Incrustar presentación
Descargar para leer sin conexión



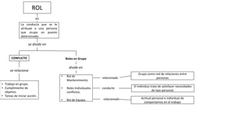
Este documento describe los conceptos de rol y status. Define el rol como la conducta que se le atribuye a una persona en un puesto determinado, y se divide en roles individuales y roles de grupo. El status se refiere a la identidad social de un individuo y cómo se relaciona con los demás, y se caracteriza por las fuentes que vinculan a una persona con la sociedad.


