ISOMERÍA Lic. Verónica Rosso
ISÓMEROS (Compuestos con la misma fórmula molecular, pero presentan diferentes propiedades químicas debido a que su estructura es distinta) ISOMERÍA ESTRUCTURAL (Presentan diferente estructura debido a que presentan distintos tipos de enlaces en la cadena o en la unión entre átomos) ISOMERÍA ESPACIAL ESTEREOISOMERÍA (Presentan diferente orientación espacial de algunos de sus átomos) Isomería de cadena (Forman cadenas carbonadas distintas) Isomería de posición (La localización de las ramificaciones, insaturaciones o grupos funcionles son distintas) Isomería de función (Tienen grupos funcionales distintos) Isomería geométrica Diastereoisomería (Se debe a las posibles orientaciones cuando los átomos de carbono están unidos por enlaces que no pueden rotar) Isomería óptica Enantiomería (Se debe a las posibles orientaciones cuando los átomos de carbono están unidos por enlaces que no pueden rotar)
ISÓMEROS ESTRUCTURALES Los  is ó mer os  constitucional es   o  estructural es   son  los compuestos que a pesar de tener la misma fórmula molecular difieren en el orden en que están conectados los átomos, es decir, tienen los mismos átomos conectados de forma diferente (distinta fórmula estructural).
ISÓMEROS DE CADENA Los compuestos tienen distribuidos los átomos de carbonos de la molécula de forma diferente. Por ejemplo, existen 3 isómeros de fórmula general C 5 H 12 .
ISÓMEROS DE POSICIÓN Son c ompuestos  que  tienen las mismas funciones químicas ,  pero sobre átomos de carbono con números localizadores diferentes.  * *
ISÓMEROS DE FUNCIÓN Son  compuestos de igual fórmula molecular  que  presentan funciones químicas diferentes .   * * *
ESTEREOISÓMEROS L os   estereois ómeros  son  los isómeros cuyos átomos están conectados en el mismo orden, pero con disposición espacial diferente .
ISOMERÍA  GEOMÉTRICA La  isomería  cis-trans   se puede observar en moléculas cíclicas o en moléculas que presenten dobles enlaces .   Isomería  cis-trans  en ciclos Los cicloalcanos tienen dos “caras” o lados debido al plano que contiene el esqueleto carbonado; cuando en el ciclo hay dos sustituyentes en átomos de carbono distintos, existen dos isómeros. Si los sustituyentes se encuentran del mismo lado del plano es el  isómero  cis , y si están en lados opuestos es el  isómero  trans .
Isomería  cis-trans  en alquenos Una característica del doble enlace es su rigidez que impide la libre rotación, por lo que se reduce los posibles intercambios de posición que pueden sufrir los átomos de una molécula y surge así un nuevo tipo de isomería. La  isomería  cis-trans  en los alquenos se da cuando  los sustituyentes en cada uno de los carbonos del doble enlace son distintos . Dos sustituyentes distintos:   H  y CH 3 Dos sustituyentes distintos:   H  y CH 3 En este compuesto hay isomería geométrica, pues se cumple la condición en ambos carbonos. En este carbono hay dos sustituyentes iguales, por lo tanto, en este compuesto no hay isomería geométrica.
Un estereoisómero es  cis  cuando los dos hidrógenos están del mismo lado del doble enlace .   Un estereoisómero es  trans  cuando  los dos hidrógenos  están en lados opuestos  del doble enlace Del mismo lado del plano De lados opuestos del plano cis -2-buteno trans -2-buteno
 
ISOMERÍA ÓPTICA Un isómero óptico es aquel  que  tiene la propiedad de hacer girar el plano de la luz polarizada, hacia la derecha o hacia la izquierda. Esta propiedad se mide en un aparato llamado polarímetro  y se denomina actividad óptica .   Si  el estereoi sómero hace girar la luz hacia la derecha se denomina dextr ógiro,   y si lo hace girar  hacia la izquierda se denomina lev ógiro .
