264. • Bravo PW, Moscoso J, Ordonez C, Alarcon V. Transport of spermatozoa and ova in the female alpaca. Animal Reproduction Science 1996b; 43:173-79. • Bravo PW, Ordonez C, Alarcon V. Processing and freezing of semen of alpacas and llamas. 13th Internacional Congress on Animal Reproduction 1996c; 2:2-3. • Bravo PW, Flores U, Garnica J, Ordonez C. Collection of semen and artificial insemination of alpacas. • Theriogenology 1997a; 47:619-626. • Bravo PW, Flores D, Ordonez C. Effect of repeated collection on semen characteristics of alpacas. Biology of Reproduction 1997b; 57:520-524. • Bravo PW, Solis P, Ordonez C, Alarcon V. Fertility of the male alpaca – Effect of daily consecutive breeding. Animal Reproduction Science 1997d; 46:305-312. • Bravo PW, Pacheco C, Quispe G, Vilcapaza L, Ordonez C. Degelification of alpaca semen and the effect of dilution rates on artificial insemination outcome. Archives of Andrology 1999; 43:239-46. • Bravo PW, Skidmore JA, Zhao XX. Reproductive aspects and storage of semen in Camelidae. Animal Reproduction Science 2000a; 62:173- 193. • Bravo PW, Ccallo M, Garnica J. The effect of enzymes on semen viscosity in llamas and alpacas. Small Ruminant Research 2000b; 38:91- 95. • Bravo PW, Moscoso R, Alarcon V, Ordonez C. Ejaculatory process and related semen characteristics. Archives of Andrology 2002; 48:65- 72. • Brown BW. A review on reproduction in South American camelids. Animal Reproduction Science 2000; 58:169-195. • Buendia P, Soler C, Paolicchi F, Gago G, Urquieta B, Perez-Sanchez F, Bustos-Obregon E. Morphometric 141
  • 142.
    • characterization andclassification of alpaca sperm heads using the Sperm-Class Analyzer computerassisted • system. Theriogenology 2002; 57:1207-1218. • Burgel H, Erhardt G, Gauly M. Cryopreservation of llama (Lama glama) semen. Proc II Congreso Mundial • sobre Camelidos, Cusco, Peru 1999; p82. • Calderon W, Sumar J, Franco E. Avances en la inseminacion artificial de las alpacas (Lama pacos). Revista de • la Facultad de Medicina Veterinaria, Universidad Nacional Mayor de San Marcos, Lima, Peru 1968; • 22:19-35. • Callo M, Garnica J, Bravo PW. Efecto de la fibrinolisina, hialuronidasa, colagenasa y tripsina sobre la • viscosidad del semen en alpacas. Proc II Congreso Mundial sobre Camelidos, Cusco, Peru 1999; p78. • Carmichael IH. Internal parasitism in alpacas in southern Australia. Proceedings of the Australian Camelid • Veterinary Association Conference 1999; 1-40. • Chaves MG, Aba MA, Agüero A, Egey J, Berestin V, Rutter B. Ovarian follicular wave pattern and the effect • of exogenous progesterone on follicular activity in non-mated llamas. Animal Reproduction Science • 2002; 69:37-46 • 85 • Chen BX, Yuen ZX, Pan GW. Semen-induced ovulation in the bactrian camel (Camelus bactrianus). Journal • of Reproduction and Fertility 1985; 74:335-339. • Condorena N, Sumar J, Franco E, Alarcon V. Largo de gestacion en llamas (Lama glama). In: XI Congreso • Panamericano de Ciencias Veterinarias, Lima, Peru 1988; Abstract E.11.1. 142
  • 143.
    • Critchlow JD,Matson PL, Newman MC, Horne G, Troup SA, Lieberman BA. Quality control in an in-vitro • fertilization laboratory: use of human sperm survival studies. Human Reproduction 1989; 4:545-549. • Davalos R, Olazabal J, Echevarria L. Avances en la evaluacion de dos formas de coleccion de semen en • alpacas. Proc II Congreso Mundial sobre Camelidos, Cusco, Peru 1999; p74. • Deen A, Vyas S, Sahani MS. Semen collection, cryopreservation and artificial insemination in the dromedary • camel. Animal Reproduction Science 2003; 77:223-233. • de la Vega D. Efecto de la concentration espermatica y la hora de inseminacion artificial con semen fresco sobre • el porcentaje de gestacion en alpacas. MVZ Thesis, Faculdad Medicina Veterinaria Universidad • Nacional Altiplano, Peru 1996; 54pp. • Delhon GA, Lawzewitsch I. Reproduction in the male llama (Lama glama), a South American camelid. I Spermatogenesis and organisation of the intertubular space of the mature testis. Acta Anatomica 1987;129: 59-66. • Delhon GA, Lawzewitsch I. Ductus epididymis compartments and morphology of epididymal spermatozoa in llamas. Anatomy, Histology and Embryology 1994; 23:217-225. • Elliot FI. Artificial insemination of a bactrian camel (Camelus bactrianus). International Zoo Yearbook 1961; 3:94. • ElWishy AB. Reproduction in the male dromedary (Camelus dromedarius): A review. Animal ReproductionScience 1988; 17:217-241. • England BG, Foote WC, Cardozo AG, Matthews DH and Riera S. Oestrus and mating behaviour in the llama (Lama glama). Animal Behaviour 1971; 19:722-726. 143
  • 144.
