SINDROME
HEPATORRENAL
Marco Antonio Pérez Villar
MR1 – Gastroenterología
HOSPITAL REGIONAL DOCENTE DE CAJAMARCA
DEFINICIÓN:
El síndrome hepatorrenal (SHR) se define como la aparición de
lesión renal en un paciente con enfermedad hepática avanzada
en ausencia de una causa identificable de la insuficiencia
renal . Uptodate 2022.
EL SHR es el deterioro de la función renal que ocurre en
pacientes con enfermedad hepática avanzada y cirrosis debido a
la hipertensión portal y la disfunción hemodinámica resultante.
Dynamed 2023. J Hepatol. 2023 febrero; 69 (2): 406-460
hepatología. 2022 agosto;74(2):1014-1048
Definiciones de lesión renal
aguda (IRA) y síndrome
hepatorrenal (SHR) en pacientes
con cirrosis.
MK Nadim, G Garcia-Tsao. N Engl J Med 2023;388:733-745.
2023/6/6
 La lesión renal aguda ocurre hasta el 50 % de los
pacientes hospitalizados con cirrosis y en el 58% de
dichos pacientes en la unidad de cuidados intensivos.
El SHR se presenta en cerca del 10% en cirrosis
avanzada o insuficiencia hepática aguda.
Cirrosis y ascitis un 18% desarrollaran SHR a un año
y 39% lo harán a cinco años, además, en este grupo de
pacientes el riesgo aumenta cuando hay ascitis
refractaria.
El síndrome hepatorrenal también ocurre con
frecuencia en pacientes con enfermedad hepática
aguda.
Jalan R, Davenport A. Epidemiología, fisiopatología y tratamiento del síndrome hepatorrenal. Semin Nephrol. 2022 Ene;39(1):17-30
Asrani, SK, Jennings, LW, Trotter, JF, Levitsky, J., Nadim, MK, Kim, WR, … Klintmalm, G. (2018). Un modelo para la evaluación de la tasa de filtración
glomerular en enfermedades hepáticas (GRAIL) en presencia de disfunción renal. hepatología. doi:10.1002/hep.30321
GRAIL tuvo menos sesgo y fue más exacto y preciso en comparación con CKD-EPI, MDRD-4 y
MDRD-6
Una TFGe < 30 ml/min/1,73 m 2 por GRAIL predijo el desarrollo de ERC (26,9 % frente a 4,6 % CKD-EPI, 5,9 % MDRD-4 y
10,5 % MDRD-6
Liver Diseases Practice Guideline management. Hepatology 2022
Peritonitis bacteriana espontánea.
 Hepatitis alcoholica.
Insuficiencia hepática fulminante.
Procedimientos, incluida la paracentesis de gran volumen y cualquier cirugía.
Nefrotoxicidad (Medios de contraste, ATB, AINES).
Sangrado gastrointestinal.
eTFG baja, hiponatremia.
Division of Gastroenterology and Hepatology, Mayo Clinic College of Medicine and Science, Barcelona, Spain 2021
Dr. Amico et al/journal Hepatology (2021) 217 - 231
2023/6/6
Simnonetto DA, et al. Hepatorenal syndrome: pathophysiology,
diagnosis, and management. BMJ. 2020 Sep. 14; 370 m 2687.
Existen cuatro factores que intervienen en la patogénesis de HRS:
Vasodilatación esplácnica reducción en el volumen
sanguíneo arterial eficaz y disminución en la presión arterial media.
Activación del sistema nervioso simpático y el sistema renina-
angiotensina-aldosterona vasoconstricción renal .
Deterioro de la función cardíaca debido al desarrollo de la
miocardiopatía cirrótica deterioro relativo del aumento
compensatorio en el gasto cardiaco secundario a la vasodilatación.
Aumento de la síntesis de varios mediadores vasoactivos que
pueden afectar el flujo de sangre renal o la hemodinámica de la
microcirculación glomerular, (como cisteinil leucotrienos,
tromboxano A2, F2-isoprostanos, y la endotelina-1)
Simnonetto DA, et al. Hepatorenal syndrome: pathophysiology, diagnosis, and management. BMJ. 2020 Sep. 14; 370 m 2687.
