UNIVERSIDAD NACIONAL DEL SANTA
FACULTAD DE CIENCIAS
DPTO. ACAD. DE BIOLOGÍA, MICROBIOLOGÍA Y BIOTECNOLOGÍA
PRACTICA Nº 1 BIOQ. I
BIOTECNOLOGIA
RECONOCIMIENTO Y CUIDADO DEL MATERIALES Y EQUIPOS DE USO
COMUN EN EL LABORATORIO
I. INTRODUCCION
Para el desarrollo de las prácticas es conveniente tener en cuenta algunas normas
elementales que deben ser observadas por cada estudiante, así como debe reconocer los
diferentes materiales y equipos de laboratorio con los que deberá trabajar durante el
desarrollo de todas las prácticas lo que permitirá agilizar las mismas.
Las prácticas que se realizan en los laboratorios pueden presentar una serie de riesgos de
origen y consecuencias muy variadas: relacionados con las propias instalaciones de los
laboratorios, con los productos químicos que se manejan y con las operaciones que con
ellos se realizan. El objeto de estas recomendaciones que se presentan es que el alumno
conozca estos riesgos y la forma de evitarlos, de manera que desarrolle la cultura de la
prevención desde el primer momento en que trabaje las prácticas en los laboratorios:
cumpliendo una serie de normas básicas importantes para la seguridad y salud.
En el laboratorio se emplean una variedad de material y equipo para la realización de
experimentos o bien para realizar mediciones y obtener datos. Los materiales pueden ser
de madera, plastico o goma, vidrio, metal y porcelana. En la realización de las
experiencias, se usan equipos de destilación, esterilización, secado, así como
instrumentos de medición y materiales volumétricos, ya que se usan para medir
volúmenes de fluidos, ya sean líquidos o gases. Entre los aparatos volumétricos más
usados tenemos: probetas, pipetas, buretas, vasos de precipitados, tubos de ensayo,
entre otros. Además que existen muchos otros materiales, instrumentos y equipos que
estan a disposicon para el trabajo de laboratorio.
II. OBJETIVOS
• Determinar las normas de seguridad a seguir en el laboratorio de prácticas.
• Informar las normas a seguir en la ejecución de las prácticas.
1
• Reconocer cada uno de los materiales de vidrio del laboratorio y señalar su función.
• Identificar los equipos de laboratorio señalando su función e importancia.
III. EQUIPOS, MATERIALES Y REACTIVOS
1) Proporcionados por el laboratorio
• Soporte universal
• Probetas
• matraces
• vasos de precipitación
• embudos de vidrio
• Pipetas de diferente volumen
• cocina eléctrica
• balanza digital
• pinzas de madera
• mecheros
• pizeta para agua destilada
• espátulas
• microscopio
• centrifuga
• equipo de baño Maria
• estufa
• pipetas Pasteur
• pinzas de metal
• morteros con su pilón
• gradillas
• tubos de ensayo
• placas Petri
• estuches de disección
2) Proporcionados por el alumno
• Cada alumno deberá traer su mandil blanco con su nombre y escuela bordado, una
franela verde de 30 x 30cm con su nombre, guantes quirúrgicos, lentes de plástico de
protección, libreta de apuntes tamaño carta, caja de colores y su manual de practicas
(proporcionado por la profesora del curso) el primer día de práctica.
• Los alumnos de cada grupo de práctica formaran subgrupos de cinco alumnos, estos
sus subgrupos permanecerán durante todas las practicas. Cada subgrupo deberá traer
los siguientes materiales el primer día de práctica en una caja señalando el grupo
(ejem. A) y subgrupo (ejem. A1) al que corresponden:
 esponja para limpiar
 bolsa de detergente
 jabón de lavar ropa
 litro de lejía
 litro de alcohol
 litro de ron de quemar
 cajas de fósforo
 tijera de punta fina
 cuchillo chico de punta fina
 navajas nuevas
 bisturí
 laminas portaobjetos
 laminillas cubreobjetos
 frasco de plástico/vidrio de 100ml
 lava vajilla chico
IV. PROCEDIMIENTOS
2
1. RECOMENDACIONES BASICAS DE SEGURIDAD EN EL LABORATORIO
• ORDEN Y LIMPIEZA EN EL LABORATORIO
Desde el punto de vista de seguridad, los aspectos como el orden y la limpieza son
fundamentales para reducir el riesgo y las condiciones inseguras, por tal motivo se
consideran como elementos claves para el trabajo seguro en el laboratorio. A
continuación se enlistan algunos aspectos que deben procurarse en todo laboratorio
• HÁBITOS DE TRABAJO
a) Trate de trabajar lo más cómodo posible; recuerde las formas de manejo que
mejoran las condiciones ergonómicas y se cansará menos.
b) No trabaje en forma apresurada.
c) Mantenga su espacio de trabajo limpio y ordenado.
d) Tape inmediatamente los recipientes que contengan reactivos después de usarlos.
e) Nunca corra en el laboratorio.
f) Nunca haga bromas en el laboratorio.
g) No lleve tubos de ensaye ni productos en los bolsillos de las batas.
h) Nunca abandone el laboratorio mientras esté realizando un experimento sin
consultar al profesor.
i) Deje avisos de advertencia cuando deje aparatos prendidos en forma circunstancial
u ocasional.
j) Trate de tomar los objetos en forma segura para evitar que se caigan.
k) No deje puertas de gavetas y gabinetes abiertas.
l) Se debe de trabajar, siempre que sea posible, en campanas.
m) No toque con las manos directamente los productos químicos, ni los pruebe.
• RECOMENDACIONES GENERALES
a) Use su sentido común.
b) Conozca las reglas de seguridad y póngalas en práctica.
c) Asegúrese de que conoce todas las señales de seguridad que se encuentran en el
lugar de trabajo.
d) Asegúrese que conoce la localización y el manejo del equipamiento de seguridad,
las llaves de corte general de agua, gas y corriente eléctrica y las salidas de
emergencia disponibles en el laboratorio.
e) Asegúrese que conoce los procedimientos de emergencia.
3
f) En el laboratorio donde desarrolle su trabajo experimental, ubique las duchas de
emergencia, las fuentes lavaojos, el botiquín de primeros auxilios y los
extinguidores.
g) Reporte todo incidente o accidente.
h) No realice experimentos no autorizados o debidamente supervisados.
i) No debe trabajar nunca una persona sola en el laboratorio y muy especialmente en
el caso de realizarlo fuera de horas habituales, por la noche o realizando
operaciones con riesgo.
j) Cuando se realicen operaciones con riesgo, las personas que no intervengan en
ellas deben estar perfectamente informadas de las mismas.
• MATERIAL DE VIDRIO
a) Antes de efectuar cualquier operación revise atentamente el material de vidrio con
el que va a trabajar.
b) Separe el material de vidrio defectuoso; no lo ponga con el resto de la basura.
c) Si se rompe una pieza de vidrio sobre la mesa no retire los trozos con la mano o
sirviéndose de materiales textiles, utilice un cepillo de cerda o plástico.
d) No intente la separación de vasos o recipientes que hayan quedado obturados
unos dentro de otros.
e) No transporte frascos de vidrio o aparatos de vidrio debajo del brazo.
f) No guarde piezas de vidrio y objetos punzantes de cualquier tipo en los bolsillos
de la bata o ropa.
• ANTES DE RETIRARSE DEL LABORATORIO
a) Al finalizar una tarea u operación, recoja los materiales, reactivos, equipos, etc.,
evitando las acumulaciones innecesarias fuera de sus áreas.
b) Lave perfectamente el material que haya utilizado.
c) Verifique si quedan encendidos solo los instrumentos necesarios.
d) Asegúrese de desconectar los aparatos, cerrar las llaves de agua, gas, etc.
e) Lávese las manos perfectamente.
• CAMPANAS DE EXTRACCIÓN
a) La ejecución de todas las operaciones en las cuales se puede generar
contaminación en el aire se debe realizar en la campana de extracción.
b) Siempre es apropiado usar protección ocular y una bata de laboratorio cuando se
trabaje en las campanas de extracción.
4
c) Si la campana es usada en experimentos semi permanentes, notificar el nombre de
la persona a cargo, el titulo del experimento y los posibles peligros.
d) Mantenga la cabeza fuera de la campana.
e) Mantenga los aparatos por lo menos 15 cm lejos del frente de la campana.
f) Evite bloquear la ranura posterior de ventilación. El material almacenado en la parte
posterior de la campana deberán ser almacenado en un lugar dentro de la misma
sin impedir el flujo del aire.
g) g) Trate de no almacenar productos químicos en el interior de la campana. Los
productos químicos peligrosos deberán ser almacenados en una gaveta apropiada
y segura.
h) h) No ponga conexiones eléctricas u otras fuentes de ignición dentro de la
campana cuando estén presentes líquidos o gases inflamables.
• PARA EVITAR LA LESIÓN EN LOS OJOS
Se requiere del uso de protección para los ojos de todo el personal y visitantes en
cualquier área del laboratorio.
a) Los lentes de seguridad con barreras laterales dan la mínima protección aceptable
para uso regular. Los lentes de seguridad deben estar de acuerdo con los
estándares actuales.
b) Los goggles de seguridad y las caretas se deben usar cuando se hagan actividades
que involucren el riesgo de salpicaduras de sustancias químicas o partículas
suspendidas. Estas corazas delgadas no ofrecen protección contra proyectiles.
c) Se prefieren goggles a los lentes de seguridad regulares para proteger de riesgos
por proyectiles, y cuando se trabaja con material de vidrio bajo condiciones de
elevada o baja presión (por ejemplo tubos cerrados de reacción), cuando se
manejan compuestos potencialmente explosivos (particularmente durante
destilaciones), y cuando se utiliza material de vidrio en operaciones a altas
temperaturas.
d) Dado que los goggles ofrecen poca protección al cuello, se deben utilizar caretas
protectoras cuando se realizan operaciones de laboratorio particularmente
peligrosas. Además se requieren de lentes especiales cuando se usan rayos láser
o ultravioleta o cuando se trabaja el soplado de vidrio.
El uso de lentes ordinarios no ofrece protección contra las lesiones. Por eso se requiere
de la prescripción de lentes de seguridad o goggles.
5
Los lentes de contacto no ofrecen protección a los ojos de lesiones y no pueden
sustituir a los lentes de seguridad y a los goggles. Es preferible no usar lentes de
contacto cuando se lleven a cabo operaciones que involucren vapores de sustancias
químicas o que tengan un riesgo de derrame o de depósito de partículas en los ojos,
dado que los lentes de contacto pueden incrementar el grado de la lesión y pueden
interferir con los primeros auxilios y con los procedimientos de lavado de ojos. Si
alguien debe usar lentes de contacto por razones médicas, se deben usar lentes de
seguridad con barreras laterales sobre los lentes de contacto.
• EVITAR LA INGESTIÓN DE SUSTANCIAS QUÍMICAS PELIGROSAS
Está estrictamente prohibido el comer, beber, mascar chicle, aplicar cosméticos, e
ingerir medicinas en los laboratorios donde se esté trabajando con sustancias químicas
peligrosas. La comida, bebidas, tazas, y demás utensilios para comer y beber no se
deben guardar en áreas donde se almacenen o utilicen sustancias químicas peligrosas.
El material de vidrio usado en las operaciones de laboratorio nunca debe ser usado
para preparar o consumir alimentos o bebidas. Los refrigeradores, hieleras, cuartos
fríos, hornos, etc. de los laboratorios no deben usarse para almacenar o preparar
comida. En el laboratorio las fuentes de agua desionizada y agua potable, no deben
usarse nunca para beber. Las sustancias químicas del laboratorio nunca deben ser
probadas. Para pipetear se debe utilizar ya sea una propipeta o un aspirador; nunca
debe hacerse con la boca. Se debe lavar las manos con agua y jabón inmediatamente
después de trabajar en el laboratorio con cualquier sustancia química, aunque se
hayan usado guantes de protección.
• EVITAR LA INHALACIÓN DE SUSTANCIAS QUÍMICAS PELIGROSAS
Nunca deben olerse sustancias químicas tóxicas o compuestos de toxicidad
desconocida. Los procedimientos que involucren sustancias tóxicas volátiles u
operaciones que involucren sustancias sólidas o líquidas que puedan originar aerosoles
se deben conducir por una campana de laboratorio. Las partículas se consideran
potencialmente contaminantes y peligrosas. Las campanas no se deben usar para la
disposición de materiales volátiles peligrosos por evaporación. Estos materiales deben
tratarse como residuos químicos y deben contenerse en recipientes especiales de
acuerdo con procedimientos institucionales. Las siguientes reglas se deben seguir
cuando se utilizan campanas de laboratorio:
a) Para trabajos que involucren sustancias peligrosas, use campanas que operen
adecuadamente. La inspección de la campana debe hacerse regularmente, y su
inspección debe colocarse en un lugar visible.
6
b) Colocar las reacciones y las sustancias químicas peligrosas a 30 cm detrás del
plano del marco de la campana.
c) Nunca ponga su cabeza dentro de una campana de laboratorio para revisar un
experimento. El plano del marco es la barrera entre el aire limpio y el contaminado.
d) En las campanas donde los marcos se abren verticalmente, trabaje con el marco
de la campana en la posición más baja posible. En campanas cuyo marco se abre
horizontalmente, use una de las puertas como barrera en el caso de un accidente.
Cuando la campana no esté en uso, mantenga el marco cerrado para mantener el
flujo de aire en el laboratorio.
e) Mantenga las campanas limpias y libres; no las ateste con botellas o equipo. Si hay
una parrilla o una pantalla en la parte trasera de la campana, límpielas
regularmente para que no se obstruyan con papeles o suciedad. Solo mantenga los
materiales que se estén usando en ese momento dentro de la campana. Siguiendo
esta regla se tendrá una óptima contención y una reducción en el riesgo de
sustancias químicas extrañas involucradas en un fuego o explosión. Ponga
cualquier equipo que deba permanecer en la campana en estantes o en una base
para que haya un flujo de aire debajo del equipo.
f) Reporte rápidamente los desperfectos en el funcionamiento de la campana, y
asegúrese de que se corrijan. Ponga el nombre del responsable de la campana en
un lugar visible. Limpie las campanas antes de que el personal de mantenimiento
trabaje en ellas.
• MINIMIZACIÓN DEL CONTACTO CON LA PIEL
Deben usarse guantes cuando se manejan sustancias químicas peligrosas, objetos
punzo cortantes, materiales muy fríos o muy calientes, sustancias químicas tóxicas o
sustancias de toxicidad desconocida. Los siguientes lineamientos se aplican para la
selección y uso de guantes de protección:
a) Use guantes de un material que se sepa es resistente a la permeación de las
sustancias que se usan. El uso de un tipo incorrecto de guantes puede ser más
peligroso que no usar guantes, dado que se puede infiltrar la sustancia química en
el guante y puede tenerse un contacto prolongado con la mano.
b) Revisar los guantes para buscar pequeños hoyos o ranuras antes de usarlos
c) Lavar los guantes apropiadamente antes de quitárselos (Nota: algunos guantes son
permeables al agua)
d) Para prevenir la difusión accidental de sustancias peligrosas, quitarse los guantes
antes de manipular objetos como picaportes, teléfonos, plumas, y equipos de
cómputo.
7
e) Cambie los guantes periódicamente, dependiendo de la frecuencia con que se
usen y de su permeación y degradación, y del tipo de sustancias manejadas.
• ROPA Y TRAJES DE PROTECCION
El cabello largo y la ropa suelta o la joyería deben asegurarse cuando se trabaja en el
laboratorio. El cabello largo desatado, la ropa suelta o rasgada, y la joyería se pueden
mojar en las sustancias químicas o quedar atrapadas en equipo o maquinaria en
movimiento. La ropa o el cabello pueden quemarse. No se deben usar sandalias o
zapatos descubiertos en un laboratorio donde se usen sustancias químicas peligrosas.
Es recomendable usar bata cuando se trabaja con sustancias químicas peligrosas.
Esto es importante si la ropa deja la piel expuesta. Se requiere de equipo de protección
adicional cuando se trabaja con ciertas sustancias. Dado que muchos productos
sintéticos son inflamables y se pueden adherir a la piel, aumenta la severidad de una
quemadura. Por lo tanto se prefiere el algodón.
• DISPOSICIÓN DE SUSTANCIAS Y RESIDUOS QUÍMICOS PELIGROSOS
Los experimentos de laboratorio generan algún residuo, entre los que podemos
mencionar materiales de laboratorio desechables, medios de filtración, soluciones
acuosas (ácidas o básicas), y residuos químicos peligrosos. El principio que gobierna
las prácticas prudentes del manejo de residuos de laboratorio es que: “No se debe
comenzar una actividad experimental hasta que se formule un plan para el tratamiento
y disposición de residuos peligrosos y no peligrosos” Aplicando esta simple regla nos
aseguramos que se tengan los requerimientos para el manejo de residuos en
dificultades inesperadas como la formación de un residuo para el cual la institución no
está preparada para manejar. Los residuos peligrosos se definen como todos aquellos
residuos, en cualquier estado físico, que por sus características corrosivas, reactivas,
explosivas, toxicas, inflamables o biológico-infecciosas, representan un peligro para el
equilibrio ecológico o los individuos”. Cada tipo de residuo tiene diferentes métodos de
tratamiento y disposición adecuados, para escoger entre éstos, se aplican algunos
principios generales.
a) Los disolventes residuales peligrosos (inflamables y tóxicos) se deben separar en
contenedores apropiados en espera de ser transferidos a la unidad de manejo de
residuos químicos donde se trataran o dispondrán adecuadamente.
b) Los disolventes halogenados y no halogenados se deben separar para su manejo
independiente.
8
c) Los contenedores de residuos deben etiquetarse claramente y taparse en forma
adecuada.
d) Las botellas de vidrio son utilizadas para la mayoría de las sustancias químicas
pero conllevan el riesgo de romperse, y los cuellos delgados ofrecen problemas
para vaciar las botellas. Es preferible el uso de contenedores de seguridad de
plástico y obligatorio para líquidos inflamables y corrosivos.
2. RECONOCIMIENTO DE MATERIAL Y EQUIPO DE LABORATORIO
Se realizara el reconocimiento y cuidado de los materiales y equipos de laboratorio que
usaran en las practicas de bioquímica I, con ayuda de laminas o libros de consulta y las
recomendaciones del docente de la asignatura.
Material básico de laboratorio
V. RESULTADOS
9
Presente los resultados en cuadros y/figuras y describa claramente los aspectos mas
importantes. En esta sección no debe discutirse ni hacerse ningún comentario, solo se
describen los resultados hallados.
VI. DISCUSION
Analizar los resultados obtenidos comparándolos con los de otros investigadores,
destacando los aspectos más sobresalientes que constituyen un nuevo aporte al tema
tratado. LA discusión debe tener coherencia lógica y semántica con los resultados. Cada
resultado debe ser discutido científicamente utilizando las citas bibliográficas con las
normas de estilo recomendadas.