    • Entwistle K.Bull reproductive anatomy and physiology. In: Bull Fertility: Selection and Management in Australia Australian Association of Cattle Veterinarians; 2002; pp2.1-2.17. • Escobar RC. Mating, parturition. In: The Llama, Animal Breeding and Production of South American Camelids. Ed Hennig R; Talleres Graficos de ABRIL, Lima, Peru, 1984; 39, 103-139, 229-247, 358. • Evans G. Standardisation of semen analysis. In: Predicting and monitoring the fertility of artificial insemination sires Project UQ050 Dairy Research and Development Corporation 2001; p39-43. • Fernandez-Baca S. Manipulation of reproductive functions in male and female New World camelids. Animal Reproduction Science 1993; 33:307-323. • Fernandez-Baca S, Calderon W. Methods of collection of semen in the alpaca. Revista de la Facultad de Medicina Veterinaria, Universidad Nacional Mayor de San Marcos, Lima, Peru 1966; 18-20:13. • Fernandez-Baca S, Madden DHL, Novoa C. Effect of different mating stimuli on induction of ovulation in the alpaca. Journal of Reproduction and Fertility 1970d; 22:261-267. • Fernandez-Baca S, Sumar J, Novoa C, Leyva V. Relacion entre la ubacacion del cuerpo luteo y la localizacion • del embrion en la alpaca. Rev Inv Pec (IVITA). Universidad Nacional de San Marcos 1973; 2:131-135. • Flores P, Garcia-Huidobro J, Munoz C, Bustos-Obregon E, Urquieta B. Alpaca semen characteristics previous to a mating period. Animal Reproduction Science 2002; 72:259-266. • Foote RH, Parks JE. Factors affecting preservation and fertility of bull sperm: a brief review. Reproduction, Fertility and Development 1993; 5:665-673. • Fowler ME, Bravo PW. Reproduction. In: Fowler ME, Medicine and surgery of South American camelids. 2nd edition. Iowa State University Press, Ames 1998; pp381-429. • Franco E, Sumar J, Varela M. Eyaculacion en la alpaca (Lama pacos). IV Convencion Internacional sobre Camelidos Sudamericanos. 144
  • 145.
    Corporacion Nacional Forestal.Instituto de la Patagonia, Chile, Punta Arenas, 22-27 Noviembre 1981. • Galloway DB. The development of the testicles in alpacas in Australia. Proceedings of the Australian Alpaca Industry Conference. Canberra 25- 27 August, 2000; pp21-23. • Garnica J, Achata R, Bravo PW. Physical and biochemical characteristics of alpaca semen. Animal Reproduction Science 1993; 32:85-90. • Garnica J, Flores E, Bravo PW. Citric acid and fructose concentrations in seminal plasma of alpaca. Small Ruminant Research 1995; 18:95-98. • Gauly M, Leidinger H. Semen quality, characteristic volume distribution and hypo-osmotic sensitivity of spermatozoa of Lama glama and Lama guanicoe. Proc 2nd European Symposium on South American camelids (Gerken M, Renieri C, eds). Publ Universita Degli Studi Di Camerino. 1996; 235-244. • Giuliano SM, Spirito SE, Miragaya MH, Capdevielle EF, Aguero A, Boquet MD, Ferrari MR. Electroejaculation and seminal parameters in vicuna (Vicugna vicugna). Theriogenology 2002; 57:583. • Gravance CG, Vishwanath R, Pitt C, Garner DL, Casey PJ. Effects of cryopreservation on bull sperm head • morphometry. Journal of Andrology 1998; 19:704-709. • Gunn I. Alpaca field trials. Rural Industries Research and Development Corporation Project 1999. • Hafez ESE. Artificial insemination. In: Hafez ESE (editor). Reproduction in Farm Animals. 6th ed. Lea & Febiger, Baltimore. 1993; p424-439. • Hancock JL. The morphology of boar spermatozoa. Journal of Royal Microscopical Society 1957; 26:84-97. • Holt C. Statistically speaking. Alpacas Australia 2001; 35:14-19. • Holt WV. Basic aspects of frozen storage of semen. Animal Reproduction Science 2000; 62:3-22. 145
  • 146.
