• Se escribe el factor común (F.C.) como un coeficiente de un paréntesis y
   dentro del mismo se colocan los coeficientes que son el resultado de dividir
   cada término del polinomio por el F.C.
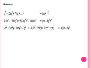
Ejemplo:
Descomponer (o factorizar) en factores a2+ 2ª
El factor común (FC) en los dos términos esa por lo tanto se ubica por delante
del paréntesis a ( ). Dentro del paréntesis se ubica el resultado de:
• Primero hay que determinar el factor común de los coeficientes junto con el de
  las variables (la que tenga menor exponente). Se toma en cuenta aquí que el
  factor común no solo cuenta con un término, sino con dos.
Ejemplo:
Descomponer
x (a+b) +m(a+b)

Estos dos términos tienen como factor común el binomio (a+b), por lo que se pone
(a+b) como coeficiente de un paréntesis dentro del cual escribimos los cocientes
de dividirlos dos términos de la expresión dada entre el factor común (a+b), o sea:
Para trabajar un polinomio por agrupación de términos, se
debe tener en cuenta que son dos características las que se
repiten. Se identifica porque es un número par de términos
Para resolverlo, se agrupan cada una de las características, y
se le aplica el primer caso , es decir :
ab+ac+bd+dc = (ab+ac)+(bd+dc)
              = a(b+c)+d(b+c)
              = (a+d) (b+c)
Ejemplo:
Descomponer
ax +bx +ay +by
 Los dos primeros términos tienen el factor común x
y los dos últimos el factor común y
Agrupamos los dos primeros en un paréntesis y los dos últimos en otro precedido
del signo + porque el tercer término tiene el signo (+):
ax +bx +ay +by = (ax +bx ) + (ay +by )
                  =x (a+b) +y (a+b)
                  = (a+b)(x +y)

Hay varias formas de hacer la agrupación, con la condición de que los dos
términos agrupados tengan algún factor común, y siempre que las cantidades que
quedan dentro de los paréntesis después de sacar el factor común en cada
grupo, sean exactamente iguales. Si esto no es posible, la expresión dada no se
puede descomponer por este método. En el ejemplo anterior podemos agrupar el
1o. y 3er. términos con el factor común a y el2o. y 4o. con el factor común b, y:

ax +bx +ay +by = (ax +ay ) + (bx +by )= a( x + y ) +b(x +y)=(x+y )(a+b)

Este resultado es idéntico al anterior, ya que el orden de los factores es indiferente.
La regla para factorizar un trinomio cuadrado perfecto dice que se extrae la raíz
cuadrada al primer y tercer términos del trinomio y se separan estas raíces por el
signo del segundo término. El binomio así formado, que es la raíz cuadrada del
trinomio, se multiplica por sí mismo o se eleva al cuadrado.
Ejemplo:

Descomponer

4x 2+ 25y 2- 20x y

Al ordenar el trinomio:
Es importante destacar que cualquiera de las dos raíces puede ponerse como
minuendo, por lo que en el ejemplo anterior también se tiene:

4x2 - 20xy+ 25y2= (5y - 2x )(5y - 2x ) = (5y - 2x)2

porque al desarrollar este binomio resulta:

(5y - 2x )2= 25y 2 - 20x y + 4x 2

que es una expresión idéntica a:

4x 2 - 20x y + 25y 2

ya que tiene las mismas cantidades con los mismos signos.
Se identifica por tener dos términos elevados al cuadrado y unidos por el signo
menos. Se resuelve por medio de dos paréntesis, (parecido a los productos de la
forma (a-b)(a+b),uno negativo y otro positivo.

O en una forma mas general para exponentes pares:


Y utilizando un producto podemos definir una factorización para cualquier
exponente, el resultado nos da r+1 factores.



 Ejemplo:
En este caso se intenta transformar una expresión (binomio o trinomio), en otra
igual en la que se pueda aplicar trinomio cuadrado perfecto.
Ejemplo:
• Se descompone en dos factores binomios cuyo primer término es x , o sea la
  raíz cuadrada del primer término del trinomio.
• En el primer factor, después de x se escribe el signo del segundo término del
  trinomio, y en el segundo factor, después de x se escribe el signo que resulta de
  multiplicar el signo del segundo término por el signo del tercer término.
• Si los dos factores binomios tienen en medio signos iguales, se buscan dos
  números cuya suma sea el valor absoluto del segundo término del trinomio y
  cuyo producto sea el valor absoluto del tercer término del trinomio, mismos que
  serán los segundos términos de los binomios.
• Si los dos factores binomios tienen en medio signos distintos, se buscan dos
  números cuya diferencia sea el valor absoluto del segundo término del trinomio
  y cuyo producto sea el valor absoluto del tercer término del trinomio. El mayor
  de estos números es el segundo término del primer binomio, y el menor es el
  segundo término del segundo binomio.
Ejemplo:
Factorizar

x 2+ 5x + 6

Este trinomio se descompone en dos binomios cuyo primer término es la raíz
cuadrada de

x 2, o sea x :x 2+ 5 x + 6 = ( x )(x )

