1
CHOQUES
E IMPULSO
Material diseñado y elaborado
por Prof. Irma Sanabria
para el curso de Física I de la UNET.
Marzo, 2010
2
IMPULSO
3
Del análisis de choques se puede afirmar que durante la interacción las
fuerzas internas que ocurren entre las partículas son más grandes que las
fuerzas externas. Es decir, podemos afirmar que las fuerzas externas
son despreciables.
Definición de CHOQUE Ó COLISIÓN
Choque: es el evento en el cual interactúan dos partículas mediante
fuerzas.
Sí las fuerzas externas son despreciables, de acuerdo a lo visto en sistemas de
partículas, la cantidad de movimiento se conserva:
0≅∑ ext
F

antes despuésP P∑ = ∑
 
1 1antes 2 2antes 1 1después 2 2despuésm v m v m v m v∗ + ∗ = ∗ + ∗
   
4
En este tipo de choque se conserva la energía cinética total, es decir, la
energía cinética total antes del choque es igual a la energía cinética
total después del choque.
Choque o colisión elástica
Ejemplo:
* Este tipo de choque se da usualmente en el nivel atómico o microscópico.
* En el nivel macroscópico los choques siempre pierden algo de energía, sin
embargo se puede hacer una aproximación a choque elástico. Por ejemplo el que
se produce entre las bolas de billar: la energía cinética que se pierde durante el
choque es muy pequeña, así como la deformación entre las bolas que son
prácticamente imperceptibles al ojo humano.
m1
a
v1

m2
a
v2

Antes del choque Después del choque
m1
d
v1

m2
d
v2

5
Choque o colisión elástica
esTOTALdespuantesTOTAL KK =
2 2 2 2
1 1antes 2 2antes 1 1después 2 2después
1 1 1 1
m (v ) m (v ) m (v ) m (v )
2 2 2 2
∗ + ∗ = ∗ + ∗
despuesantes
PP

∑=∑
1 1 antes 2 2antes 1 1después 2 2despuésm v m v m v m v∗ + ∗ = ∗ + ∗
   
Con respecto a la energía cinética total, en este tipo de choque se puede
afirmar que:
Y el principio de conservación de cantidad de movimiento para choques es:
6
Choque o colisión elástica
Al combinar las ecuaciones de energía cinética total y el principio de
conservación de la cantidad de movimiento, y despejando las
velocidades de las partículas después de un choque elástico, las
ecuaciones quedan expresadas de la siguiente manera:
antesantesdespués
v
mm
m
v
mm
mm
v 2
21
2
1
21
21
1
2 






+
+





+
−
=
antesantesdespués
v
mm
mm
v
mm
m
v 2
21
12
1
21
1
2
2 






+
−
+





+
=
7
Dos cuerpos de masas m1=6kg y m2=6kg se mueven en la misma dirección, uno
al encuentro del otro, con velocidades
Sí entre los cuerpos se produce un choque elástico, determinar:
1. La velocidad de los cuerpos inmediatamente después del choque
2. La velocidad del centro de masa antes y después del choque
3. La energía cinética relativa al centro de masa antes y después del choque.
PROBLEMA
1 5 /=

v m s yî 2 /v m s=

-3î
Para la solución de este problema haremos uso de los siguientes Conceptos,
Leyes y Principios.
LEYES Y PRINCIPIOS CONCEPTOS
Principio de
conservación de la
cantidad de movimiento
Principio de
conservación de la
energía
Sistemas de partículas
Choque
Cantidad de movimiento
Centro de masa
Para sistemas de partículas: energía cinética total,
energía cinética asociada al centro de masa,
energía cinética relativa al centro de masa
8
Información suministrada: del enunciado del problema podemos dibujar un esquema de
la situación planteada, indicando los datos que nos dan. Para este tipos de problemas son la
masa y la velocidad de cada una de las partículas.
Aplicamos directamente las ecuaciones de velocidades después del choque para
choque elástico de la siguiente manera:
1. La velocidad de los cuerpos inmediatamente después del choque:
SOLUCIÓN
9
antesantesdespués
v
mm
m
v
mm
mm
v 2
21
2
1
21
21
1
2 






+
+





+
−
=
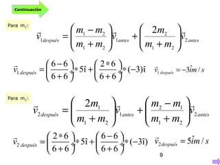
Para m1:
antesantesdespués
v
mm
mm
v
mm
m
v 2
21
12
1
21
1
2
2 






