UNIDAD IV
               TEMPORIZADOR TMR0 E INTERRUPCIONES


Objetivo general
      Conocer los temporizadores y las interrupciones básicas presentes en el
       microcontrolador PIC16F84.

Objetivos específicos
   Estudiar los registros asociados al Timer 0.
   Estudiar el funcionamiento del Timer 0.
   Realizar cálculos para temporizaciones con el Timer 0.
   Realizar programas para el uso del Timer 0.
   Conocer el funcionamiento de las Interrupciones
   Conocer las causas de una interrupción.
   Realizar programas para el uso de las interrupciones.
   Estudiar las estructuras de los programas con interrupciones.

Contenido
4.1. Conociendo los registros asociados al Timer 0 (TMR0).
4.2. Temporizador/Contador Timer 0 (TMR0).
   4.2.1.    ¿Qué es el prescaler?
4.3. Diagrama de bloque del Timer 0.
4.4. ¿Cómo cuenta el Timer 0?
4.5. Cálculos con el Timer 0.
4.5.1. ¿Otra forma de hacer los cálculos?
4.6. Uso de registro auxiliar.
4.7. De los cálculos a la programación.
4.8. Las Interrupciones.
4.9. Diagrama de flujo de una interrupción
4.10. Causas de interrupción en el PIC16F84
4.11. Registro INTCON.
4.12. Salvando y restaurando el entorno durante una interrupción.
4.13. Estructura de un programa con interrupción.
4.14. ¿Cuándo utilizar una interrupción?
4.15. Resumen de la Unidad IV.
4.16. Autoevaluación.
4.17. Ejercicios propuestos.
4.18. Lecturas complementarias recomendadas.
4.1. Registros asociados al Temporizador/Contador Timer 0 (TMR0)

       En la unidad III, realizamos rutinas de retardo sin el uso del Timer 0, al
hacer “perder” tiempo al microcontrolador ejecutando lazos de dos o más
registros que se decrementaban generando un retardo deseado, previamiente
calculado.
       En esta unidad, estudiaremos un módulo temporizador/contador
dedicado a tal uso (El Timer 0), que nos permitirá generar retardos en base a
cálculos que serán explicados más adelante. Sin embargo, la ventaja principal
de los temporizadores, radica en que se pueden programar, en conjunto con
las interrupciones, para que efectúen procesos y/o tareas, cada cierto tiempo
de manera automática, mientras el microcontrolador se encuentra realizando
otras actividades. Por ejemplo, mientras monitoreamos el valor de un bit de
entrada, podemos programarlo para que cada 50 milisegundos (ms), el
microcontrolador entre en una subrutina a realizar otra actividad y regrese a
seguir monitoreando dicho pin de entrada.
       Antes de empezar con la definición del temporizador/contador Timer 0,
veamos los registros asociados a su funcionamiento y operación en la siguiente
tabla:




       De allí observamos los siguientes registros:
   •   TMR0: Registro de 8 bits de lectura/escritura
   •   OPTION_REG: Configura al TMR0 para que trabaje como temporizador
       ó contador y asigna el valor al prescaler
   •   INTCON: Da información mediante el bit “TOIF” cuando el TMR0 se ha
       desbordado.
   •   TRISA (PUERTO A): Permite el ingreso de pulsos cuando el TMR0 está
       configurado como contador por RA4.

       Analicemos el funcionamiento del registro OPTION_REG: este registro
es el equivalente a los TRIS de los puertos, nos permite configurarlo para que
el Timer 0 sepa cómo debe “comportarse” y/o funcionar.
       Entre sus atributos, observamos que permite la selección del modo de
trabajo del Timer 0, elige el valor de la división de la frecuencia que ingresa al
microcontrolador, entre otras:
Registro OPTION_REG (Dirección 81H)

    7 (L/E)       6 (L/E)       5 (L/E)   4 (L/E)   3 (L/E)   2 (L/E)   1 (L/E)   0 (L/E)
    RBPU          INTEDG        TOCS      TOSE      PSA       PS2       PS1       PS0

   bit 7, RPBU : Resistencia Pull-up del Puerto B.
    1: Desactivadas
    0: Activadas
   bit 6, INTEDG: Flanco activo para el control de interrupciones
    1: Con flanco Ascendente
    0: Con flanco Descendente
   bit 5, TOCS: Fuente de Reloj para TMR0
    1: Pulsos introducidos a través de RA4/T0CK1 (Contador)
    0: Pulsos de reloj interno Fosc/4 (Temporizador)
   bit 4, TOSE: Tipo de flanco en TOCK1
    1: Incremento de TMR0 cada flanco descendente
    0: Incremento de TMR0 cada flanco ascendente
   bit 3, PSA: Bit de asignación del prescaler divisor de frecuencia
    1: El divisor de frecuencia se asigna al WDT
    0: El divisor de frecuencia se asigna al TMR0
   bit 2-0, PS2:PSO: Rango con el que actúa el divisor de frecuencia.

         Valor del los Bits             Factor de división      Factor de
                                        del TMR0                división del WDT
         000                            1:2                     1:1
         001                            1:4                     1:2
         010                            1:8                     1:4
         011                            1:16                    1:8
         100                            1:32                    1:16
         101                            1:64                    1:32
         110                            1:128                   1:64
         111                            1:256                   1:128


Ejemplo de configuración del registro OPTION_REG.
1. Configure al PIC16F84 para que el temporizador TMR0, trabaje con los
   pulsos provenientes de un reloj externo, y el mismo cambie en el flanco de
   subida o ascendente del pulso externo:

    Respuesta. En base al registro OPTION_REG, debemos cargar los
    siguientes valores:

              x             x       1        0        0        x        x         x

        Estos valores a cargar en el registro OPTION_REG cumplen con lo
solicitado en el enunciado del problema o diseño, sobre las “x”, puede
colocarse cualquier valor, ya que no se han realizado especificaciones sobre
estas, sin embargo, es importante saber o conocer cuál será el factor de
división de la señal que ingresará al Timer 0.
2. Configure al PIC16F84 para que el TMR0, trabaje con el reloj interno y la
    frecuencia del mismo sea dividida por 32:

   Respuesta. En base al registro OPTION_REG, debemos cargar los
   siguientes valores:

          x       x       0       x       0        1       0       0

Estos valores a cargar en el registro OPTION_REG cumplen con lo solicitado
en el enunciado del problema o diseño, sobre las “x”, puede colocarse
cualquier valor, ya que no se han realizado especificaciones sobre estas.

3. Configure al PIC16F84 para que el TMR0, trabaje con el reloj interno y la
   frecuencia del mismo sea dividida por 16. Active las resistencias “Pull-Up”
   del puerto B y configure que el flanco de activación de interrupción del pin
   INTEDG del RBO sea por bajada o descendente:

   Respuesta. En base al registro OPTION_REG, debemos cargar los
   siguientes valores:

          1       0       0       0       0        0       1       1

        Estos valores a cargar en el registro OPTION_REG cumplen con lo
solicitado en el enunciado del problema o diseño, Sobre las resistencias “Pull-
up” del puerto B, son resistencias que internamente se conectan a VDD cuando
el puerto B trabaja como entrada de datos y que nos permiten ahorrar el
conexionado de resistencias adicionales a nuestro circuito, y sobre el tipo de
flanco seleccionado de activación del pin INTEDG del RB0, se refiere a la
manera en cómo se detectará la interrupción en este pin por cambio del nivel
de voltaje presente en su entrada. Esta interrupción RB0/INT, se estudiará en
el tema de interrupciones.

¿Cómo cargo los valores seleccionados al registro OPTION_REG?
Respuesta: Como cualquier otro registro con los que hemos trabajado:
En el primer ejemplo:
       movlw        b’xx100xxx’ ;recordando que x puede ser 0 ó 1.
       movwf        OPTION_REG
En el segundo ejemplo:
       movlw        b’xx0x0100’ ;recordando que x puede ser 0 ó 1.
       movwf        OPTION_REG
En el tercer ejemplo:
       movlw        b’10000011’
       movwf        OPTION_REG

      De esta manera, el registro OPTION_REG se ha configurado para que el
Timer 0 trabaje con el enunciado o diseño que estemos realizando. En otras
palabras el registro OPTION_REG es la mano derecha del Timer 0.
4.2.   Temporizador/Contador Timer 0 (TMR0).

       Es el registro asociado al Timer0. Se encuentra en la posición 01H de la
memoria RAM. Es el corazón del módulo Timer0. Puede ser leído o escrito en
cualquier momento. El TMR0 se incrementará automáticamente por cada ciclo
de instrucción y contará desde 0 (00H) hasta 255 (FFH) (Contador de 8 bits).
       Para que opere como temporizador, el bit TOCS (del registro
OPTION_REG) debe ser cero (0), el bit PSA= 0 y deben ser cargados los bits
PS2 a PS0, según sea el preescaler a utilizar para lograr nuestra
temporización.
       Para que opere como contador, se usa una entrada de reloj externo en
el TMR0 y se deben de cumplir ciertos requisitos para que el reloj externo
pueda ser sincronizado con el reloj interno (TOSC). Además existe un retardo
en el incremento real del TMR0, después de la sincronización. El bit TOCS= 1.
Se debe seleccionar el tipo de flanco que producirá el incremento del TMR0
(TOSE = 1 ó 0).

4.2.1. ¿Qué es el prescaler o Predivisor?
       El prescaler o predivisor, divide la frecuencia de reloj de entrada del
Timer0, entre valores predefinidos, como se ve en la tabla asociada al registro
OPTION_REG, 1:32, 1: 64, 1:256, etc., genera una nueva señal de menor
frecuencia a la salida, que será la señal de reloj de entrada al registro TMR0.
       El prescaler o predivisor “Ralentiza” señales de entrada demasiado
rápidas para nuestros propósitos.
       También existe un postescaler, asociado al perro guardián WDT (Watch
Dog Timer) del microcontrolador, pero en este caso recibe el nombre de
postcaler ya que se usa a la salida del WDT, no pudiendo estar asignado a la
vez al Timer0 o al WDT. El preescaler es transparente para el programador, no
se puede leer ni escribir sobre él, pero se puede seleccionar por software,
como ya se ha dicho, mediante el registro OPTION_REG
Nota: Para evitar un RESET no deseado del sistema, es necesario ejecutar
una secuencia de instrucciones específicas cuando se cambia la asignación del
prescaler del TMR0 al WDT. Esta secuencia debe ser seguida, aún cuando el
WDT esté inactivo.

4.3.   Diagrama de bloque del Timer 0
       En la siguiente figura, podemos observar el diagrama de bloque del
Timer 0. En esta se distingue si la señal que ingresa al TMR0 proviene de una
fuente externa o interna (TOCS), si la señal es predividida (PS2:PS0) y si ha
sido asignada al Perro Guardián (WDT) o al TMR0, y mediante el bit TOIF
indica si el timer 0 se ha desbordado (al pasar de FFH a 00H).
4.4.   ¿Cómo cuenta el TMR0?
       El TMR0 cuenta exclusivamente de forma ascendente, nunca lo hace de
manera descendente, y siempre se incrementa por cada ciclo de instrucción, no
se detiene.
                                         00H
                                         FFH
                  Y reinicia su
                     cuenta

                                         00H

       Si el TMR0 se carga con un valor, éste comenzará a contar desde el
valor cargado hasta que se desborda (cuando pasa a 00H)

                                         (28-N10)
                             00H
                             FFH


                                     Valor cargado
                                      en el TMR0



                                   00H



4.5.  Cálculos con el TMR0.
      Los cálculos con el TMR0 se realizan sobre tres sencillas fórmulas. A lo
largo de sus estudios usted ha aplicado fórmulas de mayor dificultad y
complejidad que las mostradas a continuación, por lo que no debe encontrar
obstáculos en la realización de estos cálculos.
      Cuando se carga en el registro TMR0 un valor XXH, éste contará:
(FFH – XXH) impulsos y el tiempo que tarda en hacerlo viene dado por la
expresión:
 Temporización= 4 * TOSC * Valor Real TMR0 * Rango del divisor de
  Frecuencia.                                        (1)
                       8
 Valor Real TMR0 = (2 – N10) = (256 – N10)          (2)
 N10= Valor a cargar en el TMR0.                    (3)

Ejemplo 1: Sea un valor a cargar en el TMR0 de 100, un prescaler
seleccionado de 1:32 y un oscilador XT. Determine el tiempo en que
tardará el TMR0 en desbordarse.
Solución: Sea XT = Frecuencia = 4 MHz, T = 0.25 μs.
Temporización= 4*0.25 μs* (256 – 100) * 32 = 4.992 ms.