Esquema de un polarímetro
ISOMERÍA ÓPTICA Los isómeros ópticos tienen, por lo menos, un carbono quiral. Un  carbono  es  quiral  (o asimétrico) cuando está unido a 4 sustituyentes distintos.  Una molécula es  quiral  cuando no presenta ningún elemento de simetría (plano, eje o centro de simetría).   Las moléculas quirales presentan actividad óptica. La quilaridad es una propiedad importante en la naturaleza ya que la mayoría de los compuestos biológicos son  quirales.
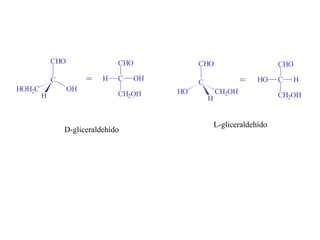
El carbono 2, marcado con un asterisco, es quiral porque tiene 4 sustituyentes distintos:  -OH, -CH 2 CH 3 , -CH 3 , -H. Hay dos estereoisómeros de este compuesto . ENANTIÓMEROS enantiómeros Los estereoisómeros que son imágenes especulares no superponibles reciben el nombre   de  enantiómeros .
D-gliceraldehído L-gliceraldehído
Imagen especular original Molécula original Molécula quiral:  La molécula rotada  no puede  superponerse a su imagen especular. Imagen especular original Molécula original Molécula aquiral:  La molécula rotada se superpone a su imagen especular.
DIASTEREOISÓMEROS Flechas horizontales: enantiómeros Flechas verticales y oblicuas: diastereoisómeros Los estereoisómeros que no son imágenes especulares se denominan  diastereoisómeros.
Si una molécula tiene un  ú nico carbono quiral, sólo puede existir un par de enantiómeros.  Si tiene dos carbonos quiral es  tiene un máximo de cuatro estereoisómeros (dos pares de enantiómeros).  En general, una molécula con  n  carbonos  quirales  tiene un número máximo de  2 n   estereoisómeros posibles.  Por ejemplo, el 3-bromo-2-butanol  tiene dos  carbonos quirales, por lo tanto, se esperaría 4 estereoisómeros.
COMPUESTOS MESO Estas dos estructuras del 2,3-butanodiol son imágenes especulares  y no pueden superponerse, por lo tanto, estos dos compuestos son enantiómeros Estas dos estructuras del 2,3-butanodiol son imágenes especulares, pero pueden superponerse, por lo tanto, NO son enantiómeros, sino  que se trata del mismo  compuesto. Es el compuesto meso. Se denominan compuestos  meso  a aquéllos que, a pesar de tener carbonos  quirales , son aquirales  (no tienen actividad óptica)  porque poseen un plano de simetría.   PLANO DE SIMETRÍA
MEZCLA RACÉMICA Se denomina  mezcla racémica   o  racemato ,  a aqu é lla que contiene un par de enantiómeros en una proporción del 50% de cada uno. Esta mezcla no produce desviación de la luz polarizada , es decir, no tiene actividad óptica.
TAUTOMERÍA Tautómeros  (del griego tauto = igual y griego meros = la parte) se denominan dos isómeros que se diferencian sólo en la posición de un grupo funcional. Entre las dos formas existe un equilibrio químico. En un equilibrio tautomérico hay migración de un grupo o átomo.  Equilibrio entre la forma enol y la forma ceto
La tautomería más conocida es la  tautomería ceto-enol . Los enoles (compuestos que cuentan con un grupo hidroxilo unido a un carbono con un doble enlace carbono-carbono) resultantes de la migración formal de un hidrógeno de un carbono en posición alfa a un grupo carbonilo al oxígeno del grupo carbonilo.
METAMERÍA Se denominan sustancias metámeras a aquellas formadas por núcleos carbonados unidos entre si por hetero-átomos, que poseen la misma formula molecular pero distinto nombre. Es un caso particular de isomería de cadena. Ejemplo:

IsomeríA

  • 1.