+
−
+





+
=
Para m2:
1
6 6 2 6
5î ( 3)î
6 6 6 6
− ∗   
= ∗ + ∗ − ÷  ÷
+ +   

despuésv 1
ˆ3 /= −

despuésv im s
2
2 6 6 6
5î ( 3î)
6 6 6 6
∗ −   
= ∗ + ∗ − ÷  ÷
+ +   

despuésv 2
ˆ5 /=

despuésv im s
Continuación
10
( )i i i
CM
i i
p m v
v
m m
∑ ∑ ∗
= =
∑ ∑
r r
r
Para hallar la velocidad del centro de masa debemos recordar las ecuaciones de
centro de masa para sistemas de partículas:
6 5î 6 ( 3î)
6 6
CMv
∗ + ∗ −
=
+
r
1îm/sCMv =
r
Recordando que la cantidad de movimiento se conserva antes con respecto a la
cantidad de movimiento después del choque, entonces podemos afirmar también que
la velocidad del centro de masa se mantiene constante:
1îm/sCMantes CMdespuésv v= =
r r
2. La velocidad del centro de masa antes y después del choque:Continuación
11
Podemos determinar la energía cinética total antes puesto que conocemos
las masas de las partículas y las velocidades antes del choque:
Una de las formas para determinar la energía cinética relativa al CM es a partir
de la energía cinética total de un sistema de partícula, la cual viene dada por la
expresión:
:
total asocCM relCM
relCM total asocCM
K K K
despejando la energía cinética relativa al CM
K K K
= +
= −
3. La energía cinética relativa al centro de masa antes y después del choque :
2 2 2 2
1 1 2 2
1 1 1 1
( ) ( ) 6 (5) 6 (3)
2 2 2 2
102
antes antes antes
antes
Ktotal m v m v
Ktotal J
= ∗ + ∗ = ∗ + ∗
=
Continuación
12
96relCMK J=
La velocidad del CM ya fue determinada en la pregunta anterior. Y Con respecto a
la energía cinética asociada al centro de masa, viene dada por la ecuación:
En un choque elástico la energía total se conserva y sí la energía asociada al CM
también se conserva, entonces podemos afirmar que la energía cinética relativa
es la misma antes y después del choque elástico.
2 21 1
( ) (6 6) 1
2 2
6
asocCM i CM
asocCM
K m v
K J
= ∑ ∗ = + ∗
=
Una vez calculadas la Ktotal y KAsocCM, podemos determinar la KrelCM:
102 6relCM total asocCMK K K= − = −
Continuación
13
En este tipo de choque no se conserva la energía cinética total, es decir,
parte de la energía cinética se pierde durante choque.
Choque o colisión inelástica
Ejemplo:
* El caso de una pelota de hule que choca contra al piso, puesto que
parte de la energía cinética se pierde al deformarse la pelota
mientras está en contacto con la superficie.
m1
a
v1
r
Antes del choque
m1
Después del choque
d
v2
r
14
Con respecto a la energía cinética total, la podemos expresar como:
Choque o colisión inelástica
esTOTALdespuantesTOTAL
KK 〉
Sí recordamos que para un sistema de partículas,
la energía cinética total del sistema, KT, es: relativaAsociadaCMTOTAL
KKK +=
En este tipo de choque la Energía cinética asociada al centro
de masa se conserva (se mantiene constante), debido a que
durante el choque las fuerzas externas son despreciables,
por lo tanto la velocidad del centro de masa antes y después
del choque no cambia.
Entonces podemos afirmar que se pierde sólo parte
de la energía cinética relativa, quedando la ecuación:
quedespuéscho
AsociadaCM
eanteschoqu
AsociadaCM KK =
quedespuéscho
relativa
eanteschoqu
relativa
KK 〉
Es decir que la energía cinética total para choque inelástico se puede expresar de la siguiente manera:
quedespuéscho
relativa
quedespuéscho
AsociadaCM
eanteschoqu
relativa
eanteschoqu
AsociadaCM KKKK +〉+
15
Choque o colisión inelástica
despuesantes
PP
rr
∑=∑
1 1antes 2 2antes 1 1después 2 2despuésm v m v m v m v∗ + ∗ = ∗ + ∗
r r r r
Y con respecto a la cantidad de movimiento, se conserva para cualquier
tipo de choque, lo que queda expresado como:
Para determinar las velocidades de las partículas después del
choque inelástico se deben combinar las ecuaciones de cantidad de
movimiento y energía cinética total, sabiendo que sólo se conserva la
energía asociada al centro de masa.
16
Dos deslizadores mA=0,5Kg y mB=0,3Kg se acercan, con velocidades
Sobre un carril de aire sin fricción. Después de chocar B se aleja con
Determinar:
1. La velocidad del deslizador A después del choque
2. La energía cinética total antes del choque
3. La energía cinética total después del choque
4. La energía perdida durante el choque
PROBLEMA
2 /Av m s=
r
î /Bv m s=
r
-2î
Para la solución de este problema haremos uso de los siguientes Conceptos,
Leyes y Principios.
LEYES Y PRINCIPIOS CONCEPTOS
Principio de
conservación de la
cantidad de movimiento
Sistemas de partículas, energía cinética total
Choque
Cantidad de movimiento
/Bdv m s=
r
2î
17
1
ˆ0,4 /despuésv im s= −
r
despuesantes
PP
rr
∑=∑
10,5 2 0,3 ( 2) 0,5 0,3 2∗ + ∗ − = ∗ + ∗
r
despuésv
Información suministrada: Con los datos del enunciado, masas y velocidades, podemos
aplicar directamente el Principio de Conservación de la Cantidad de Movimiento.
1 1 antes 2 2antes 1 1 después 2 2despuésm v m v m v m v∗ + ∗ = ∗ + ∗
r r r r
La única incógnita es la
velocidad de A después del
choque.
1. La velocidad del deslizador A después del choque:SOLUCIÓN
Podemos aplicar directamente la ecuación de energía cinética ya que contamos con toda la
información necesaria (masas y velocidades de cada uno de los deslizadores antes del
choque):
2. La energía cinética total antes del choque:
2 21 1
0,5 (2) 0,3 (2) 1,6
2 2antestotalK J= ∗ + ∗ =
2 2
1 1 2 2
1 1
( ) ( )
2 2
Total antes antesK m v m v= ∗ + ∗
18
2 21 1
0,5 (0,4) 0,3 (2) 0,64
2 2despuéstotalK J= ∗ + ∗ =
Podemos aplicar directamente la ecuación de energía cinética ya que contamos con toda
la información necesaria: masas y velocidades de cada uno de los deslizadores después
del choque:
(1,6 0,64) 0,96
∆ = −
∆ = − =
antes despuéstotal totalK K K
K J
Recordemos que en los choques inelásticos existe pérdida de energía cinética.
2 2
1 1 2 2
1 1
( ) ( )
2 2despuésTotal después despuésK m v m v= ∗ + ∗
3. La energía cinética total después del choque:
4. La energía perdida durante el choque:
Continuación
19
Choque o colisión plástica
Choque plástico (o perfectamente inelástico): es el choque en el que
también se pierde energía cinética, pero se caracteriza porque las
partículas quedan unidas después del choque.
Ejemplo:
•Un jugador de football al atrapar la pelota.
• Un meteorito al chocar con la tierra
•Una bala al chocar con un bloque quedando incrustada sobre él.
d
v

Después del choque
a
v1
 02 =a
v

Antes del choque
m1
20
La energía total antes del choque plástico con respecto a después se puede
expresar de la siguiente manera:
Choque o colisión plástica
Se deduce entonces que en este tipo de choque se pierde toda la energía
cinética relativa, es decir:
0=
quedespuéscho
relativa
K
relativaAsociadaCMTOTAL KKK += esTOTALdespuantesTOTAL KK 〉
Sabiendo que:
y
Asociada CM relativa Asociada CM relativa
antes choque antes choque después choque después choque
K K K K+ 〉 +
0
21
Choque o colisión plástica
despuésdespuésdespués
vvv