Ejemplo 2: Se desea saber: ¿Qué valor debemos cargar en el TMR0, si
deseamos obtener una temporización de 10,24 ms, utilizando un
preescaler de 128 y un cristal XT?

Solución:         Despejando de la ecuación (1):
                     Temporizac ión               10 , 24 ms
(256  N 10 )                                                       80
                  4  TOSC  Rgodivisor       4  0 . 25  s  128


(256 – N10) = 80, despejando N10 = (256 – 80) = 176, el valor que debemos
cargar en el TMR0 es 176, para que éste cuente desde 176 hasta 256.

Ejemplo 3: Elegir el valor del TMR0, para generar un retraso de 1.5 ms
utilizando un oscilador de 10 MHz.
Solución: Sea Fosc= 10 MHz, T = 100 ns

                    Temporización              1.5ms
(256 – N10 )                         
                 4  TOSC  Rgodivisor 4  100ns  RgoDivisor
N10 = 256 - (3750/RgoDivisor)

Démosle valores al Rango del divisor, hasta obtener un valor que se acerque lo
más posible al retardo propuesto:
       Si Prescaler= 256, Valor a cargar en el TMR0= 241 (redondeado)
       Si Prescaler= 128, Valor a cargar en el TMR0= 227 (redondeado)
       Si Prescaler= 64, Valor a cargar en el TMR0= 197 (redondeado)
       Si Prescaler= 32, Valor a cargar en el TMR0= 139 (redondeado)
       Etc…
       A manera de práctica, realice usted, el cálculo de la Temporización, para
cada uno de los valores que se consiguieron en los cálculos anteriores. Escoja
uno y justifique. Particularmente parece que el que tiene el rango de divisor de
64, es el mejor.

Nota: En este ejercicio resuelto, usted puede darse cuenta de que no hay un
solo resultado para los ejercicios, pero lo que si debe cumplirse es que sea
cualquiera que sean los valores que se tomen para los cálculos, estos deben
de estar cercanos a la respuesta que se espera del temporizador que esté
diseñando.
Ejemplo 4. Diga ¿cuánto es la máxima temporización que se puede hallar con
el TMR0? Asuma que se está trabajando con un XT.
Solución: Tomamos el máximo factor de escala de división todos los estados
que puede contar el TMR0:
 Temporización= 4*0.25 μs*(256 )*256 = 65.536 ms.
 Este es el máximo valor que podemos conseguir del TMR0.

4.5.1. ¿Otra forma de hacer los cálculos?
     Si aún le enredan las fórmulas mostradas para calcular temporizaciones,
probemos con estas tres:




       Pruebe ahora realizar los mismos cálculos siguiendo el 1, 2, 3…


4.6.   Uso de registro auxiliar.

     En el ejemplo 4, observamos que la máxima temporización que
podemos hallar con el TMR0 es 65.536 ms.
       ¿Cómo hacemos entonces para conseguir valores superiores a
éste, tales como 0,5 s; 1 s; 2 s; entre otros?
      Esto se puede arreglar si tenemos un contador de mayor número de bits.
La solución está en extender el Timer0 con un registro (auxiliar) controlado por
software.
      Dicho registro (auxiliar) contará el número de interrupciones por
desbordamiento que genera el Timer0, de forma de que éste pase por cero,
cuando haya pasado el tiempo que estamos calculando. Veamos el siguiente
diagrama de bloque:


        TMR0= XX (ms)        Registro Auxiliar=         Valor Deseado=
                                    YY               (XX) ms * (YY)= (ZZ) ms



Pasos para seleccionar el Registro Auxiliar:
1. Escoger un valor para el prescaler.
       Un posible criterio es calcular todas las frecuencias de prescaler que
podemos obtener con cada divisor posible. Las frecuencias sin decimales son
interesantes al poder encontrar múltiplos de ellas a la salida del TMR0 con
mayor facilidad. En general, la elección del valor del prescaler es empírica:
depende del problema, la experiencia y sobre todo de la práctica.
2. Determinar el valor del Registro Auxiliar, a partir del valor dado por el
TMR0.
      Normalmente viene dado por un múltiplo de la frecuencia, asociada al
tiempo calculado. Con un ejemplo entenderemos mejor lo que se desea
plantear:

Ejemplo: Determine los valores del TMR0 y del Registro Auxiliar para
conseguir una temporización de 1 segundo. Utilice un oscilador XT.
Solución: XT= Frecuencia = 4 MHz ; Tosc= 250 ns
• Paso 1. Como no se nos ha impuesto que prescaler utilizar ni que
   temporización, podemos aleatoria mente escogerlas, como en el ejemplo 6.
   Evaluando cualquiera, cuya temporización del TMR0 se basó en 5 ms,
   escojamos el prescaler 128 y sustituyamos los valores en la ecuación
   principal:
        Temporización= 4*250 ns*(256 - 217)*128 = 4.992 ms
• Paso 2. ¿Qué valor debe de tener el registro auxiliar?
a) Al tiempo de 4.992 ms, se asocia una frecuencia del TMR0 de =

                            1
                                  200.3 Hz
                         4.992ms


       Redondeando, tomamos este múltiplo: 200, Así, tendremos entonces
que si multiplicamos 200*4.992 ms = 0.998 s, que es un valor bastante cercano
a 1 segundo.
b) La misma operación pero interpretada de una forma más sencilla es
determinar cuántas veces necesitamos al tiempo calculado para lograr un
segundo:
                            1segundo
                                      200.32
                             4.992ms

      La que usted entienda mejor es válida. Nuestro registro auxiliar debe ser
de 200.
Nota: Recuerde de que este registro auxiliar no debe superar 255.
Si supera este valor, se debe adicionar un nuevo registro auxiliar


4.7.   De los cálculos a la programación
       Realicemos un ejercicio completo:
1. Realice un programa que permita encender y apagar un led cada 15 ms,
   mediante el timer0. Utilice un oscilador XT.
Solución: Cómo se ha sugerido desde la unidad II, para resolver un problema,
debemos dividirlo en tres partes básicas: El enunciado y la asignación de los
pines de entrada y de salida. El diagrama de flujo y el lenguaje ensamblador.
Sin embargo este problema consta de una parte adicional que incluye los
cálculos y que será la segunda en el orden antes mencionado.

Paso 1. Luego de leer el enunciado, podemos elegir cualquier pin por donde
generaremos nuestra señal cuadrada de 30 ms de período, o 15 ms el tiempo
en alto (TON) y 15 ms el tiempo en bajo (TOFF). Elijamos RA0.
Paso 2. Realicemos los cálculos necesarios, podemos asumir un prescaler o
predivisor cualquiera. En este ejemplo asumiremos 128, perfectamente
podemos asumir cualquier otro:
    Temporización= 4 * TOSC * Valor Real TMR0 * Rango del divisor de
       Frecuencia.
       despejando:

                    Temporización            15ms
(256 – N10 )                                           117.18
                 4  TOSC  Rgodivisor 4  0.25s  128
      Redondeando tomamos 117.
      Despejando, del valor real a cargar en el TMR0= (256-117)= 139. Nota:
debemos cargar en el TMR0= 139 para que cuente 117 estados, hasta que se
desborde.
      Verificando los cálculos:
      Temporización= 4*250 ns*(256-139)*128= 14.98 ms.

Paso 3. Elaboremos el diagrama de flujo. Debemos de estructurar el programa
para que vigile e informe cuando el TMR0 se ha desbordado, y el bit que nos
da esta información es el TOIF, del Registro INTCON. Adicional a esto
debemos configurar el registro OPTION para que este trabaje con el prescaler
que hemos seleccionado para nuestros cálculos, así como de asignarlo al
TMR0. Así como la rutinaria configuración de los puertos.

                                                   INICIO


                                           Configurar: Puerto A,
                                           OPTION_REG, INTCON
                                    1
                                              Cargar TMR0 con
                                               valor calculado
          Cargar TMR0 con
           valor calculado                        Led= on



                               NO                ¿TOIF=1?          NO
             ¿TOIF=1?

                       SI                              SI
                 TOIF=0                            TOIF=0

                                                  Led= off
                   1



Paso 4. Elaboremos el Programa en lenguaje ensamblador. Una vez obtenido
el diagrama de flujo, realizar el programa se hace más sencillo al contar con
una guía de funcionamiento:
list            P=16F84A
               include         P16F84A.INC
               org             00H
               goto            INICIO
INICIO         bsf             STATUS,5
               clrf            TRISA
               movlw           B’11010110’
               movwf           OPTION_REG
               bcf             STATUS,5
               clrf            INTCON
LEDON          bsf             PORTA,0
               call            RETARDO
LEDOFF         bcf             PORTA,0
               call            RETARDO
               goto            LEDON
;*********************************
;***RUTINA DE RETARDO***
;*********************************
RETARDO movlw                  D’139’
               movwf           TMR0
ESPERA         btfss           INTCON,TOIF
               goto            ESPERA
               bcf             INTCON,TOIF
               return
               end


Ejercicio propuesto. Realice un programa que permita encender y apagar un
led cada un segundo. Mediante Timer0 y con un oscilador XT.
4.8.    Las interrupciones
       “Las interrupciones son desviaciones del flujo de control del programa
originadas asíncronamente, por diversos sucesos que no se hallan bajo la
supervisión de las instrucciones. Dichos sucesos pueden ser externos al
sistema, como la generación de un flanco o nivel activo en una patilla del
microcontrolador, o bien, internos, como el desbordamiento de un contador. Su
comportamiento es similar al de la instrucción “call” de llamado a subrutina. Se
detiene la ejecución del programa en curso, se salva la dirección actual del
contador de programa (PC) en la pila (STACK) y se carga el PC con una
dirección, que en el caso de una interrupción es una dirección reservada de la
memoria de código, llamada vector de interrupción”. Parejo. Microcontroladores
PIC. Pág. 117. 2da Edición.

   •   En el PIC 16F84, este vector de interrupción está ubicado en la posición
       04H, en donde comenzará la rutina de servicio de la interrupción.
       Ejemplo:
       org    00H         ; Vector de origen del programa
       goto INICIO        ; salto a la rutina de programa principal
       org    04H         ; Vector de interrupción
       goto INTERR        ; salto a la rutina de interrupción.
La idea de colocar una instrucción de salto incondicional, es la de
trasladar el flujo del programa a la zona de memoria de código que contiene a
la rutina de interrupción.

