18 V 2k 3.5 k 18k 8k 60k 90k Q 2 Q 1 -12 V 18 V 18 V -12 V -12 V 3.5 k 18k 90k 8k 2k 60k Aplicamos Thevenin Th Q 2 Q 1 Hallar los puntos de operación Q para cada transistor ( β = 100)
2k 8k 18k 3.5 k 18 V 18 V -12 V -12 V 36k 6 V
>0 Q1  “Zona Activa” >0 Q2  “Zona Activa” Q 1  = Q 2  =
Hallar los puntos de operación de cada transistor e indicar en que zona se encuentran. ( β = 100) Demuestre que el zener se encuentra funcionando. Calcular la Potencia consumida.  Asumo que el zener esta operando Demostrar que  Aplicamos Thevenin 15 V 100k 2k 1k =1.7V 3k 50k 5k V Th 5V 33.33k 5k 15 V 15 V 2k 3k 1k
“ Zona Activa” “ Zona Activa” Zener  On  Como Queda demostrado que el Zener está operando
CONFIGURACION DARLINGTON IE2 IB 1 IE1 IB2
EJEMPLO : Hallar los ptos de operación de c/u de los transistores de sgte config: Vth
IE1 IB2 IB1 IE2
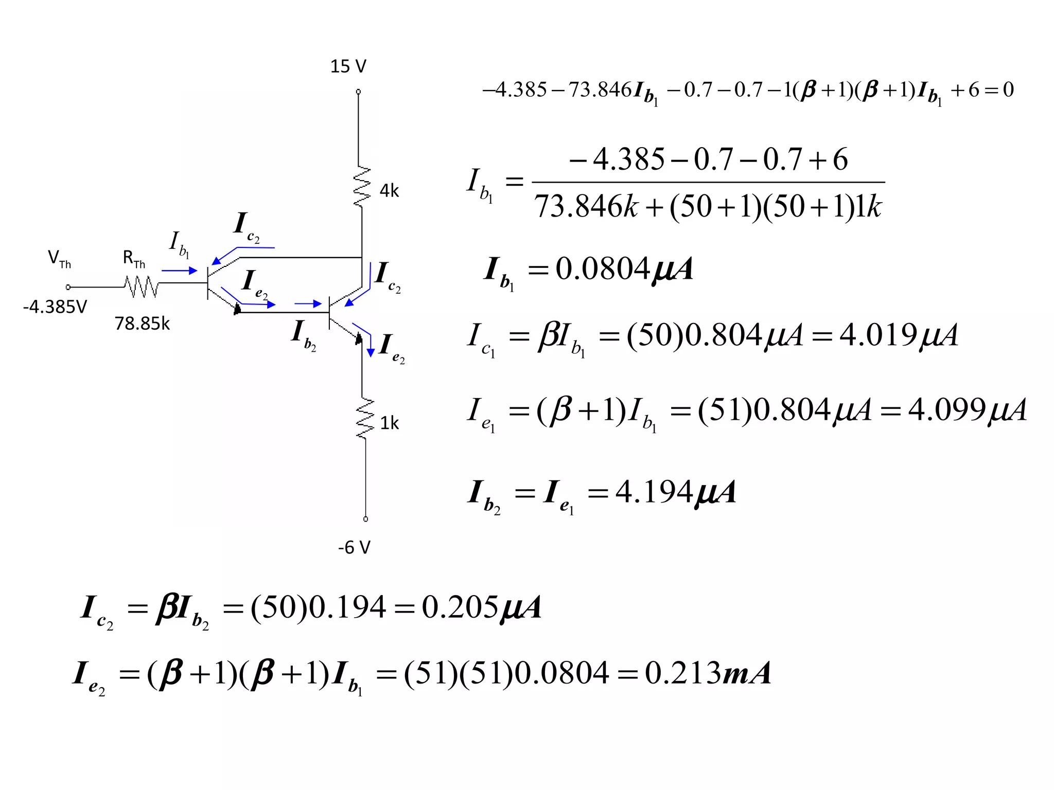
Hallar el punto de operación Q de cada transistor  ( β  = 50 ) 960k 80k 4k 1k 15 V -6 V Q 1 Q 2 Aplicamos Thevenin 15 V 15 V 4k 960k 80k 1k -6 V -6 V Th
4k 1k 78.85k R Th V Th -4.385V 15 V -6 V
> 0 Q 1  “Zona Lineal” Q 1  = Q 2  = > 0 Q 2  “Zona Lineal”
Regulación de voltaje con BJT
Regulador serie: Diseñe una fuente de voltaje que trabaje A 15V  ⇒ 1 A (maximo) + Vz -