    • Huanca W,Cardenas O, Olazabal C, Ratto M, Adams GP. Efecto hormonal y empadre sobre el intervalo a la ovulacion en llamas. Rev Inv Vet Peru 2001a; 1:462-463. • Huanca W, Gauly M. Conservacion de semen refrigerado de llamas. Rev Inv Vet Peru 2001b; 1:460-461. • Johnson LW. Llama reproduction. In: Johnson LW (ed) Llama medicine. Veterinary Clinics of North America Food Animal Practice WB Saunders, Philadelphia, 1989; 5:159-182. • Johnston SD, McGowan MR, Carrick FN, Tribe A. Preliminary investigations into the feasibility of freezing koala (Phascolarctos cinereus) semen. Australian Veterinary Journal 1993; 70:424-425. • Katila T. Procedures for handling fresh stallion sperm. Theriogenology 1997; 48:1217-1227. • Knight TW, Death A, Wyeth T, Hill F. Effects of GnRH and of single versus multiple mating on the conception rate in alpacas. Proceedings of the New Zealand Society of Animal Production 1992; 52:311-312. • Lane D. Preputial prolapse in an alpaca. Canadian Veterinary Journal 1999; 40:260. • Lichtenwalner AB, Woods GL, Weber JA. Ejaculatory pattern of llamas during copulation. Theriogenology 1996a; 46:285-291. • Lichtenwalner AB, Woods GL, Weber JA. Seminal collection, seminal characteristics and pattern of ejaculation in llamas. Theriogenology 1996b; 46: 293-305. • McEvoy TG, Kyle CE, Slater D, Adam CL, Bourke DA. Collection, evaluation and cryopreservation of llama semen. Journal of Reproduction and Fertility 1992b; abstract 9:48. • McEvoy TG, Bourke DA, Adam CL. Recent advances in understanding and controlling the reproductive biology of South American camelids. In: Proc Assisted Reproductive Technology and Andrology • Meeting, Spain 1994; 5:277-298. 146
  • 147.
    • Maxwell WMC.Artificial insemination of ewes with frozen thawed semen at a synchronised oestrus: II. Effect of dose of spermatozoa and site of intrauterine insemination on fertility. Animal Reproduction Science • 1986; 10:309-316. • Maxwell WMC, Evans G, Rhodes SL, Hillard MA, Bindon BM. Fertility of superovulated ewes alter intrauterine or oviductal insemination with low numbers of fresh or frozen-thawed spermatozoa. Reproduction, Fertility and Development 1993; 5:57-63. • Mogrovejo SD. Estudios del semen de la alpaca. BS Thesis. Fac Med Vet Univ Nac Mayor San Marcos, Lima, 1952; 21pp. • Montalvo C, Cevallos E, Copaira M. Estudio microscopico del parenquima testicular de la alpaca durante las estaciones del ano. In: Res Proyectos de Investigacion, Periodo 1975-1979. Univ Nac Mayor San Marcos, Lima 1979, p37. • Moscoso R, Ordonez C, Alarcon V, Bravo PW. Contracciones pene- uretrales durante la copula y • caracteristicas seminales de llamas y alpacas. Proc II Congreso Mundial sobre Camelidos, Cusco, Peru • 1999; p77. • Moslah M, Minoia P, Lacalandra GM, Khorchani T, Zarrilli A. Hormonal stimulation of libido and reproductive function in the male dromedary camel: clinical observations. In: Allen WR, Higgins AJ, Mayhew IG, Snow D, Wade JF (eds), Proceedings of the First International Camel Conference. R&W Publications, Newmarket, 1992; 173-174. • Neely DP. Reproductive aspects of the male lama. Proceedings of the Hudson-Walker Theriogenology Conference 1993; 4:31-39. • Novoa C. Reproduction in Camelidae (Review). Journal of Reproduction and Fertility 1970; 22:3-20. • O’Leary RK. Validation of new high-clarity resin for Falcon® brand polypropylene conical tubes. Becton Dickinson Technical Bulletin 411. 147
  • 148.