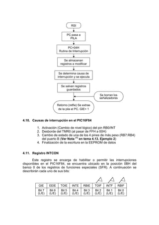
4.9.    Diagrama de flujo durante una interrupción
        El comportamiento del microcontrolador durante una interrupción es
similar al mostrado durante la llamada a una subrutina, con la diferencia de que
el llamado no se hace mediante la instrucción “call”, si no con previa
configuración de las interrupciones disponibles para cada modelo de
microcontrolador.
        Una vez que se han configurado las interrupciones con los permisos y/o
habilitaciones correspondientes, el microcontrolador podrá seguir ejecutando el
programa principal y cuando ocurra un evento dentro de las interrupciones
disponibles y habilitadas previamente, el microcontrolador dejará de hacer la
tarea actual y entrará en la subrutina de servicio de interrupción (RSI) y sólo
saldrá de esta cuando ejecute la instrucción retfie.



4.9.1. Diagrama de flujo durante una interrupción


                        INICIO                           PROX
        PCL


        21H          instrucción A                    instrucción 1


        22H          instrucción B                    instrucción 2


        23H          instrucción C                    instrucción 3


        24H          instrucción D                       retfie



        25H          instrucción E
                                                 Nota: una Rutina de Servicio de
                                                 Interrupción puede ser igual de
                     instrucción F
        26H                                      extensa o más, que el mismo
                                                 programa principal.

                         end
RSI


                                PC pasa a
                                  PILA


                                PC=04H
                          Rutina de Interrupción


                              Se almacenan
                           registros a modificar


                          Se determina causa de
                         interrupción y se ejecuta


                            Se salvan registros
                                guardados
                                                         Se borran los
                                                         señalizadores

                         Retorno (retfie) Se extrae
                          de la pila el PC. GIE= 1


4.10. Causas de interrupción en el PIC16F84

         1. Activación (Cambio de nivel lógico) del pin RB0/INT
         2. Desborde del TMR0 (al pasar de FFH a 00H)
         3. Cambio de estado de una de los 4 pines de más peso (RB7:RB4)
            del puerto B (Ver Nota (1) en tema 4.13. Ejemplo 2)
         4. Finalización de la escritura en la EEPROM de datos


4.11. Registro INTCON

       Este registro se encarga de habilitar o permitir las interrupciones
disponibles en el PIC16F84, se encuentra ubicado en la posición 0BH del
banco 0 de los registros de funciones especiales (SFR). A continuación se
describirán cada uno de sus bits:



          GIE    EEIE      TOIE     INTE     RBIE     TOIF    INTF    RBIF
         Bit 7   Bit 6     Bit 5    Bit 4    Bit 3    Bit 2   Bit 1      Bit 0
         (L/E)   (L/E)     (L/E)    (L/E)    (L/E)    (L/E)   (L/E)      (L/E)
Registro INTCON

   GIE: (Global Interrupt Enable), Permiso Global de Interrupciones
    1: Habilita todas las interrupciones, cuyos bits de permiso individuales
    también las permitan
    0: Deshabilita todas las interrupciones
   EEIE: (EEPROM Interrupt Enable), Permiso de Interrupción por fin de
    escritura en la EEPROM
    1: Habilita la interrupción cuando termina la escritura de la EEPROM de
    datos
    0: Deshabilita esta interrupción
   TOIE: (TMR0 Overflow Interrupt Enable), Permiso de interrupción por
    desborde del TMR0
    1: Habilita una interrupción por desborde del TMR0
    0: Deshabilita esta interrupción
   INTE: (Interrupt Enable RB0/INT), Permiso de interrupción por
    activación del pin RB0/INT
    1: Habilita la interrupción al activarse RB0/INT
    0: Deshabilita esta interrupción
   RBIE: (RB Port Change Interrupt Enable), Permiso de interrupción por
    cambio de estado en RB7:RB4
    1: Habilita esta interrupción
    0: Deshabilita esta interrupción
   TOIF: (TMR0 Overflow Interrupt Flag), Señalizador de desborde del
    TMR0
    1: Ha ocurrido un desborde del TMR0
    0: No se ha desbordado el TMR0
   INTF: (RB0/INT Interrupt Flag), Señalizador de activación del pin
    RB0/INT
    1: Se ha activado RB0/INT
    0: No se ha activado RB0/INT
   RBIF: (RB Port Change Interrupt Flag), Señalizador de cambio de
    estado en RB7:RB4
    1: Pasa a 1 cuando cambia el estado de alguna de estas 4 líneas
    0: No ha cambiado el estado de RB7: RB4

4.12. Salvando el entorno
       Salvar el entorno, se refiere a mantener el valor exacto que tienen los
registros de trabajo STATUS y W, y cualquier otro de importancia, que no vaya
a ser modificado dentro de la subrutina de servicio de interrupción.
       Para salvar el entorno cuando ocurre una interrupción se recomienda
seguir los siguientes pasos:
    1.   Salvar a w y a STATUS.
    2.   Almacenar a w en un registro general llamado W_TEMP
    3.   Almacenar a STATUS en un registro general llamado STATUS_TEMP
    4.   Se ejecuta la rutina de interrupción (queda expresada para efectos del
         ejemplo siguiente)
5. Restauramos a STATUS
   6. Restauramos a w
NOTA: Los registros generales W_TEMP, STATUS_TEMP, deben ser
declarados al inicio del programa, para no generar errores.


; **** Rutina para salvar el entorno ****
PUSH           movwf         W_TEMP        ; Copiamos w a este registro temporal
               swapf         STATUS,0 ; Intercambiamos STATUS y lo
                                           ; guardamos en w
               movwf         STATUS_TEMP           ; Salvamos STATUS en
                                           ; STATUS_TEMP
RUT_INT        ;
               ; Aquí estará la rutina de servicio de interrupción
               ;
POP            swapf         STATUS_TEMP,0 ; Intercambiamos nibbles en el
                                           ; registro STATUS_TEMP
               movf          STATUS        ; Movemos w al registro STATUS,
                                           ; retornando el valor original
               swapf         W_TEMP,1 ; Intercambiamos nibbles y lo
                                           ; mantenemos en este registro
               swapf W_TEMP,0              ; Intercambiamos nibbles y lo
                                           ; trasladamos a w retornando el valor
                                           ; original que tenía antes de
                                           ; entrar a la rutina de interrupción


4.13. Estructura de un programa con interrupción.
       En el tema 4.9.1 observamos el diagrama de flujo durante una
interrupción, se puede apreciar que existen dos diagramas de flujos, uno para
el programa principal y otro para la subrutina de servicio de interrupción (RSI),
con un similar comportamiento al descrito sobre las subrutinas de usuario
estudiadas en la unidad III.
       Cuando trabajamos con el lenguaje ensamblador, se debe insertar el
vector de interrupción (org 04H), para que el programa tenga la dirección a
dónde dirigirse a ejecutar la RSI, tal como se hace de forma similar con la
instrucción call k, de las subrutinas de usuario.

       Generalmente la RSI se declara al inicio del programa, antes del
programa principal, sin embargo algunos autores la colocan al final del mismo.
Es importante resaltar que así como la subrutina de usuario está enmarcada
entre la etiqueta (k) y una instrucción return o retlw k, la RSI estará enmarcada
entre la dirección del vector de interrupción y la instrucción retfie.

      Veamos el siguiente ejemplo para entender mejor la estructura:
Ejemplo 1.

Opción A. Antes del programa principal:
             list       P=16F84A
             include    P16F84A.inc

             org        00H           ; Vector de inicio
             goto       INICIO
             org        04H           ; Vector de interrupción
             goto       RSI           ; La RSI puede ir inmediatamente

RSI          bcf        INTCON,7      ; Deshabilitamos las interrupciones
             btfss      INTCON,2      ; La causa fue por desborde del TMRO
             goto       SALIRINT      ; Si es no, salimos de la RSI
             movlw      0FFH          ; Si es la causa, ejecutamos la rutina de
                                      ; ejemplo.
             xorwf      PORTB         ; Generamos una señal cuadrada
SALIRINT     bcf        INTCON,2      ; Borramos el señalizador TOIF
             bsf        INTCON,7      ; Habilitamos las interrupciones
             retfie                   ; Salimos de la RSI.

INICIO       bsf        STATUS,5 ; Banco 1
             clrf       TRISB       ; Puerto B como salida
             movlw      b’10000111’ ; TMR0, Temporizador, 1:256
             movwf      OPTION_REG
             bcf        STATUS,5 ; Banco 0
             movlw      B’10100000’
             movwf      INTCON      ; Se activa el GIE y el TOIE
             clrf       PORTB       ; Inicializamos PORTB=0
SINFIN       clrwdt
             goto       SINFIN        ; Bucle sin fin, para este ejemplo.
             end                      ; Fin del programa

Opción B. Luego del programa principal:

             list       P=16F84A
             include    P16F84A.inc

             org        00H           ; Vector de inicio
             goto       INICIO
             org        04H           ; Vector de interrupción
             goto       RSI           ; La RSI puede ir inmediatamente

INICIO       bsf        STATUS,5 ; Banco 1
             clrf       TRISB       ; Puerto B como salida
             movlw      b’10000111’ ; TMR0, Temporizador, 1:256
             movwf      OPTION_REG
             bcf        STATUS,5 ; Banco 0
             movlw      B’10100000’
movwf         INTCON       ; Se activa el GIE y el TOIE
             clrf          PORTB        ; Inicializamos PORTB=0
SINFIN       clrwdt
             goto          SINFIN       ; Bucle sin fin, para este ejemplo.

RSI          bcf           INTCON,7     ; Deshabilitamos las interrupciones
             btfss         INTCON,2     ; La causa fue por desborde del TMRO
             goto          SALIRINT     ; Si es no, salimos de la RSI
             movlw         0FFH         ; Si es la causa, ejecutamos la rutina de
                                        ; ejemplo.
             xorwf         PORTB        ; Generamos una señal cuadrada
SALIRINT     bcf           INTCON,2     ; Borramos el señalizador TOIF
             bsf           INTCON,7     ; Habilitamos las interrupciones
             retfie                     ; Salimos de la RSI.
             end                        ; Fin del Programa.

Ejemplo 2. Realicemos un programa completo que contenga varias
interrupciones. Si la causa ha sido la activación del pin RB0, se debe mostrar
un dos en binario en el puerto A, si ha sido un cambio de nivel en RB4:RB7, se
debe mostrar el uno en binario en el puerto A y si se ha desbordado el TMR0,
se debe mostrar el cuatro en binario en el puerto A.