== 21
( )1 1antes 2 2antes 1 2 despuésm v m v m m v∗ + ∗ = + ∗
  
Con respecto a las velocidades de las partículas después de un choque
plástico, podemos decir que:
Aplicando el principio de conservación de la cantidad de movimiento:
despuesantes
PP

∑=∑
Es decir que las velocidades de los
carros después del choque se pueden
calcular por la siguiente ecuación:
1 1antes 2 2antes
después
1 2
m v m v
v
m m
∗ + ∗
=
+
 

Y con respecto a la velocidad después del
choque podemos afirmar que es igual a la
velocidad del centro de masa:
despuésCM
vv

=
22
Dos deslizadores mA=0.5Kg y mB=0,3Kg se acercan, con velocidades
Sobre un carril de aire sin fricción.
Sí los deslizadores se quedan pegados después del choque,
Determinar:
1. La velocidad después del choque del sistema de deslizadores A-B
2. La energía cinética total después del choque
3. La energía cinética perdida durante el choque
PROBLEMA
2 /Av m s=

î /Bv m s=

-2î
Para la solución de este problema haremos uso de los siguientes Conceptos,
Leyes y Principios.
LEYES Y PRINCIPIOS CONCEPTOS
Principio de
conservación de la
cantidad de movimiento
Sistemas de partículas, energía cinética total
Choque
Cantidad de movimiento
23
ˆ0,5 /=

despuésv i m s
1. La velocidad después del choque del sistema de deslizadores A-B:
SOLUCIÓN
despuesantes
PP

∑=∑
Información suministrada: el enunciado nos indica que el choque es plástico.
Para determinar la velocidad después del choque podemos aplicar directamente el
Principio de Conservación de la Cantidad de Movimiento.
1 1 2 2 1 2( )
0,5 2 0,3 ( 2) (0,5 0,3)
∗ + ∗ = + ∗
∗ + ∗ − = + ∗
  

antes antes ddeessppuuééss
después
m v m v m m v
v
La única incógnita es la
velocidad de los deslizadores
después del choque.
Esta velocidad corresponde también a la
velocidad del CM (centro de masa) tanto
antes como después del choque.
24
2. La energía cinética total después del choque:
Se aplica directamente la ecuación de energía cinética total para un sistema de
partículas.
2 2
1 1 2 2
1 2
2
1 2
1 1
( ) ( )
2 2
1
( ) ( )
2
= ∗ + ∗
= =
= + ∗
Totaldespués después después
después después después
Totaldespués después
K m v m v
v v v
K m m v Esta energía cinética
corresponde también a la
energía cinética asociada al CM
tanto antes como después del
choque.21
(0,5 0,3) (0,5) 0,1
2
= + ∗ =TotaldespuésK J
Continuación
25
3. La energía cinética perdida durante el choque:
Para determinar la energía cinética perdida, ya tenemos la energía cinética después
del choque, debemos ahora determinar la energía cinética total antes del choque:
2 21 1
0,5 (2) 0,3 (2) 1,6
2 2
= ∗ + ∗ =antesKtotal J
2 2
1 1 2 2
1 1
( ) ( )
2 2
= ∗ + ∗Total antes antesK m v m v
∆ = −antes despuéstotal totalK K K Esta energía cinética fue
determinada en el punto
anterior.
Al comparar este resultado con el obtenido en el problema 2
se observa que se pierde mayor cantidad de energía en el
choque plástico que en el choque inelástico.
1,6 0,1 1,5∆ = − =K J
Continuación
26
Coeficiente de restitución ε
despuésdespuésdespués
vvv

== 21
Este coeficiente mide el grado de elasticidad de un choque. Puesto que la
mayoría de las colisiones son una situación intermedia entre los casos extremos
de choques perfectamente elásticos y choques plásticos, se define el coeficiente
de restitución, ε, como el valor absoluto de la relación entre la velocidad relativa
después del choque y la velocidad relativa antes del choque , es decir:
2despues 1despues
2antes 1antes
v v
v v
− 
ε = −  ÷
− 
 
 
El valor del coeficiente de restitución puede variar entre cero y uno
dependiendo del tipo de choque.
0ε = ⇒
1ε = ⇒
0 1〈 ε 〈 ⇒
Choque plástico o perfectamente inelástico.
Choque inelástico.
Choque perfectamente elástico.
27
Dos deslizadores m1=0.5kg y m2=0,3kg se acercan, con velocidades
Sobre un carril de aire sin fricción. Después de chocar m2 se aleja con
Determinar:
1. El coeficiente de restitución
2. Indicar que tipo de choque experimentaron los deslizadores
PROBLEMA
1 2 /=

v m sî 2 /=

v m s-1î
2 /=

despuesv m s2î
Información suministrada: Con los datos del enunciado, masas y velocidades, podemos
aplicar directamente el Principio de Conservación de la Cantidad de Movimiento para
determinar la velocidad del cuerpo m1 después del choque.
1
ˆ0,2 /=

despuésv im s
despuesantes
PP

∑=∑
10,5 2 0,3 ( 1) 0,5 0,3 2× + × − = × + ×

despuésv
1 1 antes 2 2 antes 1 1 después 2 2 despuésm v m v m v m v× + × = × + ×
   
La única incógnita es la
velocidad de m1 después del
choque.
0,6ε =
Una vez calculada la velocidad de m1 después del choque determinamos el valor del
coeficiente de restitución:
2despues 1despues
2antes 1antes
v v 2 (0,2)
v v ( 1) 2
−   −
ε = − ⇒ ε = − ÷  ÷− − −  
 