En el primer binomio, después de x , se pone el signo (+) porque el segundo
término del trinomio (+) 5x tiene signo (+). En el segundo binomio, después de
x , se escribe el signo que resulta de multiplicar (+ 5x ) por (+ 6), y como (+) por (+)
da (+), entonces:

x 2+ 5 x + 6 (x + )(x + )

Dado que en estos binomios hay signos iguales, buscamos dos números cuya
suma sea 5y cuyo producto sea 6. Dichos números son 2 y 3, luego:

x 2+ 5 x + 6 = (x + 2)( x + 3)
En este caso se tienen 3 términos: El primer término es un cuadrado perfecto, o
sea que tiene raíz cuadrada exacta, el segundo término tiene la mitad del
exponente del término anterior y el tercer término es un término
independiente, ósea sin una parte literal, así:


Para factorizar una expresión de esta forma; primero se coge el término al lado de
x2, (en este caso el 4) y se multiplica por toda la expresión, dejando el segundo
término igual pero en paréntesis y dejando todo esto en una fracción. Usando
como denominador el término que estamos multiplicando, multiplicándolo con el 1.


Luego separamos en dos fracciones el término


Y después procedemos a eliminar las fracciones
La suma de dos números a la potencia n, a n+bn
se descompone en dos factores (siempre que n sea un número impar):

Quedando de la siguiente manera:
Ejemplo:


La diferencia también es factorizable y en este caso no importa si n
es par o impar. Quedando de la siguiente manera:
Teniendo en cuenta que los productos notables nos dicen que:




Es decir que debe cumplir con las siguientes características:
•Debe tener cuatro términos.
•Que tanto el primero como el último término sean cubos perfectos
•Que el segundo término sea aproximadamente el triplo del cuadrado de la raíz
cúbica del primer término multiplicado por la raíz cúbica del último término.
•Que el tercer término sea más que el triplo de la raíz cúbica del último .Raíz
cúbica de un monomio: esta se obtiene tomando la raíz cúbica de su coeficiente y
dividiendo el exponente de cada letra entre 3.
Ejemplos:
CASOS DE FACTORIZACIÓN