Paso 1. Dibujar el diagrama de flujo:
Paso 2. Lenguaje ensamblador

             LIST          P=16F84A
             INCLUDE       P16F84A.INC

W_TEMP               equ   20H   ; Se declaran los registros generales para
ESTADO_TEMP          equ   21H   ; salvar los registros STATUS y W

             org           00H
             goto          INICIO
             org           04H ; Se coloca el vector interrupción para que se
             goto          RUTINTERR        ; Ejecute la rutina de interrupción

RUTINTERR
             movwf         W_TEMP       ; Se inicia a la rutina de servicio de
                                        ; interrupción
             swapf         W_TEMP,1
             movf          STATUS,0
             movwf         ESTADO_TEMP
             btfsc         INTCON,0 ; Se empieza exploración de causa de
                                          ; interrupción
              goto         INTERRB47 ; Si RBIF=1, se va a ejecutar
              btfsc        INTCON,1
              goto         INTERRB0 ; Si INTF=1, se va a ejecutar
              btfsc        INTCON,2
              goto         INTERRTMR              ; Si TOIF=1, se va a ejecutar
              goto         SALIRINT ; Si no es ninguna, se sale de la
                                          ; interrupción
SALIRINT bsf               INTCON,7 ; Se habilita GIE, para permitir de
                                          ; nuevo otra Interrupción
              movf         ESTADO_TEMP,0 ; y se restaura el entorno
              movwf        STATUS
              swapf        W_TEMP,0
              retfie       ; El uso de return o retlw k, puede producir
                           ; errores en la ejecución del programa
;*** Subrutina de tratamiento de cambio de RB4:RB7 ***
INTERRB47 bcf              INTCON,0
              movlw        01H
              movwf        PORTA
              movf         PORTB,0        ; Ver NOTA (1)
              bcf          INTCON,0 ; Se borra por software el señalizador
                                          ; de esta Interrupción
              goto         SALIRINT

;*** Subrutina de tratamiento de activación de INT/RB0 ***
INTERRB0
              movlw        02H
              movwf        PORTA
              bcf          INTCON,1 ; Se borra por software el señalizador
              goto         SALIRINT
;*** Subrutina de tratamiento del desborde del TMR0 ***
INTERRTMR
              movlw        04H
              movwf        PORTA
              movlw        d'200'       ; Se carga el valor calculado para el
                                        ; TMR0 para asegurarnos
              movwf        TMR0         ; que al regresar tenga este valor
              bcf          INTCON,2 ; Se borra el señalizador
              goto         SALIRINT

;*************PROGRAMA PRINCIPAL****************
INICIO         bsf      STATUS,5
               clrf     TRISA       ; PORTA como entrada
               movlw    0FFH
               movwf    TRISB       ; PORTB como entrada
               movlw    b'01000000'
               movwf    OPTION_REG
                                    ; Diga: ¿Cómo se configuró OPTION?
               bcf      STATUS,5
               movlw    b'10111000' ; Se habilita GIE y las interrupciones
               movwf    INTCON      ; Individuales

DORMIR       nop
             movlw         d'240'
             movwf         TMR0          ; Diga: ¿Qué valor de temporización
                                         ; tendrá el TMR0?
SINFIN       CLRWDT
             goto SINFIN                 ; Se coloca al microcontrolador en
                                         ; bucle o lazo sin fin
             end

; Nota (1): En este tipo de interrupción, internamente el procesador lee el nibble
; alto del puerto B y hace una copia, la interrupción se genera cuando la lectura
; del nibble alto del puerto B es diferente de la copia.
; Dentro de la ejecución de esta rutina de interrupción es importante que se lea
; el puerto B, para actualizar la copia, y el procedimiento adecuado es el
; mostrado anteriormente.


4.14. ¿Cuándo utilizar una interrupción?
      Una interrupción es muy importante cuando deseamos realizar una tarea
que no dependa de una exploración constante del programa sobre la misma.
       Esto le agrega al microcontrolador independencia para realizar procesos
paralelos, es decir, mientras se ejecuta un programa determinado, de forma
alterna se puede estar a la espera de que ocurran algunas de las
interrupciones mencionadas sin necesidad de monitorearlas por sondeo o
exploración. Apenas ocurran, la RSI se ejecutará y se realizará el tratamiento
previamente diseñado.
También cuando deseamos que nuestro programa responda de forma
inmediata y automática a determinados eventos.

Ejemplo del uso de Interrupción:
•   En los sistemas de control, cuando se necesita un pulsador de parada de
    emergencia (PARE).
•   En un diseño, cuando se requiere que nuestro circuito cumpla con
    determinadas tareas, al pulsarse una tecla (LAMP TEST en los displays).
•   En el manejo de teclados, se recomienda su uso, ya que se puede meter al
    microcontrolador en un estado de reposo, ahorrando energía y esperando a
    que se pulse una tecla para iniciar una rutina de servicio (CLAVE).
•   Cuando deseamos que nuestro programa entre a monitorear una función o
    subrutina cada cierto tiempo, mediante el desborde del TMR0.
•   Cuando almacenamos información en la EEPROM y deseamos ser
    advertidos de que ésta se ha terminado (ALMACENAMIENTO).


4.15. Resumen de la Unidad IV.

       Al finalizar la unidad IV, se han dado a conocer dos importantes recursos
de los microcontroladores, a saber, el temporizador TMR0 y las interrupciones.
Estos recursos nos permiten dar libertad de acción a los microcontroladores, al
permitir ejecutar tareas cada cierto tiempo, de manera alterna o paralela al
programa principal mediante la combinación de la temporización y las
interrupciones, sin tener que estar monitoreando estas tareas adicionales.

       Algunas interrupciones sirven para monitorear de manera automática un
teclado, mientras se puede controlar un proceso, así como detectar un pulsador
o un cambio de nivel en el pin RB0.

       Las interrupciones, previa configuración, responden de manera
inmediata y automática al evento seleccionado entrando en una subrutina de
servicio de interrupción sin necesidad de ser llamada como las subrutinas de
usuario.

       El uso del temporizador TMR0 permite generar señales cuadradas con
un amplio rango de frecuencias, similar a como lo hace el 555, sólo que nos
ahorramos hardware adicional, al realizarlo totalmente por software,
convirtiendo al microcontrolador en una herramienta más completa.

       En circuitos Digitales, para diseñar un reloj digital con horas, minutos y
segundos, se necesitan al menos 14 circuitos integrados, con las herramientas
vistas en la unidad III y en la unidad IV, el hardware necesario para esta tarea
se reduce notablemente a 2 circuitos integrados, reduciendo los costos de
construcción y de espacio.
Aplicaciones como un frecuencímetro pueden ahora lograrse mediante el
programa adecuado, y todo en un solo circuito integrado de un
microcontrolador.

       Las potencialidades y aplicaciones se abren limitándose en un inicio a
las ideas de los usuarios.


4.16. Autoevaluación.
 ¿Qué usos se les puede dar al temporizador TMR0?
 ¿Qué registros son necesarios para trabajar con el TMR0?
 ¿Cuál es la función del registro OPTION_REG?
 ¿Cuál es la función del predivisor?
 ¿Cómo se logra una temporización superior a 65,35 ms con el TMR0?
 ¿Qué es una interrupción?
 ¿Cómo se comporta una interrupción en un programa?
 ¿Cuál es la función del registro INTCON?
 ¿Cuáles son las causas de interrupción en un PIC16F84?

4.17. Ejercicios propuestos.
1. Genere una señal cuadrada del 50 % del Ciclo útil con una frecuencia de 1
   KHz.
2. Diseñe un contador de vehículos con el TMR0, cuyo resultado se muestre
   por el puerto B.
3. Realice un temporizador programable de tres cifras (999 a 000). El circuito
   asociado al programa posee un pulsador de ajuste, que permite variar y/o
   fijar la cifra al valor que se desea temporizar. Debe realizar un conteo
   descendente a razón de 1 segundo. Debe contar con un pulsador que
   permita verificar que todos los segmentos están en buen estado (Función
   “Lamp Test”) en cualquier momento. Debe encender un led, cada vez que
   llegue a 000 y se detiene el conteo. Debe de tener un pulsador de inicio,
   para que empiece la cuenta regresiva, una vez pulsado, no influye sobre la
   temporización. Debe tener un pulsador que permita reestablecer el sistema
   (poner a 999). Introduzca eliminarebotes (5 ms), para los pulsadores de
   ajuste e inicio. Nota: Diseño libre.
4. Se desea realizar un programa que permita la ejecución de los siguientes
   estados, bajo un mismo display:
Y luego del séptimo estado, empieza de nuevo en el estado 0.

       El circuito asociado al programa debe tener dos interruptores de ajuste
de tiempo, el cual incrementará el tiempo entre 0,25 segundos, 0,5 segundos, 1
segundo y 2 segundos. Debe contar con un pulsador que permita verificar que
todos los segmentos están en buen estado (Función “Lamp Test”) en cualquier
momento. Debe tener un pulsador de inicio, según sea el modo seleccionado.
Introduzca eliminarebotes (5 ms), para el pulsador de inicio. Nota: Diseño libre.

5. Realice un frecuencímetro, cuyas frecuencias están definidas en la
   siguiente tabla:

                         Frecuencia Modo Entrada
                                         (A2A1A0)
                          1 KHz      0     000
                         500 Hz      1     001
                         250 Hz      2     010
                         100 Hz      3     011
                         50 Hz       4     100
                         10 Hz       5     101
                         1 Hz        6     110
                         0,5 Hz      7     111


       El circuito asociado al programa debe tener: Tres interruptores que
seleccionan el modo de operación, cuyo número equivalente en decimal, debe
ser visualizado en un display. Debe tener un pulsador de inicio y un pulsador de
reestablecimiento. Introduzca eliminarebotes (5 ms) para los interruptores.
Luego de haberse pulsado “Inicio”, si cambia la selección, cambia la frecuencia
según sea el modo. Nota: Diseño libre.

6. Se desea automatizar una lavadora “CHACACHACA” bajo dos modos de
   lavado (uno de Lavado Rápido de 30 minutos de duración y otro de Lavado
   Lento de 50 minutos de duración), el sistema constará de un pulsador de
   INICIO y un interruptor selector de modo de lavado. Automatice bajo las
   siguientes condiciones:

      Se elige entre lavado rápido ó lento
      Se presiona INICIO y realiza lo siguiente:
      Se llena la CHACACHACA hasta el nivel de agua máximo; lava ó “bate”
       por la mitad del tiempo; se detiene; se vacía; se llena otra vez de agua;
       lava ó “bate” hasta que falten tres minutos; se detiene; se vacía; se llena
       otra vez de agua; lava ó “bate” por el resto del tiempo; se vacía
       nuevamente y emite una alarma sonora por espacio de 10 segundos; y
       se detiene a la espera de un nuevo proceso de lavado.
      Si no hay agua en el depósito de agua, se detiene el lavado, se cierra la
       válvula de llenado y se emite una alarma sonora hasta que se solucione
el problema agregando agua al depósito hasta el nivel mínimo de
       lavado.
      ML: Motor de Lavadora. VD: Válvula de Desagüe. VLL: Válvula de
       Llenado.
      Nmínimo, Nmáximo, Nmínimo de lavado, Nivel de alarma: Sensores
       de nivel.




7. Realice un temporizador programable para el motor de una correa
   transportadora, que permite encenderle y apagarle, según sea el tiempo
   seleccionado definido en la siguiente tabla:

                  Tiempo         Modo Entrada (A2A1A0)
                  2,5 minutos     0          000
                  2 minutos       1          001
                  1,5 minutos     2          100
                  1 minuto        3          101
                  30 segundos     4          111

       El circuito asociado al programa debe tener: Tres interruptores que
seleccionan el modo de operación, cuyo número equivalente en decimal, debe
ser visualizado en un display. Debe tener un pulsador de “INICIO”. Introduzca
elimina rebotes (10 ms) para los interruptores. Luego de haberse pulsado
“INICIO”, si cambia la selección, cambia el tiempo según sea el modo. Si el
estado de los pulsadores no aparece en la tabla, debe mostrase la letra “E” de
“Error” en el display y debe mantenerse el motor apagado. El sistema cuenta
con un pulsador que indique en cualquier momento, si todos los segmentos del
display se encuentran en buen estado. El sistema cuenta con un sensor de
temperatura que se activa cuando el motor se recalienta, en cuyo caso se
activa un led rojo y se apaga el motor, a la espera de que se pulse “INICIO”
para poder empezar el proceso nuevamente.