 
El valor del coeficiente de restitución, es mayor que cero pero menor que uno. Por lo
tanto podemos afirmar que los deslizadores experimentan un choque inelástico.
28
CHOQUES
29
La ecuación de Impulso es derivada de la 2da Ley de Newton:
IMPULSO
2
1
t
t
I Fdt= ∑∫
r r
De esta forma el Impulso de la fuerza neta que actúa sobre una partícula
durante un intervalo de tiempo ∆t, se puede expresar como:
F∑
r
Sí la cantidad de movimiento cambia de en el tiempo ti a
en tf, lo podemos expresar como:
Pi
r
r
fP
La parte izquierda de la ecuación correspondiente a la variación de la cantidad de
movimiento es el vector llamado Impulso:
I P∑ = ∆
r r
dP
F
dt
∑ =
r
r
dP Fdt= ∑
r r
Teorema del impulso y
la cantidad de
movimiento.
P Fdt∆ = ∑
r r
30
Cuando se trata de una fuerza constante, el Impulso realizado
por esa fuerza es:
Impulso hecho por una Fuerza Constante
Ejemplo 1: La figura muestra un bloque de masa 2kg, sobre el que actúa la fuerza F, mientras el
bloque se desplaza desde la posición A en reposo hasta la posición B en la dirección de x.
Determinar el Impulso sobre el bloque sí la superficie se considera lisa.
Para el cálculo del tiempo es necesario conocer
la aceleración que experimenta el bloque, la cual
puede ser determinada por la 2da Ley de
Newton:
2 .
ˆ8
(0,0) ; (5,0)
=
=
= =
r
r r
m kg
F i N
A B
28
4 /
2
∑
∑ = ∗ ⇒ =
= =
r
r r r
r
F
F m a a
m
a m s
21
2
2 /
2 5/ 4 1,58
∆ = +
= ∆
= ∗ =
r r r
r r
or v t at
t r a
t s
ˆ ˆ8 1,58 12,64 N.s= ×∆ = ∗ =
r r
I F t i i
El cálculo del tiempo:
Y el impulso de F sobre el bloque:
= ∗∆
r r
FI F t
x
m
A B
xm
A B
x
m
A B
xm
A B
x
m
A B
xm
A B
Observamos que la única fuerza que hace impulso es F, puesto que es la única fuerza en la
dirección del movimiento del bloque, y tiene un valor constante. Para determinar el valor del
impulso debemos previamente calcular el tiempo que tarda el bloque en realizar ese
desplazamiento .
31
2
1
.
t
t
I F dt= ∫
r r
Impulso hecho por una Fuerza Variable
Ejemplo 2: La figura muestra un bloque de masa 2kg, sobre el que actúa la fuerza F= 3t2
+2,
mientras el bloque se desplaza desde la posición A hasta la posición B en la dirección de x.
Determinar el Impulso realizado por esta fuerza sí actúa durante 2 segundos.
2
2 .
ˆ(3t +2)
2
=
=
∆ =
r
m kg
F i N
t s
2
2
0
23 3
0
(3t +2)
2 (2 2 2) 12N.s
=
 = + = + ∗ = 
∫
r
r
I dt
I t t
El impulso de F sobre el bloque es:
x
m
A B
xm
A B
x
m
A B
xm
A B
x
m
A B
xm
A B
32
En general, el impulso realizado por una fuerza se obtiene a partir de:
Y al hacer una interpretación gráfica de esta integral es igual al área bajo
la curva F(t) entre límites tinicial y tfinal , entonces el Impulso realizado por la
fuerza es igual al área limitada por la curva y el eje t.
t(s)
Ft (N)
F
I= r
r
AREA
t inicial
tfinal
Impulso hecho por una Fuerza Variable, a partir de la Gráfica F (t)
2
1
.
t
t
I F dt= ∫
r r
33
( )F t
r
( )t s
1
31,25 .
=Area
N s
2 10 .= −Area N s
3
25 .
=Area
N s
Problema 3. La figura muestra un bloque de masa 2kg, que se desplaza por una
superficie lisa en la dirección de x mientras sobre él está actuando una fuerza F como se
representa en el gráfico F(t). Para la situación planteada determinar el Impulso realizado
por la fuerza F durante el intervalo de 0-5s.
1 2 3
46,25 N.s
=
= + +
=
r
r
r
F
F
F
I Área entre la curva y el eje t
I A A A
I
34
El cambio en la cantidad de movimiento de una partícula es igual al impulso de la
fuerza neta que actúa sobre la partícula.
Teorema de Impulso y Cantidad de movimiento
( )
( )
= ∆
= −
= −
∑
∑
∑
r r
r r r
r r r
final inicial
final inicial
I P
I P P
I m v v
Ejemplo 4: Un cohete de masa M=10000kg, inicialmente en reposo se dispara desde una plataforma
lanzamiento.
Los motores del cohete desarrollan una fuerza variable .
PARA LA SITUACIÓN PLANTEADA, DETERMINAR:
1.La velocidad del trasbordador a los 6 segundos de su lanzamiento es:
Hacemos uso del teorema de Impulso y cantidad de movimiento para
determinar la velocidad del cohete a los 6s. Por lo tanto previamente
tenemos que calcular el impulso neto realizado sobre el cohete:
Realizamos un diagrama de cuerpo libre del cohete para determinar
que fuerzas externas actúan sobre él. Y procedemos a calcular el
impulso realizado por estas fuerzas sobre el cohete.
35
ˆ(10000 9,8 ) 6
ˆ588000 N.s
= ×∆ = ∗− ∗
= −
r r
r
Mg
Mg
I Mg t j
I j
Para el peso:
Para la fuerza F1:
6 6
1 1
0 0
62
1 10
. (60000 220000).
ˆ30000 220000 2400000 N.s.
= = +
= + ⇒ =
∫ ∫
r r
r r
F
F F
I F dt t dt
I t t I j
El Impulso neto es:
0 6
0 6
10 6
2400000 588000
ˆ1812000 N.s.
−
−
−
= + ⇒ = −
=
∑ ∑
∑
r r r r
r
s
s
F Mgs
I I I I
I j
Y aplicando el teorema de impulso y cantidad de movimiento, obtenemos que la velocidad del cohete a los
6s es:
0 6
6 0 60 6
6 6
ˆ( ) 1812000 10000 ( 0)
1812000 ˆ181,2 m/s
10000
−−
= ∆ ⇒ = ∗ − ⇒ = ∗ −
= ⇒ =
∑ ∑
r r r r r r
r r
ss
I P I m v v j v
v v j
Continuación
36
Ahora revisemos el problema resuelto
y resolvamos los problemas
propuestos usando los
procedimientos sugeridos en el
material Acerca de las Habilidades
Cognitivas
Ahora revisemos el problema resuelto
y resolvamos los problemas
propuestos usando los
procedimientos sugeridos en el
material Acerca de las Habilidades
Cognitivas