    • Ordoñez TH.Llamas, llama production and llama nutrition in the Ecuador highlands. Journal of Arid Environments 1994; 26:67-71. • Pacheco C. Efecto de la tripsina y colagenasa sobre el acrosoma espermatozoide y su relacion con la fertilidad del semen de alpaca. MVZ Thesis, Prog Med Vet Zootec Univ Catol Santa Maria, Arequipa, Peru 1996; 52pp. • Pan G, Zhao X, Chen S, Jiang S, Huang Y, Zu Y, Wang H. The ovulation-inducing effect of seminal plasma in the bactrian camel. In: Allen WR, Higgins AJ, Mayhew IG, Snow D, Wade JF (eds), Proceedings of the First International Camel Conference. R&W Publications, Newmarket, 1992; 159-161. • Paolicchi F, Urquieta B, Del Valle L, Bustos-Obregon E. Biological activity of the seminal plasma of alpacas: stimulus for the production of LH by pituitary cells. Animal Reproduction Science 1999; 54:203-210. • Parraguez VH, Cortez S, Gazitua FJ, Ferrando G, MacNiven V, Raggi LA. Early pregnancy diagnosis in alpaca (Lama pacos) and llama (Lama glama) by ultrasound. Animal Reproduction Science 1997; 47:113-121. • Perkins NR, Frazer GS, Hull BL. Endocrine diagnosis of cryptorchidism in a llama. Australian Veterinary Journal 1996; 74:275-277. • Perry V, Phillips N, Fordyce G, Gardiner B, Entwistle K, Chenoweth P, Doogan VJ. Semen collection and evaluation. In: Bull Fertility: Selection and Management in Australia Australian Association of Cattle • Veterinarians; 2002; pp5.1-5.19. • Phillips NJ, McGowan MR, Johnston SD, Mayer D, Morton J, Carrick M. Relationship between post-thaw sperm characteristics and the corrected conception rate of selected high use Australian dairy AI sires. In: Predicting and monitoring the fertility of artificial insemination sires Project UQ050 Dairy Research and Development Corporation 2001; pp 44-61. • Polge C, Smith A, Parkes A. Revival of spermatozoa after vitrification and dehydration at low temperatures. Nature (London) 1949; 164:166. 148
  • 149.
    • Pollard JC,Moore GH, Littlejohn RP. The sexual behaviour of alpacas imported to New Zealand from Chile. Proceedings of the New Zealand Society of Animal Production 1991; 51:43-46. • Pollard JC, Littlejohn RP, Moore GH. Seasonal and other factors affecting the sexual behaviour of alpacas. Animal Reproduction Science 1995; 37:349-56. • Pugh DG. Male lama reproductive evaluation. Proceedings of the Society for Theriogenology 1999; 211-216. • Purohit GN. Biotechnologies in camelid reproduction: current status and future prospectives. Journal of Camel Practice and Research 1999; 6:1- 13. • Quispe G. Inseminacion artificial en alpacas (Lama pacos) con semen diluido a differentes concentraciones: I Zootec Thesis, Fac Agron Zootec, Univ Nac San Antonio Abad, Cusco, Peru 1996; 103pp. • Ratto MH, Wolter M, Berland M. Refrigeration of epididymal sperm from lama with three different extenders. Proc II Congreso Mundial sobre Camelidos, Cusco, Peru 1999c; 79 abstr. • Raymundo F, Huanca W, Huertas S, Gauly M. Influence of different extenders on the motility in alpaca (Lama pacos) semen. 2nd Int Camelid Conference Agroeconomics of Camelid Farming Almaty, Kazakhstan 2000; 79 (abstract). • Rigby SL, Brinsko SP, Cochran M, Blanchard TL, Love CC, Varner DD. Advances in cooled semen technologies: seminal plasma and semen extender. Animal Reproduction Science 2001; 68:171-180. • Rios M, Sumar J, Alarcon V. Presencia de un factor de induccion de ovulacion en al semen de la alpaca y toro. In: Resumenes 8 Reunion Cientifica Annual Asociacion Peruana Produccion Animal. Huancayo, Peru 1985; p40. • Rodriguez-Martinez H, Larsson B. Laboratory assessment of viability and fertilizing capacity of frozenthawed bull spermatozoa and their relationship to conception rate. In: Predicting and monitoring the fertility of artificial insemination sires Project UQ050 Dairy Research and Development Corporation 2001; pp 24-30. 149
  • 150.