Nota: Diseño casi libre. (NO cuenta con decodificador para manejar el display)
8. Realice la automatización de la mezcladora de pinturas, mostrada en la
   figura, bajo la siguiente secuencia de funcionamiento:

   El sistema de mezclado se inicia al pulsarse “MARCHA”, mediante el cual,
    se activa B1, por espacio de por espacio de 13 segundos. B2, MM, VD, MA
    deben estar apagados. Se enciende un led verde que indica que el sistema
    esta en marcha.
   Transcurrido este tiempo, se enciende B2. B1, MM, VD, MA, deben estar
    apagados.
   B2 se mantiene encendido hasta que el sensor “Nivel alto” se activa,
    mediante el cual se detiene B2, se activa MM. B1, VD, MA, se mantienen
    apagados.
   MM se mantiene encendido por espacio de 1 minuto. B1, B2, VD, MA se
    mantienen apagados. Una vez transcurrido este tiempo, se detiene MM.
   Se activa VD, hasta que se activa el sensor “Nivel bajo”, mediante el cual se
    cierra VD y se activa MA por espacio de 7.5 segundos, reiniciándose el
    proceso nuevamente.
   El sistema cuenta con un pulsador de PARE, que al activarse en cualquier
    momento detiene todo el proceso, apagando B1, B2, VD, MM y MA, activando
    un led rojo y apagando al led verde, indicando que existe una parada del
    proceso.
   Para reiniciar el proceso nuevamente en donde se quedó al momento de
    detenerlo, se debe pulsar “REINICIO”.



            PINTURA 1                                  PINTURA 2

                          B                       B



                                                         Nivel Alto




                                                        Nivel Bajo




                                    M
                                                 V

                PINTURA                                PINTURA
                 LISTA                                  LISTA




        M
Nomenclaturas:
B1: Bomba 1
B2: Bomba 2
MM: Motor de Mezclado
VD: Válvula de Desagüe
MA: Motor de Avance


4.18. Lecturas complementarias recomendadas.

       Para reforzar los conceptos de esta unidad, te recomendamos revisar el libro:
      “Microcontroladores PIC” de José María Parejo Usategui. Capítulos III y IV.
       (Disponible en la Biblioteca de la Institución)