Teoría choques e impulso

  • 1.
    1 CHOQUES E IMPULSO Material diseñadoy elaborado por Prof. Irma Sanabria para el curso de Física I de la UNET. Marzo, 2010
  • 2.
  • 3.
    3 Del análisis dechoques se puede afirmar que durante la interacción las fuerzas internas que ocurren entre las partículas son más grandes que las fuerzas externas. Es decir, podemos afirmar que las fuerzas externas son despreciables. Definición de CHOQUE Ó COLISIÓN Choque: es el evento en el cual interactúan dos partículas mediante fuerzas. Sí las fuerzas externas son despreciables, de acuerdo a lo visto en sistemas de partículas, la cantidad de movimiento se conserva: 0≅∑ ext F  antes despuésP P∑ = ∑   1 1antes 2 2antes 1 1después 2 2despuésm v m v m v m v∗ + ∗ = ∗ + ∗    
  • 4.
    4 En este tipode choque se conserva la energía cinética total, es decir, la energía cinética total antes del choque es igual a la energía cinética total después del choque. Choque o colisión elástica Ejemplo: * Este tipo de choque se da usualmente en el nivel atómico o microscópico. * En el nivel macroscópico los choques siempre pierden algo de energía, sin embargo se puede hacer una aproximación a choque elástico. Por ejemplo el que se produce entre las bolas de billar: la energía cinética que se pierde durante el choque es muy pequeña, así como la deformación entre las bolas que son prácticamente imperceptibles al ojo humano. m1 a v1  m2 a v2  Antes del choque Después del choque m1 d v1  m2 d v2 
  • 5.
    5 Choque o colisiónelástica esTOTALdespuantesTOTAL KK = 2 2 2 2 1 1antes 2 2antes 1 1después 2 2después 1 1 1 1 m (v ) m (v ) m (v ) m (v ) 2 2 2 2 ∗ + ∗ = ∗ + ∗ despuesantes PP  ∑=∑ 1 1 antes 2 2antes 1 1después 2 2despuésm v m v m v m v∗ + ∗ = ∗ + ∗     Con respecto a la energía cinética total, en este tipo de choque se puede afirmar que: Y el principio de conservación de cantidad de movimiento para choques es:
  • 6.
    6 Choque o colisiónelástica Al combinar las ecuaciones de energía cinética total y el principio de conservación de la cantidad de movimiento, y despejando las velocidades de las partículas después de un choque elástico, las ecuaciones quedan expresadas de la siguiente manera: antesantesdespués v mm m v mm mm v 2 21 2 1 21 21 1 2        + +      + − = antesantesdespués v mm mm v mm m v 2 21 12 1 21 1 2 2        + − +      + =
  • 7.
    7 Dos cuerpos demasas m1=6kg y m2=6kg se mueven en la misma dirección, uno al encuentro del otro, con velocidades Sí entre los cuerpos se produce un choque elástico, determinar: 1. La velocidad de los cuerpos inmediatamente después del choque 2. La velocidad del centro de masa antes y después del choque 3. La energía cinética relativa al centro de masa antes y después del choque. PROBLEMA 1 5 /=  v m s yî 2 /v m s=  -3î Para la solución de este problema haremos uso de los siguientes Conceptos, Leyes y Principios. LEYES Y PRINCIPIOS CONCEPTOS Principio de conservación de la cantidad de movimiento Principio de conservación de la energía Sistemas de partículas Choque Cantidad de movimiento Centro de masa Para sistemas de partículas: energía cinética total, energía cinética asociada al centro de masa, energía cinética relativa al centro de masa
  • 8.
    8 Información suministrada: delenunciado del problema podemos dibujar un esquema de la situación planteada, indicando los datos que nos dan. Para este tipos de problemas son la masa y la velocidad de cada una de las partículas. Aplicamos directamente las ecuaciones de velocidades después del choque para choque elástico de la siguiente manera: 1. La velocidad de los cuerpos inmediatamente después del choque: SOLUCIÓN
  • 9.
    9 antesantesdespués v mm m v mm mm v 2 21 2 1 21 21 1 2        + +      + − = Param1: antesantesdespués v mm mm v mm m v 2 21 12 1 21 1 2 2        + − +      + = Para m2: 1 6 6 2 6 5î ( 3)î 6 6 6 6 − ∗    = ∗ + ∗ − ÷  ÷ + +     despuésv 1 ˆ3 /= −  despuésv im s 2 2 6 6 6 5î ( 3î) 6 6 6 6 ∗ −    = ∗ + ∗ − ÷  ÷ + +     despuésv 2 ˆ5 /=  despuésv im s Continuación
  • 10.
    10 ( )i ii CM i i p m v v m m ∑ ∑ ∗ = = ∑ ∑ r r r Para hallar la velocidad del centro de masa debemos recordar las ecuaciones de centro de masa para sistemas de partículas: 6 5î 6 ( 3î) 6 6 CMv ∗ + ∗ − = + r 1îm/sCMv = r Recordando que la cantidad de movimiento se conserva antes con respecto a la cantidad de movimiento después del choque, entonces podemos afirmar también que la velocidad del centro de masa se mantiene constante: 1îm/sCMantes CMdespuésv v= = r r 2. La velocidad del centro de masa antes y después del choque:Continuación
  • 11.
    11 Podemos determinar laenergía cinética total antes puesto que conocemos las masas de las partículas y las velocidades antes del choque: Una de las formas para determinar la energía cinética relativa al CM es a partir de la energía cinética total de un sistema de partícula, la cual viene dada por la expresión: : total asocCM relCM relCM total asocCM K K K despejando la energía cinética relativa al CM K K K = + = − 3. La energía cinética relativa al centro de masa antes y después del choque : 2 2 2 2 1 1 2 2 1 1 1 1 ( ) ( ) 6 (5) 6 (3) 2 2 2 2 102 antes antes antes antes Ktotal m v m v Ktotal J = ∗ + ∗ = ∗ + ∗ = Continuación