VII. CONCLUSIONES
Solo indique las conclusiones debidamente sustentadas por los resultados obtenidos. Las
conclusiones se redactan en forma de enunciados.
VIII. CUESTIONARIO
• ¿Cuál es la diferencia entre materiales, instrumentos, reactivos y equipos de laboratorio?
• Dibujar y señalar la función de los principales materiales, instrumentos y equipos de
laboratorio.
• ¿Cuál es la diferencia entre una sustancia ácida, neutra y alcalina? De cinco ejemplos de
cada una de ellas.
• ¿Que recomendaciones aparte de las señaladas en práctica hay que tomar en cuenta al
realizar las prácticas de laboratorio?
• Describa a través de un esquema el proceso de pipeteo de un reactivo simple y de un
reactivo ácido y que cuidados hay que tomar en cuenta en cada caso
• ¿Cómo debe ser la indumentaria del alumno en las prácticas y cual es la función de las
mismas? Esquematice.
• ¿Cuales son los elementos de limpieza a emplear en el laboratorio?
• En caso de haber ingerido un reactivo, salpicado el mismo en los ojos y cuerpo que
recomendaciones hay que tomar en cuenta.
IX. REFERENCIAS BIBLIOGRAFICAS
• Bruice P (2008) Quimica Organica. 5ta edición. Editorial Prentice Hall – Pearson
Education. Mexico.
10
• Carey F (2000) Organic Chemistry. 4ta edición. Editorial McGraw-Hill. USA.
• Menger F, Goldsmith D, Mandell L (1976) Quimica organica. 2da edición. Editorial Fondo
Educativo Interamericano S.A.
PRACTICA Nº 2 BIOQ. I
BIOTECNOLOGIA
PROPIEDADES DE LOS COMPUESTOS ORGANICOS
11
I. INTRODUCCION
En general, los compuestos orgánicos se distinguen de los compuestos inorgánicos en
que tienen puntos de fusión y ebullición más bajos. Por ejemplo, el compuesto iónico
cloruro de sodio (NaCl) tiene un punto de fusión de unos 800 ºC, pero el tetracloruro de
carbono (CCl
4
), molécula estrictamente covalente, tiene un punto de fusión de 76,7 ºC.
Entre estas temperaturas se puede fijar arbitrariamente una línea de unos 300 ºC para
distinguir la mayoría de los compuestos orgánicos covalentes de los iónicos.
Gran parte de los compuestos orgánicos tienen un punto de fusión y ebullición por debajo
de los 300 ºC, aunque existen excepciones. Por lo general, los compuestos orgánicos se
disuelven en disolventes no polares (líquidos sin carga eléctrica localizada) como el octano
o el tetracloruro de carbono, o en disolventes de baja polaridad, como los alcoholes, el
ácido etanoico (ácido acético) y la propanona (acetona). Los compuestos orgánicos suelen
ser insolubles en agua, un disolvente fuertemente polar.
Los hidrocarburos tienen densidades relativas bajas, con frecuencia alrededor de 0,8, pero
los grupos funcionales pueden aumentar la densidad de los compuestos orgánicos. Solo
unos pocos compuestos orgánicos tienen densidades mayores de 1,2 y son generalmente
aquellos que contienen varios átomos de halógenos.
Los grupos funcionales capaces de formar enlaces de hidrógeno aumentan generalmente
la viscosidad (resistencia a fluir). Por ejemplo, las viscosidades del etanol, 1,2-etanodiol
(etilenglicol) y 1,2,3-propanotriol (glicerina) aumentan en ese orden. Estos compuestos
tienen uno, dos y tres grupos OH respectivamente, que forman enlaces de hidrógeno
fuertes.
II. OBJETIVOS
• Reconocer las principales propiedades físicas de los compuestos orgánicos.
• Analizar la propiedad de solubilidad de los compuestos orgánicos.
III. EQUIPOS, MATERIALES Y REACTIVOS
1) Proporcionados por el laboratorio
• 14 Tubos de ensayo
• 02 Gradillas
12
• Pipetas de 5 ml
• Pipetas de 2 ml
• Agua destilada
• Etanol
• Alcano (cloroformo)
• Aldehído (formaldehído)
• Cetona (acetona)
2) Proporcionados por el alumno
• 50 ml Gasolina
• 50 ml Aceite de carro
• Papel toalla 01 rollo por sub grupo
IV. PROCEDIMIENTOS
Realizar la numeración de los tubos y efectuar las siguientes mezclas de reactivos, según
las indicaciones de las tablas.
TUBOS (ml) I II III IV V VI VII
Agua destilada 5 5 5 5 5 5 5
Etanol 2 --- --- --- --- --- ---
Cloroformo --- 2 --- --- --- --- ---
Formaldehído --- --- 2 --- --- --- ---
Acetona --- --- --- 2 --- --- ---
Gasolina --- --- --- --- 2 --- ---
Aceite de carro --- --- --- --- --- 2 ---
Blanco --- --- --- --- --- --- ---
TUBOS (ml) I II III IV V VI VII
Etanol 5 5 5 5 5 5 5
Cloroformo --- 2 --- --- --- --- ---
Formaldehído --- --- 2 --- --- --- ---
Acetona --- --- --- 2 --- --- ---
Gasolina --- --- --- --- 2 --- ---
Aceite de carro --- --- --- --- --- 2 ---
Blanco --- --- --- --- --- --- ---
V. RESULTADOS
13
Presente los resultados en cuadros y/figuras y describa claramente los aspectos mas
importantes. En esta sección no debe discutirse ni hacerse ningún comentario, solo se
describen los resultados hallados.
VI. DISCUSION
Analizar los resultados obtenidos comparándolos con los de otros investigadores,
destacando los aspectos mas sobresalientes que constituyen un nuevo aporte al tema
tratado. LA discusión debe tener coherencia lógica y semántica con los resultados. Cada
resultado debe ser discutido científicamente utilizando las citas bibliográficas con las
normas de estilo recomendadas.
VII. CONCLUSIONES
Solo indique las conclusiones debidamente sustentadas por los resultados obtenidos. Las
conclusiones se redactan en forma de enunciados.
VIII. CUESTIONARIO
• ¿Cuál de los siguientes compuestos formarán puentes de hidrógeno entre sus moléculas?
CH3CH2CH2COOH CH3CH2CH2NHCH3 CH3CH2N(CH3)2
CH3CH2OCH2CH2OH CH3CH2CH2CH2Br CH3CH2CH2CH2F
• ¿Cuales de los compuestos anteriores forman puentes de hidrógeno con un disolvente
como el etanol?
• Ordene los siguientes grupos de compuestos por solubilidad decreciente en agua.
CH3CH2CH2COOH CH3CH2OCH2CH2CL CH3CH2OCH2CH2OH HOCH2OCH2CH2OH
• El Ansaid y el Motrin pertenecen a los medicamentos llamados antiinflamatorios no
esteroidales. Ambos son ligeramente solubles en agua, pero uno es algo más soluble que
el otro. Cuál de los dos medicamentos tiene la mayor solubilidad en el agua.
Ansaid Motrin
• ¿Porque los alcoholes de baja masa molecular son más solubles en agua que los de masa
molecular más alta?
14
• Explique por qué:
o El 1-hexanol tiene punto de ebullición más elevado que el 3-hexanol
o El éter dietílico tiene muy poca solubilidad en agua, pero en esencia es completamente
soluble en tetrahidrofurano.
• ¿En cuál disolvente tendrá menor solubilidad el ciclohexano? 1-pentanol, éter dietílico,
etanol, hexano.
IX. REFERENCIAS BIBLIOGRAFICAS
• Bruice P (2008) Química Orgánica. 5ta edición. Editorial Prentice Hall – Pearson
Education. México.
• Carey F (2000) Organic Chemistry. 4ta edición. Editorial McGraw-Hill. USA.
• Menger F, Goldsmith D, Mandell L (1976) Quimica organica. 2da edición. Editorial Fondo
Educativo Interamericano S.A.
PRACTICA Nº 2 BIOQ. I
BIOTECNOLOGIA
IDENTIFICACION DE GRUPOS FUNCIONALES Y SEPARACION DE
COMPUESTOS ORGANICOS POR DESTILACION
I. INTRODUCCION
El comportamiento químico y físico de una molécula orgánica se debe principalmente a la
presencia en su estructura de uno o varios grupos, funciones o familias químicas. Los
grupos funcionales son agrupaciones constantes de átomos, en disposición espacial y
conectividad, que por tal regularidad confiere propiedades físicas y químicas muy similares
a las estructuras que las posee.
La mayoría de grupos funcionales se presentan en las moléculas de origen natural.
Algunas de estas, por ejemplo los halogenuros de acilo, por su reactividad son poco
frecuente en la naturaleza y se utilizan más como intermediarios en síntesis orgánica.
Las propiedades físicas y químicas de una molécula sencilla están determinadas por la
presencia de algunos de estos agrupamientos, pero en la mayoría de las moléculas más
útiles, naturales o sintéticas existen varios de estos agrupamientos. En tal caso las
propiedades físicas y químicas de la molécula son el resultado del comportamiento
combinado y de la distribución espacial de las funciones químicas presentes en ella.
II. OBJETIVOS
15
Identificar los grupos funcionales presentes en los compuestos orgánicos
III. EQUIPOS, MATERIALES Y REACTIVOS
1) Proporcionados por el laboratorio
• 12 Tubos de ensayo
• Pipetas serológicas
• Solución problema “A”
• Solución problema “B”
• Solución problema “C”
• Solución problema “D”
• Solución problema “E”
• Solución problema “F”
• KMnO4 0.02M
• Reactivo de Tollens (Nitrato de plata 5% + Amonio)
• Trocitos de sodio metálico
• 2,4 dinitrofenilhidrazina (fenilhidrazina o p-nitrofenilhidrazina)
• Indicador universal (fenolftaleína + rojo de metilo + azul de bromotimol + amarillo
de metilo + azul de timol) o tiras de indicador de pH.
2) Proporcionados por el alumno
50 ml Gasolina
IV. PROCEDIMIENTOS
A manera de resumen, se muestra un flujo metodológico para la clasificación de una
molécula desconocida en un grupo funcional orgánico.
16
Realizar la numeración de los tubos y efectuar las siguientes mezclas de reactivos, según
las indicaciones de las tablas. Considerar las interpretaciones de cada caso.
CUADRO Nº 1
TUBOS (ml) I II III IV V VI
Agua destilada 1 1 1 1 1 1
Sol. problema A 1 --- --- --- --- ---
Sol. problema B --- 1 --- --- --- ---
Sol. problema C --- --- 1 --- --- ---
Sol. problema D --- --- --- 1 --- ---
Sol. problema E --- --- --- --- 1 ---
Sol. problema F --- --- --- --- --- 1
Indicador universal
(gotas)
1 1 1 1 1 1
Observar los resultados. Los tubos que viraron a: amarillo verdoso o
amarillo anaranjado; continuar con el cuadro Nº 2
1. Si vira a rojo indica : ácido carboxílico
2. Si vira a azul, azul oscuro ó azul verdoso indica : amina
3. Si vira a amarillo verdoso, amarillo anaranjado indica: alcano, alqueno, alcohol,
aldehído, cetona.
17
CUADRO Nº 2
TUBOS I II III IV V VI
Agua destilada
Sol. problema A
Sol. problema B
Sol. problema C
Sol. problema D
Sol. problema E
Sol. problema F
KMnO4 (gotas) 3 3 3 3 3 3
Observar los resultados. Armar un nuevo sistema para los tubos que dieron
positivo al color café
1. Si forma precipitado color café indica : aldehído o alqueno
2. Si no ocurre cambio (permanece color violeta) indica : alcano, alcohol, o cetona
CUADRO Nº 3
TUBOS (gotas) I II III IV V VI
En nuevos tubos colocar 5 gotas de las soluciones problemas que dieron
positivo al color café. Adicionar el reactivo de Tollens.
Agua destilada
Sol. problema A
Sol. problema B
Sol. problema C
Sol. problema D
Sol. problema E
Sol. problema F
Reactivo de Tollens
(gotas)
2 2 2 2 2 2
Agitar por 2 min. Dejar reposar por 5 min. Observar los resultados.
1. Si forma precipitado (espejo de plata) indica : aldehído
2. Si no ocurre cambio: alqueno
18
CUADRO Nº 4
TUBOS (gotas) I II III IV V VI
Armar un nuevo sistema para los tubos que dieron negativo al color café
Agua destilada
Sol. problema A
Sol. problema B
Sol. problema C
Sol. problema D
Sol. problema E
Sol. problema F
2,4Dinitrofenilhidrazina(gotas) 2 2 2 2 2 2
Agitar dejar reposar por 2 min. Observar los resultados.
1. Si forma un color amarillo anaranjado indica : cetona
2. Si no ocurre cambio: alcano o alcohol
CUADRO Nº 5
TUBOS (gotas) I II III IV V VI
En nuevos tubos colocar 5 gotas de las soluciones problemas que dieron
negativo al color amarillo anaranjado. Adicionar sodio metálico
Agua destilada
Sol. problema A
Sol. problema B
Sol. problema C
Sol. problema D
Sol. problema E
Sol. problema F
Sodio metálico (trocitos) X X X X X X
Observar los resultados.
1. Si forma un burbujeo indica : alcohol
2. Si no ocurre burbujeo: alcano
V. RESULTADOS
Presente los resultados en cuadros y/figuras y describa claramente los aspectos mas
importantes. En esta sección no debe discutirse ni hacerse ningún comentario, solo se
describen los resultados hallados.
19
VI. DISCUSION
Analizar los resultados obtenidos comparándolos con los de otros investigadores,
destacando los aspectos más sobresalientes que constituyen un nuevo aporte al tema
tratado. La discusión debe tener coherencia lógica y semántica con los resultados. Cada
resultado debe ser discutido científicamente utilizando las citas bibliográficas con las
normas de estilo recomendadas.
VII. CONCLUSIONES
Solo indique las conclusiones debidamente sustentadas por los resultados obtenidos. Las
conclusiones se redactan en forma de enunciados.
VIII. CUESTIONARIO
• ¿Cuál de los siguientes compuestos formarán puentes de hidrógeno entre sus moléculas?
• ¿Cuales de los compuestos anteriores forman puentes de hidrógeno con un disolvente
como el etanol?
• Ordene los siguientes grupos de compuestos por solubilidad decreciente en agua.
• El Ansaid y el Motrin pertenecen a los medicamentos llamados antiinflamatorios no
esteroidales. Ambos son ligeramente solubles en agua, pero uno es algo más soluble que
el otro. Cuál de los dos medicamentos tiene la mayor solubilidad en el agua.
• ¿Porque los alcoholes de baja masa molecular son más solubles en agua que los de masa
molecular más alta?
IX. REFERENCIAS BIBLIOGRAFICAS
• Bruice P (2008) Química Orgánica. 5ta edición. Editorial Prentice Hall – Pearson
Education. México.
• Carey F (2000) Organic Chemistry. 4ta edición. Editorial McGraw-Hill. USA.
• Menger F, Goldsmith D, Mandell L (1976) Quimica organica. 2da edición. Editorial Fondo
Educativo Interamericano S.A.
LEYENDA DE LA PRÁCTICA
COLOR DEL INDICADOR UNIVERSAL FRENTE AL pH DE LA SOLUCIÓN A EVALUAR
pH COLOR
2 ROJO
4 ANARANJADO
20
6 AMARILLO
8 VERDE
10 AZUL
12 VIOLETA
• Solución problema “A”.- Acido acético
• Solución problema “B”.- Dietilamina
• Solución problema “C”.- Formaldehído
• Solución problema “D”.- Acetona
• Solución problema “E”.- Etanol
• Solución problema “F”.- Gasolina
Practica N
0
2
SOLUCION G:
• Acetona 20 ml
• Etanol 20 ml
• Agua destilada 60 ml
Calentar a las temperaturas indicadas:
Recolectar en diferentes matraces.
21
56 - 65 ºC 78 – 85 ºC 95 ºC
PRACTICA Nº 3 BIOQ. I
BIOTECNOLOGIA
VISUALIZACION DE ISOMEROS EN 3D. PROBLEMAS DE ESTEREOQUIMICA
PRACTICA Nº 4 BIOQ. I
BIOTECNOLOGIA
SEPARACION DE COMPUESTOS ORGANICOS POR METODOS QUIMICOS.
EJERCICIOS DE APLICACION
I. INTRODUCCION
En un laboratorio de química se nos plantea muy frecuentemente la necesidad de separar,
aislar, purificar e identificar los componentes de una mezcla. Por ejemplo, cuando estamos
intentando hacer la síntesis de un compuesto C es frecuente que se forme, en el mismo
proceso otro compuesto D.
A + B C + D
Por lo que una vez finalizado el proceso sintético se tendrá que separar C y D y los restos
de reactivos que hayan quedado sin reaccionar.
En actualidad, existen diversos procedimientos que nos pueden permitir separar y aislar
los componentes de una mezcla de compuestos orgánicos. Uno de ellos se conoce
tradicionalmente como el método del ETER, el cual se basa en:
• La solubilidad diferencial en éter y medios acuosos.
• Las diferentes propiedades ácidos-bases que presentan los compuestos orgánicos
derivados de su estructura.
II. OBJETIVOS
Separar los componentes de una mezcla de compuestos orgánicos por medios químicos,
usando el método del éter.
III. EQUIPOS, MATERIALES Y REACTIVOS
22
Proporcionados por el laboratorio
• Pera de decantación de 500 ml
• Soporte universal
• Probetas de 50 ml
• Vasos de precipitación de 50 ml
• Matraces Erlenmeyer de 250 ml
• Dietilamina
• Acido acético
• Fenol
• Acetona
• Etanol
• Éter di etílico
• HCl 20%
• NaOH 20%
• NaHCO3 15%
• MgSO4
IV. PROCEDIMIENTOS
SOLUCION
• Dietilamina 10 ml
• Acido Acético 10 ml
• Fenol 10 ml
• Acetona 10 ml
• Etanol 10 ml
• Éter 15 ml
23
24
15 ml de HCl 20%
(Paso N0
4)
FASE ACUOSA II
comp. org. básicos
15 ml de HCl 20%
(Paso N0
6) purificación
Parte
insoluble
Parte soluble
FASE ETEREA I
Parte soluble
FASE ETEREA II
15 ml de NaOH 20%
(Paso N0
12)
Continua en la siguiente pagina
25
15 ml de NaHCO3 15%
(Paso N0
7)
FASE ACUOSA III
sustancias ácidas
15 ml de NaHCO3 15%
(Paso N0
9)
FASE ACUOSA II
comp. org. básicos
FASE ETERA II
PURA
Parte soluble
FASE ETEREA III
15 ml de HCl 20%
(Paso N0
13)
FASE ETERA III
PURA
26
15 ml de NaOH 20%
(Paso N0
10)
Continua en la siguiente pagina
15 ml de NaOH 20%
(Paso N0
11)
FASE ACUOSA IV FASE ETEREA IV
PURA
15 ml de HCl 20%
(Paso N0
14)
V. RESULTADOS
Presente los resultados en cuadros y/figuras y describa claramente los aspectos mas
importantes. En esta sección no debe discutirse ni hacerse ningún comentario, solo se
describen los resultados hallados.