Fisiopatología del síndrome
hepatorrenal y lesión renal
aguda (HRS-AKI) en pacientes
con cirrosis.
MK Nadim, G Garcia-Tsao. N Engl J Med 2023;388:733-745.
Simnonetto DA, et al. Hepatorenal syndrome: pathophysiology, diagnosis, and management. BMJ. 2020 Sep. 14; 370 m 2687.
Es esencialmente de exclusión
MK Nadim, G Garcia-Tsao. N Engl J Med 2023;388:733-745.
MK Nadim, G Garcia-Tsao. N Engl J Med 2023;388:733-745.
Estudio y manejo del paciente de
AKI en un con cirrosis.
Una vez diagnosticado, el tratamiento debe iniciarse precozmente con el fin de
prevenir la progresión de la insuficiencia renal.
Las medidas de soporte incluyen:
Monitorización de los signos vitales, descartar choque.
 Suspender nefrotóxicos, B – bloqueadores, evitar diuréticos.
Manejo de complicaciones concomitantes de la cirrosis.
Evaluar necesidad de transplante.
Division of Gastroenterology and Hepatology, Mayo Clinic College of Medicine and Science, Barcelona, Spain 2021
MK Nadim, G Garcia-Tsao. N Engl J Med 2023;388:733-745.
Algoritmo de Manejo de Sospecha de
HRS-AKI
Para pacientes con HRS tipo 1 (HRS-AKI) ofrezca una
combinación de vasoconstrictores más albúmina a
cualquier paciente con HRS-AKI > estadio 1A
(creatinina sérica < 1,5 mg/dL)
Para pacientes con SHR tipo 2 (SHR sin LRA) no
se recomiendan vasoconstrictores ni albúmina.
Division of Gastroenterology and Hepatology, Mayo Clinic College of Medicine and Science, Barcelona, Spain 2021
TERAPIAS ESPECÍFICAS
El método más efectivo disponible actualmente es la
administración de fármacos vasoconstrictores.
Entre los vasoconstrictores utilizados, los que se han investigado
más extensamente son los análogos de vasopresina especialmente
terlipresina.
El tratamiento es efectivo en el 40-50% de los pacientes,
aproximadamente.
Los efectos secundarios más frecuentes del tratamiento son las
complicaciones cardiovasculares o isquémicos, que han sido reportados en
un promedio del 12% de los pacientes tratados.
Division of Gastroenterology and Hepatology, Mayo Clinic College of Medicine and Science, Barcelona, Spain 2021
Recomendaciones:
Los pacientes con HRS AKI deben ser monitorizados
cuidadosamente. Los parámetros que deben controlarse
incluyen: diuresis, BHE y la presión arterial, así como los
signos vitales. Lo ideal sería que la presión venosa central
debe ser monitoreada para ayudar con el manejo del balance
de líquidos y evitar la sobrecarga de volumen. Los pacientes
son generalmente mejor manejados en UCI.
La detección de sepsis: La infección bacteriana se debe
identificar a tiempo por los cultivos de sangre, orina y líquido
ascítico, y se trata con antibióticos.
Division of Gastroenterology and Hepatology, Mayo Clinic College of Medicine and Science, Barcelona, Spain 2021
Recomendaciones:
El uso de la paracentesis: Hay pocos datos sobre el uso de
la paracentesis en pacientes con tipo 1 HRS. Sin embargo, si
los pacientes tienen ascitis a tensión, la paracentesis de
gran volumen con albúmina es útil para aliviar el malestar
de los pacientes (Nivel B1).
El uso de diuréticos: Todos los diuréticos se debe
interrumpir en pacientes en la evaluación inicial y el
diagnóstico de HRS. Sin embargo furosemida puede ser útil
para mantener la diuresis y tratar la sobrecarga de volumen
central si está presente. La espironolactona está
contraindicada debido al alto riesgo de hiperpotasemia
(nivel A1).