  • 12.
    12 96relCMK J= La velocidaddel CM ya fue determinada en la pregunta anterior. Y Con respecto a la energía cinética asociada al centro de masa, viene dada por la ecuación: En un choque elástico la energía total se conserva y sí la energía asociada al CM también se conserva, entonces podemos afirmar que la energía cinética relativa es la misma antes y después del choque elástico. 2 21 1 ( ) (6 6) 1 2 2 6 asocCM i CM asocCM K m v K J = ∑ ∗ = + ∗ = Una vez calculadas la Ktotal y KAsocCM, podemos determinar la KrelCM: 102 6relCM total asocCMK K K= − = − Continuación
  • 13.
    13 En este tipode choque no se conserva la energía cinética total, es decir, parte de la energía cinética se pierde durante choque. Choque o colisión inelástica Ejemplo: * El caso de una pelota de hule que choca contra al piso, puesto que parte de la energía cinética se pierde al deformarse la pelota mientras está en contacto con la superficie. m1 a v1 r Antes del choque m1 Después del choque d v2 r
  • 14.
    14 Con respecto ala energía cinética total, la podemos expresar como: Choque o colisión inelástica esTOTALdespuantesTOTAL KK 〉 Sí recordamos que para un sistema de partículas, la energía cinética total del sistema, KT, es: relativaAsociadaCMTOTAL KKK += En este tipo de choque la Energía cinética asociada al centro de masa se conserva (se mantiene constante), debido a que durante el choque las fuerzas externas son despreciables, por lo tanto la velocidad del centro de masa antes y después del choque no cambia. Entonces podemos afirmar que se pierde sólo parte de la energía cinética relativa, quedando la ecuación: quedespuéscho AsociadaCM eanteschoqu AsociadaCM KK = quedespuéscho relativa eanteschoqu relativa KK 〉 Es decir que la energía cinética total para choque inelástico se puede expresar de la siguiente manera: quedespuéscho relativa quedespuéscho AsociadaCM eanteschoqu relativa eanteschoqu AsociadaCM KKKK +〉+
  • 15.
    15 Choque o colisióninelástica despuesantes PP rr ∑=∑ 1 1antes 2 2antes 1 1después 2 2despuésm v m v m v m v∗ + ∗ = ∗ + ∗ r r r r Y con respecto a la cantidad de movimiento, se conserva para cualquier tipo de choque, lo que queda expresado como: Para determinar las velocidades de las partículas después del choque inelástico se deben combinar las ecuaciones de cantidad de movimiento y energía cinética total, sabiendo que sólo se conserva la energía asociada al centro de masa.
  • 16.
    16 Dos deslizadores mA=0,5Kgy mB=0,3Kg se acercan, con velocidades Sobre un carril de aire sin fricción. Después de chocar B se aleja con Determinar: 1. La velocidad del deslizador A después del choque 2. La energía cinética total antes del choque 3. La energía cinética total después del choque 4. La energía perdida durante el choque PROBLEMA 2 /Av m s= r î /Bv m s= r -2î Para la solución de este problema haremos uso de los siguientes Conceptos, Leyes y Principios. LEYES Y PRINCIPIOS CONCEPTOS Principio de conservación de la cantidad de movimiento Sistemas de partículas, energía cinética total Choque Cantidad de movimiento /Bdv m s= r 2î
  • 17.
    17 1 ˆ0,4 /despuésv ims= − r despuesantes PP rr ∑=∑ 10,5 2 0,3 ( 2) 0,5 0,3 2∗ + ∗ − = ∗ + ∗ r despuésv Información suministrada: Con los datos del enunciado, masas y velocidades, podemos aplicar directamente el Principio de Conservación de la Cantidad de Movimiento. 1 1 antes 2 2antes 1 1 después 2 2despuésm v m v m v m v∗ + ∗ = ∗ + ∗ r r r r La única incógnita es la velocidad de A después del choque. 1. La velocidad del deslizador A después del choque:SOLUCIÓN Podemos aplicar directamente la ecuación de energía cinética ya que contamos con toda la información necesaria (masas y velocidades de cada uno de los deslizadores antes del choque): 2. La energía cinética total antes del choque: 2 21 1 0,5 (2) 0,3 (2) 1,6 2 2antestotalK J= ∗ + ∗ = 2 2 1 1 2 2 1 1 ( ) ( ) 2 2 Total antes antesK m v m v= ∗ + ∗
  • 18.
    18 2 21 1 0,5(0,4) 0,3 (2) 0,64 2 2despuéstotalK J= ∗ + ∗ = Podemos aplicar directamente la ecuación de energía cinética ya que contamos con toda la información necesaria: masas y velocidades de cada uno de los deslizadores después del choque: (1,6 0,64) 0,96 ∆ = − ∆ = − = antes despuéstotal totalK K K K J Recordemos que en los choques inelásticos existe pérdida de energía cinética. 2 2 1 1 2 2 1 1 ( ) ( ) 2 2despuésTotal después despuésK m v m v= ∗ + ∗ 3. La energía cinética total después del choque: 4. La energía perdida durante el choque: Continuación
  • 19.
    19 Choque o colisiónplástica Choque plástico (o perfectamente inelástico): es el choque en el que también se pierde energía cinética, pero se caracteriza porque las partículas quedan unidas después del choque. Ejemplo: •Un jugador de football al atrapar la pelota. • Un meteorito al chocar con la tierra •Una bala al chocar con un bloque quedando incrustada sobre él. d v  Después del choque a v1  02 =a v  Antes del choque m1
  • 20.