Regulador serie: Sin carga  (RL= ά )  Abierto, no hay corriente
Con Carga Máxima: Asumimos: + Vz - Ic Ie Ib
2 a  Zener prende 2 b Zener no se quema
 
Regulador en paralelo I Sin carga  (RL= ά ) I1 Iz I1 Iz Ic Ie
1 a  Zener no se quema: 1 b Zener se prenda
II Con carga
2 a Zener enciende, con Vc= Vmin 2b Para que el Zener no se queme  (<Izmax)
Regulador serie-variable + Vz - Ib2 I1 I2 + Vl -
El propósito de este regulador es manejar una mayor cantidad de corriente; trabaja como transistor de doble amplificación de corriente Asumo que tanto Q1 como Q2 -> Z. lineal y que el Zener se encuentra en zona zener
La configuración DARLINGTON es un buen ejemplo de este tipo de regulador IB 1 IE1 IB2
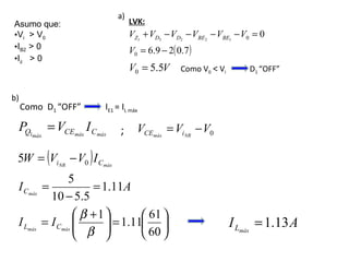
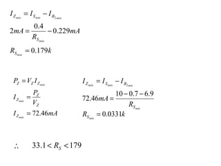
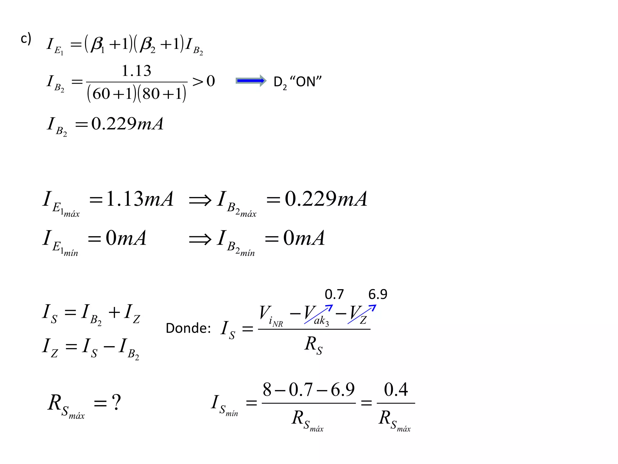
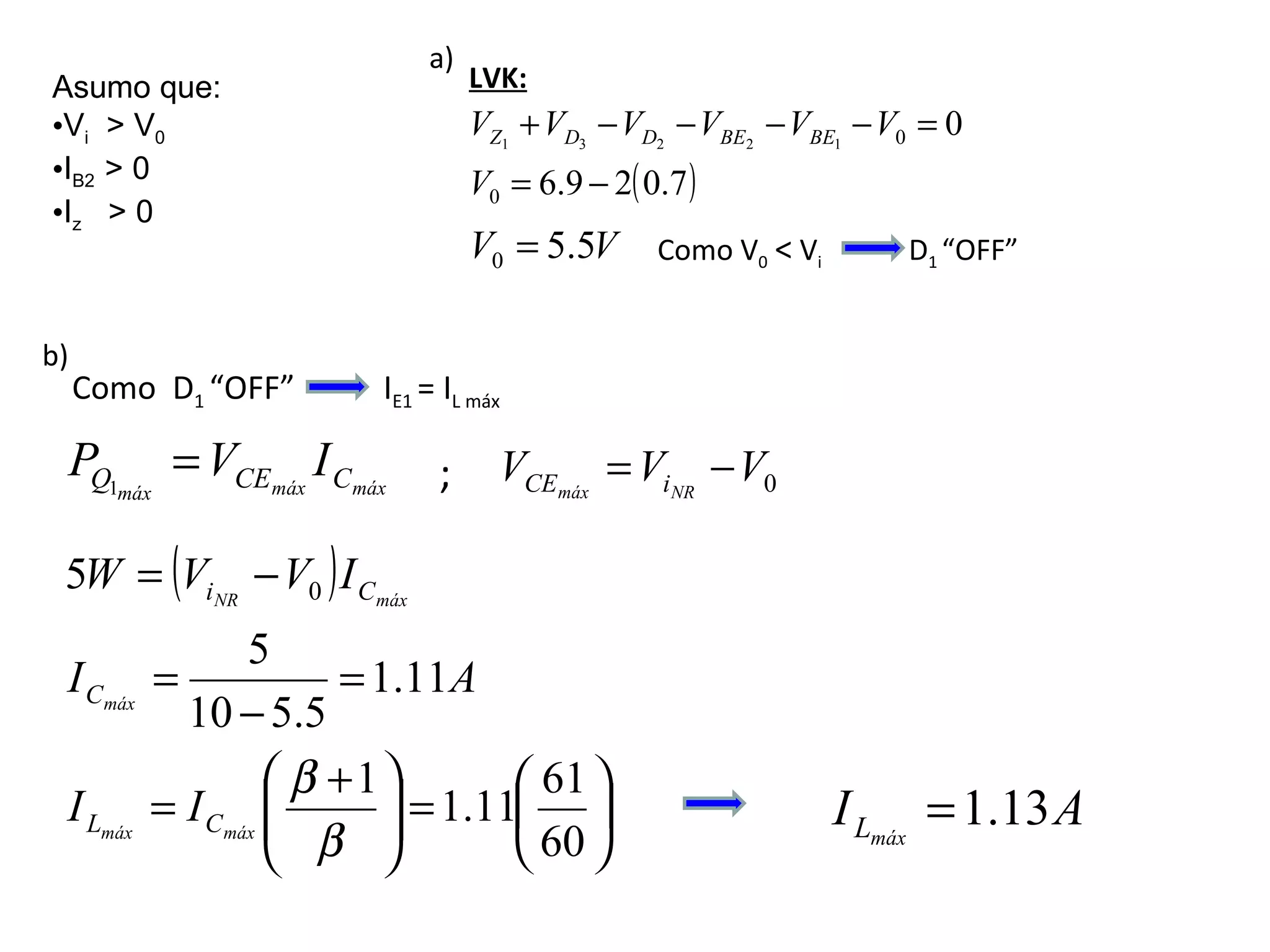
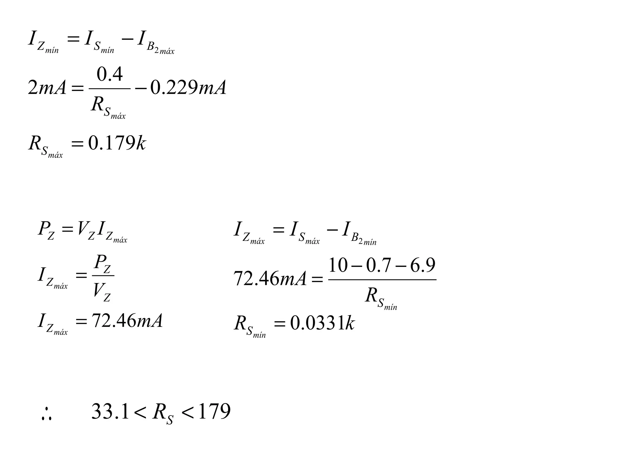
Datos: β 1 =60 β 2 =80 8≤V i ≤10 I Z mín =2mA P Z máx =0.5W P Q1 máx =5W V ak = V BE  =0.7V Calcule V 0 La corriente máxima en la carga R s mín  y R s máx  para que el regulador funcione correctamente V i  NR V 0  DC D 1 220 μ F R S R L I S I L   Max + - 6.9V  + - I Z Z 1 D 3 - + D 2 I B2 - + 0.7 - + 0.7 Q 1 Q 2
Asumo que: V i   > V 0 I B2  > 0 I z   > 0 LVK: Como V 0   <  V i  D 1  “OFF”  a) b) Como  D 1  “OFF”  I E1  = I L máx   ;