  • 2.
    ISÓMEROS (Compuestos conla misma fórmula molecular, pero presentan diferentes propiedades químicas debido a que su estructura es distinta) ISOMERÍA ESTRUCTURAL (Presentan diferente estructura debido a que presentan distintos tipos de enlaces en la cadena o en la unión entre átomos) ISOMERÍA ESPACIAL ESTEREOISOMERÍA (Presentan diferente orientación espacial de algunos de sus átomos) Isomería de cadena (Forman cadenas carbonadas distintas) Isomería de posición (La localización de las ramificaciones, insaturaciones o grupos funcionles son distintas) Isomería de función (Tienen grupos funcionales distintos) Isomería geométrica Diastereoisomería (Se debe a las posibles orientaciones cuando los átomos de carbono están unidos por enlaces que no pueden rotar) Isomería óptica Enantiomería (Se debe a las posibles orientaciones cuando los átomos de carbono están unidos por enlaces que no pueden rotar)
  • 3.
    ISÓMEROS ESTRUCTURALES Los is ó mer os constitucional es o estructural es son los compuestos que a pesar de tener la misma fórmula molecular difieren en el orden en que están conectados los átomos, es decir, tienen los mismos átomos conectados de forma diferente (distinta fórmula estructural).
  • 4.
    ISÓMEROS DE CADENALos compuestos tienen distribuidos los átomos de carbonos de la molécula de forma diferente. Por ejemplo, existen 3 isómeros de fórmula general C 5 H 12 .
  • 5.
    ISÓMEROS DE POSICIÓNSon c ompuestos que tienen las mismas funciones químicas , pero sobre átomos de carbono con números localizadores diferentes. * *
  • 6.
    ISÓMEROS DE FUNCIÓNSon compuestos de igual fórmula molecular que presentan funciones químicas diferentes . * * *
  • 7.
    ESTEREOISÓMEROS L os estereois ómeros son los isómeros cuyos átomos están conectados en el mismo orden, pero con disposición espacial diferente .
  • 8.
    ISOMERÍA GEOMÉTRICALa isomería cis-trans se puede observar en moléculas cíclicas o en moléculas que presenten dobles enlaces . Isomería cis-trans en ciclos Los cicloalcanos tienen dos “caras” o lados debido al plano que contiene el esqueleto carbonado; cuando en el ciclo hay dos sustituyentes en átomos de carbono distintos, existen dos isómeros. Si los sustituyentes se encuentran del mismo lado del plano es el isómero cis , y si están en lados opuestos es el isómero trans .
  • 9.
    Isomería cis-trans en alquenos Una característica del doble enlace es su rigidez que impide la libre rotación, por lo que se reduce los posibles intercambios de posición que pueden sufrir los átomos de una molécula y surge así un nuevo tipo de isomería. La isomería cis-trans en los alquenos se da cuando los sustituyentes en cada uno de los carbonos del doble enlace son distintos . Dos sustituyentes distintos: H y CH 3 Dos sustituyentes distintos: H y CH 3 En este compuesto hay isomería geométrica, pues se cumple la condición en ambos carbonos. En este carbono hay dos sustituyentes iguales, por lo tanto, en este compuesto no hay isomería geométrica.
  • 10.
    Un estereoisómero es cis cuando los dos hidrógenos están del mismo lado del doble enlace . Un estereoisómero es trans cuando los dos hidrógenos están en lados opuestos del doble enlace Del mismo lado del plano De lados opuestos del plano cis -2-buteno trans -2-buteno
  • 11.
  • 12.
    ISOMERÍA ÓPTICA Unisómero óptico es aquel que tiene la propiedad de hacer girar el plano de la luz polarizada, hacia la derecha o hacia la izquierda. Esta propiedad se mide en un aparato llamado polarímetro y se denomina actividad óptica . Si el estereoi sómero hace girar la luz hacia la derecha se denomina dextr ógiro, y si lo hace girar hacia la izquierda se denomina lev ógiro .