VI. DISCUSION
Analizar los resultados obtenidos comparándolos con los de otros investigadores,
destacando los aspectos más sobresalientes que constituyen un nuevo aporte al tema
tratado. LA discusión debe tener coherencia lógica y semántica con los resultados. Cada
resultado debe ser discutido científicamente utilizando las citas bibliográficas con las
normas de estilo recomendadas.
VII. CONCLUSIONES
Solo indique las conclusiones debidamente sustentadas por los resultados obtenidos. Las
conclusiones se redactan en forma de enunciados.
VIII. CUESTIONARIO
• ¿Cuál de los siguientes compuestos formarán puentes de hidrógeno entre sus moléculas?
27
Desecar por 30 min
con MgSO4
Destilar a 35 0
C
¿Cuales de los compuestos anteriores forman puentes de hidrógeno con un disolvente como el
etanol?
• Ordene los siguientes grupos de compuestos por solubilidad decreciente en agua.
CH3CH2CH2COOH CH3CH2OCH2CH2CL CH3CH2OCH2CH2OH HOCH2OCH2CH2OH
IX. REFERENCIAS BIBLIOGRAFICAS
• Bruice P (2008) Química Orgánica. 5ta edición. Editorial Prentice Hall – Pearson
Education. México.
• Carey F (2000) Organic Chemistry. 4ta edición. Editorial McGraw-Hill. USA. Menger F,
Goldsmith D, Mandell L (1976) Química orgánica. 2da edición. Editorial
PRACTICA Nº 5 BIOQ. I
BIOTECNOLOGIA
REACCION DE LOS ALCOHOLES
I. INTRODUCCION
Los alcoholes son derivados de los hidrocarburos saturados o insaturados a los que se les
ha reemplazado un átomo de hidrógeno por un grupo hidroxilo (-OH). Si el grupo –OH esta
unido a un anillo aromático se denominan fenoles. El efecto que el grupo hidroxilo ejerce
sobre la molécula es el de proporcionar una polaridad considerable, les permite asociarse
por medio de enlaces por puente de hidrogeno, presentan además características
hidrofílicas (afinidad por el agua) y les confiere propiedades ácidas. (ej. Fenoles). Sus
puntos de ebullición y de fusión son más altos que los de los alcanos y alquenos
correspondientes, debido a las fuerzas de atracción que se presentan entre los hidroxilos.
La química de los alcoholes también dependen del tipo de grupo R al que esté unido el
OH, con base en esto se les puede clasificar en las siguientes especies químicas:
alquílicas, arílicas, vinílicas y bencílicas. Los alcoholes alquílicos pueden ser: primarios
(RCH2OH), secundarios (R2-CH-OH), terciarios (R3C-OH) y alílicos (CH2=CH2-CH2-OH).
Si el OH esta unido directamente a un doble enlace se denomina vinílico.
28
Las principales reacciones químicas de los alcoholes involucran la ruptura heterolítica de
la unión C-OH por lo que pueden sufrir reacciones de sustitución o eliminación de manera
análoga a los halogenuros de alquilo.
Algunas de las reacciones características de los alcoholes permiten distinguir alcoholes
primarios y secundarios de los alcoholes terciarios. La prueba de Lucas proporciona cierta
información de la estructura del alcohol, puesto que se basa en la conversión del alcohol al
cloruro de alquilo correspondiente (insoluble en agua). La facilidad de dicha reacción
depende de la estabilidad del carbocatión que se forma y permite diferenciar los alcoholes
primarios, secundarios y terciarios.
Por otro lado, los fenoles poseen dos grupos funcionales importantes: el anillo bencénico y
el grupo hidroxilo, por lo que las propiedades químicas de estos compuestos incluyen las
características de ambos. El protón del grupo hidroxilo aromático es mas ácido que el
protón de los alcoholes alifáticos, así mismo el anillo bencénico es más susceptible al
ataque por reactivos electrofílicos. Dos de las reacciones químicas que permiten identificar
en forma rápida un fenol es su reacción con álcalis y su reacción con cloruro ferrico.
Muchos fenoles y algunos compuestos relacionados (enoles) forman complejos de
coordinación con el ion ferrico de colores rojos, azules, púrpuras o verdes.
II. OBJETIVOS
• Comprobar algunas propiedades de los alcoholes
• Analizar la oxidación de los alcoholes y los productos obtenidos
III. EQUIPOS, MATERIALES Y REACTIVOS
Proporcionados por el laboratorio
• tubos de ensayo
• pipetas de 5 ml
• gradillas
• tapones de corcho
• Etanol
• 1- butanol
• Alcohol
• Isobutílico
• 2 – butanol
• 1- pentanol
• Glicerol
• Alcohol isoamílico
• Eter dietílico
• H2O destilada
• Cloruro de zinc
• Dicromato de sodio 5%
• H2SO4 concentrado
• HCl concentrado
•
I. PROCEDIMIENTOS
29
1. Solubilidad
• Agregar en tubos de ensayo 1 ml de solvente H2O y en otros tubos éter.
• Colocar 10 gotas de muestras de alcohol en cada tubo
• Agitar y observar
•
2. Prueba de Lucas
• Coloque 2.5 ml del reactivo de lucas (1,6 g de ZnCl2 + 10 ml de HCl cc) en cada tubo
de ensayo.
• Agregue 0.5 ml de cada alcohol en cada tubo con el reactivo de Lucas, y tapar con
tapón de corcho.
• Agitar por 5min
• Dejar reposar hasta que aparezca la turbidez
3. Oxidación de alcoholes
• Colocar 3 mL de dicromato de sodio 5% en tubos de ensayo.
• Agregar 1 mL de ácido sulfúrico concentrado a cada tubo, con cuidado. Si aparee un
precipitado, agitar hasta que desaparezca.
• Agregar 2 mL de cada muestra de alcohol, a cada tubo respectivamente.
• Si las mezclas cambian de color verde, identifique su olor y compárelo con el alcohol
del cual proviene.
• Solubilidad
TUBOS (ml) I II III IV V VI VII
Agua destilada 1 1 1 1 1 1 1
Etanol 1 --- --- --- --- --- ---
1 butanol --- 1 --- --- --- --- ---
Alcohol isobutilico --- --- 1 --- --- --- ---
2 butanol --- --- --- 1 --- --- ---
1 pentanol --- --- --- --- 1 --- ---
Glicerol --- --- --- --- --- 1 ---
Alcohol isoamilico --- --- --- --- --- --- 1
30
TUBOS (ml) I II III IV V VI VII
Eter 1 1 1 1 1 1 1
Etanol 1 --- --- --- --- --- ---
1 butanol --- 1 --- --- --- --- ---
Alcohol isobutilico --- --- 1 --- --- --- ---
2 butanol --- --- --- 1 --- --- ---
1 pentanol --- --- --- --- 1 --- ---
Glicerol --- --- --- --- --- 1 ---
Alcohol isoamilico --- --- --- --- --- --- 1
• Lucas
TUBOS (ml) I II III IV V VI VII
Reactivo de LUCAS 2.5 2.5 2.5 2.5 2.5 2.5 2.5
Etanol 0.5 --- --- --- --- --- ---
1 butanol --- 0.5 --- --- --- --- ---
Alcohol isobutilico --- --- 0.5 --- --- --- ---
2 butanol --- --- --- 0.5 --- --- ---
1 pentanol --- --- --- --- 0.5 --- ---
glicerol --- --- --- --- --- 0.5 ---
Alcohol isoamilico --- --- --- --- --- --- 0.5
Tapar los tubos con tapón de corcho. Agitar por 5 min. Dejar reposar por 10 min.
• Oxidación de alcoholes
TUBOS (ml) I II III IV V VI VII
Dicromato de sodio 5% 3 3 3 3 3 3 3
Acido sulfúrico concentrado 1 1 1 1 1 1 1
Etanol 2 --- --- --- --- --- ---
1 butanol --- 2 --- --- --- --- ---
Alcohol isobutilico --- --- 2 --- --- --- ---
2 butanol --- --- --- 2 --- --- ---
1 pentanol --- --- --- --- 2 --- ---
glicerol --- --- --- --- --- 2 ---
Alcohol isoamilico --- --- --- --- --- --- 2
Observe los resultados
31
IV. RESULTADOS
Presente los resultados en cuadros y/figuras y describa claramente los aspectos mas
importantes. En esta sección no debe discutirse ni hacerse ningún comentario, solo se
describen los resultados hallados.
V. DISCUSION
Analizar los resultados obtenidos comparándolos con los de otros investigadores,
destacando los aspectos mas sobresalientes que constituyen un nuevo aporte al tema
tratado. La discusión debe tener coherencia lógica y semántica con los resultados. Cada
resultado debe ser discutido científicamente utilizando las citas bibliográficas con las
normas de estilo recomendadas.
VI. CONCLUSIONES
Solo indique las conclusiones debidamente sustentadas por los resultados obtenidos. Las
conclusiones se redactan en forma de enunciados.
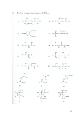
VII. CUESTIONARIO
Desarrolle los ejercicios que están en las páginas siguientes
VIII. REFERENCIAS BIBLIOGRAFICAS
• Bruice P (2008) Química Orgánica. 5ta edición. Editorial Prentice Hall – Pearson
Education. México.
• Carey F (2000) Organic Chemistry. 4ta edición. Editorial Mc Graw-Hill. USA.
• Menger F, Goldsmith D, Mandell L (1976) Quimica organica. 2da edición. Editorial Fondo
Educativo Interamericano S.A.
32
33
34
35
PRACTICA Nº 6 BIOQ. I BIOTECNOLOGIA
OBTENCION DE UN ESTER
I. INTRODUCCION
Un éster es un compuesto formado junto con agua por la reacción de un ácido y un
alcohol. Puesto que este proceso es análogo a la neutralización de un ácido por una base
en la formación de un sal, antiguamente lo esteres eran denominados sales etéreas. Este
termino es incorrecto por los esteres, a diferencia de las sales, no se ionizan en disolución.
En química los esteres son compuestos orgánicos en los cuales un grupo orgánico
reemplaza a un átomo de hidrogeno o mas de uno, en un ácido oxigenado. Un ácido
oxigenado es un ácido cuyas moléculas poseen un grupo OH
-
desde e cual el hidrogeno
(H) puede disociarse como un ion protón (H
+
).
Los esteres mas comunes son los esteres carboxilados, donde el acido en cuestión es un
acido carboxílico. Por ejemplo, si el ácido es el acido acético, el éster es denominado
como acetato. Los esteres pueden también ser formados por ácidos inorgánicos; por
ejemplo el dimetil sulfato, es un éster, a veces también llamado “acido sulfúrico, dimetil
éster”.
En bioquímica son el producto de la reacción entre los ácidos grasos y alcoholes. En la
formación de esteres, cada radical OH (grupo de hidróxido) del radical del alcohol se
sustituye por la cadena –COO del ácido graso. El H sobrante del grupo carboxilo, se
combina con el OH sustituido formando agua.
En química orgánica y bioquímica los esteres son un grupo funcional compuesto de un
radical orgánico unido al residuo de cualquier ácido oxigenado, orgánico o inorgánico.
Todos las grasas y aceites naturales, exceptuando obviamente los aceites minerales, y la
mayoría de las ceras son mezclas de esteres. Por ejemplo, los esteres son los
componentes principales del cebo de la grasa del cerdo o manteca, de los aceites de
pescado incluyendo el aceite de hígado de bacalao y del aceite de linaza. Los esteres de
alcohol cetilico se encuentran en el espermaceti, una cera que se obtiene del esperma de
ballena y los esteres de alcohol miricilico en la cera de abeja. La nitroglicerina, un
explosivo importante es el éster del acido nítrico y la glicerina.
II. OBJETIVOS
36
• Preparar un éster a partir de un alcohol y un ácido carboxílico.
• Aplicar algunas técnicas de laboratorio ya conocidas como son calentamiento a reflujo
y extracción.
III. EQUIPOS, MATERIALES Y REACTIVOS
Proporcionados por el laboratorio
• Tubo refrigerante con mangueras.
• Estufa.
• Soporte universal
• Pinzas
• Balón
• Fragmentos de porcelana
• Agitador magnético
• Pera de decantación
• Acido acético glacial
• Alcohol isoamílico
• Bicarbonato de sodio al 5%
• Cloruro de sodio
• Sulfato de sodio anhidro
• H2O destilada
• H2SO4 concentrado
• Hielo con agua
I.- PROCEDIMIENTOS
• En un balón de 50 mL y de una boca coloque 4.0 mL de alcohol isoamilico, 6 mL de
acido acético glacial y añada, agitando cuidadosamente 1mL de acido sulfúrico
concentrado.
• Agregue núcleos porosos para regular la ebullición y conecte el condensador en
posición de reflujo. Caliente la mezcla de reacción en baño de aire manteniendo el
reflujo durante 15 min. Pasado este tiempo suspenda el calentamiento, retire el baño
de aire y retire la mezcla a temperatura ambiente.
• Pase la mezcla de reacción a un embudo de separación. Lave el matraz de reacción
con 14 ml. De agua fría y pase el agua al embudo de separación. Agite varias veces,
separe la fase acuosa y deséchela.
• La base orgánica contiene el éster y un poco de ácido acético, el cual puede ser
removido por dos lavados sucesivos de 7.5 de una disolución de bicarbonato de sodio
al 5%.
• Lave la capa orgánica con 6 ml de agua mezclado con 1.5 ml de una disolución
saturada de cloruro de sodio. Deseche la capa acuosa, vierta la fase orgánica en un
vaso de precipitados y seque con sulfato de sodio anhidro
SOLUCION
37
• Alcohol isoamilico 4 ml
• Acido Acético 6 ml
• Acido sulfúrico cc 1 ml
38
Condensador de reflujo
por 45 min
Fase orgánicaFase acuosa
7.5 ml de NaHCO3 5%
Fase acuosa Capa orgánica
6 ml de agua + 1.5 ml de
sol. saturada de NaCl
IV. RESULTADOS
Presente los resultados en cuadros y/figuras y describa claramente los aspectos mas
importantes. En esta sección no debe discutirse ni hacerse ningún comentario, solo se
describen los resultados hallados.
V. DISCUSION
Analizar los resultados obtenidos comparándolos con los de otros investigadores,
destacando los aspectos más sobresalientes que constituyen un nuevo aporte al tema
tratado. La discusión debe tener coherencia lógica y semántica con los resultados. Cada
resultado debe ser discutido científicamente utilizando las citas bibliográficas con las
normas de estilo recomendadas.
VI. CONCLUSIONES
Solo indique las conclusiones debidamente sustentadas por los resultados obtenidos. Las
conclusiones se redactan en forma de enunciados.
VII. CUESTIONARIO
Desarrolle los ejercicios que están en las páginas siguientes
39
Fase acuosa Capa orgánica
Secar con sulfato
de sodio anhidro
VIII. REFERENCIAS BIBLIOGRAFICAS
• Bruice P (2008) Quimica Organica. 5ta edición. Editorial Prentice Hall – Pearson
Education. Mexico.
• Carey F (2000) Organic Chemistry. 4ta edición. Editorial McGraw-Hill. USA.
• Menger F, Goldsmith D, Mandell L (1976) Quimica organica. 2da edición. Editorial Fondo
Educativo Interamericano S.A.
PRACTICA Nº 7 BIOQ. I
BIOTECNOLOGIA
RECONOCIMIENTO DE CARBOHIDRATOS.
I.- INTRODUCCION
Los carbohidratos desempeñan en los organismos vivos diversas funciones. Los animales los
emplean de preferencia como combustible para producir energía, cuando los reciben en exceso
los almacenan en forma de polisacaridos (glucógeno) o los convierten en grasa para ser
utilizadas en el momento oportuno. Las plantas pueden sintetizar o almacenar grandes
cantidades de carbohidratos, especialmente mientras ocurre la fotosíntesis, los que servirán
como fuente energética para ellos mismos o para los animales.
Por otro lado, diversos glúcidos o derivados de ellos contribuyen a la formación a la formación
de estructuras de sostén, pues son constituyentes de sustancias como la celulosa en los
vegetales, los mucopolisacáridos en los animales y diversos glúcidos complejos en la pared
bacteriana. Además, numerosas moléculas esenciales para cualquier célula, como los ácidos
nucleicos y numerosas coenzimas poseen residuos hidrocarbonados.
Químicamente, los carbohidratos son derivados aldehídicos o cetónicos de alcoholes
superiores polivalentes o compuestos que por hidrólisis dan estos derivados. Se clasifican en
cuatro gran des grupos: Monosacáridos, disacáridos, oligosacáridos y polisacáridos. Tiene
diferentes propiedades físicas y químicas, y en base a ellas existen métodos que nos permiten
diferenciarlos, lo que constituye el objetivo de esta práctica.
40
II.- OBJETIVOS
2.1. Reconocer los diferentes tipos de carbohidratos
2.2. Identificar la presencia de azúcares reductores provenientes de la hidrólisis
ácida de muestras de carbohidratos.
III. EQUIPOS MATERIALES Y REACTIVOS
3.1 EQUIPOS
3.1.1 Balanza
3.1.2 Baño maría
3.2 MATERIALES Y REACTIVO
PROPORCIONADO POR EL ALUMNO
3.2.1 Una papa
3.2.2 5 gr de almidón por grupo de trabajo
PROPORCIONADO POR EL LABORATORIO
3.2.3 Solución de glucosa 1 %
3.2.4 Solución de sacarosa 1 %
3.2.5 Solución de maltosa 1 %
3.2.6 Solución de almidón 1 %
3.2.7 Solución de fructosa %
3.2.8 Solución alcohólica de Alfa naftol 5 %
3.2.9 Acido sulfúrico Q.P.
3.2.10 Reactivo de Selivanoff
3.2.11 Reactivo de Bradford
3.2.12 Acido clorhídrico 1,5 %
3.2.13 Solución de Hidróxido de potasio 1 %
3.2.14 Solución de Fehling “A”
3.2.15 Solución de Fehling “B”
3.2.16 Tubos de ensayo
41
3.2.17 Pipetas de 1, 5 y 10 ml
IV.- PROCEDIMIENTO EXPERIMENTAL
4.1 ACCION DE LOS ACIDOS OXIDANTES
1.1. REACCIÓN DE MOLISH.-
Es una reacción general de los carbohidratos que sirve para detectar su
presencia en una sustancia problema. Una reacción negativa es una buena
evidencia de la ausencia de azúcares, mientras que una prueba positiva es
simplemente indicadora de la posibilidad de su existencia y requiere una mayor
investigación.
Observar en la interfase la aparición de un anillo rojo violeta oscuro, lo cual indica
una reacción positiva. Esta reacción es debida a la condensación de los
furfurales formados por la acción del ácido con el alfanaftol.
1.2. REACCION DE SELIVANOFF.-
Esta es una reacción específica para azúcares con grupo funcional cetónico.