Division of Gastroenterology and Hepatology, Mayo Clinic College of Medicine and Science, Barcelona, Spain 2021
PROFILAXIS
Se han realizado pocos estudios sobre prevención de SHR. Se demostró
tratamiento a corto plazo (4 semanas) con pentoxifilina (400 mg tres
veces al día) en un estudio aleatorizado doble ciego, para prevenir el
desarrollo de HRS en pacientes con hepatitis alcohólica grave.
En un estudio más reciente, el tratamiento a largo plazo con la
pentoxifilina no se asoció con una mejoría en la supervivencia, pero con
una reducción en la frecuencia de algunas complicaciones de la cirrosis,
incluyendo insuficiencia renal.
Un estudio aleatorizado doble ciego mostró que la norfloxacina (400
mg / día) redujo la incidencia de SHR en la cirrosis avanzada.
Division of Gastroenterology and Hepatology, Mayo Clinic College of Medicine and Science, Barcelona, Spain 2021
Se han reportado, para mejorar la función renal en pacientes con tipo
1 HRS.
La aplicabilidad de los consejos de este entorno es muy limitada
debido a que muchos pacientes tienen contraindicaciones para el uso
de TIPS.
TIPS también se ha demostrado que mejora la función renal y el
control de la ascitis en los pacientes con HRS CDK.
Division of Gastroenterology and Hepatology, Mayo Clinic College of Medicine and Science, Barcelona, Spain 2021
Se han utilizado para tratar a los
pacientes con tipo 1 HRS.
Las circunstancias que requieren un
tratamiento inmediato con la terapia
de reemplazo renal, como la
hiperpotasemia grave, acidosis
metabólica, y la sobrecarga de
volumen son poco frecuentes en los
pacientes con tipo 1 HRS,
especialmente en las primeras etapas.
Es el tratamiento de elección, con mayor tasa de
supervivencia.
La baja tasa de supervivencia comparada con pacientes
con cirrosis sin HRS es debido al hecho de que la
insuficiencia renal es un predictor importante de mal
pronóstico después del trasplante.
No parece haber ninguna ventaja en utilizar el
trasplante de hígado y riñón combinado versus el
trasplante de hígado sola en pacientes con SHR, con la
posible excepción de aquellos pacientes que han estado
bajo terapia de apoyo renal prolongada (> 12 semanas).
Division of Gastroenterology and Hepatology, Mayo Clinic College of Medicine and Science, Barcelona, Spain 2021
PREVENCIÓN DEL SÍNDROME HEPATORRENAL
Los pacientes que se presentan con PBE deben ser tratados
con albúmina intravenosa ya que se ha demostrado que
disminuye la incidencia de HRS y mejorar la supervivencia (nivel
A1).
Hay algunos datos que sugieren que el tratamiento con
pentoxifilina reduce la incidencia de HRS en pacientes con
hepatitis alcohólica grave y cirrosis avanzada y el tratamiento
con norfloxacina disminuye la incidencia de HRS en la cirrosis
avanzada. (Nivel B2).
Reposición con albumina tras paracentesis a gran volumen.
Evitar la hipovolemia: uso adecuado de diuréticos.
Division of Gastroenterology and Hepatology, Mayo Clinic College of Medicine and Science, Barcelona, Spain 2021
2023/6/6
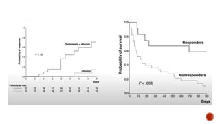
PRONOSTICO Y SUPERVIVENCIA
El pronóstico de HRS sigue siendo pobre, con un tiempo medio de
supervivencia de todos los pacientes con HRS de aproximadamente sólo
3 meses.
Puntajes Score MELD alta y tipo 1 HRS están asociados con muy mal
pronóstico.
Supervivencia media informada para todos los pacientes con síndrome
hepatorrenal (SHR) y sin trasplante hepático
• 2-3 semanas con HRS AKI no tratado
• 6-8 meses con HRS CKD no tratado
3 meses de supervivencia 4
20% con HRS AKI no tratado
40% con HRS CKD no tratado
Supervivencia a 1 año 77% con SHR AKI y trasplante hepático.
Supervivencia a 5 años 69% con SHR AKI y trasplante hepático.
• Expert Opin Pharmacother 2011 Jun;12(9):1405
GRACIAS

SHR Marco.pptx

  • 1.
