Barquisimeto, 22 de Agosto de 2014 
Alumna: Francys Nieto 
C.I: 19.726.653 
EJERCICIOS 
1. Transformar los siguientes puntos de coordenadas rectangulares a coordenadas 
polares. 
a) (2,8) 
X,y 
Resolvemos el triangulo por Pitágoras 
Aplicamos la tangente para resolver el 휽 
푇푔휃 = 
퐶푂 
퐶푎 
푇푔휃 = 
8 
2 
푇푔휃 = 4 휃 = 푇푔−1 4 
휃 = 75.96° 
RESULTADO: 
8,24⁄75,96° 
Z = H 
8 = Co 
2 = Ca 
C² = a² + b² 
Z²= (2) ² + (8) ² 
√푧2 = √(2)2 + (8)² 
푍 = √4 + 64 = √68 
푍 = 8,24
Ejercicio 2): Calcule el área que encierra la curva de la ecuación polar 푟 = 1 + 푠푒푛휃 
Es un cardiode 
Es simétrica con respecto al eje 
휋 
2
Para formular el área en coordenadas polares se hace lo siguiente 
퐴 = 
1 
2 
푎 
∫ [(1휃)]2푑휃 
푏 
휋 
2 
A=π 
휋 
2 
0 
∫ (1 + 푠푒푛휃)2푑휃 
Simplificamos y desarrollo productos notables 
휋 
2 
0 
A=∫ (1 + 푠푒푛휃 + 푠푒푛2 휃)푑휃 
Utilizo la identidad trigonométrica 
A=∫ [1 + 2푠푒푛휃 + 1cos2θ 
2 
휋 
2 
0 
] 푑휃 
Por el mínimo común múltiplo 
1 
2 
A= 
휋 
2 
0 
∫ (2 + 푠푒푛휃 + 1 − 푐표푠2휃) 푑휃 
Sumo términos semejantes 
A= 
1 
2 
휋 
2 
0 
∫ (3 + 4푠푒푛휃 − 푐표푠2휃) 푑휃 
Resuelvo la integral y evaluó 
1 
2 
A= 
= [3휃 − 4푐표푠휃 − 푠푒푛2휃 
2 
휋 
2 
0 
] ∫ 
A= 
1 
2 
[3 휋 
2 
− 4 − (4 cos(표)) 
A= 
1 
2 
[3 휋 
2 
− 8] 
A= 3π−16 
4
Ejercicios 3)
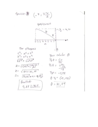
EJERCICIO (5) Trasformar coordenadas rectangulares a polares 
R=2 cos (3휃) 
Por la identidad trigonométrica 
Cos(3휃)= 4 cos³휃 − 3 푐표푠휃
En donde X=r cos휃; 푐표푠 = 푥 
푟 
푥 
푟 
Sustituyo r=2 [ 4( 
)³ − 3 (푥 
푟 
) ] 
4푥³ 
푟³ 
R=2 [ 
− 3x 
r 
] 
Por factor común 
푟 = 
2 
푟 
⌈ 
4푥 3 
푟2 − 3푥⌉ 
4푥 3 
푟2 − 3푥⌉ 
푟2 = 2 ⌈ 
Por mínimo común múltiplo 
푟 
2=2⌈ 
4푥3 − 3푟2푥 
푟2 ⌉ 
푟4 = 2⌈4푥 3 − 3푟2푥⌉ 
(푥 2 + 푦2)² = 2⌈4푥 3 − 3(푥 2 + 푦2)푥⌉ 
(푥 2 + 푦2)² = 8푥 3 − 3푥 3 − 3푥푦2 
(푥 2 + 푦2)² = 5푥 3 − 3푥푦3 
5푥 3 − 3푥푦2 − (푥 2 + 푦2)² = 0

Taller de matematica

  • 1.
    Barquisimeto, 22 deAgosto de 2014 Alumna: Francys Nieto C.I: 19.726.653 EJERCICIOS 1. Transformar los siguientes puntos de coordenadas rectangulares a coordenadas polares. a) (2,8) X,y Resolvemos el triangulo por Pitágoras Aplicamos la tangente para resolver el 휽 푇푔휃 = 퐶푂 퐶푎 푇푔휃 = 8 2 푇푔휃 = 4 휃 = 푇푔−1 4 휃 = 75.96° RESULTADO: 8,24⁄75,96° Z = H 8 = Co 2 = Ca C² = a² + b² Z²= (2) ² + (8) ² √푧2 = √(2)2 + (8)² 푍 = √4 + 64 = √68 푍 = 8,24
  • 3.
    Ejercicio 2): Calculeel área que encierra la curva de la ecuación polar 푟 = 1 + 푠푒푛휃 Es un cardiode Es simétrica con respecto al eje 휋 2
  • 4.
    Para formular elárea en coordenadas polares se hace lo siguiente 퐴 = 1 2 푎 ∫ [(1휃)]2푑휃 푏 휋 2 A=π 휋 2 0 ∫ (1 + 푠푒푛휃)2푑휃 Simplificamos y desarrollo productos notables 휋 2 0 A=∫ (1 + 푠푒푛휃 + 푠푒푛2 휃)푑휃 Utilizo la identidad trigonométrica A=∫ [1 + 2푠푒푛휃 + 1cos2θ 2 휋 2 0 ] 푑휃 Por el mínimo común múltiplo 1 2 A= 휋 2 0 ∫ (2 + 푠푒푛휃 + 1 − 푐표푠2휃) 푑휃 Sumo términos semejantes A= 1 2 휋 2 0 ∫ (3 + 4푠푒푛휃 − 푐표푠2휃) 푑휃 Resuelvo la integral y evaluó 1 2 A= = [3휃 − 4푐표푠휃 − 푠푒푛2휃 2 휋 2 0 ] ∫ A= 1 2 [3 휋 2 − 4 − (4 cos(표)) A= 1 2 [3 휋 2 − 8] A= 3π−16 4
  • 5.
  • 8.
    EJERCICIO (5) Trasformarcoordenadas rectangulares a polares R=2 cos (3휃) Por la identidad trigonométrica Cos(3휃)= 4 cos³휃 − 3 푐표푠휃
  • 9.
    En donde X=rcos휃; 푐표푠 = 푥 푟 푥 푟 Sustituyo r=2 [ 4( )³ − 3 (푥 푟 ) ] 4푥³ 푟³ R=2 [ − 3x r ] Por factor común 푟 = 2 푟 ⌈ 4푥 3 푟2 − 3푥⌉ 4푥 3 푟2 − 3푥⌉ 푟2 = 2 ⌈ Por mínimo común múltiplo 푟 2=2⌈ 4푥3 − 3푟2푥 푟2 ⌉ 푟4 = 2⌈4푥 3 − 3푟2푥⌉ (푥 2 + 푦2)² = 2⌈4푥 3 − 3(푥 2 + 푦2)푥⌉ (푥 2 + 푦2)² = 8푥 3 − 3푥 3 − 3푥푦2 (푥 2 + 푦2)² = 5푥 3 − 3푥푦3 5푥 3 − 3푥푦2 − (푥 2 + 푦2)² = 0