Donde: c) D 2  “ON”  0.7 6.9
 
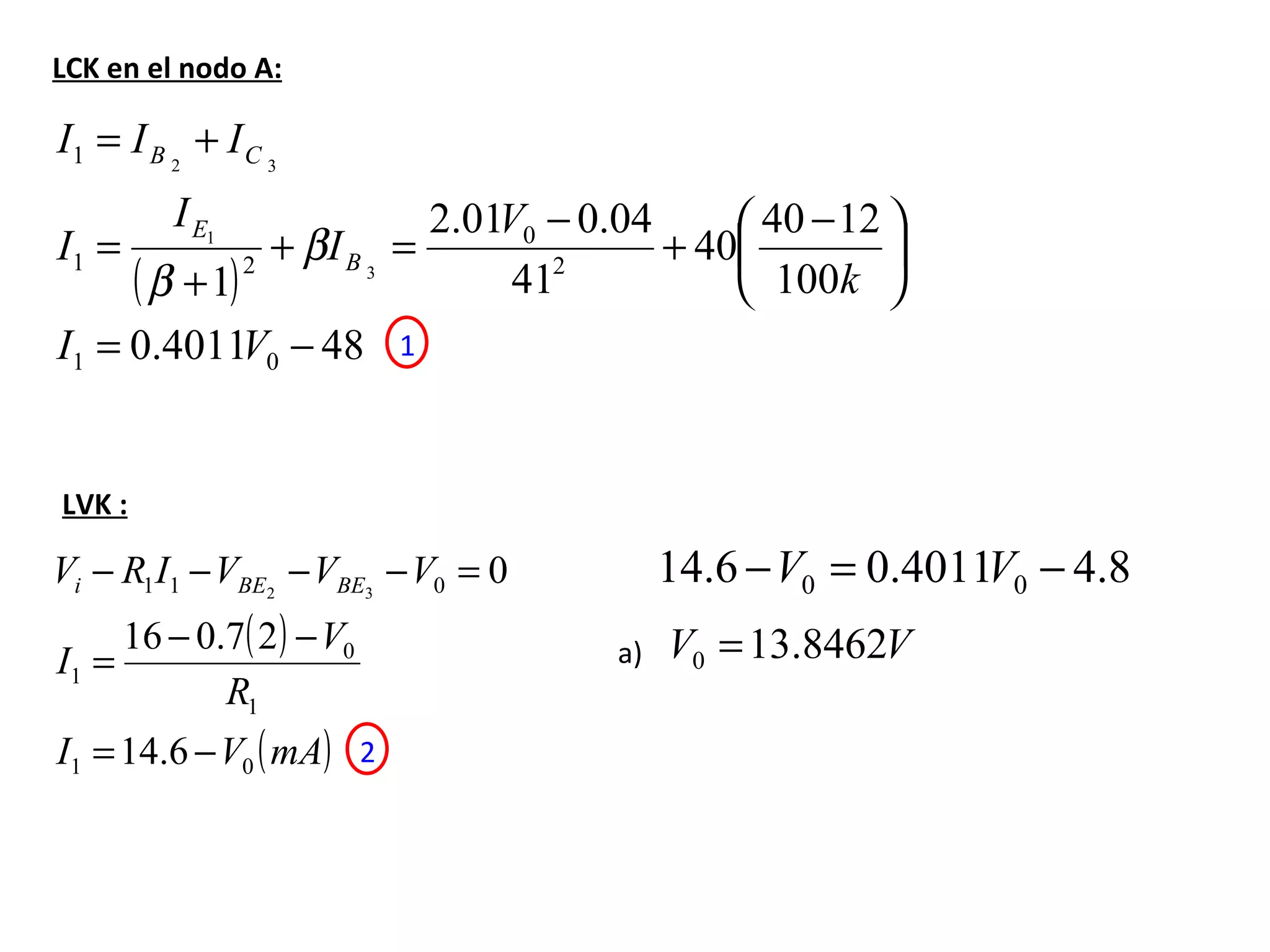
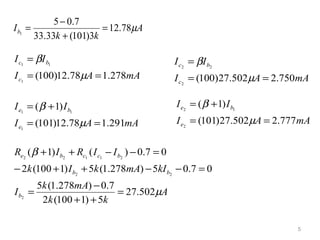
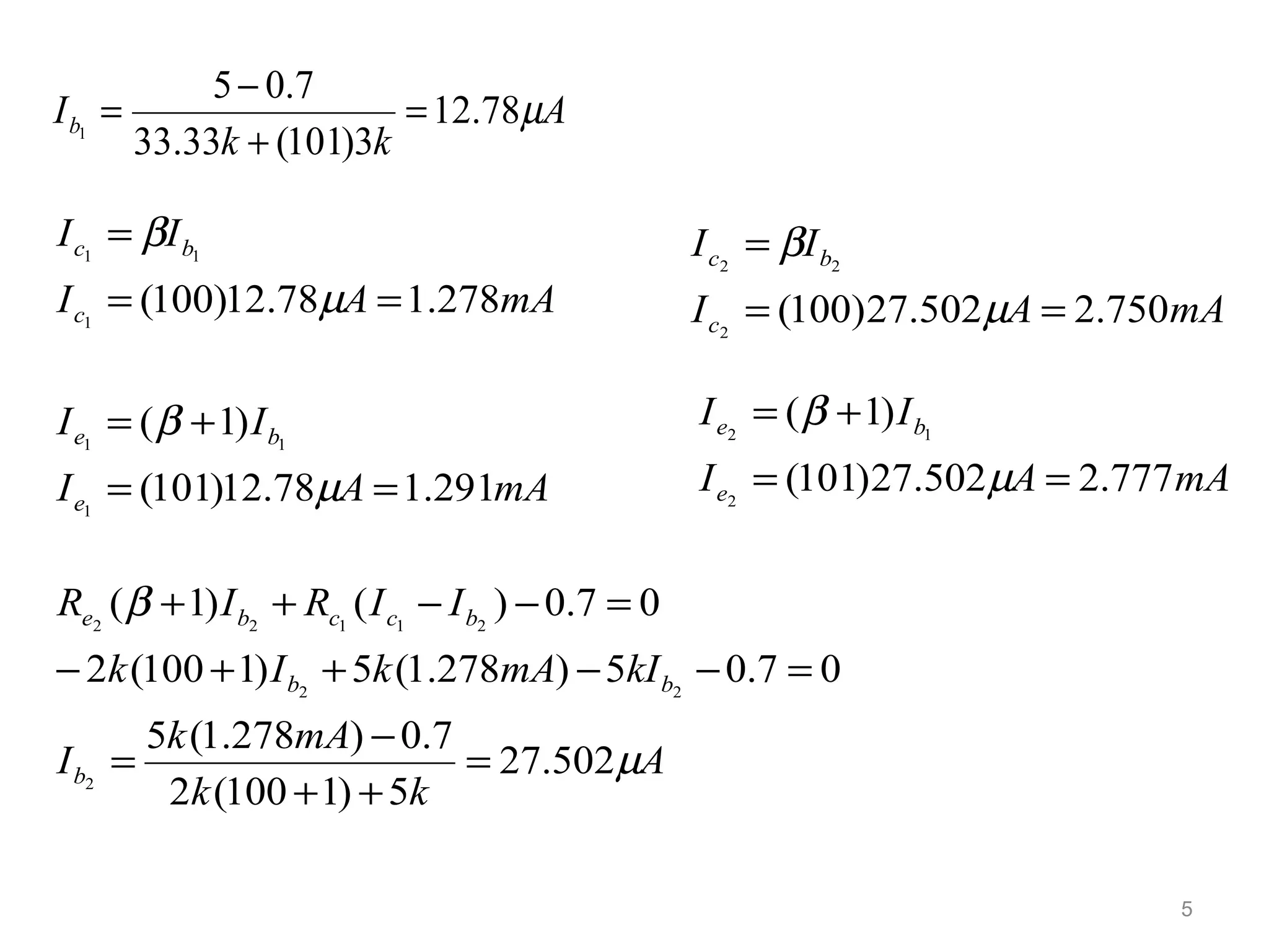
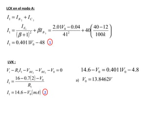
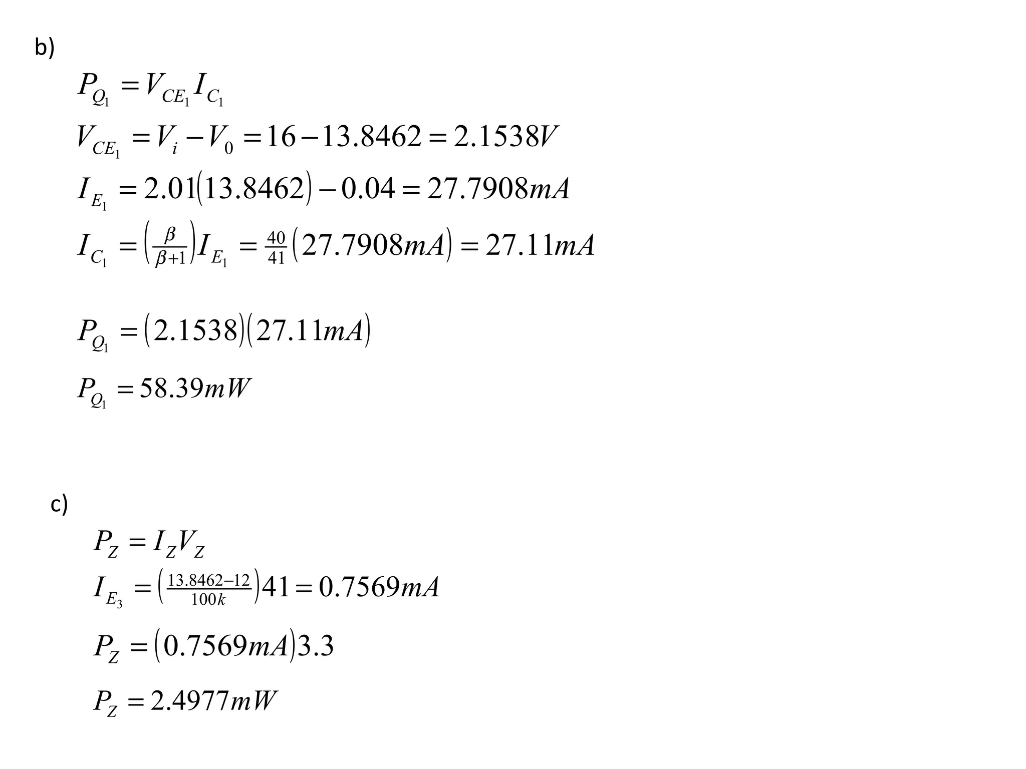
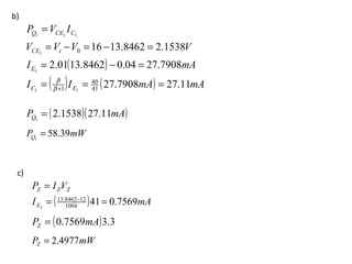
Calcular: V 0 Potencia en Q 1 Potencia en el Zener Considere: V EB =0.7V Β 1 = β 2 = β 3 =40 V Z =3.3V Nota: en caso de asumir un valor tiene que demostrarlo I B2 EJERCICIO R 1 V i  =16V 1k V 0 R L 0.33V  I Z 0.7 - + 500 Ω I E1 - + V y R 2 100k V x R 3 50k I 2 - + 0.7 I B3 - + 0.7 I 3 I L V A I 1
Asumo que: I Z >0  Z 1  “ON” I B3  << I 3   I 2 ≈I 3 Como I B3  << I 3 I 2 ≈I 3 = 0.08mA
; LCK en el nodo A: Por lo tanto no es válida la asunción de que  I B3  << I 3.  Entonces aplicamos Thevenin en la base3 Como I B3  >0  Z 1  “ON”
; I B2 R 1 I B3 V A I 1 R Th V Th Q 3
LCK en el nodo A: LVK : a) 1 2
b) c)

Electronica ejercicios

  • 1.
    18 V 2k3.5 k 18k 8k 60k 90k Q 2 Q 1 -12 V 18 V 18 V -12 V -12 V 3.5 k 18k 90k 8k 2k 60k Aplicamos Thevenin Th Q 2 Q 1 Hallar los puntos de operación Q para cada transistor ( β = 100)
  • 2.
    2k 8k 18k3.5 k 18 V 18 V -12 V -12 V 36k 6 V
  • 3.
    >0 Q1 “Zona Activa” >0 Q2 “Zona Activa” Q 1 = Q 2 =
  • 4.