    SINDROME HEPATORRENAL Marco Antonio PérezVillar MR1 – Gastroenterología HOSPITAL REGIONAL DOCENTE DE CAJAMARCA
  • 3.
    DEFINICIÓN: El síndrome hepatorrenal(SHR) se define como la aparición de lesión renal en un paciente con enfermedad hepática avanzada en ausencia de una causa identificable de la insuficiencia renal . Uptodate 2022. EL SHR es el deterioro de la función renal que ocurre en pacientes con enfermedad hepática avanzada y cirrosis debido a la hipertensión portal y la disfunción hemodinámica resultante. Dynamed 2023. J Hepatol. 2023 febrero; 69 (2): 406-460 hepatología. 2022 agosto;74(2):1014-1048
  • 4.
    Definiciones de lesiónrenal aguda (IRA) y síndrome hepatorrenal (SHR) en pacientes con cirrosis. MK Nadim, G Garcia-Tsao. N Engl J Med 2023;388:733-745.
  • 6.
    2023/6/6  La lesiónrenal aguda ocurre hasta el 50 % de los pacientes hospitalizados con cirrosis y en el 58% de dichos pacientes en la unidad de cuidados intensivos. El SHR se presenta en cerca del 10% en cirrosis avanzada o insuficiencia hepática aguda. Cirrosis y ascitis un 18% desarrollaran SHR a un año y 39% lo harán a cinco años, además, en este grupo de pacientes el riesgo aumenta cuando hay ascitis refractaria. El síndrome hepatorrenal también ocurre con frecuencia en pacientes con enfermedad hepática aguda. Jalan R, Davenport A. Epidemiología, fisiopatología y tratamiento del síndrome hepatorrenal. Semin Nephrol. 2022 Ene;39(1):17-30
  • 7.
    Asrani, SK, Jennings,LW, Trotter, JF, Levitsky, J., Nadim, MK, Kim, WR, … Klintmalm, G. (2018). Un modelo para la evaluación de la tasa de filtración glomerular en enfermedades hepáticas (GRAIL) en presencia de disfunción renal. hepatología. doi:10.1002/hep.30321 GRAIL tuvo menos sesgo y fue más exacto y preciso en comparación con CKD-EPI, MDRD-4 y MDRD-6 Una TFGe < 30 ml/min/1,73 m 2 por GRAIL predijo el desarrollo de ERC (26,9 % frente a 4,6 % CKD-EPI, 5,9 % MDRD-4 y 10,5 % MDRD-6
  • 8.
    Liver Diseases PracticeGuideline management. Hepatology 2022
  • 9.
    Peritonitis bacteriana espontánea. Hepatitis alcoholica. Insuficiencia hepática fulminante. Procedimientos, incluida la paracentesis de gran volumen y cualquier cirugía. Nefrotoxicidad (Medios de contraste, ATB, AINES). Sangrado gastrointestinal. eTFG baja, hiponatremia. Division of Gastroenterology and Hepatology, Mayo Clinic College of Medicine and Science, Barcelona, Spain 2021
  • 10.
    Dr. Amico etal/journal Hepatology (2021) 217 - 231
  • 11.
    2023/6/6 Simnonetto DA, etal. Hepatorenal syndrome: pathophysiology, diagnosis, and management. BMJ. 2020 Sep. 14; 370 m 2687.
  • 12.
    Existen cuatro factoresque intervienen en la patogénesis de HRS: Vasodilatación esplácnica reducción en el volumen sanguíneo arterial eficaz y disminución en la presión arterial media. Activación del sistema nervioso simpático y el sistema renina- angiotensina-aldosterona vasoconstricción renal . Deterioro de la función cardíaca debido al desarrollo de la miocardiopatía cirrótica deterioro relativo del aumento compensatorio en el gasto cardiaco secundario a la vasodilatación. Aumento de la síntesis de varios mediadores vasoactivos que pueden afectar el flujo de sangre renal o la hemodinámica de la microcirculación glomerular, (como cisteinil leucotrienos, tromboxano A2, F2-isoprostanos, y la endotelina-1) Simnonetto DA, et al. Hepatorenal syndrome: pathophysiology, diagnosis, and management. BMJ. 2020 Sep. 14; 370 m 2687.