42
TUBOS (ml) I II III IV
Sol. Glucosa 1% 2.0 --- --- ---
Sol. Sacarosa 1% --- 2.0 --- ---
Sol. Maltosa 1% --- --- 2.0 ---
Sol. Almidón 1% --- --- --- 2.0
Sol. Alfa naftol 5% (gotas) 02 02 02 02
Mezclar bien agitando el tubo, agregar lentamente por las paredes
Acido sulfúrico 2.0 2.0 2.0 2.0
Mezclar bien y someter a baño maría hirviente. Observar lo que sucede en
los tubos, a intervalos de 3 minutos, durante 15 minutos.
La reacción es positiva cuando se observa una coloración rojo – cereza.
1.3. REACCION DE BARFOED.-
Esta prueba se utilizar para diferenciar monosacáridos de disacáridos
Mezclar bien y someter a baño maría hirviente por espacio de 5 minutos,
controlar el tiempo en que aparecen las reacciones positivas (precipitado rojo
naranja) en los diferentes tubos. Interpretar los resultados.
43
TUBOS (ml) I II III
Sol. Fructosa 1% 1.0 --- ---
Sol. Glucosa 1% --- 1.0 ---
Sol. Sacarosa 1% --- --- 1.0
Rx. Selivanoff 5.0 5.0 5.0
TUBOS (ml) I II III IV
Sol. Glucosa 1% 1.0 --- --- ---
Sol. Fructosa 1% --- 1.0 --- ---
Sol. Sacarosa 1% --- --- 1.0 ---
Sol. Maltosa 1% --- --- --- 1.0
Rx Barfoed 5.0 5.0 5.0 5.0
1.4. ACCION DE LOS ALCALIS SOBRE LOS CARBOHIDRATOS
Las aldosas y cetosas, como los carbohidratos compuestos que contienen un
grupo azúcar libre, presentan el fenómeno de la tautomerización cuando son
sometidos a la acción de los álcalis dando origen a las formas enólicas que se
comportan como ácidos débiles y tiene la capacidad de unirse al álcali dando
lugar a sales enólicas que tienen propiedades reductoras.
De estas propiedades se valen los métodos para la identificación y cuantificación
de muchos azúcares (Reacción de Benedict, Fehling, etc.). En la práctica se hará
una hidrólisis ácida de un polisacárido y luego se procederá a identificar el
azúcar reductor correspondiente.
PROCEDIMIENTO:
• Triturar en un mortero una papa sin cáscara
• Agregar 5 – 10 ml de agua destilada, mezclar y decantar el sobrenadante en un
vaso de precipitación.
• En un tubo de ensayo medir 2 ml del sobrenadante anterior, y en otro tubo de
ensayo medir 2 ml de solución de almidón previamente preparado
• Añadir 2 ml de HCl 1,5 % a cada uno de los tubos
• Calentar los tubos de ensayo en baño maría hasta que hierva durante 15
minutos; enfriar, adicionar 5 gotas de KOH 1%
• Añadir a los tubos anteriores 1 ml de las soluciones de Fehling “A” y “B”, luego
someterlos a ebullición entre 3 y 5 minutos. Observar los que sucede
V.- RESULTADOS Y DISCUSION
5.1. Los resultados de cada prueba indicarlos en un cuadro como el que sigue:
44
REACCIÓN I II III IV
VI. CONCLUSIONES
6.1. Indicar las conclusiones de la práctica.
VII. CUESTIONARIO
7.1 ¿Cuál de las pruebas permite diferenciar aldosas de cetosas? Fundamente su
respuesta.
7.2 ¿El almidón ingerido por el ser humano sufre el mismo tipo de hidrólisis ácida
realizada en la práctica? ¿Cómo se hidroliza?
7.3 Cuales son las unidades monoméricas de:
- Lactosa - Sacarosa
- Maltosa - Celulosa
7.4 Representa la unión de moléculas en la formación del almidón, glucógeno, y
celulosa
7.5 De los siguientes azúcares, ¿Cuál no es reductor? ¿por qué?
- Glucosa - Sacarosa
- Lactosa - Fructosa
VIII.- REFERENCIAS BIBLIOGRAFICAS
8.1. Bohinski, R. 1978. Bioquímica 2da edición. Fondo Educativo Latinoamericano S.A.
8.2. Morrison, R. y Boyd. 1985. Química orgánica. 2da edición. Fondo Educativo
Latinoamericano S.A. México.
8.3. Villavicencio, M. 1993. Bioquímica. A&B S.A. Editores, Lima – Perú.
45
PRACTICA Nº 8 BIOQ. I
BIOTECNOLOGIA
SAPONIFICACION DE LAS GRASAS
I. INTRODUCCION
Químicamente, el jabón es una mezcla de sales de sodio o de potasio de ácidos grasos de
cadena larga, producidas por la hidrólisis (saponificación) de una grasa animal o vegetal
con un álcali. La palabra saponificación significa hacer jabón. Las grasas y aceites son
esteres mixtos naturales de ácidos grasos (de peso molecular elevado) y de la glicerina;
triglicéridos, es decir triesteres de glicerol con tres ácidos carboxílico de cadena larga, no
ramificada. La diferencia entre las grasas y los aceites es que estos últimos presentan
ácidos carboxílicos insaturados.
El índice de saponificación se define como la cantidad de álcali necesario para la
saponificación un gramo de grasa o aceite.
Los jabones ejercen su acción limpiadora debido a que los dos extremos de sus moléculas
son muy diferentes. Uno de los extremos de la molécula es ionico, por tanto hidrofilo y
tiende a disolverse en el agua. La otra parte es la cadena de hidrocarburo no polar, por
tanto lipofila o afin a la grasa y tiende a disolverse en ella. Una vez solubilizadas en agua,
la grasa y la mugre pueden eliminarse.
46
II. OBJETIVOS
• Obtener el índice se saponificación del aceite de cocina.
• Obtener jabón a partir de la saponificación del aceite de cocina.
III. EQUIPOS, MATERIALES Y REACTIVOS
Proporcionados por el laboratorio
• Tubo refrigerante como
manguera
• Estufa
• Soporte universal
• Pinzas
• matraz erlenmeyer 250 ml.
• Balón
• Fragmentos de porcelana
• Agitador magnético
• Termómetro
• Vaso de precipitación de 250 y
500 ml
• Etanol
• NaOH 0.5N (solución
etanólica: 5 agua: 20 etanol)
• HCl 0.5N
• Aceite de cocina
• Fenolftaleína 1% (solución
alcohólica)
IV. PROCEDIMIENTOS
Determinación de índice de saponificación
• En un matraz pese a 2 g de la muestra de aceite y agregue 25mL (pipeta volumétrica)
de la solución etanólica. Coloque un refrigente, adicione perlas de ebullición y hierva a
reflujo la solución durante 60 min. Después de esto la solución se enfría y el tubo del
condensador se enjuaga con 5 o 10 ml de agua (colecte esta directamente en el
matraz).
• Agregue 4 a 5 gotas de fenolftaleína y agite fuertemente. Titule el álcali remanente en
la muestra con solución estandarizada de HCl 0.5N, manteniendo la agitación.
• Coloque otra alícuota de 25mL de solución etanólica en un matraz Erlenmeyer de 250
mL, agregue una gota de fenolftaleína y titule utilizando una solución estandarizada de
HCl 0.5N. la diferencia entre los volúmenes requeridos de ácidos representa la
47
cantidad de álcali consumido en la saponificación. (hacer a lo menos 4 titulaciones en
cada caso y desechar el valor de la 1era).
Saponificación de una grasa
• En un vaso de precipitados de 250 ml coloque 30g de grasa o aceite y caliente
suavemente sin sobrepasar los 45 ºC.
• En otro vaso de 400 ml, coloque 5 g de NaOH y 45 ml de etanol necesario para realizar
la saponificación.
• Caliente entre 60 y 70 ºC agregue pequeñas porciones de la grasa a la lejía con
agitación vigorosa. Una vez agregada toda la grasa, continúe calentando (cuidando
que no pase de 75 ºC) hasta que al mezclar en un vidrio de reloj una pequeña muestra
y unas gotas de agua, ya no se observe ningún sobrenadante aceitoso.
• Comparar la cantidad de calculada por el índice de saponificación del álcali con la
usada en esta experiencia.
V. RESULTADOS
Presente los resultados en cuadros y/figuras y describa claramente los aspectos mas
importantes. En esta sección no debe discutirse ni hacerse ningun comentario, solo se
describen los resultados hallados.
VI. DISCUSION
Analizar los resultados obtenidos comparándolos con los de otros investigadores,
destacando los aspectos más sobresalientes que constituyen un nuevo aporte al tema
tratado. La discusión debe tener coherencia lógica y semántica con los resultados. Cada
resultado debe ser discutido científicamente utilizando las citas bibliográficas con las
normas de estilo recomendadas.
VII. CONCLUSIONES
Solo indique las conclusiones debidamente sustentadas por los resultados obtenidos. Las
conclusiones se redactan en forma de enunciados.
VIII. CUESTIONARIO
Desarrolle los ejercicios que están en las páginas siguientes
48
IX. REFERENCIAS BIBLIOGRAFICAS
• Bruice P (2008) Quimica Organica. 5ta edición. Editorial Prentice Hall – Pearson
Education. Mexico.
• Carey F (2000) Organic Chemistry. 4ta edición. Editorial McGraw-Hill. USA.
• Menger F, Goldsmith D, Mandell L (1976) Quimica organica. 2da edición. Editorial Fondo
Educativo Interamericano S.A.
Formula para calcular el Indice de Saponificación.
Índice de saponificación = VB – VM * N * 56,1
Peso de la muestra
VB = Volumen de HCi usado en el blanco
VM = Volumen de HCl usado en la titulación
N = Normalidad del HCl
¿Qué es el índice de saponificación?
Tabla de saponificación de las grasas para fabricar jabones
La saponificación es el proceso por el cual, un aceite o una grasa se transforma en jabón, a
partir de una reacción química con una solución alcalina, habitualmente, de hidróxido de sodio.
Pero ¿Qué es el índice de saponificación? ¿Cuál es el índice de saponificación de cada grasa o
aceite en particular? Encuentra la repuesta a estos interrogantes en la tabla de saponificación
de los aceites y grasas para fabricar jabones.
El índice se saponificación es la cantidad en miligramos de un álcali, específicamente de
hidróxido de potasio, que se necesita para saponificar un gramo de determinado aceite o grasa.
Sin embargo, habitualmente en la fabricación de jabones, el álcali que se utiliza es el hidróxido
de sodio. Por otra parte, este índice de saponificación varía para cada grasa o aceite en
particular. Para conocer estas cantidades habría que realizar complejos cálculos, que se
simplifican con las tablas de saponificación existentes.
49
Estas tablas de saponificación, registran cual es el índice de saponificación adecuado, es decir
la cantidad en miligramos de hidróxido de sodio, que necesitas para saponificar cada grasa o
aceite, con la que vayas a fabricar jabones.
La tabla que veras a continuación te muestra los índices de saponificación de algunos de los
aceites y grasas, empleados más frecuentemente, en la fabricación de jabones:
Tabla de índice de saponificación: mg. de hidróxido de sodio por gr. de grasa.
1. 0,134 Aceite de oliva
2. 0,190 Aceite de coco
3. 0,141 Aceite de palma
4. 0,134 Aceite de girasol
5. 0,128 Aceite de ricino
6. 0,136 Aceite de almendras
7. 0,133 Aceite de aguacate
8. 0,135 Aceite de soja
9. 0,136 Aceite de maíz
10. 0,133 Aceite de sésamo
11. 0,069 Aceite de joroba
12. 0,156 Aceite de palmaste
13. 0,132 Aceite de germen de trigo
14. 0,069 Cera de abeja
15. 0,137 Manteca de cacao
16. 0,128 Manteca de karité
http://www.innatia.com/s/c-quimica-jabon/a-indice-de-saponificacion.html
• ÍNDICE DE SAPONIFICACIÓN
Solución “A”
Aceite 2 ml
NaOH 0.5 N
En solución etanolica 25 ml
50
Condensador de
reflujo por 60 min
Solución “B”
NaOH 0.5 N
En solución etanolica 25 ml
• SAPONIFICACIÓN DE UNA GRASA
51
Titular con HCl 0.5 N
Fenolftaleína
4 -5 gotas
Fenolftaleína
4 -5 gotas
Titular con HCl 0.5 N
Calentar a 45 0
C
30 ml de aceite
Disolver 5 gr de NaOH
en 45 ml de etanol
Calentar entre
60 - 70 0
C
Adicionar pequeñas
porciones de aceite
Agitando vigorosamente
PRACTICA Nº 9 BIOQ. I
BIOTECNOLOGIA
RECONOCIMIENTO DE PROTEINAS Y SEPARACION DE AMINOACIDOS POR
CROMATOGRAFIA
I. INTRODUCCION
La cromatografía engloba a un conjunto de técnicas de análisis basadas en la separación
de los componentes de una mezcla y su posterior detección. Las técnicas cromatográficas
son muy variadas, pero en todas ellas hay una fase móvil que consiste en un fluido (gas,
líquido o fluido supercrítico) que arrastra a la muestra a través de una fase estacionaria
que se trata de un sólido o un líquido fijado en un sólido.
Los componentes de la mezcla interaccionan de distinta forma con la fase estacionaria y
con la fase móvil. De este modo, los componentes atraviesan la fase estacionaria a
distintas velocidades y se van separando. Después de haber pasado los componentes por
la fase estacionaria y haberse separado pasan por un detector que genera una señal, que
puede depender de la concentración y del tipo de compuesto.
En la presente práctica observaremos como se realizan las técnicas de cromatografía y
espectrofotometría, resaltando la utilidad de estas.
II. OBJETIVOS
• Reconocer el manejo de la cromatografía en papel
• Analizar el Rf de los aminoácidos en la práctica
III. EQUIPOS, MATERIALES Y REACTIVOS
Proporcionados por el laboratorio
• Papel de filtro Whatman Nº1
52
• Probetas
• Pipetas de 1 mL
• Vasos de precipitación de 50 mL
• Cámara de Cromatografía
• Estufa
• Pinzas
• n-Butanol
• Acido acético glacial
• L-lisina (5mg/mL)
• L-leucina (5mg/mL)
• L-tirosina (5mg/mL)
• Ninhidrina al 1% (solución alcohólica)
• Agua destilada
Proporcionados por el alumno
• Guantes
• Cámara fotográfica
• Bandejas de plástico y Aspersor de agua
IV. PROCEDIMIENTOS
• Después de colocarse los guantes, cortar con tijeras, un rectángulo de papel filtro
Whatman Nº 1 de 10 x 14 cm.
• Sumergir en agua e inmediatamente pasar a ácido acético 1N por 10 minutos; escurrir y
sumergir en agua. Sacar el papel rápidamente y secarlo entre papeles secantes.
• Usando guantes, trazar a 1,5 cm del borde inferior de la tira de papel Whatman, una
línea con lápiz y sobre ella marcar 4 puntos a 2,4,6 y 8 cm, evitando poner los dedos
en la parte central del papel, y señalarlos con las letras M (mezcla de los tres
aminoácidos), Le (Leucina), L(lisina) y T(tirosina).
• Aplicar con una micropipeta o un tubo capilar, 3 µL de cada una de las respectivas
soluciones de aminoácidos descritos anteriormente, de forma que aparezcan una
mancha de unos 5 mm de diámetro.
• Secar a 50 ºC por 10 minutos.
PREPARACION DE LA CAMARA CROMATOGRAFICA
53
• La cámara cromatográfica es un recipiente de cierre hermético en cuyo interior se
encuentra el solvente. Este debe estar saturado con el solvente (Butanol: ácido acético
glacial: agua (12:3:5)) 30 minutos antes de empezar la corrida cromatográfica.
• Inducir el papel en la cámara cromatográfica de tal forma en el líquido no lo moje y cerrar
con la ayuda de la tapa para que la atmosfera se sature del vapor de la fase móvil,
dejar 10n minutos.
• Ahora introducir el papel en el solvente 1 cm y dejar transcurrir un tiempo no menor de
30 minutos para que se desarrolle el proceso.
• Al final del proceso retirar el papel y marcar el rastro del frente del solvente (frente de la
corrida), es decir, hasta donde subió el solvente.
• Secarlo en la estufa a 60 ºC por 15 minutos
• Rociar el papel con solución de ninhidrina. Secar el papel en la estufa a 60 ºC hasta la
aparición de manchas violáceas o azuladas. Esto constituye el revelado
CONFECCION DEL CROMATOGRAMA
Encerrar en círculos las manchas y determinar su Rf (relación entre la distancia recorrida
por la muestra Dl y la recorrida por el solvente D2) para cada aminoácido. Es aconsejable
que se haga una toma fotográfica.
Determinar los Rf de cada aminoácido
Rf = Distancia recorrida por la mancha (aminoácido)
Distancia recorrida por el disolvente
V. RESULTADOS
Presente los resultados en cuadros y/figuras y describa claramente los aspectos mas
importantes. En esta sección no debe discutirse ni hacerse ningún comentario, solo se
describen los resultados hallados.
VI. DISCUSION
Analizar los resultados obtenidos comparándolos con los de otros investigadores,
destacando los aspectos más sobresalientes que constituyen un nuevo aporte al tema
tratado. La discusión debe tener coherencia lógica y semántica con los resultados. Cada
54
resultado debe ser discutido científicamente utilizando las citas bibliográficas con las
normas de estilo recomendadas.
VII. CONCLUSIONES
Solo indique las conclusiones debidamente sustentadas por los resultados obtenidos. Las
conclusiones se redactan en forma de enunciados.
VIII. CUESTIONARIO
Desarrolle los ejercicios que están en las paginas siguientes
IX. REFERENCIAS BIBLIOGRAFICAS
• Bruice P (2008) Quimica Organica. 5ta edición. Editorial Prentice Hall – Pearson
Education. Mexico.
• Carey F (2000) Organic Chemistry. 4ta edición. Editorial McGraw-Hill. USA.
• Menger F, Goldsmith D, Mandell L (1976) Quimica organica. 2da edición. Editorial Fondo
Educativo Interamericano S.A.