    20 La energía totalantes del choque plástico con respecto a después se puede expresar de la siguiente manera: Choque o colisión plástica Se deduce entonces que en este tipo de choque se pierde toda la energía cinética relativa, es decir: 0= quedespuéscho relativa K relativaAsociadaCMTOTAL KKK += esTOTALdespuantesTOTAL KK 〉 Sabiendo que: y Asociada CM relativa Asociada CM relativa antes choque antes choque después choque después choque K K K K+ 〉 + 0
  • 21.
    21 Choque o colisiónplástica despuésdespuésdespués vvv  == 21 ( )1 1antes 2 2antes 1 2 despuésm v m v m m v∗ + ∗ = + ∗    Con respecto a las velocidades de las partículas después de un choque plástico, podemos decir que: Aplicando el principio de conservación de la cantidad de movimiento: despuesantes PP  ∑=∑ Es decir que las velocidades de los carros después del choque se pueden calcular por la siguiente ecuación: 1 1antes 2 2antes después 1 2 m v m v v m m ∗ + ∗ = +    Y con respecto a la velocidad después del choque podemos afirmar que es igual a la velocidad del centro de masa: despuésCM vv  =
  • 22.
    22 Dos deslizadores mA=0.5Kgy mB=0,3Kg se acercan, con velocidades Sobre un carril de aire sin fricción. Sí los deslizadores se quedan pegados después del choque, Determinar: 1. La velocidad después del choque del sistema de deslizadores A-B 2. La energía cinética total después del choque 3. La energía cinética perdida durante el choque PROBLEMA 2 /Av m s=  î /Bv m s=  -2î Para la solución de este problema haremos uso de los siguientes Conceptos, Leyes y Principios. LEYES Y PRINCIPIOS CONCEPTOS Principio de conservación de la cantidad de movimiento Sistemas de partículas, energía cinética total Choque Cantidad de movimiento
  • 23.
    23 ˆ0,5 /=  despuésv im s 1. La velocidad después del choque del sistema de deslizadores A-B: SOLUCIÓN despuesantes PP  ∑=∑ Información suministrada: el enunciado nos indica que el choque es plástico. Para determinar la velocidad después del choque podemos aplicar directamente el Principio de Conservación de la Cantidad de Movimiento. 1 1 2 2 1 2( ) 0,5 2 0,3 ( 2) (0,5 0,3) ∗ + ∗ = + ∗ ∗ + ∗ − = + ∗     antes antes ddeessppuuééss después m v m v m m v v La única incógnita es la velocidad de los deslizadores después del choque. Esta velocidad corresponde también a la velocidad del CM (centro de masa) tanto antes como después del choque.
  • 24.
    24 2. La energíacinética total después del choque: Se aplica directamente la ecuación de energía cinética total para un sistema de partículas. 2 2 1 1 2 2 1 2 2 1 2 1 1 ( ) ( ) 2 2 1 ( ) ( ) 2 = ∗ + ∗ = = = + ∗ Totaldespués después después después después después Totaldespués después K m v m v v v v K m m v Esta energía cinética corresponde también a la energía cinética asociada al CM tanto antes como después del choque.21 (0,5 0,3) (0,5) 0,1 2 = + ∗ =TotaldespuésK J Continuación
  • 25.
    25 3. La energíacinética perdida durante el choque: Para determinar la energía cinética perdida, ya tenemos la energía cinética después del choque, debemos ahora determinar la energía cinética total antes del choque: 2 21 1 0,5 (2) 0,3 (2) 1,6 2 2 = ∗ + ∗ =antesKtotal J 2 2 1 1 2 2 1 1 ( ) ( ) 2 2 = ∗ + ∗Total antes antesK m v m v ∆ = −antes despuéstotal totalK K K Esta energía cinética fue determinada en el punto anterior. Al comparar este resultado con el obtenido en el problema 2 se observa que se pierde mayor cantidad de energía en el choque plástico que en el choque inelástico. 1,6 0,1 1,5∆ = − =K J Continuación
  • 26.
    26 Coeficiente de restituciónε despuésdespuésdespués vvv  == 21 Este coeficiente mide el grado de elasticidad de un choque. Puesto que la mayoría de las colisiones son una situación intermedia entre los casos extremos de choques perfectamente elásticos y choques plásticos, se define el coeficiente de restitución, ε, como el valor absoluto de la relación entre la velocidad relativa después del choque y la velocidad relativa antes del choque , es decir: 2despues 1despues 2antes 1antes v v v v −  ε = −  ÷ −      El valor del coeficiente de restitución puede variar entre cero y uno dependiendo del tipo de choque. 0ε = ⇒ 1ε = ⇒ 0 1〈 ε 〈 ⇒ Choque plástico o perfectamente inelástico. Choque inelástico. Choque perfectamente elástico.
  • 27.
    27 Dos deslizadores m1=0.5kgy m2=0,3kg se acercan, con velocidades Sobre un carril de aire sin fricción. Después de chocar m2 se aleja con Determinar: 1. El coeficiente de restitución 2. Indicar que tipo de choque experimentaron los deslizadores PROBLEMA 1 2 /=  v m sî 2 /=  v m s-1î 2 /=  despuesv m s2î Información suministrada: Con los datos del enunciado, masas y velocidades, podemos aplicar directamente el Principio de Conservación de la Cantidad de Movimiento para determinar la velocidad del cuerpo m1 después del choque. 1 ˆ0,2 /=  despuésv im s despuesantes PP  ∑=∑ 10,5 2 0,3 ( 1) 0,5 0,3 2× + × − = × + ×  despuésv 1 1 antes 2 2 antes 1 1 después 2 2 despuésm v m v m v m v× + × = × + ×     La única incógnita es la velocidad de m1 después del choque. 0,6ε = Una vez calculada la velocidad de m1 después del choque determinamos el valor del coeficiente de restitución: 2despues 1despues 2antes 1antes v v 2 (0,2) v v ( 1) 2 −   − ε = − ⇒ ε = − ÷  ÷− − −       El valor del coeficiente de restitución, es mayor que cero pero menor que uno. Por lo tanto podemos afirmar que los deslizadores experimentan un choque inelástico.