UNIDAD IV

  • 1.
    UNIDAD IV TEMPORIZADOR TMR0 E INTERRUPCIONES Objetivo general  Conocer los temporizadores y las interrupciones básicas presentes en el microcontrolador PIC16F84. Objetivos específicos  Estudiar los registros asociados al Timer 0.  Estudiar el funcionamiento del Timer 0.  Realizar cálculos para temporizaciones con el Timer 0.  Realizar programas para el uso del Timer 0.  Conocer el funcionamiento de las Interrupciones  Conocer las causas de una interrupción.  Realizar programas para el uso de las interrupciones.  Estudiar las estructuras de los programas con interrupciones. Contenido 4.1. Conociendo los registros asociados al Timer 0 (TMR0). 4.2. Temporizador/Contador Timer 0 (TMR0). 4.2.1. ¿Qué es el prescaler? 4.3. Diagrama de bloque del Timer 0. 4.4. ¿Cómo cuenta el Timer 0? 4.5. Cálculos con el Timer 0. 4.5.1. ¿Otra forma de hacer los cálculos? 4.6. Uso de registro auxiliar. 4.7. De los cálculos a la programación. 4.8. Las Interrupciones. 4.9. Diagrama de flujo de una interrupción 4.10. Causas de interrupción en el PIC16F84 4.11. Registro INTCON. 4.12. Salvando y restaurando el entorno durante una interrupción. 4.13. Estructura de un programa con interrupción. 4.14. ¿Cuándo utilizar una interrupción? 4.15. Resumen de la Unidad IV. 4.16. Autoevaluación. 4.17. Ejercicios propuestos. 4.18. Lecturas complementarias recomendadas.
  • 2.
    4.1. Registros asociadosal Temporizador/Contador Timer 0 (TMR0) En la unidad III, realizamos rutinas de retardo sin el uso del Timer 0, al hacer “perder” tiempo al microcontrolador ejecutando lazos de dos o más registros que se decrementaban generando un retardo deseado, previamiente calculado. En esta unidad, estudiaremos un módulo temporizador/contador dedicado a tal uso (El Timer 0), que nos permitirá generar retardos en base a cálculos que serán explicados más adelante. Sin embargo, la ventaja principal de los temporizadores, radica en que se pueden programar, en conjunto con las interrupciones, para que efectúen procesos y/o tareas, cada cierto tiempo de manera automática, mientras el microcontrolador se encuentra realizando otras actividades. Por ejemplo, mientras monitoreamos el valor de un bit de entrada, podemos programarlo para que cada 50 milisegundos (ms), el microcontrolador entre en una subrutina a realizar otra actividad y regrese a seguir monitoreando dicho pin de entrada. Antes de empezar con la definición del temporizador/contador Timer 0, veamos los registros asociados a su funcionamiento y operación en la siguiente tabla: De allí observamos los siguientes registros: • TMR0: Registro de 8 bits de lectura/escritura • OPTION_REG: Configura al TMR0 para que trabaje como temporizador ó contador y asigna el valor al prescaler • INTCON: Da información mediante el bit “TOIF” cuando el TMR0 se ha desbordado. • TRISA (PUERTO A): Permite el ingreso de pulsos cuando el TMR0 está configurado como contador por RA4. Analicemos el funcionamiento del registro OPTION_REG: este registro es el equivalente a los TRIS de los puertos, nos permite configurarlo para que el Timer 0 sepa cómo debe “comportarse” y/o funcionar. Entre sus atributos, observamos que permite la selección del modo de trabajo del Timer 0, elige el valor de la división de la frecuencia que ingresa al microcontrolador, entre otras:
  • 3.
    Registro OPTION_REG (Dirección81H) 7 (L/E) 6 (L/E) 5 (L/E) 4 (L/E) 3 (L/E) 2 (L/E) 1 (L/E) 0 (L/E) RBPU INTEDG TOCS TOSE PSA PS2 PS1 PS0  bit 7, RPBU : Resistencia Pull-up del Puerto B. 1: Desactivadas 0: Activadas  bit 6, INTEDG: Flanco activo para el control de interrupciones 1: Con flanco Ascendente 0: Con flanco Descendente  bit 5, TOCS: Fuente de Reloj para TMR0 1: Pulsos introducidos a través de RA4/T0CK1 (Contador) 0: Pulsos de reloj interno Fosc/4 (Temporizador)  bit 4, TOSE: Tipo de flanco en TOCK1 1: Incremento de TMR0 cada flanco descendente 0: Incremento de TMR0 cada flanco ascendente  bit 3, PSA: Bit de asignación del prescaler divisor de frecuencia 1: El divisor de frecuencia se asigna al WDT 0: El divisor de frecuencia se asigna al TMR0  bit 2-0, PS2:PSO: Rango con el que actúa el divisor de frecuencia. Valor del los Bits Factor de división Factor de del TMR0 división del WDT 000 1:2 1:1 001 1:4 1:2 010 1:8 1:4 011 1:16 1:8 100 1:32 1:16 101 1:64 1:32 110 1:128 1:64 111 1:256 1:128 Ejemplo de configuración del registro OPTION_REG. 1. Configure al PIC16F84 para que el temporizador TMR0, trabaje con los pulsos provenientes de un reloj externo, y el mismo cambie en el flanco de subida o ascendente del pulso externo: Respuesta. En base al registro OPTION_REG, debemos cargar los siguientes valores: x x 1 0 0 x x x Estos valores a cargar en el registro OPTION_REG cumplen con lo solicitado en el enunciado del problema o diseño, sobre las “x”, puede colocarse cualquier valor, ya que no se han realizado especificaciones sobre
  • 4.
    estas, sin embargo,es importante saber o conocer cuál será el factor de división de la señal que ingresará al Timer 0. 2. Configure al PIC16F84 para que el TMR0, trabaje con el reloj interno y la frecuencia del mismo sea dividida por 32: Respuesta. En base al registro OPTION_REG, debemos cargar los siguientes valores: x x 0 x 0 1 0 0 Estos valores a cargar en el registro OPTION_REG cumplen con lo solicitado en el enunciado del problema o diseño, sobre las “x”, puede colocarse cualquier valor, ya que no se han realizado especificaciones sobre estas. 3. Configure al PIC16F84 para que el TMR0, trabaje con el reloj interno y la frecuencia del mismo sea dividida por 16. Active las resistencias “Pull-Up” del puerto B y configure que el flanco de activación de interrupción del pin INTEDG del RBO sea por bajada o descendente: Respuesta. En base al registro OPTION_REG, debemos cargar los siguientes valores: 1 0 0 0 0 0 1 1 Estos valores a cargar en el registro OPTION_REG cumplen con lo solicitado en el enunciado del problema o diseño, Sobre las resistencias “Pull- up” del puerto B, son resistencias que internamente se conectan a VDD cuando el puerto B trabaja como entrada de datos y que nos permiten ahorrar el conexionado de resistencias adicionales a nuestro circuito, y sobre el tipo de flanco seleccionado de activación del pin INTEDG del RB0, se refiere a la manera en cómo se detectará la interrupción en este pin por cambio del nivel de voltaje presente en su entrada. Esta interrupción RB0/INT, se estudiará en el tema de interrupciones. ¿Cómo cargo los valores seleccionados al registro OPTION_REG? Respuesta: Como cualquier otro registro con los que hemos trabajado: En el primer ejemplo: movlw b’xx100xxx’ ;recordando que x puede ser 0 ó 1. movwf OPTION_REG En el segundo ejemplo: movlw b’xx0x0100’ ;recordando que x puede ser 0 ó 1. movwf OPTION_REG En el tercer ejemplo: movlw b’10000011’ movwf OPTION_REG De esta manera, el registro OPTION_REG se ha configurado para que el Timer 0 trabaje con el enunciado o diseño que estemos realizando. En otras palabras el registro OPTION_REG es la mano derecha del Timer 0.
  • 5.
    4.2. Temporizador/Contador Timer 0 (TMR0). Es el registro asociado al Timer0. Se encuentra en la posición 01H de la memoria RAM. Es el corazón del módulo Timer0. Puede ser leído o escrito en cualquier momento. El TMR0 se incrementará automáticamente por cada ciclo de instrucción y contará desde 0 (00H) hasta 255 (FFH) (Contador de 8 bits). Para que opere como temporizador, el bit TOCS (del registro OPTION_REG) debe ser cero (0), el bit PSA= 0 y deben ser cargados los bits PS2 a PS0, según sea el preescaler a utilizar para lograr nuestra temporización. Para que opere como contador, se usa una entrada de reloj externo en el TMR0 y se deben de cumplir ciertos requisitos para que el reloj externo pueda ser sincronizado con el reloj interno (TOSC). Además existe un retardo en el incremento real del TMR0, después de la sincronización. El bit TOCS= 1. Se debe seleccionar el tipo de flanco que producirá el incremento del TMR0 (TOSE = 1 ó 0). 4.2.1. ¿Qué es el prescaler o Predivisor? El prescaler o predivisor, divide la frecuencia de reloj de entrada del Timer0, entre valores predefinidos, como se ve en la tabla asociada al registro OPTION_REG, 1:32, 1: 64, 1:256, etc., genera una nueva señal de menor frecuencia a la salida, que será la señal de reloj de entrada al registro TMR0. El prescaler o predivisor “Ralentiza” señales de entrada demasiado rápidas para nuestros propósitos. También existe un postescaler, asociado al perro guardián WDT (Watch Dog Timer) del microcontrolador, pero en este caso recibe el nombre de postcaler ya que se usa a la salida del WDT, no pudiendo estar asignado a la vez al Timer0 o al WDT. El preescaler es transparente para el programador, no se puede leer ni escribir sobre él, pero se puede seleccionar por software, como ya se ha dicho, mediante el registro OPTION_REG Nota: Para evitar un RESET no deseado del sistema, es necesario ejecutar una secuencia de instrucciones específicas cuando se cambia la asignación del prescaler del TMR0 al WDT. Esta secuencia debe ser seguida, aún cuando el WDT esté inactivo. 4.3. Diagrama de bloque del Timer 0 En la siguiente figura, podemos observar el diagrama de bloque del Timer 0. En esta se distingue si la señal que ingresa al TMR0 proviene de una fuente externa o interna (TOCS), si la señal es predividida (PS2:PS0) y si ha sido asignada al Perro Guardián (WDT) o al TMR0, y mediante el bit TOIF indica si el timer 0 se ha desbordado (al pasar de FFH a 00H).
  • 6.
    4.4. ¿Cómo cuenta el TMR0? El TMR0 cuenta exclusivamente de forma ascendente, nunca lo hace de manera descendente, y siempre se incrementa por cada ciclo de instrucción, no se detiene. 00H FFH Y reinicia su cuenta 00H Si el TMR0 se carga con un valor, éste comenzará a contar desde el valor cargado hasta que se desborda (cuando pasa a 00H) (28-N10) 00H FFH Valor cargado en el TMR0 00H 4.5. Cálculos con el TMR0. Los cálculos con el TMR0 se realizan sobre tres sencillas fórmulas. A lo largo de sus estudios usted ha aplicado fórmulas de mayor dificultad y complejidad que las mostradas a continuación, por lo que no debe encontrar obstáculos en la realización de estos cálculos. Cuando se carga en el registro TMR0 un valor XXH, éste contará: (FFH – XXH) impulsos y el tiempo que tarda en hacerlo viene dado por la expresión:
  • 7.
     Temporización= 4* TOSC * Valor Real TMR0 * Rango del divisor de Frecuencia. (1) 8  Valor Real TMR0 = (2 – N10) = (256 – N10) (2)  N10= Valor a cargar en el TMR0. (3) Ejemplo 1: Sea un valor a cargar en el TMR0 de 100, un prescaler seleccionado de 1:32 y un oscilador XT. Determine el tiempo en que tardará el TMR0 en desbordarse. Solución: Sea XT = Frecuencia = 4 MHz, T = 0.25 μs. Temporización= 4*0.25 μs* (256 – 100) * 32 = 4.992 ms. Ejemplo 2: Se desea saber: ¿Qué valor debemos cargar en el TMR0, si deseamos obtener una temporización de 10,24 ms, utilizando un preescaler de 128 y un cristal XT? Solución: Despejando de la ecuación (1): Temporizac ión 10 , 24 ms (256  N 10 )    80 4  TOSC  Rgodivisor 4  0 . 25  s  128 (256 – N10) = 80, despejando N10 = (256 – 80) = 176, el valor que debemos cargar en el TMR0 es 176, para que éste cuente desde 176 hasta 256. Ejemplo 3: Elegir el valor del TMR0, para generar un retraso de 1.5 ms utilizando un oscilador de 10 MHz. Solución: Sea Fosc= 10 MHz, T = 100 ns Temporización 1.5ms (256 – N10 )   4  TOSC  Rgodivisor 4  100ns  RgoDivisor N10 = 256 - (3750/RgoDivisor) Démosle valores al Rango del divisor, hasta obtener un valor que se acerque lo más posible al retardo propuesto: Si Prescaler= 256, Valor a cargar en el TMR0= 241 (redondeado) Si Prescaler= 128, Valor a cargar en el TMR0= 227 (redondeado) Si Prescaler= 64, Valor a cargar en el TMR0= 197 (redondeado) Si Prescaler= 32, Valor a cargar en el TMR0= 139 (redondeado) Etc… A manera de práctica, realice usted, el cálculo de la Temporización, para cada uno de los valores que se consiguieron en los cálculos anteriores. Escoja uno y justifique. Particularmente parece que el que tiene el rango de divisor de 64, es el mejor. Nota: En este ejercicio resuelto, usted puede darse cuenta de que no hay un solo resultado para los ejercicios, pero lo que si debe cumplirse es que sea cualquiera que sean los valores que se tomen para los cálculos, estos deben de estar cercanos a la respuesta que se espera del temporizador que esté diseñando.
  • 8.
    Ejemplo 4. Diga¿cuánto es la máxima temporización que se puede hallar con el TMR0? Asuma que se está trabajando con un XT. Solución: Tomamos el máximo factor de escala de división todos los estados que puede contar el TMR0:  Temporización= 4*0.25 μs*(256 )*256 = 65.536 ms.  Este es el máximo valor que podemos conseguir del TMR0. 4.5.1. ¿Otra forma de hacer los cálculos? Si aún le enredan las fórmulas mostradas para calcular temporizaciones, probemos con estas tres: Pruebe ahora realizar los mismos cálculos siguiendo el 1, 2, 3… 4.6. Uso de registro auxiliar. En el ejemplo 4, observamos que la máxima temporización que podemos hallar con el TMR0 es 65.536 ms. ¿Cómo hacemos entonces para conseguir valores superiores a éste, tales como 0,5 s; 1 s; 2 s; entre otros? Esto se puede arreglar si tenemos un contador de mayor número de bits. La solución está en extender el Timer0 con un registro (auxiliar) controlado por software. Dicho registro (auxiliar) contará el número de interrupciones por desbordamiento que genera el Timer0, de forma de que éste pase por cero, cuando haya pasado el tiempo que estamos calculando. Veamos el siguiente diagrama de bloque: TMR0= XX (ms) Registro Auxiliar= Valor Deseado= YY (XX) ms * (YY)= (ZZ) ms Pasos para seleccionar el Registro Auxiliar: 1. Escoger un valor para el prescaler. Un posible criterio es calcular todas las frecuencias de prescaler que podemos obtener con cada divisor posible. Las frecuencias sin decimales son interesantes al poder encontrar múltiplos de ellas a la salida del TMR0 con mayor facilidad. En general, la elección del valor del prescaler es empírica: depende del problema, la experiencia y sobre todo de la práctica.