Valores de referencia
AA Rf AA Rf AA Rf AA Rf
Ala 0.30 Gln 0.17 Ile 0.67 Ser 0.22
Asn 0.12 Glu 0.28 Lys 0.12 Thr 0.26
Asp 0.23 Gly 0.23 Met 0.50 Tyr 0.45
Arg 0.15 His 0.11 Phe 0.60 Trp 0.50
Cys 0.08 Leu 0.70 Pro 0.34 Val 0.51
55
Esquemas
56
Cortar tiras de papel
de filtro de 10 x 14 cm
Sumergir en agua
PREPARACION DE LA CAMARA CROMATOGRAFICA
PRACTICA Nº 10 BIOQ. I BIOTECNOLOGIA
DISEÑO DE UNA MAQUETA DE ADN
PRACTICA Nº I1 BIOQ. I BIOTECNOLOGIA
OBSERVACION DE BIOMOLECULAS EN 3D USANDO SOFTWARE
BIOINFORMATICO
PRACTICA Nº 12 BIOQ. I BIOTECNOLOGIA
RECONOCIMIENTO MOLECULAR: IMPRESIÓN MOLECULAR
57
Secar las tiras de papel de filtro
entre papeles secantes
Sumergir en solución
de Ácido acético 1N
por 10 minutos
Sumergir en agua
Seguir las indicaciones de la
práctica
SOLVENTE
Butanol : 12 ml
Acido acético : 3 ml
Agua destilada: 5 ml
Seguir las indicaciones de la
práctica
PRACTICA Nº 13 BIOQ. I BIOTECNOLOGIA
RECONOCIMIENTO DE MOLECULAS BIOMIMETICAS I IN SILICO
PRACTICA Nº 14 BIOQ. I BIOTECNOLOGIA
RECONOCIMIENTO DE MOLECULAS BIOMIMETICAS II IN SILICO
PRACTICA Nº 15 BIOQ. I BIOTECNOLOGIA
PROPIEDADES CATALITICAS DE LA CATALASA
58

Manual bioquimica i

  • 1.
    UNIVERSIDAD NACIONAL DELSANTA FACULTAD DE CIENCIAS DPTO. ACAD. DE BIOLOGÍA, MICROBIOLOGÍA Y BIOTECNOLOGÍA PRACTICA Nº 1 BIOQ. I BIOTECNOLOGIA RECONOCIMIENTO Y CUIDADO DEL MATERIALES Y EQUIPOS DE USO COMUN EN EL LABORATORIO I. INTRODUCCION Para el desarrollo de las prácticas es conveniente tener en cuenta algunas normas elementales que deben ser observadas por cada estudiante, así como debe reconocer los diferentes materiales y equipos de laboratorio con los que deberá trabajar durante el desarrollo de todas las prácticas lo que permitirá agilizar las mismas. Las prácticas que se realizan en los laboratorios pueden presentar una serie de riesgos de origen y consecuencias muy variadas: relacionados con las propias instalaciones de los laboratorios, con los productos químicos que se manejan y con las operaciones que con ellos se realizan. El objeto de estas recomendaciones que se presentan es que el alumno conozca estos riesgos y la forma de evitarlos, de manera que desarrolle la cultura de la prevención desde el primer momento en que trabaje las prácticas en los laboratorios: cumpliendo una serie de normas básicas importantes para la seguridad y salud. En el laboratorio se emplean una variedad de material y equipo para la realización de experimentos o bien para realizar mediciones y obtener datos. Los materiales pueden ser de madera, plastico o goma, vidrio, metal y porcelana. En la realización de las experiencias, se usan equipos de destilación, esterilización, secado, así como instrumentos de medición y materiales volumétricos, ya que se usan para medir volúmenes de fluidos, ya sean líquidos o gases. Entre los aparatos volumétricos más usados tenemos: probetas, pipetas, buretas, vasos de precipitados, tubos de ensayo, entre otros. Además que existen muchos otros materiales, instrumentos y equipos que estan a disposicon para el trabajo de laboratorio. II. OBJETIVOS • Determinar las normas de seguridad a seguir en el laboratorio de prácticas. • Informar las normas a seguir en la ejecución de las prácticas. 1
  • 2.
    • Reconocer cadauno de los materiales de vidrio del laboratorio y señalar su función. • Identificar los equipos de laboratorio señalando su función e importancia. III. EQUIPOS, MATERIALES Y REACTIVOS 1) Proporcionados por el laboratorio • Soporte universal • Probetas • matraces • vasos de precipitación • embudos de vidrio • Pipetas de diferente volumen • cocina eléctrica • balanza digital • pinzas de madera • mecheros • pizeta para agua destilada • espátulas • microscopio • centrifuga • equipo de baño Maria • estufa • pipetas Pasteur • pinzas de metal • morteros con su pilón • gradillas • tubos de ensayo • placas Petri • estuches de disección 2) Proporcionados por el alumno • Cada alumno deberá traer su mandil blanco con su nombre y escuela bordado, una franela verde de 30 x 30cm con su nombre, guantes quirúrgicos, lentes de plástico de protección, libreta de apuntes tamaño carta, caja de colores y su manual de practicas (proporcionado por la profesora del curso) el primer día de práctica. • Los alumnos de cada grupo de práctica formaran subgrupos de cinco alumnos, estos sus subgrupos permanecerán durante todas las practicas. Cada subgrupo deberá traer los siguientes materiales el primer día de práctica en una caja señalando el grupo (ejem. A) y subgrupo (ejem. A1) al que corresponden:  esponja para limpiar  bolsa de detergente  jabón de lavar ropa  litro de lejía  litro de alcohol  litro de ron de quemar  cajas de fósforo  tijera de punta fina  cuchillo chico de punta fina  navajas nuevas  bisturí  laminas portaobjetos  laminillas cubreobjetos  frasco de plástico/vidrio de 100ml  lava vajilla chico IV. PROCEDIMIENTOS 2
  • 3.
    1. RECOMENDACIONES BASICASDE SEGURIDAD EN EL LABORATORIO • ORDEN Y LIMPIEZA EN EL LABORATORIO Desde el punto de vista de seguridad, los aspectos como el orden y la limpieza son fundamentales para reducir el riesgo y las condiciones inseguras, por tal motivo se consideran como elementos claves para el trabajo seguro en el laboratorio. A continuación se enlistan algunos aspectos que deben procurarse en todo laboratorio • HÁBITOS DE TRABAJO a) Trate de trabajar lo más cómodo posible; recuerde las formas de manejo que mejoran las condiciones ergonómicas y se cansará menos. b) No trabaje en forma apresurada. c) Mantenga su espacio de trabajo limpio y ordenado. d) Tape inmediatamente los recipientes que contengan reactivos después de usarlos. e) Nunca corra en el laboratorio. f) Nunca haga bromas en el laboratorio. g) No lleve tubos de ensaye ni productos en los bolsillos de las batas. h) Nunca abandone el laboratorio mientras esté realizando un experimento sin consultar al profesor. i) Deje avisos de advertencia cuando deje aparatos prendidos en forma circunstancial u ocasional. j) Trate de tomar los objetos en forma segura para evitar que se caigan. k) No deje puertas de gavetas y gabinetes abiertas. l) Se debe de trabajar, siempre que sea posible, en campanas. m) No toque con las manos directamente los productos químicos, ni los pruebe. • RECOMENDACIONES GENERALES a) Use su sentido común. b) Conozca las reglas de seguridad y póngalas en práctica. c) Asegúrese de que conoce todas las señales de seguridad que se encuentran en el lugar de trabajo. d) Asegúrese que conoce la localización y el manejo del equipamiento de seguridad, las llaves de corte general de agua, gas y corriente eléctrica y las salidas de emergencia disponibles en el laboratorio. e) Asegúrese que conoce los procedimientos de emergencia. 3
  • 4.
    f) En ellaboratorio donde desarrolle su trabajo experimental, ubique las duchas de emergencia, las fuentes lavaojos, el botiquín de primeros auxilios y los extinguidores. g) Reporte todo incidente o accidente. h) No realice experimentos no autorizados o debidamente supervisados. i) No debe trabajar nunca una persona sola en el laboratorio y muy especialmente en el caso de realizarlo fuera de horas habituales, por la noche o realizando operaciones con riesgo. j) Cuando se realicen operaciones con riesgo, las personas que no intervengan en ellas deben estar perfectamente informadas de las mismas. • MATERIAL DE VIDRIO a) Antes de efectuar cualquier operación revise atentamente el material de vidrio con el que va a trabajar. b) Separe el material de vidrio defectuoso; no lo ponga con el resto de la basura. c) Si se rompe una pieza de vidrio sobre la mesa no retire los trozos con la mano o sirviéndose de materiales textiles, utilice un cepillo de cerda o plástico. d) No intente la separación de vasos o recipientes que hayan quedado obturados unos dentro de otros. e) No transporte frascos de vidrio o aparatos de vidrio debajo del brazo. f) No guarde piezas de vidrio y objetos punzantes de cualquier tipo en los bolsillos de la bata o ropa. • ANTES DE RETIRARSE DEL LABORATORIO a) Al finalizar una tarea u operación, recoja los materiales, reactivos, equipos, etc., evitando las acumulaciones innecesarias fuera de sus áreas. b) Lave perfectamente el material que haya utilizado. c) Verifique si quedan encendidos solo los instrumentos necesarios. d) Asegúrese de desconectar los aparatos, cerrar las llaves de agua, gas, etc. e) Lávese las manos perfectamente. • CAMPANAS DE EXTRACCIÓN a) La ejecución de todas las operaciones en las cuales se puede generar contaminación en el aire se debe realizar en la campana de extracción. b) Siempre es apropiado usar protección ocular y una bata de laboratorio cuando se trabaje en las campanas de extracción. 4
  • 5.
    c) Si lacampana es usada en experimentos semi permanentes, notificar el nombre de la persona a cargo, el titulo del experimento y los posibles peligros. d) Mantenga la cabeza fuera de la campana. e) Mantenga los aparatos por lo menos 15 cm lejos del frente de la campana. f) Evite bloquear la ranura posterior de ventilación. El material almacenado en la parte posterior de la campana deberán ser almacenado en un lugar dentro de la misma sin impedir el flujo del aire. g) g) Trate de no almacenar productos químicos en el interior de la campana. Los productos químicos peligrosos deberán ser almacenados en una gaveta apropiada y segura. h) h) No ponga conexiones eléctricas u otras fuentes de ignición dentro de la campana cuando estén presentes líquidos o gases inflamables. • PARA EVITAR LA LESIÓN EN LOS OJOS Se requiere del uso de protección para los ojos de todo el personal y visitantes en cualquier área del laboratorio. a) Los lentes de seguridad con barreras laterales dan la mínima protección aceptable para uso regular. Los lentes de seguridad deben estar de acuerdo con los estándares actuales. b) Los goggles de seguridad y las caretas se deben usar cuando se hagan actividades que involucren el riesgo de salpicaduras de sustancias químicas o partículas suspendidas. Estas corazas delgadas no ofrecen protección contra proyectiles. c) Se prefieren goggles a los lentes de seguridad regulares para proteger de riesgos por proyectiles, y cuando se trabaja con material de vidrio bajo condiciones de elevada o baja presión (por ejemplo tubos cerrados de reacción), cuando se manejan compuestos potencialmente explosivos (particularmente durante destilaciones), y cuando se utiliza material de vidrio en operaciones a altas temperaturas. d) Dado que los goggles ofrecen poca protección al cuello, se deben utilizar caretas protectoras cuando se realizan operaciones de laboratorio particularmente peligrosas. Además se requieren de lentes especiales cuando se usan rayos láser o ultravioleta o cuando se trabaja el soplado de vidrio. El uso de lentes ordinarios no ofrece protección contra las lesiones. Por eso se requiere de la prescripción de lentes de seguridad o goggles. 5
  • 6.
    Los lentes decontacto no ofrecen protección a los ojos de lesiones y no pueden sustituir a los lentes de seguridad y a los goggles. Es preferible no usar lentes de contacto cuando se lleven a cabo operaciones que involucren vapores de sustancias químicas o que tengan un riesgo de derrame o de depósito de partículas en los ojos, dado que los lentes de contacto pueden incrementar el grado de la lesión y pueden interferir con los primeros auxilios y con los procedimientos de lavado de ojos. Si alguien debe usar lentes de contacto por razones médicas, se deben usar lentes de seguridad con barreras laterales sobre los lentes de contacto. • EVITAR LA INGESTIÓN DE SUSTANCIAS QUÍMICAS PELIGROSAS Está estrictamente prohibido el comer, beber, mascar chicle, aplicar cosméticos, e ingerir medicinas en los laboratorios donde se esté trabajando con sustancias químicas peligrosas. La comida, bebidas, tazas, y demás utensilios para comer y beber no se deben guardar en áreas donde se almacenen o utilicen sustancias químicas peligrosas. El material de vidrio usado en las operaciones de laboratorio nunca debe ser usado para preparar o consumir alimentos o bebidas. Los refrigeradores, hieleras, cuartos fríos, hornos, etc. de los laboratorios no deben usarse para almacenar o preparar comida. En el laboratorio las fuentes de agua desionizada y agua potable, no deben usarse nunca para beber. Las sustancias químicas del laboratorio nunca deben ser probadas. Para pipetear se debe utilizar ya sea una propipeta o un aspirador; nunca debe hacerse con la boca. Se debe lavar las manos con agua y jabón inmediatamente después de trabajar en el laboratorio con cualquier sustancia química, aunque se hayan usado guantes de protección. • EVITAR LA INHALACIÓN DE SUSTANCIAS QUÍMICAS PELIGROSAS Nunca deben olerse sustancias químicas tóxicas o compuestos de toxicidad desconocida. Los procedimientos que involucren sustancias tóxicas volátiles u operaciones que involucren sustancias sólidas o líquidas que puedan originar aerosoles se deben conducir por una campana de laboratorio. Las partículas se consideran potencialmente contaminantes y peligrosas. Las campanas no se deben usar para la disposición de materiales volátiles peligrosos por evaporación. Estos materiales deben tratarse como residuos químicos y deben contenerse en recipientes especiales de acuerdo con procedimientos institucionales. Las siguientes reglas se deben seguir cuando se utilizan campanas de laboratorio: a) Para trabajos que involucren sustancias peligrosas, use campanas que operen adecuadamente. La inspección de la campana debe hacerse regularmente, y su inspección debe colocarse en un lugar visible. 6
  • 7.
    b) Colocar lasreacciones y las sustancias químicas peligrosas a 30 cm detrás del plano del marco de la campana. c) Nunca ponga su cabeza dentro de una campana de laboratorio para revisar un experimento. El plano del marco es la barrera entre el aire limpio y el contaminado. d) En las campanas donde los marcos se abren verticalmente, trabaje con el marco de la campana en la posición más baja posible. En campanas cuyo marco se abre horizontalmente, use una de las puertas como barrera en el caso de un accidente. Cuando la campana no esté en uso, mantenga el marco cerrado para mantener el flujo de aire en el laboratorio. e) Mantenga las campanas limpias y libres; no las ateste con botellas o equipo. Si hay una parrilla o una pantalla en la parte trasera de la campana, límpielas regularmente para que no se obstruyan con papeles o suciedad. Solo mantenga los materiales que se estén usando en ese momento dentro de la campana. Siguiendo esta regla se tendrá una óptima contención y una reducción en el riesgo de sustancias químicas extrañas involucradas en un fuego o explosión. Ponga cualquier equipo que deba permanecer en la campana en estantes o en una base para que haya un flujo de aire debajo del equipo. f) Reporte rápidamente los desperfectos en el funcionamiento de la campana, y asegúrese de que se corrijan. Ponga el nombre del responsable de la campana en un lugar visible. Limpie las campanas antes de que el personal de mantenimiento trabaje en ellas. • MINIMIZACIÓN DEL CONTACTO CON LA PIEL Deben usarse guantes cuando se manejan sustancias químicas peligrosas, objetos punzo cortantes, materiales muy fríos o muy calientes, sustancias químicas tóxicas o sustancias de toxicidad desconocida. Los siguientes lineamientos se aplican para la selección y uso de guantes de protección: a) Use guantes de un material que se sepa es resistente a la permeación de las sustancias que se usan. El uso de un tipo incorrecto de guantes puede ser más peligroso que no usar guantes, dado que se puede infiltrar la sustancia química en el guante y puede tenerse un contacto prolongado con la mano. b) Revisar los guantes para buscar pequeños hoyos o ranuras antes de usarlos c) Lavar los guantes apropiadamente antes de quitárselos (Nota: algunos guantes son permeables al agua) d) Para prevenir la difusión accidental de sustancias peligrosas, quitarse los guantes antes de manipular objetos como picaportes, teléfonos, plumas, y equipos de cómputo. 7
  • 8.
    e) Cambie losguantes periódicamente, dependiendo de la frecuencia con que se usen y de su permeación y degradación, y del tipo de sustancias manejadas. • ROPA Y TRAJES DE PROTECCION El cabello largo y la ropa suelta o la joyería deben asegurarse cuando se trabaja en el laboratorio. El cabello largo desatado, la ropa suelta o rasgada, y la joyería se pueden mojar en las sustancias químicas o quedar atrapadas en equipo o maquinaria en movimiento. La ropa o el cabello pueden quemarse. No se deben usar sandalias o zapatos descubiertos en un laboratorio donde se usen sustancias químicas peligrosas. Es recomendable usar bata cuando se trabaja con sustancias químicas peligrosas. Esto es importante si la ropa deja la piel expuesta. Se requiere de equipo de protección adicional cuando se trabaja con ciertas sustancias. Dado que muchos productos sintéticos son inflamables y se pueden adherir a la piel, aumenta la severidad de una quemadura. Por lo tanto se prefiere el algodón. • DISPOSICIÓN DE SUSTANCIAS Y RESIDUOS QUÍMICOS PELIGROSOS Los experimentos de laboratorio generan algún residuo, entre los que podemos mencionar materiales de laboratorio desechables, medios de filtración, soluciones acuosas (ácidas o básicas), y residuos químicos peligrosos. El principio que gobierna las prácticas prudentes del manejo de residuos de laboratorio es que: “No se debe comenzar una actividad experimental hasta que se formule un plan para el tratamiento y disposición de residuos peligrosos y no peligrosos” Aplicando esta simple regla nos aseguramos que se tengan los requerimientos para el manejo de residuos en dificultades inesperadas como la formación de un residuo para el cual la institución no está preparada para manejar. Los residuos peligrosos se definen como todos aquellos residuos, en cualquier estado físico, que por sus características corrosivas, reactivas, explosivas, toxicas, inflamables o biológico-infecciosas, representan un peligro para el equilibrio ecológico o los individuos”. Cada tipo de residuo tiene diferentes métodos de tratamiento y disposición adecuados, para escoger entre éstos, se aplican algunos principios generales. a) Los disolventes residuales peligrosos (inflamables y tóxicos) se deben separar en contenedores apropiados en espera de ser transferidos a la unidad de manejo de residuos químicos donde se trataran o dispondrán adecuadamente. b) Los disolventes halogenados y no halogenados se deben separar para su manejo independiente. 8
  • 9.
    c) Los contenedoresde residuos deben etiquetarse claramente y taparse en forma adecuada. d) Las botellas de vidrio son utilizadas para la mayoría de las sustancias químicas pero conllevan el riesgo de romperse, y los cuellos delgados ofrecen problemas para vaciar las botellas. Es preferible el uso de contenedores de seguridad de plástico y obligatorio para líquidos inflamables y corrosivos. 2. RECONOCIMIENTO DE MATERIAL Y EQUIPO DE LABORATORIO Se realizara el reconocimiento y cuidado de los materiales y equipos de laboratorio que usaran en las practicas de bioquímica I, con ayuda de laminas o libros de consulta y las recomendaciones del docente de la asignatura. Material básico de laboratorio V. RESULTADOS 9
  • 10.
    Presente los resultadosen cuadros y/figuras y describa claramente los aspectos mas importantes. En esta sección no debe discutirse ni hacerse ningún comentario, solo se describen los resultados hallados. VI. DISCUSION Analizar los resultados obtenidos comparándolos con los de otros investigadores, destacando los aspectos más sobresalientes que constituyen un nuevo aporte al tema tratado. LA discusión debe tener coherencia lógica y semántica con los resultados. Cada resultado debe ser discutido científicamente utilizando las citas bibliográficas con las normas de estilo recomendadas. VII. CONCLUSIONES Solo indique las conclusiones debidamente sustentadas por los resultados obtenidos. Las conclusiones se redactan en forma de enunciados. VIII. CUESTIONARIO • ¿Cuál es la diferencia entre materiales, instrumentos, reactivos y equipos de laboratorio? • Dibujar y señalar la función de los principales materiales, instrumentos y equipos de laboratorio. • ¿Cuál es la diferencia entre una sustancia ácida, neutra y alcalina? De cinco ejemplos de cada una de ellas. • ¿Que recomendaciones aparte de las señaladas en práctica hay que tomar en cuenta al realizar las prácticas de laboratorio? • Describa a través de un esquema el proceso de pipeteo de un reactivo simple y de un reactivo ácido y que cuidados hay que tomar en cuenta en cada caso • ¿Cómo debe ser la indumentaria del alumno en las prácticas y cual es la función de las mismas? Esquematice. • ¿Cuales son los elementos de limpieza a emplear en el laboratorio? • En caso de haber ingerido un reactivo, salpicado el mismo en los ojos y cuerpo que recomendaciones hay que tomar en cuenta. IX. REFERENCIAS BIBLIOGRAFICAS • Bruice P (2008) Quimica Organica. 5ta edición. Editorial Prentice Hall – Pearson Education. Mexico. 10
  • 11.
    • Carey F(2000) Organic Chemistry. 4ta edición. Editorial McGraw-Hill. USA. • Menger F, Goldsmith D, Mandell L (1976) Quimica organica. 2da edición. Editorial Fondo Educativo Interamericano S.A. PRACTICA Nº 2 BIOQ. I BIOTECNOLOGIA PROPIEDADES DE LOS COMPUESTOS ORGANICOS 11
  • 12.
    I. INTRODUCCION En general,los compuestos orgánicos se distinguen de los compuestos inorgánicos en que tienen puntos de fusión y ebullición más bajos. Por ejemplo, el compuesto iónico cloruro de sodio (NaCl) tiene un punto de fusión de unos 800 ºC, pero el tetracloruro de carbono (CCl 4 ), molécula estrictamente covalente, tiene un punto de fusión de 76,7 ºC. Entre estas temperaturas se puede fijar arbitrariamente una línea de unos 300 ºC para distinguir la mayoría de los compuestos orgánicos covalentes de los iónicos. Gran parte de los compuestos orgánicos tienen un punto de fusión y ebullición por debajo de los 300 ºC, aunque existen excepciones. Por lo general, los compuestos orgánicos se disuelven en disolventes no polares (líquidos sin carga eléctrica localizada) como el octano o el tetracloruro de carbono, o en disolventes de baja polaridad, como los alcoholes, el ácido etanoico (ácido acético) y la propanona (acetona). Los compuestos orgánicos suelen ser insolubles en agua, un disolvente fuertemente polar. Los hidrocarburos tienen densidades relativas bajas, con frecuencia alrededor de 0,8, pero los grupos funcionales pueden aumentar la densidad de los compuestos orgánicos. Solo unos pocos compuestos orgánicos tienen densidades mayores de 1,2 y son generalmente aquellos que contienen varios átomos de halógenos. Los grupos funcionales capaces de formar enlaces de hidrógeno aumentan generalmente la viscosidad (resistencia a fluir). Por ejemplo, las viscosidades del etanol, 1,2-etanodiol (etilenglicol) y 1,2,3-propanotriol (glicerina) aumentan en ese orden. Estos compuestos tienen uno, dos y tres grupos OH respectivamente, que forman enlaces de hidrógeno fuertes. II. OBJETIVOS • Reconocer las principales propiedades físicas de los compuestos orgánicos. • Analizar la propiedad de solubilidad de los compuestos orgánicos. III. EQUIPOS, MATERIALES Y REACTIVOS 1) Proporcionados por el laboratorio • 14 Tubos de ensayo • 02 Gradillas 12
  • 13.
    • Pipetas de5 ml • Pipetas de 2 ml • Agua destilada • Etanol • Alcano (cloroformo) • Aldehído (formaldehído) • Cetona (acetona) 2) Proporcionados por el alumno • 50 ml Gasolina • 50 ml Aceite de carro • Papel toalla 01 rollo por sub grupo IV. PROCEDIMIENTOS Realizar la numeración de los tubos y efectuar las siguientes mezclas de reactivos, según las indicaciones de las tablas. TUBOS (ml) I II III IV V VI VII Agua destilada 5 5 5 5 5 5 5 Etanol 2 --- --- --- --- --- --- Cloroformo --- 2 --- --- --- --- --- Formaldehído --- --- 2 --- --- --- --- Acetona --- --- --- 2 --- --- --- Gasolina --- --- --- --- 2 --- --- Aceite de carro --- --- --- --- --- 2 --- Blanco --- --- --- --- --- --- --- TUBOS (ml) I II III IV V VI VII Etanol 5 5 5 5 5 5 5 Cloroformo --- 2 --- --- --- --- --- Formaldehído --- --- 2 --- --- --- --- Acetona --- --- --- 2 --- --- --- Gasolina --- --- --- --- 2 --- --- Aceite de carro --- --- --- --- --- 2 --- Blanco --- --- --- --- --- --- --- V. RESULTADOS 13
  • 14.
    Presente los resultadosen cuadros y/figuras y describa claramente los aspectos mas importantes. En esta sección no debe discutirse ni hacerse ningún comentario, solo se describen los resultados hallados. VI. DISCUSION Analizar los resultados obtenidos comparándolos con los de otros investigadores, destacando los aspectos mas sobresalientes que constituyen un nuevo aporte al tema tratado. LA discusión debe tener coherencia lógica y semántica con los resultados. Cada resultado debe ser discutido científicamente utilizando las citas bibliográficas con las normas de estilo recomendadas. VII. CONCLUSIONES Solo indique las conclusiones debidamente sustentadas por los resultados obtenidos. Las conclusiones se redactan en forma de enunciados. VIII. CUESTIONARIO • ¿Cuál de los siguientes compuestos formarán puentes de hidrógeno entre sus moléculas? CH3CH2CH2COOH CH3CH2CH2NHCH3 CH3CH2N(CH3)2 CH3CH2OCH2CH2OH CH3CH2CH2CH2Br CH3CH2CH2CH2F • ¿Cuales de los compuestos anteriores forman puentes de hidrógeno con un disolvente como el etanol? • Ordene los siguientes grupos de compuestos por solubilidad decreciente en agua. CH3CH2CH2COOH CH3CH2OCH2CH2CL CH3CH2OCH2CH2OH HOCH2OCH2CH2OH • El Ansaid y el Motrin pertenecen a los medicamentos llamados antiinflamatorios no esteroidales. Ambos son ligeramente solubles en agua, pero uno es algo más soluble que el otro. Cuál de los dos medicamentos tiene la mayor solubilidad en el agua. Ansaid Motrin • ¿Porque los alcoholes de baja masa molecular son más solubles en agua que los de masa molecular más alta? 14
  • 15.
    • Explique porqué: o El 1-hexanol tiene punto de ebullición más elevado que el 3-hexanol o El éter dietílico tiene muy poca solubilidad en agua, pero en esencia es completamente soluble en tetrahidrofurano. • ¿En cuál disolvente tendrá menor solubilidad el ciclohexano? 1-pentanol, éter dietílico, etanol, hexano. IX. REFERENCIAS BIBLIOGRAFICAS • Bruice P (2008) Química Orgánica. 5ta edición. Editorial Prentice Hall – Pearson Education. México. • Carey F (2000) Organic Chemistry. 4ta edición. Editorial McGraw-Hill. USA. • Menger F, Goldsmith D, Mandell L (1976) Quimica organica. 2da edición. Editorial Fondo Educativo Interamericano S.A. PRACTICA Nº 2 BIOQ. I BIOTECNOLOGIA IDENTIFICACION DE GRUPOS FUNCIONALES Y SEPARACION DE COMPUESTOS ORGANICOS POR DESTILACION I. INTRODUCCION El comportamiento químico y físico de una molécula orgánica se debe principalmente a la presencia en su estructura de uno o varios grupos, funciones o familias químicas. Los grupos funcionales son agrupaciones constantes de átomos, en disposición espacial y conectividad, que por tal regularidad confiere propiedades físicas y químicas muy similares a las estructuras que las posee. La mayoría de grupos funcionales se presentan en las moléculas de origen natural. Algunas de estas, por ejemplo los halogenuros de acilo, por su reactividad son poco frecuente en la naturaleza y se utilizan más como intermediarios en síntesis orgánica. Las propiedades físicas y químicas de una molécula sencilla están determinadas por la presencia de algunos de estos agrupamientos, pero en la mayoría de las moléculas más útiles, naturales o sintéticas existen varios de estos agrupamientos. En tal caso las propiedades físicas y químicas de la molécula son el resultado del comportamiento combinado y de la distribución espacial de las funciones químicas presentes en ella. II. OBJETIVOS 15
  • 16.
    Identificar los gruposfuncionales presentes en los compuestos orgánicos III. EQUIPOS, MATERIALES Y REACTIVOS 1) Proporcionados por el laboratorio • 12 Tubos de ensayo • Pipetas serológicas • Solución problema “A” • Solución problema “B” • Solución problema “C” • Solución problema “D” • Solución problema “E” • Solución problema “F” • KMnO4 0.02M • Reactivo de Tollens (Nitrato de plata 5% + Amonio) • Trocitos de sodio metálico • 2,4 dinitrofenilhidrazina (fenilhidrazina o p-nitrofenilhidrazina) • Indicador universal (fenolftaleína + rojo de metilo + azul de bromotimol + amarillo de metilo + azul de timol) o tiras de indicador de pH. 2) Proporcionados por el alumno 50 ml Gasolina IV. PROCEDIMIENTOS A manera de resumen, se muestra un flujo metodológico para la clasificación de una molécula desconocida en un grupo funcional orgánico. 16
  • 17.
    Realizar la numeraciónde los tubos y efectuar las siguientes mezclas de reactivos, según las indicaciones de las tablas. Considerar las interpretaciones de cada caso. CUADRO Nº 1 TUBOS (ml) I II III IV V VI Agua destilada 1 1 1 1 1 1 Sol. problema A 1 --- --- --- --- --- Sol. problema B --- 1 --- --- --- --- Sol. problema C --- --- 1 --- --- --- Sol. problema D --- --- --- 1 --- --- Sol. problema E --- --- --- --- 1 --- Sol. problema F --- --- --- --- --- 1 Indicador universal (gotas) 1 1 1 1 1 1 Observar los resultados. Los tubos que viraron a: amarillo verdoso o amarillo anaranjado; continuar con el cuadro Nº 2 1. Si vira a rojo indica : ácido carboxílico 2. Si vira a azul, azul oscuro ó azul verdoso indica : amina 3. Si vira a amarillo verdoso, amarillo anaranjado indica: alcano, alqueno, alcohol, aldehído, cetona. 17
  • 18.
    CUADRO Nº 2 TUBOSI II III IV V VI Agua destilada Sol. problema A Sol. problema B Sol. problema C Sol. problema D Sol. problema E Sol. problema F KMnO4 (gotas) 3 3 3 3 3 3 Observar los resultados. Armar un nuevo sistema para los tubos que dieron positivo al color café 1. Si forma precipitado color café indica : aldehído o alqueno 2. Si no ocurre cambio (permanece color violeta) indica : alcano, alcohol, o cetona CUADRO Nº 3 TUBOS (gotas) I II III IV V VI En nuevos tubos colocar 5 gotas de las soluciones problemas que dieron positivo al color café. Adicionar el reactivo de Tollens. Agua destilada Sol. problema A Sol. problema B Sol. problema C Sol. problema D Sol. problema E Sol. problema F Reactivo de Tollens (gotas) 2 2 2 2 2 2 Agitar por 2 min. Dejar reposar por 5 min. Observar los resultados. 1. Si forma precipitado (espejo de plata) indica : aldehído 2. Si no ocurre cambio: alqueno 18
  • 19.
    CUADRO Nº 4 TUBOS(gotas) I II III IV V VI Armar un nuevo sistema para los tubos que dieron negativo al color café Agua destilada Sol. problema A Sol. problema B Sol. problema C Sol. problema D Sol. problema E Sol. problema F 2,4Dinitrofenilhidrazina(gotas) 2 2 2 2 2 2 Agitar dejar reposar por 2 min. Observar los resultados. 1. Si forma un color amarillo anaranjado indica : cetona 2. Si no ocurre cambio: alcano o alcohol CUADRO Nº 5 TUBOS (gotas) I II III IV V VI En nuevos tubos colocar 5 gotas de las soluciones problemas que dieron negativo al color amarillo anaranjado. Adicionar sodio metálico Agua destilada Sol. problema A Sol. problema B Sol. problema C Sol. problema D Sol. problema E Sol. problema F Sodio metálico (trocitos) X X X X X X Observar los resultados. 1. Si forma un burbujeo indica : alcohol 2. Si no ocurre burbujeo: alcano V. RESULTADOS Presente los resultados en cuadros y/figuras y describa claramente los aspectos mas importantes. En esta sección no debe discutirse ni hacerse ningún comentario, solo se describen los resultados hallados. 19
  • 20.
    VI. DISCUSION Analizar losresultados obtenidos comparándolos con los de otros investigadores, destacando los aspectos más sobresalientes que constituyen un nuevo aporte al tema tratado. La discusión debe tener coherencia lógica y semántica con los resultados. Cada resultado debe ser discutido científicamente utilizando las citas bibliográficas con las normas de estilo recomendadas. VII. CONCLUSIONES Solo indique las conclusiones debidamente sustentadas por los resultados obtenidos. Las conclusiones se redactan en forma de enunciados. VIII. CUESTIONARIO • ¿Cuál de los siguientes compuestos formarán puentes de hidrógeno entre sus moléculas? • ¿Cuales de los compuestos anteriores forman puentes de hidrógeno con un disolvente como el etanol? • Ordene los siguientes grupos de compuestos por solubilidad decreciente en agua. • El Ansaid y el Motrin pertenecen a los medicamentos llamados antiinflamatorios no esteroidales. Ambos son ligeramente solubles en agua, pero uno es algo más soluble que el otro. Cuál de los dos medicamentos tiene la mayor solubilidad en el agua. • ¿Porque los alcoholes de baja masa molecular son más solubles en agua que los de masa molecular más alta? IX. REFERENCIAS BIBLIOGRAFICAS • Bruice P (2008) Química Orgánica. 5ta edición. Editorial Prentice Hall – Pearson Education. México. • Carey F (2000) Organic Chemistry. 4ta edición. Editorial McGraw-Hill. USA. • Menger F, Goldsmith D, Mandell L (1976) Quimica organica. 2da edición. Editorial Fondo Educativo Interamericano S.A. LEYENDA DE LA PRÁCTICA COLOR DEL INDICADOR UNIVERSAL FRENTE AL pH DE LA SOLUCIÓN A EVALUAR pH COLOR 2 ROJO 4 ANARANJADO 20
  • 21.
    6 AMARILLO 8 VERDE 10AZUL 12 VIOLETA • Solución problema “A”.- Acido acético • Solución problema “B”.- Dietilamina • Solución problema “C”.- Formaldehído • Solución problema “D”.- Acetona • Solución problema “E”.- Etanol • Solución problema “F”.- Gasolina Practica N 0 2 SOLUCION G: • Acetona 20 ml • Etanol 20 ml • Agua destilada 60 ml Calentar a las temperaturas indicadas: Recolectar en diferentes matraces. 21 56 - 65 ºC 78 – 85 ºC 95 ºC
  • 22.
    PRACTICA Nº 3BIOQ. I BIOTECNOLOGIA VISUALIZACION DE ISOMEROS EN 3D. PROBLEMAS DE ESTEREOQUIMICA PRACTICA Nº 4 BIOQ. I BIOTECNOLOGIA SEPARACION DE COMPUESTOS ORGANICOS POR METODOS QUIMICOS. EJERCICIOS DE APLICACION I. INTRODUCCION En un laboratorio de química se nos plantea muy frecuentemente la necesidad de separar, aislar, purificar e identificar los componentes de una mezcla. Por ejemplo, cuando estamos intentando hacer la síntesis de un compuesto C es frecuente que se forme, en el mismo proceso otro compuesto D. A + B C + D Por lo que una vez finalizado el proceso sintético se tendrá que separar C y D y los restos de reactivos que hayan quedado sin reaccionar. En actualidad, existen diversos procedimientos que nos pueden permitir separar y aislar los componentes de una mezcla de compuestos orgánicos. Uno de ellos se conoce tradicionalmente como el método del ETER, el cual se basa en: • La solubilidad diferencial en éter y medios acuosos. • Las diferentes propiedades ácidos-bases que presentan los compuestos orgánicos derivados de su estructura. II. OBJETIVOS Separar los componentes de una mezcla de compuestos orgánicos por medios químicos, usando el método del éter. III. EQUIPOS, MATERIALES Y REACTIVOS 22
  • 23.
    Proporcionados por ellaboratorio • Pera de decantación de 500 ml • Soporte universal • Probetas de 50 ml • Vasos de precipitación de 50 ml • Matraces Erlenmeyer de 250 ml • Dietilamina • Acido acético • Fenol • Acetona • Etanol • Éter di etílico • HCl 20% • NaOH 20% • NaHCO3 15% • MgSO4 IV. PROCEDIMIENTOS SOLUCION • Dietilamina 10 ml • Acido Acético 10 ml • Fenol 10 ml • Acetona 10 ml • Etanol 10 ml • Éter 15 ml 23
  • 24.
    24 15 ml deHCl 20% (Paso N0 4) FASE ACUOSA II comp. org. básicos 15 ml de HCl 20% (Paso N0 6) purificación Parte insoluble Parte soluble FASE ETEREA I Parte soluble FASE ETEREA II 15 ml de NaOH 20% (Paso N0 12) Continua en la siguiente pagina
  • 25.
    25 15 ml deNaHCO3 15% (Paso N0 7) FASE ACUOSA III sustancias ácidas 15 ml de NaHCO3 15% (Paso N0 9) FASE ACUOSA II comp. org. básicos FASE ETERA II PURA Parte soluble FASE ETEREA III 15 ml de HCl 20% (Paso N0 13) FASE ETERA III PURA
  • 26.
    26 15 ml deNaOH 20% (Paso N0 10) Continua en la siguiente pagina 15 ml de NaOH 20% (Paso N0 11) FASE ACUOSA IV FASE ETEREA IV PURA 15 ml de HCl 20% (Paso N0 14)
  • 27.
    V. RESULTADOS Presente losresultados en cuadros y/figuras y describa claramente los aspectos mas importantes. En esta sección no debe discutirse ni hacerse ningún comentario, solo se describen los resultados hallados. VI. DISCUSION Analizar los resultados obtenidos comparándolos con los de otros investigadores, destacando los aspectos más sobresalientes que constituyen un nuevo aporte al tema tratado. LA discusión debe tener coherencia lógica y semántica con los resultados. Cada resultado debe ser discutido científicamente utilizando las citas bibliográficas con las normas de estilo recomendadas. VII. CONCLUSIONES Solo indique las conclusiones debidamente sustentadas por los resultados obtenidos. Las conclusiones se redactan en forma de enunciados. VIII. CUESTIONARIO • ¿Cuál de los siguientes compuestos formarán puentes de hidrógeno entre sus moléculas? 27 Desecar por 30 min con MgSO4 Destilar a 35 0 C
  • 28.
    ¿Cuales de loscompuestos anteriores forman puentes de hidrógeno con un disolvente como el etanol? • Ordene los siguientes grupos de compuestos por solubilidad decreciente en agua. CH3CH2CH2COOH CH3CH2OCH2CH2CL CH3CH2OCH2CH2OH HOCH2OCH2CH2OH IX. REFERENCIAS BIBLIOGRAFICAS • Bruice P (2008) Química Orgánica. 5ta edición. Editorial Prentice Hall – Pearson Education. México. • Carey F (2000) Organic Chemistry. 4ta edición. Editorial McGraw-Hill. USA. Menger F, Goldsmith D, Mandell L (1976) Química orgánica. 2da edición. Editorial PRACTICA Nº 5 BIOQ. I BIOTECNOLOGIA REACCION DE LOS ALCOHOLES I. INTRODUCCION Los alcoholes son derivados de los hidrocarburos saturados o insaturados a los que se les ha reemplazado un átomo de hidrógeno por un grupo hidroxilo (-OH). Si el grupo –OH esta unido a un anillo aromático se denominan fenoles. El efecto que el grupo hidroxilo ejerce sobre la molécula es el de proporcionar una polaridad considerable, les permite asociarse por medio de enlaces por puente de hidrogeno, presentan además características hidrofílicas (afinidad por el agua) y les confiere propiedades ácidas. (ej. Fenoles). Sus puntos de ebullición y de fusión son más altos que los de los alcanos y alquenos correspondientes, debido a las fuerzas de atracción que se presentan entre los hidroxilos. La química de los alcoholes también dependen del tipo de grupo R al que esté unido el OH, con base en esto se les puede clasificar en las siguientes especies químicas: alquílicas, arílicas, vinílicas y bencílicas. Los alcoholes alquílicos pueden ser: primarios (RCH2OH), secundarios (R2-CH-OH), terciarios (R3C-OH) y alílicos (CH2=CH2-CH2-OH). Si el OH esta unido directamente a un doble enlace se denomina vinílico. 28
  • 29.
    Las principales reaccionesquímicas de los alcoholes involucran la ruptura heterolítica de la unión C-OH por lo que pueden sufrir reacciones de sustitución o eliminación de manera análoga a los halogenuros de alquilo. Algunas de las reacciones características de los alcoholes permiten distinguir alcoholes primarios y secundarios de los alcoholes terciarios. La prueba de Lucas proporciona cierta información de la estructura del alcohol, puesto que se basa en la conversión del alcohol al cloruro de alquilo correspondiente (insoluble en agua). La facilidad de dicha reacción depende de la estabilidad del carbocatión que se forma y permite diferenciar los alcoholes primarios, secundarios y terciarios. Por otro lado, los fenoles poseen dos grupos funcionales importantes: el anillo bencénico y el grupo hidroxilo, por lo que las propiedades químicas de estos compuestos incluyen las características de ambos. El protón del grupo hidroxilo aromático es mas ácido que el protón de los alcoholes alifáticos, así mismo el anillo bencénico es más susceptible al ataque por reactivos electrofílicos. Dos de las reacciones químicas que permiten identificar en forma rápida un fenol es su reacción con álcalis y su reacción con cloruro ferrico. Muchos fenoles y algunos compuestos relacionados (enoles) forman complejos de coordinación con el ion ferrico de colores rojos, azules, púrpuras o verdes. II. OBJETIVOS • Comprobar algunas propiedades de los alcoholes • Analizar la oxidación de los alcoholes y los productos obtenidos III. EQUIPOS, MATERIALES Y REACTIVOS Proporcionados por el laboratorio • tubos de ensayo • pipetas de 5 ml • gradillas • tapones de corcho • Etanol • 1- butanol • Alcohol • Isobutílico • 2 – butanol • 1- pentanol • Glicerol • Alcohol isoamílico • Eter dietílico • H2O destilada • Cloruro de zinc • Dicromato de sodio 5% • H2SO4 concentrado • HCl concentrado • I. PROCEDIMIENTOS 29
  • 30.
    1. Solubilidad • Agregaren tubos de ensayo 1 ml de solvente H2O y en otros tubos éter. • Colocar 10 gotas de muestras de alcohol en cada tubo • Agitar y observar • 2. Prueba de Lucas • Coloque 2.5 ml del reactivo de lucas (1,6 g de ZnCl2 + 10 ml de HCl cc) en cada tubo de ensayo. • Agregue 0.5 ml de cada alcohol en cada tubo con el reactivo de Lucas, y tapar con tapón de corcho. • Agitar por 5min • Dejar reposar hasta que aparezca la turbidez 3. Oxidación de alcoholes • Colocar 3 mL de dicromato de sodio 5% en tubos de ensayo. • Agregar 1 mL de ácido sulfúrico concentrado a cada tubo, con cuidado. Si aparee un precipitado, agitar hasta que desaparezca. • Agregar 2 mL de cada muestra de alcohol, a cada tubo respectivamente. • Si las mezclas cambian de color verde, identifique su olor y compárelo con el alcohol del cual proviene. • Solubilidad TUBOS (ml) I II III IV V VI VII Agua destilada 1 1 1 1 1 1 1 Etanol 1 --- --- --- --- --- --- 1 butanol --- 1 --- --- --- --- --- Alcohol isobutilico --- --- 1 --- --- --- --- 2 butanol --- --- --- 1 --- --- --- 1 pentanol --- --- --- --- 1 --- --- Glicerol --- --- --- --- --- 1 --- Alcohol isoamilico --- --- --- --- --- --- 1 30
  • 31.
    TUBOS (ml) III III IV V VI VII Eter 1 1 1 1 1 1 1 Etanol 1 --- --- --- --- --- --- 1 butanol --- 1 --- --- --- --- --- Alcohol isobutilico --- --- 1 --- --- --- --- 2 butanol --- --- --- 1 --- --- --- 1 pentanol --- --- --- --- 1 --- --- Glicerol --- --- --- --- --- 1 --- Alcohol isoamilico --- --- --- --- --- --- 1 • Lucas TUBOS (ml) I II III IV V VI VII Reactivo de LUCAS 2.5 2.5 2.5 2.5 2.5 2.5 2.5 Etanol 0.5 --- --- --- --- --- --- 1 butanol --- 0.5 --- --- --- --- --- Alcohol isobutilico --- --- 0.5 --- --- --- --- 2 butanol --- --- --- 0.5 --- --- --- 1 pentanol --- --- --- --- 0.5 --- --- glicerol --- --- --- --- --- 0.5 --- Alcohol isoamilico --- --- --- --- --- --- 0.5 Tapar los tubos con tapón de corcho. Agitar por 5 min. Dejar reposar por 10 min. • Oxidación de alcoholes TUBOS (ml) I II III IV V VI VII Dicromato de sodio 5% 3 3 3 3 3 3 3 Acido sulfúrico concentrado 1 1 1 1 1 1 1 Etanol 2 --- --- --- --- --- --- 1 butanol --- 2 --- --- --- --- --- Alcohol isobutilico --- --- 2 --- --- --- --- 2 butanol --- --- --- 2 --- --- --- 1 pentanol --- --- --- --- 2 --- --- glicerol --- --- --- --- --- 2 --- Alcohol isoamilico --- --- --- --- --- --- 2 Observe los resultados 31
  • 32.
    IV. RESULTADOS Presente losresultados en cuadros y/figuras y describa claramente los aspectos mas importantes. En esta sección no debe discutirse ni hacerse ningún comentario, solo se describen los resultados hallados. V. DISCUSION Analizar los resultados obtenidos comparándolos con los de otros investigadores, destacando los aspectos mas sobresalientes que constituyen un nuevo aporte al tema tratado. La discusión debe tener coherencia lógica y semántica con los resultados. Cada resultado debe ser discutido científicamente utilizando las citas bibliográficas con las normas de estilo recomendadas. VI. CONCLUSIONES Solo indique las conclusiones debidamente sustentadas por los resultados obtenidos. Las conclusiones se redactan en forma de enunciados. VII. CUESTIONARIO Desarrolle los ejercicios que están en las páginas siguientes VIII. REFERENCIAS BIBLIOGRAFICAS • Bruice P (2008) Química Orgánica. 5ta edición. Editorial Prentice Hall – Pearson Education. México. • Carey F (2000) Organic Chemistry. 4ta edición. Editorial Mc Graw-Hill. USA. • Menger F, Goldsmith D, Mandell L (1976) Quimica organica. 2da edición. Editorial Fondo Educativo Interamericano S.A. 32
  • 33.
  • 34.
  • 35.
  • 36.
    PRACTICA Nº 6BIOQ. I BIOTECNOLOGIA OBTENCION DE UN ESTER I. INTRODUCCION Un éster es un compuesto formado junto con agua por la reacción de un ácido y un alcohol. Puesto que este proceso es análogo a la neutralización de un ácido por una base en la formación de un sal, antiguamente lo esteres eran denominados sales etéreas. Este termino es incorrecto por los esteres, a diferencia de las sales, no se ionizan en disolución. En química los esteres son compuestos orgánicos en los cuales un grupo orgánico reemplaza a un átomo de hidrogeno o mas de uno, en un ácido oxigenado. Un ácido oxigenado es un ácido cuyas moléculas poseen un grupo OH - desde e cual el hidrogeno (H) puede disociarse como un ion protón (H + ). Los esteres mas comunes son los esteres carboxilados, donde el acido en cuestión es un acido carboxílico. Por ejemplo, si el ácido es el acido acético, el éster es denominado como acetato. Los esteres pueden también ser formados por ácidos inorgánicos; por ejemplo el dimetil sulfato, es un éster, a veces también llamado “acido sulfúrico, dimetil éster”. En bioquímica son el producto de la reacción entre los ácidos grasos y alcoholes. En la formación de esteres, cada radical OH (grupo de hidróxido) del radical del alcohol se sustituye por la cadena –COO del ácido graso. El H sobrante del grupo carboxilo, se combina con el OH sustituido formando agua. En química orgánica y bioquímica los esteres son un grupo funcional compuesto de un radical orgánico unido al residuo de cualquier ácido oxigenado, orgánico o inorgánico. Todos las grasas y aceites naturales, exceptuando obviamente los aceites minerales, y la mayoría de las ceras son mezclas de esteres. Por ejemplo, los esteres son los componentes principales del cebo de la grasa del cerdo o manteca, de los aceites de pescado incluyendo el aceite de hígado de bacalao y del aceite de linaza. Los esteres de alcohol cetilico se encuentran en el espermaceti, una cera que se obtiene del esperma de ballena y los esteres de alcohol miricilico en la cera de abeja. La nitroglicerina, un explosivo importante es el éster del acido nítrico y la glicerina. II. OBJETIVOS 36
  • 37.
    • Preparar unéster a partir de un alcohol y un ácido carboxílico. • Aplicar algunas técnicas de laboratorio ya conocidas como son calentamiento a reflujo y extracción. III. EQUIPOS, MATERIALES Y REACTIVOS Proporcionados por el laboratorio • Tubo refrigerante con mangueras. • Estufa. • Soporte universal • Pinzas • Balón • Fragmentos de porcelana • Agitador magnético • Pera de decantación • Acido acético glacial • Alcohol isoamílico • Bicarbonato de sodio al 5% • Cloruro de sodio • Sulfato de sodio anhidro • H2O destilada • H2SO4 concentrado • Hielo con agua I.- PROCEDIMIENTOS • En un balón de 50 mL y de una boca coloque 4.0 mL de alcohol isoamilico, 6 mL de acido acético glacial y añada, agitando cuidadosamente 1mL de acido sulfúrico concentrado. • Agregue núcleos porosos para regular la ebullición y conecte el condensador en posición de reflujo. Caliente la mezcla de reacción en baño de aire manteniendo el reflujo durante 15 min. Pasado este tiempo suspenda el calentamiento, retire el baño de aire y retire la mezcla a temperatura ambiente. • Pase la mezcla de reacción a un embudo de separación. Lave el matraz de reacción con 14 ml. De agua fría y pase el agua al embudo de separación. Agite varias veces, separe la fase acuosa y deséchela. • La base orgánica contiene el éster y un poco de ácido acético, el cual puede ser removido por dos lavados sucesivos de 7.5 de una disolución de bicarbonato de sodio al 5%. • Lave la capa orgánica con 6 ml de agua mezclado con 1.5 ml de una disolución saturada de cloruro de sodio. Deseche la capa acuosa, vierta la fase orgánica en un vaso de precipitados y seque con sulfato de sodio anhidro SOLUCION 37
  • 38.
    • Alcohol isoamilico4 ml • Acido Acético 6 ml • Acido sulfúrico cc 1 ml 38 Condensador de reflujo por 45 min Fase orgánicaFase acuosa 7.5 ml de NaHCO3 5% Fase acuosa Capa orgánica 6 ml de agua + 1.5 ml de sol. saturada de NaCl
  • 39.
    IV. RESULTADOS Presente losresultados en cuadros y/figuras y describa claramente los aspectos mas importantes. En esta sección no debe discutirse ni hacerse ningún comentario, solo se describen los resultados hallados. V. DISCUSION Analizar los resultados obtenidos comparándolos con los de otros investigadores, destacando los aspectos más sobresalientes que constituyen un nuevo aporte al tema tratado. La discusión debe tener coherencia lógica y semántica con los resultados. Cada resultado debe ser discutido científicamente utilizando las citas bibliográficas con las normas de estilo recomendadas. VI. CONCLUSIONES Solo indique las conclusiones debidamente sustentadas por los resultados obtenidos. Las conclusiones se redactan en forma de enunciados. VII. CUESTIONARIO Desarrolle los ejercicios que están en las páginas siguientes 39 Fase acuosa Capa orgánica Secar con sulfato de sodio anhidro
  • 40.
    VIII. REFERENCIAS BIBLIOGRAFICAS •Bruice P (2008) Quimica Organica. 5ta edición. Editorial Prentice Hall – Pearson Education. Mexico. • Carey F (2000) Organic Chemistry. 4ta edición. Editorial McGraw-Hill. USA. • Menger F, Goldsmith D, Mandell L (1976) Quimica organica. 2da edición. Editorial Fondo Educativo Interamericano S.A. PRACTICA Nº 7 BIOQ. I BIOTECNOLOGIA RECONOCIMIENTO DE CARBOHIDRATOS. I.- INTRODUCCION Los carbohidratos desempeñan en los organismos vivos diversas funciones. Los animales los emplean de preferencia como combustible para producir energía, cuando los reciben en exceso los almacenan en forma de polisacaridos (glucógeno) o los convierten en grasa para ser utilizadas en el momento oportuno. Las plantas pueden sintetizar o almacenar grandes cantidades de carbohidratos, especialmente mientras ocurre la fotosíntesis, los que servirán como fuente energética para ellos mismos o para los animales. Por otro lado, diversos glúcidos o derivados de ellos contribuyen a la formación a la formación de estructuras de sostén, pues son constituyentes de sustancias como la celulosa en los vegetales, los mucopolisacáridos en los animales y diversos glúcidos complejos en la pared bacteriana. Además, numerosas moléculas esenciales para cualquier célula, como los ácidos nucleicos y numerosas coenzimas poseen residuos hidrocarbonados. Químicamente, los carbohidratos son derivados aldehídicos o cetónicos de alcoholes superiores polivalentes o compuestos que por hidrólisis dan estos derivados. Se clasifican en cuatro gran des grupos: Monosacáridos, disacáridos, oligosacáridos y polisacáridos. Tiene diferentes propiedades físicas y químicas, y en base a ellas existen métodos que nos permiten diferenciarlos, lo que constituye el objetivo de esta práctica. 40
  • 41.
    II.- OBJETIVOS 2.1. Reconocerlos diferentes tipos de carbohidratos 2.2. Identificar la presencia de azúcares reductores provenientes de la hidrólisis ácida de muestras de carbohidratos. III. EQUIPOS MATERIALES Y REACTIVOS 3.1 EQUIPOS 3.1.1 Balanza 3.1.2 Baño maría 3.2 MATERIALES Y REACTIVO PROPORCIONADO POR EL ALUMNO 3.2.1 Una papa 3.2.2 5 gr de almidón por grupo de trabajo PROPORCIONADO POR EL LABORATORIO 3.2.3 Solución de glucosa 1 % 3.2.4 Solución de sacarosa 1 % 3.2.5 Solución de maltosa 1 % 3.2.6 Solución de almidón 1 % 3.2.7 Solución de fructosa % 3.2.8 Solución alcohólica de Alfa naftol 5 % 3.2.9 Acido sulfúrico Q.P. 3.2.10 Reactivo de Selivanoff 3.2.11 Reactivo de Bradford 3.2.12 Acido clorhídrico 1,5 % 3.2.13 Solución de Hidróxido de potasio 1 % 3.2.14 Solución de Fehling “A” 3.2.15 Solución de Fehling “B” 3.2.16 Tubos de ensayo 41
  • 42.
    3.2.17 Pipetas de1, 5 y 10 ml IV.- PROCEDIMIENTO EXPERIMENTAL 4.1 ACCION DE LOS ACIDOS OXIDANTES 1.1. REACCIÓN DE MOLISH.- Es una reacción general de los carbohidratos que sirve para detectar su presencia en una sustancia problema. Una reacción negativa es una buena evidencia de la ausencia de azúcares, mientras que una prueba positiva es simplemente indicadora de la posibilidad de su existencia y requiere una mayor investigación. Observar en la interfase la aparición de un anillo rojo violeta oscuro, lo cual indica una reacción positiva. Esta reacción es debida a la condensación de los furfurales formados por la acción del ácido con el alfanaftol. 1.2. REACCION DE SELIVANOFF.- Esta es una reacción específica para azúcares con grupo funcional cetónico. 42 TUBOS (ml) I II III IV Sol. Glucosa 1% 2.0 --- --- --- Sol. Sacarosa 1% --- 2.0 --- --- Sol. Maltosa 1% --- --- 2.0 --- Sol. Almidón 1% --- --- --- 2.0 Sol. Alfa naftol 5% (gotas) 02 02 02 02 Mezclar bien agitando el tubo, agregar lentamente por las paredes Acido sulfúrico 2.0 2.0 2.0 2.0
  • 43.