  • 13.
    Esquema de unpolarímetro
  • 14.
    ISOMERÍA ÓPTICA Losisómeros ópticos tienen, por lo menos, un carbono quiral. Un carbono es quiral (o asimétrico) cuando está unido a 4 sustituyentes distintos. Una molécula es quiral cuando no presenta ningún elemento de simetría (plano, eje o centro de simetría). Las moléculas quirales presentan actividad óptica. La quilaridad es una propiedad importante en la naturaleza ya que la mayoría de los compuestos biológicos son quirales.
  • 15.
    El carbono 2,marcado con un asterisco, es quiral porque tiene 4 sustituyentes distintos: -OH, -CH 2 CH 3 , -CH 3 , -H. Hay dos estereoisómeros de este compuesto . ENANTIÓMEROS enantiómeros Los estereoisómeros que son imágenes especulares no superponibles reciben el nombre de enantiómeros .
  • 16.
  • 17.
    Imagen especular originalMolécula original Molécula quiral: La molécula rotada no puede superponerse a su imagen especular. Imagen especular original Molécula original Molécula aquiral: La molécula rotada se superpone a su imagen especular.
  • 18.
    DIASTEREOISÓMEROS Flechas horizontales:enantiómeros Flechas verticales y oblicuas: diastereoisómeros Los estereoisómeros que no son imágenes especulares se denominan diastereoisómeros.
  • 19.
    Si una moléculatiene un ú nico carbono quiral, sólo puede existir un par de enantiómeros. Si tiene dos carbonos quiral es tiene un máximo de cuatro estereoisómeros (dos pares de enantiómeros). En general, una molécula con n carbonos quirales tiene un número máximo de 2 n estereoisómeros posibles. Por ejemplo, el 3-bromo-2-butanol tiene dos carbonos quirales, por lo tanto, se esperaría 4 estereoisómeros.
  • 20.
    COMPUESTOS MESO Estasdos estructuras del 2,3-butanodiol son imágenes especulares y no pueden superponerse, por lo tanto, estos dos compuestos son enantiómeros Estas dos estructuras del 2,3-butanodiol son imágenes especulares, pero pueden superponerse, por lo tanto, NO son enantiómeros, sino que se trata del mismo compuesto. Es el compuesto meso. Se denominan compuestos meso a aquéllos que, a pesar de tener carbonos quirales , son aquirales (no tienen actividad óptica) porque poseen un plano de simetría. PLANO DE SIMETRÍA
  • 21.
    MEZCLA RACÉMICA Sedenomina mezcla racémica o racemato , a aqu é lla que contiene un par de enantiómeros en una proporción del 50% de cada uno. Esta mezcla no produce desviación de la luz polarizada , es decir, no tiene actividad óptica.
  • 22.
    TAUTOMERÍA Tautómeros (del griego tauto = igual y griego meros = la parte) se denominan dos isómeros que se diferencian sólo en la posición de un grupo funcional. Entre las dos formas existe un equilibrio químico. En un equilibrio tautomérico hay migración de un grupo o átomo. Equilibrio entre la forma enol y la forma ceto
  • 23.
    La tautomería másconocida es la tautomería ceto-enol . Los enoles (compuestos que cuentan con un grupo hidroxilo unido a un carbono con un doble enlace carbono-carbono) resultantes de la migración formal de un hidrógeno de un carbono en posición alfa a un grupo carbonilo al oxígeno del grupo carbonilo.
  • 24.
    METAMERÍA Se denominansustancias metámeras a aquellas formadas por núcleos carbonados unidos entre si por hetero-átomos, que poseen la misma formula molecular pero distinto nombre. Es un caso particular de isomería de cadena. Ejemplo: