Semana 1
Sesión 1.1
NÚMEROS REALES
Y
OPERACIONES BÁSICAS
Curiosidades
Matemáticas
2
Logros
3
El alumno, al término de la clase:
 Reconoce a que conjuntos pertenecen ciertos números.
 Resuelve operaciones combinadas teniendo en cuenta la regla
de los signos y mostrando su procedimiento.
 Compara y ubica en una recta numérica, números reales,
haciendo uso de una escala adecuada.
Conjunto de los números reales (R)
Números
irracionales (I)
Números
enteros (Z)
Números
naturales (N)
Números
racionales (Q)
0,5
2,1515... 0,333…
… – 3; – 2; – 1; 0; 1; 2; 3 …
2
3
5
7
3
14
9
5

1,26
Diagrama de los conjuntos numéricos
Observación: 2 1,41 3 1,74213562... 20508 .3 08. . 
-2-3 32-1
A cada punto sobre la recta numérica le corresponde un número real
único, y a cada número real le corresponde un punto único de la
recta numérica.
Recta numérica de los
números reales
5
0 1
-2,5
3
4
 -2-2,5
3
4
 -2
 ;R   
 
donde
-2,5
3
4
-2  0,75 -1,4142…  3,1415…
Las cuatro operaciones básicas:
Operaciones básicas
6
• Adición
• Sustracción
• Multiplicación
• División
Tener en cuenta la regla de los signos
Operaciones básicas
7
1 2
3
4 3
 
  
 
3 9   12
5 8   3
( 2)( 5)   10
( 9)( 3)   27
8 4    2
312 4  
9 3
4 10
 
a.
b.
c.
d.
e.
f.
g.
h.
5
4

15
2

Recordemos las operaciones básicas con enteros/fracciones por
medio de ejemplos:
2 2
( 3) 3  
8
Ejemplo 5.
a.
b.
c.
d.
e.
f.
g.
h.
3 3
( 4) 4  
2
3
4
 
 
 
2
2
3
4
9
16

4
9

4
9
2
3

3
4
8
625


5
2
5
2
 
2
3
4
 
 
 
 
2
2
3
4
3
16

3
3
2
5
8
125
  
3
2
5
 
  
 
2
2
4
3
16
9
 
2
3
4

 
  
 
2
4
3
 
 
 
64 64 128   
9 09 
9
 
22
3 4      3 2
81 2 1    
12
2
3 4 5

  
  
3 2
1 0
5 5
2 7 6

  
   
   
 
2 4
2
3 2
5 (3 1)
 
 
2
4 10
5 3 5

 
 
 
3
2 0
2( 2)
3 4
 

3
5
5 64
2 3 32


4 3 0
4
9
3


 
2
2 3
13
1
9
 

 
3
2
9
4
4


2
4 5
2 4
5 3


a. b. c.
d. e. f.
g. h. i.
j. k. l.
EJERCICIO N° 3
Calcule el valor de cada una de las expresiones:
25 1 9
4 /15 13/ 3 9 / 25
8 5 6 / 5
21/ 2 16 / 5 45 / 2
10
Valor absoluto
El valor absoluto de un número real a, se define como:
, si 0
, si 0
a a
a
a a

 
 
7 
Ejemplo 1.
a.
b.
c.
7
1e  1e
2 5  5 2
11
5 
EJEMPLO 2.
Calcule el valor de cada una de las expresiones:
5   3 1 2 7
19 4 19  5
1
3
 
1 4
2
6 3
 
a. b. c.
d. e. f.
3 1 7 2
4 8 / 3 5 / 6
1. Producto de potencias
de igual base
nmnm
aaa 

1212
Propiedades de los Exponentes
2. Cociente de potencias
de igual base
n
n m
m
a
a
a


3. Potencia de potencia
4. Potencia de un producto
.
( )n m n m
a a
( ) .n n n
ab a b
5. Potencia de un cociente
y
n n nn
n
a a a b
b b b a

     
      
     
13
Ejemplo 13.
1 3n n
a a 

Ejemplo 16
3 5 3 2
4
( 4 . )x x x
xy



2 3 5
8
5
( 2 )
.
m n
n
m
Ejemplo 17
Ejemplo 14
4 5
3
6
24
x y
x y

14
Siendo n un número natural y a y b números reales definimos:
Debemos tomar en cuenta que cuando el índice n es par, entonces
el radicando a no puede ser negativo (en los reales no está
definida la raíz con índice par de un negativo), luego, si en
m es par y c es un real negativo, entonces no está definido.
si y solo si nn
a b a b 
2/3
4  3 2
4
Radicales
m
c
m
c
15
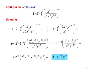
Ejemplo 24 Simplificar
 
54 3
23
2 3/5
2
2
x y
x y



 
  
 
 
54 3
23
2 3/5
2
2
x y
x y



 
  
 
 
52 3/5
23
4 3
2
1.2
x y
x y



 
  
 
 3/5 .55 2.5
2 3 2
4.5 3.5
2
( 1) (2 )
x y
x y



 
   
 
5 10 3
3 . 2
20 15
2
2
x y
x y



 
  
 
 6 5 10 20 3 15
2 2 . .x x y y  
 
1 30 18
2 .x y 
Solución.
CIERRE
16
a. ¿Quién me puede resumir lo que hemos hecho en la clase de
hoy?
b. ¿Cuáles de estas operaciones NO EXISTE?
2
0
0
2
0 2 3
c. ¿Se cumple la siguiente igualdad?
4 4
2 2 
d. ¿Es correcta, la siguiente justificación?
25 5  , porque   5 5 25  