CASOS DE FACTORIZACIÓN

  • 2.
    • Se escribeel factor común (F.C.) como un coeficiente de un paréntesis y dentro del mismo se colocan los coeficientes que son el resultado de dividir cada término del polinomio por el F.C. Ejemplo: Descomponer (o factorizar) en factores a2+ 2ª El factor común (FC) en los dos términos esa por lo tanto se ubica por delante del paréntesis a ( ). Dentro del paréntesis se ubica el resultado de:
  • 3.
    • Primero hayque determinar el factor común de los coeficientes junto con el de las variables (la que tenga menor exponente). Se toma en cuenta aquí que el factor común no solo cuenta con un término, sino con dos. Ejemplo: Descomponer x (a+b) +m(a+b) Estos dos términos tienen como factor común el binomio (a+b), por lo que se pone (a+b) como coeficiente de un paréntesis dentro del cual escribimos los cocientes de dividirlos dos términos de la expresión dada entre el factor común (a+b), o sea:
  • 4.
    Para trabajar unpolinomio por agrupación de términos, se debe tener en cuenta que son dos características las que se repiten. Se identifica porque es un número par de términos Para resolverlo, se agrupan cada una de las características, y se le aplica el primer caso , es decir : ab+ac+bd+dc = (ab+ac)+(bd+dc) = a(b+c)+d(b+c) = (a+d) (b+c)
  • 5.
    Ejemplo: Descomponer ax +bx +ay+by Los dos primeros términos tienen el factor común x y los dos últimos el factor común y Agrupamos los dos primeros en un paréntesis y los dos últimos en otro precedido del signo + porque el tercer término tiene el signo (+): ax +bx +ay +by = (ax +bx ) + (ay +by ) =x (a+b) +y (a+b) = (a+b)(x +y) Hay varias formas de hacer la agrupación, con la condición de que los dos términos agrupados tengan algún factor común, y siempre que las cantidades que quedan dentro de los paréntesis después de sacar el factor común en cada grupo, sean exactamente iguales. Si esto no es posible, la expresión dada no se puede descomponer por este método. En el ejemplo anterior podemos agrupar el 1o. y 3er. términos con el factor común a y el2o. y 4o. con el factor común b, y: ax +bx +ay +by = (ax +ay ) + (bx +by )= a( x + y ) +b(x +y)=(x+y )(a+b) Este resultado es idéntico al anterior, ya que el orden de los factores es indiferente.
  • 6.
    La regla parafactorizar un trinomio cuadrado perfecto dice que se extrae la raíz cuadrada al primer y tercer términos del trinomio y se separan estas raíces por el signo del segundo término. El binomio así formado, que es la raíz cuadrada del trinomio, se multiplica por sí mismo o se eleva al cuadrado. Ejemplo: Descomponer 4x 2+ 25y 2- 20x y Al ordenar el trinomio:
  • 7.
    Es importante destacarque cualquiera de las dos raíces puede ponerse como minuendo, por lo que en el ejemplo anterior también se tiene: 4x2 - 20xy+ 25y2= (5y - 2x )(5y - 2x ) = (5y - 2x)2 porque al desarrollar este binomio resulta: (5y - 2x )2= 25y 2 - 20x y + 4x 2 que es una expresión idéntica a: 4x 2 - 20x y + 25y 2 ya que tiene las mismas cantidades con los mismos signos.
  • 8.
    Se identifica portener dos términos elevados al cuadrado y unidos por el signo menos. Se resuelve por medio de dos paréntesis, (parecido a los productos de la forma (a-b)(a+b),uno negativo y otro positivo. O en una forma mas general para exponentes pares: Y utilizando un producto podemos definir una factorización para cualquier exponente, el resultado nos da r+1 factores. Ejemplo:
  • 9.
    En este casose intenta transformar una expresión (binomio o trinomio), en otra igual en la que se pueda aplicar trinomio cuadrado perfecto. Ejemplo:
  • 10.
    • Se descomponeen dos factores binomios cuyo primer término es x , o sea la raíz cuadrada del primer término del trinomio. • En el primer factor, después de x se escribe el signo del segundo término del trinomio, y en el segundo factor, después de x se escribe el signo que resulta de multiplicar el signo del segundo término por el signo del tercer término. • Si los dos factores binomios tienen en medio signos iguales, se buscan dos números cuya suma sea el valor absoluto del segundo término del trinomio y cuyo producto sea el valor absoluto del tercer término del trinomio, mismos que serán los segundos términos de los binomios. • Si los dos factores binomios tienen en medio signos distintos, se buscan dos números cuya diferencia sea el valor absoluto del segundo término del trinomio y cuyo producto sea el valor absoluto del tercer término del trinomio. El mayor de estos números es el segundo término del primer binomio, y el menor es el segundo término del segundo binomio.
  • 11.
    Ejemplo: Factorizar x 2+ 5x+ 6 Este trinomio se descompone en dos binomios cuyo primer término es la raíz cuadrada de x 2, o sea x :x 2+ 5 x + 6 = ( x )(x ) En el primer binomio, después de x , se pone el signo (+) porque el segundo término del trinomio (+) 5x tiene signo (+). En el segundo binomio, después de x , se escribe el signo que resulta de multiplicar (+ 5x ) por (+ 6), y como (+) por (+) da (+), entonces: x 2+ 5 x + 6 (x + )(x + ) Dado que en estos binomios hay signos iguales, buscamos dos números cuya suma sea 5y cuyo producto sea 6. Dichos números son 2 y 3, luego: x 2+ 5 x + 6 = (x + 2)( x + 3)
  • 12.
    En este casose tienen 3 términos: El primer término es un cuadrado perfecto, o sea que tiene raíz cuadrada exacta, el segundo término tiene la mitad del exponente del término anterior y el tercer término es un término independiente, ósea sin una parte literal, así: Para factorizar una expresión de esta forma; primero se coge el término al lado de x2, (en este caso el 4) y se multiplica por toda la expresión, dejando el segundo término igual pero en paréntesis y dejando todo esto en una fracción. Usando como denominador el término que estamos multiplicando, multiplicándolo con el 1. Luego separamos en dos fracciones el término Y después procedemos a eliminar las fracciones
  • 13.
    La suma dedos números a la potencia n, a n+bn se descompone en dos factores (siempre que n sea un número impar): Quedando de la siguiente manera: Ejemplo: La diferencia también es factorizable y en este caso no importa si n es par o impar. Quedando de la siguiente manera:
  • 14.
    Teniendo en cuentaque los productos notables nos dicen que: Es decir que debe cumplir con las siguientes características: •Debe tener cuatro términos. •Que tanto el primero como el último término sean cubos perfectos •Que el segundo término sea aproximadamente el triplo del cuadrado de la raíz cúbica del primer término multiplicado por la raíz cúbica del último término. •Que el tercer término sea más que el triplo de la raíz cúbica del último .Raíz cúbica de un monomio: esta se obtiene tomando la raíz cúbica de su coeficiente y dividiendo el exponente de cada letra entre 3.
  • 15.