  • 13.
    Fisiopatología del síndrome hepatorrenaly lesión renal aguda (HRS-AKI) en pacientes con cirrosis. MK Nadim, G Garcia-Tsao. N Engl J Med 2023;388:733-745.
  • 14.
    Simnonetto DA, etal. Hepatorenal syndrome: pathophysiology, diagnosis, and management. BMJ. 2020 Sep. 14; 370 m 2687.
  • 17.
    Es esencialmente deexclusión MK Nadim, G Garcia-Tsao. N Engl J Med 2023;388:733-745.
  • 20.
    MK Nadim, GGarcia-Tsao. N Engl J Med 2023;388:733-745. Estudio y manejo del paciente de AKI en un con cirrosis.
  • 22.
    Una vez diagnosticado,el tratamiento debe iniciarse precozmente con el fin de prevenir la progresión de la insuficiencia renal. Las medidas de soporte incluyen: Monitorización de los signos vitales, descartar choque.  Suspender nefrotóxicos, B – bloqueadores, evitar diuréticos. Manejo de complicaciones concomitantes de la cirrosis. Evaluar necesidad de transplante. Division of Gastroenterology and Hepatology, Mayo Clinic College of Medicine and Science, Barcelona, Spain 2021
  • 23.
    MK Nadim, GGarcia-Tsao. N Engl J Med 2023;388:733-745. Algoritmo de Manejo de Sospecha de HRS-AKI
  • 25.
    Para pacientes conHRS tipo 1 (HRS-AKI) ofrezca una combinación de vasoconstrictores más albúmina a cualquier paciente con HRS-AKI > estadio 1A (creatinina sérica < 1,5 mg/dL) Para pacientes con SHR tipo 2 (SHR sin LRA) no se recomiendan vasoconstrictores ni albúmina. Division of Gastroenterology and Hepatology, Mayo Clinic College of Medicine and Science, Barcelona, Spain 2021
  • 26.
    TERAPIAS ESPECÍFICAS El métodomás efectivo disponible actualmente es la administración de fármacos vasoconstrictores. Entre los vasoconstrictores utilizados, los que se han investigado más extensamente son los análogos de vasopresina especialmente terlipresina. El tratamiento es efectivo en el 40-50% de los pacientes, aproximadamente. Los efectos secundarios más frecuentes del tratamiento son las complicaciones cardiovasculares o isquémicos, que han sido reportados en un promedio del 12% de los pacientes tratados. Division of Gastroenterology and Hepatology, Mayo Clinic College of Medicine and Science, Barcelona, Spain 2021
  • 41.
    Recomendaciones: Los pacientes conHRS AKI deben ser monitorizados cuidadosamente. Los parámetros que deben controlarse incluyen: diuresis, BHE y la presión arterial, así como los signos vitales. Lo ideal sería que la presión venosa central debe ser monitoreada para ayudar con el manejo del balance de líquidos y evitar la sobrecarga de volumen. Los pacientes son generalmente mejor manejados en UCI. La detección de sepsis: La infección bacteriana se debe identificar a tiempo por los cultivos de sangre, orina y líquido ascítico, y se trata con antibióticos. Division of Gastroenterology and Hepatology, Mayo Clinic College of Medicine and Science, Barcelona, Spain 2021
  • 42.
    Recomendaciones: El uso dela paracentesis: Hay pocos datos sobre el uso de la paracentesis en pacientes con tipo 1 HRS. Sin embargo, si los pacientes tienen ascitis a tensión, la paracentesis de gran volumen con albúmina es útil para aliviar el malestar de los pacientes (Nivel B1). El uso de diuréticos: Todos los diuréticos se debe interrumpir en pacientes en la evaluación inicial y el diagnóstico de HRS. Sin embargo furosemida puede ser útil para mantener la diuresis y tratar la sobrecarga de volumen central si está presente. La espironolactona está contraindicada debido al alto riesgo de hiperpotasemia (nivel A1). Division of Gastroenterology and Hepatology, Mayo Clinic College of Medicine and Science, Barcelona, Spain 2021
  • 43.