    Hallar los puntosde operación de cada transistor e indicar en que zona se encuentran. ( β = 100) Demuestre que el zener se encuentra funcionando. Calcular la Potencia consumida. Asumo que el zener esta operando Demostrar que Aplicamos Thevenin 15 V 100k 2k 1k =1.7V 3k 50k 5k V Th 5V 33.33k 5k 15 V 15 V 2k 3k 1k
  • 6.
    “ Zona Activa”“ Zona Activa” Zener On Como Queda demostrado que el Zener está operando
  • 7.
  • 8.
    EJEMPLO : Hallarlos ptos de operación de c/u de los transistores de sgte config: Vth
  • 9.
  • 10.
    Hallar el puntode operación Q de cada transistor ( β = 50 ) 960k 80k 4k 1k 15 V -6 V Q 1 Q 2 Aplicamos Thevenin 15 V 15 V 4k 960k 80k 1k -6 V -6 V Th
  • 11.
    4k 1k 78.85kR Th V Th -4.385V 15 V -6 V
  • 12.
    > 0 Q1 “Zona Lineal” Q 1 = Q 2 = > 0 Q 2 “Zona Lineal”
  • 13.
  • 14.
    Regulador serie: Diseñeuna fuente de voltaje que trabaje A 15V ⇒ 1 A (maximo) + Vz -
  • 15.
    Regulador serie: Sincarga (RL= ά ) Abierto, no hay corriente
  • 16.
    Con Carga Máxima:Asumimos: + Vz - Ic Ie Ib
  • 17.
    2 a Zener prende 2 b Zener no se quema
  • 18.
  • 19.
    Regulador en paraleloI Sin carga (RL= ά ) I1 Iz I1 Iz Ic Ie
  • 20.
    1 a Zener no se quema: 1 b Zener se prenda
  • 21.
  • 22.
    2 a Zenerenciende, con Vc= Vmin 2b Para que el Zener no se queme (<Izmax)
  • 23.
    Regulador serie-variable +Vz - Ib2 I1 I2 + Vl -
  • 24.
    El propósito deeste regulador es manejar una mayor cantidad de corriente; trabaja como transistor de doble amplificación de corriente Asumo que tanto Q1 como Q2 -> Z. lineal y que el Zener se encuentra en zona zener
  • 25.
    La configuración DARLINGTONes un buen ejemplo de este tipo de regulador IB 1 IE1 IB2
  • 26.
    Datos: β 1=60 β 2 =80 8≤V i ≤10 I Z mín =2mA P Z máx =0.5W P Q1 máx =5W V ak = V BE =0.7V Calcule V 0 La corriente máxima en la carga R s mín y R s máx para que el regulador funcione correctamente V i NR V 0 DC D 1 220 μ F R S R L I S I L Max + - 6.9V + - I Z Z 1 D 3 - + D 2 I B2 - + 0.7 - + 0.7 Q 1 Q 2
  • 27.
    Asumo que: Vi > V 0 I B2 > 0 I z > 0 LVK: Como V 0 < V i D 1 “OFF” a) b) Como D 1 “OFF” I E1 = I L máx ;
  • 28.
    Donde: c) D2 “ON” 0.7 6.9
  • 29.
  • 30.
    Calcular: V 0Potencia en Q 1 Potencia en el Zener Considere: V EB =0.7V Β 1 = β 2 = β 3 =40 V Z =3.3V Nota: en caso de asumir un valor tiene que demostrarlo I B2 EJERCICIO R 1 V i =16V 1k V 0 R L 0.33V I Z 0.7 - + 500 Ω I E1 - + V y R 2 100k V x R 3 50k I 2 - + 0.7 I B3 - + 0.7 I 3 I L V A I 1
  • 31.
    Asumo que: IZ >0 Z 1 “ON” I B3 << I 3 I 2 ≈I 3 Como I B3 << I 3 I 2 ≈I 3 = 0.08mA
  • 32.
    ; LCK enel nodo A: Por lo tanto no es válida la asunción de que I B3 << I 3. Entonces aplicamos Thevenin en la base3 Como I B3 >0 Z 1 “ON”
  • 33.
    ; I B2R 1 I B3 V A I 1 R Th V Th Q 3
  • 34.
    LCK en elnodo A: LVK : a) 1 2
  • 35.