  • 9.
    2. Determinar elvalor del Registro Auxiliar, a partir del valor dado por el TMR0. Normalmente viene dado por un múltiplo de la frecuencia, asociada al tiempo calculado. Con un ejemplo entenderemos mejor lo que se desea plantear: Ejemplo: Determine los valores del TMR0 y del Registro Auxiliar para conseguir una temporización de 1 segundo. Utilice un oscilador XT. Solución: XT= Frecuencia = 4 MHz ; Tosc= 250 ns • Paso 1. Como no se nos ha impuesto que prescaler utilizar ni que temporización, podemos aleatoria mente escogerlas, como en el ejemplo 6. Evaluando cualquiera, cuya temporización del TMR0 se basó en 5 ms, escojamos el prescaler 128 y sustituyamos los valores en la ecuación principal:  Temporización= 4*250 ns*(256 - 217)*128 = 4.992 ms • Paso 2. ¿Qué valor debe de tener el registro auxiliar? a) Al tiempo de 4.992 ms, se asocia una frecuencia del TMR0 de = 1  200.3 Hz 4.992ms Redondeando, tomamos este múltiplo: 200, Así, tendremos entonces que si multiplicamos 200*4.992 ms = 0.998 s, que es un valor bastante cercano a 1 segundo. b) La misma operación pero interpretada de una forma más sencilla es determinar cuántas veces necesitamos al tiempo calculado para lograr un segundo: 1segundo  200.32 4.992ms La que usted entienda mejor es válida. Nuestro registro auxiliar debe ser de 200. Nota: Recuerde de que este registro auxiliar no debe superar 255. Si supera este valor, se debe adicionar un nuevo registro auxiliar 4.7. De los cálculos a la programación Realicemos un ejercicio completo: 1. Realice un programa que permita encender y apagar un led cada 15 ms, mediante el timer0. Utilice un oscilador XT. Solución: Cómo se ha sugerido desde la unidad II, para resolver un problema, debemos dividirlo en tres partes básicas: El enunciado y la asignación de los pines de entrada y de salida. El diagrama de flujo y el lenguaje ensamblador. Sin embargo este problema consta de una parte adicional que incluye los cálculos y que será la segunda en el orden antes mencionado. Paso 1. Luego de leer el enunciado, podemos elegir cualquier pin por donde generaremos nuestra señal cuadrada de 30 ms de período, o 15 ms el tiempo en alto (TON) y 15 ms el tiempo en bajo (TOFF). Elijamos RA0.
  • 10.
    Paso 2. Realicemoslos cálculos necesarios, podemos asumir un prescaler o predivisor cualquiera. En este ejemplo asumiremos 128, perfectamente podemos asumir cualquier otro:  Temporización= 4 * TOSC * Valor Real TMR0 * Rango del divisor de Frecuencia. despejando: Temporización 15ms (256 – N10 )    117.18 4  TOSC  Rgodivisor 4  0.25s  128 Redondeando tomamos 117. Despejando, del valor real a cargar en el TMR0= (256-117)= 139. Nota: debemos cargar en el TMR0= 139 para que cuente 117 estados, hasta que se desborde. Verificando los cálculos: Temporización= 4*250 ns*(256-139)*128= 14.98 ms. Paso 3. Elaboremos el diagrama de flujo. Debemos de estructurar el programa para que vigile e informe cuando el TMR0 se ha desbordado, y el bit que nos da esta información es el TOIF, del Registro INTCON. Adicional a esto debemos configurar el registro OPTION para que este trabaje con el prescaler que hemos seleccionado para nuestros cálculos, así como de asignarlo al TMR0. Así como la rutinaria configuración de los puertos. INICIO Configurar: Puerto A, OPTION_REG, INTCON 1 Cargar TMR0 con valor calculado Cargar TMR0 con valor calculado Led= on NO ¿TOIF=1? NO ¿TOIF=1? SI SI TOIF=0 TOIF=0 Led= off 1 Paso 4. Elaboremos el Programa en lenguaje ensamblador. Una vez obtenido el diagrama de flujo, realizar el programa se hace más sencillo al contar con una guía de funcionamiento:
  • 11.
    list P=16F84A include P16F84A.INC org 00H goto INICIO INICIO bsf STATUS,5 clrf TRISA movlw B’11010110’ movwf OPTION_REG bcf STATUS,5 clrf INTCON LEDON bsf PORTA,0 call RETARDO LEDOFF bcf PORTA,0 call RETARDO goto LEDON ;********************************* ;***RUTINA DE RETARDO*** ;********************************* RETARDO movlw D’139’ movwf TMR0 ESPERA btfss INTCON,TOIF goto ESPERA bcf INTCON,TOIF return end Ejercicio propuesto. Realice un programa que permita encender y apagar un led cada un segundo. Mediante Timer0 y con un oscilador XT.
  • 12.
    4.8. Las interrupciones “Las interrupciones son desviaciones del flujo de control del programa originadas asíncronamente, por diversos sucesos que no se hallan bajo la supervisión de las instrucciones. Dichos sucesos pueden ser externos al sistema, como la generación de un flanco o nivel activo en una patilla del microcontrolador, o bien, internos, como el desbordamiento de un contador. Su comportamiento es similar al de la instrucción “call” de llamado a subrutina. Se detiene la ejecución del programa en curso, se salva la dirección actual del contador de programa (PC) en la pila (STACK) y se carga el PC con una dirección, que en el caso de una interrupción es una dirección reservada de la memoria de código, llamada vector de interrupción”. Parejo. Microcontroladores PIC. Pág. 117. 2da Edición. • En el PIC 16F84, este vector de interrupción está ubicado en la posición 04H, en donde comenzará la rutina de servicio de la interrupción. Ejemplo: org 00H ; Vector de origen del programa goto INICIO ; salto a la rutina de programa principal org 04H ; Vector de interrupción goto INTERR ; salto a la rutina de interrupción.
  • 13.
    La idea decolocar una instrucción de salto incondicional, es la de trasladar el flujo del programa a la zona de memoria de código que contiene a la rutina de interrupción. 4.9. Diagrama de flujo durante una interrupción El comportamiento del microcontrolador durante una interrupción es similar al mostrado durante la llamada a una subrutina, con la diferencia de que el llamado no se hace mediante la instrucción “call”, si no con previa configuración de las interrupciones disponibles para cada modelo de microcontrolador. Una vez que se han configurado las interrupciones con los permisos y/o habilitaciones correspondientes, el microcontrolador podrá seguir ejecutando el programa principal y cuando ocurra un evento dentro de las interrupciones disponibles y habilitadas previamente, el microcontrolador dejará de hacer la tarea actual y entrará en la subrutina de servicio de interrupción (RSI) y sólo saldrá de esta cuando ejecute la instrucción retfie. 4.9.1. Diagrama de flujo durante una interrupción INICIO PROX PCL 21H instrucción A instrucción 1 22H instrucción B instrucción 2 23H instrucción C instrucción 3 24H instrucción D retfie 25H instrucción E Nota: una Rutina de Servicio de Interrupción puede ser igual de instrucción F 26H extensa o más, que el mismo programa principal. end
  • 14.
    RSI PC pasa a PILA PC=04H Rutina de Interrupción Se almacenan registros a modificar Se determina causa de interrupción y se ejecuta Se salvan registros guardados Se borran los señalizadores Retorno (retfie) Se extrae de la pila el PC. GIE= 1 4.10. Causas de interrupción en el PIC16F84 1. Activación (Cambio de nivel lógico) del pin RB0/INT 2. Desborde del TMR0 (al pasar de FFH a 00H) 3. Cambio de estado de una de los 4 pines de más peso (RB7:RB4) del puerto B (Ver Nota (1) en tema 4.13. Ejemplo 2) 4. Finalización de la escritura en la EEPROM de datos 4.11. Registro INTCON Este registro se encarga de habilitar o permitir las interrupciones disponibles en el PIC16F84, se encuentra ubicado en la posición 0BH del banco 0 de los registros de funciones especiales (SFR). A continuación se describirán cada uno de sus bits: GIE EEIE TOIE INTE RBIE TOIF INTF RBIF Bit 7 Bit 6 Bit 5 Bit 4 Bit 3 Bit 2 Bit 1 Bit 0 (L/E) (L/E) (L/E) (L/E) (L/E) (L/E) (L/E) (L/E)
  • 15.
    Registro INTCON  GIE: (Global Interrupt Enable), Permiso Global de Interrupciones 1: Habilita todas las interrupciones, cuyos bits de permiso individuales también las permitan 0: Deshabilita todas las interrupciones  EEIE: (EEPROM Interrupt Enable), Permiso de Interrupción por fin de escritura en la EEPROM 1: Habilita la interrupción cuando termina la escritura de la EEPROM de datos 0: Deshabilita esta interrupción  TOIE: (TMR0 Overflow Interrupt Enable), Permiso de interrupción por desborde del TMR0 1: Habilita una interrupción por desborde del TMR0 0: Deshabilita esta interrupción  INTE: (Interrupt Enable RB0/INT), Permiso de interrupción por activación del pin RB0/INT 1: Habilita la interrupción al activarse RB0/INT 0: Deshabilita esta interrupción  RBIE: (RB Port Change Interrupt Enable), Permiso de interrupción por cambio de estado en RB7:RB4 1: Habilita esta interrupción 0: Deshabilita esta interrupción  TOIF: (TMR0 Overflow Interrupt Flag), Señalizador de desborde del TMR0 1: Ha ocurrido un desborde del TMR0 0: No se ha desbordado el TMR0  INTF: (RB0/INT Interrupt Flag), Señalizador de activación del pin RB0/INT 1: Se ha activado RB0/INT 0: No se ha activado RB0/INT  RBIF: (RB Port Change Interrupt Flag), Señalizador de cambio de estado en RB7:RB4 1: Pasa a 1 cuando cambia el estado de alguna de estas 4 líneas 0: No ha cambiado el estado de RB7: RB4 4.12. Salvando el entorno Salvar el entorno, se refiere a mantener el valor exacto que tienen los registros de trabajo STATUS y W, y cualquier otro de importancia, que no vaya a ser modificado dentro de la subrutina de servicio de interrupción. Para salvar el entorno cuando ocurre una interrupción se recomienda seguir los siguientes pasos: 1. Salvar a w y a STATUS. 2. Almacenar a w en un registro general llamado W_TEMP 3. Almacenar a STATUS en un registro general llamado STATUS_TEMP 4. Se ejecuta la rutina de interrupción (queda expresada para efectos del ejemplo siguiente)
  • 16.
    5. Restauramos aSTATUS 6. Restauramos a w NOTA: Los registros generales W_TEMP, STATUS_TEMP, deben ser declarados al inicio del programa, para no generar errores. ; **** Rutina para salvar el entorno **** PUSH movwf W_TEMP ; Copiamos w a este registro temporal swapf STATUS,0 ; Intercambiamos STATUS y lo ; guardamos en w movwf STATUS_TEMP ; Salvamos STATUS en ; STATUS_TEMP RUT_INT ; ; Aquí estará la rutina de servicio de interrupción ; POP swapf STATUS_TEMP,0 ; Intercambiamos nibbles en el ; registro STATUS_TEMP movf STATUS ; Movemos w al registro STATUS, ; retornando el valor original swapf W_TEMP,1 ; Intercambiamos nibbles y lo ; mantenemos en este registro swapf W_TEMP,0 ; Intercambiamos nibbles y lo ; trasladamos a w retornando el valor ; original que tenía antes de ; entrar a la rutina de interrupción 4.13. Estructura de un programa con interrupción. En el tema 4.9.1 observamos el diagrama de flujo durante una interrupción, se puede apreciar que existen dos diagramas de flujos, uno para el programa principal y otro para la subrutina de servicio de interrupción (RSI), con un similar comportamiento al descrito sobre las subrutinas de usuario estudiadas en la unidad III. Cuando trabajamos con el lenguaje ensamblador, se debe insertar el vector de interrupción (org 04H), para que el programa tenga la dirección a dónde dirigirse a ejecutar la RSI, tal como se hace de forma similar con la instrucción call k, de las subrutinas de usuario. Generalmente la RSI se declara al inicio del programa, antes del programa principal, sin embargo algunos autores la colocan al final del mismo. Es importante resaltar que así como la subrutina de usuario está enmarcada entre la etiqueta (k) y una instrucción return o retlw k, la RSI estará enmarcada entre la dirección del vector de interrupción y la instrucción retfie. Veamos el siguiente ejemplo para entender mejor la estructura:
  • 17.
    Ejemplo 1. Opción A.Antes del programa principal: list P=16F84A include P16F84A.inc org 00H ; Vector de inicio goto INICIO org 04H ; Vector de interrupción goto RSI ; La RSI puede ir inmediatamente RSI bcf INTCON,7 ; Deshabilitamos las interrupciones btfss INTCON,2 ; La causa fue por desborde del TMRO goto SALIRINT ; Si es no, salimos de la RSI movlw 0FFH ; Si es la causa, ejecutamos la rutina de ; ejemplo. xorwf PORTB ; Generamos una señal cuadrada SALIRINT bcf INTCON,2 ; Borramos el señalizador TOIF bsf INTCON,7 ; Habilitamos las interrupciones retfie ; Salimos de la RSI. INICIO bsf STATUS,5 ; Banco 1 clrf TRISB ; Puerto B como salida movlw b’10000111’ ; TMR0, Temporizador, 1:256 movwf OPTION_REG bcf STATUS,5 ; Banco 0 movlw B’10100000’ movwf INTCON ; Se activa el GIE y el TOIE clrf PORTB ; Inicializamos PORTB=0 SINFIN clrwdt goto SINFIN ; Bucle sin fin, para este ejemplo. end ; Fin del programa Opción B. Luego del programa principal: list P=16F84A include P16F84A.inc org 00H ; Vector de inicio goto INICIO org 04H ; Vector de interrupción goto RSI ; La RSI puede ir inmediatamente INICIO bsf STATUS,5 ; Banco 1 clrf TRISB ; Puerto B como salida movlw b’10000111’ ; TMR0, Temporizador, 1:256 movwf OPTION_REG bcf STATUS,5 ; Banco 0 movlw B’10100000’
  • 18.