    • Salinas J,Bravo PW, Ordonez C, Zapata B, Alarcon B. Niveles optimos de glicerina en la congelacion de semen en alpacas (Lama pacos). Resumenes de Investigacion en Camelidos Sudamericanos, Cusco 1999; 24. • San Martin M, Copaira M, Zuniga J, Rodreguez R, Bustinza G, Acosta L. Aspects of reproduction in the alpaca. Journal of Reproduction and Fertility 1968; 16:395-399. • San Martin F, Bryant FC. Nutrition of domesticated South American llamas and alpacas. Small RuminantResearch 1989; 2:191-216. • Simson A. Equine reproduction: a clinical perspective. Proceedings of the Australian Embryo Transfer Society 2001; pp1-8. • Skidmore JA, Billah M, Allen WR. The ovarian follicular wave pattern and induction of ovulation in the mated & non-mated one-humped camel (Camelus dromedarius). Journal of Reproduction and Fertility 1996; • 106:185-192. • Skidmore JA, Billah M. Assisted reproduction in the dromedary camel (Camelus dromedarius). 1st International Symposium on Assisted Reproductive Technology for the Conservation and Genetic Management of Wildlife 2001a; 66-71. • Smith BB. Overview of reproduction in the male llama and alpaca. Proceedings of the Society for Theriogenology 1999c; 191-196. • Stalhammar EM, Janson L, Philipsson J. The impact of sperm motility on non-return rate in pre-selected dairy bulls. Reproduction, Nutrition and Development 1994; 34:37-45. • Sucapuca V. Caracteristicas fisicas del semen de la alpaca obtenido por el metodo del preservativo. MVZ Thesis, Univ Nac Altiplano, Puno, Peru 1991; 49pp. • Sumar J. Studies on reproductive pathology in alpacas. Masters Thesis. Swedish University of Agricultural Sciences, Uppsala and Universidad Nacional Mayor de San Marcos 1983; 9-103. • Sumar J. Reproductive physiology in South American camelids. In: Land RB, Robinson DW (eds). Genetics of reproduction in sheep. London: Butterworths, 1985a; 81-95. 150
  • 151.
    • Sumar J.Effects of various ovulation induction stimuli in alpacas and llamas. Journal of Arid Environments 1994; 26:39-45. • Sumar J, Bravo PW, Foote WC. Sexual receptivity and time of ovulation in alpacas. Small Ruminant Research 1993; 11:143-150. • Taylor S, Taylor PJ, James AN, Godke RA. Successful commercial embryo transfer in the llama (Lama glama). Theriogenology 2000; 53:344. • Tibary A, Memon MA. Reproduction in the male South American Camelidae. Journal of Camel Practice and Research 1999b; 6:235-248. • Tingari MD, El-Manna MM, Rahim ATA, Ahmed AK, Hamad MH. Studies on camel semen. I. Electroejaculation and some aspects of semen characteristics. Animal Reproduction Science 1986; 12:213-222. • Valdivia M, Ruiz M, Bermudez L, Quinteros S, Gonzales A, Manosalva I, Ponce C, Olazabal J, Davalos R. • Criopreservacion de semen de alpacas. Proc II Congreso Mundial sobre Camelidos, Cusco, Peru 1999; 81 abstr. • Vaughan JL. Control of ovarian follicular growth in the alpaca (Lama pacos). PhD Thesis. Central Queensland University. 2001. • Vaughan JL, Macmillan KL, Anderson GA, D’Occhio MJ. Effects of mating behaviour and the ovarian follicular state of female alpacas on conception. Australian Veterinary Journal; 2003; 81:64-68. • Velasquez F, Malaga JL, Bravo PW. Citologia exfoliativa del utero de la alpaca. Proc II Congreso Mundial sobre Camelidos, Cusco, Peru 1999; 84 abstr. • von Baer A, Hellemann C. Semen characteristics in the llama (Lama glama). Archivos de Medicina Veterinaria 1998; 30:171-176. • von Baer L, Hellemann C. Cryopreservation of llama semen. Reproduction in Domestic Animals 1999; 34:95- 96. • von Kubicek J. Semen collection in alpaca with a urethral fistula (German). Zeitschrift Tierzuchtung und Zuchtungsbiologie 1974; 90:335- 351. 151
  • 152.
    • Watson PF.The causes of reduced fertility with cryopreserved semen. Animal Reproduction Science 2000; 60- 61:481-492. • Wiepz DW, Chapman RJ. Non-surgical embryo transfer and live birth in a llama. Theriogenology 1985; 24: 251-257. • Xu YS, Wang HY, Zeng GQ, Jiang GT, Gao YH. Hormone concentrations before and after semen-induced ovulation in the bactrian camel (Camelus bactiranus). Journal of Reproduction and Fertility 1985; 74:341-346. • Zhao X, Huang Y, Chen B. Biological activity of gonadotrophin-releasing hormone-like factors in the seminal plasma of the bactrian camel. In: Allen WR, Higgins AJ, Mayhew IG, Snow D, Wade JF (eds), Proceedings of the First International Camel Conference. R&W Publications, Newmarket, 1992; 163-168. 152