Numeros Resales y Operaciones Basicas

  • 1.
    Semana 1 Sesión 1.1 NÚMEROSREALES Y OPERACIONES BÁSICAS
  • 2.
  • 3.
    Logros 3 El alumno, altérmino de la clase:  Reconoce a que conjuntos pertenecen ciertos números.  Resuelve operaciones combinadas teniendo en cuenta la regla de los signos y mostrando su procedimiento.  Compara y ubica en una recta numérica, números reales, haciendo uso de una escala adecuada.
  • 4.
    Conjunto de losnúmeros reales (R) Números irracionales (I) Números enteros (Z) Números naturales (N) Números racionales (Q) 0,5 2,1515... 0,333… … – 3; – 2; – 1; 0; 1; 2; 3 … 2 3 5 7 3 14 9 5  1,26 Diagrama de los conjuntos numéricos Observación: 2 1,41 3 1,74213562... 20508 .3 08. . 
  • 5.
    -2-3 32-1 A cadapunto sobre la recta numérica le corresponde un número real único, y a cada número real le corresponde un punto único de la recta numérica. Recta numérica de los números reales 5 0 1 -2,5 3 4  -2-2,5 3 4  -2  ;R      donde -2,5 3 4 -2  0,75 -1,4142…  3,1415…
  • 6.
    Las cuatro operacionesbásicas: Operaciones básicas 6 • Adición • Sustracción • Multiplicación • División Tener en cuenta la regla de los signos
  • 7.
    Operaciones básicas 7 1 2 3 43        3 9   12 5 8   3 ( 2)( 5)   10 ( 9)( 3)   27 8 4    2 312 4   9 3 4 10   a. b. c. d. e. f. g. h. 5 4  15 2  Recordemos las operaciones básicas con enteros/fracciones por medio de ejemplos:
  • 8.
    2 2 ( 3)3   8 Ejemplo 5. a. b. c. d. e. f. g. h. 3 3 ( 4) 4   2 3 4       2 2 3 4 9 16  4 9  4 9 2 3  3 4 8 625   5 2 5 2   2 3 4         2 2 3 4 3 16  3 3 2 5 8 125    3 2 5        2 2 4 3 16 9   2 3 4         2 4 3       64 64 128    9 09 
  • 9.
    9   22 3 4     3 2 81 2 1     12 2 3 4 5        3 2 1 0 5 5 2 7 6               2 4 2 3 2 5 (3 1)     2 4 10 5 3 5        3 2 0 2( 2) 3 4    3 5 5 64 2 3 32   4 3 0 4 9 3     2 2 3 13 1 9      3 2 9 4 4   2 4 5 2 4 5 3   a. b. c. d. e. f. g. h. i. j. k. l. EJERCICIO N° 3 Calcule el valor de cada una de las expresiones: 25 1 9 4 /15 13/ 3 9 / 25 8 5 6 / 5 21/ 2 16 / 5 45 / 2
  • 10.
    10 Valor absoluto El valorabsoluto de un número real a, se define como: , si 0 , si 0 a a a a a      7  Ejemplo 1. a. b. c. 7 1e  1e 2 5  5 2
  • 11.
    11 5  EJEMPLO 2. Calculeel valor de cada una de las expresiones: 5   3 1 2 7 19 4 19  5 1 3   1 4 2 6 3   a. b. c. d. e. f. 3 1 7 2 4 8 / 3 5 / 6
  • 12.
    1. Producto depotencias de igual base nmnm aaa   1212 Propiedades de los Exponentes 2. Cociente de potencias de igual base n n m m a a a   3. Potencia de potencia 4. Potencia de un producto . ( )n m n m a a ( ) .n n n ab a b 5. Potencia de un cociente y n n nn n a a a b b b b a                    
  • 13.
    13 Ejemplo 13. 1 3nn a a   Ejemplo 16 3 5 3 2 4 ( 4 . )x x x xy    2 3 5 8 5 ( 2 ) . m n n m Ejemplo 17 Ejemplo 14 4 5 3 6 24 x y x y 
  • 14.
    14 Siendo n unnúmero natural y a y b números reales definimos: Debemos tomar en cuenta que cuando el índice n es par, entonces el radicando a no puede ser negativo (en los reales no está definida la raíz con índice par de un negativo), luego, si en m es par y c es un real negativo, entonces no está definido. si y solo si nn a b a b  2/3 4  3 2 4 Radicales m c m c
  • 15.
    15 Ejemplo 24 Simplificar  54 3 23 2 3/5 2 2 x y x y             54 3 23 2 3/5 2 2 x y x y             52 3/5 23 4 3 2 1.2 x y x y            3/5 .55 2.5 2 3 2 4.5 3.5 2 ( 1) (2 ) x y x y            5 10 3 3 . 2 20 15 2 2 x y x y            6 5 10 20 3 15 2 2 . .x x y y     1 30 18 2 .x y  Solución.
  • 16.
    CIERRE 16 a. ¿Quién mepuede resumir lo que hemos hecho en la clase de hoy? b. ¿Cuáles de estas operaciones NO EXISTE? 2 0 0 2 0 2 3 c. ¿Se cumple la siguiente igualdad? 4 4 2 2  d. ¿Es correcta, la siguiente justificación? 25 5  , porque   5 5 25  