  • 28.
  • 29.
    29 La ecuación deImpulso es derivada de la 2da Ley de Newton: IMPULSO 2 1 t t I Fdt= ∑∫ r r De esta forma el Impulso de la fuerza neta que actúa sobre una partícula durante un intervalo de tiempo ∆t, se puede expresar como: F∑ r Sí la cantidad de movimiento cambia de en el tiempo ti a en tf, lo podemos expresar como: Pi r r fP La parte izquierda de la ecuación correspondiente a la variación de la cantidad de movimiento es el vector llamado Impulso: I P∑ = ∆ r r dP F dt ∑ = r r dP Fdt= ∑ r r Teorema del impulso y la cantidad de movimiento. P Fdt∆ = ∑ r r
  • 30.
    30 Cuando se tratade una fuerza constante, el Impulso realizado por esa fuerza es: Impulso hecho por una Fuerza Constante Ejemplo 1: La figura muestra un bloque de masa 2kg, sobre el que actúa la fuerza F, mientras el bloque se desplaza desde la posición A en reposo hasta la posición B en la dirección de x. Determinar el Impulso sobre el bloque sí la superficie se considera lisa. Para el cálculo del tiempo es necesario conocer la aceleración que experimenta el bloque, la cual puede ser determinada por la 2da Ley de Newton: 2 . ˆ8 (0,0) ; (5,0) = = = = r r r m kg F i N A B 28 4 / 2 ∑ ∑ = ∗ ⇒ = = = r r r r r F F m a a m a m s 21 2 2 / 2 5/ 4 1,58 ∆ = + = ∆ = ∗ = r r r r r or v t at t r a t s ˆ ˆ8 1,58 12,64 N.s= ×∆ = ∗ = r r I F t i i El cálculo del tiempo: Y el impulso de F sobre el bloque: = ∗∆ r r FI F t x m A B xm A B x m A B xm A B x m A B xm A B Observamos que la única fuerza que hace impulso es F, puesto que es la única fuerza en la dirección del movimiento del bloque, y tiene un valor constante. Para determinar el valor del impulso debemos previamente calcular el tiempo que tarda el bloque en realizar ese desplazamiento .
  • 31.
    31 2 1 . t t I F dt=∫ r r Impulso hecho por una Fuerza Variable Ejemplo 2: La figura muestra un bloque de masa 2kg, sobre el que actúa la fuerza F= 3t2 +2, mientras el bloque se desplaza desde la posición A hasta la posición B en la dirección de x. Determinar el Impulso realizado por esta fuerza sí actúa durante 2 segundos. 2 2 . ˆ(3t +2) 2 = = ∆ = r m kg F i N t s 2 2 0 23 3 0 (3t +2) 2 (2 2 2) 12N.s =  = + = + ∗ =  ∫ r r I dt I t t El impulso de F sobre el bloque es: x m A B xm A B x m A B xm A B x m A B xm A B
  • 32.
    32 En general, elimpulso realizado por una fuerza se obtiene a partir de: Y al hacer una interpretación gráfica de esta integral es igual al área bajo la curva F(t) entre límites tinicial y tfinal , entonces el Impulso realizado por la fuerza es igual al área limitada por la curva y el eje t. t(s) Ft (N) F I= r r AREA t inicial tfinal Impulso hecho por una Fuerza Variable, a partir de la Gráfica F (t) 2 1 . t t I F dt= ∫ r r
  • 33.
    33 ( )F t r ()t s 1 31,25 . =Area N s 2 10 .= −Area N s 3 25 . =Area N s Problema 3. La figura muestra un bloque de masa 2kg, que se desplaza por una superficie lisa en la dirección de x mientras sobre él está actuando una fuerza F como se representa en el gráfico F(t). Para la situación planteada determinar el Impulso realizado por la fuerza F durante el intervalo de 0-5s. 1 2 3 46,25 N.s = = + + = r r r F F F I Área entre la curva y el eje t I A A A I
  • 34.
    34 El cambio enla cantidad de movimiento de una partícula es igual al impulso de la fuerza neta que actúa sobre la partícula. Teorema de Impulso y Cantidad de movimiento ( ) ( ) = ∆ = − = − ∑ ∑ ∑ r r r r r r r r final inicial final inicial I P I P P I m v v Ejemplo 4: Un cohete de masa M=10000kg, inicialmente en reposo se dispara desde una plataforma lanzamiento. Los motores del cohete desarrollan una fuerza variable . PARA LA SITUACIÓN PLANTEADA, DETERMINAR: 1.La velocidad del trasbordador a los 6 segundos de su lanzamiento es: Hacemos uso del teorema de Impulso y cantidad de movimiento para determinar la velocidad del cohete a los 6s. Por lo tanto previamente tenemos que calcular el impulso neto realizado sobre el cohete: Realizamos un diagrama de cuerpo libre del cohete para determinar que fuerzas externas actúan sobre él. Y procedemos a calcular el impulso realizado por estas fuerzas sobre el cohete.
  • 35.
    35 ˆ(10000 9,8 )6 ˆ588000 N.s = ×∆ = ∗− ∗ = − r r r Mg Mg I Mg t j I j Para el peso: Para la fuerza F1: 6 6 1 1 0 0 62 1 10 . (60000 220000). ˆ30000 220000 2400000 N.s. = = + = + ⇒ = ∫ ∫ r r r r F F F I F dt t dt I t t I j El Impulso neto es: 0 6 0 6 10 6 2400000 588000 ˆ1812000 N.s. − − − = + ⇒ = − = ∑ ∑ ∑ r r r r r s s F Mgs I I I I I j Y aplicando el teorema de impulso y cantidad de movimiento, obtenemos que la velocidad del cohete a los 6s es: 0 6 6 0 60 6 6 6 ˆ( ) 1812000 10000 ( 0) 1812000 ˆ181,2 m/s 10000 −− = ∆ ⇒ = ∗ − ⇒ = ∗ − = ⇒ = ∑ ∑ r r r r r r r r ss I P I m v v j v v v j Continuación
  • 36.
    36 Ahora revisemos elproblema resuelto y resolvamos los problemas propuestos usando los procedimientos sugeridos en el material Acerca de las Habilidades Cognitivas Ahora revisemos el problema resuelto y resolvamos los problemas propuestos usando los procedimientos sugeridos en el material Acerca de las Habilidades Cognitivas