    Mezclar bien ysometer a baño maría hirviente. Observar lo que sucede en los tubos, a intervalos de 3 minutos, durante 15 minutos. La reacción es positiva cuando se observa una coloración rojo – cereza. 1.3. REACCION DE BARFOED.- Esta prueba se utilizar para diferenciar monosacáridos de disacáridos Mezclar bien y someter a baño maría hirviente por espacio de 5 minutos, controlar el tiempo en que aparecen las reacciones positivas (precipitado rojo naranja) en los diferentes tubos. Interpretar los resultados. 43 TUBOS (ml) I II III Sol. Fructosa 1% 1.0 --- --- Sol. Glucosa 1% --- 1.0 --- Sol. Sacarosa 1% --- --- 1.0 Rx. Selivanoff 5.0 5.0 5.0 TUBOS (ml) I II III IV Sol. Glucosa 1% 1.0 --- --- --- Sol. Fructosa 1% --- 1.0 --- --- Sol. Sacarosa 1% --- --- 1.0 --- Sol. Maltosa 1% --- --- --- 1.0 Rx Barfoed 5.0 5.0 5.0 5.0
  • 44.
    1.4. ACCION DELOS ALCALIS SOBRE LOS CARBOHIDRATOS Las aldosas y cetosas, como los carbohidratos compuestos que contienen un grupo azúcar libre, presentan el fenómeno de la tautomerización cuando son sometidos a la acción de los álcalis dando origen a las formas enólicas que se comportan como ácidos débiles y tiene la capacidad de unirse al álcali dando lugar a sales enólicas que tienen propiedades reductoras. De estas propiedades se valen los métodos para la identificación y cuantificación de muchos azúcares (Reacción de Benedict, Fehling, etc.). En la práctica se hará una hidrólisis ácida de un polisacárido y luego se procederá a identificar el azúcar reductor correspondiente. PROCEDIMIENTO: • Triturar en un mortero una papa sin cáscara • Agregar 5 – 10 ml de agua destilada, mezclar y decantar el sobrenadante en un vaso de precipitación. • En un tubo de ensayo medir 2 ml del sobrenadante anterior, y en otro tubo de ensayo medir 2 ml de solución de almidón previamente preparado • Añadir 2 ml de HCl 1,5 % a cada uno de los tubos • Calentar los tubos de ensayo en baño maría hasta que hierva durante 15 minutos; enfriar, adicionar 5 gotas de KOH 1% • Añadir a los tubos anteriores 1 ml de las soluciones de Fehling “A” y “B”, luego someterlos a ebullición entre 3 y 5 minutos. Observar los que sucede V.- RESULTADOS Y DISCUSION 5.1. Los resultados de cada prueba indicarlos en un cuadro como el que sigue: 44 REACCIÓN I II III IV
  • 45.
    VI. CONCLUSIONES 6.1. Indicarlas conclusiones de la práctica. VII. CUESTIONARIO 7.1 ¿Cuál de las pruebas permite diferenciar aldosas de cetosas? Fundamente su respuesta. 7.2 ¿El almidón ingerido por el ser humano sufre el mismo tipo de hidrólisis ácida realizada en la práctica? ¿Cómo se hidroliza? 7.3 Cuales son las unidades monoméricas de: - Lactosa - Sacarosa - Maltosa - Celulosa 7.4 Representa la unión de moléculas en la formación del almidón, glucógeno, y celulosa 7.5 De los siguientes azúcares, ¿Cuál no es reductor? ¿por qué? - Glucosa - Sacarosa - Lactosa - Fructosa VIII.- REFERENCIAS BIBLIOGRAFICAS 8.1. Bohinski, R. 1978. Bioquímica 2da edición. Fondo Educativo Latinoamericano S.A. 8.2. Morrison, R. y Boyd. 1985. Química orgánica. 2da edición. Fondo Educativo Latinoamericano S.A. México. 8.3. Villavicencio, M. 1993. Bioquímica. A&B S.A. Editores, Lima – Perú. 45
  • 46.
    PRACTICA Nº 8BIOQ. I BIOTECNOLOGIA SAPONIFICACION DE LAS GRASAS I. INTRODUCCION Químicamente, el jabón es una mezcla de sales de sodio o de potasio de ácidos grasos de cadena larga, producidas por la hidrólisis (saponificación) de una grasa animal o vegetal con un álcali. La palabra saponificación significa hacer jabón. Las grasas y aceites son esteres mixtos naturales de ácidos grasos (de peso molecular elevado) y de la glicerina; triglicéridos, es decir triesteres de glicerol con tres ácidos carboxílico de cadena larga, no ramificada. La diferencia entre las grasas y los aceites es que estos últimos presentan ácidos carboxílicos insaturados. El índice de saponificación se define como la cantidad de álcali necesario para la saponificación un gramo de grasa o aceite. Los jabones ejercen su acción limpiadora debido a que los dos extremos de sus moléculas son muy diferentes. Uno de los extremos de la molécula es ionico, por tanto hidrofilo y tiende a disolverse en el agua. La otra parte es la cadena de hidrocarburo no polar, por tanto lipofila o afin a la grasa y tiende a disolverse en ella. Una vez solubilizadas en agua, la grasa y la mugre pueden eliminarse. 46
  • 47.
    II. OBJETIVOS • Obtenerel índice se saponificación del aceite de cocina. • Obtener jabón a partir de la saponificación del aceite de cocina. III. EQUIPOS, MATERIALES Y REACTIVOS Proporcionados por el laboratorio • Tubo refrigerante como manguera • Estufa • Soporte universal • Pinzas • matraz erlenmeyer 250 ml. • Balón • Fragmentos de porcelana • Agitador magnético • Termómetro • Vaso de precipitación de 250 y 500 ml • Etanol • NaOH 0.5N (solución etanólica: 5 agua: 20 etanol) • HCl 0.5N • Aceite de cocina • Fenolftaleína 1% (solución alcohólica) IV. PROCEDIMIENTOS Determinación de índice de saponificación • En un matraz pese a 2 g de la muestra de aceite y agregue 25mL (pipeta volumétrica) de la solución etanólica. Coloque un refrigente, adicione perlas de ebullición y hierva a reflujo la solución durante 60 min. Después de esto la solución se enfría y el tubo del condensador se enjuaga con 5 o 10 ml de agua (colecte esta directamente en el matraz). • Agregue 4 a 5 gotas de fenolftaleína y agite fuertemente. Titule el álcali remanente en la muestra con solución estandarizada de HCl 0.5N, manteniendo la agitación. • Coloque otra alícuota de 25mL de solución etanólica en un matraz Erlenmeyer de 250 mL, agregue una gota de fenolftaleína y titule utilizando una solución estandarizada de HCl 0.5N. la diferencia entre los volúmenes requeridos de ácidos representa la 47
  • 48.
    cantidad de álcaliconsumido en la saponificación. (hacer a lo menos 4 titulaciones en cada caso y desechar el valor de la 1era). Saponificación de una grasa • En un vaso de precipitados de 250 ml coloque 30g de grasa o aceite y caliente suavemente sin sobrepasar los 45 ºC. • En otro vaso de 400 ml, coloque 5 g de NaOH y 45 ml de etanol necesario para realizar la saponificación. • Caliente entre 60 y 70 ºC agregue pequeñas porciones de la grasa a la lejía con agitación vigorosa. Una vez agregada toda la grasa, continúe calentando (cuidando que no pase de 75 ºC) hasta que al mezclar en un vidrio de reloj una pequeña muestra y unas gotas de agua, ya no se observe ningún sobrenadante aceitoso. • Comparar la cantidad de calculada por el índice de saponificación del álcali con la usada en esta experiencia. V. RESULTADOS Presente los resultados en cuadros y/figuras y describa claramente los aspectos mas importantes. En esta sección no debe discutirse ni hacerse ningun comentario, solo se describen los resultados hallados. VI. DISCUSION Analizar los resultados obtenidos comparándolos con los de otros investigadores, destacando los aspectos más sobresalientes que constituyen un nuevo aporte al tema tratado. La discusión debe tener coherencia lógica y semántica con los resultados. Cada resultado debe ser discutido científicamente utilizando las citas bibliográficas con las normas de estilo recomendadas. VII. CONCLUSIONES Solo indique las conclusiones debidamente sustentadas por los resultados obtenidos. Las conclusiones se redactan en forma de enunciados. VIII. CUESTIONARIO Desarrolle los ejercicios que están en las páginas siguientes 48
  • 49.
    IX. REFERENCIAS BIBLIOGRAFICAS •Bruice P (2008) Quimica Organica. 5ta edición. Editorial Prentice Hall – Pearson Education. Mexico. • Carey F (2000) Organic Chemistry. 4ta edición. Editorial McGraw-Hill. USA. • Menger F, Goldsmith D, Mandell L (1976) Quimica organica. 2da edición. Editorial Fondo Educativo Interamericano S.A. Formula para calcular el Indice de Saponificación. Índice de saponificación = VB – VM * N * 56,1 Peso de la muestra VB = Volumen de HCi usado en el blanco VM = Volumen de HCl usado en la titulación N = Normalidad del HCl ¿Qué es el índice de saponificación? Tabla de saponificación de las grasas para fabricar jabones La saponificación es el proceso por el cual, un aceite o una grasa se transforma en jabón, a partir de una reacción química con una solución alcalina, habitualmente, de hidróxido de sodio. Pero ¿Qué es el índice de saponificación? ¿Cuál es el índice de saponificación de cada grasa o aceite en particular? Encuentra la repuesta a estos interrogantes en la tabla de saponificación de los aceites y grasas para fabricar jabones. El índice se saponificación es la cantidad en miligramos de un álcali, específicamente de hidróxido de potasio, que se necesita para saponificar un gramo de determinado aceite o grasa. Sin embargo, habitualmente en la fabricación de jabones, el álcali que se utiliza es el hidróxido de sodio. Por otra parte, este índice de saponificación varía para cada grasa o aceite en particular. Para conocer estas cantidades habría que realizar complejos cálculos, que se simplifican con las tablas de saponificación existentes. 49
  • 50.
    Estas tablas desaponificación, registran cual es el índice de saponificación adecuado, es decir la cantidad en miligramos de hidróxido de sodio, que necesitas para saponificar cada grasa o aceite, con la que vayas a fabricar jabones. La tabla que veras a continuación te muestra los índices de saponificación de algunos de los aceites y grasas, empleados más frecuentemente, en la fabricación de jabones: Tabla de índice de saponificación: mg. de hidróxido de sodio por gr. de grasa. 1. 0,134 Aceite de oliva 2. 0,190 Aceite de coco 3. 0,141 Aceite de palma 4. 0,134 Aceite de girasol 5. 0,128 Aceite de ricino 6. 0,136 Aceite de almendras 7. 0,133 Aceite de aguacate 8. 0,135 Aceite de soja 9. 0,136 Aceite de maíz 10. 0,133 Aceite de sésamo 11. 0,069 Aceite de joroba 12. 0,156 Aceite de palmaste 13. 0,132 Aceite de germen de trigo 14. 0,069 Cera de abeja 15. 0,137 Manteca de cacao 16. 0,128 Manteca de karité http://www.innatia.com/s/c-quimica-jabon/a-indice-de-saponificacion.html • ÍNDICE DE SAPONIFICACIÓN Solución “A” Aceite 2 ml NaOH 0.5 N En solución etanolica 25 ml 50 Condensador de reflujo por 60 min
  • 51.
    Solución “B” NaOH 0.5N En solución etanolica 25 ml • SAPONIFICACIÓN DE UNA GRASA 51 Titular con HCl 0.5 N Fenolftaleína 4 -5 gotas Fenolftaleína 4 -5 gotas Titular con HCl 0.5 N Calentar a 45 0 C 30 ml de aceite Disolver 5 gr de NaOH en 45 ml de etanol Calentar entre 60 - 70 0 C Adicionar pequeñas porciones de aceite Agitando vigorosamente
  • 52.
    PRACTICA Nº 9BIOQ. I BIOTECNOLOGIA RECONOCIMIENTO DE PROTEINAS Y SEPARACION DE AMINOACIDOS POR CROMATOGRAFIA I. INTRODUCCION La cromatografía engloba a un conjunto de técnicas de análisis basadas en la separación de los componentes de una mezcla y su posterior detección. Las técnicas cromatográficas son muy variadas, pero en todas ellas hay una fase móvil que consiste en un fluido (gas, líquido o fluido supercrítico) que arrastra a la muestra a través de una fase estacionaria que se trata de un sólido o un líquido fijado en un sólido. Los componentes de la mezcla interaccionan de distinta forma con la fase estacionaria y con la fase móvil. De este modo, los componentes atraviesan la fase estacionaria a distintas velocidades y se van separando. Después de haber pasado los componentes por la fase estacionaria y haberse separado pasan por un detector que genera una señal, que puede depender de la concentración y del tipo de compuesto. En la presente práctica observaremos como se realizan las técnicas de cromatografía y espectrofotometría, resaltando la utilidad de estas. II. OBJETIVOS • Reconocer el manejo de la cromatografía en papel • Analizar el Rf de los aminoácidos en la práctica III. EQUIPOS, MATERIALES Y REACTIVOS Proporcionados por el laboratorio • Papel de filtro Whatman Nº1 52
  • 53.
    • Probetas • Pipetasde 1 mL • Vasos de precipitación de 50 mL • Cámara de Cromatografía • Estufa • Pinzas • n-Butanol • Acido acético glacial • L-lisina (5mg/mL) • L-leucina (5mg/mL) • L-tirosina (5mg/mL) • Ninhidrina al 1% (solución alcohólica) • Agua destilada Proporcionados por el alumno • Guantes • Cámara fotográfica • Bandejas de plástico y Aspersor de agua IV. PROCEDIMIENTOS • Después de colocarse los guantes, cortar con tijeras, un rectángulo de papel filtro Whatman Nº 1 de 10 x 14 cm. • Sumergir en agua e inmediatamente pasar a ácido acético 1N por 10 minutos; escurrir y sumergir en agua. Sacar el papel rápidamente y secarlo entre papeles secantes. • Usando guantes, trazar a 1,5 cm del borde inferior de la tira de papel Whatman, una línea con lápiz y sobre ella marcar 4 puntos a 2,4,6 y 8 cm, evitando poner los dedos en la parte central del papel, y señalarlos con las letras M (mezcla de los tres aminoácidos), Le (Leucina), L(lisina) y T(tirosina). • Aplicar con una micropipeta o un tubo capilar, 3 µL de cada una de las respectivas soluciones de aminoácidos descritos anteriormente, de forma que aparezcan una mancha de unos 5 mm de diámetro. • Secar a 50 ºC por 10 minutos. PREPARACION DE LA CAMARA CROMATOGRAFICA 53
  • 54.
    • La cámaracromatográfica es un recipiente de cierre hermético en cuyo interior se encuentra el solvente. Este debe estar saturado con el solvente (Butanol: ácido acético glacial: agua (12:3:5)) 30 minutos antes de empezar la corrida cromatográfica. • Inducir el papel en la cámara cromatográfica de tal forma en el líquido no lo moje y cerrar con la ayuda de la tapa para que la atmosfera se sature del vapor de la fase móvil, dejar 10n minutos. • Ahora introducir el papel en el solvente 1 cm y dejar transcurrir un tiempo no menor de 30 minutos para que se desarrolle el proceso. • Al final del proceso retirar el papel y marcar el rastro del frente del solvente (frente de la corrida), es decir, hasta donde subió el solvente. • Secarlo en la estufa a 60 ºC por 15 minutos • Rociar el papel con solución de ninhidrina. Secar el papel en la estufa a 60 ºC hasta la aparición de manchas violáceas o azuladas. Esto constituye el revelado CONFECCION DEL CROMATOGRAMA Encerrar en círculos las manchas y determinar su Rf (relación entre la distancia recorrida por la muestra Dl y la recorrida por el solvente D2) para cada aminoácido. Es aconsejable que se haga una toma fotográfica. Determinar los Rf de cada aminoácido Rf = Distancia recorrida por la mancha (aminoácido) Distancia recorrida por el disolvente V. RESULTADOS Presente los resultados en cuadros y/figuras y describa claramente los aspectos mas importantes. En esta sección no debe discutirse ni hacerse ningún comentario, solo se describen los resultados hallados. VI. DISCUSION Analizar los resultados obtenidos comparándolos con los de otros investigadores, destacando los aspectos más sobresalientes que constituyen un nuevo aporte al tema tratado. La discusión debe tener coherencia lógica y semántica con los resultados. Cada 54
  • 55.
    resultado debe serdiscutido científicamente utilizando las citas bibliográficas con las normas de estilo recomendadas. VII. CONCLUSIONES Solo indique las conclusiones debidamente sustentadas por los resultados obtenidos. Las conclusiones se redactan en forma de enunciados. VIII. CUESTIONARIO Desarrolle los ejercicios que están en las paginas siguientes IX. REFERENCIAS BIBLIOGRAFICAS • Bruice P (2008) Quimica Organica. 5ta edición. Editorial Prentice Hall – Pearson Education. Mexico. • Carey F (2000) Organic Chemistry. 4ta edición. Editorial McGraw-Hill. USA. • Menger F, Goldsmith D, Mandell L (1976) Quimica organica. 2da edición. Editorial Fondo Educativo Interamericano S.A. Valores de referencia AA Rf AA Rf AA Rf AA Rf Ala 0.30 Gln 0.17 Ile 0.67 Ser 0.22 Asn 0.12 Glu 0.28 Lys 0.12 Thr 0.26 Asp 0.23 Gly 0.23 Met 0.50 Tyr 0.45 Arg 0.15 His 0.11 Phe 0.60 Trp 0.50 Cys 0.08 Leu 0.70 Pro 0.34 Val 0.51 55
  • 56.
    Esquemas 56 Cortar tiras depapel de filtro de 10 x 14 cm Sumergir en agua
  • 57.
    PREPARACION DE LACAMARA CROMATOGRAFICA PRACTICA Nº 10 BIOQ. I BIOTECNOLOGIA DISEÑO DE UNA MAQUETA DE ADN PRACTICA Nº I1 BIOQ. I BIOTECNOLOGIA OBSERVACION DE BIOMOLECULAS EN 3D USANDO SOFTWARE BIOINFORMATICO PRACTICA Nº 12 BIOQ. I BIOTECNOLOGIA RECONOCIMIENTO MOLECULAR: IMPRESIÓN MOLECULAR 57 Secar las tiras de papel de filtro entre papeles secantes Sumergir en solución de Ácido acético 1N por 10 minutos Sumergir en agua Seguir las indicaciones de la práctica SOLVENTE Butanol : 12 ml Acido acético : 3 ml Agua destilada: 5 ml Seguir las indicaciones de la práctica
  • 58.
    PRACTICA Nº 13BIOQ. I BIOTECNOLOGIA RECONOCIMIENTO DE MOLECULAS BIOMIMETICAS I IN SILICO PRACTICA Nº 14 BIOQ. I BIOTECNOLOGIA RECONOCIMIENTO DE MOLECULAS BIOMIMETICAS II IN SILICO PRACTICA Nº 15 BIOQ. I BIOTECNOLOGIA PROPIEDADES CATALITICAS DE LA CATALASA 58