    PROFILAXIS Se han realizadopocos estudios sobre prevención de SHR. Se demostró tratamiento a corto plazo (4 semanas) con pentoxifilina (400 mg tres veces al día) en un estudio aleatorizado doble ciego, para prevenir el desarrollo de HRS en pacientes con hepatitis alcohólica grave. En un estudio más reciente, el tratamiento a largo plazo con la pentoxifilina no se asoció con una mejoría en la supervivencia, pero con una reducción en la frecuencia de algunas complicaciones de la cirrosis, incluyendo insuficiencia renal. Un estudio aleatorizado doble ciego mostró que la norfloxacina (400 mg / día) redujo la incidencia de SHR en la cirrosis avanzada. Division of Gastroenterology and Hepatology, Mayo Clinic College of Medicine and Science, Barcelona, Spain 2021
  • 44.
    Se han reportado,para mejorar la función renal en pacientes con tipo 1 HRS. La aplicabilidad de los consejos de este entorno es muy limitada debido a que muchos pacientes tienen contraindicaciones para el uso de TIPS. TIPS también se ha demostrado que mejora la función renal y el control de la ascitis en los pacientes con HRS CDK. Division of Gastroenterology and Hepatology, Mayo Clinic College of Medicine and Science, Barcelona, Spain 2021
  • 46.
    Se han utilizadopara tratar a los pacientes con tipo 1 HRS. Las circunstancias que requieren un tratamiento inmediato con la terapia de reemplazo renal, como la hiperpotasemia grave, acidosis metabólica, y la sobrecarga de volumen son poco frecuentes en los pacientes con tipo 1 HRS, especialmente en las primeras etapas.
  • 47.
    Es el tratamientode elección, con mayor tasa de supervivencia. La baja tasa de supervivencia comparada con pacientes con cirrosis sin HRS es debido al hecho de que la insuficiencia renal es un predictor importante de mal pronóstico después del trasplante. No parece haber ninguna ventaja en utilizar el trasplante de hígado y riñón combinado versus el trasplante de hígado sola en pacientes con SHR, con la posible excepción de aquellos pacientes que han estado bajo terapia de apoyo renal prolongada (> 12 semanas). Division of Gastroenterology and Hepatology, Mayo Clinic College of Medicine and Science, Barcelona, Spain 2021
  • 49.
    PREVENCIÓN DEL SÍNDROMEHEPATORRENAL Los pacientes que se presentan con PBE deben ser tratados con albúmina intravenosa ya que se ha demostrado que disminuye la incidencia de HRS y mejorar la supervivencia (nivel A1). Hay algunos datos que sugieren que el tratamiento con pentoxifilina reduce la incidencia de HRS en pacientes con hepatitis alcohólica grave y cirrosis avanzada y el tratamiento con norfloxacina disminuye la incidencia de HRS en la cirrosis avanzada. (Nivel B2). Reposición con albumina tras paracentesis a gran volumen. Evitar la hipovolemia: uso adecuado de diuréticos. Division of Gastroenterology and Hepatology, Mayo Clinic College of Medicine and Science, Barcelona, Spain 2021
  • 51.
  • 52.
    PRONOSTICO Y SUPERVIVENCIA Elpronóstico de HRS sigue siendo pobre, con un tiempo medio de supervivencia de todos los pacientes con HRS de aproximadamente sólo 3 meses. Puntajes Score MELD alta y tipo 1 HRS están asociados con muy mal pronóstico. Supervivencia media informada para todos los pacientes con síndrome hepatorrenal (SHR) y sin trasplante hepático • 2-3 semanas con HRS AKI no tratado • 6-8 meses con HRS CKD no tratado 3 meses de supervivencia 4 20% con HRS AKI no tratado 40% con HRS CKD no tratado Supervivencia a 1 año 77% con SHR AKI y trasplante hepático. Supervivencia a 5 años 69% con SHR AKI y trasplante hepático. • Expert Opin Pharmacother 2011 Jun;12(9):1405
  • 53.