    movwf INTCON ; Se activa el GIE y el TOIE clrf PORTB ; Inicializamos PORTB=0 SINFIN clrwdt goto SINFIN ; Bucle sin fin, para este ejemplo. RSI bcf INTCON,7 ; Deshabilitamos las interrupciones btfss INTCON,2 ; La causa fue por desborde del TMRO goto SALIRINT ; Si es no, salimos de la RSI movlw 0FFH ; Si es la causa, ejecutamos la rutina de ; ejemplo. xorwf PORTB ; Generamos una señal cuadrada SALIRINT bcf INTCON,2 ; Borramos el señalizador TOIF bsf INTCON,7 ; Habilitamos las interrupciones retfie ; Salimos de la RSI. end ; Fin del Programa. Ejemplo 2. Realicemos un programa completo que contenga varias interrupciones. Si la causa ha sido la activación del pin RB0, se debe mostrar un dos en binario en el puerto A, si ha sido un cambio de nivel en RB4:RB7, se debe mostrar el uno en binario en el puerto A y si se ha desbordado el TMR0, se debe mostrar el cuatro en binario en el puerto A. Paso 1. Dibujar el diagrama de flujo:
  • 19.
    Paso 2. Lenguajeensamblador LIST P=16F84A INCLUDE P16F84A.INC W_TEMP equ 20H ; Se declaran los registros generales para ESTADO_TEMP equ 21H ; salvar los registros STATUS y W org 00H goto INICIO org 04H ; Se coloca el vector interrupción para que se goto RUTINTERR ; Ejecute la rutina de interrupción RUTINTERR movwf W_TEMP ; Se inicia a la rutina de servicio de ; interrupción swapf W_TEMP,1 movf STATUS,0 movwf ESTADO_TEMP btfsc INTCON,0 ; Se empieza exploración de causa de ; interrupción goto INTERRB47 ; Si RBIF=1, se va a ejecutar btfsc INTCON,1 goto INTERRB0 ; Si INTF=1, se va a ejecutar btfsc INTCON,2 goto INTERRTMR ; Si TOIF=1, se va a ejecutar goto SALIRINT ; Si no es ninguna, se sale de la ; interrupción SALIRINT bsf INTCON,7 ; Se habilita GIE, para permitir de ; nuevo otra Interrupción movf ESTADO_TEMP,0 ; y se restaura el entorno movwf STATUS swapf W_TEMP,0 retfie ; El uso de return o retlw k, puede producir ; errores en la ejecución del programa ;*** Subrutina de tratamiento de cambio de RB4:RB7 *** INTERRB47 bcf INTCON,0 movlw 01H movwf PORTA movf PORTB,0 ; Ver NOTA (1) bcf INTCON,0 ; Se borra por software el señalizador ; de esta Interrupción goto SALIRINT ;*** Subrutina de tratamiento de activación de INT/RB0 *** INTERRB0 movlw 02H movwf PORTA bcf INTCON,1 ; Se borra por software el señalizador goto SALIRINT
  • 20.
    ;*** Subrutina detratamiento del desborde del TMR0 *** INTERRTMR movlw 04H movwf PORTA movlw d'200' ; Se carga el valor calculado para el ; TMR0 para asegurarnos movwf TMR0 ; que al regresar tenga este valor bcf INTCON,2 ; Se borra el señalizador goto SALIRINT ;*************PROGRAMA PRINCIPAL**************** INICIO bsf STATUS,5 clrf TRISA ; PORTA como entrada movlw 0FFH movwf TRISB ; PORTB como entrada movlw b'01000000' movwf OPTION_REG ; Diga: ¿Cómo se configuró OPTION? bcf STATUS,5 movlw b'10111000' ; Se habilita GIE y las interrupciones movwf INTCON ; Individuales DORMIR nop movlw d'240' movwf TMR0 ; Diga: ¿Qué valor de temporización ; tendrá el TMR0? SINFIN CLRWDT goto SINFIN ; Se coloca al microcontrolador en ; bucle o lazo sin fin end ; Nota (1): En este tipo de interrupción, internamente el procesador lee el nibble ; alto del puerto B y hace una copia, la interrupción se genera cuando la lectura ; del nibble alto del puerto B es diferente de la copia. ; Dentro de la ejecución de esta rutina de interrupción es importante que se lea ; el puerto B, para actualizar la copia, y el procedimiento adecuado es el ; mostrado anteriormente. 4.14. ¿Cuándo utilizar una interrupción? Una interrupción es muy importante cuando deseamos realizar una tarea que no dependa de una exploración constante del programa sobre la misma. Esto le agrega al microcontrolador independencia para realizar procesos paralelos, es decir, mientras se ejecuta un programa determinado, de forma alterna se puede estar a la espera de que ocurran algunas de las interrupciones mencionadas sin necesidad de monitorearlas por sondeo o exploración. Apenas ocurran, la RSI se ejecutará y se realizará el tratamiento previamente diseñado.
  • 21.
    También cuando deseamosque nuestro programa responda de forma inmediata y automática a determinados eventos. Ejemplo del uso de Interrupción: • En los sistemas de control, cuando se necesita un pulsador de parada de emergencia (PARE). • En un diseño, cuando se requiere que nuestro circuito cumpla con determinadas tareas, al pulsarse una tecla (LAMP TEST en los displays). • En el manejo de teclados, se recomienda su uso, ya que se puede meter al microcontrolador en un estado de reposo, ahorrando energía y esperando a que se pulse una tecla para iniciar una rutina de servicio (CLAVE). • Cuando deseamos que nuestro programa entre a monitorear una función o subrutina cada cierto tiempo, mediante el desborde del TMR0. • Cuando almacenamos información en la EEPROM y deseamos ser advertidos de que ésta se ha terminado (ALMACENAMIENTO). 4.15. Resumen de la Unidad IV. Al finalizar la unidad IV, se han dado a conocer dos importantes recursos de los microcontroladores, a saber, el temporizador TMR0 y las interrupciones. Estos recursos nos permiten dar libertad de acción a los microcontroladores, al permitir ejecutar tareas cada cierto tiempo, de manera alterna o paralela al programa principal mediante la combinación de la temporización y las interrupciones, sin tener que estar monitoreando estas tareas adicionales. Algunas interrupciones sirven para monitorear de manera automática un teclado, mientras se puede controlar un proceso, así como detectar un pulsador o un cambio de nivel en el pin RB0. Las interrupciones, previa configuración, responden de manera inmediata y automática al evento seleccionado entrando en una subrutina de servicio de interrupción sin necesidad de ser llamada como las subrutinas de usuario. El uso del temporizador TMR0 permite generar señales cuadradas con un amplio rango de frecuencias, similar a como lo hace el 555, sólo que nos ahorramos hardware adicional, al realizarlo totalmente por software, convirtiendo al microcontrolador en una herramienta más completa. En circuitos Digitales, para diseñar un reloj digital con horas, minutos y segundos, se necesitan al menos 14 circuitos integrados, con las herramientas vistas en la unidad III y en la unidad IV, el hardware necesario para esta tarea se reduce notablemente a 2 circuitos integrados, reduciendo los costos de construcción y de espacio.
  • 22.
    Aplicaciones como unfrecuencímetro pueden ahora lograrse mediante el programa adecuado, y todo en un solo circuito integrado de un microcontrolador. Las potencialidades y aplicaciones se abren limitándose en un inicio a las ideas de los usuarios. 4.16. Autoevaluación.  ¿Qué usos se les puede dar al temporizador TMR0?  ¿Qué registros son necesarios para trabajar con el TMR0?  ¿Cuál es la función del registro OPTION_REG?  ¿Cuál es la función del predivisor?  ¿Cómo se logra una temporización superior a 65,35 ms con el TMR0?  ¿Qué es una interrupción?  ¿Cómo se comporta una interrupción en un programa?  ¿Cuál es la función del registro INTCON?  ¿Cuáles son las causas de interrupción en un PIC16F84? 4.17. Ejercicios propuestos. 1. Genere una señal cuadrada del 50 % del Ciclo útil con una frecuencia de 1 KHz. 2. Diseñe un contador de vehículos con el TMR0, cuyo resultado se muestre por el puerto B. 3. Realice un temporizador programable de tres cifras (999 a 000). El circuito asociado al programa posee un pulsador de ajuste, que permite variar y/o fijar la cifra al valor que se desea temporizar. Debe realizar un conteo descendente a razón de 1 segundo. Debe contar con un pulsador que permita verificar que todos los segmentos están en buen estado (Función “Lamp Test”) en cualquier momento. Debe encender un led, cada vez que llegue a 000 y se detiene el conteo. Debe de tener un pulsador de inicio, para que empiece la cuenta regresiva, una vez pulsado, no influye sobre la temporización. Debe tener un pulsador que permita reestablecer el sistema (poner a 999). Introduzca eliminarebotes (5 ms), para los pulsadores de ajuste e inicio. Nota: Diseño libre. 4. Se desea realizar un programa que permita la ejecución de los siguientes estados, bajo un mismo display:
  • 23.
    Y luego delséptimo estado, empieza de nuevo en el estado 0. El circuito asociado al programa debe tener dos interruptores de ajuste de tiempo, el cual incrementará el tiempo entre 0,25 segundos, 0,5 segundos, 1 segundo y 2 segundos. Debe contar con un pulsador que permita verificar que todos los segmentos están en buen estado (Función “Lamp Test”) en cualquier momento. Debe tener un pulsador de inicio, según sea el modo seleccionado. Introduzca eliminarebotes (5 ms), para el pulsador de inicio. Nota: Diseño libre. 5. Realice un frecuencímetro, cuyas frecuencias están definidas en la siguiente tabla: Frecuencia Modo Entrada (A2A1A0) 1 KHz 0 000 500 Hz 1 001 250 Hz 2 010 100 Hz 3 011 50 Hz 4 100 10 Hz 5 101 1 Hz 6 110 0,5 Hz 7 111 El circuito asociado al programa debe tener: Tres interruptores que seleccionan el modo de operación, cuyo número equivalente en decimal, debe ser visualizado en un display. Debe tener un pulsador de inicio y un pulsador de reestablecimiento. Introduzca eliminarebotes (5 ms) para los interruptores. Luego de haberse pulsado “Inicio”, si cambia la selección, cambia la frecuencia según sea el modo. Nota: Diseño libre. 6. Se desea automatizar una lavadora “CHACACHACA” bajo dos modos de lavado (uno de Lavado Rápido de 30 minutos de duración y otro de Lavado Lento de 50 minutos de duración), el sistema constará de un pulsador de INICIO y un interruptor selector de modo de lavado. Automatice bajo las siguientes condiciones:  Se elige entre lavado rápido ó lento  Se presiona INICIO y realiza lo siguiente:  Se llena la CHACACHACA hasta el nivel de agua máximo; lava ó “bate” por la mitad del tiempo; se detiene; se vacía; se llena otra vez de agua; lava ó “bate” hasta que falten tres minutos; se detiene; se vacía; se llena otra vez de agua; lava ó “bate” por el resto del tiempo; se vacía nuevamente y emite una alarma sonora por espacio de 10 segundos; y se detiene a la espera de un nuevo proceso de lavado.  Si no hay agua en el depósito de agua, se detiene el lavado, se cierra la válvula de llenado y se emite una alarma sonora hasta que se solucione
  • 24.
    el problema agregandoagua al depósito hasta el nivel mínimo de lavado.  ML: Motor de Lavadora. VD: Válvula de Desagüe. VLL: Válvula de Llenado.  Nmínimo, Nmáximo, Nmínimo de lavado, Nivel de alarma: Sensores de nivel. 7. Realice un temporizador programable para el motor de una correa transportadora, que permite encenderle y apagarle, según sea el tiempo seleccionado definido en la siguiente tabla: Tiempo Modo Entrada (A2A1A0) 2,5 minutos 0 000 2 minutos 1 001 1,5 minutos 2 100 1 minuto 3 101 30 segundos 4 111 El circuito asociado al programa debe tener: Tres interruptores que seleccionan el modo de operación, cuyo número equivalente en decimal, debe ser visualizado en un display. Debe tener un pulsador de “INICIO”. Introduzca elimina rebotes (10 ms) para los interruptores. Luego de haberse pulsado “INICIO”, si cambia la selección, cambia el tiempo según sea el modo. Si el estado de los pulsadores no aparece en la tabla, debe mostrase la letra “E” de “Error” en el display y debe mantenerse el motor apagado. El sistema cuenta con un pulsador que indique en cualquier momento, si todos los segmentos del display se encuentran en buen estado. El sistema cuenta con un sensor de temperatura que se activa cuando el motor se recalienta, en cuyo caso se activa un led rojo y se apaga el motor, a la espera de que se pulse “INICIO” para poder empezar el proceso nuevamente. Nota: Diseño casi libre. (NO cuenta con decodificador para manejar el display)
  • 25.
    8. Realice laautomatización de la mezcladora de pinturas, mostrada en la figura, bajo la siguiente secuencia de funcionamiento:  El sistema de mezclado se inicia al pulsarse “MARCHA”, mediante el cual, se activa B1, por espacio de por espacio de 13 segundos. B2, MM, VD, MA deben estar apagados. Se enciende un led verde que indica que el sistema esta en marcha.  Transcurrido este tiempo, se enciende B2. B1, MM, VD, MA, deben estar apagados.  B2 se mantiene encendido hasta que el sensor “Nivel alto” se activa, mediante el cual se detiene B2, se activa MM. B1, VD, MA, se mantienen apagados.  MM se mantiene encendido por espacio de 1 minuto. B1, B2, VD, MA se mantienen apagados. Una vez transcurrido este tiempo, se detiene MM.  Se activa VD, hasta que se activa el sensor “Nivel bajo”, mediante el cual se cierra VD y se activa MA por espacio de 7.5 segundos, reiniciándose el proceso nuevamente.  El sistema cuenta con un pulsador de PARE, que al activarse en cualquier momento detiene todo el proceso, apagando B1, B2, VD, MM y MA, activando un led rojo y apagando al led verde, indicando que existe una parada del proceso.  Para reiniciar el proceso nuevamente en donde se quedó al momento de detenerlo, se debe pulsar “REINICIO”. PINTURA 1 PINTURA 2 B B Nivel Alto Nivel Bajo M V PINTURA PINTURA LISTA LISTA M
  • 26.
    Nomenclaturas: B1: Bomba 1 B2:Bomba 2 MM: Motor de Mezclado VD: Válvula de Desagüe MA: Motor de Avance 4.18. Lecturas complementarias recomendadas. Para reforzar los conceptos de esta unidad, te recomendamos revisar el libro:  “Microcontroladores PIC” de José María Parejo Usategui. Capítulos III y IV. (Disponible en la Biblioteca de la Institución)